Fumed-Si-Pr-Ald-Barb as a Fluorescent Chemosensor for the Hg2+ Detection and Cr2O72− Ions: A Combined Experimental and Computational Perspective
Abstract
1. Introduction
2. Results and Discussion
2.1. Characterization
2.1.1. FT-IR Spectroscopy
2.1.2. EDX Studies
2.1.3. Mapping Image
2.1.4. N2 Adsorption-Desorption Analysis
2.1.5. SEM Studies
2.1.6. TGA Studies
2.2. Fluorescent Studies
2.2.1. Fluorescence Response Test for Cations
2.2.2. Possible Mechanism of Bond Formation between Fumed-Si-Pr-Ald-Barb Compound and Hg2+ Ion
2.2.3. Competition Test
2.2.4. Titration Test
2.2.5. Fluorescence Response Test for Anions
2.2.6. Competitive Test of Cr₂O₇2− Ion with Other Anions
2.2.7. Possible Mechanism of Bond Formation between Fumed-Si-Pr-Ald-Barb Compound and Cr₂O₇2− Ion
2.2.8. Comparison
2.3. Computational Details
2.3.1. DFT Base Mechanism
2.3.2. Mulliken Charge Distribution
2.3.3. Fukui Function and Dual Descriptor Analysis
2.3.4. Molecular Orbital Theory
2.3.5. Reduced Density Gradient (RDG) Calculation
3. Materials and Methods
3.1. Surface Modification of Silica Fume with (3-Chloropropyl)trimethoxysilane
3.2. Modification of Fumed-Si-Pr-Cl Surface with Pyridinecarbaldehyde
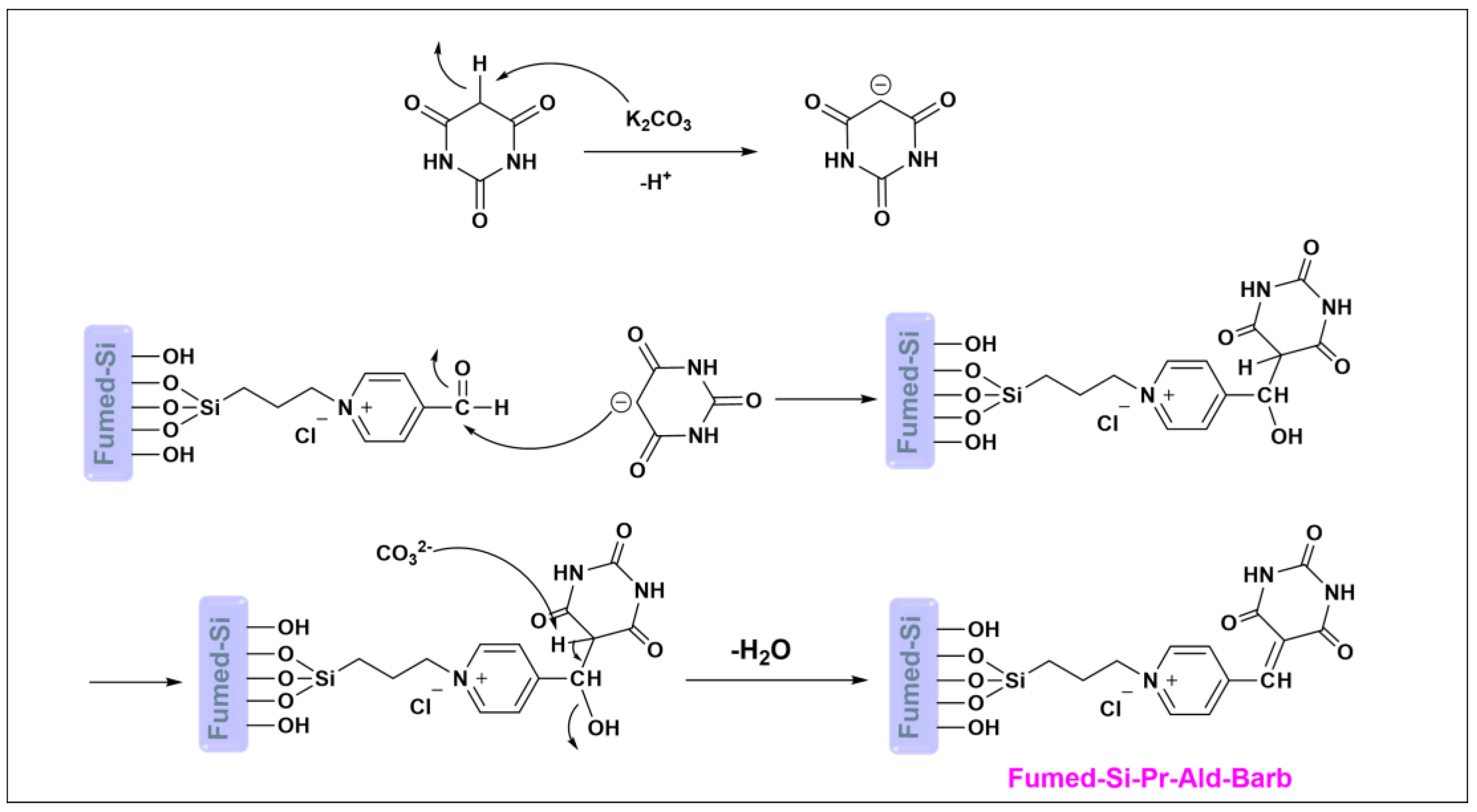
3.3. Synthesis of Fumed-Si-Pr-Ald-Barb
3.4. Computational Details
4. Conclusions
Supplementary Materials
Author Contributions
Funding
Institutional Review Board Statement
Informed Consent Statement
Data Availability Statement
Acknowledgments
Conflicts of Interest
References
- Iler, R.K. The Chemistry of Silica: Solubility, Polymerization, Colloid and Surface Properties and Biochemistry of Silica; Wiley-Interscience: Hoboken, NJ, USA, 1979; p. 866. [Google Scholar]
- Hossain, S.S.; Mathur, L.; Roy, P. Rice husk/rice husk ash as an alternative source of silica in ceramics: A review. J. Asian Ceram. Soc. 2018, 6, 299–313. [Google Scholar] [CrossRef]
- Siddique, R. Utilization of silica fume in concrete: Review of hardened properties. Resour. Conserv. Recycl. 2011, 55, 923–932. [Google Scholar] [CrossRef]
- Kim, S.H.; Ahn, S.H.; Hirai, T. Crystallization kinetics and nucleation activity of silica nanoparticle-filled poly(ethylene 2,6-naphthalate). Polymer 2003, 44, 5625–5634. [Google Scholar] [CrossRef]
- Zou, H.; Wu, S.; Shen, J. Polymer/Silica Nanocomposites: Preparation, Characterization, Properties, and Applications. Chem. Rev. 2008, 108, 3893–3957. [Google Scholar] [CrossRef] [PubMed]
