Longitudinal and Transverse 1H Nuclear Magnetic Resonance Relaxivities of Lanthanide Ions in Aqueous Solution up to 1.4 GHz/33 T
Abstract
1. Introduction
2. Results and Discussion
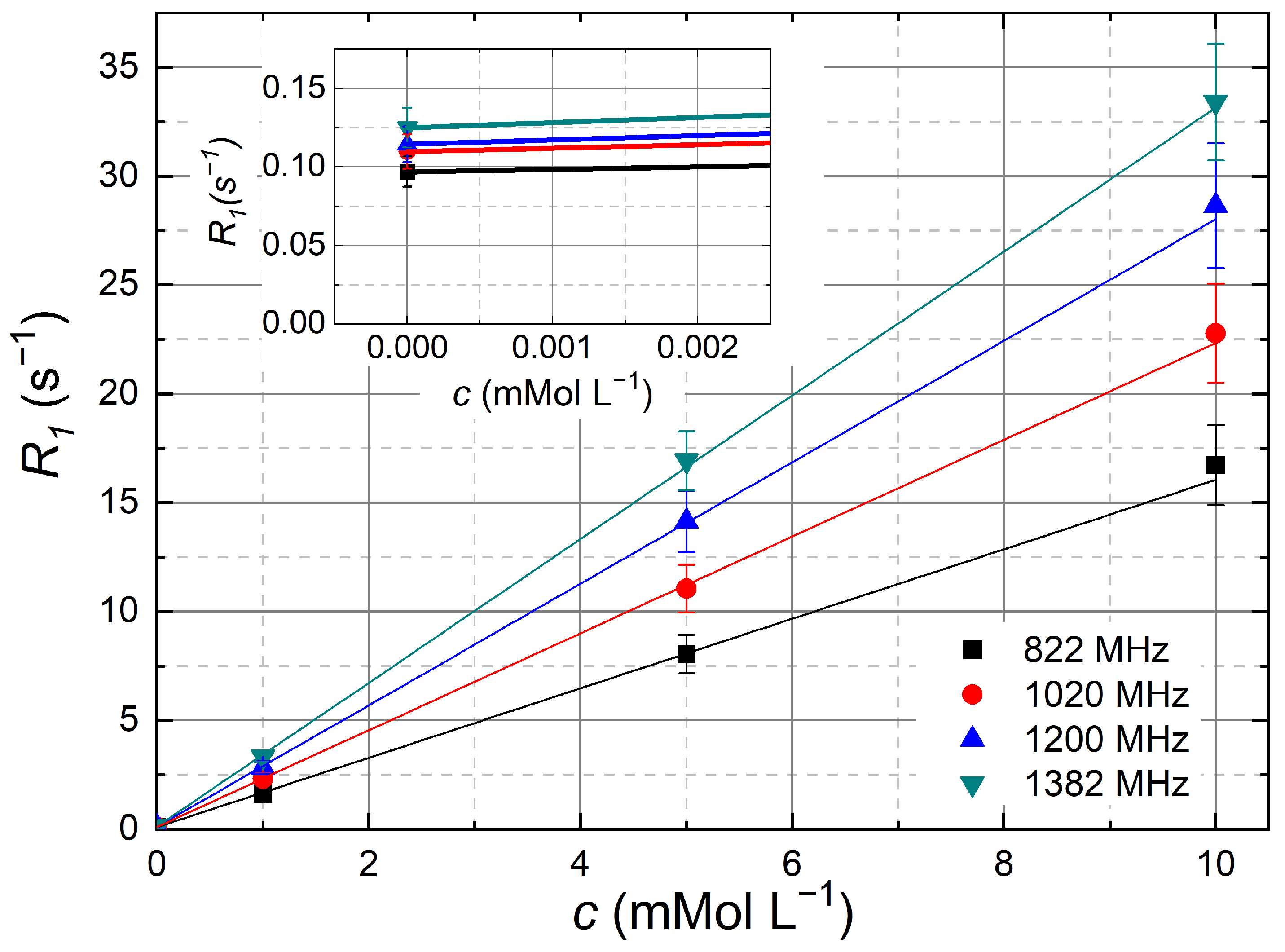
2.1. Comparative PRE Studies in Superconducting and Resistive Magnets Above 800 MHz
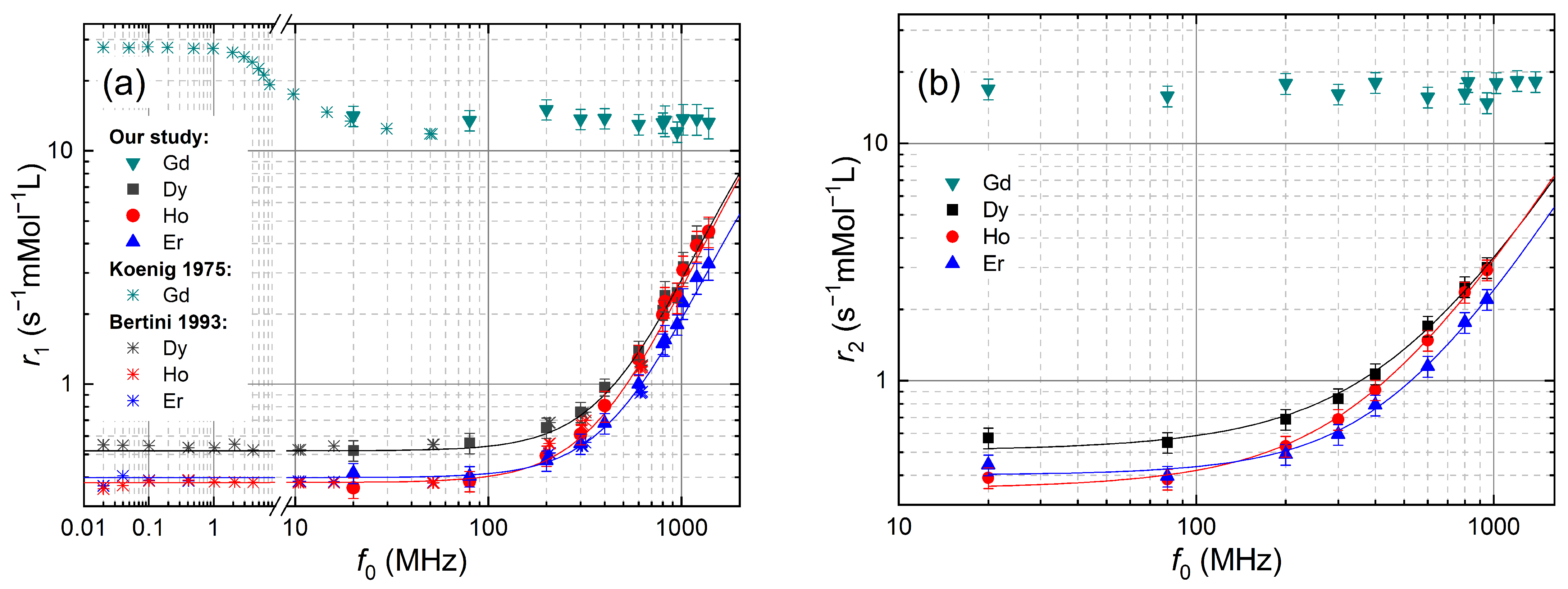
2.2. Interpretation and Modeling of NMRD in Aqueous Solutions of Ln3+ Ions up to 1.4 GHz
2.3. The Case of Gd3+
2.4. The Case of Dy3+, Ho3+ and Er3+
3. Materials and Methods
3.1. PRE Studies in Resistive Magnets
3.1.1. NMR Relaxivity Experiments in Inhomogeneous Static Magnetic Fields
3.1.2. NMR Relaxivity Experiments in Time-Varying Fields
3.2. Preparation of L-Volume Aqueous Solutions of Ln3+ Ions
- The capillary tube is fixed in the sample support. The grease piston is filled with a 4 mm grease plug.
- The first grease plug is inserted into one end of the tube.
- A micropipette is used to insert the 1 L sample volume into the tube from the other end. The position is 2 mm off-center to account for the movement of the sample due to the air pressure when sealing the tube.
