Assessment of Digestion and Absorption Properties of 1,3-Dipalmitoyl-2-Oleoyl Glycerol-Rich Lipids Using an In Vitro Gastrointestinal Digestion and Caco-2 Cell-Mediated Coupled Model
Abstract
1. Introduction
2. Results and Discussion
2.1. Caco-2 Cell Viability
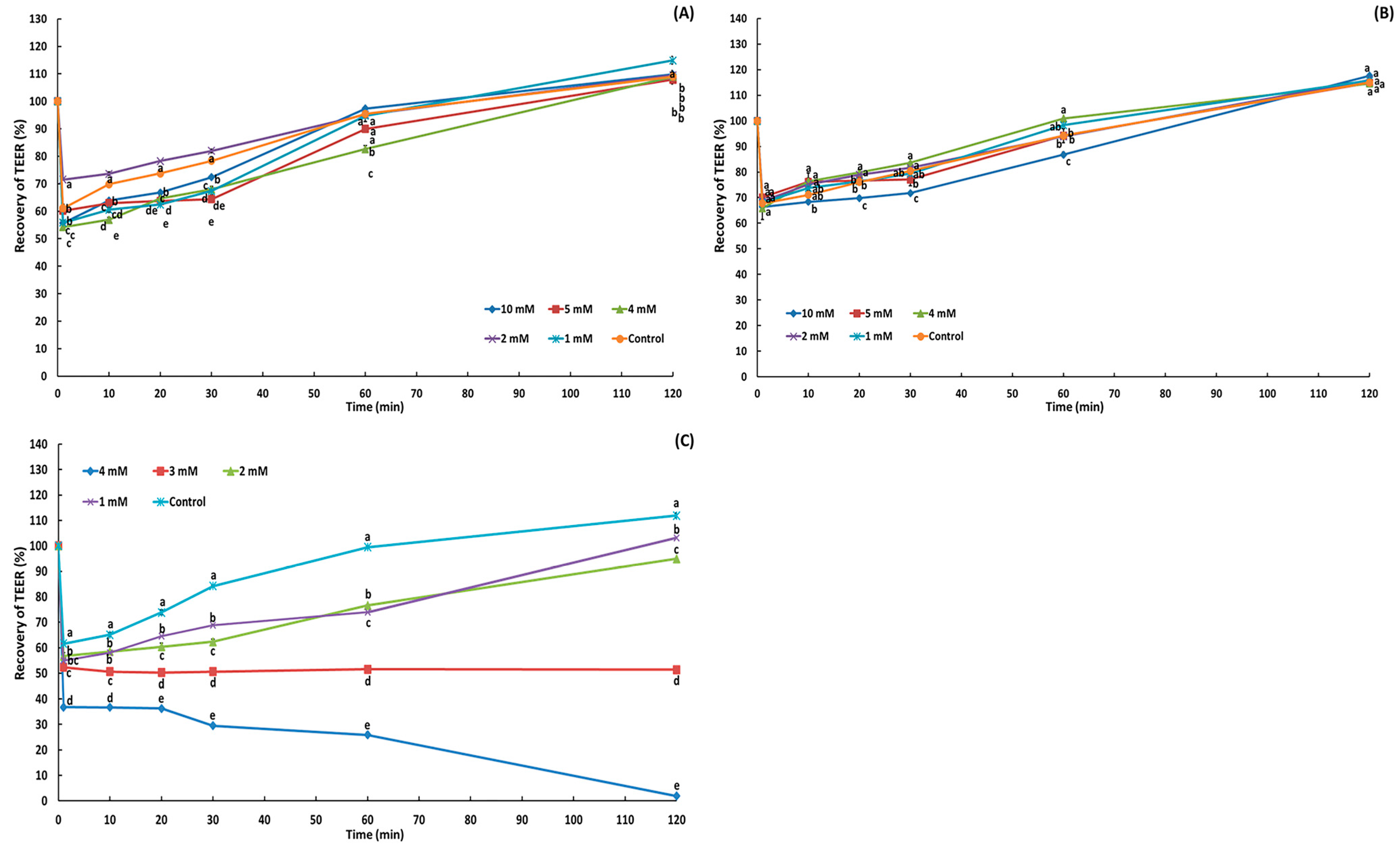
2.2. Integrity of Caco-2 Cell Monolayer Tight Junctions
2.3. In Vitro Gastrointestinal Digestion of POP-Rich Lipids
2.4. The Effect of Digested POP-Rich Lipids on the Integrity of Caco-2 Cell Monolayer Tight Junctions
2.5. In Vitro Caco-2 Cell-Mediated Absorption of the Digested POP-Rich Lipids
3. Materials and Methods
3.1. Materials
3.2. Analysis of Fatty Acid Composition
3.3. Caco-2 Cell Culture
3.4. MTT Assay for Caco-2 Cell Viability
3.5. TEER Measurement of Caco-2 Cell Monolayers
3.6. Preparation of the Treatment Materials
3.7. In Vitro Gastrointestinal Digestion of the POP-Rich Lipid
3.8. In Vitro Caco-2 Cell-Mediated Absorption of the Digested POP-Rich Lipids
3.9. Analysis of TAG Composition in Media and Caco-2 Cells After Incubation with the Digested POP-Rich Lipids
3.10. Statistical Analysis
4. Conclusions
Author Contributions
Funding
Institutional Review Board Statement
Informed Consent Statement
Data Availability Statement
Conflicts of Interest
References
- Roa, A.L.; Sankar, G.G. Caco-2 cell: An overview. Asian J. Pharm. Res. Health Care 2009, 1, 260–275. [Google Scholar]
- Hidalgo, I.S.; Raub, T.J.; Borchardt, R.T. Characterization of the human colon carcinoma cell line (Caco-2) as a model system for intestinal epithelial permeability. Gastroenterology 1989, 96, 736–749. [Google Scholar] [CrossRef] [PubMed]
- Lea, T. Caco-2 cell line. In The Impact of Food Bio-Actives on Gut Health In Vitro and Ex Vivo Models; Verhoeckx, K., Cotter, P., López-Expósito, I., Kleiveland, C., Lea, T., Mackie, A., Requena, T., Swiatecka, D., Wichers, H., Eds.; Springer: Berlin/Heidelberg, Germany, 2015; pp. 103–111. [Google Scholar]
- Hilgers, A.R.; Conradi, R.A.; Burton, P.S. Caco-2 cell monolayers as a model for drug transport across the intestinal mucosa. Pharm. Res. 1990, 7, 902–910. [Google Scholar] [CrossRef]
- Sinnecker, H.; Ramaker, K.; Frey, A. Coating with luminal gut-constituents alters adherence of nanoparticles to intestinal epithelial cells. Beilstein J. Nanotechnol. 2014, 5, 2308–2315. [Google Scholar] [CrossRef]
- Sun, H.; Chow, E.C.Y.; Liu, S.; Du, Y.; Pang, K.S. The Caco-2 cell monolayer: Usefulness and limitations. Expert. Opin. Drug Metab. Toxicol. 2008, 4, 395–411. [Google Scholar] [CrossRef]
- Fleischer, D. Biological transport phenomena in the gastrointestinal tract: Cellular mechanisms. In Transport Processes in Pharmaceutical Systems; Amidon, G.L., Lee, P.I., Topp, E.M., Eds.; CRE Press: Boca Raton, FL, USA, 1999; pp. 147–184. [Google Scholar]
