Abstract
The extensive utilization of fossil fuels has led to a rapid increase in atmospheric CO2 concentration, resulting in various environmental issues. To reduce reliance on fossil fuels and mitigate CO2 emissions, it is important to explore alternative methods of utilizing CO2 and H2 as raw materials to obtain high-value-added chemicals or fuels. One such method is CO2 methanation, which converts CO2 and H2 into methane (CH4), a valuable fuel and raw material for other chemicals. However, CO2 methanation faces challenges in terms of kinetics and thermodynamics. The reaction rate, CO2 conversion, and CH4 yield need to be improved to make the process more efficient. To overcome these challenges, the development of suitable catalysts is essential. Non-noble metal catalysts have gained significant attention due to their high catalytic activity and relatively low cost. In this paper, the thermodynamics and kinetics of the CO2 methanation reaction are discussed. The focus is primarily on reviewing Ni-based, Co-based, and other commonly used catalysts such as Fe-based. The effects of catalyst supports, preparation methods, and promoters on the catalytic performance of the methanation reaction are highlighted. Additionally, the paper summarizes the impact of reaction conditions such as temperature, pressure, space velocity, and H2/CO2 ratio on the catalyst performance. The mechanism of CO2 methanation is also summarized to provide a comprehensive understanding of the process. The objective of this paper is to deepen the understanding of non-noble metal catalysts in CO2 methanation reactions and provide insights for improving catalyst performance. By addressing the limitations of CO2 methanation and exploring the factors influencing catalyst effectiveness, researchers can develop more efficient and cost-effective catalysts for this reaction.
1. Introduction
Fossil fuels have been extensively used since the Industrial Revolution, which has not only promoted social progress but also brought about global energy shortages and environmental pollution [1]. The massive emission of greenhouse gases, particularly CO2, has continuously raised the global average temperature, resulting in the rise of sea levels, the melting of glaciers, and the frequent occurrence of extreme climate events in recent years [2]. Controlling carbon emissions is an important strategic measure for the international community and governments to deal with these problems [3,4]. However, fossil fuels still account for the main body of the energy structure, and it is difficult to achieve effective control of CO2 in the short term [5]. At the same time, CO2 is an important C1 resource, which can be captured and reacted with hydrogen to realize resource utilization [6], which can not only reduce carbon emissions but also obtain high-value-added chemical products [7,8], and carbon capture and storage (CCS) is also largely mature at the technical level [9].
CO2 conversion pathways include photocatalysis, electrocatalysis, and thermal catalysis [10]. Thermal catalysis requires a relatively low reaction temperature, produces few by-products, and has a high conversion rate [11]. In recent years, with the development and utilization of renewable energy, hydrogen can be obtained from electrolytic water, wind energy, solar energy, etc. [12]. Hydrogen is stable and renewable; its energy is high; and it can react with CO2 to achieve a low-carbon cycle [13]. The reaction of CO2 with hydrogen can produce formic acid, methane, methanol, dimethyl ether, and its derivatives [14,15]. The methanation process of CO2 is simple, and the reaction conditions are mild [16]. Methane can be used as fuel or a raw material for other chemicals [17,18]. Moreover, the methane generated can be directly transported by the existing natural gas pipeline network [19]. Therefore, it has high research value in realizing the large-scale application of CO2 hydrogenation in industry.
CO2 methanation is an exothermic reaction, and it is more favorable to the reaction at low temperatures, but the dynamics limit its industrial application [20]. It was originally used to remove trace amounts of CO and CO2 from H2-rich feed gas to prevent catalytic poisoning [21]. With the emergence of the oil crisis, CO2 methanation was expected to generate methane as a substitute for natural gas, but due to the low reaction rate, low CO2 conversion, and low CH4 selectivity, CO2 methanation has not been used on a large scale in the industry [22]. In recent years, CO2 methanation has been extensively studied, and various scholars have explored the mechanism, kinetics, and thermodynamics of the reaction and studied the design of the reactor to improve the reaction efficiency [23]. Finding suitable catalysts to increase the rate of the CO2 methanation reaction and improve CO2 conversion and CH4 selectivity is the focus of research [24].
At present, the most studied catalysts for CO2 methanation are noble metal catalysts and non-noble metal catalysts. Noble metal catalysts mainly include Ru, Rh, Pt, Pd, Au, etc. [25]. Although noble metal catalysts show high activity, they are generally expensive, which is not suitable for large-scale use in industry [26]. Non-noble metal catalysts are mainly Ni, Co, Fe, Mo, etc. [27]. The Ni-based catalyst has been widely studied for its high methanation activity, strong hydrogen adsorption capacity, and low price [28]. However, it is prone to sintering at higher temperatures and oxidation atmospheres, so the modification of catalysts is needed to improve its catalytic performance [29]. For example, it has been found that reducing the size of Ni particles and increasing their dispersion can improve their activity [30]. In addition, the Co-based catalyst has high catalytic activity, stability, and coking resistance, but it needs appropriate reaction conditions to achieve good conversion [31]. The Fe-based catalyst has good reaction activity and a low price, but the reaction requires being carried out under high temperatures and pressures, CH4 selectivity needs to be improved, and it is easy to accumulate carbon [32,33]. The Mo-based catalyst has perfect vulcanization resistance and can also be used for CO2 methanation [34], but its activity is low in the reaction. Therefore, different catalysts have different limitations. To improve their performance in CO2 methanation reactions, it is generally possible to adjust the loading of active metal [35], select appropriate supports [36,37], choose the best preparation method [38], and add promoters [39,40,41]. In addition, reaction conditions such as temperature, pressure, space velocity, and the H2/CO2 ratio also affect their reaction activity [42], so appropriate reaction conditions should be selected in the research.
In this work, we review the performance of non-noble metal catalysts commonly used in CO2 methanation reactions based on the above content. First, the kinetic and thermodynamic properties of CO2 methanation are discussed. It is shown that the reaction is thermodynamically favorable at low temperatures and high pressure. From the kinetic perspective, it is found that too-low temperatures will reduce the reaction rate, so it is necessary to find catalysts that can maintain activity at low temperatures. After that, we discuss the effect of reaction conditions on catalyst activity. The appropriate reaction conditions (temperature, pressure, space velocity, and H2/CO2 ratio) are beneficial to the reaction. Then we explain and discuss the effect of support material, preparation methods, and promoters on the catalyst performance for Ni-based, Co-based, Fe-based, and Mo-based catalysts, respectively. Moreover, we also provide some ideas for the modification of the catalyst to improve the catalytic performance. Finally, we review the reaction mechanisms of CO2 methanation, namely the CO intermediate mechanism and the formate intermediate mechanism.
2. CO2 Methanation Thermodynamics and Kinetics
Thermodynamic analysis of chemical reactions is used to analyze whether the reaction can proceed, the chemical equilibrium state of the reaction, the thermodynamic equilibrium limit, etc. The thermodynamic reaction equation for the CO2 methanation reaction is shown in Equation (1) [43].
where ΔrHΘm is the standard heat of reaction and ΔrGΘm is the standard Gibbs free energy difference; Equation (2) is the Gibbs free energy equation, and the Gibbs free energy difference is negative, indicating that the reaction can be carried out spontaneously, which suggests that the CO2 methanation reaction is feasible on a thermodynamic level.
In addition to the main reaction of Equation (1), the CO2 methanation process contains the following side reactions:
Obviously, it is necessary to inhibit the occurrence of side reactions in order to ensure the high selectivity of CH4 (Equations (3)–(9)). A number of thermodynamic analyses of the CO2 methanation reaction have been carried out using the Gibbs minimization principle. It is shown that when the temperature is lower than 600 °C, the CO2 conversion rate decreases with the increase in temperature and increases with the increase in pressure. At 1 standard atmospheric pressure, when the temperature is greater than 600 °C, the CO2 conversion rate gradually increases with the increase in temperature, which may be attributed to the occurrence of the reverse water gas shift (RWGS) reaction, leading to the conversion of CO2. When the reaction temperature is 200~500 °C, the CH4 selectivity remains stable. However, the CH4 selectivity decreases with the increase in temperature when the temperature exceeds 500 °C [44]. Thus, an appropriate temperature and pressure is beneficial for the reaction to proceed. Massa et al. [45] found that the introduction of water vapor into the system slightly reduces CH4 yield, but it inhibits the carbon build-up to a certain extent. Baamran et al. [43] investigated the effect of different parameters such as temperature, pressure, and phenol concentration on the generation of H2, CO2, CO, CH4, and H2O. The results showed that high-temperature conditions are more favorable for the generation of H2 and CO, while CH4 is more likely to be generated at low temperatures. Finally, a series of coking reactions occur at high temperatures, which mainly lead to catalyst deactivation.
Through thermodynamic aspects, it appears that CO2 methanation is thermodynamically favorable at low temperatures and high pressures. However, there are multiple fundamental steps that are often catalyst dependent, and kinetic limitations are often the hurdles that must be overcome first, which requires a thorough understanding of the fundamental mechanistic steps of CO2 methanation to identify the key kinetic steps that can be addressed through process operation or catalyst design.
It was found that the rate of methanation of CO2 depends more on the H2 partial pressure than on the CO2 partial pressure at low CO2 conversion levels. Chanpon et al. [46] have established the dependence of the rate of CO2 methanation on the partial pressures of the reactants and products at different temperatures with 1.5 mg of Ni/Al2O3 catalyst diluted in SiC, and the results show that the CH4 formation is highly dependent on the H2 concentration at the CO2 partial pressure of 22 kPa (Figure 1), while the dependence on the CO2 partial pressure is weak.
Figure 1.
Effect of partial pressure on CO2 methanation on 1.5 mg Ni/Al2O3 5 mg Ni/Al2O3 catalyst in SiC, 115 kPa total pressure and 1.06·106∙h−1 at 623 K-130 kPa total pressure and 3.16·106∙h−1 at 673 K and 723 K with H2 at 22 kPa CO2 partial pressure [46]. Copyright (2019) Journal of CO2 Utilization.
Based on the thermodynamic analysis, it was found that suitable low temperatures, pressurization, and a high H2/CO2 molar ratio are conducive to increasing the yield of the target product (CH4). The reaction kinetics analysis showed that too low a temperature would reduce the reaction rate, so the catalyst was required to maintain the activity at a low temperature to reduce energy consumption during the reaction and shorten the reaction time. In addition, the current industrial methanation process usually adopts an adiabatic fixed-bed reactor, and every 1% of CO2 conversion would bring about an adiabatic temperature rise of about 60 °C to the system, and even with a larger product gas circulation, it was still difficult to avoid the existence of local hot spots in the catalyst. Even with a large product gas recycling volume, localized hot spots in the bed are still unavoidable. Therefore, methanation catalysts with low-temperature activity and high-temperature stability need to be developed to meet the demands of industrial production. The basic steps of CO2 methanation are shown in Table 1.
Table 1.
Basic steps of CO2 methanation proposed via the CO formation pathway (left) and the formate formation pathway (right) (s refers to surface sites) [42]. Copyright (2021) Catalysis Today.
3. Optimization of Reaction Conditions
The CO2 methanation reaction is highly sensitive to reaction conditions. Optimizing reaction conditions can significantly improve reaction conversion, selectivity, and product distribution. A complete understanding of these crucial factors can further benefit kinetic evaluation, process optimization, reactor design, and scale-up for industrial applications [47]. In this section, the role of operating conditions such as temperature, pressure, gas hourly space velocity (GHSV), and the H2/CO2 ratio is extensively discussed.
3.1. Effect of Reaction Temperature
The standard enthalpy and the standard Gibbs free energy of the Sabatier reaction (Equation (10)) are and , respectively [47]. Thermodynamically, this is favored at low temperatures (25~400 °C) [48], and the reaction is exothermic. However, the reduction of carbon in the fully oxidized state of CO2 to CH4 is an eight-electron process with obvious kinetic constraints [49], which requires catalysts and appropriate temperatures to improve the rate and selectivity of the reaction.
Fan et al. [50] investigated the effect of temperature on the distribution of CO2 methanation products by using a micron/nano TiO2 catalyst. They found that CH4 and H2O were the main products at lower temperatures (150~400 °C), while the production of CO gradually increased when the temperature exceeded 450 °C. The reason for this change may be that the RWGS reaction (Equation (1)) favors and dominates at high temperatures. González-Castaño et al. [51] synthesized a series of Ni/γ-Al2O3, Ni-Fe/γ-Al2O3, and Ni-Fe-K/γ-Al2O3 catalysts and evaluated them by methanation experiments. They concluded that the CO2 conversion of each catalyst exhibited a volcanic-shaped tendency with an increase in temperature. The reaction rate reached equilibrium conversion at about 450 °C (Figure 2). However, when the temperature was higher than 450 °C, the CO2 conversion decreased, obviously due to catalyst deactivation (sinter, agglomeration) and coking [52].
Figure 2.
For CO2 methanation, catalytic activity at 9 L CO2 g−1∙h−1 and H2: CO2 = 4: (A) CO2 conversion; (B) %CH4 selectivity and %CO selectivity [51]. Copyright (2023) Fuel.
In addition, the low-temperature conversion of CO2 methanation on non-noble metal catalysts has been one of the research hotspots in recent years. For example, Zhu et al. [53] prepared a Y2O3-promoted NiO-CeO2 catalyst by designing the oxygen vacancy of the Ni-based catalyst. They introduced the metal oxide Y2O3, which is incompatible with the support CeO2 lattice, to promote the generation of oxygen defects. Under mild conditions (<300 °C), the catalyst was three times more active than the conventional NiO/CeO2 catalyst. Ma et al. [54] found that the turnover frequency (TOF) of CO2 methanation of Ni/monoclinic-ZrO2 was increased by 116% compared with that of Ni/cubic-ZrO2 at 240 °C by optimizing the crystal phase of ZrO2 in the Ni/ZrO2 catalyst, while the activation energy of the reaction was reduced by 24%.