- Wu, C.L.; Zhang, M.Q.; Rong, M.Z.; Friedrich, K. Silica nanoparticles filled polypropylene: Effects of particle surface treatment, matrix ductility and particle species on mechanical performance of the composites. Compos. Sci. Technol. 2005, 65, 635–645. [Google Scholar] [CrossRef]
- Lai, Y.H.; Kuo, M.C.; Huang, J.C.; Chen, M. On the PEEK composites reinforced by surface-modified nano-silica. Mater. Sci. Eng. A 2007, 458, 158–169. [Google Scholar] [CrossRef]
- Herman, F.M.; Norman, G. Encyclopedia of Polymer Science and Technology; John Wiley & Sons Inc: Hoboken, NJ, USA, 2004; Volume 2, pp. 403–431. [Google Scholar]
- Ahmadi, T.; Bahar, S.; Mohammadi Ziarani, G.; Badiei, A. Formation of functionalized silica-based nanoparticles and their application for extraction and determination of Hg (II) ion in fish samples. Food Chem. 2019, 300, 125180. [Google Scholar] [CrossRef]
- Schwarzenbach, R.P.; Egli, T.; Hofstetter, T.B.; Von Gunten, U.; Wehrli, B. Global water pollution and human health. Annu. Rev. Environ. Resour. 2010, 35, 109–136. [Google Scholar] [CrossRef]
- Xu, N.; Zhang, Q.; Hou, B.; Cheng, Q.; Zhang, G. A Novel Magnesium Metal–Organic Framework as a Multiresponsive Luminescent Sensor for Fe(III) Ions, Pesticides, and Antibiotics with High Selectivity and Sensitivity. Inorg. Chem. 2018, 57, 13330–13340. [Google Scholar] [CrossRef]
- Samanta, P.; Chandra, P.; Dutta, S.; Desai, A.V.; Ghosh, S.K. Chemically stable ionic viologen-organic network: An efficient scavenger of toxic oxo-anions from water. Chem. Sci. 2018, 9, 7874–7881. [Google Scholar] [CrossRef]
- Saha, B.; Orvig, C. Biosorbents for hexavalent chromium elimination from industrial and municipal effluents. Coord. Chem. Rev. 2010, 254, 2959–2972. [Google Scholar] [CrossRef]
- Liu, W.; Wang, Y.; Bai, Z.; Li, Y.; Wang, Y.; Chen, L.; Xu, L.; Diwu, J.; Chai, Z.; Wang, S. Hydrolytically Stable Luminescent Cationic Metal Organic Framework for Highly Sensitive and Selective Sensing of Chromate Anions in Natural Water Systems. ACS Appl. Mater. Interfaces 2017, 9, 16448–16457. [Google Scholar] [CrossRef] [PubMed]
- Zhitkovich, A. Chromium in Drinking Water: Sources, Metabolism, and Cancer Risks. Chem. Res. Toxicol. 2011, 24, 1617–1629. [Google Scholar] [CrossRef] [PubMed]
- Guo, P.; Sun, J.; Xu, Z.; Liu, M.; Li, H.; Wang, Y. A Zn-based coordination polymer as a highly selective multi-responsive luminescent sensor for Fe3+ cation and Cr2O72−/CrO42− anions. J. Solid State Chem. 2019, 273, 62–66. [Google Scholar] [CrossRef]