- Vors, C.; Capolino, P.; Guérin, C.; Meugnier, E.; Pesenti, S.; Chauvin, M.-A.; Monteil, J.; Peretti, N.; Cansell, M.; Carrière, F.; et al. Coupling in vitro gastrointestianal lipolysis and Caco-2 cell cultures for testing the absorption of different food emulsions. Food Funct. 2012, 3, 537–546. [Google Scholar] [CrossRef]
- Yan, C.H.; Xun, S.M.; Herman, R.A.; Zhan, Y.F.; Gong, L.C.; Wu, F.A.; Wang, J. Gastrointestinal digestion fates of lipid based on pH-stat and Caco-2 cells models: Superior bioavailability of triglyceride monomer derived from silkworm pupae oil. Food Biosci. 2023, 53, 102700. [Google Scholar] [CrossRef]
- de Buy Wenniger, L.M.; Pusl, T.; Beuers, U. Bile salts. In Encyclopedia of Biological Chemistry; Lennarz, W.J., Lane, D., Eds.; Elsevier Inc.: Amsterdam, The Netherlands, 2004; Volume 1, pp. 159–163. [Google Scholar]
- Drackley, J.K. Lipid metabolism. In Farm Animal Metabolism and Nutrition; D’Mello, J.P.F., Ed.; CABI Publishing: Wallingford, OX, USA, 2000; pp. 97–119. [Google Scholar]
- Wickham, M.; Garrood, M.; Leney, J.; Wilson, P.D.G.; Fillery-Travis, A. Modification of a phospholipid stabilized emulsion interface by bile salt: Effect on pancreatic lipase activity. J. Lipid Res. 1998, 39, 623–632. [Google Scholar] [CrossRef] [PubMed]
- Verger, R. ‘Interfacial activation’ of lipases: Facts and artifacts. Trends Biotechnol. 1997, 15, 32–38. [Google Scholar] [CrossRef]
- Meaney, C.M.; O’Driscoll, C.M. A comparison of the permeation enhancement potential of simple bile salt and mixed bile salt: Fatty acid micellar systems using the Caco-2 cell culture model. Int. J. Pharm. 2000, 207, 21–30. [Google Scholar] [CrossRef]
- Mukherjee, T.; Squillantea, E.; Gillespieb, M.; Shao, J. Transepithelial electrical resistance is not a reliable measurement of the Caco-2 monolayer integrity in transwell. Drug Deliv. 2004, 11, 11–18. [Google Scholar] [CrossRef] [PubMed]
- Sakai, M.; Imai, T.; Ohtake, H.; Otagiri, M. Cytotoxicity of absorption enhancers in Caco-2 cell monolayers. J. Pharm. Pharmacol. 1998, 50, 1101–1108. [Google Scholar] [CrossRef] [PubMed]
- Liu, L.; Dong, W.; Wang, S.; Zhang, Y.; Liu, T.; Xie, R.; Wang, B.; Cao, H. Deoxycholic acid disrupts the intestinal mucosal barrier and promotes intestinal tumorigenesis. Food Funct. 2018, 9, 5588–5597. [Google Scholar] [CrossRef]
- Tan, Y.; Qi, J.; Lu, Y.; Hu, F.; Yin, Z.; Wu, W. Lecithin in mixed micelles attenuates the cytotoxicity of bile salts in Caco-2 cells. Toxicol. In Vitro 2013, 27, 714–720. [Google Scholar] [CrossRef] [PubMed]
- Tanaka, S.; Saitoh, O.; Tabata, K.; Matsuse, R.; Kojima, K.; Sugi, K.; Nakagawa, K.; Kayazawa, M.; Teranishi, T.; Uchida, K.; et al. Medium-chain fatty acids stimulate interleukin-8 production in Caco-2 cells with different mechanisms from long-chain fatty acids. J. Gastroenterol. Hepatol. 2001, 16, 748–754. [Google Scholar] [CrossRef]
