Crosslinked Biodegradable Hybrid Hydrogels Based on Poly(ethylene glycol) and Gelatin for Drug Controlled Release
Abstract
1. Introduction
2. Materials and Methods
2.1. Chemicals
2.2. Experimental
2.2.1. Synthesis of 4-arm-PEG–SG
- (a)
- 4-arm-PEG–OH (20.0 g), GA (2.75 g), and TEA (3.5 mL) were dissolved in 150 mL of toluene and refluxed for 24 h. After cooling the mixture to room temperature, the toluene was removed under reduced pressure. Deionized water (~100 mL) was added, and the solution was filtered. The filtrate was extracted with CH2Cl2 (40 × 30 × 30 mL), and the organic layers were dried by anhydrous Na2SO4. After the dried solution was concentrated to ~30 mL, cold diethyl ether (~200 mL, 0 °C) was poured into the solution under vigorous stirring. The resulting mixture was filtered to yield a pale-yellow crude product, which was further precipitated twice using the same method and vacuum-dried at room temperature to obtain 4-arm-PEG–glutarate acid (4-arm-PEG–GA) as a white powder. The yield was 78.3%.
- (b)
- 4-arm-PEG–GA (15.0 g) and NHS (2.7 g) were dissolved in CH2Cl2 (200 mL) to obtain a homogenous solution. CH2Cl2 solution of EDC (35 mL, 0.06 g/mL) was then added dropwise into the solution under stirring. The reaction was performed at room temperature for 24 h. Subsequently, the mixture was filtered, and the filtrate was concentrated to ~30 mL. The cold diethyl ether (~250 mL, 0 °C) was added to the system under vigorous stirring to produce the crude product, which then underwent precipitation twice using the same method. After vacuum drying at room temperature, 4-arm-PEG–SG, as a white powder, was obtained. The yield was determined to be 85.9%.
2.2.2. Preparation of Gelatin–PEG Crosslinked Hydrogels
2.3. Testing and Characterization
3. Results and Discussion
3.1. Synthesis of 4-arm-PEG–SG
3.2. Synthesis of Gelatin–PEG Hydrogels
3.3. Microscopic Morphology
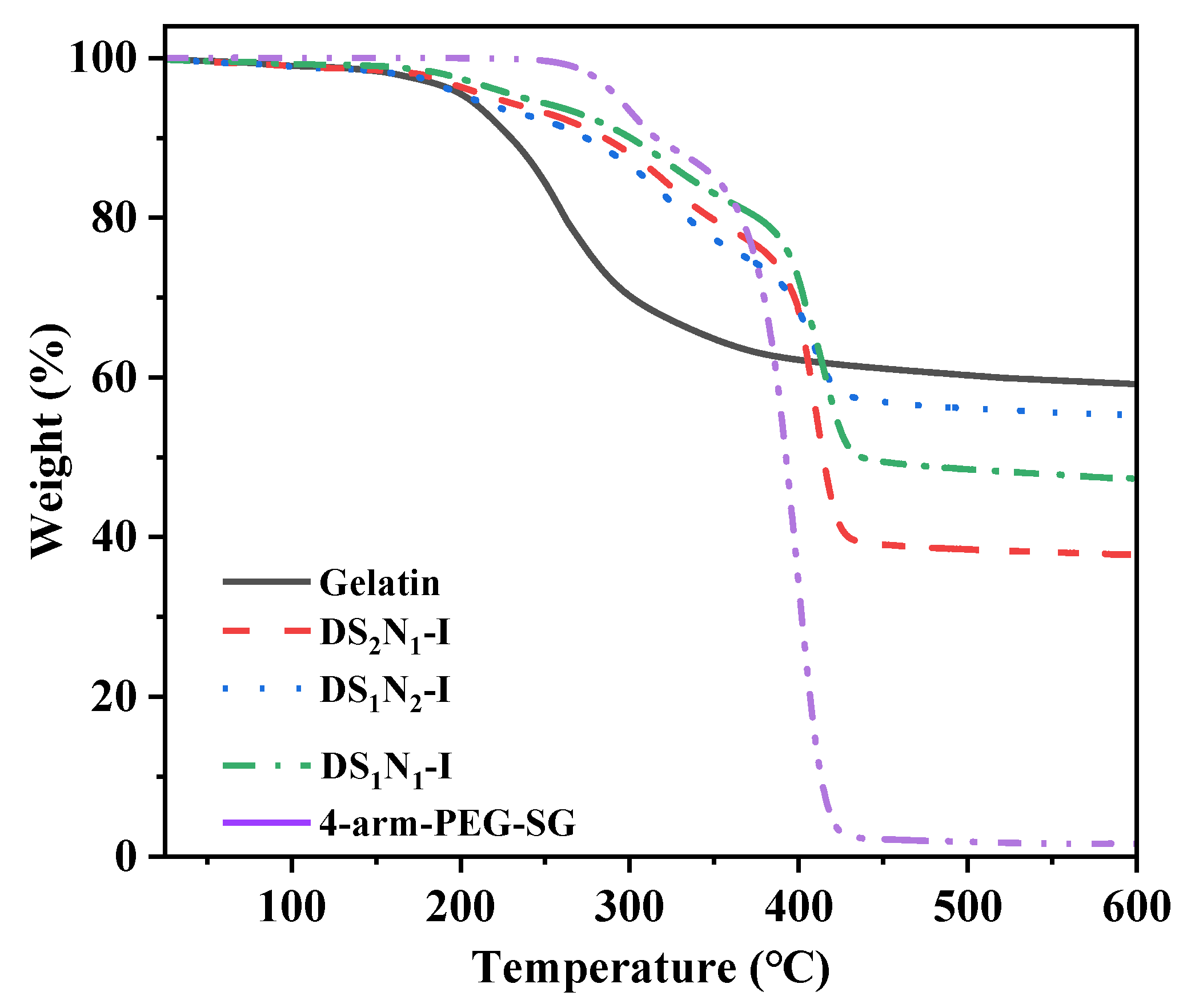
3.4. Thermogravimetric Analysis (TGA)
3.5. Differential Scanning Calorimetry (DSC) Analysis
3.6. Swelling Performance
3.7. Compression Performance
3.8. In Vitro Degradation Performance
3.9. Drug Release Performance
3.10. Cytocompatibility and Cell Viability
4. Conclusions
Supplementary Materials
Author Contributions
Funding
Institutional Review Board Statement
Informed Consent Statement
Data Availability Statement
Conflicts of Interest
References
