A Novel 5-Chloro-N-Phenyl-1 H-Indole-2-carboxamide Derivative as a Glycogen Phosphorylase Inhibitor: Evaluating the Long-Term Drug Effects on Muscle Function for the First Time
Abstract
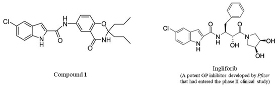
1. Introduction
2. Result and Discussion
2.1. Effects of Compound 1 on Muscle Function in Rat
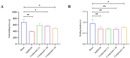
2.1.1. The Impact of Compound 1 on Muscle Grip Strength in Rats
2.1.2. The Impact of Compound 1 on the Mechanical Properties of Load-Bearing Muscles in Rats’ Hindlimbs
2.2. The Impact of Compound 1 on Rats’ Muscle Metabolism
2.2.1. The Effect of Compound 1 on the Glycogen Content in Rat Muscles
2.2.2. The Impact of Compound 1 on Rat Muscles’ Energy Metabolism
2.2.3. The Impact of Compound 1 on LD Release in Rat Muscles
2.2.4. The Effect of Compound 1 on Uric Acid in Muscles
3. Conclusions
4. Materials and Methods
4.1. Animals
4.2. Injection Material Configuration Method
4.3. Experiment Grouping
- Blank/Sham Group (no medication was administered);
- Compound 1 groups (1.25 mg/kg, 2.5 mg/kg, 5 mg/kg);
- Ingliforib group (30.4 mg/kg).
4.4. Muscle Grip Strength Testing
4.5. Muscle Contraction and Electromyography Signal Testing
- Immediate excision of the gastrocnemius–plantaris–soleus(GPS) group and immediate freezing with liquid nitrogen;
- A 20 s maximum isometric contraction intensity (30 Hz, 200 ms, 10 V);
- A 10 min submaximal isometric contraction intensity (1 Hz, 0.3 ms, 2 V).
4.6. Muscle Metabolism Detection
4.7. Materials
4.8. Statistical Analysis
Author Contributions
Funding
Institutional Review Board Statement
Informed Consent Statement
Data Availability Statement
Conflicts of Interest
References
- Sun, H.; Saeedi, P.; Karuranga, S.; Pinkepank, M.; Ogurtsova, K.; Duncan, B.B.; Stein, C.; Basit, A.; Chan, J.C.N.; Mbanya, J.C.; et al. IDF Diabetes Atlas: Global, regional, and country-level diabetes prevalence estimates for 2021 and projections for 2045. Diabetes Res. Clin. Pract. 2022, 183, 109119. [Google Scholar] [CrossRef] [PubMed]
- Tahrani, A.A.; Barnett, A.H.; Bailey, C.J. Pharmacology and therapeutic implications of current drugs for type 2 diabetes mellitus. Nat. Rev. Endocrinol. 2016, 12, 566–592. [Google Scholar] [CrossRef]
- Migocka-Patrzałek, M.; Elias, M. Muscle Glycogen Phosphorylase and Its Functional Partners in Health and Disease. Cells 2021, 10, 883. [Google Scholar] [CrossRef]
- Brautigan, D.L. Phosphorylase phosphatase and flash activation of skeletal muscle glycogen phosphorylase—A tribute to Edmond H. Fischer. IUBMB Life 2023, 75, 328–336. [Google Scholar] [CrossRef] [PubMed]
- Nagy, L.; Márton, J.; Vida, A.; Kis, G.; Bokor, É.; Kun, S.; Gönczi, M.; Docsa, T.; Tóth, A.; Antal, M.; et al. Glycogen phosphorylase inhibition improves beta cell function. Br. J. Pharmacol. 2018, 175, 301–319. [Google Scholar] [CrossRef] [PubMed]
- American Diabetes Association Professional Practice Committee. 10. Cardiovascular Disease and Risk Management: Standards of Care in Diabetes-2024. Diabetes Care 2024, 47 (Suppl. 1), S179–S218. [Google Scholar] [CrossRef]
- Khunti, K.; Sadusky, T.; Tuttle, K.R.; Neumiller, J.J.; Rhee, C.M.; Rosas, S.E.; Rossing, P.; Bakris, G. Diabetes Management in Chronic Kidney Disease: A Consensus Report by the American Diabetes Association (ADA) and Kidney Disease: Improving Global Outcomes (KDIGO). Diabetes Care 2022, 45, 3075–3090. [Google Scholar]
