Assessment of Optical and Phonon Characteristics in MOCVD-Grown (AlxGa1−x)0.5In0.5P/n+-GaAs Epifilms
Abstract
1. Introduction
2. Results and Discussions
2.1. Energy Bandgap by Photoluminescence
2.1.1. Temperature-Dependent Energy Bandgap
2.1.2. Composition-Dependent Energy Bandgap
2.2. Optical Phonons by Raman Scattering Spectroscopy
2.3. Optical Phonons by Far-Infrared Spectroscopy
2.4. Simulation of Reflectivity Spectra in the FIR Region
2.5. Analysis of Optical Spectra for Quaternary Alloys
2.5.1. Dielectric Function in the NIR → UV Energy Region
2.5.2. Transfer Matrix Method
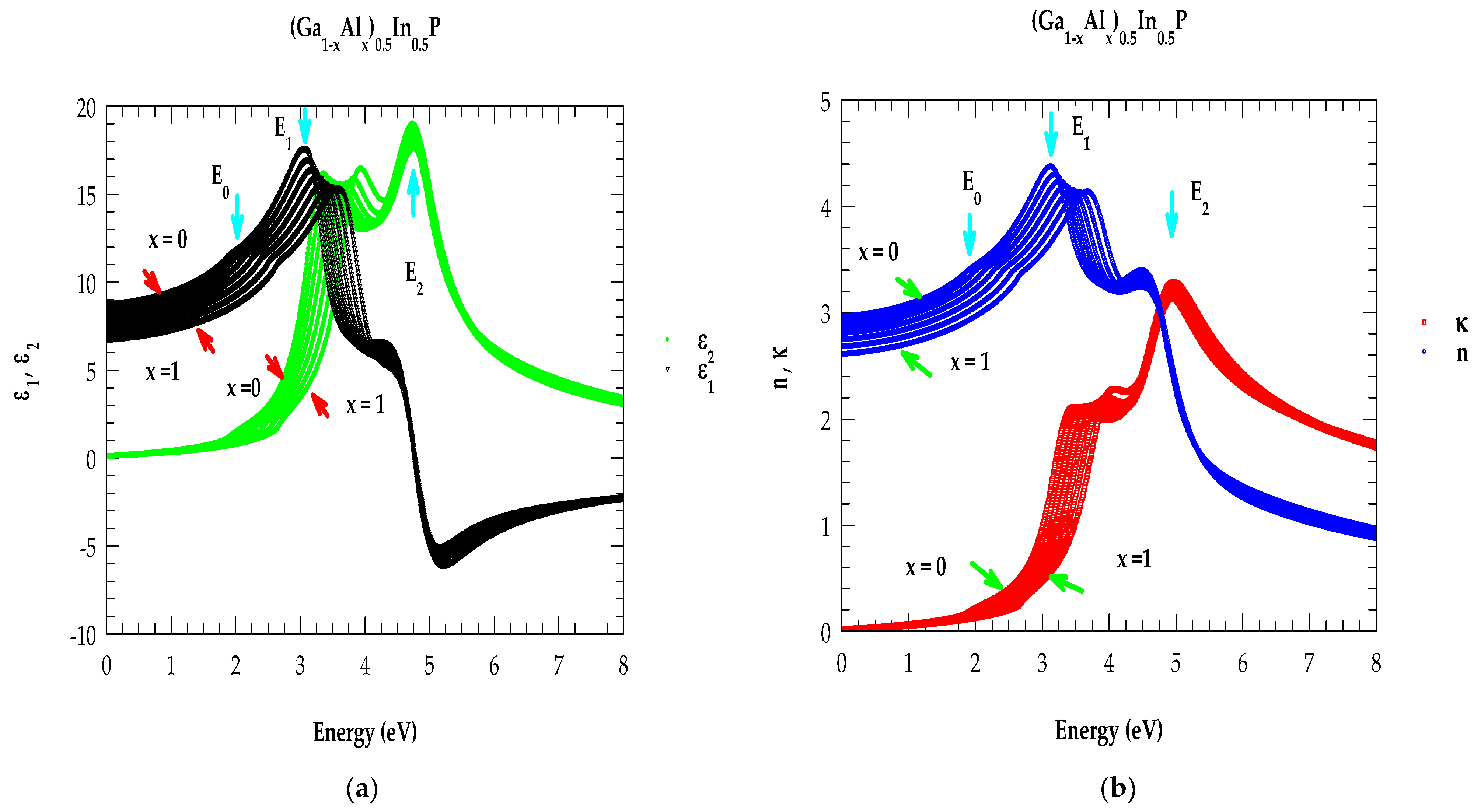
2.5.3. Optical Constants in NIR → UV Region for (AlxGa1−x)0.5In0.5P
2.5.4. Thickness-Dependent Reflectivity and Transmission Spectra
3. Material Growth and Characterization Methods
3.1. MOCVD Growth of (AlxGa1−x)0.5In0.5P/n+-GaAs
3.2. Photoluminescence
3.3. Raman Scattering
3.4. Infrared Spectroscopy
4. Concluding Remarks
Author Contributions
Funding
Institutional Review Board Statement
Data Availability Statement
Acknowledgments
Conflicts of Interest
References
- Xie, L.; Li, S.; Bi, J.; Xue, L.; Wang, Y.; Lai, Y.; Liao, Y.; Dong, X.; Yang, M.; Wang, B.; et al. Effect of window layer with different growth modes on the photoelectric properties of AlGaInP LED. AIP Adv. 2023, 13, 025051. [Google Scholar] [CrossRef]
- Brückner, S.; Maaßdorf, A.; Weyers, M. In situ control of indium incorporation in (AlGa)1−xInxP layers. J. Cryst. Growth 2022, 590, 126696. [Google Scholar] [CrossRef]
- Zhang, S.; Li, X.; Li, G.; Lu, H.; Wang, X. Design of Quadruple-Layer Antireflection Coating for AlGaInP/AlGaAs/GaAs Three-Junction Solar Cell. Energy Technol. 2022, 10, 2201063. [Google Scholar] [CrossRef]
- Li, G.; Lu, H.; Li, X.; Zhang, W. Improving the Performance of Direct Bonded Five-Junction Solar Cells by Optimization of AlInP Window Layer. Photonics 2022, 9, 404. [Google Scholar] [CrossRef]
- Li, Y.-Y.; Lin, F.-Z.; Chi, K.-L.; Weng, S.-Y.; Lee, G.-Y.; Kuo, H.-C.; Lin, C.-C. Analysis of Size-Dependent Quantum Efficiency in AlGaInP Micro–Light-Emitting Diodes with Consideration for Current Leakage. IEEE Photonics J. 2022, 14, 700790. [Google Scholar] [CrossRef]
- Sun, Y.; Fan, S.; Faucher, J.; Hool, R.D.; Li, B.D.; Dhingra, P.; Lee, M.L. 2.0–2.2 eV AlGaInP solar cells grown by molecular beam epitaxy. Sol. Energy Mater. Sol. Cells 2021, 219, 110774. [Google Scholar] [CrossRef]