- Hu, X.H.; Zhang, C.Y.; Xiong, Y.S.; Ma, S.M.; Sun, C.; Xu, W.L. A Review of Recent Advances in Drug Loading, Mathematical Modeling and Applications of Hydrogel Drug Delivery Systems. J. Mater. Sci. 2024, 59, 15077–15116. [Google Scholar] [CrossRef]
- Sun, Z.; Song, C.; Wang, C.; Hu, Y.; Wu, J. Hydrogel-Based Controlled Drug Delivery for Cancer Treatment: A review. Mol. Pharmacol. 2020, 17, 373–391. [Google Scholar] [CrossRef] [PubMed]
- Ali, L.; Ahmad, M.; Usman, M.; Yousuf, M. Controlled Release of Highly Water-Soluble Antidepressant from Hybrid Copolymer Poly Vinyl Alcohol Hydrogels. Polym. Bull. 2014, 71, 31–46. [Google Scholar] [CrossRef]
- Lee, K.; Mooney, D.J. Hydrogels for Tissue Engineering. Chem. Rev. 2001, 101, 1869–1880. [Google Scholar]
- Wang, C.G.; Surat’man, N.E.B.; Chang, J.J.; Ong, Z.L.; Li, B.F.; Fan, X.T.; Loh, X.J.; Li, Z.B. Polyelectrolyte Hydrogels for Tissue Engineering and Regenerative Medicine. Chem. Asian. J. 2022, 17, e202200604. [Google Scholar] [CrossRef]
- Li, L.L.; Wang, Y.Q.; Pan, L.J.; Shi, Y.; Cheng, W.; Shi, Y.; Yu, G.H. A Nanostructured Conductive Hydrogels-Based Biosensor Platform for Human Metabolite Detection. Nano Lett. 2015, 15, 1146–1151. [Google Scholar] [CrossRef]
- Swilem, A.E.; Oyama, T.G.; Oyama, K.; Kimura, A.; Taguchi, M. Development of Carboxymethyl Cellulose/Gelatin Hybrid Hydrogels via Radiation-Induced Cross-Linking as Novel Anti-Adhesion Barriers. Polym. Degrad. Stabil. 2022, 197, 109856. [Google Scholar] [CrossRef]
- Kasai, R.D.; Radhika, D.; Archana, S.; Shanavaz, H.; Koutavarapu, R.; Lee, D.Y.; Shim, J. A Review on Hydrogels Classification and Recent Developments in Biomedical Applications. Int. J. Polym. Mater. Polym. Biomater. 2023, 72, 1059–1069. [Google Scholar] [CrossRef]
- Shen, Z.; Zhang, C.; Wang, T.; Xu, J. Advances in Functional Hydrogel Wound Dressings: A Review. Polymers 2023, 15, 2000. [Google Scholar] [CrossRef]
- Teng, Y.; Li, S.; Tang, H.; Tao, X.; Fan, Y.; Huang, Y. Medical Applications of Hydrogels in Skin Infections: A Review. Infect. Drug Resist. 2023, 16, 391–401. [Google Scholar] [CrossRef]
- Gionet-Gonzales, M.; Casella, A.; Diloretto, D.; Ginnell, C.; Griffin, K.H.; Bigot, A.; Leach, J.K. Sulfated Alginate Hydrogels Prolong the Therapeutic Potential of MSC Spheroids by Sequestering the Secretome. Adv. Healthc. Mater. 2021, 10, 2101048. [Google Scholar] [CrossRef] [PubMed]
