Recent Advances in Synthesis and Applications of Calixarene Derivatives Endowed with Anticancer Activity
Abstract
1. Introduction
2. Calixarene-Based Anticancer Compounds
2.1. Spiro-Indoline Calixarenes
2.2. Proline Functionalised Calixarenes
2.3. Aspartic and Glutamic Acid-Functionalised Calix[4]arene Derivatives
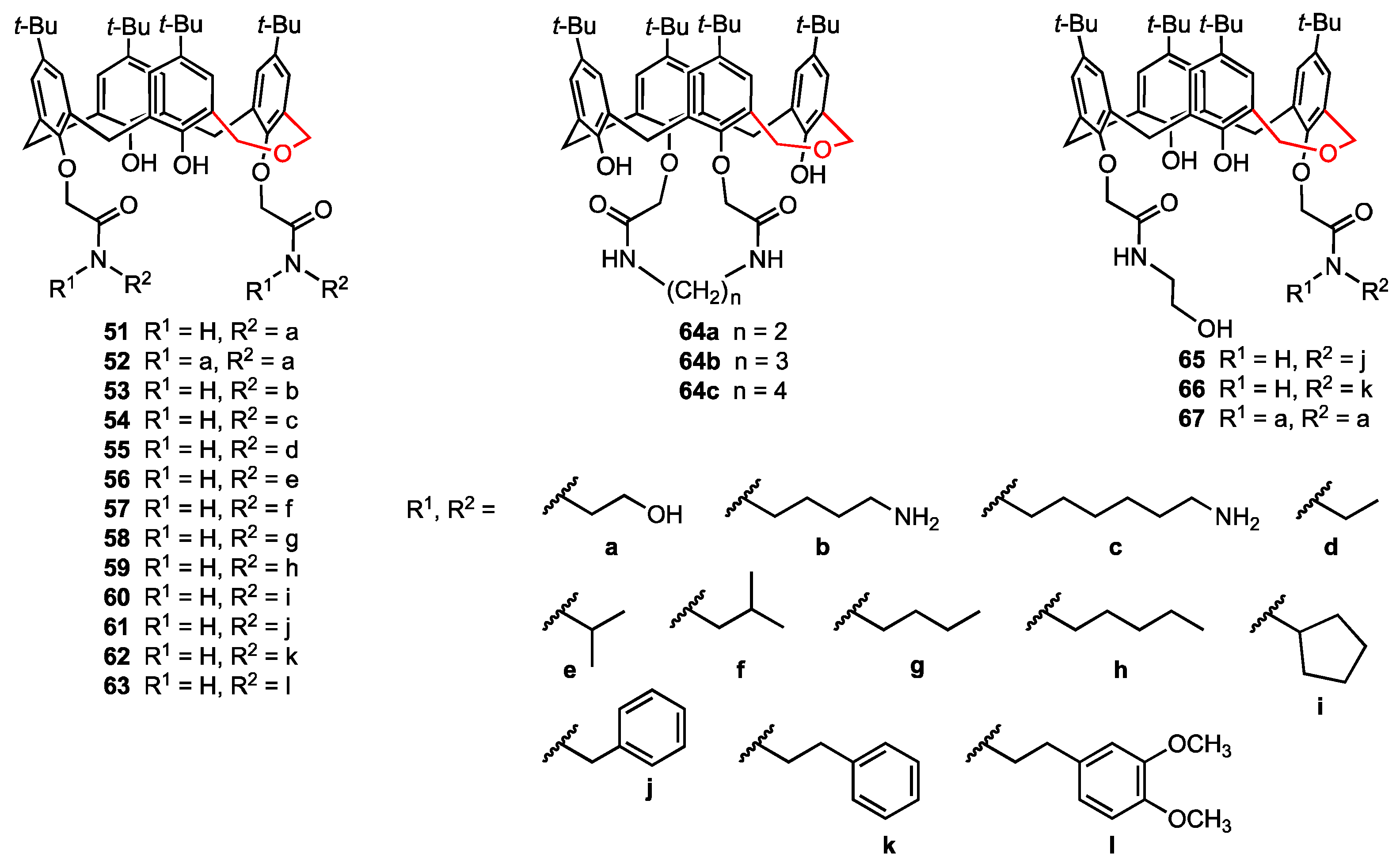
2.4. Amide Functionalised Calix[4]arene Derivatives
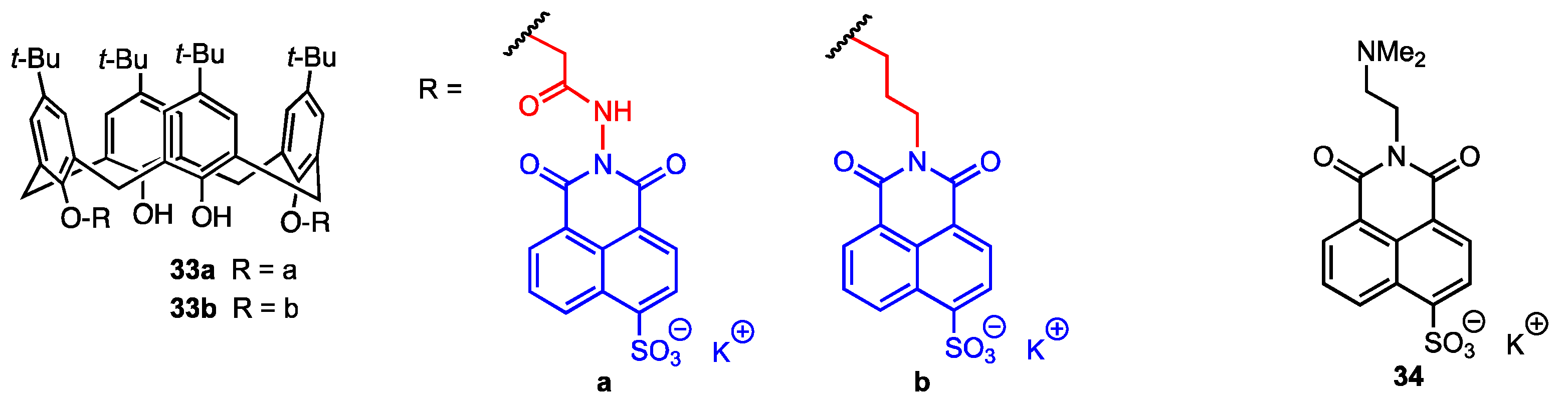
2.5. Fluorescent Lower Rim-Functionalised Calix[4]arene Derivatives
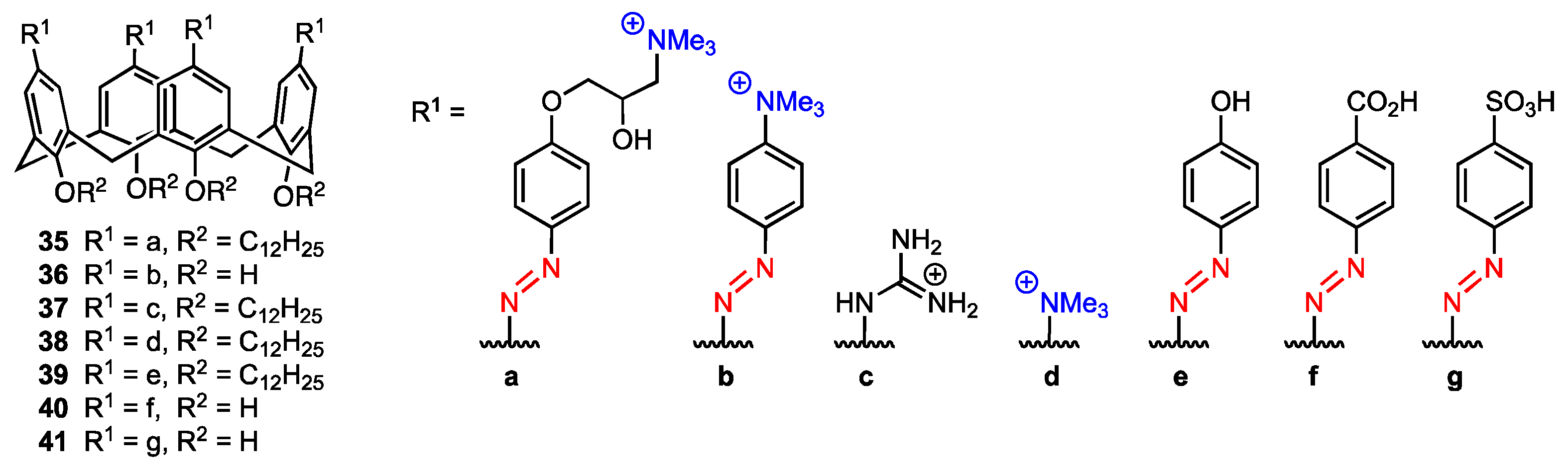
2.6. Quaternary Ammonium-Modified Azocalix[4]arene
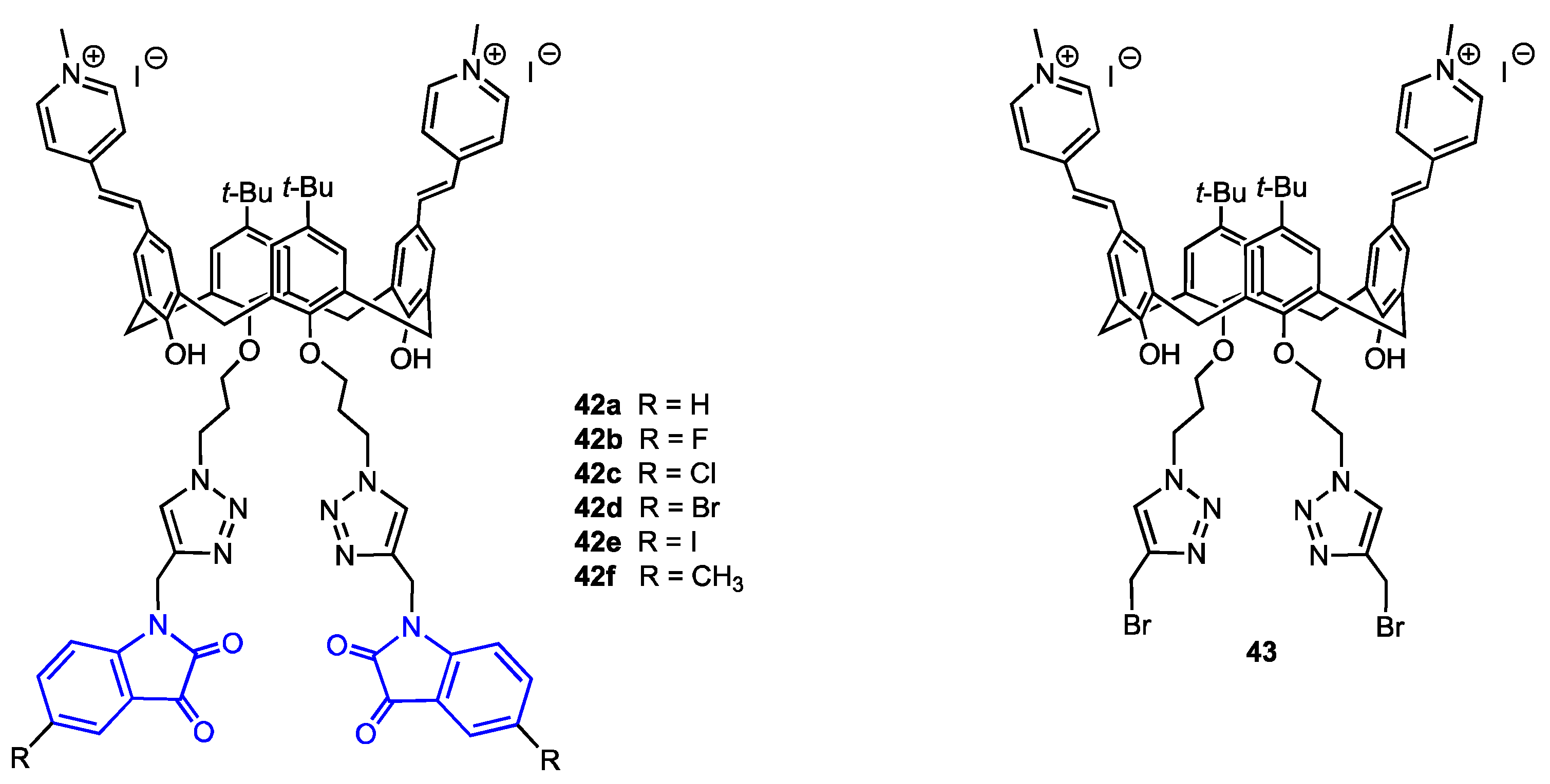
2.7. Calixarenes Bearing Isatin Moieties
2.8. Non-Functionalised Calixarenes
3. Complexes of Calixarene as Potential Anticancer Drugs
3.1. Complex of Calix[4]arene Tetramalonate with Cis-Diammonia-Platinum(II)
3.2. Complex of Sulfonatocalix[4]arenes with Pyridinium-Tetraphenylethylene
3.3. Complex of Calixarenes with Betaine
3.4. Self-Inclusion Complex of Calixarenes with Anticancer Drugs
3.5. Calixarene-Based Micelles Encapsulating Anticancer Drugs
4. Analogues of Calixarenes as Potential Anticancer Drugs
4.1. Dihomooxacalixarenes
4.2. Thiacalixarenes
4.3. Calix[4]resorcinols
4.4. Azacalixarenes
4.5. Calix[4]pyrroles
4.6. Pillar[5]arenes
5. Conclusions
Author Contributions
Funding
Institutional Review Board Statement
Informed Consent Statement
Data Availability Statement
Acknowledgments
Conflicts of Interest
References
