A Systematic Methodology for the Identification of the Chemical Composition of the Mongolian Drug Erdun-Uril Compound Utilizing UHPLC-Q-Exactive Orbitrap Mass Spectrometry
Abstract
1. Introduction
2. Results and Discussion
2.1. Analytical Strategy
2.2. Establishment of Diagnostic Fragment Ions (DFIs) and Neutral Loss Fragments (NLFs)
2.3. Characterization of the Chemical Constitution in Erdun-Uril
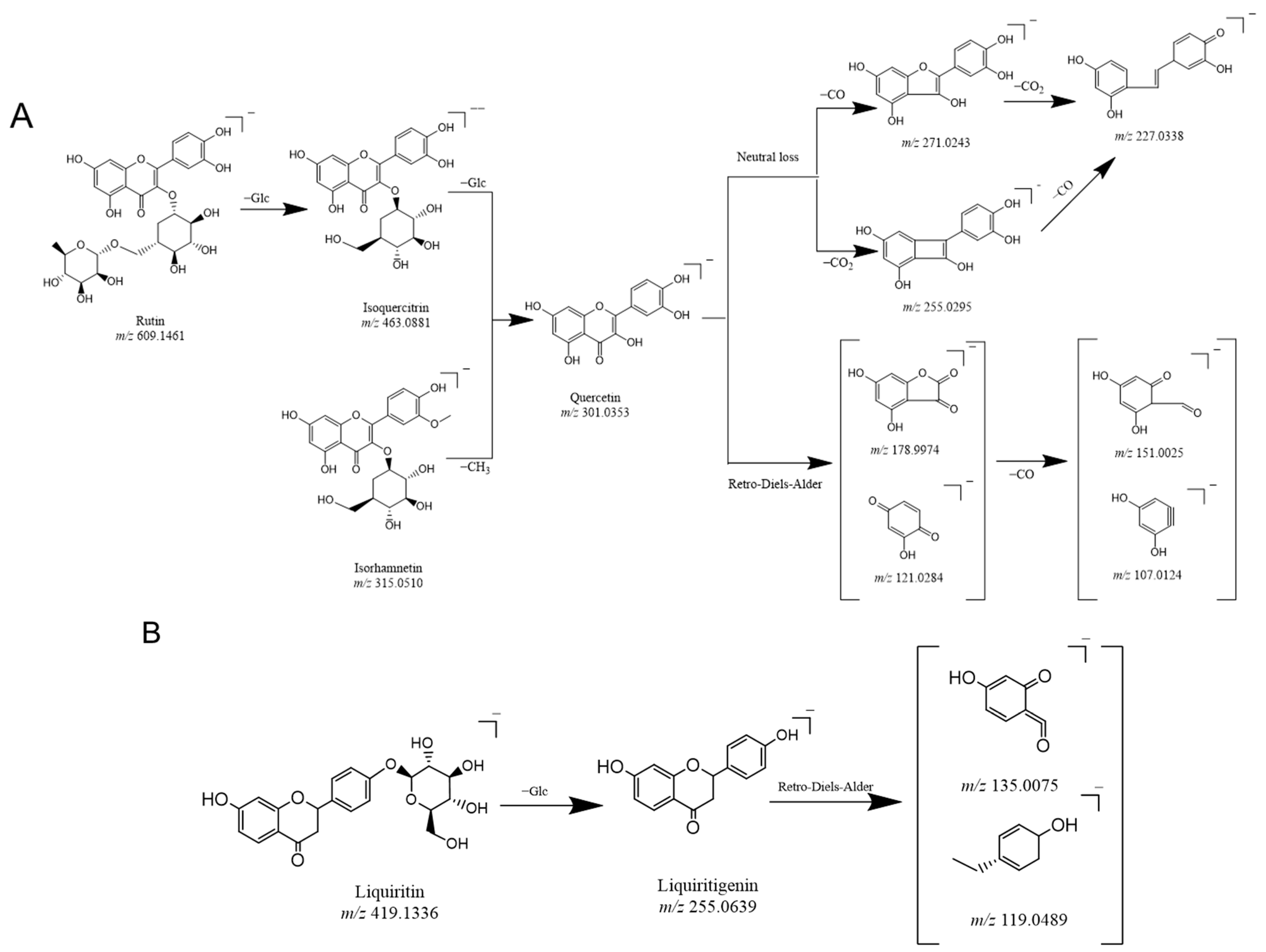
2.3.1. Identification of Flavonoids of Erdun-Uril
2.3.2. Identification of Phenolic Acids of Erdun-Uril
2.3.3. Identification of Amino Acids of Erdun-Uril
3. Materials and Methods
3.1. Chemicals and Reagents
3.2. Preparation of Specimen and Standard Solution
3.3. Instruments and Conditions
3.4. Data Processing and Analysis
4. Conclusions
Supplementary Materials
Author Contributions
Funding
Institutional Review Board Statement
Informed Consent Statement
Data Availability Statement
Conflicts of Interest
References
- Gaowa, S.; Bao, N.; Da, M.; Qiburi, Q.; Ganbold, T.; Chen, L.; Altangerel, A.; Temuqile, T.; Baigude, H. Traditional Mongolian Medicine Eerdun Wurile Improves Stroke Recovery through Regulation of Gene Expression in Rat Brain. J. Ethnopharmacol. 2018, 222, 249–260. [Google Scholar] [CrossRef] [PubMed]
- Committee National Pharmacopoeia. Drug Standard of Ministry of Public Health of the Peoples Republic of China; Mongolian Medicines Fascicle; People’s Medical Publishing House: Beijing, China, 1998. [Google Scholar]
- Zhao, G.; Ren, Y.; Han, C.; Kong, L.; Jia, Y. Mechanism of Mongolian Medicine Erden-Uril on Osteoarthritis in Rats. Chin. J. Tissue Eng. Res. 2024, 28, 1193–1199. [Google Scholar]
- Ai, L. Clinical Efficacy of Mongolian Medicine Erdun Wurile and Shusha-7 in the Treatment of Depression. Master’s Thesis, Inner Mongolia Medical University, Hohhot, China, 2023. [Google Scholar]
- Si, Q.; Renmandoula, N. Research Progress of Mongolian Medicine Eerdun Wurile. J. Med. Pharm. Chin. Minor. 2024, 30, 41–45. [Google Scholar]
- Li, X.; Lin, Y.; Zhang, Y.; Chen, X.; Zhao, R.; Zhu, W.; Xie, Y.; Xie, W.; Bade, R.; Jiang, S.; et al. Study on the Mechanism of Mongolian Medicine Erdun- Wurile on Parkinson’s Disease Based on Network Pharmacology and Molecular Docking. J. Baotou Med. Coll. 2024, 40, 1–7. [Google Scholar]
- Bao, L.; Song, F.; Du, G.; Bao, S.; Saiyin, B.; Xilin, Q.; Zhang, W.; Tian, J.; Wuhan, Q. The Progress of Traditional Mongolian Medicine Erden-Uril. J. Chin. J. Ethnomed. Ethnopharm. 2019, 28, 53–56. [Google Scholar]
- Chen, G. Progress of Research on the Drug Composition and Pharmacological Effects of Gardenia Jasminoides. Spec. Econ. Anim. Plant 2022, 25, 20–22+32. [Google Scholar]
- Liu, Q.; Zhao, S.; Wang, X.; Hu, Z.; Chen, J. Overview of the Research on the Characteristics of the Eldon-Uriel Formula of Mongolian Medicine and the Treatment of Atherosclerosis. Her. Med. 2024, 43, 561–567. [Google Scholar]
- Dong, J.; Mao, J.; Long, L.; Fan, T.; Jia, P.; Wang, S.; Zheng, X. Effects of Carthamus tinctorius L.-Glycyrrhizaradixonadenoine Acids and Energy Charge Levels in Plasma and Brain of Rats with Cold Coagulation and Blood Stasis. Chin. J. Hosp. Pharm. 2019, 39, 2507–2511. [Google Scholar]