- Ickenstein, L.M.; Garidel, P. Hydrogel Formulations for Biologicals: Current Spotlight from A Commercial Perspective. Ther. Deliv. 2018, 9, 221–230. [Google Scholar] [CrossRef] [PubMed]
- Tan, B.; Huang, L.; Wu, Y.; Liao, J. Advances and Trends of Hydrogel Therapy Platform in Localized Tumor Treatment: A Review. J. Biomed. Mater. Res. A 2021, 109A, 404–425. [Google Scholar] [CrossRef] [PubMed]
- Thang, N.H.; Chien, T.B.; Cuong, D.X. Polymer–Based Hydrogels Applied in Drug Delivery: An Overview. Gels 2023, 9, 523. [Google Scholar] [CrossRef]
- Cascone, S.; Lamberti, G. Hydrogel–Based Commercial Products for Biomedical Applications: A Review. Int. J. Pharm. 2020, 573, 118803. [Google Scholar] [CrossRef]
- Bordbar-Khiabani, A.; Gasik, M. Smart Hydrogels for Advanced Drug Delivery Systems. Int. J. Mol. Sci. 2022, 23, 3665. [Google Scholar] [CrossRef]
- Wang, Z.; Ye, Q.; Yu, S.; Akhavan, B. Poly Ethylene Glycol (PEG)-Based Hydrogels for Drug Delivery in Cancer Therapy: A Comprehensive Review. Adv. Healthc. Mater. 2023, 12, 2300105. [Google Scholar] [CrossRef]
- Cui, R.; Wu, Q.; Wang, J.; Zheng, X.; Ou, R.; Xu, Y.; Qu, S.; Li, D. Hydrogel-By-Design: Smart Delivery System for Cancer Immunotherapy. Front. Bioeng. Biotech. 2021, 9, 723490. [Google Scholar] [CrossRef]
- Naahidi, S.; Jafari, M.; Logan, M.; Wang, Y.; Yuan, Y.; Bae, H.; Dixon, B.; Chen, P. Biocompatibility of Hydrogel–Based Scaffolds for Tissue Engineering Applications. Biotechnol. Adv. 2017, 35, 530–544. [Google Scholar] [CrossRef]
- Xue, X.; Hu, Y.; Deng, Y.; Su, J. Recent Advances in Design of Functional Biocompatible Hydrogels for Bone Tissue Engineering. Adv. Funct. Mater. 2021, 31, 2009432. [Google Scholar] [CrossRef]
- Vanti, G.; Wang, M.; Bergonzi, M.C.; Liu, Z.; Bilia, A.R. Hydroxypropyl Methylcellulose Hydrogel of Berberine Chloride–Loaded Escinosomes: Dermal Absorption and Biocompatibility. Int. J. Biol. Macromol. 2020, 164, 232–241. [Google Scholar] [CrossRef] [PubMed]
- Zhu, J. Bioactive Modification of Poly(Ethylene Glycol) Hydrogels for Tissue Engineering. Biomaterials 2010, 31, 4639–4656. [Google Scholar] [CrossRef] [PubMed]
- Grover, G.N.; Lam, J.; Nguyen, T.H.; Segura, T.; Maynard, H.D. Biocompatible Hydrogels by Oxime Click Chemistry. Biomacromolecules 2012, 13, 3013–3017. [Google Scholar] [CrossRef] [PubMed]
- Li, J.; Kao, W.J. Synthesis of Polyethylene Glycol (PEG) Derivatives and PEGylated-Peptide Biopolymer Conjugates. Biomacromolecules 2003, 4, 1055–1067. [Google Scholar] [CrossRef]