3.2. Effect of Reaction Pressure
The CO2 methanation reaction is a gaseous reaction in which the number of reactants is reduced. According to Le Chatelier’s law, pressurization is an effective measure to improve the conversion rate. Thermodynamic studies conducted by Ahmad et al. [55] on the Cu-K/Al2O3 catalyst showed that the equilibrium conversion and CH4 yield increased with the increase in pressure and were more sensitive under high pressure. Yarbaş et al. [56] conducted modeling and studied the equilibrium composition of the reaction pressure at 1, 3, 5, and 10 atm, respectively (Figure 3). It was found that the proportion of CH4 in the products at all pressures reached its maximum at the lowest temperature (100 °C), and the trend of species changes with temperature was consistent at all pressures. With the increase in pressure, the molar concentration of the reactants (CO2 and H2) decreased, while the molar concentration of the products (CH4 and H2O) increased at the same temperature.
Figure 3.
The equilibrium compositions of different cases; (a) P = 1, (b) P = 3, (c) P = 5, and (d) P = 10 atm [56]. Copyright (2023) International Journal of Hydrogen Energy.
Theoretically, higher CO2 conversion and CH4 selectivity can be achieved under conditions of low temperature and high pressure. However, from an industrial perspective, high-pressure equipment is more dangerous to use, and the low-temperature reaction rate is lower. Therefore, the optimal conditions for CO2 methanation are a temperature of 30~500 °C and a pressure of 0.1~0.3 MPa [57].
3.3. Effect of Gas Hourly Space Velocity
GHSV is also an important factor affecting the performance of catalysts. For instance, Mihet’s team reported that lower GHSV could improve the catalytic performance of CO2 methanation. This is because the lower GHSV directly translates into a longer residence time [58], which increases the contact and reaction time of the catalyst with the reactant feedstock gas. In addition, appropriate GHSV can take away the heat generated in the methanation reaction, and it is not easy to cause excessive temperature and deactivate the catalyst [59].
However, too high GHSV will shorten the residence time of CO2 on the catalyst surface, which will reduce the conversion rate. For example, Fan et al. [50] discussed the catalytic performance of methanation on a 15% Ni/TiO2 catalyst when the GHSV increased from 6200 to 18,600 mL∙g−1∙h−1 (Figure 4). It was found that the catalytic performance decreased significantly when the GHSV was 18600 mL∙g−1∙h−1, which is because not all CO2 can be successfully adsorbed and converted into CH4 at the active sites of the catalyst at high reaction flow rates. Due to the limited active sites available for the hydrogenation reaction, limiting the conversion of CO2 and production of CH4.
Figure 4.
Catalytic performance of 15% Ni/TiO2 at 350 °C and atmospheric pressure under different GHSV [50]. Copyright (2022) Energy Conversion and Management.
3.4. Effect of H2/CO2 Ratio
According to the study [55], the H2/CO2 ratio has an important influence on the CO2 methanation reaction in terms of CO2 conversion, CH4 yield, and CO and CH4 selectivity. For example, Jaffar et al. [60] prepared a 10% Ni/Al2O3 catalyst and explored the effect of the H2/CO2 ratio on the CO2 methanation reaction in detail by changing the molar ratio of H2/CO2. The results showed that when the H2/CO2 ratio increased from 2 to 4, the CO2 conversion and CH4 selectivity increased from 29.1% and 88.9% to 71.7% and 96.1%, respectively, and the methane concentration increased from 5.8 mmol to 9.3 mmol (Figure 5). However, when the H2/CO2 ratio reached 4.5, the CO2 conversion and CH4 yield dropped. This is consistent with the conclusions reached by Aziz et al. [61] and Moghaddam et al. [62]. The possible reason is that when the H2/CO2 ratio is greater than 4, the excess H2 molecules on the catalyst surface compete for CO2 adsorption, reducing the active sites available for CO2 adsorption.
Figure 5.
Effect of H2: CO2 ratio on CH4 concentration, CO2 conversion, CH4 selectivity, and CH4 yield [60]. Copyright (2019) Energy Technology.
In addition, the H2/CO2 ratio also affects the carbon deposition of the catalyst. According to the thermodynamic experiments conducted by Gao et al. [44] on the Ni-based catalyst, when the H2/CO2 ratio is as low as 2, up to 50% carbon deposition can be observed at 500 °C, while when the H2/CO2 ratio is equal to or greater than 4, the carbon deposition decreases to 0. Hussain et al. [57] conducted evaluation experiments and thermodynamic studies on the CO2 methanation reaction of a metal-free fibrous silica-β zeolite (FS@SiO2-BEA) catalyst. It was found that when the H2/CO2 ratio increased from 1 to 2, the proportion of CH4 in the product increased and the proportion of CO decreased. On further increasing the ratio from 2 to 3, the molar fraction of coke formation decreased remarkably, and when the ratio increased to 4, the molar fraction of coke became 0. Based on this observation, it can be concluded that a high H2/CO2 ratio is conducive to high CH4 and no carbon generation.
4. Non-Noble Metal Catalysts for CO2 Methanation Reaction
4.1. Ni-Based Catalysts
The catalysts used for CO2 methanation are mainly supported by Group VIII metals, with active metals, including Ru, Rh, Pd, Pt, Fe, Co, Ni, etc. [63]. Among them, Ni-based catalysts have been widely studied in the process of CO2 methanation due to their high catalytic activity, high CH4 selectivity, abundant reserves, and low price [64].
Ni-based single-atom catalysts have extremely high activity in the activation of C–H bonds, but the carbon deposition generated by C–H bond activation will cover the Ni active sites, resulting in catalyst deactivation [65]. Therefore, it is necessary to further enhance the catalytic activity and CH4 selectivity of Ni-based catalysts, such as through the application of supports and promoters, the use of appropriate preparation methods, etc. [66].
4.1.1. Support
The support material affects the activity of the catalyst by improving the dispersion of the active component, adjusting the surface structure of the catalyst, and affecting the strong interaction between the support and the active component [67]. For Ni-based catalysts, conventional oxide supports include Al2O3, SiO2, TiO2, CeO2, and ZrO2, and other supports include zeolites, MOFs, etc. [68].
Al2O3 has been extensively used for CO2 methanation due to its high specific surface area and relatively low cost [69]. Chen et al. [70] prepared the NiMn/Al2O3 catalyst with various Mn loadings and found that the addition of Mn could improve the dispersion of Ni and facilitate the formation of CH4. Moreover, 20Ni2Mn/Al2O3 has more basic sites, which was conducive to the adsorption and activation of CO2, and the CO2 conversion (90.5%) was the highest at 250 °C. In this study, Al2O3 was detected in the calcined catalyst, and Ni species were all present as NiO compounds. The Mn phase is highly dispersed, and no corresponding diffraction peaks were observed using XRD. For the reduced catalysts, Mn species were mainly present in the form of MnO2, and Ni became difficult to detect, a phenomenon that suggests that the Mn additives led to a better dispersion of Ni particles in the samples.
SiO2 generally exists in an amorphous state and has easily regulated average pore diameter, specific surface area, and pore volume [71]. Xu et al. [72] prepared the Ni-HMS catalysts using hexagonal mesoporous silica (HMS) as the support by the one-pot method. Compared with Ni/HMS and Ni/SiO2 catalysts prepared by traditional methods, the 15Ni-HMS catalyst has the highest CO2 conversion and CH4 selectivity (99.9%) (see Figure 6). The Ni-HMS mesoporous framework can anchor Ni active sites to inhibit sintering, and Ni particles are highly dispersed, which effectively improves the performance of the catalyst. Wang et al. [38] prepared the catalytic activity of Ni/SiO2 catalysts with different Ni particle sizes by different preparation methods and investigated the effect of Ni particle sizes on CO2 methanation in the range of 3.5~7.5 nm. As shown in Figure 7, the Ni particles of all samples were spherically supported on SiO2 supports, but the catalysts prepared by different methods showed different particle sizes. The catalytic performance of Ni/SiO2 catalysts with different Ni particle sizes is shown in Figure 8. It can be seen that the ED catalyst with the smallest nickel particle (3.5 nm) has the highest CO2 conversion rate and the best CH4 yield in the temperature range of 200~500 °C. The characterization results showed that reducing the size of Ni particles can increase the adsorption of CO2 and the number of active sites, thus improving the catalytic activity.
Figure 6.
The curves of the CO2 conversion versus the reaction temperature over the 15Ni-HMS, 15Ni/HMS, and 15Ni/SiO2 catalysts [72]. Copyright (2023) Fuel.
Figure 7.
TEM images (a–d,i,m) of reduced Ni/SiO2 catalysts and the statistics particle size distribution (e–h). EDS mapping of ED (j–l) and DPU8 (n–p) [38]. Copyright (2021) Fuel.
Figure 8.
Activity data expressed as CO2 conversion and equilibrium CO2 conversion (a), CH4 selectivity (b), CH4 yield (c), CO yield (d). Experimental conditions: catalyst mass = 0.1 g, T = 200–500 °C, feed flow = 20 mL/min (2 mL/min CO2, 8 mL/min H2, 10 mL/min N2), GHSV = 12,000 h−1 [38]. Copyright (2021) Fuel.
TiO2 can promote the dissociation of the C–O bond and CO2 hydrogenation activity by electronic interaction with metals [73]. Unwiset et al. [74] prepared Ni/TiO2 catalysts with different loads of Ni by the sol–gel method and found that the 20 wt% Ni/TiO2 catalyst had the best activity and stability, in which CH4 selectivity was almost 100% and CO2 conversion was reduced by less than 10% at 420 °C for 72 h. This can be attributed to the fact that increasing Ni helped Ni2+ replace Ti4+ in the lattice. Moreover, TiO2 deformation generates more oxygen vacancies, inhibits the growth of TiO2 crystals, reduces the crystal size, and thus increases the specific surface area of the catalyst. Li et al. [75] found that due to the strong metal–support interaction (SMSI) that induced a TiO2 coating around Ni nanoparticles, the catalytic activity of CO2 methanation of the Ni-based catalyst on the traditional anatase support was inhibited. However, a large amount of Ti3+ will be produced after pretreatment of a-TiO2 with NH3 and H2, which can hinder the formation of titanium coating and change SMSI, so that the reactants can be exposed to more Ni species and enhance the catalytic activity of Ni/a-TiO2.
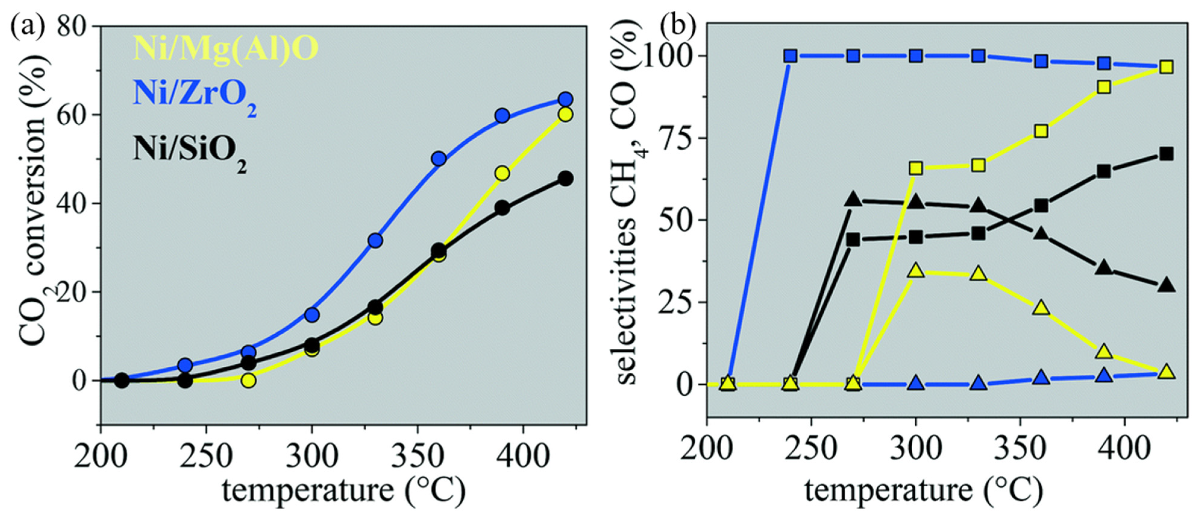
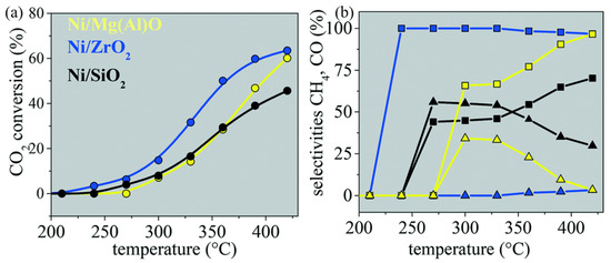
ZrO2 has abundant active and basic sites on its surface, good thermal stability, and high porosity [64]. Espino et al. [76] studied the performance of Ni/ZrO2, Ni/Mg(Al)O, and Ni/SiO2 catalysts in the CO2 methanation reaction and found that the Ni/ZrO2 catalyst has the highest CO2 conversion rate and CH4 selectivity (98%), as shown in Figure 9. Due to the insertion of Ni into the ZrO2 lattice and its own defects, oxygen vacancy was generated, which improved the adsorption and dissociation of CO on the Ni/ZrO2 catalyst.
Figure 9.
(a) CO2 conversion versus temperature. The blue, yellow, and black symbols represent Ni/ZrO2, Ni/Mg(Al)O, and Ni/SiO2, respectively. The experimental conditions are as follows: catalyst mass 200 mg, H2/CO2 ratio 4:1, flow rate 80 mL∙min−1, and pressure 1 atm. (b) Selectivity to CH4 (squares) and CO (triangles) versus temperature. The catalyst colors and the experimental conditions are the same as in (a) [76]. Copyright (2022) Catalysis Science & Technology.
CeO2 has a high specific surface area and abundant oxygen vacancy [77]. Bian et al. [78] prepared Ni-based catalysts with different CeO2 morphologies by the hydrothermal method, namely 5Ni/NPs, 5Ni/NOs, 5Ni/NCs, and 5Ni/NRs. They found that these supports have type IV isotherms, as shown in Figure 10, indicating a rich mesoporous structure from nanocrystal aggregation. They also found that the 5Ni/NPs catalyst had abundant oxygen vacancy, appropriate metal–support interaction, and the best catalytic activity and stability. Moreover, the CO2 conversion rate order below 300 °C was 5Ni/NPs > 5Ni/NOs > 5Ni/NCs > 5Ni/NRs, indicating that the morphology of the CeO2 support affected the activity of the catalyst. Li et al. [79] compared the catalytic activity of Fe/CeO2, Co/CeO2, and Ni/CeO2 for CO2 hydrogenation and found that Ni/CeO2 had the highest CO2 conversion rate, and the selectivity of Ni/CeO2 and Co/CeO2 for CH4 was almost 100%. In contrast, Fe/CeO2 tended to produce CO. The strong interaction between Fe and CeO2 can promote the activation of CO2 but weaken the activation of H2, resulting in poor CO2 hydrogenation activity, while the moderate interaction between Ni, Co, and CeO2 is conducive to H2 activation, thus enhancing the catalytic activity.