- Gutsche, C.D. Calixarenes, Monograph in Supramolecular Chemistry; Stoddart, J.F., Ed.; Royal Society of Chemistry: Cambridge, UK, 1989; Volume 1. [Google Scholar]
- Vicens, J.; Böhmer, V. (Eds.) Calixarenes, a Versatile Class of Macrocyclic Compounds; Kluwer Academic Publishers: Dordrecht, The Netherlands, 1991. [Google Scholar]
- Böhmer, V. Calixarenes, Macrocycles with (Almost) Unlimited Possibilities. Angew. Chem. Int. Ed. Engl. 1995, 34, 713–745. [Google Scholar] [CrossRef]
- Takeshita, M.; Shinkai, S. Recent topics on functionalization and recognition ability of calixarenes: The “third host molecule”. Bull. Chem. Soc. Jpn. 1995, 68, 1088–1097. [Google Scholar] [CrossRef]
- Gutsche, C.D. Calixarenes Revisited, Monographs in Supramolecular Chemistry; Stoddart, J.F., Ed.; Royal Society of Chemistry: Cambridge, UK, 1998. [Google Scholar]
- Mandolini, L.; Ungaro, R. Calixarenes in Action; Imperial College Press: London, UK, 2000. [Google Scholar]
- Gutsche, C.D.; Iqbal, M. p-tert-Butylcalix[4]arene. Org. Synth. 1990, 68, 234–237. [Google Scholar] [CrossRef]
- Iwamoto, K.; Araki, K.; Shinkai, S. Conformations and structures of tetra-O-alkyl-p-tert-butylcalix[4]arenes. How is the conformation of calix[4]arenes immobilized? J. Org. Chem. 1991, 56, 4955–4962. [Google Scholar] [CrossRef]
- Mokhtari, B.; Pourabdollah, K. Applications of calixarene nano-baskets in pharmacology. J. Incl. Phenom. Macrocycl. Chem. 2012, 73, 1–15. [Google Scholar] [CrossRef]