- Marx, N.; Federici, M.; Schütt, K.; Müller-Wieland, D.; Ajjan, R.A.; Antunes, M.J.; Christodorescu, R.M.; Crawford, C.; Di Angelantonio, E.; Eliasson, B.; et al. 2023 ESC Guidelines for the management of cardiovascular disease in patients with diabetes. Eur. Heart J. 2023, 44, 4043–4140. [Google Scholar]
- Tracey, W.R.; Treadway, J.L.; Magee, W.P.; Sutt, J.C.; McPherson, R.K.; Levy, C.B.; Wilder, D.E.; Yu, L.J.; Chen, Y.; Shanker, R.M.; et al. Cardioprotective effects of Ingliforib, a novel glycogen phosphorylase inhibitor. Am. J. Physiol. Heart Circ. Physiol. 2004, 286, H1177–H1184. [Google Scholar] [CrossRef]
- Mingrone, G.; Castagneto-Gissey, L.; Bornstein, S.R. New Horizons: Emerging Antidiabetic Medications. J. Clin. Endocrinol. Metab. 2022, 107, e4333–e4340. [Google Scholar] [CrossRef]
- Kantsadi, A.L.; Parmenopoulou, V.; Bakalov, D.N.; Snelgrove, L.; Stravodimos, G.A.; Chatzileontiadou, D.S.; Manta, S.; Panagiotopoulou, A.; Hayes, J.M.; Komiotis, D.; et al. Glycogen phosphorylase as a target for type 2 diabetes: Synthetic, biochemical, structural and computational evaluation of novel N-acyl-N′-(β-D-glucopyranosyl) urea inhibitors. Curr. Top Med. Chem. 2015, 15, 2373–2389. [Google Scholar] [CrossRef] [PubMed]
- National Intellectual Property Administration. Preparation Method and Medicinal Use of Benzodiazepine Ketone Compounds and Their Salts. Patent No. ZL 2020 1 0774086.9; Application granted date, 18 February 2022. [Google Scholar]
- Huang, Y.; Li, S.; Wang, Y.; Yan, Z.; Guo, Y.; Zhang, L. A Novel 5-Chloro-N-phenyl-1H-indole-2-carboxamide Derivative as Brain-Type Glycogen Phosphorylase Inhibitor: Potential Therapeutic Effect on Cerebral Ischemia. Molecules 2022, 27, 6333. [Google Scholar] [CrossRef] [PubMed]
- Huang, Y.; Li, S.; Wang, Y.; Yan, Z.; Guo, Y.; Zhang, L. A Novel 5-Chloro-N-phenyl-1H-indole-2-carboxamide Derivative as Brain-Type Glycogen Phosphorylase Inhibitor: Validation of Target PYGB. Molecules 2023, 28, 1697. [Google Scholar] [CrossRef] [PubMed]
- Yan, Z.; Li, S.; Wang, Y.; Li, J.; Ma, C.; Guo, Y.; Zhang, L. Discovery of novel heterocyclic derivatives as potential glycogen phosphorylase inhibitors with a cardioprotective effect. Bioorg. Chem. 2022, 129, 106120. [Google Scholar] [CrossRef]
- Tiwari, S.; Kaur, P.; Gupta, D.; Chaudhury, S.; Chaudhary, M.; Mittal, A.; Kumar, S.; Sahu, S.K. An Insight into the Development of Potential Antidiabetic Agents along with their Therapeutic Targets. Endocr. Metab. Immune Disord. Drug Targets 2024, 24, 50–85. [Google Scholar] [CrossRef]
- Baker, D.J.; Timmons, J.A.; Greenhaff, P.L. Glycogen phosphorylase inhibition in type 2 diabetes therapy: A systematic evaluation of metabolic and functional effects in rat skeletal muscle. Diabetes 2005, 54, 2453–2459. [Google Scholar] [CrossRef]
- Swanson, R.A. A thermodynamic function of glycogen in brain and muscle. Prog. Neurobiol. 2020, 189, 101787. [Google Scholar] [CrossRef]
- Ganapathy-Kanniappan, S.; Geschwind, J.F. Tumor glycolysis as a target for cancer therapy: Progress and prospects. Mol. Cancer 2013, 12, 152. [Google Scholar] [CrossRef]
- Rall, J.A. The dawn of muscle energetics: Contraction before and after discovery of ATP. Adv. Physiol. Educ. 2023, 47, 810–819. [Google Scholar] [CrossRef]
- Redkva, P.E.; Miyagi, W.E.; Milioni, F.; Zagatto, A.M. Correction: Anaerobic capacity estimated by the sum of both oxygen equivalents from the glycolytic and phosphagen pathways is dependent on exercise mode: Running versus cycling. PLoS ONE 2018, 13, e0209884. [Google Scholar] [CrossRef]