- Storniolo, C.E.; Cabral, M.; Busquets, M.A.; Martín-Venegas, R.; Moreno, J.J. Dual behavior of long-chain fatty acids and their cyclooxygenase/lipoxygenase metabolites on human intestinal Caco-2 cell growth. Front. Pharmacol. 2020, 11, 529976. [Google Scholar] [CrossRef] [PubMed]
- Jayathilake, A.G.; Senior, P.V.; Su, X.Q. Krill oil extract suppresses cell growth and induces apoptosis of human colorectal cancer cells. BMS Complement. Altern. Med. 2016, 16, 328. [Google Scholar] [CrossRef]
- Chang, H.J.; Lee, J.H. Regiospecific positioning of palmitic acid in triacylglycerol structure of enzymatically modified lipids affects physicochemical and in vitro digestion properties. Molecules 2021, 26, 4015. [Google Scholar] [CrossRef]
- Shin, K.S.; Lee, J.H. Melting, crystallization, and in vitro digestion properties of fats containing stearoyl-rich triacylglycerols. Molecules 2022, 27, 191. [Google Scholar] [CrossRef]
- Wang, Y.; Cao, M.; Liu, R.; Chang, M.; Wei, W.; Jin, Q.; Wang, X. The enzymatic synthesis of EPA-rich medium- and long-chain triacylglycerol improves the digestion behavior of MCFA and EPA: Evidence on in vitro digestion. Food Funct. 2022, 13, 131–142. [Google Scholar] [CrossRef]
- Lee, H.K.; Jang, J.Y.; Yoo, H.S.; Seong, Y.H. Neuroprotective effect of 1,3-dipalmitoyl-2-oleoylglycerol derived from rice bran oil against cerebral ischemia-reperfusion Injury in Rats. Nutrients 2022, 14, 1380. [Google Scholar] [CrossRef] [PubMed]
- Yu, Q.; Li, P.; Yang, Q. Improving the absorption of earthworm fibrinolytic enzymes with mucosal enhancers. Pharm. Biol. 2010, 48, 816–821. [Google Scholar] [CrossRef]
- Moghimipour, E.; Ameri, A.; Handali, S. Absorption-enhancing effects of bile salts. Molecules 2015, 20, 14451–14473. [Google Scholar] [CrossRef]
- Yang, L.; Zhang, H.; Fawcett, P.; Mikov, M.; Tucker, I.G. Effect of bile salts on the transport of morphine-6-glucuronide in rat brain endothelial cells. J. Pharm. Sci. 2011, 100, 1516–1524. [Google Scholar] [CrossRef] [PubMed]
- Duchateau, G.S.M.J.E.; Zuidema, J.; Merkus, F.W.H.M. Bile salts and intranasal drug absorption. Int. J. Pharm. 1986, 31, 193–199. [Google Scholar] [CrossRef]
- Saettone, M.F.; Chetoni, P.; Cerbai, R.; Mazzanti, G.; Braghiroli, L. Evaluation of ocular permeation enhancers: In vitro effects on corneal transport of four β-blockers, and in vitro/in vivo toxic acticity. Int. J. Pharm. 1996, 142, 103–113. [Google Scholar] [CrossRef]
- El-Fakharany, E.M.; Abu-Serie, M.M.; Litus, E.A.; Permyakov, S.E.; Permyakov, E.A.; Uversky, V.N.; Redwan, E.M. The use of human, bovine, and camel milk albumins in anticancer complexes with oleic acid. Protein J. 2018, 37, 203–215. [Google Scholar] [CrossRef]
- Scanferlato, R.; Bortolotti, M.; Sansone, A.; Chatgilialoglu, C.; Polito, L.; Spirito, M.D.; Maulucci, G.; Bolognesi, A. FerreriC Hexadecenoic fatty acid positional isomers and de novo PUFA synthesis in colon cancer cells. Int. J. Mol. Sci. 2019, 20, 832. [Google Scholar] [CrossRef] [PubMed]