- Nimse, S.B.; Kim, T. Biological applications of functionalized calixarenes. Chem. Soc. Rev. 2013, 42, 366–386. [Google Scholar] [CrossRef] [PubMed]
- Hussain, M.A.; Ashraf, M.U.; Muhammad, G.; Tahir, M.N.; Bukhari, S.N.A. Calixarene: A Versatile Material for Drug Design and Applications. Curr. Pharm. Des. 2017, 23, 2377–2388. [Google Scholar] [CrossRef] [PubMed]
- Baldini, L.; Casnati, A.; Sansone, F. Multivalent and Multifunctional Calixarenes in Bionanotechnology. Eur. J. Org. Chem. 2020, 2020, 5056–5069. [Google Scholar] [CrossRef]
- Pan, Y.C.; Hu, X.Y.; Guo, D.S. Biomedical Applications of Calixarenes: State of the Art and Perspectives. Angew. Chem. Int. Ed. 2021, 60, 2768–2794. [Google Scholar] [CrossRef]
- Dondoni, A.; Marra, A. Calixarene and calixresorcarene glycosides: Their synthesis and biological applications. Chem. Rev. 2010, 110, 4949–4977. [Google Scholar] [CrossRef] [PubMed]
- Rodik, R.V.; Klymchenko, A.S.; Mely, Y.; Kalchenko, V.I. Calixarenes and related macrocycles as gene delivery vehicles. J. Incl. Phenom. Macrocycl. Chem. 2014, 80, 189–200. [Google Scholar] [CrossRef]
- Fan, X.; Guo, X. Development of calixarene-based drug nanocarriers. J. Mol. Liq. 2021, 325, 115246. [Google Scholar] [CrossRef]
- Shurpik, D.N.; Padnya, P.L.; Stoikov, I.I.; Cragg, P.J. Antimicrobial Activity of Calixarenes and Related Macrocycles. Molecules 2020, 25, 5145. [Google Scholar] [CrossRef] [PubMed]
- Mourer, M.; Regnouf-de-Vains, J.-B.; Duval, R.E. Functionalized Calixarenes as Promising Antibacterial Drugs to Face Antimicrobial Resistance. Molecules 2023, 28, 6954. [Google Scholar] [CrossRef]