- The tube is rotated by 180° and reattached to the support.
- Two millimeters of grease are used to fill the piston and is inserted into the other end of the tube.
- The air pressure perfectly centers the sample inside the tube. The exceeding amount of grease from the first plug can be removed.
3.3. NMR Instruments and Pulse Sequences
- Permanent magnets operating at 20 and 80 MHz at the Karlsruhe Institute of Technology (KIT), Germany.
- Commercial Bruker SC magnets located at different facilities:
- (a)
- Instruments with 200, 300, and 400 MHz at KIT.
- (b)
- Instruments with 600 and 950 MHz at the Institut de Biologie Structurale (IBS) in Grenoble, France.
- (c)
- An 800 MHz magnet at the Bruker BioSpin facility in Ettlingen, Germany.
- A resistive magnet at the Laboratoire National des Champs Magnétiques Intenses (LNCMI) in Grenoble, France, for experiments above 822 MHz.
3.3.1. Bruker NMR Spectrometers up to 950 MHz
3.3.2. NMR Instruments Above 820 MHz at the LNCMI Resistive Magnet
3.4. Extraction of Relaxivities and
4. Conclusions
Author Contributions
Funding
Data Availability Statement
Acknowledgments
Conflicts of Interest
Appendix A. Parameters of NMR Spectrometers
| Facility | KIT | IBS | BRUKER | IBS | LNCMI | ||||
|---|---|---|---|---|---|---|---|---|---|
| Frequency [MHz] | 20 | 80 | 200 | 300 | 400 | 600 | 800 | 950 | 822–1382 |
| Magnetic field [T] | 0.47 | 1.9 | 4.7 | 7.0 | 9.4 | 14.1 | 18.8 | 22.3 | 19.3–32.5 |
| Type of Magnet | Permanent | Superconducting | Resistive | ||||||
| Spectrometer type | Bruker | Bruker | Bruker | Home-made | |||||
| the minispec | Fourier | AVANCE | |||||||
| Sample tube OD [mm] | 5 | 1.7 | 1.2 | ||||||
| Spectrometer | Bruker | Bruker | LabVIEW | ||||||
| software | the minispec | TOPSPIN 3+4 | 2013 | ||||||
| Processing software | Origin 2023 (V. 10.0) | Bruker Dynamic Center Center (V.2.2) | Python (V.3.13.0) | Bruker Dynamic Center (V.2.2) | Python (V.3.13.0) | Matlab R2019b | |||
| parameters | |||||||||
| sequence | PSR | IR | PSR | ||||||
| No. of scans | 4 | 1 | |||||||
| Exp. dimension | 2D | ||||||||
| No. of recovery delays | 16 | 20–30 | |||||||
| parameters | |||||||||
| sequence | CPMG: | ||||||||
| No. of scans | 4 | 8 | 1 | ||||||
| Exp. dimension | 1D | 2D | 1D | ||||||
| No. of echos | = 100 | list with 16 or 32 elements, = 500 | > 500 | ||||||
Appendix B. Parameters of the CPMG Experiments
| [MHz] | [kHz] | [s] | [s] | [s] | [kHz] | ||
|---|---|---|---|---|---|---|---|
| 20 | 31 | 8 | 16 | variable | n/a | n/a | n/a |
| 80 | 22 | 11.3 | 22.6 | variable | n/a | n/a | n/a |
| 200 | 58 | 4.3 | 8.6 | variable | n/a | n/a | n/a |
| 300 | 18 | 14 | 28 | variable | n/a | n/a | n/a |