- van Breemen, R.B.; Li, Y. Caco-2 cell permeability assays to measure drug absorption. Expert. Opin. Drug Metab. Toxicol. 2005, 1, 175–185. [Google Scholar] [CrossRef]
- Hubatsch, I.; Ragnarsson, E.G.E.; Artursson, P. Determination of drug permeability and prediction of drug absorption in Caco-2 monolayers. Nat. Protoc. 2007, 2, 2111–2119. [Google Scholar] [CrossRef]
- Bentz, J.; O’connor, M.P.; Bednarczyk, D.; Coleman, J.; Lee, C.; Palm, J.; Pak, Y.A.; Perloff, E.S.; Reyner, E.; Balimane, P.; et al. Variability in P-glycoprotein inhibitory potency (IC50) using various in vitro experimental systems: Implications for universal digoxin drug-drug interaction risk assessment decision criteria. Drug Metab. Dispos. 2013, 41, 1347–1366. [Google Scholar] [CrossRef] [PubMed]
- Matsumoto, T.; Kaifuchi, N.; Mizuhara, Y.; Warabi, E.; Watanabe, J. Use of a Caco-2 permeability assay to evaluate the effects of several Kampo medicines on the drug transporter P-glycoprotein. J. Nat. Med. 2018, 72, 897–904. [Google Scholar] [CrossRef] [PubMed]
- Keemink, J.; Bergström, A.C. Caco-2 cell conditions enabling studies of drug absorption from digestible lipid-based formulations. Pharm. Res. 2018, 35, 74. [Google Scholar] [CrossRef]
- Peng, L.; He, Z.; Chen, W.; Holzman, I.R.; Lin, J. Effect of butyrate on intestinal barrier function in ac Caco-2 cell monolayer model of intestinal barrier. Pediatr. Res. 2007, 61, 37–41. [Google Scholar] [CrossRef]
- Ruemmele, F.M.; Schwartz, S.; Seidman, E.G.; Dionne, S.; Levy, E.; Lentze, M.J. Butyrate induced Caco-2 cell apoptosis is mediated via the mitochondrial pathway. Gut 2003, 52, 94–100. [Google Scholar] [CrossRef]
- Jackson, K.G.; Bateman, P.A.; Yaqoob, P.; Williams, C.M. Impact of saturated, polyunsaturated and monounsaturated fatty acid-rich micells on lipoprotein synthesis and secretion in Caco-2 cells. Lipids 2009, 44, 1081–1089. [Google Scholar] [CrossRef] [PubMed]
- Park, J.Y.; Park, K.M. Lipase and its unique selectivity: A mini-review. J. Chem. 2022, 2022, 7609019. [Google Scholar] [CrossRef]
- Bornscheuer, U.; Reif, O.W.; Lausch, R.; Freitag, R.; Scheper, T.; Kolisis, F.N.; Menge, U. Lipase of Pseudomonas cepacia for biotechnological purposes: Purification, crystallization and characterization. Biochim. Biophys. Acta 1994, 1302, 55–60. [Google Scholar] [CrossRef]
- Berger, M.; Schneider, M.P. Lipases in organic solvents: The fatty acid chain length profile. Biotechnol. Lett. 1991, 13, 641–645. [Google Scholar] [CrossRef]
- Versantvoort, C.H.M.; Oomen, A.G.; de Kamp, E.V.; Rompelberg, C.J.M.; Sips, A.J.A.M. Applicability of an in vitro digestion model in assessing the bioaccessibility of mycotoxins from food. Food Chem. Toxicol. 2005, 43, 31–40. [Google Scholar] [CrossRef]