- Yousaf, A.; Hamid, S.A.; Bunnori, N.M.; Ishola, A. Applications of calixarenes in cancer chemotherapy: Facts and perspectives. Drug Des. Dev. Ther. 2015, 9, 2831–2838. [Google Scholar] [CrossRef]
- Karakurt, S.; Kellici, T.F.; Mavromoustakos, T.; Tzakos, A.G.; Yilmaz, M. Calixarenes in Lipase Biocatalysis and Cancer Therapy. Curr. Org. Chem. 2016, 20, 1043–1057. [Google Scholar] [CrossRef]
- Pur, F.N. Calix[4]API-s: Fully functionalized calix[4]arene-based facial active pharmaceutical ingredients. Mol. Divers. 2021, 25, 1247–1258. [Google Scholar] [CrossRef]
- Basilotta, R.; Mannino, D.; Filippone, A.; Casili, G.; Prestifilippo, A.; Colarossi, L.; Raciti, G.; Esposito, E.; Campolo, M. Role of Calixarene in Chemotherapy Delivery Strategies. Molecules 2021, 26, 3963. [Google Scholar] [CrossRef]
- Isik, A.; Oguz, M.; Kocak, A.; Yilmaz, M. Calixarenes: Recent progress in supramolecular chemistry for application in cancer therapy. J. Incl. Phenom. Macrocycl. Chem. 2022, 102, 439–449. [Google Scholar] [CrossRef]
- Davis, F.; Higson, S.P.J. Synthetic Receptors for Early Detection and Treatment of Cancer. Biosensors 2023, 13, 953. [Google Scholar] [CrossRef]
- Li, R.; Liu, N.; Liu, R.; Jin, X.; Li, Z. Calixarene: A Supramolecular Material for Treating Cancer. Curr. Drug Deliv. 2024, 21, 184–192. [Google Scholar] [CrossRef] [PubMed]
- World Health Organisation. Available online: https://www.who.int/news-room/fact-sheets/detail/cancer (accessed on 23 July 2024).