- Ochoa-Martínez, E.; Barrutia, L.; Ochoa, M.; Barrigón, E.; García, I.; Rey-Stolle, I.; Algora, C.; Basa, P.; Kronome, G.; Gabás, M. Refractive indexes and extinction coefficients of n- and p-type doped GalnP, AllnP and AlGalnP for multijunction solar cells. Sol. Energy Mater. Sol. Cells 2018, 174, 388–396. [Google Scholar] [CrossRef]
- Horng, R.-H.; Chien, H.-Y.; Chen, K.-Y.; Tseng, W.-Y.; Tsai, Y.-T.; Tarntair, F.-G. Development and Fabrication of AlGaInP-Based Flip-Chip Micro-LEDs. J. Elect. Devices Soc. 2018, 6, 476. [Google Scholar] [CrossRef]
- Ledentsov, N.; Shchukin, V.; Shernyakov, Y.; Kulagina, M.; Payusov, A.; Gordeev, N.; Maximov, M.; Zhukov, A.; Denneulin, T.; Cherkashin, N. Room-temperature yellow-orange (In,Ga,Al)P–GaP laser diodes grown on (n11) GaAs substrates. Opt. Exp. 2018, 26, 13986. [Google Scholar] [CrossRef]
- Schulte, K.L.; Simon, J.; Ptak, A.J. Multijunction Ga0.5In0.5P/GaAs solar cells grown by dynamic hydride vapor phase epitaxy. Prog. Photovolt. Res Appl. 2018, 26, 887–893. [Google Scholar] [CrossRef]
- Streubel, K. Light-emitting diodes (LEDs). In Handbook of Optoelectronics; CRC Press: Boca Raton, FL, USA, 2017; pp. 305–348. [Google Scholar]
- Ledentsov, N.N.; Shchukin, V.A.; Shernyakov, Y.M.; Kulagina, M.M.; Payusov, A.S.; Gordeev, Y.N.; Maximov, M.V.; Cherkashin, N.A. (In,Ga,Al)P–GaP laser diodes grown on high index GaAs surfaces emitting in the green, yellow and bright red spectral range. Semicond. Sci. Technol. 2017, 32, 025016. [Google Scholar] [CrossRef]
- Cheong, J.S.; Baharuddin, A.N.A.P.; Ng, J.S.; Krysa, A.B.; David, J.P.R. Absorption coefficients in AlGaInP lattice matched to GaAs. Sol. Energy Mater. Sol. Cells 2017, 164, 28–31. [Google Scholar] [CrossRef]
- Berg, A.; Yazdi, S.; Nowzari, A.; Storm, K.; Jain, V.; Vainorius, N.; Samuelson, L.; Wagner, J.B.; Bergstrom, M.T. Radial Nanowire Light-Emitting Diodes in the (AlxGa1−x))yIn1−yP Material System. Nano Lett. 2016, 16, 656–662. [Google Scholar] [CrossRef]
- Vaisman, M.; Mukherjee, K.; Masuda, T.; Yaung, K.N.; Fitzgerald, E.A.; Lee, M.L. Direct-Gap 2.1–2.2 eV AlInP solar cells on GaInAs/GaAs metamorphic buffers. IEEE J. Photovolt. 2016, 6, 571–577. [Google Scholar] [CrossRef]
- Pohl, J.; Bugge, F.; Blume, G.; Knigge, A.; Knigge, S.; Erbert, G.; Weyers, M. Combined Mg/Zn p-type doping for AlGaInP laser diodes. J. Cryst. Growth 2015, 414, 215–218. [Google Scholar] [CrossRef]
- Masuda, T.; Tomasulo, S.; Lang, J.R.; Lee, M.L. Comparison of single junction AlGaInP and GaInP solar cells grown by molecular beam epitaxy. J. Appl. Phys. 2015, 117, 094504. [Google Scholar] [CrossRef]
