Recent Advances in Fluorescent Polyimides
Abstract
1. Introduction
2. Fluorescent Semiaromatic PIs Containing Alicyclic Diamine Segments
3. Fluorescent PIs Containing Aromatic Diamine Segments
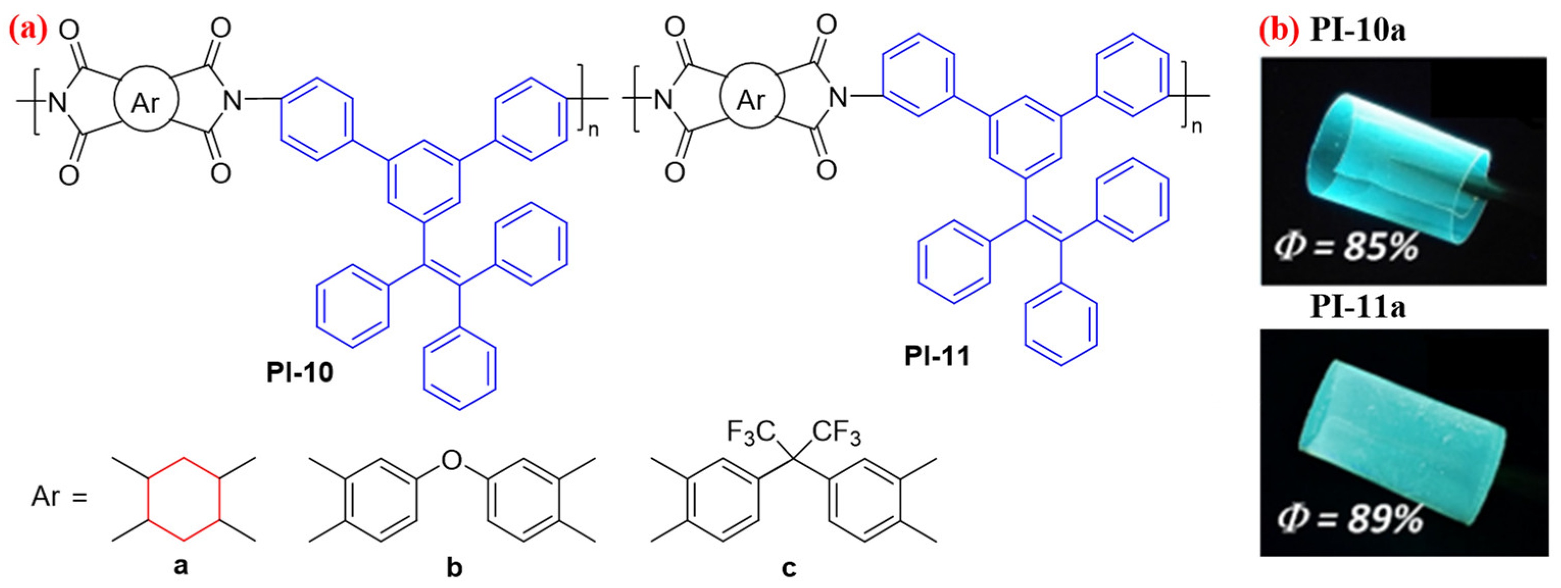
3.1. PI Containing Mult-Phenylethylene Structure
3.2. PI Containing Triarylamine Structure
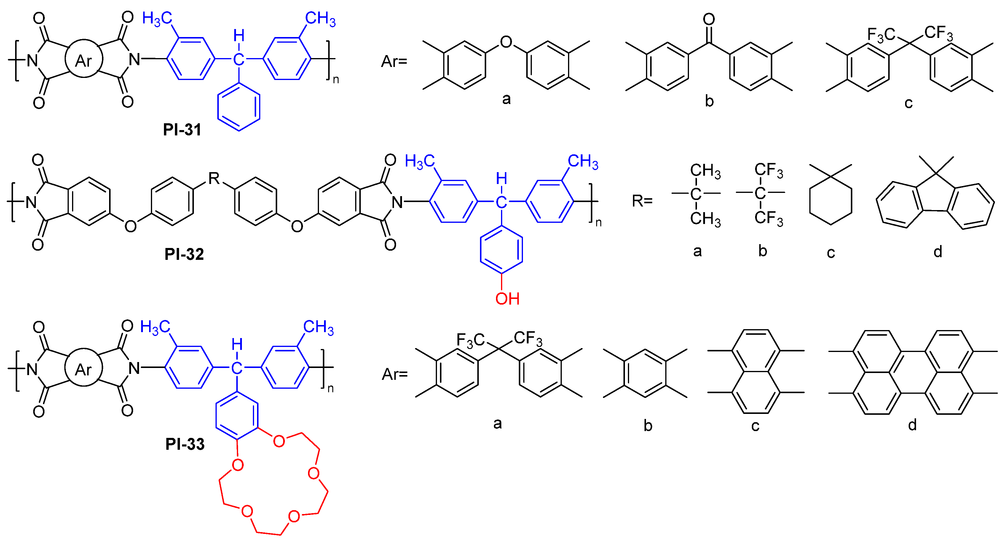
3.3. PI Containing Triarylmethane Structure
3.4. PI Containing Fluorene-Based Cardo Structure
3.5. PI Containing Nitrogen Heterocyclic Fluorophore
3.6. PI Containing Oxygen-Containing Heteroatom Fluorophore
3.7. PI Containing Sulfone Group
4. Fluorescent Microporous PI Bond-Linked Networks or Covalent Organic Frameworks (COFs)
5. Conclusions and Outlook
Author Contributions
Funding
Institutional Review Board Statement
Informed Consent Statement
Data Availability Statement
Conflicts of Interest
References
- Wu, A.; Akagi, T.; Jikei, M.; Kakimoto, M.-A.; Imai, Y.; Ukishima, S.; Takahashi, Y. New fluorescent polyimides for electrolumi-nescent devices based on 2,5-distyrylpyrazine. Thin Solid Film. 1996, 273, 214–217. [Google Scholar] [CrossRef]
- Sun, N.; Zou, Q.; Chen, W.; Zheng, Y.; Sun, K.; Li, C.; Han, Y.; Bai, L.; Wei, C.; Lin, J.; et al. Fluorene pen-dant-functionalization of poly(N-vinylcarbazole) as deep-blue fluorescent and host materials for polymer light-emitting diodes. Chin. Chem. Lett. 2023, 34, 108078. [Google Scholar] [CrossRef]
- Wu, S.; Zhou, B.; Yan, D. Low-Dimensional Organic Metal Halide Hybrids with Excitation-Dependent Optical Waveguides from Visible to Near-Infrared Emission. ACS Appl. Mater. Interfaces 2021, 13, 26451–26460. [Google Scholar] [CrossRef] [PubMed]
- Giuffreda, E.; Side, D.D.; Krasa, J.; Nassisi, V. Polarization of plastic targets by laser ablation. J. Instrum. 2016, 11, C05004. [Google Scholar] [CrossRef]
- Li, B.; Wang, X.; Huang, D.; Li, M.; Qin, A.; Qin, Y.; Tang, B.Z. Acid-base responsive multifunctional poly(formyl sulfide)s through a facile catalyst-free click polymerization of aldehyde-activated internal diynes and dithiols. Chem. Sci. 2023, 14, 10718–10726. [Google Scholar] [CrossRef] [PubMed]
- Kuik, M.; Wetzelaer, G.A.H.; Nicolai, H.T.; Craciun, N.I.; De Leeuw, D.M.; Blom, P.W.M. 25th Anniversary Article: Charge Transport and Recombination in Polymer Light-Emitting Diodes. Adv. Mater. 2014, 26, 512–531. [Google Scholar] [CrossRef]
- Guan, X.; Zhang, K.; Huang, F.; Bazan, G.C.; Cao, Y. Amino N-Oxide Functionalized Conjugated Polymers and their Ami-no-Functionalized Precursors: New Cathode Interlayers for High-Performance Optoelectronic Devices. Adv. Funct. Mater. 2012, 22, 2846–2854. [Google Scholar] [CrossRef]
- Ohshita, J.; Adachi, Y.; Sagisaka, R.; Nakashima, M.; Ooyama, Y.; Kunugi, Y. Synthesis of dithienogermole-containing polythio-phenes. Synth. Met. 2017, 227, 87–92. [Google Scholar]
- Yadav, L.; Yadav, A.; Chatterjee, S.; Tyeb, S.; Gupta, R.K.; Sen, P.; Ateeq, B.; Verma, V.; Nalwa, K.S. Red-emitting polyaniline-based nanoparticle probe for pH-sensitive fluorescence imaging. Biomater. Adv. 2022, 140, 213088. [Google Scholar] [CrossRef]
- Guo, D.; Muhammad, N.; Yu, S.; Wang, J.; Huang, S.; Zhu, Y. Polyamidoamine Dendrimers Functionalized Water-Stable Met-al-Organic Frameworks for Sensitive Fluorescent Detection of Heavy Metal Ions in Aqueous Solution. Polymers 2023, 15, 3444. [Google Scholar] [CrossRef]