- Wang, Q.; Gao, W.; Song, F. Preliminary Study on the Acute Toxicity of Mongolian Medicine Eerdun—Wurile in Rats. China Pharm. 2023, 32, 77–81. [Google Scholar]
- Chandradevan, M.; Simoh, S.; Mediani, A.; Ismail, N.H.; Ismail, I.S.; Abas, F. Uhplc-Esi-Orbitrap-Ms Analysis of Biologically Active Extracts from Gynura procumbens (Lour.) Merr. And Cleome gynandra L. Leaves. Evid.-Based Complement. Altern. Med. 2020, 2020, 3238561. [Google Scholar] [CrossRef]
- Liu, L.; Zhang, J.; Zheng, B.; Guan, Y.; Wang, L.; Chen, L.; Cai, W. Rapid Characterization of Chlorogenic Acids in Duhaldea Nervosa Based on Ultra-High-Performance Liquid Chromatography–Linear Trap Quadropole-Orbitrap-Mass Spectrometry and Mass Spectral Trees Similarity Filter Technique. J. Sep. Sci. 2018, 41, 1764–1774. [Google Scholar] [CrossRef] [PubMed]
- Ye, X.; Wang, Y.; Zhao, J.; Wang, M.; Avula, B.; Peng, Q.; Ouyang, H.; Lingyun, Z.; Zhang, J.; Khan, I.A. Identification and Characterization of Key Chemical Constituents in Processed Gastrodia Elata Using Uhplc-Ms/Ms and Chemometric Methods. J. Anal. Methods Chem. 2019, 2019, 4396201. [Google Scholar] [CrossRef] [PubMed]
- Xiang, L.; Wei, J.; Tian, X.Y.; Wang, B.; Chan, W.; Li, S.; Tang, Z.; Zhang, H.; Cheang, W.S.; Zhao, Q.; et al. Comprehensive Analysis of Acylcarnitine Species in Db/Db Mouse Using a Novel Method of High-Resolution Parallel Reaction Monitoring Reveals Widespread Metabolic Dysfunction Induced by Diabetes. Anal. Chem. 2017, 89, 10368–10375. [Google Scholar] [CrossRef] [PubMed]
- Shang, Z.C.; Qin, S.H.; Li, K.L.; Liu, Y.N.; Wu, J.L.; Yan, F.; Cai, W. A Systematic Method for the Identification of Aporphine Alkaloid Constituents in Sabia Schumanniana Diels Using Uhplc-Q-Exactive Orbitrap/Mass Spectrometry. Molecules 2022, 27, 7643. [Google Scholar] [CrossRef] [PubMed]
- Yu, X.; Cong, Z.; Wang, C.; Wang, S.; Yan, Z.; Wang, B.; Liu, X.; Li, Z.; Gao, P.; Kang, H. Comprehensive Metabolism Study of Tangeretin in Rat Plasma, Urine and Faeces Using Ultra-High Performance Liquid Chromatography-Q Exactive Hybrid Quadrupole-Orbitrap High-Resolution Accurate Mass Spectrometry. Curr. Drug Metab. 2022, 23, 973–990. [Google Scholar] [CrossRef]
- Zhang, J.; Cai, W.; Zhou, Y.; Liu, Y.; Wu, X.; Li, Y.; Lu, J.; Qiao, Y. Profiling and Identification of the Metabolites of Baicalin and Study on Their Tissue Distribution in Rats by Ultra-High-Performance Liquid Chromatography with Linear Ion Trap-Orbitrap Mass Spectrometer. J. Chromatogr. B Analyt. Technol. Biomed. Life 2015, 985, 91–102. [Google Scholar] [CrossRef]
- Li, Y.; Cai, W.; Cai, Q.; Che, Y.; Zhao, B.; Zhang, J. Comprehensive Characterization of the in Vitro and in Vivo Metabolites of Geniposide in Rats Using Ultra-High-Performance Liquid Chromatography Coupled with Linear Ion Trap–Orbitrap Mass Spectrometer. Xenobiotica 2015, 46, 357–368. [Google Scholar] [CrossRef]
- Zhang, J.Y.; Wang, Z.J.; Zhang, Q.; Wang, F.; Ma, Q.; Lin, Z.Z.; Lu, J.Q.; Qiao, Y.J. Rapid Screening and Identification of Target Constituents Using Full Scan-Parent Ions List-Dynamic Exclusion Acquisition Coupled to Diagnostic Product Ions Analysis on a Hybrid Ltq-Orbitrap Mass Spectrometer. Talanta 2014, 124, 111–122. [Google Scholar] [CrossRef]