| 400 | 25 | 10 | 20 | variable | n/a | n/a | n/a |
| 600 | 28 | 9 | 18 | variable | n/a | n/a | n/a |
| 800 | 40 | 6.3 | 12.6 | variable | n/a | n/a | n/a |
| 950 | 28 | 9 | 18 | variable | n/a | n/a | n/a |
| 822 | 109 | 2.3 | 4.6 | 66 | 60 | 0.5 | 3.96 |
| 1020 | 100 | 2.5 | 5 | 66 | 60 | 0.6 | 3.96 |
| 1200 | 104 | 2.4 | 4.8 | 66 | 60 | 0.6 | 3.96 |
| 1382 | 69 | 3.6 | 7.2 | 66 | 60 | 0.9 | 3.96 |
Appendix C. Properties of Lanthanide Ions
| Compounds | Ln3+ | Gd3+ | Dy3+ | Ho3+ | Er3+ | Ref. |
|---|---|---|---|---|---|---|
| Magnetic Properties | S | 7/2 | 5/2 | 2 | 3/2 | |
| L | 0 | 5 | 6 | 6 | ||
| J | 7/2 | 15/2 | 8 | 15/2 | ||
| g | 7/2 | 4/3 | 5/4 | 6/5 | ||
| [] | 13.9 | 10.6 | 10.6 | 9.6 | ||
| Anisotropy | none | oblate | oblate | prolate | [43] | |
| Coordination no. | q | 9 | 8 | 8 | 8 | [19] |
| Exchange time | [ s] | 0.9 | 2.6 | 5.2 | 8.5 | [32] |
| Inner-sphere | [ m] | ≈3.1 | ≈3.1 | ≈3.1 | ≈3.1 | [18,19] |
| radius | ||||||
| Outer-sphere | [ m] | ≈4.2 | ≈4.2 | ≈4.2 | ≈4.2 | [14] |
| radius |
Appendix D. PRE Formulas for the Modeling of the NMRD Profiles
Appendix E. Experimental Relaxivity Data
| (Gd) | (Dy) | (Ho) | (Er) | |
|---|---|---|---|---|
| [MHz] | [mMol−1L] | |||
| 20 | 14.1 ± 0.4 | 0.520 ± 0.01 | 0.360 ± 0.009 | 0.416 ± 0.01 |
| 80 | 13.5 ± 0.3 | 0.560 ± 0.01 | 0.384 ± 0.010 | 0.403 ± 0.01 |
| 200 | 15.1 ± 0.4 | 0.652 ± 0.02 | 0.494 ± 0.01 | 0.470 ± 0.01 |
| 300 | 13.7 ± 0.3 | 0.760 ± 0.02 | 0.610 ± 0.02 | 0.556 ± 0.01 |
| 400 | 13.8 ± 0.7 | 0.973 ± 0.05 | 0.816 ± 0.04 | 0.685 ± 0.03 |
| 600 | 13.0 ± 0.3 | 1.40 ± 0.04 | 1.28 ± 0.03 | 0.999 ± 0.02 |
| 800 | 13.2 ± 0.3 | 2.08 ± 0.05 | 1.98 ± 0.05 | 1.50 ± 0.04 |
| 950 | 12.1 ± 0.3 | 2.48 ± 0.06 | 2.37 ± 0.06 | 1.80 ± 0.04 |
| 822 | 13.5 ± 0.7 | 2.40 ± 0.1 | 2.26 ± 0.1 | 1.55 ± 0.08 |
| 1020 | 13.7 ± 0.7 | 3.19 ± 0.2 | 3.08 ± 0.2 | 2.23 ± 0.1 |
| 1200 | 13.7 ± 0.7 | 4.14 ± 0.2 | 3.93 ± 0.2 | 2.86 ± 0.1 |
| 1382 | 13.3 ± 0.7 | 4.44 ± 0.2 | 4.52 ± 0.2 | 3.28 ± 0.2 |
| (Gd) | (Dy) | (Ho) | (Er) | |
|---|---|---|---|---|
| [MHz] | [mMol−1L] | |||
| 20 | 17.0 ± 0.8 | 0.574 ± 0.03 | 0.390 ± 0.02 | 0.442 ± 0.02 |
| 80 | 15.8 ± 0.8 | 0.550 ± 0.03 | 0.385 ± 0.02 | 0.396 ± 0.02 |
| 200 | 17.9 ± 0.9 | 0.688 ± 0.03 | 0.530 ± 0.03 | 0.490 ± 0.02 |
| 300 | 16.1 ± 0.8 | 0.840 ± 0.04 | 0.687 ± 0.03 | 0.594 ± 0.03 |
| 400 | 18.1 ± 0.9 | 1.07 ± 0.05 | 0.915 ± 0.05 | 0.789 ± 0.04 |
| 600 | 15.7 ± 0.8 | 1.70 ± 0.08 | 1.48 ± 0.07 | 1.15 ± 0.06 |
| 800 | 16.3 ± 0.8 | 2.49 ± 0.1 | 2.37 ± 0.1 | 1.76 ± 0.09 |
| 950 | 14.8 ± 0.7 | 3.01 ± 0.2 | 2.94 ± 0.1 | 2.21 ± 0.1 |
| 822 | 18.2 ± 1 | 6.11 ± 1 | 3.86 ± 0.3 | 3.56 ± 0.5 |
| 1020 | 18.0 ± 1 | 4.71 ± 0.3 | 4.46 ± 0.5 | 3.76 ± 0.8 |