- Smith, J.A.B.; Murach, K.A.; Dyar, K.A.; Zierath, J.R. Exercise metabolism and adaptation in skeletal muscle. Nat. Rev. Mol. Cell Biol. 2023, 24, 607–632. [Google Scholar] [CrossRef] [PubMed]
- Pillai, S.R.; Damaghi, M.; Marunaka, Y.; Spugnini, E.P.; Fais, S.; Gillies, R.J. Causes, consequences, and therapy of tumors acidosis. Cancer Metastasis Rev. 2019, 38, 205–222. [Google Scholar] [CrossRef] [PubMed]
- Johnson, T.A.; Jinnah, H.A.; Kamatani, N. Shortage of Cellular ATP as a Cause of Diseases and Strategies to Enhance ATP. Front. Pharmacol. 2019, 10, 98. [Google Scholar] [CrossRef] [PubMed]
- Idstrom, J.P.; Soussi, B.; Wanag, E.; Bylundfellenius, A.C. Analysis of purine nucleotides in muscle-tissue by HPLC. Scand. J. Clin. Lab. Investig. 1990, 50, 541–549. [Google Scholar] [CrossRef]
- Harris, R.C.; Hultman, E.; Nordesjo, L.O. Glycogen, glycolytic intermediates and high-energy phosphates determined in biopsy samples of musculus quadriceps femoris of man at rest: Methods and variance of values. Scand. J. Clin. Lab. Investig. 1974, 33, 109–120. [Google Scholar] [CrossRef]
- Holmes, P.A.; Mansour, T.E. Glucose as a regulator of glycogen phosphorylase in rat diaphragm. I. Effect of glucose related compounds on phosphorylase and glycogen levels. Biochim. Biophys. Acta 1968, 156, 266–274. [Google Scholar] [CrossRef]




Disclaimer/Publisher’s Note: The statements, opinions and data contained in all publications are solely those of the individual author(s) and contributor(s) and not of MDPI and/or the editor(s). MDPI and/or the editor(s) disclaim responsibility for any injury to people or property resulting from any ideas, methods, instructions or products referred to in the content. |
© 2024 by the authors. Licensee MDPI, Basel, Switzerland. This article is an open access article distributed under the terms and conditions of the Creative Commons Attribution (CC BY) license (https://creativecommons.org/licenses/by/4.0/).
Share and Cite
Zhao, Y.; Yan, Z.; Li, S.; Wang, Y.; Guo, Y.; Wang, T.; Zhang, L. A Novel 5-Chloro-N-Phenyl-1 H-Indole-2-carboxamide Derivative as a Glycogen Phosphorylase Inhibitor: Evaluating the Long-Term Drug Effects on Muscle Function for the First Time. Molecules 2024, 29, 4448. https://doi.org/10.3390/molecules29184448
Zhao Y, Yan Z, Li S, Wang Y, Guo Y, Wang T, Zhang L. A Novel 5-Chloro-N-Phenyl-1 H-Indole-2-carboxamide Derivative as a Glycogen Phosphorylase Inhibitor: Evaluating the Long-Term Drug Effects on Muscle Function for the First Time. Molecules. 2024; 29(18):4448. https://doi.org/10.3390/molecules29184448
Chicago/Turabian StyleZhao, Yifan, Zhiwei Yan, Shuai Li, Youde Wang, Yachun Guo, Tienan Wang, and Liying Zhang. 2024. "A Novel 5-Chloro-N-Phenyl-1 H-Indole-2-carboxamide Derivative as a Glycogen Phosphorylase Inhibitor: Evaluating the Long-Term Drug Effects on Muscle Function for the First Time" Molecules 29, no. 18: 4448. https://doi.org/10.3390/molecules29184448
APA StyleZhao, Y., Yan, Z., Li, S., Wang, Y., Guo, Y., Wang, T., & Zhang, L. (2024). A Novel 5-Chloro-N-Phenyl-1 H-Indole-2-carboxamide Derivative as a Glycogen Phosphorylase Inhibitor: Evaluating the Long-Term Drug Effects on Muscle Function for the First Time. Molecules, 29(18), 4448. https://doi.org/10.3390/molecules29184448