- Kim, I.; Choi, J.S.; Lee, S.; Byeon, H.J.; Lee, E.S.; Shin, B.S.; Choi, H.G.; Lee, K.C.; Youn, Y.S. In Situ Facile-Forming PEG Cross-Linked Albumin Hydrogels Loaded with an Apoptotic TRAIL Protein. J. Control. Release 2015, 214, 30–39. [Google Scholar] [CrossRef]
- Sargeant, T.D.; Desai, A.P.; Banerjee, S.; Agawu, A.; Stopek, J.B. An In Situ Forming Collagen–PEG Hydrogel for Tissue Regeneration. Acta Biomater. 2012, 8, 124–132. [Google Scholar] [CrossRef]
- Chang, C.W.; Spreeuwel, A.N.; Zhang, C.; Varghese, S. PEG/Clay Nanocomposite Hydrogel: A Mechanically Robust Tissue Engineering Scaffold. Soft. Matter. 2010, 6, 5157–5164. [Google Scholar] [CrossRef]
- Kang, J.I.; Park, K.M. Advances in Gelatin–Based Hydrogels for Wound Management. J. Mater. Chem. B 2021, 9, 1503–1520. [Google Scholar] [CrossRef]
- Yuan, X.; Zhu, Z.; Xia, P.; Wang, Z.; Zhao, X.; Jiang, T.; Gao, Q.; Xu, J.; Shan, D.; Guo, B.; et al. Tough Gelatin Hydrogel for Tissue Engineering. Adv. Sci. 2023, 10, 2301665. [Google Scholar] [CrossRef]
- Mohanto, S.; Narayana, S.; Merai, K.P.; Kumar, J.A.; Bhunia, A.; Hani, U.; Fatease, A.A.; Gowda, B.H.J.; Nag, S.; Ahmed, M.G.; et al. Advancements in Gelatin–Based Hydrogel Systems for Biomedical Applications: A State-of-the-Art Review. Int. J. Biol. Macromol. 2023, 253, 127143. [Google Scholar] [CrossRef]
- Kommareddy, S.; Amiji, M. Poly(Ethylene Glycol)–Modified Thiolated Gelatin Nanoparticles for Glutathione-Responsive Intracellular DNA Delivery. Nanomed. Nanotechnol. 2007, 3, 32–42. [Google Scholar] [CrossRef] [PubMed]
- Kaul, G.; Amiji, M. Long-Circulating Poly(Ethylene Glycol)-Modified Gelatin Nanoparticles for Intracellular Delivery. Pharm. Res. 2002, 19, 1061–1067. [Google Scholar] [CrossRef] [PubMed]
- Kasper, F.K.; Jerkins, E.; Tanahashi, K.; Barry, M.A.; Tabata, Y.; Mikos, A.G. Characterization of DNA Release from Composites of Oligo(Poly(Ethylene Glycol) Fumarate) and Cationized Gelatin Microspheres In Vitro. J. Biomed. Mater. Res. B 2006, 78A, 823–835. [Google Scholar] [CrossRef] [PubMed]
- Dong, Y.; Sigen, A.; Rodrigues, M.; Li, X.; Kwon, S.; Kosaric, N.; Khong, S.; Gao, Y.; Wang, W.; Gurtner, G.C. Injectable and Tunable Gelatin Hydrogels Enhance Stem Cell Retention and Improve Cutaneous Wound Healing. Adv. Funct. Mater. 2017, 27, 1606619. [Google Scholar] [CrossRef]
