Trivalent Disulfide Unit-Masked System Efficiently Delivers Large Oligonucleotide
Abstract
1. Introduction
2. Results and Discussion
2.1. Chemistry
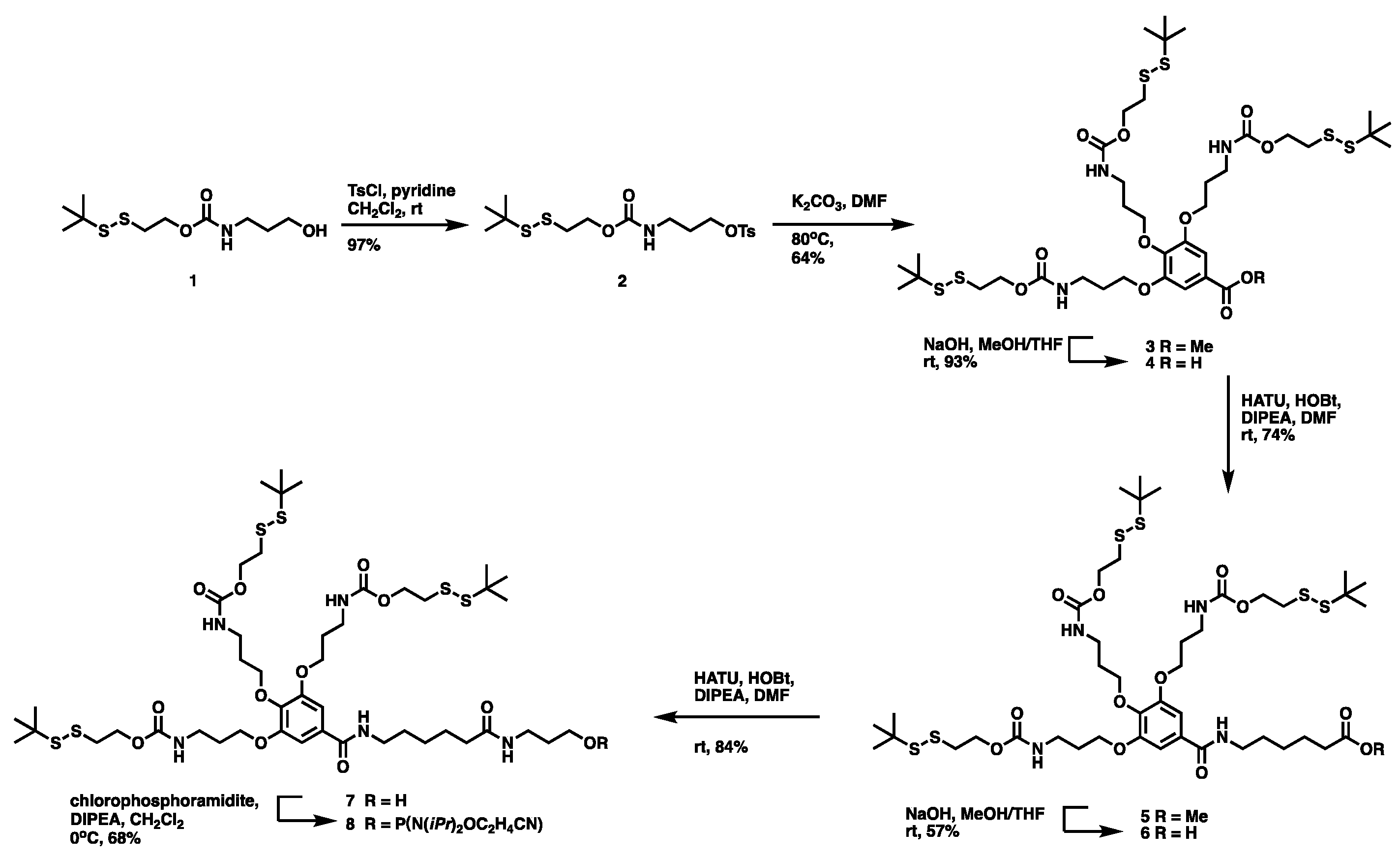
2.1.1. Synthesis of Disulfide Unit-Masked Phosphoramidite Monomer
2.1.2. Synthesis of Disulfide Unit-Masked and -Conjugated Oligonucleotide
2.2. Biological Activity
2.2.1. Cellular Uptake Evaluation of SS-ODN-FAM Probe Compared with Lipo2000
2.2.2. Cellular Cytotoxicity Evaluation of Disulfide Unit Conjugation Compared with Lipo2000 Reagent
2.2.3. Cellular Uptake of the SS-ODN-FAM Probe under Thiol Reagent Treatment
2.2.4. Distribution of SS-ODN-FAM Probe In Vivo
3. Materials and Methods
3.1. General Method
3.2. General Method for Preparation of Disulfide Unit Phosphoramidite Monomer
- Synthesis of 3-(((2-(tert-butyldisulfaneyl)ethoxy)carbonyl)amino)propyl 4-methylbenzenesulfonate (2)
- Synthesis of Methyl 3,4,5-tris(3-(((2-(tert-butyldisulfaneyl)ethoxy)carbonyl)amino)propoxy)benzoate (3)
- Synthesis of 3,4,5-tris(3-(((2-(tert-butyldisulfaneyl)ethoxy)carbonyl)amino)propoxy)benzoic acid (4)
- Synthesis of methyl 6-(3,4,5-tris(3-(((2-(tert-butyldisulfaneyl)ethoxy)carbonyl)amino)propoxy)benzamido)hexanoate (5)
- Synthesis of 6-(3,4,5-tris(3-(((2-(tert-butyldisulfaneyl)ethoxy)carbonyl)amino)propoxy)benzamido)hexanoic acid (6)
- Synthesis of bis(2-(tert-butyldisulfaneyl)ethyl) (((2-(3-(((2-(tert-butyldisulfaneyl)ethoxy)carbonyl)amino)propoxy)-5-((6-((3-hydroxypropyl)amino)-6-oxohexyl)carbamoyl)-1,3-phenylene)bis(oxy))bis(propane-3,1-diyl))dicarbamate (7)
- Synthesis of bis(2-(tert-butyldisulfaneyl)ethyl) (((2-(3-(((2-(tert-butyldisulfaneyl)ethoxy)carbonyl)amino)propoxy)-5-((6-((3-(((2-cyanoethoxy)(diisopropylamino)phosphaneyl)oxy)propyl)amino)-6-oxohexyl)carbamoyl)-1,3-phenylene)bis(oxy))bis(propane-3,1-diyl))dicarbamate (8)
3.3. Preparation of Disulfide Unit-Conjugated Oligonucleotide (SS-ODN-FAM)
3.4. General Protocol for Cell Culture
3.5. Time-Dependent Fluorescence Microscopy Measurement of the Cancer Cells Treated with the SS-ODN-FAM Probe and Lipo2000/ODN-FAM Complex
3.6. Concentration-Dependent Fluorescence Microscopy Measurement of the Cancer Cells Treated with the SS-ODN-FAM Probe
3.7. CCK-8 Assay
3.8. Fluorescence Microscopy Measurement of the Cancer Cells Pretreated with Thiols Reagents
3.9. In Vivo Distribution of SS-ODN-FAM Probe
4. Conclusions
Supplementary Materials
Author Contributions
Funding
Institutional Review Board Statement
Informed Consent Statement
Data Availability Statement
Conflicts of Interest
References
- Wang, L.; Yao, Q.; Guo, X.; Wang, B.; Si, J.; Wang, X.; Jing, S.; Yan, M.; Shi, Y.; Song, G.; et al. Targeted delivery of CEBPA-saRNA for the treatment of pancreatic ductal adenocarcinoma by transferrin receptor aptamer decorated tetrahedral framework nucleic acid. J. Nanobiotechnol. 2024, 22, 392. [Google Scholar] [CrossRef]