- Yan, J.; Wang, X.; Xiong, J.; Wang, L.; Pan, D.; Xu, Y.; Yang, M. Uncovering divergent fluorescence of aliphatic polyamides: Syn-thesis, dual polymerization-induced emissions, and organelle-specific imaging. Chem. Eng. J. 2022, 428, 132142. [Google Scholar] [CrossRef]
- Tao, J.; Wang, R.; Yu, H.; Chen, L.; Fang, D.; Tian, Y.; Xie, J.; Jia, D.; Liu, H.; Wang, J.; et al. Highly Transparent, Highly Thermally Stable Nanocellulose/Polymer Hybrid Substrates for Flexible OLED Devices. ACS Appl. Mater. Interfaces 2020, 12, 9701–9709. [Google Scholar] [CrossRef] [PubMed]
- Liaw, D.-J.; Wang, K.-L.; Huang, Y.-C.; Lee, K.-R.; Lai, J.-Y.; Ha, C.-S. Advanced polyimide materials: Syntheses, physical properties and applications. Prog. Polym. Sci. 2012, 37, 907–974. [Google Scholar] [CrossRef]
- Zhuang, Y.; Seong, J.G.; Lee, Y.M. Polyimides containing aliphatic/alicyclic segments in the main chains. Prog. Polym. Sci. 2019, 92, 35–88. [Google Scholar] [CrossRef]
- Jiang, L.Y.; Wang, Y.; Chung, T.-S.; Qiao, X.Y.; Lai, J.-Y. Polyimides membranes for pervaporation and biofuels separation. Prog. Polym. Sci. 2009, 34, 1135–1160. [Google Scholar] [CrossRef]
- Fang, Q.; Zhuang, Z.; Gu, S.; Kaspar, R.B.; Zheng, J.; Wang, J.; Qiu, S.; Yan, Y. Designed synthesis of large-pore crystalline polyimide covalent organic frameworks. Nat. Commun. 2014, 5, 4503. [Google Scholar] [CrossRef]
- Hasegawa, M. Development of Solution-Processable, Optically Transparent Polyimides with Ultra-Low Linear Coefficients of Thermal Expansion. Polymers 2017, 9, 520. [Google Scholar] [CrossRef]
- Yang, Z.; Ma, P.; Li, F.; Guo, H.; Kang, C.; Gao, L. Ultrahigh thermal-stability polyimides with low CTE and required flexibility by formation of hydrogen bonds between poly(amic acid)s. Eur. Polym. J. 2021, 148, 110369. [Google Scholar] [CrossRef]
- Yang, Z.; Guo, H.; Kang, C.; Gao, L. Synthesis and characterization of amide-bridged colorless polyimide films with low CTE and high optical performance for flexible OLED displays. Polym. Chem. 2021, 12, 5364–5376. [Google Scholar] [CrossRef]
- Chen, L.; Yu, H.; Dirican, M.; Fang, D.; Tian, Y.; Yan, C.; Xie, J.; Jia, D.; Liu, H.; Wang, J.; et al. Highly Transparent and Colorless Nanocellulose/Polyimide Substrates with Enhanced Thermal and Mechanical Properties for Flexible OLED Dis-plays. Adv. Mater. Interfaces 2020, 7, 2000928. [Google Scholar] [CrossRef]
- Long, Y.; Chen, K.; Li, C.; Wang, W.; Bian, J.; Li, Y.; Liu, S.; Chi, Z.; Xu, J.; Zhang, Y. Molecular design strategy for through-space charge transfer blue polyimides with rigid non-conjugated backbone and the role of alicyclic imide linker. Chem. Eng. J. 2023, 471, 144759. [Google Scholar] [CrossRef]
- Matsuda, S.-I.; Urano, Y.; Park, J.-W.; Ha, C.-S.; Ando, S. Preparation and Characterization of Organic Electroluminescent Devices Using Fluorescent Polyimides as a Light-Emitting Layer. J. Photopolym. Sci. Technol. 2004, 17, 241–246. [Google Scholar] [CrossRef][Green Version]
- Long, Y.; Chen, X.; Wu, H.; Zhou, Z.; Babu, S.S.; Wu, M.; Zhao, J.; Aldred, M.P.; Liu, S.; Chen, X.; et al. Rigid Polyimides with Thermally Activated Delayed Fluorescence for Polymer Light-Emitting Diodes with High External Quantum Efficiency up to 21%. Angew. Chem. Int. Ed. 2021, 60, 7220–7226. [Google Scholar] [CrossRef] [PubMed]
- Cao, K.; Zhang, M.; Liu, G. The Effect of End Group and Molecular Weight on the Yellowness of Polyetherimide. Macromol. Rapid Commun. 2018, 39, e1800045. [Google Scholar] [CrossRef] [PubMed]
- Hasegawa, M.; Horie, K. Photophysics, photochemistry, and optical properties of polyimides. Prog. Polym. Sci. 2001, 26, 259–335. [Google Scholar] [CrossRef]