- Sun, X.; Zhang, Y.; Chen, S.; Fu, Y. Characterization and Identification of the Chemical Constituents in the Root of Lindera reflexa Hemsl. Using Ultra-High Performance Liquid Chromatography Coupled with Linear Trap Quadrupole Orbitrap Mass Spectrometry. J. Pharm. Biomed. Anal. 2016, 126, 34–47. [Google Scholar] [CrossRef]
- Zhang, H.; Zheng, D.; Li, H.H.; Wang, H.; Tan, H.S.; Xu, H.X. Diagnostic Filtering to Screen Polycyclic Polyprenylated Acylphloroglucinols from Garcinia Oblongifolia by Ultrahigh Performance Liquid Chromatography Coupled with Ion Mobility Quadrupole Time-of-Flight Mass Spectrometry. Anal. Chim. Acta 2016, 912, 85–96. [Google Scholar] [CrossRef]
- Zhang, J.Y.; Zhang, Q.; Li, N.; Wang, Z.J.; Lu, J.Q.; Qiao, Y.J. Diagnostic Fragment-Ion-Based and Extension Strategy Coupled to Dfis Intensity Analysis for Identification of Chlorogenic Acids Isomers in Flos Lonicerae Japonicae by Hplc-Esi-Msn. Talanta 2013, 104, 1–9. [Google Scholar] [CrossRef] [PubMed]
- Zou, L.-Q.; Wang, C.-X.; Kuang, X.-J.; Li, Y.; Sun, C. Advance in Flavonoids Biosynthetic Pathway and Synthetic Biology. China J. Chin. Mater. Medica 2016, 41, 4124. [Google Scholar]
- Li, H.; Lyv, Y.; Zhou, S.; Yu, S.; Zhou, J. Microbial Cell Factories for the Production of Flavonoids–Barriers and Opportunities. Bioresour. Technol. 2022, 360, 127538. [Google Scholar] [CrossRef] [PubMed]
- Du, L.; Yang, D.; Wu, L.; Wusa, L.; Song, L. Study on the Mechanism of Sugemule-4 Decoction in Treating Insomnia by Lc-Ms and Network Pharmacology. Mod. Tradit. Chin. Med. Mater. Medica World Sci. Technol. 2023, 25, 3866–3889. [Google Scholar]
- Fang, S.; Qu, Q.; Zheng, Y.; Zhong, H.; Shan, C.; Wang, F.; Li, C.; Peng, G. Structural Characterization and Identification of Flavonoid Aglycones in Three Glycyrrhiza Species by Liquid Chromatography with Photodiode Array Detection and Quadrupole Time-of-Flight Mass Spectrometry. J. Sep. Sci. 2016, 39, 2068–2078. [Google Scholar] [CrossRef]
- Qiao, X.; Liu, C.-F.; Ji, S.; Lin, X.-H.; Guo, D.-A.; Ye, M. Simultaneous Determination of Five Minor Coumarins and Flavonoids in Glycyrrhiza Uralensis by Solid-Phase Extraction and High-Performance Liquid Chromatography/Electrospray Ionization Tandem Mass Spectrometry. Planta Medica 2014, 80, 237–242. [Google Scholar] [CrossRef]
- Song, L.; Wang, X.; Zheng, X.; Huang, D. Polyphenolic Antioxidant Profiles of Yellow Camellia. Food Chem. 2011, 129, 351–357. [Google Scholar] [CrossRef]
- Yang, R.; Guan, Y.; Wang, W.; Chen, H.; He, Z.; Jia, A.Q. Antioxidant Capacity of Phenolics in Camellia Nitidissima Chi Flowers and Their Identification by Hplc Triple Tof Ms/Ms. PLoS ONE 2018, 13, e0195508. [Google Scholar] [CrossRef]
- Yang, R.; Guan, Y.; Zhou, J.; Sun, B.; Wang, Z.; Chen, H.; He, Z.; Jia, A. Phytochemicals from Camellia Nitidissima Chi Flowers Reduce the Pyocyanin Production and Motility of Pseudomonas Aeruginosa Pao1. Front. Microbiol. 2018, 8, 2640. [Google Scholar] [CrossRef]
- Zhang, X.; Feng, J.; Su, S.; Huang, L. Hepatoprotective Effects of Camellia Nitidissima Aqueous Ethanol Extract against Ccl4-Induced Acute Liver Injury in Sd Rats Related to Nrf2 and Nf-Κb Signalling. Pharm. Biol. 2020, 58, 239–246. [Google Scholar] [CrossRef]
- Yang, F.Y.; Xu, R.L.; Niu, W.; Huo, J.G.; Ju, J.M. Uplc-Q-Tof-Ms Analysis of Chemical Constituents of Classical Prescription Yiguanjian Standard Decoction. China J. Chin. Mater. Medica 2022, 47, 2134–2147. [Google Scholar]