- Masuda, T.; Tomasulo, S.; Lang, J.R.; Lee, M.L. Effect of substrate effcut angle on AlGaInP and GaInP solar cells grown by molecular beam epitaxy. In Proceedings of the 2014 IEEE 40th Photovoltaic Specialist Conference (PVSC), Denver, CO, USA, 8–13 June 2014; pp. 0505–0509. [Google Scholar] [CrossRef]
- Shin, J.W.; Jeong, H.Y.; Yoo, S.J.; Lee, S.-H.; Han, J.H.; Lee, J.Y.; Ahn, J.S.; Park, C.Y.; Park, K.W.; Lee, Y.-T.; et al. Atomic variations in digital alloy InGaP/InGaAlP multiple quantum wells due to thermal treatment. Jpn. J. Appl. Phys. 2014, 53, 115201. [Google Scholar] [CrossRef]
- Rossbach, R.; Schulz, W.M.; Reischle, M.; Beirne, G.J.; Jetter, M.; Michler, P. Red to green photoluminescence of InP-quantum dots in AlxGa1−xInP. J. Cryst. Growth 2007, 298, 595–598. [Google Scholar] [CrossRef]
- Liu, C.Y.; Yuan, S.; Dong, J.R.; Chua, S.J. Temperature dependence of photoluminescence intensity from AlGaInP/GaInP multi-quantum well laser structures. J. Cryst. Growth 2004, 268, 426–431. [Google Scholar] [CrossRef]
- Chen, L.; Fan, G.; Meng, Y. Study of the long-wavelength optic phonons in AlGaInP and AlGaInAs. Microelectron. J. 2004, 35, 125–130. [Google Scholar] [CrossRef]
- Lu, T.C.; Shieh, H.M.; Wang, S.C. Real index-guided InGaAlP red lasers with buried tunnel junctions. Appl. Phys. Lett. 2002, 80, 1882–1884. [Google Scholar] [CrossRef]
- Vanderwater, D.A.; Tan, I.-H.; Hofler, G.E.; Defevere, D.C.; Kish, F.A. High-Brightness AlGaInP Light Emitting Diodes. Proc. IEEE 1997, 85, 1752–1764. [Google Scholar] [CrossRef]
- Streubel, K.; Linder, N.; Wirth, R.; Jaeger, A. High Brightness AlGaInP Light-Emitting Diodes. IEEE J. Sel. Top. Quantum Electronics 2002, 8, 321. [Google Scholar] [CrossRef]
- Kish, F.A.; Steranka, F.M.; DeFevere, D.C.; Vanderwater, D.A.; Park, K.G.; Kuo, C.P.; Osentowski, T.D.; Peanasky, M.J.; Yu, J.G.; Fletcher, R.M.; et al. Very high-efficiency semiconductor wafer-bonded transparent-substrate (AlxGa1−x)0.5 In0.5P/GaP light-emitting diodes. Appl. Phys. Lett. 1994, 64, 2839–2841. [Google Scholar] [CrossRef]
- Kish, F.A.; Vanderwater, D.A.; DeFevere, D.C.; Steigerwald, D.A.; Hofler, G.E.; Park, K.G.; Steranka, F.M. Highly reliable and efficient semiconductor wafer-bonded AlGaInP/GaP light-emitting diodes. Electron. Lett. 1996, 32, 132–134. [Google Scholar] [CrossRef]
- Ryou, J.H.; Dupuis, R.D.; Walter, G.; Holonyak, N., Jr.; Mathes, D.T.; Hull, R.; Reddy, C.V.; Narayanamurti, V. Properties of InP self-assembled quantum dots embedded in In0.49(AlxGa1−x)0.51P for visible light emitting laser applications grown by metalorganic chemical vapor deposition. J. Appl. Phys. 2002, 91, 5313–5320. [Google Scholar] [CrossRef]