- Liang, J.; Guo, Z.; Timmerman, A.; Grijpma, D.; Poot, A. Enhanced mechanical and cell adhesive properties of photo-crosslinked PEG hydrogels by incorporation of gelatin in the networks. Biomed. Mater. 2019, 14, 024102. [Google Scholar] [CrossRef]
- Fumio, U.; Hiroshi, Y.; Kumiko, N.; Sachihiko, N.; Kenji, S.; Yasunori, M. Swelling and Mechanical Properties of Poly(vinyl alcohol) Hydrogels. Int. J. Pharm. 1990, 58, 135–142. [Google Scholar] [CrossRef]
- Lan, X.; Luo, T.; Zhong, Z.; Huang, D.; Liang, C.; Liu, Y.; Wang, H.; Tang, Y. Green cross-linking of gelatin/tea polyphenol/ε-poly (L-lysine) electrospun nanofibrous membrane for edible and bioactive food packaging. Food Packag. Shelf. Life 2022, 34, 100970. [Google Scholar] [CrossRef]
- Rodríguez-Rodríguez, R.; García-Carvajal, Z.; Jiménez-Palomar, I.; Jiménez-Avalos, J.; Espinosa-Andrews, H. Development of gelatin/chitosan/PVA hydrogels: Thermal stability, water state, viscoelasticity, and cytotoxicity assays. J. Appl. Polym. Sci. 2019, 136, 47149. [Google Scholar] [CrossRef]
- Wu, M.; Yong, Z. 1H–NMR Determine Molecular Weight of Polyether Polyols. Polym. Commun. 1985, 06, 457–459. [Google Scholar]
- Chen, H.; Fei, F.; Li, X.; Nie, Z.; Zhou, D.; Liu, L.; Zhang, J.; Zhang, H.; Fei, Z. A Structure-Supporting, Self-Healing, and High Permeating Hydrogel Bioink for Establishment of Diverse Homogeneous Tissue-Like Constructs. Bioact. Mater. 2021, 6, 3580–3595. [Google Scholar] [CrossRef]
- Zhang, Y.; Dong, Q.; Zhao, X.; Sun, Y.; Lin, X.; Zhang, X.; Wang, T.; Yang, T.; Jiang, X.; Li, J.; et al. Honeycomb-Like Biomimetic Scaffold by Functionalized Antibacterial Hydrogel and Biodegradable Porous Mg Alloy for Osteochondral Regeneration. Front. Bioeng. Biotech. 2024, 12, 1417742. [Google Scholar] [CrossRef] [PubMed]
- Yu, Y.; Kong, N.; Hou, Z.; Men, L.; Yang, P.; Wang, Z. Sponge-Like Porous Polyvinyl Alcohol/Chitosan-Based Hydrogel with Integrated Cushioning, pH-Indicating and Antibacterial Functions. Int. J. Biol. Macromol. 2024, 272, 132904. [Google Scholar] [CrossRef] [PubMed]
- Hossan, M.J.; Gafur, M.A.; Kadir, M.R.; Karim, M.M. Preparation and Characterization of Gelatin-Hydroxyapatite Composite for Bone Tissue Engineering. Int. J. Eng. Technol. 2014, 14, 24–32. [Google Scholar]
- Mahesh, B.; Kathyayani, D.; Gowda, D.C.; Sionkowska, A.; Ramakrishna, S. Miscibility and Thermal Stability of Synthetic Glutamic Acid Comprising Polypeptide with Polyvinyl Alcohol: Fabrication of Nanofibrous Electrospun Membranes. Mater. Chem. Phys. 2022, 281, 125847. [Google Scholar] [CrossRef]