Figure 10.
N2 adsorption–desorption isotherms of the as-prepared NRs, NCs, NPs, NPs supports [78]. Copyright (2023) Fuel.
Metal–organic frameworks (MOFs) are a kind of crystalline porous material with a periodic network structure composed of metal ions or metal clusters and organic ligands. It has the advantages of porous structure, large specific surface area, regular pore morphology, flexible composition and structure, etc., so it has been widely used in CO2 catalytic reduction [80]. Compared with traditional catalysts, MOFs can give catalysts unique morphology, flexible and predictable structure, and uniform element distribution [81]. Lin et al. used a high-surface-area Al-containing metal–organic framework, MIL-53 (Al), as a sacrificial support to obtain Ni-Al2O3 catalysts with 5 to 20 wt% Ni content. It was found that Ni nanoparticles were highly dispersed in MOF-derived catalysts, and the formation after MOF calcination of nickel aluminate nanodomains was beneficial to improving the activity and stability of the catalyst [82]. Feng et al. pointed out that the smaller the size of Ni particles, the more active sites can be exposed, which is more favorable for improving catalytic activity. However, small particles are prone to aggregation during impregnation, and particle agglomeration can be inhibited by inhibiting the growth of metal nanoparticles through the carrier pores, while MOFs can be used to limit the supported nanoparticles to maintain small sizes in the pores. They synthesized a MOF-derived Ni/CeO2 catalyst and obtained highly dispersed ultra-fine Ni nanoparticles by using the constraint effect of the porous structure of MOFs. Calcination at 600 °C increased the number of oxygen vacancies in the Ni/CeO2 catalyst, thereby improving the adsorption capacity of CO2 and the catalytic performance [83].
4.1.2. Preparation Method
Different preparation methods may affect the grain size of the active component and the metal–support interaction, leading to different catalytic performances. The common catalyst preparation methods include impregnation, co-precipitation, sol–gel, hydrothermal, and deposition-precipitation.
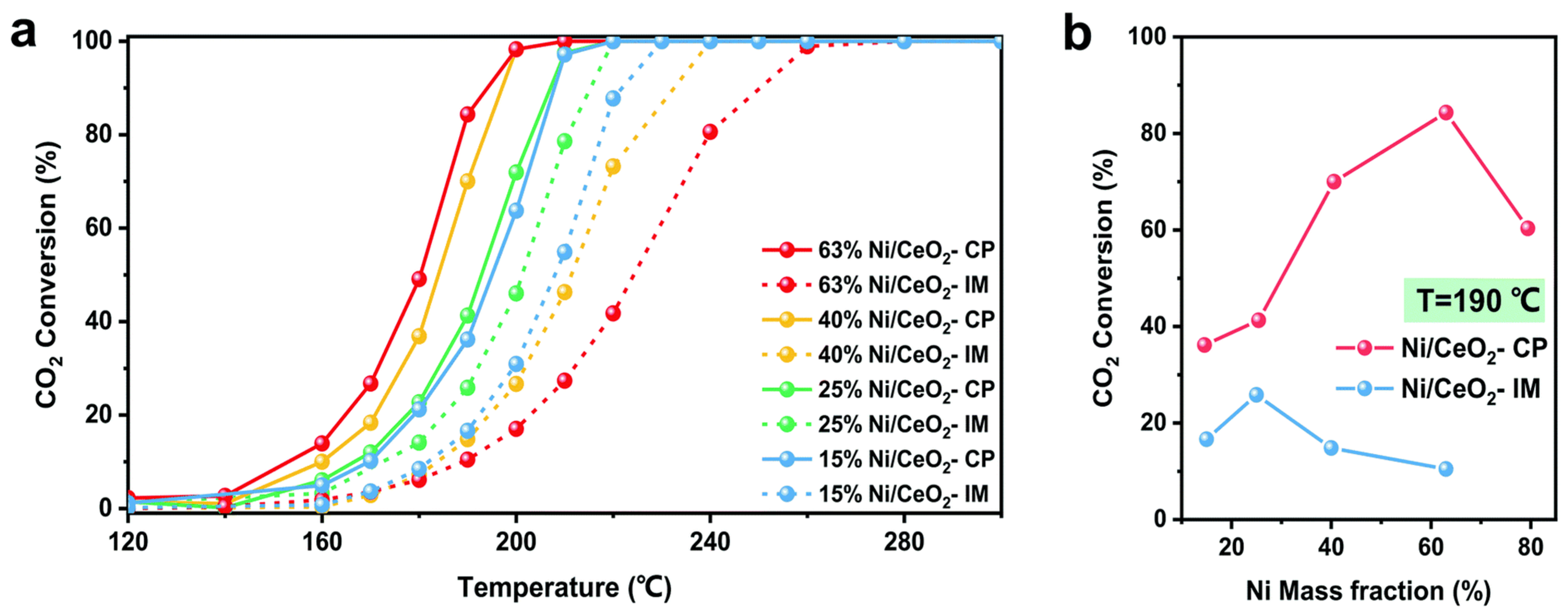
The co-precipitation method can be used to prepare non-noble metal oxide catalysts with high metal content, but the performance of the catalyst will be affected by solution concentration, pH, feeding sequence, and stirring intensity. Zhang et al. [84] prepared Ni/CeO2 catalysts by a continuous co-precipitation method and found that catalysts prepared by the improved co-precipitation method have better low-temperature CO2 methanation activity than catalysts prepared by the impregnation method, as shown in Figure 11.
Figure 11.
(a) CO2 methanation activities of the catalysts prepared by the CP/IM method with different Ni loadings at various temperatures (reaction conditions: P = 1.0 atm, SV = 24,300 mL∙g−1∙h−1, (H2/CO2) molar ratio = 80), (b) comparison of CO2 conversion for catalysts with different Ni loadings at 190 °C [84]. Copyright (2022) Catalysis Science & Technology.
The active metal of catalysts prepared by the sol–gel method is relatively well-dispersed. Moghaddam et al. [85] used a new sol–gel method without surfactants to synthesize an Ni/Al2O3 catalyst with 15~30 wt% Ni content. It was found that the specific surface area of the catalyst was large, up to 269.2 to 297.3 m2∙g−1, and the Ni is easier to reduce due to the weak interaction between NiO and Al2O3. Moreover, 30Ni/Al2O3 had the best catalytic performance at 350 °C, the CO2 conversion was 73.98%, and the CH4 selectivity was 99%. The catalyst samples after 700 °C calcination were mainly cubic nickel aluminate spinel, and no NiO peaks were detected even at higher Ni content, suggesting that Ni is highly dispersed.
The catalyst prepared by the hydrothermal method has good dispersion, uniform distribution, and light particle agglomeration and is commonly used to synthesize catalysts with controllable morphology. Liu et al. [86] compared the performance of Ni/SiO2 catalysts prepared by impregnation, the sol–gel method, and hydrothermal methods. It was found that the Ni particle size on the catalyst prepared by the hydrothermal method was the smallest and the dispersion was the best, and there were more active sites on the surface of the catalyst, resulting in better catalytic performance.
In addition to those mentioned above, there are several preparation methods. For example, the active components of the catalyst obtained by impregnation can be evenly distributed in the pores of the support. However, it may cause the migration of active components during the drying process [87]. The deposition–precipitation method can improve the utilization rate of active components but requires a high specific surface area of the support, and the metal particles generated are larger and the uniformity is low [88].
4.1.3. Promoter
Adding various kinds of metal promoters to Ni-based catalysts can improve the dispersion of active components on the surface of the catalyst to regulate the relationship between the active components and support, thereby improving the activity and stability of catalysts. The promoters of Ni-based catalysts mainly include alkaline earth metals, transition metals, and rare earth metals [89].
Liu et al. [90] modified Ni/CeO2 by doping alkaline earth metals (Mg, Ba, Sr, and Ca) and found that the activity of Ni/CeO2 was improved. The activity order of catalysts was Ni/Ca0.1Ce0.9Ox > Ni/Sr0.1Ce0.9Ox > Ni/Mg0.1Ce0.9Ox > Ni/Ba0.1Ce0.9Ox > Ni/CeO2, and the CO2 conversion of Ni/Ca0.1Ce0.9Ox was 75% at 290 °C, CH4 selectivity was 99%. The chemical characterization of catalysts showed that adding alkaline earth metal oxides was beneficial to improve the dispersion of Ni, and there were more oxygen vacancies on the surface of Ni/M0.1Ce0.9Ox, which was related to medium basic sites on the surface of catalysts.
The transition metals Ti, Mn, Fe, Co, and Cu have unique acid–base and reduction properties. Akash et al. [91] compared the CO2 methanation reaction on 17 wt% Ni/γ-Al2O3 and 17 wt% Ni3.2Fe/γ-Al2O3 catalysts and found that adding Fe could improve the stability of Ni0, and Fe inhibited the formation of CO* or the adsorption of CO. The 17 wt% Ni3.2Fe/γ-Al2O3 catalyst had a higher CO2 conversion of 42%. Shafiee et al. [92] modified Ni-Al2O3 by adding different contents of Co and found that the activity of catalysts was improved. As shown in Figure 12, increasing the content of Co could increase the CO2 conversion. The 15Ni-12.5Co-Al2O3 has the best catalytic performance, with CO2 conversion at 76.2% at 400 °C and CH4 selectivity at 96.39%.
Figure 12.
Effect of cobalt loadings on (a) CO2 conversion and (b) CH4 selectivity of the 15Ni-Co-Al2O3 catalysts calcined at 500° with (GHSV = 9000 mL∙gcat−1∙h−1, (H2/CO2) molar ratio = 4) [92]. Copyright (2021) International Journal of Hydrogen Energy.
Reihaneh Daroughegi et al. [93] studied the effect of adding Zr, Ce, La, and Mo on the performance of Ni-Al2O3 catalysts and found that the catalysts with added promoters had higher Ni content and better reducibility at high temperatures and could also improve the interaction between Ni and Al2O3. Among them, the 25Ni-5Ce-Al2O3 catalyst had the smallest Ni crystal size, and Ni could be highly dispersed. The addition of Zr and Ce could promote the formation of oxygen vacancies on the catalyst, thereby enhancing the adsorption capacity of CO2.
4.2. Co-Based Catalysts
Co and Ni belong to the group VIII elements; the activity of hydrogenation reactions is strong for both of them. However, Co catalysts have a poor ability to catalyze the water–gas shift (WGS) reaction. On the other hand, in the CO2 hydrogenation reaction, Co can not only be used as a promoter for Ni-based catalysts but also as an active component itself [94,95]. Because of the weak activity of Co in the WGS reaction, the amount of CO2 adsorbed on the surface of Co is very low, resulting in a small C/H ratio on the surface and the easy formation of CH4, which has the characteristics of less carbon deposition and high selectivity. Considering the characteristics of cost, applicability, stability, and activity, the Co catalyst has certain research significance.
4.2.1. Supports
The support has a crucial influence on the activity of Co-based catalysts. Through the strong interaction between the carrier and Co particles, the redox properties and adsorption properties of the catalyst are affected, and the performance of the catalyst is changed [49]. At present, Co-based catalysts mostly use metal oxides such as ZrO2, Al2O3, SiO2, TiO2, zeolite molecular sieves, and other polymer porous materials.
Among them, the most studied Co/Al2O3 and Co/ZrO2 catalysts have the closest and highest CH4 yields. The Co/ZrO2 catalyst has higher activity, CO2 conversion, and stability when it is close to equilibrium. Li et al. loaded 10 wt% Co on ZrO2 by the impregnation method, and the activity remained after 300 h and the selectivity of CH4 reached 99.9% [96]. Al2O3 has a wide range of sources and is easy to prepare. The FeCo/Al2O3 catalyst exhibits excellent catalytic performance under mild reaction conditions (280 °C, 0.2 MPa), whose reaction rate was 8.7 μmol gcat−1∙s−1, under the synergistic effect of Al2O3 support and Fe, the yield is significantly higher than that of Co/Al2O3 catalyst (1.68·10−3 mol∙gcat−1∙min−1) [97]. In this study, researchers used in situ XRD to follow the intermediate-state products of Co and Fe. As for samples with equal amounts of FeCo, there was an apparent metallic Fe0 phase at 600 °C, and Fe3O4 and CoFe3O4 were detected. Although there was no CoO/Co phase detected, the presence of metallic Fe0 definitely indicated the existence of interaction and the improvement of reducibility.
Lauterbach et al. [98,99] compared the interaction of SiO2, Al2O3, and TiO2 supports with cobalt nanorods (CoNR) materials. In the kinetically controlled temperature range (150~250 °C), the CoNR/TiO2 catalyst exhibited higher catalytic activity than the other two catalysts. Whereas, in the temperature range of mass transfer control (>300 °C), CoNR/Al2O3 exhibits significantly enhanced activity due to the good thermal conductivity of Al2O3. Compared with CoNR/TiO2 and CoNR/Al2O3, CoNR/SiO2 shows no change in catalytic activity compared with pure CoNR, indicating that the promotion effect of SiO2 support was not obvious.
In the direction of zeolite material support, Nadia et al. [100] prepared a special methanation catalyst by using Co-based layered zeolitic imidazolate framework (ZIF-L) material under an argon atmosphere, that is, fixed on highly porous nitrogen Co nanoparticles in a doped carbon matrix. The specific activity of the catalyst at 350 °C is 22.3 molCH4∙gcat−1∙min−1, which is significantly better than more conventional ZIF-67-like catalysts (11.7 molCH4∙gcat−1∙min−1). This is due to the stability of Co nanoparticles (~20 nm) and the abundant basic active sites associated with nitrogen doping in ZIF-L-prepared catalysts. What is more, this new catalyst has not been observed to be deactivated within 60 h, which shows the high stability of the catalyst.