| 1200 | 18.4 ± 1 | 6.11 ± 1 | 5.79 ± 0.5 | 3.95 ± 0.4 |
| 1382 | 18.2 ± 1 | 6.81 ± 0.8 | 7.15 ± 0.6 | 4.92 ± 0.6 |
References
- Bloembergen, N.; Purcell, E.M.; Pound, R.V. Relaxation Effects in Nuclear Magnetic Resonance Absorption. Phys. Rev. 1948, 73, 679–712. [Google Scholar] [CrossRef]
- Gueron, M. Nuclear relaxation in macromolecules by paramagnetic ions: A novel mechanism. J. Magn. Reson. 1975, 19, 58–66. [Google Scholar] [CrossRef]
- Gillis, P.; Roch, A.; Brooks, R.A. Corrected Equations for Susceptibility-InducedT2-Shortening. J. Magn. Reson. 1999, 137, 402–407. [Google Scholar] [CrossRef]
- Solomon, I. Relaxation Processes in a System of Two Spins. Phys. Rev. 1955, 99, 559–565. [Google Scholar] [CrossRef]
- Bloembergen, N. Proton Relaxation Times in Paramagnetic Solutions. J. Chem. Phys. 1957, 27, 572–573. [Google Scholar] [CrossRef]
- Bloembergen, N.; Morgan, L.O. Proton Relaxation Times in Paramagnetic Solutions. Effects of Electron Spin Relaxation. J. Chem. Phys. 1961, 34, 842–850. [Google Scholar] [CrossRef]
- Hwang, L.P.; Freed, J.H. Dynamic effects of pair correlation functions on spin relaxation by translational diffusion in liquids. J. Chem. Phys. 1975, 63, 4017–4025. [Google Scholar] [CrossRef]
- Torrey, H.C. Nuclear Spin Relaxation by Translational Diffusion. Phys. Rev. 1953, 92, 962–969. [Google Scholar] [CrossRef]
- Peters, J.; Huskens, J.; Raber, D. Lanthanide induced shifts and relaxation rate enhancements. Prog. Nucl. Magn. Reson. Spectrosc. 1996, 28, 283–350. [Google Scholar] [CrossRef]
- Helm, L. Relaxivity in paramagnetic systems: Theory and mechanisms. Prog. Nucl. Magn. Reson. Spectrosc. 2006, 49, 45–64. [Google Scholar] [CrossRef]
- Bertini, I.; Luchinat, C.; Parigi, G.; Ravera, E. NMR of Paramagnetic Molecules; Elsevier Science: Amsterdam, The Netherlands, 2017. [Google Scholar]
- Bernheim, R.A.; Brown, T.H.; Gutowsky, H.S.; Woessner, D.E. Temperature Dependence of Proton Relaxation Times in Aqueous Solutions of Paramagnetic Ions. J. Chem. Phys. 1959, 30, 950–956. [Google Scholar] [CrossRef]
- Morgan, L.O.; Nolle, A.W. Proton Spin Relaxation in Aqueous Solutions of Paramagnetic Ions. II. Cr+++, Mn++, Ni++, Cu++, and Gd+++. J. Chem. Phys. 1959, 31, 365–368. [Google Scholar] [CrossRef]
- Koenig, S.H.; Epstein, M. Ambiguities in the interpretation of proton magnetic relaxation data in water solutions of Gd3+ ions. J. Chem. Phys. 1975, 63, 2279–2284. [Google Scholar] [CrossRef]
- Alsaadi, B.M.; Rossotti, F.J.C.; Williams, R.J.P. Electron relaxation rates of lanthanide aquo-cations. J. Chem. Soc. Dalton Trans. 1980, 2147. [Google Scholar] [CrossRef]