- Chang, H.J.; Lee, J.H. Emulsification and oxidation stabilities of DAG-rich algae oil-in-water emulsions prepared with the selected emulsifiers. J. Sci. Food Agric. 2020, 100, 287–294. [Google Scholar] [CrossRef] [PubMed]
- Minekus, M.; Alminger, M.; Alvito, P.; Ballance, S.; Bohn, T.; Bourlieu, C.; Carrière, F.; Boutrou, R.; Corredig, M.; Dupont, D.; et al. A standardised static in vitro digestion method suitable for food—An international consensus. Food Funct. 2014, 5, 1113–1124. [Google Scholar] [CrossRef] [PubMed]
- Brodkorb, A.; Egger, L.; Alminger, M.; Alvito, P.; Assunção, R.; Ballance, S.; Bohn, T.; Bourlieu-Lacanal, C.; Boutrou, R.; Carrière, F.; et al. INFOGEST static in vitro simulation of gastrointestinal food digestion. Nat. Protoc. 2019, 14, 991–1014. [Google Scholar] [CrossRef]
- Trotter, J.M.; Storch, J. Fatty acid esterification during differentiation of the human intestinal cell line Caco-2 cell. J. Biol. Chem. 1993, 268, 10017–10023. [Google Scholar] [CrossRef] [PubMed]
- Johnston, J.M.; Rao, G.A. Intestinal absorption of fat. Protoplasma 1967, 63, 41–44. [Google Scholar] [CrossRef]
- Ji, Y.; Li, X.; Tso, P. Intestinal fatty acid absorption. Immun. Endoc. Metab. Agents Med. Chem. 2009, 9, 60–73. [Google Scholar] [CrossRef]
- Tsuzuki, W. Absorption properties of micellar lipid metabolites into Caco2 cells. Lipids 2007, 42, 613–619. [Google Scholar] [CrossRef]
- Lee, S.J.; Kim, H.J.; Chung, M.J. Physiological activities of Pyrus pyrifolia Nakai, malt, Ziziphus jujuba Mill., Leonurus japonicus Houtt., Scutellaria baicalensis, and their mixtures. Korean J. Food Preserv. 2023, 30, 999–1011. [Google Scholar] [CrossRef]
- Park, S.K.; Lee, J.H.; Park, S.H.; Lee, Y.G. Anti-obesity effects of Glycyrrhiza uralensis ethanol extract on the inhibition of 3T3-L1 adipocyte differentiation in high-fat diet-induced C57BL/6J mice. Korean J. Food Preserv. 2023, 30, 716–728. [Google Scholar] [CrossRef]
- Kim, K.M.; Park, S.E.; Kim, S. Effect of extract from Maclura tricuspidata twig fermented with Ganoderma lucidum mycelium on adipocyte differentiation and inflammation in 3T3-L1 cells. Korean J. Food Preserv. 2023, 30, 502–513. [Google Scholar] [CrossRef]
- Song, H.J.; Lee, S.O. Anti-inflammatory effect of beluga lentil extract in RAW 264.7 macrophages. Food Sic. Preserv. 2024, 31, 462–473. [Google Scholar] [CrossRef]



| Treatments | IC50 (1) |
|---|---|
| Sodium taurocholate | 11.04 mM |
| Bile salts | 0.22 mM |
| Pancreatin | 0.22 mg/mL |
| Oleic acid | 1.47 mM |
| Fatty Acids (Area%) | POP-Rich Lipid | Digested POP-Rich Lipid (1) | |||
|---|---|---|---|---|---|
| Total | sn-1,3 | sn-2 | FFA (2) | 2-MAG (3) | |
| C14:0 | 0.90 ± 0.00 (4) | 1.36 ± 0.00 | - (5) | 1.21 ± 0.00 | - |
| C16:0 | 46.94 ± 0.04 | 63.25 ± 0.02 | 14.32 ± 0.07 | 51.82 ± 0.38 | 16.96 ± 0.01 |
| C18:0 | 4.54 ± 0.01 | 6.14 ± 0.00 | 1.33 ± 0.03 | 5.55 ± 0.99 | 1.81 ± 0.02 |