4.2.2. Preparation Method
In order to obtain a highly dispersed catalyst, the preparation method is also an important part of the activity of the catalyst. On the idea of preparing Co/ZrO2 catalyst by the impregnation method, Li et al. [95] adopted the method of organic acid-assisted preparation to obtain a highly dispersed Co/ZrO2 catalyst. The loading of Co in the carrier was only 2 wt%, but the CO2 methanation reaction exhibits excellent catalytic performance. Among many organic acids, the Co/ZrO2 catalyst prepared by citric acid has the best catalytic activity, and the conversion of CO2 is as high as 85%, see in Figure 13. At the same time, citric acid-assisted preparation of Co/diatomite catalysts is also an effective method to improve the performance of the catalyst. The CO2 conversion is 73%, the CH4 selectivity is 96%, and it shows good stability in the long-term reaction [101]. The assistance of organic acids can effectively improve the metal dispersion of Co catalysts and thus obtain more active sites for CO2 adsorption and catalytic hydrogenation.
Figure 13.
The catalytic performance of n-hexylic acid, adipic acid, and citric acid-assisted Co/ZrO2 catalysts and the benchmark Co/ZrO2 catalyst. Conditions: molar ratio of H2/CO2 = 4/1, GHSV = 7200 mL∙g−1∙h−1, P = 3 MPa, T = 400 °C [95]. Copyright (2019) Applied Catalysis B-Environmental.
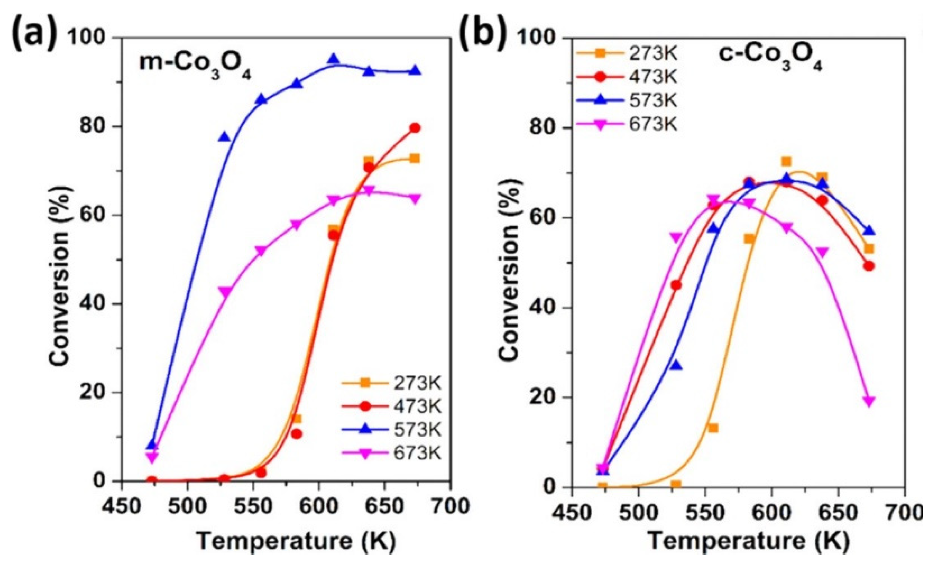
Anastasiia et al. [102] synthesized a mesoporous m-Co3O4 catalyst with a BET surface area of 95 m2∙g−1 using the co-precipitation method. And found that the m-Co3O4 catalyst was more active than the commercial c-Co3O4 (BET surface area of 15 m2∙g−1) catalyst and had better thermal stability at high temperatures, see in Figure 14. This study shows that in the CO2 methanation reaction, factors such as the morphology of the catalyst body and surface and the existence of defect sites directly affect the catalytic performance and reaction mechanism of the catalyst [48].
Figure 14.
CO2 conversion over (a) m-Co3O4 and (b) c-Co3O4 reduced at 273, 473, 573, and 673 K [102]. Copyright (2021) Journal of Physical Chemistry C.
Compared with the impregnation method, the catalysts prepared by the co-precipitation method have a stronger interaction between Co oxide and Ce. For the preparation of Co/CeO2 catalysts, a moderate calcination temperature is a reasonable condition to achieve high CASA (catalytically active surface area), but when the calcination temperature of co-precipitated and impregnated catalysts is 500~700 °C, the total number of basic sites will significantly decrease [103]. DFSP (double flame spray pyrolysis) enables the control and separation of the particle formation process of different catalyst components and can be used to evaluate the effects of active metals, support materials, dopants, and promoters, as well as particle size distribution and porosity. Max Gäßler et al. [104] used DFSP technology to support Co nanoparticles with the same particle size distribution on SiO2, TiO2, and SiO2-TiO2 mixtures, and obtained the activity, selectivity, and deactivation behavior of the supported Co catalysts from the support materials main conclusions.
4.2.3. Promoter
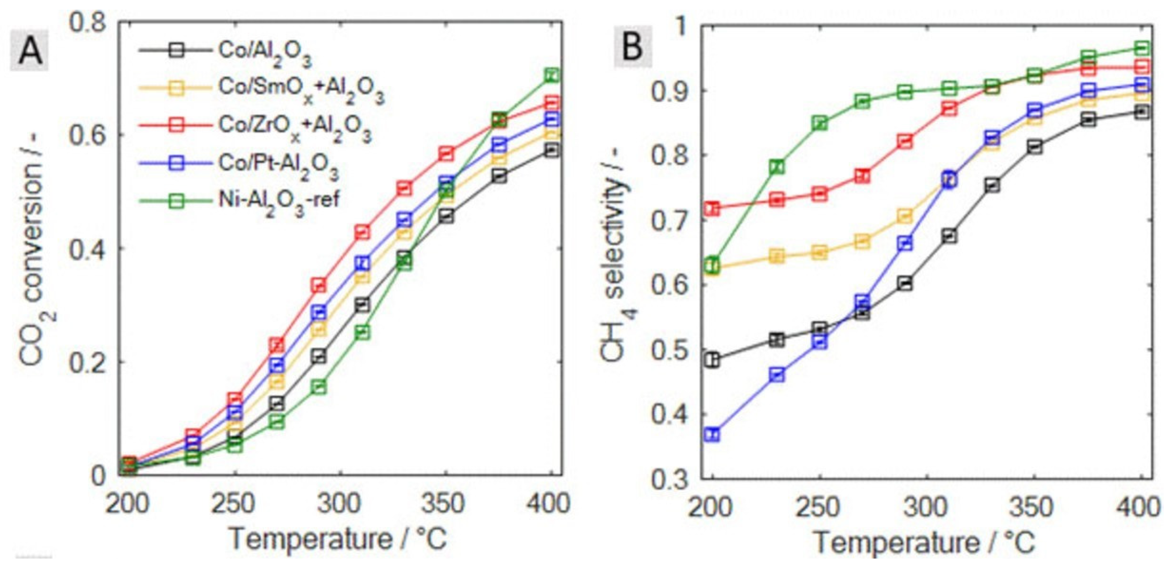
Jakob Stahl et al. [105] used the DFSP method to synthesize catalysts with different promoters with the same size distribution and dispersion to study the co-catalytic effect of Pt, ZrOx, SmOx, and other promoters on Co-based catalysts. Among them, ZrO2 and Pt performed significantly better than SmOx, as shown in Figure 15. With the introduction of the Pt promoter, the H2 absorption rate and the corresponding metal surface area are significantly increased, while the CO2 adsorption capacity is similar to that of the Co catalyst without the promoter.
Figure 15.
Results of the CO2 methanation experiments for all studied catalysts. (A) CO2 conversion vs. temperature; (B) CH4 selectivity vs. temperature. Conditions: total pressure 1 bar, total flow rate 50 mLS∙min−1 composed of 4/1/5 H2/CO2/Ar, 25 mg of catalyst [105]. Copyright (2021) ChemCatChem.
In order to achieve high-efficiency catalysis of CO2 methanation by non-noble metal catalysts at low temperatures (<200 °C), Tu et al. [106] found that by adding Zr to amorphous Co catalysts, the low-temperature catalytic effect was similar to that of noble metals. Since the Zr promoter can expand the surface area of the catalyst, adjust the valence state of the surface atoms of the catalyst, and combine with the rich surface defects and inherent active sites brought about by the amorphous nature of the catalyst itself, high-efficiency catalysis at low temperatures is realized.
The addition of an Mn promoter can significantly improve the performance of Co-based catalysts, which not only promotes the overflow of hydrogen from active Co sites to spinel supports but also leads to a significant increase in the catalytic active surface area of Mn-modified catalysts [107].
4.3. Other Catalysts
In addition to Ni-based and Co-based catalysts, supported Fe-based catalysts are also commonly used as active catalysts for CO2 hydrogenation. Because traditional Ni-based catalysts are inactivated by sintering under high-temperature conditions, Fe-based catalysts are non-toxic, cheaper, and easier to obtain. They have a higher specific surface area and can react at lower pressures [97].
Similar to the above, the catalytic performance of Fe-based catalysts depends to a large extent on synthesis methods, such as impregnation, coprecipitation, sol–gel, etc. [108]. For instance, Güttel et al. [109] prepared α-Fe2O3 catalysts, Fe-based catalysts supported by SiO2 (15Fe/SiO2), and core–shell catalysts (15Fe@SiO2), and compared their CO2 methanation activity. The α-Fe2O3 and 15Fe/SiO2 catalysts were all prepared by the impregnation method, while the core–shell 15Fe@SiO2 catalyst was obtained by the adaptive inverse microemulsion method [110]. The experimental results show that under the reaction condition of 400 °C, 1 bar, with a space velocity of 52,000 h−1(69.2 mmol(CO2)/mol(Fe)/s) and H2/CO2 = 4, the CH4 generation rate of the α-Fe2O3 and 15Fe/SiO2 catalysts is similar, which is 0.25 mmol(CO2)∙(mol(Fe)∙s)−1 and the 15Fe@SiO2 catalyst has better stability. Combined with the characterization technology, it was found that there is no carbon deposition on the 15Fe@SiO2 catalyst with a core–shell structure after reaction for 17 h without the reaction process of hot sintering, and the core–shell structure is complete [109]. However, the depletion of α-Fe2O3 samples is subjected to breakage or wear, and the stability is not high [111]. They pointed out that the methanation activity of the 15Fe@SiO2 catalyst needs to be improved, but its carbon deposition is about 300 times less than that of the α-Fe2O3 catalyst and 32 times lower than that of impregnated Fe-based catalysts, their TEM plots are shown in Figure 16. Moreover, the stability of 15Fe@SiO2 catalysts is significantly improved [109].
Figure 16.
Preparation (top) and consumption (bottom) of TEM micrographs of α-Fe2O3 and 15Fe@SiO2 sample preparation [109]. Copyright (2020) Chemie Ingenieur Technik.
In addition, TiO2, SiO2, ZrO2, and Al2O3 are commonly used as metal oxide supports for catalysts in methanation reactions. Toemen et al. [112] synthesized a novel metal oxide (Ru/Fe/Ce) on the γ-Al2O3 catalyst by the impregnation method and investigated the methanation activity under atmospheric pressure. They compared the various properties of Ru/Fe/Ce γ-Al2O3 catalysts at different calcination temperatures. It was found that the Ru/Fe/Ce (5:10:85)/γ-Al2O3 catalysts calcined at 900 °C had a higher specific surface area (73.87 m2∙g−1) than those calcined at 1000 °C (51.07 m2∙g−1) and 1100 °C (22.30 m2∙g−1). The increase in calcination temperature will reduce the specific surface area and pore volume of the catalyst. When the temperature rises to 1100 °C, the larger the pore size and the smaller the pore volume, the lower the catalytic activity. Therefore, the 10 g Ru/Fe/Ce (5:10:85)/γ-Al2O3 catalyst calcined at 1000 °C has a higher catalytic activity, the CO2 conversion rate is increased to 100%, and the CH4 yield is 90.5%. In addition to the above oxides, zeolite can also be used as the carrier of Fe-based catalysts, and the interaction between the two can improve the dispersion of Fe species. For instance, using zeolite as the support of Fe-based catalysts, Franken et al. [113] studied the impregnation method to prepare three catalysts with different loading loads (1, 5, and 10 wt%) and analyzed the zeolite structure with relevant characterization. It was found that the impregnation process and calcination temperature had a great impact on the stability of zeolite. The results show that the reaction rate is 42 mmol(CO2)∙(mol(Fe)∙s)−1 and the selectivity of CH4 is 76% with a loading of 1 wt% at 300 °C and 10 bar. When the loading of Fe is high, it tends to form more and more high-carbon hydrocarbons in Fischer–Tropsch reaction products under increased pressure. In addition, the catalysts with high Fe loading are more likely to destroy the zeolite structure and form Fe3C around the support, which affects the selectivity of CH4. Therefore, avoiding the formation of the Fe3C phase is crucial for the high selectivity of CH4.
Promoters are also an important part of the catalyst and have an important impact on the activity of the catalyst. For example, Kureti et al. [114] prepared a series of Fe-based catalysts with different Mg contents, deeply explored the influence of promoters on the methanation reaction of Fe-based catalysts, and found that Mg as a promoter could further enhance catalyst activity by improving the basicity of the catalyst surface and greatly improving the CO2 conversion rate. The results showed that when the load of Mg is 2 wt%, the highest CH4 yield is 32% and the selectivity is 65%. In addition, Landau et al. [115] studied the effects of TiO2, SiO2, ZrO2, and MnO on the hydrogenation of CO2 in the presence of the surfactant cetyl trimethyl ammonium bromide (CTAB). The results showed that TiO2 at 20 wt% increased the rate of RWGS and FTS. The selectivity of CO was decreased and that of CH4 was increased, which is conducive to the methanation reaction.