- Ando, S.; Matsuura, T.; Sasaki, S. Coloration of Aromatic Polyimides and Electronic Properties of Their Source Materials. Polym. J. 1997, 29, 69–76. [Google Scholar] [CrossRef]
- Wakita, J.; Sekino, H.; Sakai, K.; Urano, Y.; Ando, S. Molecular Design, Synthesis, and Properties of Highly Fluorescent Polyimides. J. Phys. Chem. B 2009, 113, 15212–15224. [Google Scholar] [CrossRef] [PubMed]
- Zhuang, Y.; Orita, R.; Fujiwara, E.; Zhang, Y.; Ando, S. Colorless Partially Alicyclic Polyimides Based on Tröger’s Base Exhibiting Good Solubility and Dual Fluorescence/Phosphorescence Emission. Macromolecules 2019, 52, 3813–3824. [Google Scholar] [CrossRef]
- Nara, M.; Orita, R.; Ishige, R.; Ando, S. White-Light Emission and Tunable Luminescence Colors of Polyimide Copolymers Based on FRET and Room-Temperature Phosphorescence. ACS Omega 2020, 5, 14831–14841. [Google Scholar] [CrossRef]
- Kanosue, K.; Hirata, S.; Vacha, M.; Augulis, R.; Gulbinas, V.; Ishige, R.; Ando, S. A colorless semi-aromatic polyimide derived from a sterically hindered bromine-substituted dianhydride exhibiting dual fluorescence and phosphorescence emission. Mater. Chem. Front. 2019, 3, 39–49. [Google Scholar] [CrossRef]
- Liang, N.; Kuwata, S.; Ishige, R.; Ando, S. Large-Stokes-shifted yellow photoluminescence emission from an imide and polyimides forming multiple intramolecular hydrogen bonds. Mater. Chem. Front. 2022, 6, 24–32. [Google Scholar] [CrossRef]
- Wakita, J.; Inoue, S.; Kawanishi, N.; Ando, S. Excited-State Intramolecular Proton Transfer in Imide Compounds and its Appli-cation to Control the Emission Colors of Highly Fluorescent Polyimides. Macromolecules 2010, 43, 3594–3605. [Google Scholar] [CrossRef]
- Liang, N.; Fujiwara, E.; Nara, M.; Ishige, R.; Ando, S. Photoluminescence Properties of Novel Fluorescent Polyimide Based on Excited State Intramolecular Proton Transfer at The End Groups. J. Photopolym. Sci. Technol. 2019, 32, 449–455. [Google Scholar] [CrossRef]
- Kanosue, K.; Shimosaka, T.; Wakita, J.; Ando, S. Polyimide and Imide Compound Exhibiting Bright Red Fluorescence with Very Large Stokes Shifts via Excited-State Intramolecular Proton Transfer. Macromolecules 2015, 48, 1777–1785. [Google Scholar] [CrossRef]
- Kanosue, K.; Augulis, R.; Peckus, D.; Karpicz, R.; Tamulevičius, T.; Tamulevičius, S.; Gulbinas, V.; Ando, S. Polyimide and Imide Compound Exhibiting Bright Red Fluorescence with Very Large Stokes Shifts via Excited-State Intramolecular Proton Transfer II. Ultrafast Proton Transfer Dynamics in the Excited State. Macromolecules 2016, 49, 1848–1857. [Google Scholar] [CrossRef]
- Liang, N.; Fujiwara, E.; Nara, M.; Ishige, R.; Ando, S. Colorless Copolyimide Films Exhibiting Large Stokes-Shifted Photolumi-nescence Applicable for Spectral Conversion. ACS Appl. Polym. Mater. 2021, 3, 3911–3921. [Google Scholar] [CrossRef]
- Liu, Y.-L.; Wang, K.-L.; Huang, G.-S.; Zhu, C.-X.; Tok, E.-S.; Neoh, K.-G.; Kang, E.-T. Volatile Electrical Switching and Static Random Access Memory Effect in a Functional Polyimide Containing Oxadiazole Moieties. Chem. Mater. 2009, 21, 3391–3399. [Google Scholar] [CrossRef]
- Luo, J.; Xie, Z.; Xie, Z.; Lam, J.W.Y.; Cheng, L.; Chen, H.; Qiu, C.; Kwok, H.S.; Zhan, X.; Liu, Y.; et al. Aggregation-Induced Emission of 1-Methyl-1,2,3,4,5-Pentaphenylsilole. Chem. Commun. 2001, 18, 1740–1741. [Google Scholar] [CrossRef]