| C18:1n-9c | 39.28 ± 0.04 | 24.98 ± 0.00 | 67.86 ± 0.12 | 34.74 ± 1.12 | 65.43 ± 0.08 |
| C18:2n-6c | 8.34 ± 0.01 | 4.27 ± 0.02 | 16.48 ± 0.02 | 6.68 ± 0.20 | 15.80 ± 0.07 |
| POP-Rich Lipid (nM/mg of Lipid) | Newly Synthesized TAG (1) (nM/mg of Lipid) | |||||
|---|---|---|---|---|---|---|
| In Vitro Gastrointestinal Digestion | Incubation Time (h) | |||||
| Before | After | 0 | 2 | 12 | 48 | |
| SaSaSa (PPP) | 42.62 ± 4.40 (2) | 13.31 ± 0.96 | - (3) | 9.08 ± 1.25 c (4) | 29.75 ± 1.89 b | 69.59 ± 1.40 a |
| SaMoSa (POP) | 676.67 ± 24.04 | 130.99 ± 1.44 | - | 7.06 ± 0.81 c | 18.27 ± 0.11 b | 47.62 ± 0.54 a |
| SaSaMo (PPO) | 94.98 ± 4.52 | 22.62 ± 0.29 | - | 11.00 ± 0.05 c | 39.56 ± 0.87 b | 90.41 ± 1.76 a |
| SaDSa (PLP) | 90.35 ± 3.14 | 28.21 ± 1.15 | - | - | 7.71 ± 0.21 | 13.71 ± 0.52 * (5) |
| SaSaD (PPL) | - | - | - | - | 7.07 ± 1.31 | 9.63 ± 0.41 * |
| SaMoMo (POO) | 239.56 ± 3.88 | 58.32 ± 0.66 | - | 9.06 ± 0.35 c | 30.82 ± 1.77 b | 61.19 ± 0.58 a |
| MoSaMo (OPO) | - | - | - | 7.47 ± 0.18 c | 18.85 ± 1.44 b | 30.61 ± 1.93 a |
| SaMoD/MoSaD/SaDMo (POL/OPL/PLO) | 101.10 ± 9.03 | 8.42 ± 0.28 | - | - | 15.03 ± 0.35 | 53.67 ± 3.89 * |
| MoMoMo (OOO) | 44.38 ± 3.78 | 6.86 ± 0.50 | - | - | 24.75 ± 4.08 | 32.66 ± 3.41 NS (6) |
| MoMoD/MoDMo (OOL/OLO) | 42.40 ± 1.49 | 11.56 ± 1.77 | - | 10.29 ± 1.47 c | 21.29 ± 3.38 b | 29.26 ± 5.93 a |
| P + S | - | 1075.19 ± 0.92 | - | - | - | - |
| O | - | 1000.79 ± 19.27 | - | - | - | - |
| Sum of TAG | 1332.06 ± 22.37 | 280.28 ± 0.94 * | - | 53.96 ± 2.48 c | 213.09 ± 6.13 b | 438.35 ± 7.22 a |
| Sum of FFA | - | 2075.98 ± 18.35 | - | - | - | - |
| FFA released (%) | 0.14 | 48.5 | ||||
| Lipid Concentration Treated to Caco-2 Cells (mg/mL) | POP-Rich Lipid | Digested POP-Rich Lipid | ||||
|---|---|---|---|---|---|---|
| Method I (1) | Method II (2) | |||||
| TEER Recovery (%) | Free Fatty Acids (3) Contained (mM) | TEER Recovery (%) | Free Fatty Acids Contained (mM) | TEER Recovery (%) | Free Fatty Acids Contained (mM) | |
| 0.85 | 109.67 ± 0.04 bcd (4) | 0.00 | 98.20 ± 1.65 a | 1.82 | 102.04 ± 1.74 a | 1.48 |
| 1.69 | 109.59 ± 0.88 bcd | 0.01 | 85.18 ± 0.65 b | 3.64 | 100.89 ± 0.45 a | 2.95 |
| 2.54 | 112.01 ± 1.02 ab | 0.01 | −9.56 ± 0.13 c | 5.46 | 35.40 ± 0.04 b | 4.43 |
| 3.38 | 114.77 ± 1.37 a | 0.02 | −14.96 ± 1.45 ef | 7.28 | −9.84 ± 0.92 c | 5.90 |
| 4.23 | 109.55 ± 0.67 bcd | 0.02 | −16.45 ± 0.64 f | 9.09 | −14.47 ± 0.16 e | 7.38 |
| 5.08 | 107.18 ± 0.34 cd | 0.03 | −12.90 ± 0.17 de | 10.91 | −11.78 ± 0.06 cd | 8.86 |
| 5.92 | 106.64 ± 0.41 d | 0.03 | −12.10 ± 0.15 cd | 12.73 | −11.78 ± 1.16 de | 10.33 |
| 6.77 | 109.84 ± 0.24 bcd | 0.03 | −15.14 ± 0.03 ef | 14.55 | −13.48 ± 0.15 de | 11.81 |
| 7.61 | 110.56 ± 2.37 bc | 0.04 | −17.27 ± 0.87 f | 16.37 | −15.33 ± 0.22 e | 13.28 |
| 8.46 | 108.60 ± 0.44 cd | 0.04 | −11.57 ± 0.17 cd | 18.19 | −13.79 ± 0.17 de | 14.76 |