In addition to the Fe-based catalyst mentioned above, the Mo-based catalyst has good sulfide performance and can be used for methanation reactions [116]. Qin et al. [117] found that Mo/Al2O3 catalysts are widely used in chemical production, but the interaction between Mo and Al2O3 is not strong enough under high-temperature methanation reactions, and the dispersion of MoS2 supported by Al2O3 is poor, which makes it easy to sinter in the reaction. The interaction between Mo and CeO2 is stronger than that between Mo and Al2O3. The Mo phase supported on CeO2 tends to exist in the form of monolayer MoS2, but highly dispersed MoS2 is unstable. CeO2/Al2O3-supported MoS2 catalysts have high dispersion and excellent high-temperature stability. The effects of the roasting method and precipitation method on the preparation of CeO2 on the Mo-based catalyst are compared by relevant characterization methods, and the results show that the catalytic activity and stability of the CeO2 support prepared by the roasting method are higher [118]. Wang et al. [119] prepared MoO3/CeO2 catalysts by the impregnation method. They studied the effect of MoO3 loading on methanation catalytic performance and found that the CO conversion rate reached its maximumwhen 5 wt% MoO3 was added to CeO2 support. Wang et al. [120] reported that MoP catalysts were widely used in CO hydrogenation reactions, and a series of MOP-x (x = P/Mo ratio from 1 to 5) catalysts were prepared by pyrolysis of phytic acid (PA)-derived Mo complexes in H2 atmosphere. The physicochemical properties and catalytic activity of MoP catalysts were studied, and the characterization results further confirmed that the Moδ+ site of MoP catalysts is the active site of methanation reactions, and its content on the surface of MOP-x catalysts determines the catalytic activity of the catalysts. In addition, Cu-based catalysts are also used as catalysts for CO2 hydromethanation. Gabor Varga et al. [121] prepared an efficient Cu–Co bimetallic catalyst for CO2 methanation through a spinel oxide precursor system and found that Cu0.4Co2.6O4 showed high activity and high CH4 selectivity (65–85%) in the temperature range of 250~425 °C. However, Cu-based catalysts are mostly used for CO2 hydrogenation electrocatalytic conversion or CO2 hydrogenation to methanol.
5. Reaction Mechanisms
An in-depth understanding of key intermediates and reaction mechanisms is critical for the design of catalysts [122]. Many researchers have elucidated possible CO2 methanation mechanisms through in situ FTIR, mass spectrometry (MS) techniques, and density functional theory (DFT) calculations. Although there is much debate about the intermediates and different reaction pathways for the generation of CH4, these mainly include the following two pathways: (1) The CO pathway, also known as CO2 dissociation methanation: chemisorbed *CO2 can dissociate into *CO and *O. The formed *CO can be further dissociated into carbon (*C) and then hydrogenated to CH4 by desorption of the dissociated H2 on the metal particles from the catalyst surface, while *O can react with hydrogen to form H2O. (2) Formic acid pathway: The formic acid substance is the main intermediate product formed in the CO2 methanation reaction, also known as CO2-associated methanation: Chemisorbed *CO2 is first converted to didentate (HCOO*), then to formic acid (HCOOH), and then to CH4 [48,123,124,125,126,127,128]. The possible reaction pathways are shown in Figure 17. In addition to the above two pathways, there are other pathways, such as direct methanation of CO2 [129], intermediates of both CO and formic acid, etc.
Figure 17.
Different CO2 methanation routes: formic acid route and CO route [68]. Copyright (2022) Catalysts.
5.1. CO Intermediate Mechanism
The CO pathway dissociates CO2 from CO prior to methanation, and in the subsequent reaction, CO is converted to CH4 by reacting with H2 [68]. Although the H-assisted CO dissociation mechanism has been widely elucidated, there are differences in C–O bond breaking. Through DFT calculations and microdynamics studies, Li et al. [130] studied the cleavage of C–O bonds through CHO intermediates at low Co (0001) coverage, which mainly controls the methanation rate of CO. The mechanism is independent of the functional groups considered and the presence of graphitic carbon and may also be applicable to other Co surface structures, which may be used to design improved CO hydrogenation catalysts. Liu et al. [131] used the DFT calculation method to determine the internal reaction mechanism of CO2 methanation on Ni/CeO2 catalysts. It was found that CO2 methanation on Ni/CeO2 catalysts may be the conversion of CO2 to CO by the RWGS, which then converts it to CH4 through the same pathway as CO methanation. Because of the high energy barrier, there is no obvious advantage to forming formates or directly cracking C–O bonds. CO2* → HOCO* → CO* → HCO* → H2CO* → CH2* → CH3* → CH4* is the optimal reaction pathway. C–O bond breaking of H-assisted H2CO* is the rate-limiting step in the RWGS + CO-hydro pathway and plays a crucial role in the CO2 methanation process. Bentrup et al. [132] studied the hydrogenation of CO2 to CH4 using Ni-sepiolite and Ni-marble as catalysts. On the Ni-sepiolite catalyst, the support material cannot adsorb CO2, and the dissociation adsorption of CO2 in the presence of H2 is observed to be activated by the dissociation of H atoms on NiO particles. Therefore, linear and bridged CO on NiO are identified as intermediates, where preferentially linearly bonded CO is hydrogenated to CH4. Henriques et al. [133] performed multiple infrared measurements of zeolitride under CO2/Ar or CO2/H2/Ar conditions. In the absence of H2, CO2 is almost not adsorbed by acidic zeolites, but in the presence of H2, formates and carbonyl groups can be detected. The results show that the CO2 methanation pathway is not formed by carbonate but by the dissociation of formate on Ni, forming adsorbed CO. Moreover, the results obtained using FTIR show the presence of bidentate carbonates on Ni2+ in the remaining NiO, which are highly thermally stable, and these bulk carbonates appear to be “spectator” species that do not participate in the methanation reaction. Therefore, CO is considered to be the main intermediate, and its dissociation is the determining step of CO2 methanation. Similarly, Peebles et al. [134] investigated the methanation and dissociation of CO2 on Ni (100) surfaces. The formation and activation energies of CH4 and CO are 88.7 kJ∙mol−1 and 72.8~82.4 kJ∙mol−1, respectively. Under the same reaction conditions, the activation energy and reaction rate of CO2 to CH4 are very close to the activation energy and reaction rate of CO methanation, so CO is an intermediate of CO2 methanation [134]. Jacquemin et al. [135] studied the reaction mechanism of CO2 methanation on an Rh/γ-Al2O3 catalyst. CH4 is the only hydrocarbon product observed in MS. They think that CO2 dissociates the CO, and oxygen adsorbs on the surface of the catalyst. In situ FTIR experiments demonstrated that the formation of CO (ads) is confirmed by linear RH-CO (2048 cm−1), Rh3+-CO (2123 cm−1), and GEM-dicarbonyl Rh-(CO)2 (2024 and 2092 cm−1), and CO2 with dicarbonyl and CO associated with Rh2O3 react most actively with hydrogen.
5.2. Mechanism of Formic Acid Intermediates
Muroyama et al. [136] studied the mechanism of CO2 methanation on Ni/Al2O3 and Ni/Y2O3 catalysts using in situ FTIR spectroscopy. For Ni/Al2O3, CO2 is dissociated and adsorbed on Ni particles. By introducing hydrogen into the atmosphere, linear and bridged CO adsorbents are converted to nickel carbonyl hydride or formyl substances, which are then hydrogenated into CH4. Compared with Ni/Al2O3, formic acid and bridging CO are formed on Y2O3 support and Ni particles, respectively, and the reaction on Ni/Y2O3 is mainly carried out by forming formic acid adsorption. The CO adsorbates over the Ni particle are hydrogenated to CH4 via the formation of nickel carbonyl hydride and/or formyl species. The hydroxyl group of Y2O3 facilitates the conversion of carbonates and bicarbonates into formates, and formic acid intermediates are located on Y2O3, so Ni and Y2O3 can directly participate in the reaction to make the catalyst more active overall [137].
Wang et al. [138] investigated the active site-dependent mechanism of CO2 methanation catalyzed by the Ru/CeO2 catalyst, using XANES, IR, and Raman to study the formation process of Ce3+, surface hydroxyl, and oxygen vacancy in Ru/CeO2, and clearly revealed their structural evolution under reaction conditions. Steady-state isotope transient kinetic analysis (SSITKA) type in situ drift infrared spectroscopy confirmed that in the presence of Ru/CeO2, these substances are involved in the catalytic process of the formic acid route, and oxygen positions catalyze the dissociation of formic acid to methanol, which is the rate-determining step, and eventually form methane (as shown in Figure 18).
Figure 18.
Schematic diagram of CO2 methanated formic acid on Ru/CeO2 catalyst [138]. Copyright (2016) Journal of the American Chemical Society.
Wang et al. [126] studied the adsorption and methanation of CO2 on an Ni/Ce0.5Zr0.5O2 catalyst by in situ FTIR spectroscopy. They found that CO2 is more likely to be adsorbed at the surface oxygen site near Ce(III), and the unidentate carbonates formed on Ce(III) are easy to hydrogenate. Formate is the main intermediate product in the reaction, which is formed by the hydrogenation of hydrogen carbonate and unidentate carbonates. Schild et al. [139] studied CO2 methanation on an Ni-Zr catalyst by in situ FTIR. It was observed that CH4 production increased with the depletion of the formic acid signal, and it was concluded that formate is a necessary intermediate for methane production.
6. Conclusions and Outlook
Non-noble metal catalysts have excellent catalytic activity for CO2 methanation, are low priced, and are conducive to wide application in industry. Therefore, this paper reviews the latest progress of non-noble metal catalysts in CO2 methanation from four aspects, namely CO2 methanation thermodynamics and kinetics, non-noble metal catalysts, the effect of reaction conditions, and reaction mechanisms. In this work, the kinetics and thermodynamic characteristics of CO2 methanation are explained, and it is clear that the reaction is an exothermic and volumetric shrinkage reaction, so low temperature and high pressure are more conducive to the reaction. Secondly, the influences of supports, promoters, and preparation methods on the catalytic performance of CO2 methanation of Ni-based, Co-based, and other catalysts were summarized. It is found that the catalytic performance is affected mainly by reducing the particle size of the active metal, increasing the dispersion of the active metal, improving the strong metal–support interaction, and regulating the number of oxygen vacancies and the number of basic sites. In addition, the reaction conditions also affect the catalytic activity; suitable reaction conditions are beneficial to improving catalytic performance. We also discuss the reaction mechanism of CO2 methanation and find that there are roughly three pathways, namely the CO pathway, the formate pathway, and the direct hydrogenation of CO2 to CH4. Based on this discussion, we suggest that the resistance to carbon accumulation and sulfur poisoning should be taken into account when improving the performance of the catalyst. Moreover, it is necessary to try more new materials and preparation methods, consider the effect of support morphology on catalyst performance, and use bimetallic catalysts with better performance.
Author Contributions
Conceptualization, Y.C. and S.H.; formal analysis, Y.C., S.H. and J.Y.; investigation, Y.C., S.H. and J.Y.; resources, K.H., X.C., L.X. and C.D.; data curation, C.L. and S.P.; writing—original draft preparation, Y.C., S.H. and J.Y.; writing—review and editing, K.H., X.C., L.X. and C.D.; project administration, R.G. and C.Z.; funding acquisition, R.G. and C.Z. All authors have read and agreed to the published version of the manuscript.
Funding
This work was funded by “Carbon Upcycling Project for Platform Chemicals” (Project Nos. 2022M3J3A1045999, 2022M3J3A1039377) through the National Research Foundation (NRF) funded by the Ministry of Science and ICT, Republic of Korea. We also supported by the Natural Science Foundation of Jiangsu Province (Grant Nos. BZ2023051, BK20200694, 20KJB530002, and 21KJB480014), the Jiangsu Specially-Appointed Professors Program, and Jiangsu Province Innovation and Entrepreneurship Training Program for College Students (Grant No. 202310291239Y).
Conflicts of Interest
The authors declare no conflict of interest.