- Liu, Y.; Zhang, Y.; Lan, Q.; Liu, S.; Qin, Z.; Chen, L.; Zhao, C.; Chi, Z.; Xu, J.; Economy, J. High-Performance Functional Polyimides Containing Rigid Nonplanar Conjugated Triphenylethylene Moieties. Chem. Mater. 2012, 24, 1212–1222. [Google Scholar] [CrossRef]
- Liu, Y.; Zhang, Y.; Lan, W.; Qin, Z.; Liu, S.; Zhao, C.; Chi, Z.; Xu, J. Synthesis and properties of high-performance functional pol-yimides containing rigid nonplanar conjugated tetraphenylethylene moieties. J. Polym. Sci. Part A Polym. Chem. 2012, 51, 1302–1314. [Google Scholar] [CrossRef]
- Zhou, Z.; Long, Y.; Chen, X.; Yang, T.; Zhao, J.; Meng, Y.; Chi, Z.; Liu, S.; Chen, X.; Aldred, M.P.; et al. Preserving High-Efficiency Luminescence Characteristics of an Aggregation-Induced Emission-Active Fluorophore in Thermostable Amorphous Polymers. ACS Appl. Mater. Interfaces 2020, 12, 34198–34207. [Google Scholar] [CrossRef]
- Yu, T.; Han, Y.; Yao, H.; Chen, Z.; Guan, S. Polymeric optoelectronic materials with low-voltage colorless-to-black electrochromic and AIE-activity electrofluorochromic dual-switching properties. Dye. Pigment. 2020, 181, 108499. [Google Scholar] [CrossRef]
- Yu, T.; Theato, P.; Yao, H.; Liu, H.; Di, Y.; Sun, Z.; Guan, S. Colorless Electrochromic/Electrofluorochromic Dual-Functional Tri-phenylamine-Based Polyimides: Effect of a Tetraphenylethylene-Based π-Bridge on optoelectronic properties. Chem. Eng. J. 2023, 451, 138441. [Google Scholar] [CrossRef]
- Yu, T.; Yao, H.; Liu, H.; Guan, S. High-performance fluorescent/electroactive (A4+B2)-type hyperbranched polyimide with AIE-enhanced electroflourochromic behavior. Dye. Pigment. 2023, 214, 111207. [Google Scholar] [CrossRef]
- Qu, L.-J.; Tang, L.-S.; Liu, S.-W.; Chi, Z.-G.; Chen, X.-D.; Zhang, Y.; Xu, J.-R. Preparation and Photoluminescent Properties of Polyimides Containing Triphenylamine Pendant Group. Acta Polym. Sin. 2018, 11, 1430–1441. [Google Scholar]
- Iqbal, A.; Lee, S.H.; Park, O.O.; Siddiqi, H.M.; Akhter, T. Synthesis and characterization of blue light emitting redox-active polyimides bearing a noncoplanar fused carbazole–triphenylamine unit. New J. Chem. 2016, 40, 5285–5293. [Google Scholar] [CrossRef]
- Habib, T.; Zubair, M.; Bilquees, S.; Iqbal, A.; Siddiqi, H.M.; Ashraf, Z.; Janjua, N.K. Polyimides with noncoplanar Carbazole-TPA units: Synthesis and characterization. Polym. Technol. Mater. 2020, 60, 534–547. [Google Scholar] [CrossRef]
- Sun, N.; Meng, S.; Zhou, Z.; Yao, J.; Du, Y.; Wang, D.; Zhao, X.; Zhou, H.; Chen, C. High-contrast electrochromic and electrofluo-rescent dual-switching materials based on 2-diphenylamine-(9,9-diphenylfluorene)-functionalized semi-aromatic polymers. RSC Adv. 2016, 6, 66288–66296. [Google Scholar] [CrossRef]
- Hamciuc, C.; Hamciuc, E.; Homocianu, M.; Nicolescu, A.; Lisa, G. New blue fluorescent and highly thermostable polyimide and poly(amide-imide)s containing triphenylamine units and (4-dimethylaminophenyl)-1,3,4-oxadiazole side groups. Dye. Pigment. 2018, 148, 249–262. [Google Scholar] [CrossRef]
- Constantin, C.-P.; Damaceanu, M.-D.; Bruma, M.; Begunov, R.S. Ortho-CATENATION and trifluoromethyl graphting as driving forces in electro-optical properties modulation of ethanol soluble triphenylamine-based polyimides. Dye. Pigment. 2019, 163, 126–137. [Google Scholar] [CrossRef]
- Khalid, N.; Park, O.O.; Akhter, T.; Siddiqi, H.M. Fluorescent, electroactive, thermally stable triphenylamine- and naphtha-lene-based polyimides for optoelectronic applications. J. Appl. Polym. Sci. 2016, 134, 44526. [Google Scholar] [CrossRef]