| TAG (nM/mg of Lipid) | Apical Media | Basolateral Media (1) | Inside Caco-2 Cells (2) | |||||||||
|---|---|---|---|---|---|---|---|---|---|---|---|---|
| Incubation Time (h) | Incubation Time (h) | Incubation Time (h) | ||||||||||
| 0 | 2 | 12 | 48 | 0 | 2 | 12 | 48 | 0 | 2 | 12 | 48 | |
| SaSaSa (PPP) (3) | 9.78 ± 0.71 b (4) | 10.85 ± 0.52 b | 11.37 ± 1.30 b | 14.32 ± 0.28 a | - (5) | - | 1.90 ± 0.13 | 6.03 ± 0.08 | - | 9.08 ± 1.25 c | 27.85 ± 1.77 b | 63.56 ± 1.48 a |
| SaMoSa (POP) | 96.25 ± 1.06 ab | 99.49 ± 1.25 a | 98.34 ± 0.23 a | 88.62 ± 6.03 b | - | - | - | 2.93 ± 0.01 | - | 7.06 ± 0.81 c | 18.27 ± 0.11 b | 44.69 ± 0.54 a |
| SaSaMo (PPO) | 16.62 ± 0.22 ab | 16.79 ± 1.13 ab | 16.27 ± 1.12 b | 18.65 ± 0.12 a | - | - | - | 3.08 ± 0.07 | - | 11.00 ± 0.05 c | 39.56 ± 0.87 b | 87.33 ± 1.82 a |
| SaDSa (PLP) | 20.73 ± 0.84 a | 19.76 ± 1.58 ab | 19.44 ± 1.22 ab | 17.45 ± 0.03 c | - | - | - | - | - | - | 7.71 ± 0.21 | 13.71 ± 0.52 * (6) |
| SaSaD (PPL) | - | - | - | - | - | - | - | - | - | - | 7.07 ± 1.31 | 9.63 ± 0.41 * |
| SaMoMo (POO) | 42.85 ± 0.49 | 43.69 ± 1.83 NS (7) | 43.38 ± 2.89 | 41.21 ± 0.34 | - | - | - | 3.12 ± 0.04 | - | 9.06 ± 0.35 c | 30.82 ± 1.77 b | 58.07 ± 0.62 a |
| MoSaMo (OPO) | - | - | - | - | - | - | - | 3.16 ± 0.14 | - | 7.47 ± 0.18 c | 18.85 ± 1.44 b | 27.45 ± 1.79 a |
| SaMoD/MoSaD/SaDMo (POL/OPL/PLO) | 6.18 ± 0.21 c | 16.68 ± 1.58 b | 24.50 ± 4.64 a | 17.23 ± 0.13 b | - | - | - | 27.60 ± 0.28 | - | - | 15.03 ± 0.35 | 26.06 ± 3.61 * |
| MoMoMo (OOO) | 5.04 ± 0.37 b | 11.44 ± 1.79 a | 10.89 ± 0.50 a | 11.84 ± 0.08 a | - | - | - | 3.81 ± 0.06 | - | - | 24.75 ± 4.08 | 28.85 ± 3.47 NS |
| MoMoD/MoDMo (OOL/OLO) | 8.49 ± 1.30 | 16.57 ± 2.39 NS | 13.71 ± 4.46 | 14.58 ± 2.34 | - | - | - | 4.57 ± 0.03 | - | 10.29 ± 1.47 b | 21.29 ± 3.38 ab | 24.69 ± 5.89 a |
| P + S | 790.03 ± 0.67 a | 671.89 ± 7.47 b | 390.09 ± 22.54 c | - | - | - | - | - | - | - | - | - |
| O | 735.36 ± 14.16 a | 605.00 ± 11.56 b | 369.80 ± 11.59 c | - | - | - | - | - | - | - | - | - |
| Total | 1731.34 ± 14.17 a | 1512.17 ± 5.87 b | 997.78 ± 17.76 c | 223.89 ± 4.45 d | - | - | 1.90 ± 0.13 | 54.31 ± 0.61 * | - | 53.96 ± 2.48 c | 211.19 ± 6.01 b | 384.05 ± 6.62 a |
| Sum of TAG | 205.95 ± 0.69 b | 235.28 ± 1.78 a | 237.89 ± 16.36 a | 223.89 ± 4.45 ab | - | - | 1.90 ± 0.13 | 54.31 ± 0.61 * | 53.96 ± 2.48 c | 211.19 ± 6.01 b | 384.05 ± 6.62 a | |
| Sum of FFA | 1525.40 ± 13.49 a | 1276.89 ± 4.08 b | 759.89 ± 34.13 c | - | - | - | - | - | - | - | - | - |
| Recovery of TEER (%) | 100.00 ± 0.00 NS | 101.38 ± 0.02 | 101.66 ± 0.02 | 101.94 ± 0.02 | - | - | - | - | - | - | - | - |
| Saliva Juice | Gastric Juice | Duodenal Juice | Bile Juice | |
|---|---|---|---|---|
| Inorganic solution | 1 mL KCl (89.6 g/L) | 1.57 mL NaCl (175.3 g/L) | 4 mL NaCl (175.3 g/L) | 3 mL NaCl (175.3 g/L) |