- Nag, R.; Polepalli, S.; Hussain, M.A.; Rao, C.P. Ratiometric Cu2+ Binding, Cell Imaging, Mitochondrial Targeting, and Anticancer Activity with Nanomolar IC50 by Spiro-Indoline-Conjugated Calix[4]arene. ACS Omega 2019, 4, 13231–13240. [Google Scholar] [CrossRef] [PubMed]
- Oguz, M.; Gul, A.; Karakurt, S.; Yilmaz, M. Synthesis and evaluation of the antitumor activity of calix[4]arene l-proline derivatives. Bioorg. Chem. 2020, 94, 103207. [Google Scholar] [CrossRef]
- Phang, J.M. Proline metabolism in cell regulation and cancer biology: Recent advances and hypotheses. Antioxid. Redox Signal 2019, 30, 635–649. [Google Scholar] [CrossRef] [PubMed]
- Fu, D.Y.; Lu, T.; Liu, Y.X.; Li, F.; Ogden, M.I.; Wang, Y.; Wu, Y.; Mocerino, M. Enantioselective Inhibition of Human Papillomavirus L1 Pentamer Formation by Chiral-Proline Modified Calix[4]arenes: Targeting the Protein Interface. ChemistrySelect 2016, 1, 6243–6249. [Google Scholar] [CrossRef]
- Barukčić, I. Human Papillomavirus—The Cause of Human Cervical Cancer. J. Biosci. Med. 2018, 6, 106–125. [Google Scholar] [CrossRef]
- Burke, L.; Guterman, I.; Palacios Gallego, R.; Britton, R.G.; Burschovsky, D.; Tufarelli, C.; Rufini, A. The Janus-like role of proline metabolism in cancer. Cell Death Discov. 2020, 6, 104. [Google Scholar] [CrossRef] [PubMed]
- Vettore, L.; Westbrook, R.L.; Tennant, D.A. New aspects of amino acid metabolism in cancer. Br. J. Cancer 2020, 122, 150–156. [Google Scholar] [CrossRef]
- Choi, B.H.; Coloff, J.L. The diverse functions of non-essential amino acids in cancer. Cancers 2019, 11, 675. [Google Scholar] [CrossRef] [PubMed]
- Oguz, M.; Yildirim, A.; Durmus, I.M.; Karakurt, S.; Yilmaz, M. Synthesis of new calix[4]arene derivatives and evaluation of their cytotoxic activity. Med. Chem. Res. 2022, 31, 52–59. [Google Scholar] [CrossRef]
- Goh, C.Y.; Fu, D.Y.; Duncan, C.L.; Tinker, A.; Li, F.; Mocerino, M. The inhibitory properties of acidic functionalised calix[4]arenes on human papillomavirus pentamer formation. Supramol. Chem. 2020, 32, 345–353. [Google Scholar] [CrossRef]
- Zheng, D.D.; Fu, D.Y.; Wu, Y.; Sun, Y.L.; Tan, L.L.; Zhou, T.; Ma, S.Q.; Zhu, X.; Yang, Y.W. Efficient inhibition of human papillomavirus 16 L1 pentamer formation by a carboxylatopillarene and a p-sulfonatocalixarene. Chem. Commun. 2014, 50, 3201–3203. [Google Scholar] [CrossRef] [PubMed]
- An, L.; Han, L.-L.; Zheng, Y.-G.; Peng, X.-N.; Xue, Y.-S.; Gu, X.-K.; Sun, J.; Yan, C.-G. Synthesis, X-ray crystal structure and anti-tumor activity of calix[n]arene polyhydroxyamine derivatives. Eur. J. Med. Chem. 2016, 123, 21–30. [Google Scholar] [CrossRef]
- Yilmaz, B.; Bayrac, A.T.; Beyrakci, M. Evaluation of Anticancer Activities of Novel Facile Synthesized Calix[n]arene Sulfonamide Analogs. Appl. Biochem. Biotech. 2020, 190, 1484–1491. [Google Scholar] [CrossRef]
- Oguz, M. Synthesis and anticancer activity of new p-tertbutylcalix[4]arenes integrated with trifluoromethyl aniline groups against several cell lines. Tetrahedron 2022, 116, 132816. [Google Scholar] [CrossRef]
- Luzina, E.L.; Popov, A.V. Synthesis and anticancer activity of N-bis(trifluoromethyl)alkyl-N′-thiazolyl and N-bis(trifluoromethyl)alkyl-N′-benzothiazolyl ureas. Eur. J. Med. Chem. 2009, 44, 4944–4953. [Google Scholar] [CrossRef]
- Calabro-Jones, P.M.; Byfield, J.E.; Ward, J.F.; Sharp, T.R. Time-Dose Relationships for 5-Fluorouracil Cytotoxicity against Human Epithelial Cancer Cells in Vitro. Cancer Res. 1982, 42, 4413–4420. [Google Scholar]
- Roberts, J.D.; Webb, R.L.; McElhill, E.A. The Electrical Effect of the Trifluoromethyl Group. J. Am. Chem. Soc. 1950, 72, 408–411. [Google Scholar] [CrossRef]
- Chemical Book: 2-Aminobenzotrifluoride. Available online: https://www.chemicalbook.com/ChemicalProductProperty_EN_CB0214069.htm (accessed on 22 July 2024).