- Valatabar, N.; Oroojalian, F.; Kazemzadeh, M.; Mokhtarzadeh, A.A.; Safaralizadeh, R.; Sahebkar, A. Recent advances in gene delivery nanoplatforms based on spherical nucleic acids. J. Nanobiotechnol. 2024, 22, 386. [Google Scholar] [CrossRef] [PubMed]
- Xie, M.; Wu, Y.; Zhang, Y.; Lu, R.; Zhai, Z.; Huang, Y.; Wang, F.; Xin, C.; Rong, G.; Zhao, C.; et al. Membrane Fusion-Mediated Loading of Therapeutic siRNA into Exosome for Tissue-Specific Application. Adv. Mater. 2024, 36, e2403935. [Google Scholar] [CrossRef] [PubMed]
- Dong, Y.; Wang, J.; Chen, L.; Chen, H.; Dang, S.; Li, F. Aptamer-based assembly systems for SARS-CoV-2 detection and therapeutics. Chem. Soc. Rev. 2024, 53, 6830–6859. [Google Scholar] [CrossRef]
- Ren, X.; Xue, R.; Luo, Y.; Wang, S.; Ge, X.; Yao, X.; Li, L.; Min, J.; Li, M.; Luo, Z.; et al. Programmable melanoma-targeted radio-immunotherapy via fusogenic liposomes functionalized with multivariate-gated aptamer assemblies. Nat. Commun. 2024, 15, 5035. [Google Scholar] [CrossRef]
- Chen, X.; Birey, F.; Li, M.Y.; Revah, O.; Levy, R.; Thete, M.V.; Reis, N.; Kaganovsky, K.; Onesto, M.; Sakai, N.; et al. Antisense oligonucleotide therapeutic approach for Timothy syndrome. Nature 2024, 628, 818–825. [Google Scholar] [CrossRef]
- Yuan, W.; Shi, X.; Lee, L.T.O. RNA therapeutics in targeting G protein-coupled receptors: Recent advances and challenges. Mol. Ther. Nucleic Acids 2024, 35, 102195. [Google Scholar] [CrossRef] [PubMed]
- Alwani, S.; Wasan, E.K.; Badea, I. Solid Lipid Nanoparticles for Pulmonary Delivery of Biopharmaceuticals: A Review of Opportunities, Challenges, and Delivery Applications. Mol. Pharm. 2024, 21, 3084–3102. [Google Scholar] [CrossRef]
- Huang, H.; Shao, L.; Chen, Y.; Han, W.; Zhou, Y.; Liu, T.; Gu, J.; Zhu, H. Sequential Dual Delivery System Based on siCOX-2-Loaded Gold Nanostar and Thermal-Sensitive Liposomes Overcome Hypoxia-Mediated Multidrug Resistance in Tumors. Mol. Pharm. 2022, 19, 2390–2405. [Google Scholar] [CrossRef]
- Zhu, H.; Han, W.; Gan, Y.; Li, Q.; Li, X.; Shao, L.; Zhu, D.; Guo, H. Combined Modality Therapy Based on Hybrid Gold Nanostars Coated with Temperature Sensitive Liposomes to Overcome Paclitaxel-Resistance in Hepatic Carcinoma. Pharmaceutics 2019, 11, 683. [Google Scholar] [CrossRef]
- Zhao, L.; Gu, C.; Gan, Y.; Shao, L.; Chen, H.; Zhu, H. Exosome-mediated siRNA delivery to suppress postoperative breast cancer metastasis. J. Control. Release 2020, 318, 1–15. [Google Scholar] [CrossRef]
- Al-Thani, A.N.; Jan, A.G.; Abbas, M.; Geetha, M.; Sadasivuni, K.K. Nanoparticles in cancer theragnostic and drug delivery: A comprehensive review. Life Sci. 2024, 352, 122899. [Google Scholar] [CrossRef]