- Rakkhitawatthana, V.; Sillapachaiyaporn, C.; Nilkhet, S.; Brimson, J.; Tencomnao, T. Effect of Thai Medicinal Plants Acanthus ebracteatus Vahl Carthamus tinctorius L. and Streblus asper lour. on Neurite Outgrowth Activity in Neuro-2a Cells. J. Assoc. Med Sci. 2023, 56, 71–84. [Google Scholar]
- Umehara, K.; Nemoto, K.; Matsushita, A.; Terada, E.; Monthakantirat, O.; De-Eknamkul, W.; Miyase, T.; Warashina, T.; Degawa, M.; Noguchi, H. Flavonoids from the Heartwood of the Thai Medicinal Plant Dalbergia Parviflora and Their Effects on Estrogenic-Responsive Human Breast Cancer Cells. J. Nat. Prod. 2009, 72, 2163–2168. [Google Scholar] [CrossRef] [PubMed]
- Wang, M.; Zhao, J.; Avula, B.; Lee, J.; Upton, R.; Khan, I.A. Chemical Characterization and Quantitative Determination of Flavonoids and Phenolic Acids in Yerba Santa (Eriodictyon Spp.) Using Uhplc/Dad/Q-Tof. J. Pharm. Biomed. Anal. 2023, 234, 115570. [Google Scholar] [CrossRef] [PubMed]
- Sharifi-Rad, J.; Song, S.; Ali, A.; Subbiah, V.; Taheri, Y.; Suleria, H.A. LC-ESI-QTOF-MS/MS Characterization of Phenolic Compounds from Pyracantha coccinea M.Roem. and Their Antioxidant Capacity. Cell. Mol. Biol. 2021, 67, 201–211. [Google Scholar] [CrossRef]
- Zhang, L.; Qin, S.; Tang, S.; E, S.; Li, K.; Li, J.; Cai, W.; Sun, L.; Li, H. Qualitative Analysis of Multiple Phytochemical Compounds in Tojapride Based on Uhplc Q-Exactive Orbitrap Mass Spectrometry. Molecules 2022, 27, 6639. [Google Scholar] [CrossRef]
- Ginz, M.; Engelhardt, U.H. Identification of Proline-Based Diketopiperazines in Roasted Coffee. J. Agric. Food Chem. 2000, 48, 3528–3532. [Google Scholar] [CrossRef]
- Nakamura, T.; Nagaki, H.; Ohki, Y.; Kinoshita, T. Differentiation of Leucine and Isoleucine Residues in Peptides by Consecutive Reaction Mass Spectrometry. Anal. Chem. 1990, 62, 311–313. [Google Scholar] [CrossRef]
- Simpson, J.P.; Olson, J.; Dilkes, B.; Chapple, C. Identification of the Tyrosine-and Phenylalanine-Derived Soluble Metabolomes of Sorghum. Front. Plant Sci. 2021, 12, 714164. [Google Scholar] [CrossRef]
- Zhang, Q.; Li, X.; Yin, X.; Wang, H.; Fu, C.; Wang, H.; Li, K.; Li, Y.; Zhang, X.; Liang, H.; et al. Metabolomic Profiling Reveals Serum L-Pyroglutamic Acid as a Potential Diagnostic Biomarker for Systemic Lupus Erythematosus. Rheumatology 2021, 60, 598–606. [Google Scholar] [CrossRef]








| No | tR/min | Formula (M) | Identification | No | tR/min | Formula (M) | Identification |
|---|---|---|---|---|---|---|---|
| 1 | 0.85 # | C5H11NO2 | Valine | 121 | 10.30 *# | C15H10O6 | Kaempferol |
| 2 | 0.87 # | C5H9NO2 | Proline | 122 | 10.32 *# | C15H12O4 | Liquiritigenin |
| 3 | 0.88 * | C7H12O6 | Quinic acid | 122 | 10.33 *# | C15H12O4 | Liquiritigenin |
| 4 | 0.89 # | C5H5N5O | 2-Hydroxyadenine | 123 | 10.39 # | C15H12O6 | Eriodictyol |
| 5 | 0.91 # | C9H11NO3 | Tyrosine | 124 | 10.43 *# | C15H10O7 | Quercetin |
| 6 | 0.91 # | C7H10O5 | Shikimic acid | 125 | 10.46 # | C22H22O12 | Isorhamnetin-3-O-glucoside |
| 7 | 0.92 # | C6H5NO2 | Nicotinic acid | 126 | 10.47 # | C15H10O7 | Quercetin isomer |
| 8 | 0.93 # | C5H7NO3 | L-Pyroglutamic acid | 124 | 10.47 *# | C15H10O7 | Quercetin |