- Adachi, S. Properties of Semiconductor Alloys: Group-IV, III–V and II–VI Semiconductors; John Wiley & Sons: Hoboken, NJ, USA, 2009. [Google Scholar]
- Donati, G.P.; Kaspi, R.; Malloy, K.J. Interpolating semiconductor alloy parameters: Application to quaternary III–V band gaps. J. App. Phys. 2003, 94, 5814–5819. [Google Scholar] [CrossRef]
- Cripps, S.A.; Hosea, T.J.C.; Krier, A.; Smirnov, V.; Batty, P.J.; Zhuang, Q.D.; Lin, H.H.; Liu, P.W.; Tsai, G. Mid-infrared photoreflectance study of InAs-rich InAsSb and GaInAsPSb, indicating negligible bowing for the spin-orbit splitting energy. Appl. Phys. Lett. 2007, 90, 172106. [Google Scholar] [CrossRef]
- Asahi, H.; Emura, S.; Gonda, S.; Kawamura, Y.; Tanaka, H. Raman scattering in InGaAlP layers grown by molecular-beam epitaxy. J. Appl. Phys. 1989, 65, 5007–5011. [Google Scholar] [CrossRef]
- Tsai, G.; Wang, D.L.; Wu, C.E.; Wu, C.J.; Lin, Y.T.; Lin, H.H. InAsPSb quaternary alloy grown by gas source molecular beam epitaxy. J. Cryst. Growth 2007, 301–302, 134–138. [Google Scholar] [CrossRef]
- Kondo, M.; Okada, N.; Domen, K.; Sugiura, K.; Anayama, C.; Tanahashi, T. Origin of nonradiative recombination centers in AlGaInP grown by metalorganic vapor phase epitaxy. J. Electron. Mater. 1994, 23, 355–358. [Google Scholar] [CrossRef]
- Perl, E.E.; Simon, J.; Geisz, J.F.; Olavarria, W.; Young, M.; Duda, A.; Friedman, D.J.; Steiner, M.A. Development of high-bandgap AlGaInP solar cells grown by organometallic vapor-phase epitaxy. IEEE J. Photovolt. 2016, 6, 770–776. [Google Scholar] [CrossRef]
- Perl, E.E.; Simon, J.; Geisz, J.F.; Olavarria, W.; Young, M.; Duda, A.; Dippo, P.; Friedman, D.J.; Steiner, M.A. Development of a 2.0 eV AlGaInP Solar Cell Grown by OMVPE. In Proceedings of the 42nd IEEE Photovoltaics Specialists Conference (PVSC), New Orleans, LA, USA, 14–19 June 2015. [Google Scholar]
- Kondow, M.; Minagawa, S. Study on photoluminescence and Raman scattering of GaInP and AlInP grown by organometallic vapor-phase epitaxy. J. Appl. Phys. 1988, 64, 793–796. [Google Scholar] [CrossRef]
- Hofmann, T.; Schubert, M.; Gottschalch, V. Far-infrared dielectric function and phonon modes of spontaneously ordered (AlxGa(1−x))0.52In0.48P. Thin Solid Film. 2004, 455, 601–604. [Google Scholar] [CrossRef]
- Hofmann, T.; Leibiger, G.; Gottschalch, V.; Pietzonka, I.; Schubert, M. Infrared dielectric function and phonon modes of highly disordered (AlxGa(1−x))0.52In0.48P. Phys. Rev. B 2001, 64, 15520611. [Google Scholar] [CrossRef]