- Mukherjee, I.; Rosolen, M. Thermal Transitions of Gelatin Evaluated Using DSC Sample Pans of Various Seal Integrities. J. Therm. Anal. Calorim. 2013, 114, 1161–1166. [Google Scholar] [CrossRef]
- Yang, B.; Yin, S.; Bian, X.; Liu, C.; Liu, X.; Yan, Y.; Zhang, C.; Zhang, H.; Hou, Z. Preparation and Properties of Monomethoxyl PolyEthylene Glycol Grafted O–Carboxymethyl Chitosan for Edible, Fresh–Keeping Packaging Materials. Food Packag. Shelf. Life 2022, 33, 100874. [Google Scholar] [CrossRef]
- Banpean, A.; Sakurai, S. Confined Crystallization of Poly(Ethylene Glycol) in Spherulites of Poly (L-Lactic Acid) in a PLLA/PEG Blend. Polymer 2021, 215, 123370. [Google Scholar] [CrossRef]
- Bigi, A.; Cojazzi, G.; Panzavolta, S.; Roveri, N.; Rubini, K. Stabilization of Gelatin Films by Crosslinking with Genipin. Biomaterials 2002, 23, 4827–4832. [Google Scholar] [CrossRef]
- Liu, Z.; Chen, L.; Qu, L.; Zhang, R.; Qin, Z.; Zhang, H.; Wei, J.; Xu, J.; Hou, Z. Cross–Linked Poly(Ester Urethane)/Starch Composite Films with High Starch Content as Sustainable Food–Packaging Materials: Influence of Cross–Link Density. Int. J. Biol. Macromol. 2024, 256, 128441. [Google Scholar] [CrossRef]
- Gao, X.; Shi, Z.; Liu, C.; Yang, G.; Sevostianov, I.; Silberschmidt, V.V. Inelastic Behaviour of Bacterial Cellulose Hydrogel: In Aqua Cyclic Tests. Polym. Test. 2015, 44, 82–92. [Google Scholar] [CrossRef]
- Gao, L.; Zhu, Y.; Lyu, Y.; Hao, F.L.; Zhang, P.; Wei, M.J. A Pharmacokinetic and Pharmacodynamic Study on Intravenous Cefazedone Sodium in Patients with Community-Acquired Pneumonia. Chin. Med. J. 2015, 128, 1160–1164. [Google Scholar] [CrossRef] [PubMed]
- Ashley, G.W.; Henise, J.; Reid, R.; Sant, D.V. Hydrogel Drug Delivery System with Predictable and Tunable Drug Release and Degradation Rates. Proc. Natl. Acad. Sci. USA 2013, 110, 2318–2323. [Google Scholar] [CrossRef] [PubMed]
- Xu, X.; Feng, Q.; Ma, X.; Deng, Y.; Zhang, K.; Ooi, H.S.; Yang, B.; Zhang, Z.; Feng, B.; Bian, L. Dynamic gelatin-based hydrogels promote the proliferation and self-renewal of embryonic stem cells in long-term 3d culture. Biomaterials 2022, 289, 121802. [Google Scholar] [CrossRef] [PubMed]
- ISO 10993-6:2016; Biological Evaluation of Medical Devices. Part 6: Tests for Local Effects after Implantation. ISO: Geneva, Switzerland, 2016.