References
- Wilberforce, T.; Olabi, A.G.; Sayed, E.T.; Elsaid, K.; Abdelkareem, M.A. Progress in carbon capture technologies. Sci. Total Environ. 2021, 761, 143203. [Google Scholar] [CrossRef] [PubMed]
- Mora, C.; Spirandelli, D.; Franklin, E.C.; Lynham, J.; Kantar, M.B.; Miles, W.; Smith, C.Z.; Freel, K.; Moy, J.; Louis, L.V.; et al. Broad threat to humanity from cumulative climate hazards intensified by greenhouse gas emissions. Nat. Clim. Change 2018, 8, 1062–1071. [Google Scholar] [CrossRef]
- Rogelj, J.; Geden, O.; Cowie, A.; Reisinger, A. Three ways to improve net-zero emissions targets. Nature 2021, 591, 365–368. [Google Scholar] [CrossRef] [PubMed]
- Roelfsema, M.; van Soest, H.L.; Harmsen, M.; van Vuuren, D.P.; Bertram, C.; den Elzen, M.; Höhne, N.; Iacobuta, G.; Krey, V.; Kriegler, E.; et al. Taking stock of national climate policies to evaluate implementation of the Paris Agreement. Nat. Commun. 2020, 11, 2096. [Google Scholar] [CrossRef]
- Ishaq, H.; Dincer, I.; Crawford, C. A review on hydrogen production and utilization: Challenges and opportunities. Int. J. Hydrogen Energy 2022, 47, 26238–26264. [Google Scholar] [CrossRef]
- Lu, P.; Chang, X.N.; Yu, W.J.; Hu, Q.W.; Ali, K.M.; Xing, C.; Du, C.; Yang, Z.X.; Chen, S.Y. Synergistic effects of ZnO-ZrO2@SAPO-34 core-shell catalyst in catalyzing CO2 hydrogenation for the synthesis of light olefins. Renew. Energy 2023, 209, 546–557. [Google Scholar] [CrossRef]
- Roy, S.C.; Varghese, O.K.; Paulose, M.; Grimes, C.A. Toward Solar Fuels: Photocatalytic Conversion of Carbon Dioxide to Hydrocarbons. ACS Nano 2010, 4, 1259–1278. [Google Scholar] [CrossRef]
- Zhou, Z.X.; Gao, P. Direct carbon dioxide hydrogenation to produce bulk chemicals and liquid fuels via heterogeneous catalysis. Chin. J. Catal. 2022, 43, 2045–2056. [Google Scholar] [CrossRef]
- Zhang, Z.E.; Pan, S.Y.; Li, H.; Cai, J.C.; Olabi, A.G.; Anthony, E.J.; Manovic, V. Recent advances in carbon dioxide utilization. Renew. Sustain. Energy Rev. 2020, 125, 109799. [Google Scholar] [CrossRef]
- Wang, H.Q. Nanostructure@metal-organic frameworks (MOFs) for catalytic carbon dioxide (CO2) conversion in photocatalysis, electrocatalysis, and thermal catalysis. Nano Res. 2022, 15, 2834–2854. [Google Scholar] [CrossRef]
- Fan, W.K.; Tahir, M. Current Trends and Approaches to Boost the Performance of Metal Organic Frameworks for Carbon Dioxide Methanation through Photo/Thermal Hydrogenation: A Review. Ind. Eng. Chem. Res. 2021, 60, 13149–13179. [Google Scholar] [CrossRef]
- Gao, P.; Zhong, L.S.; Han, B.X.; He, M.Y.; Sun, Y.H. Green Carbon Science: Keeping the Pace in Practice. Angew. Chem. Int. Ed. 2022, 61, e202210095. [Google Scholar] [CrossRef] [PubMed]
- Saeidi, S.; Najari, S.; Hessel, V.; Wilson, K.; Keil, F.J.; Concepcion, P.; Suib, S.L.; Rodrigues, A.E. Recent advances in CO2 hydrogenation to value-added products—Current challenges and future directions. Prog. Energy Combust. Sci. 2021, 85, 100905. [Google Scholar] [CrossRef]
- Braga, A.H.; Vidinha, P.; Rossi, L.M. Hydrogenation of carbon dioxide: From waste to value. Curr. Opin. Green Sustain. Chem. 2020, 26, 100386. [Google Scholar] [CrossRef]
- Saravanan, A.; Kumar, P.S.; Vo, D.V.N.; Jeevanantham, S.; Bhuvaneswari, V.; Narayanan, V.A.; Yaashikaa, P.R.; Swetha, S.; Reshma, B. A comprehensive review on different approaches for CO2 utilization and conversion pathways. Chem. Eng. Sci. 2021, 236, 116515. [Google Scholar] [CrossRef]
- Chang, X.N.; Hondo, E.; Yu, W.J.; Ali, K.M.; Nyako, A.; Xing, C.; Yang, Z.X.; Lu, P. Effect of acidity and oxygen vacancy in Mn loaded SAPO-34 on CO2 hydrogenation to light olefin. Fuel 2023, 353, 129160. [Google Scholar] [CrossRef]
- Wang, W.Y.; Zhou, W.; Tang, Y.C.; Cao, W.C.; Docherty, S.R.; Wu, F.W.; Cheng, K.; Zhang, Q.H.; Coperet, C.; Wang, Y. Selective Oxidation of Methane to Methanol over Au/H-MOR. J. Am. Chem. Soc. 2023, 145, 12928–12934. [Google Scholar] [CrossRef]
- Karakaya, C.; Kee, R.J. Progress in the direct catalytic conversion of methane to fuels and chemicals. Prog. Energy Combust. Sci. 2016, 55, 60–97. [Google Scholar] [CrossRef]
- Ghaib, K.; Nitz, K.; Ben-Fares, F.Z. Catalytic Methanation of Carbon Dioxide. Chem. Ing. Tech. 2016, 88, 1435–1443. [Google Scholar] [CrossRef]
- Fan, W.K.; Tahir, M. Recent trends in developments of active metals and heterogenous materials for catalytic CO2 hydrogenation to renewable methane: A review. J. Environ. Chem. Eng. 2021, 9, 105460. [Google Scholar] [CrossRef]
- El Sibai, A.; Struckmann, L.K.R.; Sundmacher, K. Model-based Optimal Sabatier Reactor Design for Power-to-Gas Applications. Energy Technol. 2017, 5, 911–921. [Google Scholar] [CrossRef]
- Vogt, C.; Monai, M.; Kramer, G.J.; Weckhuysen, B.M. The renaissance of the Sabatier reaction and its applications on Earth and in space. Nat. Catal. 2019, 2, 188–197. [Google Scholar] [CrossRef]
- Ghaib, K.; Nitz, K.; Ben-Fares, F.Z. Chemical methanation of CO2: A review. ChemBioEng Rev. 2016, 3, 266–275. [Google Scholar] [CrossRef]
- Jo, S.B.; Woo, J.H.; Lee, J.H.; Kim, T.Y.; Kang, H.I.; Lee, S.C.; Kim, J.C. CO2 green technologies in CO2 capture and direct utilization processes: Methanation, reverse water-gas shift, and dry reforming of methane. Sustain. Energy Fuels 2020, 4, 5543–5549. [Google Scholar] [CrossRef]
- Frontera, P.; Macario, A.; Ferraro, M.; Antonucci, P. Supported Catalysts for CO2 Methanation: A Review. Catalysts 2017, 7, 59. [Google Scholar] [CrossRef]
- Ekeoma, B.C.; Yusuf, M.; Johari, K.; Abdullah, B. Mesoporous silica supported Ni-based catalysts for methane dry reforming: A review of recent studies. Int. J. Hydrogen Energy 2022, 47, 41596–41620. [Google Scholar] [CrossRef]
- Alrafei, B.; Polaert, I.; Ledoux, A.; Azzolina-Jury, F. Remarkably stable and efficient Ni and Ni-Co catalysts for CO2 methanation. Catal. Today 2020, 346, 23–33. [Google Scholar] [CrossRef]
- Jia, X.Y.; Zhang, X.S.; Rui, N.; Hu, X.; Liu, C.J. Structural effect of Ni/ZrO2 catalyst on CO2 methanation with enhanced activity. Appl. Catal. B Environ. 2019, 244, 159–169. [Google Scholar] [CrossRef]
- Tan, C.H.; Nomanbhay, S.; Shamsuddin, A.; Park, Y.K.; Hernandez-Cocoletzi, H.; Show, P.L. Current Developments in Catalytic Methanation of Carbon Dioxide—A Review. Front. Energy Res. 2022, 9, 795423. [Google Scholar] [CrossRef]
- Debek, R.; Azzolina-Jury, F.; Travert, A.; Mauge, F. A review on plasma-catalytic methanation of carbon dioxide—Looking for an efficient catalyst. Renew. Sustain. Energy Rev. 2019, 116, 109427. [Google Scholar] [CrossRef]
- Fan, T.; Liu, H.L.; Shao, S.X.; Gong, Y.J.; Li, G.D.; Tang, Z.Y. Cobalt Catalysts Enable Selective Hydrogenation of CO2 toward Diverse Products: Recent Progress and Perspective. J. Phys. Chem. Lett. 2021, 12, 10486–10496. [Google Scholar] [CrossRef] [PubMed]
- Malhi, H.S.; Zhang, Z.Z.; Shi, Y.L.; Gao, X.H.; Liu, W.Q.; Tu, W.F.; Han, Y.F. The promotional effects of carbon nanotube on Fe5C2-ZnO catalysts for CO2 hydrogenation to heavy olefins. Fuel 2023, 339, 127267. [Google Scholar] [CrossRef]
- Guo, X.Y.; Liu, B.; Gao, X.H.; He, F.G.; Ma, Q.X.; Fan, S.B.; Zhao, T.S.; Tian, J.M.; Reubroycharoen, P.; Zhang, J.L. Improved olefin selectivity during CO hydrogenation on hydrophilic Fe/HAP catalysts. Catal. Today 2023, 410, 193–204. [Google Scholar] [CrossRef]
- Li, Z.; Qu, J.; Wang, W.; Wang, B.; Ma, X. Effect of CO2 in syngas on methanation performance of Mo-based catalyst. J. Fuel Chem. Technol. 2016, 44, 985–992. [Google Scholar]
- Quindimil, A.; De-La-Torre, U.; Pereda-Ayo, B.; Davo-Quinonero, A.; Bailon-Garcia, E.; Lozano-Castello, D.; Gonzalez-Marcos, J.A.; Bueno-Lopez, A.; Gonzalez-Velasco, J.R. Effect of metal loading on the CO2 methanation: A comparison between alumina supported Ni and Ru catalysts. Catal. Today 2020, 356, 419–432. [Google Scholar] [CrossRef]
- Italiano, C.; Llorca, J.; Pino, L.; Ferraro, M.; Antonucci, V.; Vita, A. CO and CO2 methanation over Ni catalysts supported on CeO2, Al2O3 and Y2O3 oxides. Appl. Catal. B Environ. 2020, 264, 118494. [Google Scholar] [CrossRef]
- Gac, W.; Zawadzki, W.; Rotko, M.; Greluk, M.; Slowik, G.; Kolb, G. Effects of support composition on the performance of nickel catalysts in CO2 methanation reaction. Catal. Today 2020, 357, 468–482. [Google Scholar] [CrossRef]
- Wang, K.; Men, Y.; Liu, S.; Wang, J.G.; Li, Y.Y.; Tang, Y.H.; Li, Z.P.; An, W.; Pan, X.L.; Li, L. Decoupling the size and support/metal loadings effect of Ni/SiO2 catalysts for CO2 methanation. Fuel 2021, 304, 121388. [Google Scholar] [CrossRef]
- Iglesias, I.; Quindimil, A.; Marino, F.; De-La-Torre, U.; Gonzalez-Velasco, J.R. Zr promotion effect in CO2 methanation over ceria supported nickel catalysts. Int. J. Hydrogen Energy 2019, 44, 1710–1719. [Google Scholar] [CrossRef]
- Wang, X.L.; Zhu, L.J.; Zhuo, Y.X.; Zhu, Y.Q.; Wang, S.R. Enhancement of CO2 Methanation over La-Modified Ni/SBA-15 Catalysts Prepared by Different Doping Methods. ACS Sustain. Chem. Eng. 2019, 7, 14647–14660. [Google Scholar] [CrossRef]
- Huynh, H.L.; Zhu, J.; Zhang, G.H.; Shen, Y.L.; Tucho, W.M.; Ding, Y.; Yu, Z.X. Promoting effect of Fe on supported Ni catalysts in CO2 methanation by in situ DRIFTS and DFT study. J. Catal. 2020, 392, 266–277. [Google Scholar] [CrossRef]
- Pham, C.Q.; Bahari, M.B.; Kumar, P.S.; Ahmed, S.F.; Xiao, L.L.; Kumar, S.; Qazaq, A.S.; Siang, T.J.; Tran, H.T.; Islam, A.; et al. Carbon dioxide methanation on heterogeneous catalysts: A review. Environ. Chem. Lett. 2022, 20, 3613–3630. [Google Scholar] [CrossRef]
- Baamran, K.S.; Tahir, M. Thermodynamic investigation and experimental analysis on phenol steam reforming towards enhanced H-2 production over structured Ni/ZnTiO3 nanocatalyst. Energy Convers. Manag. 2019, 180, 796–810. [Google Scholar] [CrossRef]
- Gao, J.J.; Wang, Y.L.; Ping, Y.; Hu, D.C.; Xu, G.W.; Gu, F.N.; Su, F.B. A thermodynamic analysis of methanation reactions of carbon oxides for the production of synthetic natural gas. RSC Adv. 2012, 2, 2358–2368. [Google Scholar] [CrossRef]
- Massa, F.; Coppola, A.; Scala, F. A thermodynamic study of sorption-enhanced CO2 methanation at low pressure. J. CO₂ Util. 2020, 35, 176–184. [Google Scholar] [CrossRef]
- Champon, I.; Bengaouer, A.; Chaise, A.; Thomas, S.; Roger, A.C. Carbon dioxide methanation kinetic model on a commercial Ni/Al2O3 catalyst. J. CO₂ Util. 2019, 34, 256–265. [Google Scholar] [CrossRef]
- Hussain, I.; Jalil, A.A.; Hassan, N.S.; Hamid, M.Y.S. Recent advances in catalytic systems for CO2 conversion to substitute natural gas (SNG): Perspective and challenges. J. Energy Chem. 2021, 62, 377–407. [Google Scholar] [CrossRef]
- Ashok, J.; Pati, S.; Hongmanorom, P.; Tianxi, Z.; Junmei, C.; Kawi, S. A review of recent catalyst advances in CO2 methanation processes. Catal. Today 2020, 356, 471–489. [Google Scholar]
- Lee, W.J.; Li, C.; Prajitno, H.; Yoo, J.; Patel, J.; Yang, Y.; Lim, S. Recent trend in thermal catalytic low temperature CO2 methanation: A critical review. Catal. Today 2021, 368, 2–19. [Google Scholar] [CrossRef]
- Fan, W.K.; Tahir, M. Investigating the product distribution behaviour of CO2 methanation through thermodynamic optimized experimental approach using micro/nano structured titania catalyst. Energy Convers. Manag. 2022, 254, 115240. [Google Scholar] [CrossRef]