- Mukherjee, K.; Deotare, P.B.; Fitzgerald, E.A. Improved photoluminescence characteristics of order-disorder AlGaInP quantum wells at room and elevated temperatures. Appl. Phys. Lett. 2015, 106, 142109. [Google Scholar] [CrossRef]
- Prins, A.D.; Sly, J.L.; Meney, A.T.; Dunstan, D.J.; O’reilly, E.P.; Adams, A.R.; Valster, A. High pressure determination of AlGaInP band structure. J. Phys. Chem. Solids 1995, 56, 349–352. [Google Scholar] [CrossRef]
- Borrott, R.; Merlin, R.; Chin, A.; Bhattacharya, P.K. Raman scattering by optical phonons in In1−y−zAlyGazAs lattice matched to InP. Appl. Phys. Lett. 1988, 53, 1652. [Google Scholar]
- Huang, L.Y.; Chen, C.H.; Chen, Y.F.; Yeh, W.C.; Huang, Y.S. Degree of ordering in Al0.5In0.5P by Raman scattering. Phys. Rev. B 2002, 66, 073203. [Google Scholar] [CrossRef]
- Lee, H.; Klein, M.V.; Aspnes, D.E.; Kuo, C.P.; Peanasky, M.; Craford, M.G. Optical study of (AlxGa1−x)0.5In0.5P/GaAs semiconductor alloys by spectroscopic ellipsometry. J. Appl. Phys. 1993, 73, 400–406. [Google Scholar] [CrossRef]
- Grillot, P.N.; Stockman, S.A.; Huang, J.W.; Bracht, H.; Chang, Y.L. Acceptor diffusion and segregation in (AlxGa1−x)0.51In0.49P heterostructures. J. Appl. Phys. 2002, 91, 4891. [Google Scholar] [CrossRef]
- Peng, H.; Ailihumaer, T.; Liu, Y.; Raghothamachar, B.; Dudley, M. Characterization of defects and strain in the (AlxGa(1−x))0.5In0.5P/GaAs system by synchrotron X-ray topography. J. Cryst. Growth 2020, 533, 125458. [Google Scholar] [CrossRef]
- Ho, C.-H.; Li, J.-H.; Lin, Y.-S. Optical characterization of a GaAs/(AlxGa(1−x))0.5In0.5P/GaAs heterostructure cavity by piezo reflectance spectroscopy. Opt. Exp. 2007, 15, 13886. [Google Scholar] [CrossRef]
- Lin, C.; Kelley, D.F.; Rico, M.; Kelley, A.M. The “Surface Optical” Phonon in CdSe Nanocrystals. ACS Nano 2014, 8, 3928–3938. [Google Scholar] [CrossRef] [PubMed]
- Alsina, F.; Webb, J.D.; Mascarenhas, A.; Geisz, J.F.; Olson, J.M.; Duda, A. Far-infrared transmission studies in disordered and ordered Ga0.52In0.48P. Phys. Rev. B 1999, 60, 1484. [Google Scholar] [CrossRef]
- Pavic, I.; Šoda, J.; Gašparic, V.; Ivanda, M. Raman and Photoluminescence Spectroscopy with a Variable Spectral Resolution. Sensors 2021, 21, 7951. [Google Scholar] [CrossRef]
- Kondow, M.; Kakibayashi, H.; Minagawa, S.; Inoue, Y.; Nishino, T.; Hamakawa, Y. Influence of growth temperature on crystalline structure in Ga0.5In0.5P grown by organometallic vapor phase epitaxy. Appl. Phys. Lett. 1988, 53, 2053–2055. [Google Scholar] [CrossRef]