- Gan, Y.; Yu, Y.; Xu, H.; Piao, H. Liposomal Nanomaterials: A Rising Star in Glioma Treatment. Int. J. Nanomed. 2024, 19, 6757–6776. [Google Scholar] [CrossRef]
- Eygeris, Y.; Gupta, M.; Kim, J.; Sahay, G. Chemistry of Lipid Nanoparticles for RNA Delivery. Acc. Chem. Res. 2022, 55, 2–12. [Google Scholar] [CrossRef] [PubMed]
- Mukherjee, A.; Paul, M.; Mukherjee, S. Recent Progress in the Theranostics Application of Nanomedicine in Lung Cancer. Cancers 2019, 11, 597. [Google Scholar] [CrossRef]
- Wu, L.; Xing, L.; Wu, R.; Fan, X.; Ni, M.; Xiao, X.; Zhou, Z.; Li, L.; Wen, J.; Huang, Y. Lipoic acid-mediated oral drug delivery system utilizing changes on cell surface thiol expression for the treatment of diabetes and inflammatory diseases. J. Mater. Chem. B 2024, 12, 3970–3983. [Google Scholar] [CrossRef]
- Saidjalolov, S.; Coelho, F.; Mercier, V.; Moreau, D.; Matile, S. Inclusive Pattern Generation Protocols to Decode Thiol-Mediated Uptake. ACS Cent. Sci. 2024, 10, 1033–1043. [Google Scholar] [CrossRef] [PubMed]
- Laurent, Q.; Martinent, R.; Lim, B.; Pham, A.T.; Kato, T.; Lopez-Andarias, J.; Sakai, N.; Matile, S. Thiol-mediated uptake. JACS Au 2021, 1, 710–728. [Google Scholar] [CrossRef] [PubMed]
- Zong, L.; Bartolami, E.; Abegg, D.; Adibekian, A.; Sakai, N.; Matile, S. Epidithiodiketopiperazines: Strain-Promoted Thiol-Mediated Cellular Uptake at the Highest Tension. ACS Cent. Sci. 2017, 3, 449–453. [Google Scholar] [CrossRef]
- Wang, L.; Wang, D.; Lei, W.; Sun, T.; Gu, B.; Dong, H.; Taniguchi, Y.; Liu, Y.; Ling, Y. Trigonometric Bundling Disulfide Unit Starship Synergizes More Effectively to Promote Cellular Uptake. Int. J. Mol. Sci. 2024, 25, 7518. [Google Scholar] [CrossRef]
- Rosen, D.; Bloor-Young, D.; Squires, J.; Parkesh, R.; Waters, G.; Vasudevan, S.R.; Lewis, A.M.; Churchill, G.C. Synthesis and use of cell-permeant cyclic ADP-ribose. Biochem. Biophys. Res. Commun. 2012, 418, 353–358. [Google Scholar] [CrossRef] [PubMed]
- Shu, Z.; Ota, A.; Takayama, Y.; Katsurada, Y.; Kusamori, K.; Abe, N.; Nakamoto, K.; Tomoike, F.; Tada, S.; Ito, Y.; et al. Intracellular Delivery of Antisense DNA and siRNA with Amino Groups Masked with Disulfide Units. Chem. Pharm. Bull. 2020, 68, 129–132. [Google Scholar] [CrossRef] [PubMed]
- Sampathkumar, S.G.; Jones, M.B.; Yarema, K.J. Metabolic expression of thiol-derivatized sialic acids on the cell surface and their quantitative estimation by flow cytometry. Nat. Protoc. 2006, 1, 1840–1851. [Google Scholar] [CrossRef] [PubMed]
- Sahaf, B.; Heydari, K.; Herzenberg, L.A.; Herzenberg, L.A. Lymphocyte surface thiol levels. Proc. Natl. Acad. Sci. USA 2003, 100, 4001–4005. [Google Scholar] [CrossRef]