- González-Castaño, M.; González-Arias, J.; Bobadilla, L.F.; Ruíz-López, E.; Odriozola, J.A.; Arellano-García, H. In-situ DRIFTS steady-state study of CO2 and CO methanation over Ni-promoted catalysts. Fuel 2023, 338, 127241. [Google Scholar] [CrossRef]
- Mutz, B.; Sprenger, P.; Wang, W.; Wang, D.; Kleist, W.; Grunwaldt, J.-D. Operando Raman spectroscopy on CO2 methanation over alumina-supported Ni, Ni3Fe and NiRh0.1 catalysts: Role of carbon formation as possible deactivation pathway. Appl. Catal. A Gen. 2018, 556, 160–171. [Google Scholar] [CrossRef]
- Zhu, M.; Tian, P.; Cao, X.; Chen, J.; Pu, T.; Shi, B.; Xu, J.; Moon, J.; Wu, Z.; Han, Y.-F. Vacancy engineering of the nickel-based catalysts for enhanced CO2 methanation. Appl. Catal. B Environ. 2021, 282, 119561. [Google Scholar] [CrossRef]
- Ma, L.; Ye, R.; Huang, Y.; Reina, T.R.; Wang, X.; Li, C.; Zhang, X.L.; Fan, M.; Zhang, R.; Liu, J. Enhanced low-temperature CO2 methanation performance of Ni/ZrO2 catalysts via a phase engineering strategy. Chem. Eng. J. 2022, 446, 137031. [Google Scholar] [CrossRef]
- Ahmad, W.; Al-Matar, A.; Shawabkeh, R.; Rana, A. An experimental and thermodynamic study for conversion of CO2 to CO and methane over Cu-K/Al2O3. J. Environ. Chem. Eng. 2016, 4, 2725–2735. [Google Scholar] [CrossRef]
- Yarbaş, T.; Ayas, N. A detailed thermodynamic analysis of CO2 hydrogenation to produce methane at low pressure. Int. J. Hydrogen Energy 2024, 49, 1134–1144. [Google Scholar] [CrossRef]
- Hussain, I.; Jalil, A.A.; Izan, S.M.; Azami, M.S.; Kidam, K.; Ainirazali, N.; Ripin, A. Thermodynamic and experimental explorations of CO2 methanation over highly active metal-free fibrous silica-beta zeolite (FS@SiO2-BEA) of innovative morphology. Chem. Eng. Sci. 2021, 229, 116015. [Google Scholar] [CrossRef]
- Mihet, M.; Grad, O.; Blanita, G.; Radu, T.; Lazar, M.D. Effective encapsulation of Ni nanoparticles in metal-organic frameworks and their application for CO2 methanation. Int. J. Hydrogen Energy 2019, 44, 13383–13396. [Google Scholar] [CrossRef]
- McLain, J.E.T.; Kepler, T.B.; Ahmann, D.M. Belowground factors mediating changes in methane consumption in a forest soil under elevated CO2. Glob. Biogeochem. Cycle 2002, 16, 23-1-23-14. [Google Scholar] [CrossRef]
- Jaffar, M.M.; Nahil, M.A.; Williams, P.T. Parametric Study of CO2 Methanation for synthetic nature gas production. Energy Technol. 2019, 7, 1900795. [Google Scholar] [CrossRef]
- Aziz, M.A.A.; Jalil, A.A.; Triwahyono, S.; Mukti, R.R.; Taufiq-Yap, Y.H.; Sazegar, M.R. Highly active Ni-promoted mesostructured silica nanoparticles for CO2 methanation. Appl. Catal. B Environ. 2014, 147, 359–368. [Google Scholar] [CrossRef]
- Moghaddam, S.V.; Rezaei, M.; Meshkani, F.; Daroughegi, R. Synthesis of nanocrystalline mesoporous Ni/Al2O3SiO2 catalysts for CO2 methanation reaction. Int. J. Hydrogen Energy 2018, 43, 19038–19046. [Google Scholar]
- Nguyen, N.-P.; Le, B.-N.T.; Nguyen, T.; Dinh, M.T.N.; Nguyen, H.-H.T.; Vo, D.-V.N.; Duy, N.P.T.; Nguyen, H.-D.P.; Pham, T.-P.T. Fabrication of the coke-resistant and easily reducible Ni/SiC catalyst for CO2 methanation. J. Energy Inst. 2023, 110, 101332. [Google Scholar] [CrossRef]
- Ridzuan, N.D.M.; Shaharun, M.S.; Anawar, M.A.; Ud-Din, I. Ni-Based Catalyst for Carbon Dioxide Methanation: A Review on Performance and Progress. Catalysts 2022, 12, 469. [Google Scholar] [CrossRef]
- Wu, J.; Gao, J.; Lian, S.; Li, J.; Sun, K.; Zhao, S.; Kim, Y.D.; Ren, Y.; Zhang, M.; Liu, Q.; et al. Engineering the oxygen vacancies enables Ni single-atom catalyst for stable and efficient C-H activation. Appl. Catal. B Environ. 2022, 314, 121516. [Google Scholar] [CrossRef]
- Namvar, F.; Salavati-Niasari, M.; Meshkani, F. Effect of the Rare Earth Metals (Tb, Nd, Dy) addition for the modification of nickel catalysts supported on alumina in CO2 Methanation. Int. J. Hydrogen Energy 2023, 48, 1877–1891. [Google Scholar] [CrossRef]
- Shen, L.; Xu, J.; Zhu, M.; Han, Y.-F. Essential Role of the Support for Nickel-Based CO2 Methanation Catalysts. ACS Catal. 2020, 10, 14581–14591. [Google Scholar] [CrossRef]
- Li, L.; Zeng, W.Q.; Song, M.X.; Wu, X.S.; Li, G.Y.; Hu, C.W. Research Progress and Reaction Mechanism of CO2 Methanation over Ni-Based Catalysts at Low Temperature: A Review. Catalysts 2022, 12, 244. [Google Scholar] [CrossRef]
- Schreiter, N.; Kirchner, J.; Kureti, S. A DRIFTS and TPD study on the methanation of CO2 on Ni/Al2O3 catalyst. Catal. Commun. 2020, 140, 105988. [Google Scholar] [CrossRef]
- Chen, Y.M.; Hou, Z.G.; Wang, C.; Ma, X.; Yang, H.; Wang, W.; Zhou, L.; Zhang, Y. An Active Manganese Promoted Ni/Al2O3 Catalyst for Low Temperature CO2 Methanation. Catal. Lett. 2023. [Google Scholar] [CrossRef]
- Cherevotan, A.; Ray, B.; Churipard, S.R.; Kaur, K.; Gautam, U.K.; Vinod, C.P.; Peter, S.C. Influence of support textural property on CO2 to methane activity of Ni/SiO2 catalysts. Appl. Catal. B Environ. 2022, 317, 121692. [Google Scholar] [CrossRef]
- Xu, L.L.; Xu, C.Y.; Chen, B.; Bian, Y.F.; Wen, X.Y.; Cheng, G.; Wu, C.E.; Qiu, J.; Chen, M.D. One-pot synthesis of hexagonal mesoporous silica confined Ni based catalysts with advanced CO2 methanation performance. Fuel 2023, 333, 126411. [Google Scholar] [CrossRef]
- Zhou, Z.; Li, X.Z.; Li, J.J.; You, Z.X. Promoting CO2 methanation performance of Ru/TiO(2)through Co-activity of exposing (001) facets and oxygen vacancies of TiO2. Mater. Sci. Semicond. Process. 2022, 146, 106677. [Google Scholar] [CrossRef]
- Unwiset, P.; Chanapattharapol, K.C.; Kidkhunthod, P.; Poo-arporn, Y.; Ohtani, B. Catalytic activities of titania-supported nickel for carbon-dioxide methanation. Chem. Eng. Sci. 2020, 228, 115955. [Google Scholar] [CrossRef]
- Li, J.; Lin, Y.P.; Pan, X.L.; Miao, D.Y.; Ding, D.; Cui, Y.; Dong, J.H.; Bao, X.H. Enhanced CO2 Methanation Activity of Ni/Anatase Catalyst by Tuning Strong Metal-Support Interactions. ACS Catal. 2019, 9, 6342–6348. [Google Scholar] [CrossRef]
- Espino, O.E.E.; Zonetti, P.C.; Celin, R.R.; Costa, L.T.; Alves, O.C.; Spadotto, J.C.; Appel, L.G.; de Avillez, R.R. The tendency of supports to generate oxygen vacancies and the catalytic performance of Ni/ZrO2 and Ni/Mg(Al)O in CO2 methanation. Catal. Sci. Technol. 2022, 12, 1324–1338. [Google Scholar] [CrossRef]
- He, Y.; Shen, H.D.; Bai, Y.H.; Niu, X.; Zhao, Y.K.; Wu, C.; Yang, S.W.; Cao, Y.L.; Zhang, Q.Y.; Zhang, H.P. Construction of the Low-Loading Ni/CeO2 Catalyst with a Boosted CO2 Methanation Performance via the Facile Pyrolysis CeO2 Support. Ind. Eng. Chem. Res. 2022, 61, 15948–15960. [Google Scholar] [CrossRef]
- Bian, Y.F.; Xu, C.Y.; Wen, X.Y.; Xu, L.L.; Cui, Y.; Wang, S.H.; Wu, C.E.; Qiu, J.; Cheng, G.; Chen, M.D. CO2 methanation over the Ni-based catalysts supported on nano-CeO2 with varied morphologies. Fuel 2023, 331, 125755. [Google Scholar] [CrossRef]
- Li, B.; Wang, F.; Li, K.; Ning, P.; Chen, M.; Zhang, C. CeO2-supported Fe, Co and Ni toward CO2 hydrogenation: Tuning catalytic performance via metal-support interaction. J. Rare Earths 2023, 41, 926–932. [Google Scholar] [CrossRef]
- Zhang, Z.; Ding, H.; Pan, W.; Ma, J.; Zhang, K.; Zhao, Y.; Song, J.; Wei, C.; Lin, F. Research progress of Metal-Organic Frameworks (MOFs) for CO2 Conversion in CCUS. J. Energy Inst. 2023, 108, 101226. [Google Scholar] [CrossRef]
- Li, Y.-T.; Zhou, L.; Cui, W.-G.; Li, Z.-F.; Li, W.; Hu, T.L. Iron promoted MOF-derived carbon encapsulated NiFe alloy nanoparticles core-shell catalyst for CO2 methanation. J. CO2 Util. 2022, 62, 102093. [Google Scholar] [CrossRef]
- Karam, L.; Bacariza, M.C.; Lopes, J.M.; Henriques, C.; Reboul, J.; El Hassan, N.; Massiani, P. Mesoporous nickel-alumina catalysts derived from MIL-53(Al) metal-organic framework: A new promising path for synthesizing CO2 methanation catalysts. J. CO2 Util. 2021, 51, 101651. [Google Scholar] [CrossRef]
- Feng, X.; Wang, K.; Zhou, M.; Li, F.; Liu, J.; Zhao, M.; Zhao, L.; Song, X.; Zhang, P.; Gao, L. Metal organic framework derived Ni/CeO2 catalyst with highly dispersed ultra-fine Ni nanoparticles: Impregnation synthesis and the application in CO2 methanation. Ceram. Int. 2021, 47, 12366–12374. [Google Scholar] [CrossRef]
- Zhang, Z.H.; Feng, K.; Yan, B.H. Enhanced Ni-Ce interactions to enable efficient low-temperature catalytic CO2 methanation. Catal. Sci. Technol. 2022, 12, 4698–4708. [Google Scholar] [CrossRef]
- Moghaddam, S.V.; Rezaei, M.; Meshkani, F. Surfactant-Free Sol-Gel Synthesis Method for the Preparation of Mesoporous High Surface Area NiO-Al2O3 Nanopowder and Its Application in Catalytic CO2 Methanation. Energy Technol. 2020, 8, 1900778. [Google Scholar] [CrossRef]
- Liu, X.D.; Zhang, L.J.; Li, Z.H. Promotion Effect of TiO2 on Ni/SiO2 Catalysts Prepared by Hydrothermal Method for CO2 Methanation. Energy Technol. 2023, 11, 2201526. [Google Scholar] [CrossRef]
- Zhang, Y.F.; Zhang, G.J.; Liu, J.; Li, T.S.; Zhang, X.D.; Wang, Y.; Zhao, Y.Q.; Li, G.Q.; Zhang, Y.F. Insight into the role of preparation method on the structure and size effect of Ni/MSS catalysts for dry reforming of methane. Fuel Process. Technol. 2023, 250, 107891. [Google Scholar] [CrossRef]
- Yan, P.H.; Mensah, J.; Adesina, A.; Kennedy, E.; Stockenhuber, M. Highly-dispersed Ni on BEA catalyst prepared by ion-exchange-deposition-precipitation for improved hydrodeoxygenation activity. Appl. Catal. B Environ. 2020, 267, 118690. [Google Scholar] [CrossRef]
- Tsiotsias, A.I.; Charisiou, N.D.; Yentekakis, I.V.; Goula, M.A. Bimetallic Ni-Based Catalysts for CO2 Methanation: A Review. Nanomaterials 2020, 11, 28. [Google Scholar] [CrossRef]
- Liu, K.; Xu, X.; Xu, J.; Fang, X.; Liu, L.; Wang, X. The distributions of alkaline earth metal oxides and their promotional effects on Ni/CeO2 for CO2 methanation. J. CO₂ Util. 2020, 38, 113–124. [Google Scholar] [CrossRef]
- Shirsath, A.B.; Schulte, M.L.; Kreitz, B.; Tischer, S.; Grunwaldt, J.D.; Deutschmann, O. Spatially-resolved investigation of CO2 methanation over Ni/γ-Al2O3 and Ni3.2Fe/γ-Al2O3 catalysts in a packed-bed reactor. Chem. Eng. J. 2023, 469, 143847. [Google Scholar] [CrossRef]
- Shafiee, P.; Alavi, S.M.; Rezaei, M. Solid-state synthesis method for the preparation of cobalt doped Ni-Al2O3 mesoporous catalysts for CO2 methanation. Int. J. Hydrogen Energy 2021, 46, 3933–3944. [Google Scholar] [CrossRef]
- Daroughegi, R.; Meshkani, F.; Rezaei, M. Enhanced low-temperature activity of CO2 methanation over ceria-promoted Ni-Al2O3 nanocatalyst. Chem. Eng. Sci. 2021, 230, 116194. [Google Scholar] [CrossRef]
- Li, W.H.; Zhang, G.H.; Jiang, X.; Liu, Y.; Zhu, J.; Ding, F.S.; Liu, Z.M.; Guo, X.W.; Song, C.S. CO2 Hydrogenation on Unpromoted and M-Promoted Co/TiO2 Catalysts (M = Zr, K, Cs): Effects of Crystal Phase of Supports and Metal-Support Interaction on Tuning Product Distribution. ACS Catal. 2019, 9, 2739–2751. [Google Scholar] [CrossRef]
- Li, W.H.; Liu, Y.; Mu, M.C.; Ding, F.S.; Liu, Z.M.; Guo, X.W.; Song, C.S. Organic acid-assisted preparation of highly dispersed Co/ZrO2 catalysts with superior activity for CO2 methanation. Appl. Catal. B Environ. 2019, 254, 531–540. [Google Scholar] [CrossRef]