- Kubik, S. Anion recognition in water. Chem. Soc. Rev. 2010, 39, 3648–3663. [Google Scholar] [CrossRef]
- Ding, P.; Xin, X.; Zhao, L.; Xie, Z.; Zhang, Q.; Jiao, J.; Xu, G. On–off–on fluorescent oligomer as a chemosensor for the detection of manganese (VII), sulfur (II) and aldehydes based on the inner filter effect. RSC Adv. 2017, 7, 3051–3058. [Google Scholar] [CrossRef]
- Riojas, A.A.C.; Wong, A.; Planes, G.A.; Sotomayor, M.D.; La Rosa-Toro, A.; Baena-Moncada, A.M. Development of a new electrochemical sensor based on silver sulfide nanoparticles and hierarchical porous carbon modified carbon paste electrode for determination of cyanide in river water samples. Sens. Actuators B Chem. 2019, 287, 544–550. [Google Scholar] [CrossRef]
- Shiravand, G.; Badiei, A.; Goldooz, H.; Karimi, M.; Ziarani, G.M.; Faridbod, F.; Ganjali, M.R. A Fluorescent g-C3N4 nanosensor for detection of dichromate ions. Curr. Anal. Chem. 2020, 16, 593–601. [Google Scholar] [CrossRef]
- Bozkurt, E.; Gul, H.I. Selective fluorometric “Turn-off” sensing for Hg2+ with pyrazoline compound and its application in real water sample analysis. Inorganica Chim. Acta 2020, 502, 119288. [Google Scholar] [CrossRef]
- Lee, M.H.; Lee, S.J.; Jung, J.H.; Lim, H.; Kim, J.S. Luminophore-immobilized mesoporous silica for selective Hg2+ sensing. Tetrahedron 2007, 63, 12087–12092. [Google Scholar] [CrossRef]
- Rossi, A.; Stagno, C.; Piperno, A.; Iraci, N.; Panseri, S.; Montesi, M.; Feizi-Dehnayebi, M.; Bassi, G.; Di Pietro, M.L.; Micale, N. Anticancer activity and morphological analysis of Pt (II) complexes: Their DFT approach, docking simulation, and ADME-Tox profiling. Appl. Organomet. Chem. 2024, 38, e7403. [Google Scholar] [CrossRef]
- Majumdar, D.; Chatterjee, A.; Feizi-Dehnayebi, M.; Kiran, N.S.; Tüzün, B.; Mishra, D. 18-aminoquinoline derived two Schiff base platforms: Synthesis, characterization, DFT insights, corrosion inhibitor, molecular docking, and pH-dependent antibacterial study. Heliyon 2024, 10, e35591. [Google Scholar] [CrossRef] [PubMed]
- El-Remaily, M.A.E.A.A.A.; Eskander, T.N.A.; Elhady, O.; Alhashmialameer, D.; Alsehli, M.; Kamel, M.S.; Feizi-Dehnayebi, M.; Abu-Dief, A.M. A comparative study for the efficiency of Pd (II) and Fe (III) complexes as efficient catalysts for synthesis of dihydro-7H-5-thia-hexaaza-s-indacen-6-one derivatives supported with DFT approach. Appl. Organomet. Chem. 2024, 38, e7653. [Google Scholar] [CrossRef]