- Banci, L.; Bertini, I.; Luchinat, C. 1H NMRD studies of solutions of paramagnetic metal ions in ethyleneglycol. Inorganica Chim. Acta 1985, 100, 173–181. [Google Scholar] [CrossRef]
- Borel, A.; Yerly, F.; Helm, L.; Merbach, A.E. Multiexponential Electronic Spin Relaxation and Redfield’s Limit in Gd(III) Complexes in Solution: Consequences for 17O/1H NMR and EPR Simultaneous Analysis. J. Am. Chem. Soc. 2002, 124, 2042–2048. [Google Scholar] [CrossRef]
- Singer, P.M.; Parambathu, A.V.; dos Santos, T.J.P.; Liu, Y.; Alemany, L.B.; Hirasaki, G.J.; Chapman, W.G.; Asthagiri, D. Predicting 1H NMR relaxation in Gd3+-aqua using molecular dynamics simulations. Phys. Chem. Chem. Phys. 2021, 23, 20974–20984. [Google Scholar] [CrossRef]
- Bertini, I.; Capozzi, F.; Luchinat, C.; Nicastro, G.; Xia, Z. Water proton relaxation for some lanthanide aqua ions in solution. J. Phys. Chem. 1993, 97, 6351–6354. [Google Scholar] [CrossRef]
- Vander Elst, L.; Roch, A.; Gillis, P.; Laurent, S.; Botteman, F.; Bulte, J.W.; Muller, R.N. Dy-DTPA derivatives as relaxation agents for very high field MRI: The beneficial effect of slow water exchange on the transverse relaxivities. Magn. Reson. Med. 2002, 47, 1121–1130. [Google Scholar] [CrossRef]
- Wikus, P.; Frantz, W.; Kümmerle, R.; Vonlanthen, P. Commercial Gigahertz-class NMR magnets. Supercond. Sci. Technol. 2022, 35, 033001. [Google Scholar] [CrossRef]
- Debray, F.; Dumas, J.; Trophime, C.; Vidal, N. DC High Field Magnets at the LNCMI. IEEE Trans. Appl. Supercond. 2012, 22, 4301804. [Google Scholar] [CrossRef]
- Machado, J.R.; Baniodeh, A.; Powell, A.K.; Luy, B.; Krämer, S.; Guthausen, G. Nuclear Magnetic Resonance Relaxivities: Investigations of Ultrahigh-Spin Lanthanide Clusters from 10 MHz to 1.4 GHz. ChemPhysChem 2014, 15, 3608–3613. [Google Scholar] [CrossRef] [PubMed]
- Ibrahim, M.; Krämer, S.; Schork, N.; Guthausen, G. Polyoxometalate-based high-spin cluster systems: A NMR relaxivity study up to 1.4 GHz/33 T. Dalton Trans. 2019, 48, 15597–15604. [Google Scholar] [CrossRef]
- Venu, A.C.; Din, R.N.; Rudszuck, T.; Picchetti, P.; Chakraborty, P.; Powell, A.K.; Krämer, S.; Guthausen, G.; Ibrahim, M. NMR Relaxivities of Paramagnetic Lanthanide-Containing Polyoxometalates. Molecules 2021, 26, 7481. [Google Scholar] [CrossRef] [PubMed]
- Sigmund, E.; Calder, E.; Thomas, G.; Mitrović, V.; Bachman, H.; Halperin, W.; Kuhns, P.; Reyes, A. NMR Phase Noise in Bitter Magnets. J. Magn. Reson. 2001, 148, 309–313. [Google Scholar] [CrossRef]
- van Bentum, P.; Maan, J.; van Os, J.; Kentgens, A. Strategies for solid-state NMR in high-field Bitter and hybrid magnets. Chem. Phys. Lett. 2003, 376, 338–345. [Google Scholar] [CrossRef]