- Lee, S.; Shanti, A. Effect of exogenous pH on cell growth of breast cancer cells. Int. J. Mol. Sci. 2021, 22, 9910. [Google Scholar] [CrossRef]
- An, L.; Wang, C.; Zheng, Y.G.; Liu, J.; Huang, T. Design, synthesis and evaluation of calix[4]arene-based carbonyl amide derivatives with antitumor activities. Eur. J. Med. Chem. 2021, 210, 112984. [Google Scholar] [CrossRef]
- Yildirim, A.; Karakurt, S.; Yilmaz, M. Synthesized Two New Water-Soluble Fluorescents Calix[4]arene 4-sulfo-1,8-naphthalimide Derivatives Inhibit Proliferation of Human Colorectal Carcinoma Cells. ChemistrySelect 2021, 6, 7093–7097. [Google Scholar] [CrossRef]
- Neri, P.; Sessler, J.L.; Wang, M.X. Calixarenes and Beyond; Springer: Cham, Switzerland, 2016. [Google Scholar] [CrossRef]
- Banerjee, S.; Veale, E.B.; Phelan, C.M.; Murphy, S.A.; Tocci, G.M.; Gillespie, L.J.; Frimannsson, D.P.; Kelly, J.M.; Gunnlaugsson, T. Recent advances in the development of 1,8-naphthalimide based DNA targeting binders, anticancer and fluorescent cellular imaging agents. Chem. Soc. Rev. 2013, 42, 1601–1618. [Google Scholar] [CrossRef] [PubMed]
- Zhou, P.; Yao, J.; Hu, G.; Fang, J. Naphthalimide Scaffold Provides Versatile Platform for Selective Thiol Sensing and Protein Labeling. ACS Chem. Biol. 2016, 11, 1098–1105. [Google Scholar] [CrossRef]
- Marshall, M.E.; Blumenstein, B.; Crawford, E.D.; Thompson, I.M.; Craig, J.B.; Eisenberger, M.; Ahmann, F. Phase II trial of amonafide for the treatment of advanced, hormonally refractory carcinoma of the prostate. A Southwest Oncology Group study. Am. J. Clin. Oncol. 1994, 17, 514–515. [Google Scholar] [CrossRef]
- Constanza, M.E.; Berry, D.; Henderson, I.C.; Ratain, M.J.; Wu, K.; Shapiro, C.; Duggan, D.; Kalra, J.; Berkowitz, I.; Lyss, A.P. Amonafide: An active agent in the treatment of previously untreated advanced breast cancer—A cancer and leukemia group B study (CALGB 8642). Clin. Cancer Res. 1995, 1, 699–704. [Google Scholar]
- Stevenson, K.A.; Yen, S.F.; Yang, N.C.; Boykin, D.W.; Wilson, W.D. A Substituent Constant Analysis of the Interaction of Substituted Naphthalene Monoimides with DNA. J. Med. Chem. 1984, 27, 1677–1682. [Google Scholar] [CrossRef]
- Zhang, Z.; Yue, Y.X.; Li, Q.; Wang, Y.; Wu, X.; Li, X.; Li, H.B.; Shi, L.; Guo, D.S.; Liu, Y. Design of Calixarene-Based ICD Inducer for Efficient Cancer Immunotherapy. Adv. Funct. Mater. 2023, 33, 2213967. [Google Scholar] [CrossRef]
- Bezu, L.; Sauvat, A.; Humeau, J.; Gomes-da-Silva, L.C.; Iribarren, K.; Forveille, S.; Garcia, P.; Zhao, L.; Liu, P.; Zitvogel, L.; et al. eIF2α phosphorylation is pathognomonic for immunogenic cell death. Cell Death Differ. 2018, 25, 1375–1393. [Google Scholar] [CrossRef]
- Oguz, A.; Sagik, B.N.; Oguz, M.; Ozturk, B.; Yilmaz, M. Novel mitochondrial and DNA damaging fluorescent calix[4]arenes bearing isatin groups as aromatase inhibitors: Design, synthesis and anticancer activity. Bioorg. Med. Chem. 2024, 98, 177586. [Google Scholar] [CrossRef]
- Pelizzaro-Rocha, K.J.; de Jesus, M.B.; Ruela-de-Sousa, R.R.; Nakamura, C.V.; Souza Reis, F.; de Fátima, Â.; Ferreira-Halder, C.V. Calix[6]arene bypasses human pancreatic cancer aggressiveness: Downregulation of receptor tyrosine kinases and induction of cell death by reticulum stress and autophagy. Biochim. Biophys. Acta 2013, 1833, 2856–2865. [Google Scholar] [CrossRef]
- Pelizzaro Rocha-Brito, K.J.; Barreto Fonseca, E.M.; de Freitas Oliveira, B.G.; de Fátima, Â.; Ferreira-Halder, C.V. Calix[6]arene diminishes receptor tyrosine kinase lifespan in pancreatic cancer cells and inhibits their migration and invasion efficiency. Bioorg. Chem. 2020, 100, 103881. [Google Scholar] [CrossRef]