- Torres, A.G.; Gait, M.J. Exploiting cell surface thiols to enhance cellular uptake. Trends Biotechnol. 2012, 30, 185–190. [Google Scholar] [CrossRef]
- Shi, C.; Zhang, Q.; Yao, Y.; Zeng, F.; Du, C.; Nijiati, S.; Wen, X.; Zhang, X.; Yang, H.; Chen, H.; et al. Targeting the activity of T cells by membrane surface redox regulation for cancer theranostics. Nat. Nanotechnol. 2023, 18, 86–97. [Google Scholar] [CrossRef]
- Li, T.; Takeoka, S. Enhanced cellular uptake of maleimide-modified liposomes via thiol-mediated transport. Int. J. Nanomed. 2014, 9, 2849–2861. [Google Scholar]
- Gasparini, G.; Sargsyan, G.; Bang, E.K.; Sakai, N.; Matile, S. Ring Tension Applied to Thiol-Mediated Cellular Uptake. Angew. Chem. Int. Ed. Engl. 2015, 54, 7328–7331. [Google Scholar] [CrossRef]
- Bhargavan, B.; Kanmogne, G.D. SARS-CoV-2 Spike Proteins and Cell-Cell Communication Induce P-Selectin and Markers of Endothelial Injury, NETosis, and Inflammation in Human Lung Microvascular Endothelial Cells and Neutrophils: Implications for the Pathogenesis of COVID-19 Coagulopathy. Int. J. Mol. Sci. 2023, 24, 12585. [Google Scholar] [CrossRef]









Disclaimer/Publisher’s Note: The statements, opinions and data contained in all publications are solely those of the individual author(s) and contributor(s) and not of MDPI and/or the editor(s). MDPI and/or the editor(s) disclaim responsibility for any injury to people or property resulting from any ideas, methods, instructions or products referred to in the content. |
© 2024 by the authors. Licensee MDPI, Basel, Switzerland. This article is an open access article distributed under the terms and conditions of the Creative Commons Attribution (CC BY) license (https://creativecommons.org/licenses/by/4.0/).
Share and Cite
Wang, L.; Liu, X.; Wu, Y.; Ye, Z.; Wang, Y.; Gao, S.; Gong, H.; Ling, Y. Trivalent Disulfide Unit-Masked System Efficiently Delivers Large Oligonucleotide. Molecules 2024, 29, 4223. https://doi.org/10.3390/molecules29174223
Wang L, Liu X, Wu Y, Ye Z, Wang Y, Gao S, Gong H, Ling Y. Trivalent Disulfide Unit-Masked System Efficiently Delivers Large Oligonucleotide. Molecules. 2024; 29(17):4223. https://doi.org/10.3390/molecules29174223
Chicago/Turabian StyleWang, Lei, Xiao Liu, Yiliang Wu, Zhaoyan Ye, Yiru Wang, Shengshu Gao, Hao Gong, and Yong Ling. 2024. "Trivalent Disulfide Unit-Masked System Efficiently Delivers Large Oligonucleotide" Molecules 29, no. 17: 4223. https://doi.org/10.3390/molecules29174223
APA StyleWang, L., Liu, X., Wu, Y., Ye, Z., Wang, Y., Gao, S., Gong, H., & Ling, Y. (2024). Trivalent Disulfide Unit-Masked System Efficiently Delivers Large Oligonucleotide. Molecules, 29(17), 4223. https://doi.org/10.3390/molecules29174223