- Thomsa, V.; Jayabalan, M. Studies on the Effect of Virtual Crosslinking on the Hydrolytic Stability of Novel Aliphatic Polyurethane Ureas for Blood Contact Applications. J. Biomed. Mater. Res. 2001, 56, 144–157. [Google Scholar] [CrossRef]












| Samples | –SG:–NH2 | Solid Content (%) | State | 
|---|---|---|---|
| S1N2–I | 1:2 | 1.5 | hydrogels | 
| S1N1–I | 1:1 | 1.5 | hydrogels | 
| S2N1–I | 2:1 | 1.5 | hydrogels | 
| S1N1–II | 1:1 | 2.5 | hydrogels | 
| S1N1–III | 1:1 | 3.5 | hydrogels | 
| DSnNm | n:m | 100 | dried gels | 
| Samples | T5%/°C | T1/°C | T2/°C | T3/°C | Wr/% | 
|---|---|---|---|---|---|
| gelatin | 193.9 | 189.3 | 272.1 | – | 59.1 | 
| DS2N1–I | 211.9 | 192.1 | 324.0 | 415.3 | 36.5 | 
| DS1N2–I | 202.5 | 193.9 | 326.1 | 418.6 | 55.3 | 
| DS1N1–I | 220.1 | 197.9 | 329.8 | 423.0 | 46.8 | 
| 4-arm-PEG–SG | 296.7 | – | 303.5 | 404.4 | 1.6 | 
| Samples | Tg (°C) | Tm1 (°C) | Tm2 (°C) | ΔH1 (J/g) | ΔH2 (J/g) | 
|---|---|---|---|---|---|
| 4-arm-PEG–SG | −49.6 | 41.7 | – | 29.07 | – | 
| DS1N2–I | −10.6 | 43.6 | 88.2 | 18.59 | 43.57 | 
| DS1N1–I | −8.5 | 44.6 | 90.3 | 13.80 | 37.85 | 
| DS2N1–I | −11.2 | 42.8 | 86.8 | 23.14 | 50.95 | 
| gelatin | – | – | 82.8 | – | 72.86 | 
| Disclaimer/Publisher’s Note: The statements, opinions and data contained in all publications are solely those of the individual author(s) and contributor(s) and not of MDPI and/or the editor(s). MDPI and/or the editor(s) disclaim responsibility for any injury to people or property resulting from any ideas, methods, instructions or products referred to in the content. | 
© 2024 by the authors. Licensee MDPI, Basel, Switzerland. This article is an open access article distributed under the terms and conditions of the Creative Commons Attribution (CC BY) license (https://creativecommons.org/licenses/by/4.0/).
Share and Cite
Zhao, Z.; Qin, Z.; Zhao, T.; Li, Y.; Hou, Z.; Hu, H.; Su, X.; Gao, Y. Crosslinked Biodegradable Hybrid Hydrogels Based on Poly(ethylene glycol) and Gelatin for Drug Controlled Release. Molecules 2024, 29, 4952. https://doi.org/10.3390/molecules29204952
Zhao Z, Qin Z, Zhao T, Li Y, Hou Z, Hu H, Su X, Gao Y. Crosslinked Biodegradable Hybrid Hydrogels Based on Poly(ethylene glycol) and Gelatin for Drug Controlled Release. Molecules. 2024; 29(20):4952. https://doi.org/10.3390/molecules29204952
Chicago/Turabian StyleZhao, Zhenzhen, Zihao Qin, Tianqing Zhao, Yuanyuan Li, Zhaosheng Hou, Hui Hu, Xiaofang Su, and Yanan Gao. 2024. "Crosslinked Biodegradable Hybrid Hydrogels Based on Poly(ethylene glycol) and Gelatin for Drug Controlled Release" Molecules 29, no. 20: 4952. https://doi.org/10.3390/molecules29204952
APA StyleZhao, Z., Qin, Z., Zhao, T., Li, Y., Hou, Z., Hu, H., Su, X., & Gao, Y. (2024). Crosslinked Biodegradable Hybrid Hydrogels Based on Poly(ethylene glycol) and Gelatin for Drug Controlled Release. Molecules, 29(20), 4952. https://doi.org/10.3390/molecules29204952
 
        




 
       