- Iqbal, A.; Khalid, N.; Siddiqi, H.M.; Park, O.O.; Akhter, T. 4-quinolin-8-yloxy Linked Triphenylamine Based Polyimides: Blue Light Emissive and Potential Hole-Transport Materials. J. Fluoresc. 2017, 28, 311–321. [Google Scholar] [CrossRef] [PubMed]
- Iqbal, A.; Siddiqi, H.M.; Zubair, M.; Akhter, T.; Park, O.O.; Saeed, A. Investigation of thermal and fluorescent properties of benzoxazole-linked triphenylamine-based co-polyimides. High Perform. Polym. 2019, 32, 231–241. [Google Scholar] [CrossRef]
- Li, D.; Wang, X.; Xia, L.; Luo, Q.; Xu, Y.; Zeng, B.; Luo, W.; Dai, L. Semi aromatic colorless polyimide coatings for dual electrochromic and electrofluorochromic displays and its potential for information encryption. Prog. Org. Coatings 2023, 184, 107867. [Google Scholar] [CrossRef]
- Yen, H.-J.; Chen, C.-J.; Liou, G.-S. Novel high-efficiency PL polyimide nanofiber containing aggregation-induced emission (AIE)-active cyanotriphenylamine luminogen. Chem. Commun. 2013, 49, 630–632. [Google Scholar] [CrossRef]
- Su, K.; Sun, N.; Tian, X.; Guo, S.; Yan, Z.; Wang, D.; Zhou, H.; Zhao, X.; Chen, C. Highly soluble polyimide bearing bulky pendant diphenylamine-pyrene for fast-response electrochromic and electrofluorochromic applications. Dye. Pigment. 2019, 171, 107668. [Google Scholar] [CrossRef]
- Yen, H.; Wu, J.; Wang, W.; Liou, G. High-Efficiency Photoluminescence Wholly Aromatic Triarylamine-based Polyimide Nanofiber with Aggregation-Induced Emission Enhancement. Adv. Opt. Mater. 2013, 1, 668–676. [Google Scholar] [CrossRef]
- Wu, J.-H.; Liou, G.-S. High-efficiency fluorescent polyimides based on locally excited triarylamine-containing dianhydride moieties. Polym. Chem. 2015, 6, 5225–5232. [Google Scholar] [CrossRef]
- Wu, J.-H.; Chen, W.-C.; Liou, G.-S. Triphenylamine-based luminogens and fluorescent polyimides: Effects of functional groups and substituents on photophysical behaviors. Polym. Chem. 2016, 7, 1569–1576. [Google Scholar] [CrossRef]
- Shao, Y.; Liou, G. Triarylamine-Based Wholly Aromatic Polyimide with Simultaneously Unprecedented Photoluminescence Efficiency and High Glass-Transition Temperature. Adv. Opt. Mater. 2021, 10, 2101949. [Google Scholar] [CrossRef]
- Bejan, A.E.; Constantin, C.P.; Damaceanu, M.D. Evidence of diimide structure variation on overall performance of elec-tro(fluoro)chromic devices integrating versatile triphenylamine-based polyimides. Mater. Today Chem. 2022, 26, 101100. [Google Scholar] [CrossRef]
- Hu, J.; Zhao, X.; Zhang, G.; Cui, Z.; Wang, C. Synthesis of a “turn-on” fluorescent polymer probe, preparation and reusability of its test paper on metal ions detection. J. Taiwan Inst. Chem. Eng. 2023, 142, 104630. [Google Scholar] [CrossRef]
- Butnaru, I.; Sava, I.; Damaceanu, M.-D. Exploring the impact of triphenylmethane incorporation on physical properties of polyimides with emphasis on optical and halochromic behaviour. Polymer 2020, 200, 122621. [Google Scholar] [CrossRef]
- Chiriac, A.-P.; Butnaru, I.; Damaceanu, M.-D. Electrochemically active polyimides containing hydroxyl-functionalized triphe-nylmethane as molecular sensors for fluoride anion detection. Electrochim. Acta 2020, 353, 136602. [Google Scholar] [CrossRef]
- Chiriac, A.-P.; Damaceanu, M.-D. A novel approach towards crown-ether modified polyimides with affinity for alkali metal ions recognition. J. Mol. Liq. 2021, 322, 114929. [Google Scholar] [CrossRef]