- Powell, D.H.; Dhubhghaill, O.M.N.; Pubanz, D.; Helm, L.; Lebedev, Y.S.; Schlaepfer, W.; Merbach, A.E. Structural and Dynamic Parameters Obtained from 17O NMR, EPR, and NMRD Studies of Monomeric and Dimeric Gd3+ Complexes of Interest in Magnetic Resonance Imaging: An Integrated and Theoretically Self-Consistent Approach. J. Am. Chem. Soc. 1996, 118, 9333–9346. [Google Scholar] [CrossRef]
- Carr, H.Y.; Purcell, E.M. Effects of Diffusion on Free Precession in Nuclear Magnetic Resonance Experiments. Phys. Rev. 1954, 94, 630–638. [Google Scholar] [CrossRef]
- Meiboom, S.; Gill, D. Modified Spin-Echo Method for Measuring Nuclear Relaxation Times. Rev. Sci. Instrum. 1958, 29, 688–691. [Google Scholar] [CrossRef]
- Ross, A.; Czisch, M.; King, G. Systematic Errors Associated with the CPMG Pulse Sequence and Their Effect on Motional Analysis of Biomolecules. J. Magn. Reson. 1997, 124, 355–365. [Google Scholar] [CrossRef]
- Cossy, C.; Helm, L.; Merbach, A.E. Oxygen-17 nuclear magnetic resonance kinetic study of water exchange on the lanthanide(III) aqua ions. Inorg. Chem. 1988, 27, 1973–1979. [Google Scholar] [CrossRef]
- Luchinat, C.; Parigi, G.; Ravera, E. Can metal ion complexes be used as polarizing agents for solution DNP? A theoretical discussion. J. Biomol. NMR 2013, 58, 239–249. [Google Scholar] [CrossRef] [PubMed]
- Vigouroux, C.; Bardet, M.; Belorizky, E.; Fries, P.; Guillermo, A. Nuclear and electronic relaxation in lanthanide solutions: (CH3)4N+/Gd3+ repulsive ion pair in D2O. Chem. Phys. Lett. 1998, 286, 93–100. [Google Scholar] [CrossRef]
- Fries, P.H.; Ferrante, G.; Belorizky, E.; Rast, S. The rotational motion and electronic relaxation of the Gd(III) aqua complex in water revisited through a full proton relaxivity study of a probe solute. J. Chem. Phys. 2003, 119, 8636–8644. [Google Scholar] [CrossRef]
- Schork, N.; Ibrahim, M.; Baksi, A.; Krämer, S.; Powell, A.K.; Guthausen, G. NMR Relaxivities of Paramagnetic, Ultra-High Spin Heterometallic Clusters within Polyoxometalate Matrix as a Function of Solvent and Metal Ion. ChemPhysChem 2022, 23, e202200215. [Google Scholar] [CrossRef]
- Freeman, R.; Hill, H.D.W. Fourier Transform Study of NMR Spin–Lattice Relaxation by “Progressive Saturation”. J. Chem. Phys. 1971, 54, 3367–3377. [Google Scholar] [CrossRef]
- Mitrović, V.F.; Sigmund, E.E.; Halperin, W.P. Progressive saturation NMR relaxation. Phys. Rev. B 2001, 64, 024520. [Google Scholar] [CrossRef]
- Nasser Din, R. Nuclear Magnetic Resonance Studies of Paramagnetic Relaxation Enhancement at High Magnetic Fields: Methods and Applications. Ph.D. Thesis, Université Grenoble Alpes, Grenoble, France, 2023. Available online: https://theses.hal.science/tel-04578182v1 (accessed on 25 July 2024).