- Cordeiro, H.G.; Azevedo-Martins, J.M.; de Sousa Faria, A.V.; Pelizzaro Rocha-Brito, K.J.; Milani, R.; Peppelenbosch, M.; Fuhler, G.; de Fátima, Â.; Ferreira-Halder, C.V. Calix[6]arene dismantles extracellular vesicle biogenesis and metalloproteinases that support pancreatic cancer hallmarks. Cell Signal. 2024, 119, 111174. [Google Scholar] [CrossRef] [PubMed]
- Pur, F.N.; Dilmaghani, K.A. Calixplatin: Novel potential anticancer agent based on the platinum complex with functionalized calixarene. J. Coord. Chem. 2014, 67, 440–448. [Google Scholar] [CrossRef]
- Feng, H.T.; Li, Y.; Duan, X.; Wang, X.; Qi, C.; Lam, J.W.Y.; Ding, D.; Tang, B.Z. Substitution Activated Precise Phototheranostics through Supramolecular Assembly of AIEgen and Calixarene. J. Am. Chem. Soc. 2020, 142, 15966–15974. [Google Scholar] [CrossRef]
- Fahmy, S.F.; Ponte, F.; Fawzy, I.M.; Silicia, E.; El-Said Azzazy, H.M. Betaine host–guest complexation with a calixarene receptor: Enhanced in vitro anticancer effect. RSC Adv. 2021, 11, 24673. [Google Scholar] [CrossRef] [PubMed]
- Yao, S.-Y.; Ying, A.-K.; Jiang, Z.-T.; Cheng, Y.-Q.; Geng, W.-C.; Hu, X.-Y.; Cai, K.; Guo, D.-S. Single Molecular Nanomedicines Based on Macrocyclic Carrier-Drug Conjugates for Concentration-Independent Encapsulation and Precise Activation of Drugs. J. Am. Chem. Soc. 2024, 46, 14203–14212. [Google Scholar] [CrossRef]
- Zheng, H.-Y.; Liu, Y.-D.; Zhang, Y.-L.; Shi, Q.-H.; Hou, X.-L.; An, L. Camptothecin-loaded supramolecular nanodelivery system based on amphiphilic calix[4]arene for targeted tumor therapy. N. J. Chem. 2024, 48, 1241–1247. [Google Scholar] [CrossRef]
- An, L.; Wang, C.; Han, L.; Liu, J.; Huang, T.; Zheng, Y.; Yan, C.; Sun, J. Structural Design, Synthesis, and Preliminary Biological Evaluation of Novel Dihomooxacalix[4]arene-Based Anti-tumor Agents. Front. Chem. 2019, 7, 856. [Google Scholar] [CrossRef]
- Gutsche, C.D.; Dhawan, B.; No, K.H.; Muthukrishnan, R. Calixarenes. 4. The synthesis, characterization, and properties of the calixarenes from p-tert-butylphenol. J. Am. Chem. Soc. 1981, 103, 3782–3792. [Google Scholar] [CrossRef]
- Shokova, E.A.; Kovalev, V.V. Homooxacalixarenes: I. Structure, Synthesis, and Chemical Reactions. Russ. J. Org. Chem. 2004, 40, 607–643. [Google Scholar] [CrossRef]
- Akhmedov, A.; Terenteva, O.; Subakaeva, E.; Zelenikhin, P.; Shurpik, R.; Shurpik, D.; Padnya, P.; Stoikov, I. Fluorescein-Labeled Thiacalix[4]arenes as Potential Theranostic Molecules: Synthesis, Self-Association, and Antitumor Activity. Pharmaceutics 2022, 14, 2340. [Google Scholar] [CrossRef]
- Dings, R.P.M.; Chen, X.; Hellebrekers, D.M.E.I.; van Eijk, L.I.; Zhang, Y.; Hoye, T.R.; Griffioen, A.W.; Mayo, K.H. Design of nonpeptidic topomimetics of antiangiogenic proteins with antitumor activities. J. Natl. Cancer Inst. 2006, 98, 932–936. [Google Scholar] [CrossRef]
- Mayo, K.H.; Hoye, T.R.; Chen, X. Calixarene-Based Peptide Conformation Mimetics, Methods of Use, and Methods of Making. US Patent No. US 8,716,343 B2, 6 May 2014. [Google Scholar]
- Padnya, P.L.; Terenteva, O.S.; Akhmedov, A.A.; Iksanova, A.G.; Shtyrlin, N.V.; Nikitina, E.V.; Krylova, E.S.; Shtyrlin, Y.G.; Stoikov, I.I. Thiacalixarene based quaternary ammonium salts as promising antibacterial agents. Bioorg. Med. Chem. 2021, 29, 115905. [Google Scholar] [CrossRef] [PubMed]
- Kashapova, N.E.; Kashapov, R.R.; Ziganshina, A.Y.; Amerhanova, S.K.; Lyubina, A.P.; Voloshina, A.D.; Salnikov, V.V.; Zakharova, L.Y. Self-assembling nanoparticles based on acetate derivatives of calix[4]resorcinol and octenidine dihydrochloride for tuning selectivity in cancer cells. Colloids Surf. A Physicochem. Eng. Asp. 2022, 654, 130087. [Google Scholar] [CrossRef]