| 9 | 0.94 # | C13H16O10 | Glucogallin | 127 | 10.54 # | C15H20O4 | Abscisic acid |
| 10 | 0.99 # | C4H6O5 | Malic acid | 128 | 10.59 # | C16H12O5 | Genkwanin |
| 11 | 1.08 # | C5H5N5 | Adenine | 129 | 10.68 # | C16H14O5 | Sakuranetin |
| 12 | 1.15 # | C14H12O11 | Chebulagic acid | 130 | 10.79 # | C17H14O6 | Pectolinarigenin |
| 13 | 1.17 # | C19H32O15 | 3-{[6-O-(d-galactopyranosyl)-β-d-galactopyranosyl] oxy}-1,2-propan-ediyldiace-tate | 131 | 10.81 *# | C16H12O7 | Isorhamnetin |
| 14 | 1.18 # | C9H8O3 | P-Hydroxycinnamic acid | 132 | 10.85 # | C15H20O3 | Santamarine |
| 15 | 1.19 # | C5H5N5O | Guanine | 133 | 10.90 # | C17H17O5Cl | 8-Chloro-2-(2-phenylethyl)-5,6,7-trihydroxy-5,6,7,8-tetrahydrochromone |
| 16 | 1.27 # | C10H13N5O4 | Adenosine | 134 | 10.90 # | C27H36O11 | 6′-O-trans-sinapoyl jasminoside A |
| 17 | 1.2 8# | C4H6O4 | Succinic Acid | 135 | 10.93 # | C12H18O4 | Senkyunolide |
| 18 | 1.29 # | C13H16O10 | 1-Galloyl-beta-glucose | 136 | 10.96 # | C23H22O13 | 3,4,3′-trimethylated ellagic acid-4′-O-beta-d-glucoside |
| 19 | 1.34 # | C6H13NO2 | Isoleucine | 137 | 10.98 # | C42H62O18 | Glycyrrhizin G2 |
| 20 | 1.37 # | C6H6O3 | Pyrogallic acid | 138 | 11.08 # | C15H22O | Germacrone |
| 21 | 1.45 * | C7H6O5 | Gallic acid | 139 | 11.13 *# | C15H10O5 | Genistein |
| 22 | 1.47 # | C13H16O10 | Gallic acid 6-O-β-d-glucopyranoside | 140 | 11.14 *# | C15H12O5 | Naringenin |
| 23 | 1.50 # | C20H20O14 | 1,6-di-O-galloyl-β-d-glucose | 141 | 11.18 # | C9H6O4 | Esculetin |
| 24 | 1.92 # | C16H22O10 | Gardoside | 119 | 11.24 # | C15H10O6 | Luteolin |
| 25 | 2.07 # | C20H20O14 | 3,6-di-O-galacyl-d-glucose | 142 | 11.33 # | C18H18O7 | 5,7-dihydroxy-2′,3′,4′-trimethoxy isoflavanone |
| 26 | 2.12 # | C9H11NO2 | Phenylalanine | 143 | 11.35 # | C16H12O7 | Isorhamnetin isomer |
| 27 | 2.13 # | C15H14O11 | Methyl-13-chebulaic acid | 144 | 11.46 # | C16H12O5 | Wogonin |
| 28 | 2.18 # | C13H16O9 | 2-hydroxy-3-[(2S,3R,4S,5S,6R)-3,4,5-trihydroxy-6-(hydroxymethyl)oxan-2-yl]oxybenzoic acid | 145 | 11.52 # | C26H45NO7S | Cholic acid |
| 29 | 2.25 # | C8H8O4 | Vanillic acid | 146 | 11.59 # | C16H12O6 | Tectorigenin isomer |
| 30 | 2.49 # | C16H24O11 | Shanzhiside | 147 | 11.61 # | C16H14O4 | 2′-methoxyisoliquiritigenin |
| 31 | 2.65 # | C16H22O10 | Geniposidic acid | 148 | 11.77 # | C20H22O4 | Aurantio-obtusin isomer |
| 32 | 2.66 # | C7H6O4 | Protocatechuic acid | 149 | 11.78 * | C15H12O4 | Isoliquiritigenin |
| 33 | 3.39 # | C6H6O3 | Maltol | 150 | 11.78 * | C15H12O4 | Isoliquiritigenin |
| 34 | 3.39 # | C6H6O3 | 5-Hydroxymethylfurfural | 150 | 11.84 # | C30H38O11 | Isotoosendanin |
| 35 | 4.09 # | C12H14O8 | Uralenneoside | 151 | 11.95 # | C18H34O5 | 9(S),10(S),11(R)-trihydroxy-12(Z)-octadecenoic acid |
| 36 | 4.26 # | C17H24O11 | Scandioside methyl ester | 152 | 11.98 # | C16H19NO2 | Medifoxamine |
| 37 | 4.32 # | C7H6O3 | p-hydroxybenzoic acid | 153 | 12.05 # | C16H12O6 | Hydroxygenkwanin |
| 38 | 4.65 # | C6H11NO | N-Formylpiperidine | 154 | 12.10 # | C16H12O4 | Formononetin |
| 39 | 4.69 # | C17H26O11 | Shanzhiside methylester | 155 | 12.11# | C16H16O4 | Vestitol |
| 40 | 5.36 # | C8H8O5 | Methyl gallate | 156 | 12.11 # | C30H38O11 | Toosendanin |
| 41 | 5.88 # | C9H6O3 | 7-Hydroxycoumarin | 157 | 12.18 # | C17H14O7 | Aurantio-obtusin |