- Li, W.; Nie, X.; Jiang, X.; Zhang, A.; Ding, F.; Liu, M.; Liu, Z.; Guo, X.; Song, C. ZrO2 support imparts superior activity and stability of Co catalysts for CO2 methanation. Appl. Catal. B Environ. 2018, 220, 397–408. [Google Scholar] [CrossRef]
- Yu, W.Z.; Fu, X.P.; Xu, K.; Ling, C.; Wang, W.W.; Jia, C.J. CO2 methanation catalyzed by a Fe-Co/Al2O3 catalyst. J. Environ. Chem. Eng. 2021, 9, 105594. [Google Scholar] [CrossRef]
- Jimenez, J.D.; Wen, C.; Lauterbach, J. Design of highly active cobalt catalysts for CO2 hydrogenation via the tailoring of surface orientation of nanostructures. Catal. Sci. Technol. 2019, 9, 1970–1978. [Google Scholar] [CrossRef]
- Jimenez, J.; Bird, A.; Santiago, M.S.; Wen, C.; Lauterbach, J. Supported Cobalt Nanorod Catalysts for Carbon Dioxide Hydrogenation. Energy Technol. 2017, 5, 884–891. [Google Scholar] [CrossRef]
- Gholampour, N.; Zhao, Y.R.; Devred, F.; Sassoye, C.; Casale, S.; Debecker, D.P. CO2 Methanation over Cobalt Nanoparticles Embedded in ZIF-L-Derived Porous Carbon. ChemCatChem 2023, 15, e202201338. [Google Scholar] [CrossRef]
- Liang, L.X.; Miao, C.; Ke, X.; Peng, Y.H.; Chen, G.; Ouyang, J. A superior strategy for CO2 methanation under atmospheric pressure: Organic acid-assisted Co nanoparticles assembly on diatomite. Fuel 2023, 351, 128931. [Google Scholar] [CrossRef]
- Efremova, A.; Rajkumar, T.; Szamosvolgyi, A.; Sapi, A.; Baan, K.; Szenti, I.; Gomez-Perez, J.; Varga, G.; Kiss, J.; Halasi, G.; et al. Complexity of a Co3O4 System under Ambient-Pressure CO2 Methanation: Influence of Bulk and Surface Properties on the Catalytic Performance. J. Phys. Chem. C 2021, 125, 7130–7141. [Google Scholar] [CrossRef]
- Nguyen, T.H.; Kim, H.B.; Park, E.D. CO and CO2 Methanation over CeO2-Supported Cobalt Catalysts. Catalysts 2022, 12, 212. [Google Scholar] [CrossRef]
- Gassler, M.; Stahl, J.; Schowalter, M.; Pokhrel, S.; Rosenauer, A.; Madler, L.; Guttel, R. The Impact of Support Material of Cobalt-Based Catalysts Prepared by Double Flame Spray Pyrolysis on CO2 Methanation Dynamics. ChemCatChem 2022, 14, e202200286. [Google Scholar] [CrossRef]
- Stahl, J.; Ilsemann, J.; Pokhrel, S.; Schowalter, M.; Tessarek, C.; Rosenauer, A.; Eickhoff, M.; Baumer, M.; Madler, L. Comparing Co-catalytic Effects of ZrOX, SmOX, and Pt on COX Methanation over Co-based Catalysts Prepared by Double Flame Spray Pyrolysis. ChemCatChem 2021, 13, 2815–2831. [Google Scholar] [CrossRef]
- Tu, J.H.; Wu, H.H.; Qian, Q.L.; Han, S.T.; Chu, M.G.; Jia, S.Q.; Feng, R.T.; Zhai, J.X.; He, M.Y.; Han, B.X. Low temperature methanation of CO2 over an amorphous cobalt-based catalyst. Chem. Sci. 2021, 12, 3937–3943. [Google Scholar] [CrossRef] [PubMed]
- Franken, T.; Terreni, J.; Borgschulte, A.; Heel, A. Solid solutions in reductive environment—A case study on improved CO2 hydrogenation to methane on cobalt based catalysts derived from ternary mixed metal oxides by modified reducibility. J. Catal. 2020, 382, 385–394. [Google Scholar] [CrossRef]
- Biswas, S.; Kundu, C.; Kulkarni, A.P.; Kattel, S.; Giddey, S.; Bhattacharya, S. A Study on CO2 Hydrogenation Using a Ceria-Zirconia Mixed Oxide (CexZr1-xO2)-Supported Fe Catalyst. Ind. Eng. Chem. Res. 2021, 60, 14410–14423. [Google Scholar] [CrossRef]
- Kirchner, J.; Zambrzycki, C.; Kureti, S.; Guttel, R. CO2 Methanation on Fe Catalysts Using Different Structural Concepts. Chem. Ing. Tech. 2020, 92, 603–607. [Google Scholar] [CrossRef]
- Misra, A.; Zambrzycki, C.; Kloker, G.; Kotyrba, A.; Anjass, M.H.; Castillo, I.F.; Mitchell, S.G.; Guttel, R.; Streb, C. Water Purification and Microplastics Removal using Magnetic Polyoxometalate-Supported Ionic Liquid Phases (magPOM-SILPs). Angew. Chem. Int. Ed. 2020, 59, 1601–1605. [Google Scholar] [CrossRef]
- Kalakkad, D.S.; Shroff, M.D.; Kohler, S.; Jackson, N.; Datye, A.K. Attrition of precipitated iron Fischer-Tropsch catalysts. Appl. Catal. A Gen. 1995, 133, 335–350. [Google Scholar] [CrossRef]
- Iqbal, M.M.A.; Toemen, S.; Abu bakar, W.A.W.; Razak, F.I.A.; Rosid, S.J.M.; Azelee, N.I.W. Catalytic methanation over nanoparticle heterostructure of Ru/Fe/Ce/γ-Al2O3 catalyst: Performance and characterization. Renew. Energy 2020, 162, 513–524. [Google Scholar] [CrossRef]
- Franken, T.; Heel, A. Are Fe based catalysts an upcoming alternative to Ni in CO2 methanation at elevated pressure? J. CO2 Util. 2020, 39, 101175. [Google Scholar] [CrossRef]
- Baysal, Z.; Kureti, S. CO2 methanation on Mg-promoted Fe catalysts. Appl. Catal. B Environ. 2020, 262, 118300. [Google Scholar] [CrossRef]
- Samanta, A.; Landau, M.V.; Vidruk-Nehemya, R.; Herskowitz, M. CO2 hydrogenation to higher hydrocarbons on K/Fe–Al–O spinel catalysts promoted with Si, Ti, Zr, Hf, Mn and Ce. Catal. Sci. Technol. 2017, 7, 4048–4063. [Google Scholar] [CrossRef]
- Poh, C.K.; Ong, S.W.D.; Du, Y.H.; Kamata, H.; Choong, K.S.C.; Chang, J.; Izumi, Y.; Nariai, K.; Mizukami, N.; Chen, L.W.; et al. Direct methanation with supported MoS2 nano-flakes: Relationship between structure and activity. Catal. Today 2020, 342, 21–31. [Google Scholar] [CrossRef]
- Qin, S.; Li, J.; Long, J.; Yang, X.; Miao, P. Promotion Effect of Cerium on Mo/Al2O3 Catalyst for Methanation. Appl. Catal. A Gen. 2020, 598, 117559. [Google Scholar] [CrossRef]
- Meng, D.J.; Wang, B.W.; Liu, Z.; Wang, W.H.; Li, Z.H.; Ma, X.B. Effects of CeO2 preparation methods on the catalytic performance of MoO3/CeO2 toward sulfur-resistant methanation. J. Energy Chem. 2017, 26, 368–372. [Google Scholar] [CrossRef]
- Wang, B.W.; Yao, Y.Q.; Liu, S.H.; Hu, Z.Y.; Li, Z.H.; Ma, X.B. Effects of of MoO3 loading and calcination temperature on the catalytic performance of MoO3/CeO2 toward sulfur-resistant methanation. Fuel Process. Technol. 2015, 138, 263–270. [Google Scholar] [CrossRef]
- Zhao, J.; Yin, Z.; Wang, B.; Li, Z.; Xu, Y.; Ma, X. Phytic acid-derived fabrication of ultra-small MoP nanoparticles for efficient CO methanation: Effects of P/Mo ratios. J. Energy Chem. 2020, 47, 248–255. [Google Scholar] [CrossRef]
- Varga, G.; Szenti, I.; Kiss, J.; Baan, K.; Halasi, G.; Ovari, L.; Szamosvolgyi, A.; Mucsi, R.; Dodony, E.; Fogarassy, Z.; et al. Decisive role of Cu/Co interfaces in copper cobaltite derivatives for high performance CO2 methanation catalyst. J. CO2 Util. 2023, 75, 102582. [Google Scholar] [CrossRef]
- Xu, X.L.; Liu, L.; Tong, Y.Y.; Fang, X.Z.; Xu, J.W.; Jiang, D.E.; Wang, X. Facile Cr3+-Doping Strategy Dramatically Promoting Ru/CeO2 for Low-Temperature CO2 Methanation: Unraveling the Roles of Surface Oxygen Vacancies and Hydroxyl Groups. ACS Catal. 2021, 11, 5762–5775. [Google Scholar] [CrossRef]
- Panagiotopoulou, P. Methanation of CO2 over alkali-promoted Ru/TiO2 catalysts: II. Effect of alkali additives on the reaction pathway. Appl. Catal. B Environ. 2018, 236, 162–170. [Google Scholar] [CrossRef]
- Quindimil, A.; Bacariza, M.C.; González-Marcos, J.A.; Henriques, C.; González-Velasco, J.R. Enhancing the CO2 methanation activity of γ-Al2O3 supported mono- and bi-metallic catalysts prepared by glycerol assisted impregnation. Appl. Catal. B Environ. 2021, 296, 120322. [Google Scholar] [CrossRef]
- Yan, X.L.; Sun, W.; Fan, L.M.; Duchesne, P.N.; Wang, W.; Kubel, C.; Wang, D.; Kumar, S.G.H.; Li, Y.F.; Tavasoli, A.; et al. Nickel@Siloxene catalytic nanosheets for high-performance CO2 methanation. Nat. Commun. 2019, 10, 2608. [Google Scholar] [CrossRef]
- Pan, Q.S.; Peng, J.X.; Wang, S.; Wang, S.D. In situ FTIR spectroscopic study of the CO2 methanation mechanism on Ni/Ce0.5Zr0.5O2. Catal. Sci. Technol. 2014, 4, 502–509. [Google Scholar] [CrossRef]
- Xu, X.L.; Tong, Y.Y.; Huang, J.; Zhu, J.; Fang, X.Z.; Xu, J.W.; Wang, X. Insights into CO2 methanation mechanism on cubic ZrO2 supported Ni catalyst via a combination of experiments and DFT calculations. Fuel 2021, 283, 118867. [Google Scholar] [CrossRef]
- Miao, B.; Ma, S.S.K.; Wang, X.; Su, H.B.; Chan, S.H. Catalysis mechanisms of CO2 and CO methanation. Catal. Sci. Technol. 2016, 6, 4048–4058. [Google Scholar] [CrossRef]
- Baraj, E.; Vagaský, S.; Hlinčik, T.; Ciahotný, K.; Tekáč, V. Reaction mechanisms of carbon dioxide methanation. Chem. Pap. 2016, 70, 395–403. [Google Scholar] [CrossRef]
- Su, H.Y.; Yu, C.; Liu, J.X.; Zhao, Y.; Ma, X.; Luo, J.; Sun, C.; Li, W.X.; Sun, K. CO activation and methanation mechanism on hexagonal close-packed Co catalysts: Effect of functionals, carbon deposition and surface structure. Catal. Sci. Technol. 2020, 10, 3387–3398. [Google Scholar] [CrossRef]
- Zhang, J.; Yang, Y.; Liu, J.; Xiong, B. Mechanistic understanding of CO2 hydrogenation to methane over Ni/CeO2 catalyst. Appl. Surf. Sci. 2021, 558, 149866. [Google Scholar] [CrossRef]
- Cerdá-Moreno, C.; Chica, A.; Keller, S.; Rautenberg, C.; Bentrup, U. Ni-sepiolite and Ni-todorokite as efficient CO2 methanation catalysts: Mechanistic insight by operando DRIFTS. Appl. Catal. B Environ. 2020, 264, 118546. [Google Scholar] [CrossRef]
- Westermann, A.; Azambre, B.; Bacariza, M.C.; Graça, I.; Ribeiro, M.F.; Lopes, J.M.; Henriques, C. Insight into CO2 methanation mechanism over NiUSY zeolites: An operando IR study. Appl. Catal. B Environ. 2015, 174, 120–125. [Google Scholar] [CrossRef]
- Peebles, D.E.; Goodman, D.W.; White, J.M. Methanation of Carbon-dioxide in Ni(100) and the Effects of Surface Modifiers. J. Phys. Chem. 1983, 87, 4378–4387. [Google Scholar] [CrossRef]
- Jacquemin, M.; Beuls, A.; Ruiz, P. Catalytic production of methane from CO2 and H2 at low temperature Insight on the reaction mechanism. Catal. Today 2010, 157, 462–466. [Google Scholar] [CrossRef]
- Artz, J.; Muller, T.E.; Thenert, K.; Kleinekorte, J.; Meys, R.; Sternberg, A.; Bardow, A.; Leitner, W. Sustainable Conversion of Carbon Dioxide: An Integrated Review of Catalysis and Life Cycle Assessment. Chem. Rev. 2018, 118, 434–504. [Google Scholar] [CrossRef]
- Hasan, M.; Asakoshi, T.; Muroyama, H.; Matsui, T.; Eguchi, K. CO2 methanation mechanism over Ni/Y2O3: An in situ diffuse reflectance infrared Fourier transform spectroscopic study. Phys. Chem. Chem. Phys. 2021, 23, 5551–5558. [Google Scholar] [CrossRef]
- Wang, F.; He, S.; Chen, H.; Wang, B.; Zheng, L.R.; Wei, M.; Evans, D.G.; Duan, X. Active Site Dependent Reaction Mechanism over Ru/CeO2 Catalyst toward CO2 Methanation. J. Am. Chem. Soc. 2016, 138, 6298–6305. [Google Scholar] [CrossRef]
- Schild, C.; Wokaun, A.; Koeppel, R.A.; Baiker, A. CO2 Hydrogenation over nickel zirconia catalysts from amorphous precursors—On the mechanism of methane formation. J. Phys. Chem. 1991, 95, 6341–6346. [Google Scholar] [CrossRef]
Disclaimer/Publisher’s Note: The statements, opinions and data contained in all publications are solely those of the individual author(s) and contributor(s) and not of MDPI and/or the editor(s). MDPI and/or the editor(s) disclaim responsibility for any injury to people or property resulting from any ideas, methods, instructions or products referred to in the content. |
© 2024 by the authors. Licensee MDPI, Basel, Switzerland. This article is an open access article distributed under the terms and conditions of the Creative Commons Attribution (CC BY) license (https://creativecommons.org/licenses/by/4.0/).

