- Lucovsky, G.; Brodsky, M.H.; Chen, M.F.; Chicotka, R.J.; Ward, A.T. Long-Wavelength Optical Phonons in Ga1−xInxP. Phys. Rev. B 1971, 4, 1945. [Google Scholar] [CrossRef]
- Beserman, R.; Hirlimann, C.; Balkanski, M.; Chevallier, C. Raman detection of phonon-phonon coupling in GaxIn1−xP. Solid State Commun. 1976, 20, 485–488. [Google Scholar] [CrossRef]
- Jusserand, B.; Slempkes, S. Evidence by Raman scattering on In1−xGaxAsyP1−y of the two-mode behavior of In1−xGaxP. Solid State Commun. 1984, 49, 95. [Google Scholar] [CrossRef]
- Li, G.H.; Liu, Z.X.; Han, H.X.; Wang, Z.P.; Dong, J.R.; Wang, Z.G. Raman Scattering and Photoluminescence of Spontaneously Ordered Ga0.5In0.5P Alloy. MRS Online Proc. Libr. 1996, 452, 287–292. [Google Scholar] [CrossRef]
- Hofmann, T.; Gottschalch, V.; Schubert, M. Dielectric anisotropy and phonon modes of ordered indirect-gap Al0.52In0.48P studied by far-infrared ellipsometry. Appl. Phys. Lett. 2007, 91, 121908. [Google Scholar] [CrossRef]
- Feng, Z.C.; Lin, H.C.; Zhao, J.; Yang, T.R.; Ferguson, I. Surface and optical properties of AlGaInP films grown on GaAs by metalorganic chemical vapor deposition. Thin Solid Film. 2006, 498, 167–173. [Google Scholar] [CrossRef]
- Altuieri-Weimar, P.; Jaeger, A.; Lutz, T.; Stauss, P.; Streubel, K.; Thonke, K.; Sauer, R. Influence of doping on the reliability of AlGaInP LEDs. J. Mater. Sci. Mater. Electron. 2008, 19, S338–S341. [Google Scholar] [CrossRef]
- Jou, M.-J.; Lin, J.-F.; Chang, C.-M.; Lin, C.-H.; Wu, M.-C.; Lee, B.-J. Metalorganic Vapor Phase Epitaxy Growth and Characterization of (AlxGa1−x)0.5In0.5P/Ga0.5In0.5P (x = 0.4, 0.7 and 1.0) Quantum Wells on 15°-Off-(100) GaAs Substrates at High Growth Rate. Jpn. J. Appl. Phys. 1993, 32, 4460. [Google Scholar] [CrossRef]
- Borcherds, P.H.; Alfrey, G.F.; Woods, A.D.B.; Saunderson, D.H. Phonon dispersion curves in indium phosphide. J. Phys. C Solid State Phys. 1975, 8, 2022. [Google Scholar] [CrossRef]
- Borcherds, P.H.; Hall, R.L.; Kunc, K.; Alfrey, G.F. The lattice dynamics of gallium phosphide. J. Phys. C Solid State Phys. 1979, 12, 4699–4706. [Google Scholar] [CrossRef]
- Orlova, N.S. Variation of phonon dispersion curves with temperature in indium arsenide measured by X-ray thermal diffuse scattering. Phys. Status Solidi B 1981, 103, 115–121. [Google Scholar] [CrossRef]
- Benyahia, N.; Zaoui, A.; Madouri, D.; Ferhat, M. Dynamic properties of III–V polytypes from density-functional theory. J. Appl. Phys. 2017, 121, 125701. [Google Scholar] [CrossRef]
- Talwar, D.N.; Yang, T.R.; Feng, Z.C.; Becla, P. Infrared reflectance and transmission spectra in II–VI alloys and superlattices. Phys. Rev. B 2011, 84, 174203. [Google Scholar] [CrossRef]