| 42 | 5.88 * | C16H18O9 | Chlorogenic acid | 158 | 12.18 # | C17H14O7 | Cirsiliol |
| 42 | 5.88 * | C16H18O9 | Chlorogenic acid | 159 | 12.26 # | C14H17NO3 | Fagaramide |
| 43 | 5.99 # | C16H26O8 | Jasminoside B/D/G | 160 | 12.27 # | C30H48O6 | Arjugenin |
| 44 | 6.29 * | C9H8O4 | Caffeic acid | 161 | 12.30 # | C42H62O16 | Glycyrrhizic acid |
| 45 | 6.51 # | C27H32O16 | Safflomin A | 162 | 12.30 # | C42H62O16 | Glycyrrhizic acid |
| 46 | 6.91 # | C13H8O8 | Brevifolincarboxylic acid | 162 | 12.33 # | C15H12O3 | 2′,4′-dihydroxychalcone |
| 47 | 7.18 # | C10H8O3 | 4-Methylumbelliferone | 163 | 12.35 # | C18H18O6 | 3′-O-methylviolanone |
| 48 | 7.19 # | C23H34O15 | Genipin 1-O-beta-d-Gentiobioside | 164 | 12.52 # | C9H10O | Cinnamic alcohol |
| 48 | 7.19 # | C23H34O15 | Genipin 1-O-beta-d-Gentiobioside | 165 | 12.52 # | C17H16O5 | Methylnissolin |
| 49 | 7.29 # | C34H26O22 | Tellimagradin I | 166 | 12.62 # | C21H20O6 | Glycycoumarin |
| 50 | 7.41 # | C27H32O15 | Isobutrin | 167 | 12.65 # | C16H17NO3 | Piperyline |
| 51 | 7.57 # | C15H14O6 | Epicatechin | 168 | 12.77 | C32H44O14 | Crocin III |
| 52 | 7.61 # | C11H12O5 | Sinapic acid | 169 | 12.83 # | C17H19NO5 | Piperodione |
| 53 | 7.61 * | C27H22O18 | Corilagin | 170 | 12.91 # | C16H12O5 | Physcione |
| 54 | 7.81 # | C9H10O3 | Paeonol | 171 | 12.97 # | C17H14O3 | Benzarone |
| 55 | 7.82 # | C17H24O10 | Geniposide | 172 | 13.09 # | C20H18O6 | Glycyrrhiza isoflavanone |
| 56 | 7.8 3# | C11H14O5 | Genipin | 173 | 13.10 # | C15H12O4 | Isoliquiritigenin isomers |
| 57 | 7.84 # | C8H7N | Indole | 174 | 13.17 # | C16H19NO3 | Piperlonguminine |
| 58 | 7.88 # | C11H12O4 | Ethyl caffeate | 175 | 13.18 # | C24H38O4 | 12-ketolcholic acid |
| 59 | 7.90 # | C27H24O18 | 1,2,6-triple-O-galacyl-β -d-glucose | 176 | 13.24 # | C16H12O5 | Pea chalcone B |
| 60 | 7.95 # | C15H20O3 | Parthenolide | 177 | 13.24 # | C16H12O5 | Melanettin |
| 61 | 7.95 # | C8H8O3 | 4-Hydroxyphenylacetic acid isomer | 178 | 13.28 # | C15H22 | α-curcumene |
| 62 | 8.02 # | C8H8O3 | 4-Hydroxyphenylacetic acid isomer | 179 | 13.28 # | C21H20O5 | Gancaonin M |
| 63 | 8.20 # | C15H20O3 | Pterosin A | 180 | 13.29 # | C20H22O4 | Machilin A |
| 64 | 8.28 *# | C21H20O11 | Orientin | 181 | 13.29 # | C20H24O5 | Fragransin A2 |
| 65 | 8.29 # | C26H28O14 | Schaftoside | 182 | 13.37 # | C21H20O6 | Glycycoumarin isomer |
| 66 | 8.34 # | C10H16O2 | Chrysanthemic acid | 183 | 13.45 # | C21H22O5 | Gancaonin I |
| 67 | 8.35 # | C15H12O6 | Dihydrofisetin | 184 | 13.52 # | C19H18O4 | Tanshinaldehyde |
| 68 | 8.40 # | C9H10O5 | Syringic acid | 185 | 13.54 # | C17H21NO3 | Piperanine |
| 69 | 8.42 # | C9H8O3 | p-Coumaric acid | 186 | 13.55 # | C18H16O7 | Obtusin |
| 70 | 8.44 # | C8H8O3 | 4-Hydroxyphenylacetic acid isomer | 187 | 13.60 # | C20H18O6 | Glycyrrhiza isoflavanone isomer |
| 71 | 8.50 # | C8H8O3 | 4-Hydroxyphenylacetic acid isomer | 188 | 13.87 | C11H12O3 | Myristicin |
| 72 | 8.52 # | C9H10O4 | 4-Hydroxy-3,5-dimethoxybenzaldehyde | 189 | 13.94 # | C30H46O3 | Wilforlide A |
| 73 | 8.52 # | C9H10O4 | Methyl oxalate | 190 | 13.94 # | C21H22O4 | Licochalcone A |
| 74 | 8.62 *# | C14H6O8 | Ellagic acid | 191 | 14.06 # | C10H10O2 | Safrol |
| 75 | 8.65 # | C10H16O3 | Jasminodiol | 192 | 14.06 # | C30H20O | Tetrahydropyranthron |