| 1 mL KSCN (20 g/L) | 0.3 mL NaH2PO4 (88.8 g/L) | 4 mL NaHCO3 (84.7 g/L) | 6.83 mL NaHCO3 (84.7 g/L) | |
| 1 mL NaH2PO4 (88.8 g/L) | 0.92 mL KCl (89.6 g/L) | 1 mL KH2PO4 (8 g/L) | 0.42 mL KCl (89.6 g/L) | |
| 0.17 mL NaCl (175.3 g/L) | 1.8 mL CaCl2·2H2O (22.2 g/L) | 0.63 mL KCl (89.6 g/L) | 1 mL CaCl2·2H2O (22.2 g/L) | |
| 2 mL NaHCO3 (84.7 g/L) | 1 mL NH4Cl (30.6 g/L) | 1 mL MgCl2 (5 g/L) | 15 μL HCl (440.3 g/L) | |
| 0.65 mL HCl (440.3 g/L) | 0.9 mL CaCl2·2H2O (22.2 g/L) | |||
| 18 μL HCl (440.3 g/L) | ||||
| Organic solution | 1 mL Glucose (65 g/L) | |||
| 0.8 mL Urea (25 g/L) | 1 mL Glucuronic acid (2 g/L) | 0.4 mL Urea (25 g/L) | 1 mL Urea (25 g/L) | |
| 0.34 mL Urea (25 g/L) | ||||
| 1 mL Glucosamine (33 g/L) | ||||
| Supplementation to the solution | α-amylase 29 mg | BSA 0.1 g | BSA 0.1 g | BSA 0.18 g |
| Uric acid 1.5 mg | Pepsin 0.25 g | Pancreatin 0.9 g (I) (2) or 0.68 g (II) (3) | Bile salt 3 g (I) or 2.3g (II) | |
| Mucin 2.5 mg | Mucin 0.3 g | Lipase 0.15 g | ||
| pH | 6.8 ± 0.2 (4) | 1.3 ± 0.02 | 8.1 ± 0.2 | 8.2 ± 0.2 |
Disclaimer/Publisher’s Note: The statements, opinions and data contained in all publications are solely those of the individual author(s) and contributor(s) and not of MDPI and/or the editor(s). MDPI and/or the editor(s) disclaim responsibility for any injury to people or property resulting from any ideas, methods, instructions or products referred to in the content. |
© 2024 by the authors. Licensee MDPI, Basel, Switzerland. This article is an open access article distributed under the terms and conditions of the Creative Commons Attribution (CC BY) license (https://creativecommons.org/licenses/by/4.0/).
Share and Cite
Chang, H.-J.; Lee, A.-Y.; Lee, J.-H. Assessment of Digestion and Absorption Properties of 1,3-Dipalmitoyl-2-Oleoyl Glycerol-Rich Lipids Using an In Vitro Gastrointestinal Digestion and Caco-2 Cell-Mediated Coupled Model. Molecules 2024, 29, 5442. https://doi.org/10.3390/molecules29225442
Chang H-J, Lee A-Y, Lee J-H. Assessment of Digestion and Absorption Properties of 1,3-Dipalmitoyl-2-Oleoyl Glycerol-Rich Lipids Using an In Vitro Gastrointestinal Digestion and Caco-2 Cell-Mediated Coupled Model. Molecules. 2024; 29(22):5442. https://doi.org/10.3390/molecules29225442
Chicago/Turabian StyleChang, Hyeon-Jun, A-Young Lee, and Jeung-Hee Lee. 2024. "Assessment of Digestion and Absorption Properties of 1,3-Dipalmitoyl-2-Oleoyl Glycerol-Rich Lipids Using an In Vitro Gastrointestinal Digestion and Caco-2 Cell-Mediated Coupled Model" Molecules 29, no. 22: 5442. https://doi.org/10.3390/molecules29225442
APA StyleChang, H.-J., Lee, A.-Y., & Lee, J.-H. (2024). Assessment of Digestion and Absorption Properties of 1,3-Dipalmitoyl-2-Oleoyl Glycerol-Rich Lipids Using an In Vitro Gastrointestinal Digestion and Caco-2 Cell-Mediated Coupled Model. Molecules, 29(22), 5442. https://doi.org/10.3390/molecules29225442