- Zhao, X.; Wu, Q.; Zhang, S.; Wei, H.; Wang, R.; Wang, C. Synthesis, processability and photoluminescence of pyrene-containing polyimides. J. Mater. Res. Technol. 2020, 9, 14599–14608. [Google Scholar] [CrossRef]
- Qu, L.; Huang, S.; Zhang, Y.; Chi, Z.; Liu, S.; Chen, X.; Xu, J. Multi-functional polyimides containing tetraphenyl fluorene moieties: Fluorescence and resistive switching behaviors. J. Mater. Chem. C 2017, 5, 6457–6466. [Google Scholar] [CrossRef]
- Liu, Y.; Zhou, Z.; Qu, L.; Zou, B.; Chen, Z.; Zhang, Y.; Liu, S.; Chi, Z.; Chen, X.; Xu, J. Exceptionally thermostable and soluble aromatic polyimides with special characteristics: Intrinsic ultralow dielectric constant, static random access memory behaviors, transparency and fluorescence. Mater. Chem. Front. 2017, 1, 326–337. [Google Scholar] [CrossRef]
- Liu, Y.-W.; Tang, L.-S.; Qu, L.-J.; Liu, S.-W.; Chi, Z.-G.; Zhang, Y.; Xu, J.-R. Synthesis and Properties of High Performance Functional Polyimides Containing Rigid Nonplanar Conjugated Fluorene Moieties. Chin. J. Polym. Sci. 2019, 37, 416–427. [Google Scholar] [CrossRef]
- Wu, Y.; Chen, Z.; Ji, J.; Zhou, Y.; Huang, H.; Liu, S.; Zhao, J. Multifunctional polyimides by direct silyl ether reaction of pendant hydroxy groups: Toward low dielectric constant, high optical transparency and fluorescence. Eur. Polym. J. 2020, 132, 109742. [Google Scholar] [CrossRef]
- Wu, Y.; Liu, S.; Zhao, J. Simultaneously Improving the Optical, Dielectric, and Solubility Properties of Fluorene-Based Polyimide with Silyl Ether Side Groups. ACS Omega 2022, 7, 11939–11945. [Google Scholar] [CrossRef]
- Wu, Y.; Liu, S.; Zhao, J. Facile fabrication of a fluorene-containing polyimide film-based fluorescent sensor for rapid and selective detection of fluoride ion. J. Photochem. Photobiol. A: Chem. 2022, 425, 113728. [Google Scholar] [CrossRef]
- Wu, Y.; Ji, J.; Huang, H.; Liu, S.; Zhao, J. Facile synthesis of acyloxy-containing fluorene-based Cardo polyimides with high optical transparency, fluorescence and low dielectric constant. React. Funct. Polym. 2021, 166, 104979. [Google Scholar] [CrossRef]
- Zheng, R.-R.; Huang, T.; Niu, H.-J.; Wang, C.; Chang, H.-Y.; Sun, Z.-Y.; Wang, L.-Y.; Guo, L.-Y.; Zhang, Z.-P.; Zhang, S. Multifunc-tional Flexible Polyimides for Electroactive Devices with Electrochromic, Electrofluorochromic, and Photodetection Properties. ACS Appl. Polym. Mater. 2021, 3, 1338–1348. [Google Scholar] [CrossRef]
- Huang, M.; Wang, L.; Li, X.; Yan, S.; Yeung, K.W.K.; Chu, P.K.; Xu, Z.; Yi, C. Design and preparation of novel fluorescent pol-yimides containing ortho-linked units and pyridine moieties. Des. Monomers Polym. 2012, 15, 389–404. [Google Scholar] [CrossRef] [PubMed]
- Bazzar, M.; Ghaemy, M.; Alizadeh, R. Synthesis and characterization of new fluorescent polyimides bearing 1,2,4-triazole and 1,2-diaryl quinoxaline: Study properties and application to the extraction/elimination of metallic ions from aqueous media. React. Funct. Polym. 2013, 73, 492–498. [Google Scholar] [CrossRef]
- Ghaemy, M.; Ghassemi, K.; Qasemi, S.; Bazzar, M. Synthesis, characterization and properties of new poly(triazole-imide)s and their composites with silane-modified nanoclay. Polym. Bull. 2015, 72, 2435–2453. [Google Scholar] [CrossRef]
- Zhou, Z.; Zhang, Y.; Liu, S.; Chi, Z.; Chen, X.; Xu, J. Flexible and highly fluorescent aromatic polyimide: Design, synthesis, properties, and mechanism. J. Mater. Chem. C 2016, 4, 10509–10517. [Google Scholar] [CrossRef]