| 76 | 8.69 # | C10H8O4 | Scopoletin | 193 | 14.08 # | C21H18O6 | Glycyrol |
| 77 | 8.69 *# | C27H30O16 | Rutin | 194 | 14.17 # | C17H14O2 | 2- (2-phenylethyl) chromone |
| 78 | 8.70 # | C25H30O12 | 2′(4′-hydroxycinnamoyl)–Polygonatum japonicum glycoside | 195 | 14.20 # | C21H22O5 | Gancaonin I isomer |
| 79 | 8.75 *# | C21H20O12 | Isoquercitrin | 196 | 14.43 # | C18H16O2 | Cinnamyl cinnamate |
| 80 | 8.77 *# | C21H20O10 | Vitexin | 197 | 14.46 # | C20H16O5 | Glabrone |
| 81 | 8.80 # | C21H18O13 | Quercetin3-O-β-d-Glucuronide | 198 | 14.47 # | C18H16O3 | Ipriflavone |
| 82 | 8.82 # | C17H18O6 | Agarotetrol | 199 | 14.54 # | C19H21NO3 | Piperine |
| 83 | 8.82 # | C17H18O6 | 3′-hydroxy-8-methoxyvestitol | 200 | 14.62 *# | C20H20O4 | Glabridin |
| 84 | 8.84 # | C26H30O13 | Isoliquiritin | 200 | 14.62 *# | C20H20O4 | Glabridin |
| 85 | 8.85 # | C15H12O4 | Isoliquiritigenin isomers | 201 | 14.69 # | C19H23NO3 | Piperdardine |
| 86 | 8.85 *# | C21H20O12 | Hyperoside | 202 | 14.88 | C15H20O2 | Isoalantolactone |
| 87 | 8.86 *# | C21H22O9 | Liquiritin | 203 | 14.88 | C15H20O2 | Costunolide |
| 88 | 9.08 | C27H30O15 | Kaempferol-3-O-rutinoside | 204 | 14.92 # | C21H26O5 | Malabaricone C |
| 88 | 9.08 | C27H30O15 | Kaempferol-3-O-rutinoside | 205 | 14.97 # | C10H12O2 | P-Hydroxyphenyl butanone |
| 89 | 9.09 # | C21H22O11 | Carthamidin-5-glucoside | 206 | 14.97 # | C11H14O3 | Methoxyeugenol |
| 90 | 9.11 # | C21H20O11 | Orientin isomer | 207 | 15.14 # | C15H18O2 | Lindenenol |
| 91 | 9.18 # | C28H32O16 | Narcissoside | 208 | 15.14 # | C15H18O2 | Dehydro-α-curcumene |
| 92 | 9.23 # | C21H17O12 | Luteolin-7-O-beta-d-glucuronide | 209 | 15.14 # | C20H25NO3 | Piperlongumine A |
| 93 | 9.24 # | C25H24O12 | Isochlorogenic acid B | 210 | 15.26 # | C10H12O2 | Eugenol isomer |
| 94 | 9.26 # | C21H20O11 | Cynaroside | 211 | 15.30 # | C17H24O4 | 9-Acetoxyfukinanolide |
| 95 | 9.27 # | C20H18O7 | Uralenol | 212 | 15.35 | C14H25NO | Pellitorine |
| 96 | 9.31 # | C27H34O13 | 11-(6-O-trans-sinapoyl-glucopyranosyl) gardendiol | 213 | 15.36 # | C10H12O2 | Eugenol isomer |
| 97 | 9.36 # | C27H20O16 | 4-O-(4′-O-galloyl-rhamnosyl) ellagic acid | 214 | 15.47 # | C20H27NO3 | Pipercallosine |
| 98 | 9.38 # | C15H8O8 | 3-O-methylellagic acid isomer | 215 | 15.55 # | C15H20O2 | Atractylenolide |
| 99 | 9.38 # | C15H10O5 | Genistein isomer | 216 | 15.58 | C20H22O4 | Dehydrodiisoeugenol |
| 100 | 9.39 # | C22H20O13 | Isorhamnetin 3-glucuronide | 217 | 15.71 | C20H22O4 | Dehydrodiisoeugenol |
| 100 | 9.40 # | C22H20O13 | Isorhamnetin 3-glucuronide | 217 | 15.71 # | C21H25NO3 | Piptigrine |
| 101 | 9.43 # | C26H30O14 | Cassiaside B | 218 | 15.97 # | C15H24O | Spathulenol |
| 102 | 9.46 # | C10H10O3 | 6,7-dihydroxyindan-4-carbaldehyde | 219 | 15.98 # | C15H25NO | Neopellitorine B |
| 103 | 9.48 # | C25H24O12 | 3,5-di-caffeoylquinic acid | 220 | 16.08 # | C21H27NO3 | Pipernonaline |
| 104 | 9.57 # | C9H6O2 | Coumarin | 221 | 16.13 | C18H30O2 | α-linolenic acid |
| 105 | 9.59 # | C7H6O3 | 3-Hydroxybenzoic acid | 222 | 16.18 # | C12H16O3 | Isoelemicine |
| 106 | 9.61 # | C15H8O8 | 3-O-methylellagic acid | 223 | 16.18 # | C12H16O3 | α-Asarone |
| 107 | 9.62 # | C15H10O5 | Emodin | 224 | 16.27 # | C11H14O2 | Methyleugenol |