- Kashapov, R.; Razuvayeva, Y.; Kashapova, N.; Banketova, D.; Ziganshina, A.; Sapunova, A.; Voloshina, A.; Zakharova, L. Folic acid-decorated calix[4]resorcinol: Synthesis, dissolution in water and delivery of doxorubicin. Colloids Surf. A Physicochem. Eng. Asp. 2023, 674, 131948. [Google Scholar] [CrossRef]
- Addepalli, Y.; Yang, X.; Zhou, M.; Reddy, D.P.; Zhang, S.-L.; Wang, Z.; He, Y. Synthesis and anticancer activity evaluation of novel azacalix[2]arene [2]pyrimidines. Eur. J. Med. Chem. 2018, 151, 214–225. [Google Scholar] [CrossRef] [PubMed]
- Peng, S.; Dutta, R.; He, Q.; Vargas-Zúñniga, G.I.; Qin, L.; Hwang, I.; Kim, S.K.; Heo, N.J.; Lee, C.H.; Sessler, J.E. Strapped calix[4]pyrroles: From syntheses to applications. Chem. Soc. Rev. 2020, 49, 865–907. [Google Scholar] [CrossRef]
- Kongor, A.; Athar, M.; Vora, M.; Bhatt, K.; Irfan, A.; Jain, V. Cytotoxicity profile of calix[4]pyrrole derivatives on hela and mcf-7 human cancer cell lines via in vitro study and molecular modelling. Biointerface Res. Appl. Chem. 2022, 12, 6991–7000. [Google Scholar] [CrossRef]
- Cragg, P.J.; Sharma, K. Pillar[5]arenes: Fascinating cyclophanes with a bright future. Chem. Soc. Rev. 2012, 41, 597–607. [Google Scholar] [CrossRef]
- Xue, M.; Yang, Y.; Chi, X.; Zhang, Z.; Huang, F. Pillarenes, A New Class of Macrocycles for Supramolecular Chemistry. Acc. Chem. Res. 2012, 45, 1294–1308. [Google Scholar] [CrossRef]
- Yan, M.; Zhou, J. Pillararene-Based Supramolecular Polymers for Cancer Therapy. Molecules 2023, 28, 1470. [Google Scholar] [CrossRef] [PubMed]
- Xue, H.-F.; Huang, Y.-X.; Dong, M.; Zhang, Z.-Y.; Li, C. Stabilization of Antitumor Agent Busulfan through Encapsulation within a Water-Soluble Pillar[5]arene. Chem. Asian J. 2022, 17, e202101332. [Google Scholar] [CrossRef] [PubMed]
- Wang, J.; Wang, D.; Cen, M.; Jing, D.; Bei, J.; Huang, Y.; Zhang, J.; Lu, B.; Wang, Y.; Yao, Y. GOx-assisted synthesis of pillar[5]arene based supramolecular polymeric nanoparticles for targeted/synergistic chemo-chemodynamic cancer therapy. J. Nanobiotechnol. 2022, 20, 33. [Google Scholar] [CrossRef] [PubMed]

























Disclaimer/Publisher’s Note: The statements, opinions and data contained in all publications are solely those of the individual author(s) and contributor(s) and not of MDPI and/or the editor(s). MDPI and/or the editor(s) disclaim responsibility for any injury to people or property resulting from any ideas, methods, instructions or products referred to in the content. |
© 2024 by the authors. Licensee MDPI, Basel, Switzerland. This article is an open access article distributed under the terms and conditions of the Creative Commons Attribution (CC BY) license (https://creativecommons.org/licenses/by/4.0/).
Share and Cite
Wojaczyńska, E.; Ostrowska, M.; Lower, M.; Czyżyk, N.; Jakieła, A.; Marra, A. Recent Advances in Synthesis and Applications of Calixarene Derivatives Endowed with Anticancer Activity. Molecules 2024, 29, 4240. https://doi.org/10.3390/molecules29174240
Wojaczyńska E, Ostrowska M, Lower M, Czyżyk N, Jakieła A, Marra A. Recent Advances in Synthesis and Applications of Calixarene Derivatives Endowed with Anticancer Activity. Molecules. 2024; 29(17):4240. https://doi.org/10.3390/molecules29174240
Chicago/Turabian StyleWojaczyńska, Elżbieta, Marta Ostrowska, Małgorzata Lower, Natalia Czyżyk, Anna Jakieła, and Alberto Marra. 2024. "Recent Advances in Synthesis and Applications of Calixarene Derivatives Endowed with Anticancer Activity" Molecules 29, no. 17: 4240. https://doi.org/10.3390/molecules29174240
APA StyleWojaczyńska, E., Ostrowska, M., Lower, M., Czyżyk, N., Jakieła, A., & Marra, A. (2024). Recent Advances in Synthesis and Applications of Calixarene Derivatives Endowed with Anticancer Activity. Molecules, 29(17), 4240. https://doi.org/10.3390/molecules29174240