- Mintairov, A.M.; Merz, J.L.; Vlasov, A.S. Effects of bond relaxation on the martensitic transition and optical phonons in spontaneously ordered GaInP2. Phys. Rev. B 2003, 67, 205211. [Google Scholar] [CrossRef]
- Alsina, F.; Cheong, H.M.; Webb, J.D.; Mascarenhas, A.; Geisz, J.F.; Olson, J.M. Far-infrared reflection studies in ordered GaInP2. Phys. Rev. B 1997, 56, 13126. [Google Scholar] [CrossRef]
- Alsina, F.; Mestres, N.; Nakhli, A.; Pascual, J. CuPt Ordering Fingerprints of Optical Phonons in Ternary III–V Compound Semiconductors. Phys. Status Solidi B 1999, 215, 121. [Google Scholar] [CrossRef]
- Lee, H.J.; Gamel, M.M.A.; Ker, P.J.; Jamaludin, Z.; Wong, Y.H.; David, J.P.R. Absorption Coefficient of Bulk III-V Semiconductor Materials: A Review on Methods, Properties and Future Prospects. J. Electron. Mater. 2022, 51, 6082–6107. [Google Scholar] [CrossRef]
- Chang, I.F.; Mitra, S.S. Long wavelength optical phonons in mixed crystals. Adv. Phys. 1971, 20, 359–401. [Google Scholar] [CrossRef]
- Varshni, Y.P. Temperature dependence of the energy gap in semiconductors. Physica 1967, 34, 149–154. [Google Scholar] [CrossRef]
- Vurgaftman, I.; Meyer, J.R.; Ram-Mohan, R. Band parameters for III–V compound semiconductors and their alloys. J. Appl. Phys. 2001, 89, 5815–5875. [Google Scholar] [CrossRef]
- Cadman, T.W.; Sadowski, D. Generalized equations for the calculation of absorptance, reflectance, and transmittance of a number of parallel surfaces. Appl. Opt. 1978, 17, 531. [Google Scholar] [CrossRef]
- González-Ramírez, J.E.; Fuentes, J.; Hernandez, L.C.; Hernandez, L. Evaluation of the Thickness in Nanolayers Using the Transfer Matrix Method for Modeling the Spectral Reflectivity. Res. Lett. Phys. 2009, 2009, 594175. [Google Scholar] [CrossRef][Green Version]
- Kato, H.; Adachi, S.; Nakanishi, H.; Ohtsuka, K. Optical Properties of (AlxGa1−x)0.5In0.5P Quaternary Alloys. Jpn. J. Appl. Phys. 1994, 33, 186. [Google Scholar] [CrossRef]
- Hecht, E. Optics; Addison-Wesley: New York, NY, USA, 1998. [Google Scholar]







| Samples | d (μm) | η | μ | m*/me | Pressure Torr τ | H2 Flow Rate (slm) | Dopant |
|---|---|---|---|---|---|---|---|
| T1 | 0.98 | 0.91 | 596.17 | 0.13 | 35 | 85 | Si |
| T2 | 1.1 | 1.03 | 664.74 | 0.13 | 55 | 85 | Si |
| T3 | 0.85 | 2.59 | 321.38 | 0.13 | 55 | 120 | Te |
| T4 | 1.08 | ~0.01 | 672.29 | 0.13 | 70 | 85 |
| Samples | d (μm) | GaA-like | InP-like | GaP-like | AlP-like | |||
|---|---|---|---|---|---|---|---|---|