| 108 | 9.76 # | C8H8O4 | Vanillic acid isomer | 225 | 16.32 # | C18H34O2 | Oleic acid |
| 109 | 9.77# | C21H22O9 | Liquiritin isomer | 226 | 16.55 # | C21H29NO3 | Piperolein B |
| 110 | 9.81 # | C20H20O10 | Cassiaside | 227 | 16.88 # | C16H22O4 | Mansonone N |
| 111 | 9.8 2# | C16H12O6 | Tectorigenin | 228 | 16.98 # | C16H22O4 | Dibutyl phthalate |
| 112 | 9.86 *# | C10H10O4 | Ferulic acid | 229 | 17.14 # | C16H29NO | N-isobutyl1-2,4-dodecadienamide |
| 113 | 9.88# | C26H30O13 | Isoliquiritin apioside isomer | 230 | 17.25 # | C18H22O4 | Nordihydroguaiaretic acid |
| 114 | 9.93 # | C23H24O12 | Aurantio-obtusin-6-O-β-d-glucoside | 231 | 17.36 # | C30H46O4 | 18-β-glycyrrhetinic acid |
| 115 | 9.96 # | C27H28O13 | 4-O-sinapoyl-5-O-caffeoylquninic acid | 232 | 17.83 # | C24H33NO3 | Guineensine |
| 84 | 10.07 *# | C21H22O9 | Isoliquiritin | 233 | 19.09 # | C14H28O2 | Myristic acid |
| 116 | 10.09 # | C16H14O6 | Homoeriodictyol | 234 | 19.50 # | C23H35NO | Dihydroevocarpine |
| 117 | 10.16 # | C15H8O5 | Coumestrol | 235 | 19.75 # | C18H32O2 | Linoleic acid |
| 118 | 10.18 # | C22H22O9 | Ononin | 236 | 20.79 # | C21H24O5 | Rutamarin |
| 119 | 10.18 # | C15H10O6 | Luteolin | 237 | 22.30# | C22H41NO | N-isobutyl-(2E,4E)-octadecadienamide |
| 120 | 10.20 # | C15H10O4 | Chrysophanic acid |
Disclaimer/Publisher’s Note: The statements, opinions and data contained in all publications are solely those of the individual author(s) and contributor(s) and not of MDPI and/or the editor(s). MDPI and/or the editor(s) disclaim responsibility for any injury to people or property resulting from any ideas, methods, instructions or products referred to in the content. |
© 2024 by the authors. Licensee MDPI, Basel, Switzerland. This article is an open access article distributed under the terms and conditions of the Creative Commons Attribution (CC BY) license (https://creativecommons.org/licenses/by/4.0/).
Share and Cite
Huo, Y.; Li, K.; Yang, S.; Yi, B.; Chai, Z.; Fan, L.; Shu, L.; Gao, B.; Li, H.; Cai, W. A Systematic Methodology for the Identification of the Chemical Composition of the Mongolian Drug Erdun-Uril Compound Utilizing UHPLC-Q-Exactive Orbitrap Mass Spectrometry. Molecules 2024, 29, 4349. https://doi.org/10.3390/molecules29184349
Huo Y, Li K, Yang S, Yi B, Chai Z, Fan L, Shu L, Gao B, Li H, Cai W. A Systematic Methodology for the Identification of the Chemical Composition of the Mongolian Drug Erdun-Uril Compound Utilizing UHPLC-Q-Exactive Orbitrap Mass Spectrometry. Molecules. 2024; 29(18):4349. https://doi.org/10.3390/molecules29184349
Chicago/Turabian StyleHuo, Yanghui, Kailin Li, Suyu Yang, Bo Yi, Zhihua Chai, Lingxuan Fan, Liangyin Shu, Bowen Gao, Huanting Li, and Wei Cai. 2024. "A Systematic Methodology for the Identification of the Chemical Composition of the Mongolian Drug Erdun-Uril Compound Utilizing UHPLC-Q-Exactive Orbitrap Mass Spectrometry" Molecules 29, no. 18: 4349. https://doi.org/10.3390/molecules29184349
APA StyleHuo, Y., Li, K., Yang, S., Yi, B., Chai, Z., Fan, L., Shu, L., Gao, B., Li, H., & Cai, W. (2024). A Systematic Methodology for the Identification of the Chemical Composition of the Mongolian Drug Erdun-Uril Compound Utilizing UHPLC-Q-Exactive Orbitrap Mass Spectrometry. Molecules, 29(18), 4349. https://doi.org/10.3390/molecules29184349