- Mulliken, R.S. Electronic population analysis on LCAO–MO molecular wave functions. I. J. Chem. Phys. 1955, 23, 1833–1840. [Google Scholar] [CrossRef]
- Pillai, R.R.; Menon, V.V.; Mary, Y.S.; Armaković, S.; Armaković, S.J.; Panicker, C.Y. Vibrational spectroscopic investigations, molecular dynamic simulations and molecular docking studies of N′-diphenylmethylidene-5-methyl-1H-pyrazole-3-carbohydrazide. J. Mol. Struct. 2017, 1130, 208–222. [Google Scholar] [CrossRef]
- Cao, J.; Ren, Q.; Chen, F.; Lu, T. Comparative study on the methods for predicting the reactive site of nucleophilic reaction. Sci. China Chem. 2015, 58, 1845–1852. [Google Scholar] [CrossRef]
- Jia, X.; Yang, Y.; He, Y.; Ma, Q.; Liu, Y. Theoretical study on the sensing mechanism of a fluorescence chemosensor for the cyanide anion. Spectrochim. Acta Part A Mol. Biomol. Spectrosc. 2019, 216, 258–264. [Google Scholar] [CrossRef]
- Kurbanova, M.; Ashfaq, M.; Sadigova, A.; Feizi-Dehnayebi, M.; Maharramov, A.; Tahir, M. A Hydrazone Derivative: Synthesis, Crystal Structure, Supramolecular Assembly Exploration by Hirshfeld Surface Analysis and Computational Study. J. Struct. Chem 2024, 65, 92–106. [Google Scholar] [CrossRef]
- Parveen, B.; Shahzadi, S.; Ali, S.; Feizi-Dehnayebi, M.; Munawar, K.S.; Ashfaq, M.; Tahir, M.N. Synthesis, Spectral Characterizations, Computational Studies and Biological investigation of 4-(4-(2-hydroxyethyl)phenylamino)-4-oxobutanoic acid and its trimethyltin (IV) complex. J. Mol. Struct. 2024, 1315, 138851. [Google Scholar] [CrossRef]
- Ali El-Remaily, M.A.E.A.A.; Alzubi, M.S.H.; El-Dabea, T.; El-Khatib, R.M.; Kamel, M.S.; Feizi-Dehnayebi, M.; Abu-Dief, A.M. Insights into microwave-promoted synthesis of 3-methyl-4-phenyl-4,9-dihydro-1H-pyrazolo [3,4-d][1,2,4]triazolo [1,5-a]pyrimidine derivatives catalyzed using new Pd(II), Cu(II), VO(II), and Ag(I) complexes as a heterogeneous catalyst and computational studies. Appl. Organomet. Chem. 2024, 38, e7587. [Google Scholar] [CrossRef]
- Lanez, T.; Feizi-Dehnayebi, M.; Lanez, E. Assessment of the electrostatic binding of ferrocenylmethyl-nitroaniline derivatives to DNA: A combined experimental and theoretical study. J. Mol. Struct. 2024, 1308, 138386. [Google Scholar] [CrossRef]
- Afshar, S.S.; Ziarani, G.M.; Mohajer, F.; Badiei, A.; Iravani, S.; Varma, R.S. Synthesis of Fumed-Pr-Pi-TCT as a Fluorescent Chemosensor for the Detection of Cyanide Ions in Aqueous Media. Water 2022, 14, 4137. [Google Scholar] [CrossRef]