- Qu, L.; Tang, L.; Bei, R.; Zhao, J.; Chi, Z.; Liu, S.; Chen, X.; Aldred, M.P.; Zhang, Y.; Xu, J. Flexible Multifunctional Aromatic Pol-yimide Film: Highly Efficient Photoluminescence, Resistive Switching Characteristic, and Electroluminescence. ACS Appl. Mater. Interfaces 2018, 10, 11430–11435. [Google Scholar] [CrossRef]
- Bai, W.; Hu, Z.; Lu, Y.; Xiao, G.; Zhao, H.; Zhu, J.; Liu, Z. Solubility, thermal and photoluminescence properties of triphenyl im-idazole-containing polyimides. RSC Adv. 2021, 11, 23802–23814. [Google Scholar] [CrossRef]
- Bai, W.; Lu, Y.; Hu, Z.; Xiao, G.; Zhao, H.; Zhu, J.; Liu, Z. Photoluminescence, thermal and surface properties of triarylimidaz-ole-containing polyimide nanocomposite films. RSC Adv. 2021, 11, 36066–36077. [Google Scholar] [CrossRef] [PubMed]
- Ghaemy, M.; Nasab, S.M.A. Synthesis and identification of organosoluble polyimides: Thermal, photophysical and chemiluminescence properties. Polym. J. 2010, 42, 648–656. [Google Scholar] [CrossRef][Green Version]
- Ting, W.; Miao, S.Y.; Feng, C.; Mu, L.W. Synthesis and Characterization of Polyimides Based on Twisted Non-coplanar Backbone Containing Indolocarbazole. Chin. J. Struct. Chem. 2021, 12, 1611–1620. [Google Scholar]
- Lv, Y.-Y.; Wu, J.; Xu, Z.-K. Colorimetric and fluorescent sensor constructing from the nanofibrous membrane of porphyrinated polyimide for the detection of hydrogen chloride gas. Sens. Actuators B Chem. 2010, 148, 233–239. [Google Scholar] [CrossRef]
- Ogi, T.; Kinoshita, R.; Ito, S. Spectroscopic and optical characterization of porphyrin chromophores incorporated into ultrathin polyimide films. J. Colloid Interface Sci. 2005, 286, 280–287. [Google Scholar] [CrossRef] [PubMed]
- Shehzad, F.K.; Khan, Q.U.; Mahmood, Q.; Ghafoor, F.; Alsaab, H.O.; Shah, S.A.A.; Athir, N.; Iqbal, A. Third order NLO and second hyperpolarizability of functional porphyrin based polyimides. Opt. Mater. 2022, 127, 112317. [Google Scholar] [CrossRef]
- Lv, Y.-Y.; Xu, W.; Lin, F.-W.; Wu, J.; Xu, Z.-K. Electrospun nanofibers of porphyrinated polyimide for the ultra-sensitive detection of trace TNT. Sens. Actuators B Chem. 2013, 184, 205–211. [Google Scholar] [CrossRef]
- Luo, Y.; Chen, K.; Wang, W.; Bei, R.; Li, C.; Long, Y.; Zhou, Z.; Liu, S.; Chi, Z.; Xu, J.; et al. Synthesis and characterization of a large Stokes-shifted fluorescent imide and its related polyimides bearing 2-(2′-hydroxyphenyl)benzothiazole moieties. J. Mater. Chem. C 2023, 11, 9252–9261. [Google Scholar] [CrossRef]
- Jiao, L.; Du, Z.; Dai, X.; Wang, H.; Yao, H.; Qiu, X. Multifunctional polyimide films with superheat-resistance, low coefficient of thermal expansion and fluorescence performance. Polymer 2022, 247, 124792. [Google Scholar] [CrossRef]
- Jiao, L.; Du, Z.; Dai, X.; Wang, H.; Dong, Z.; Yao, H.; Qiu, X. Based on rigid xanthone group and hydrogen bonding to construct polyimide films with low coefficient of thermal expansion, high temperature resistance, and fluorescent property. Eur. Polym. J. 2022, 173, 111260. [Google Scholar] [CrossRef]
- Gong, C.; Liu, Z.; Tao, Z.; Xu, A.; Xie, H.; Fang, Q.; Qiu, Z.; Yan, Y. High-Performance Polyimides Derived from Biomass: Design, Synthesis, and Properties. ACS Sustain. Chem. Eng. 2023, 11, 4789–4799. [Google Scholar] [CrossRef]
- Zhou, Z.; Huang, W.; Long, Y.; Chen, Y.; Yu, Q.; Zhang, Y.; Liu, S.; Chi, Z.; Chen, X.; Xu, J. An oxidation-induced fluorescence turn-on approach for non-luminescent flexible polyimide films. J. Mater. Chem. C 2017, 5, 8545–8552. [Google Scholar] [CrossRef]