- Anderson, W.A. Electrical Current Shims for Correcting Magnetic Fields. Rev. Sci. Instrum. 1961, 32, 241–250. [Google Scholar] [CrossRef]
- Paillot, K.; Debray, F.; Grandclement, C.; Kramer, S.; Trophime, C.; Vincent, B. Energy Efficiency of Resistive High Field Magnets: Aspects of Magnet Technology, Power Supply Operation and Field Quality. IEEE Trans. Appl. Supercond. 2022, 32, 4300804. [Google Scholar] [CrossRef]
- Sørensen, O.; Eich, G.; Levitt, M.; Bodenhausen, G.; Ernst, R. Product operator formalism for the description of NMR pulse experiments. Prog. Nucl. Magn. Reson. Spectrosc. 1984, 16, 163–192. [Google Scholar] [CrossRef]
- Pintacuda, G.; John, M.; Su, X.C.; Otting, G. NMR Structure Determination of Protein-Ligand Complexes by Lanthanide Labeling. Accounts Chem. Res. 2007, 40, 206–212. [Google Scholar] [CrossRef] [PubMed]
- Peters, J.A.; Nieuwenhuizen, M.S.; Raber, D.J. Analysis of multinuclear lanthanide-induced shifts. 1. Investigations of some approximations in the procedure for separation of diamagnetic, contact, and pseudocontact shifts. J. Magn. Reson. (1969) 1985, 65, 417–428. [Google Scholar] [CrossRef]









| Ln3+ | [ps] | [ps] | [ns] | q | [Å] | [Å] |
|---|---|---|---|---|---|---|
| Dy3+ | 0.3 [0.39] | 50 [63] | 2.6 | 8 | 3.1 | 4.2 |
| Ho3+ | 0.21 [0.27] | 45 [65] | 5.2 | 8 | 3.1 | 4.2 |
| Er3+ | 0.28 [0.31] | 54 [61] | 8.5 | 8 | 3.1 | 4.2 |
Disclaimer/Publisher’s Note: The statements, opinions and data contained in all publications are solely those of the individual author(s) and contributor(s) and not of MDPI and/or the editor(s). MDPI and/or the editor(s) disclaim responsibility for any injury to people or property resulting from any ideas, methods, instructions or products referred to in the content. |
© 2024 by the authors. Licensee MDPI, Basel, Switzerland. This article is an open access article distributed under the terms and conditions of the Creative Commons Attribution (CC BY) license (https://creativecommons.org/licenses/by/4.0/).
Share and Cite
Nasser Din, R.; Venu, A.C.; Rudszuck, T.; Vallet, A.; Favier, A.; Powell, A.K.; Guthausen, G.; Ibrahim, M.; Krämer, S. Longitudinal and Transverse 1H Nuclear Magnetic Resonance Relaxivities of Lanthanide Ions in Aqueous Solution up to 1.4 GHz/33 T. Molecules 2024, 29, 4956. https://doi.org/10.3390/molecules29204956
Nasser Din R, Venu AC, Rudszuck T, Vallet A, Favier A, Powell AK, Guthausen G, Ibrahim M, Krämer S. Longitudinal and Transverse 1H Nuclear Magnetic Resonance Relaxivities of Lanthanide Ions in Aqueous Solution up to 1.4 GHz/33 T. Molecules. 2024; 29(20):4956. https://doi.org/10.3390/molecules29204956
Chicago/Turabian StyleNasser Din, Rami, Aiswarya Chalikunnath Venu, Thomas Rudszuck, Alicia Vallet, Adrien Favier, Annie K. Powell, Gisela Guthausen, Masooma Ibrahim, and Steffen Krämer. 2024. "Longitudinal and Transverse 1H Nuclear Magnetic Resonance Relaxivities of Lanthanide Ions in Aqueous Solution up to 1.4 GHz/33 T" Molecules 29, no. 20: 4956. https://doi.org/10.3390/molecules29204956
APA StyleNasser Din, R., Venu, A. C., Rudszuck, T., Vallet, A., Favier, A., Powell, A. K., Guthausen, G., Ibrahim, M., & Krämer, S. (2024). Longitudinal and Transverse 1H Nuclear Magnetic Resonance Relaxivities of Lanthanide Ions in Aqueous Solution up to 1.4 GHz/33 T. Molecules, 29(20), 4956. https://doi.org/10.3390/molecules29204956