- Frisch, M.; Trucks, G.; Schlegel, H.; Scuseria, G.; Robb, M.; Cheeseman, J.; Scalmani, G.; Barone, V.; Mennucci, B.; Petersson, G. Uranyl extraction by N, N-dialkylamide ligands studied by static and dynamic DFT simulations. In Gaussian 09; Gaussian Inc: Wallingford, CT, USA, 2009. [Google Scholar]















| Sample | SBET (m2 g−1) | VTotal (cm3 g−1) | dP [18] |
|---|---|---|---|
| Fumed-Si-Pr-Cl | 155 | 0.370 | 36 |
| Fumed-Si-Pr-Ald | 153 | 0.421 | 37 |
| Fumed-Si-Pr-Ald-Barb | 149 | 0.429 | 38 |
Disclaimer/Publisher’s Note: The statements, opinions and data contained in all publications are solely those of the individual author(s) and contributor(s) and not of MDPI and/or the editor(s). MDPI and/or the editor(s) disclaim responsibility for any injury to people or property resulting from any ideas, methods, instructions or products referred to in the content. |
© 2024 by the authors. Licensee MDPI, Basel, Switzerland. This article is an open access article distributed under the terms and conditions of the Creative Commons Attribution (CC BY) license (https://creativecommons.org/licenses/by/4.0/).
Share and Cite
Mohammadi Ziarani, G.; Rezakhani, M.; Feizi-Dehnayebi, M.; Nikolova, S. Fumed-Si-Pr-Ald-Barb as a Fluorescent Chemosensor for the Hg2+ Detection and Cr2O72− Ions: A Combined Experimental and Computational Perspective. Molecules 2024, 29, 4825. https://doi.org/10.3390/molecules29204825
Mohammadi Ziarani G, Rezakhani M, Feizi-Dehnayebi M, Nikolova S. Fumed-Si-Pr-Ald-Barb as a Fluorescent Chemosensor for the Hg2+ Detection and Cr2O72− Ions: A Combined Experimental and Computational Perspective. Molecules. 2024; 29(20):4825. https://doi.org/10.3390/molecules29204825
Chicago/Turabian StyleMohammadi Ziarani, Ghodsi, Mahtab Rezakhani, Mehran Feizi-Dehnayebi, and Stoyanka Nikolova. 2024. "Fumed-Si-Pr-Ald-Barb as a Fluorescent Chemosensor for the Hg2+ Detection and Cr2O72− Ions: A Combined Experimental and Computational Perspective" Molecules 29, no. 20: 4825. https://doi.org/10.3390/molecules29204825
APA StyleMohammadi Ziarani, G., Rezakhani, M., Feizi-Dehnayebi, M., & Nikolova, S. (2024). Fumed-Si-Pr-Ald-Barb as a Fluorescent Chemosensor for the Hg2+ Detection and Cr2O72− Ions: A Combined Experimental and Computational Perspective. Molecules, 29(20), 4825. https://doi.org/10.3390/molecules29204825