| T1 | 0.98 | 268.5 | 330.3 | 365.0 | - | 375.2 | - | 453.0 |
| T2 | 1.1 | 269.1 | 329.9 | 365.1 | - | 385.0 | - | 465.0 |
| T3 | 0.85 | 269.0 | 329.8 | 365.3 | - | 371.3 | - | 441.0 |
| T4 | 1.08 | 268.7 | 330.2 | 365.3 | - | 386.1 | - | 455.0 |
| Samples | d (μm) | GaAs-like | InP-like | GaP-like | AlP-like |
|---|---|---|---|---|---|
| T1 | 0.98 | 268.7 | 335.3 | 372.3 | 422.3 |
| T2 | 1.1 | 269.2 | 335.2 | 375.2 | 422.4 |
| T3 | 0.85 | 269.0 | 335.1 | 365.3 | 422.3 |
| T4 | 1.08 | 268.4 | 324.2 | 390.1 | 418.1 |
| (A) | ||
| (Ga1−xAlx)0.5In0.5P/n+GaAs Parameters x = 0.24 ![]() | Sample T1![]() | |
| ε∞ | 8.81 | |
| InP-like mode | S1 | 1.76 |
| (cm−1) | 335.57 | |
| γ1 (cm−1) | 16.28 | |
| GaP-like mode | S2 | 0.11 |
| (cm−1) | 372.34 | |
| γ2 (cm−1) | 4.30 | |
| AlP-like mode | S3 | 0.31 |
| (cm−1) | 422.30 | |
| γ3 (cm−1) | 23.22 | |
| (B) | ||
| n+ GaAsSubstrate300 K | ||
| ε∞ | 10.89 | |
| S | 4.53 | |
| (cm−1) | 268.51 | |
| γ (cm−1) | 5.05 | |
| Carrier concentration (1018 cm−3) | 1.14 | |
| Mobility (cm2/Vs) | 1383.12 | |
| Effective mass (m*/me) | 0.063 | |
Disclaimer/Publisher’s Note: The statements, opinions and data contained in all publications are solely those of the individual author(s) and contributor(s) and not of MDPI and/or the editor(s). MDPI and/or the editor(s) disclaim responsibility for any injury to people or property resulting from any ideas, methods, instructions or products referred to in the content. |
© 2024 by the authors. Licensee MDPI, Basel, Switzerland. This article is an open access article distributed under the terms and conditions of the Creative Commons Attribution (CC BY) license (https://creativecommons.org/licenses/by/4.0/).
Share and Cite
Talwar, D.N.; Feng, Z.C. Assessment of Optical and Phonon Characteristics in MOCVD-Grown (AlxGa1−x)0.5In0.5P/n+-GaAs Epifilms. Molecules 2024, 29, 4188. https://doi.org/10.3390/molecules29174188
Talwar DN, Feng ZC. Assessment of Optical and Phonon Characteristics in MOCVD-Grown (AlxGa1−x)0.5In0.5P/n+-GaAs Epifilms. Molecules. 2024; 29(17):4188. https://doi.org/10.3390/molecules29174188
Chicago/Turabian StyleTalwar, Devki N., and Zhe Chuan Feng. 2024. "Assessment of Optical and Phonon Characteristics in MOCVD-Grown (AlxGa1−x)0.5In0.5P/n+-GaAs Epifilms" Molecules 29, no. 17: 4188. https://doi.org/10.3390/molecules29174188
APA StyleTalwar, D. N., & Feng, Z. C. (2024). Assessment of Optical and Phonon Characteristics in MOCVD-Grown (AlxGa1−x)0.5In0.5P/n+-GaAs Epifilms. Molecules, 29(17), 4188. https://doi.org/10.3390/molecules29174188