- Xue, R.; Guo, H.; Wang, T.; Gong, L.; Wang, Y.; Ai, J.; Huang, D.; Chen, H.; Yang, W. Fluorescence properties and analytical ap-plications of covalent organic frameworks. Anal. Methods 2017, 9, 3737–3750. [Google Scholar] [CrossRef]
- Liao, Y.; Weber, J.; Faul, C.F.J. Fluorescent Microporous Polyimides Based on Perylene and Triazine for Highly CO2-Selective Carbon Materials. Macromolecules 2015, 48, 2064–2073. [Google Scholar] [CrossRef]
- Zhang, C.; Zhang, S.; Yan, Y.; Xia, F.; Huang, A.; Xian, Y. Highly Fluorescent Polyimide Covalent Organic Nanosheets as Sensing Probes for the Detection of 2,4,6-Trinitrophenol. ACS Appl. Mater. Interfaces 2017, 9, 13415–13421. [Google Scholar] [CrossRef]
- Wang, T.; Xue, R.; Chen, H.; Shi, P.; Lei, X.; Wei, Y.; Guo, H.; Yang, W. Preparation of two new polyimide bond linked porous covalent organic frameworks and their fluorescence sensing application for sensitive and selective determination of Fe3+. New J. Chem. 2017, 41, 14272–14278. [Google Scholar] [CrossRef]
- Zhao, N.; Liu, J.-M.; Yang, F.-E.; Lv, S.-W.; Wang, J.; Wang, S. Easy Green Construction of a Universal Sensing Platform Based on Crystalline Polyimide Covalent Organic Frameworks with Sensitive Fluorescence Response to Metal Ions and Antibiotics. ACS Appl. Bio Mater. 2020, 4, 995–1002. [Google Scholar] [CrossRef]
- Liang, X.; Ni, Z.; Zhao, L.; Ge, B.; Zhao, H.; Li, W. Multifunctional triphenylbenzene-based polyimide covalent organic framework with absolute eclipsed stacking models for fluorescence detecting of Fe3+ and electrochemical detecting of Pb2+. Microchem. J. 2021, 170, 106663. [Google Scholar] [CrossRef]
- Zadehnazari, A.; Khosropour, A.; Altaf, A.A.; Amirjalayer, S.; Abbaspourrad, A. Pyrene-Based Polyimide Covalent Organic Framework with Temperature-Dependent Fluorescence. Adv. Opt. Mater. 2023, 11, 2300412. [Google Scholar] [CrossRef]











































Disclaimer/Publisher’s Note: The statements, opinions and data contained in all publications are solely those of the individual author(s) and contributor(s) and not of MDPI and/or the editor(s). MDPI and/or the editor(s) disclaim responsibility for any injury to people or property resulting from any ideas, methods, instructions or products referred to in the content. |
© 2024 by the authors. Licensee MDPI, Basel, Switzerland. This article is an open access article distributed under the terms and conditions of the Creative Commons Attribution (CC BY) license (https://creativecommons.org/licenses/by/4.0/).
Share and Cite
Lian, M.; Tian, L.; Huang, G.; Liang, S.; Zhang, Y.; Yi, N.; Fan, L.; Wu, Q.; Gan, F.; Wu, Y. Recent Advances in Fluorescent Polyimides. Molecules 2024, 29, 4072. https://doi.org/10.3390/molecules29174072
Lian M, Tian L, Huang G, Liang S, Zhang Y, Yi N, Fan L, Wu Q, Gan F, Wu Y. Recent Advances in Fluorescent Polyimides. Molecules. 2024; 29(17):4072. https://doi.org/10.3390/molecules29174072
Chicago/Turabian StyleLian, Manyu, Liyong Tian, Guotao Huang, Siming Liang, Yangfan Zhang, Ningbo Yi, Longfei Fan, Qinghua Wu, Feng Gan, and Yancheng Wu. 2024. "Recent Advances in Fluorescent Polyimides" Molecules 29, no. 17: 4072. https://doi.org/10.3390/molecules29174072
APA StyleLian, M., Tian, L., Huang, G., Liang, S., Zhang, Y., Yi, N., Fan, L., Wu, Q., Gan, F., & Wu, Y. (2024). Recent Advances in Fluorescent Polyimides. Molecules, 29(17), 4072. https://doi.org/10.3390/molecules29174072

