A Convenient Synthesis of Short α-/β-Mixed Peptides as Potential α-Amylase Inhibitors
Abstract
1. Introduction
2. Results and Discussion
2.1. Chemistry
2.2. α-Amylase Inhibition Potential
3. Materials and Methods
3.1. Synthesis of Protected Amino Acids
3.1.1. Synthesis of Boc-Protected Amino Acid (4–6)
3.1.2. Synthesis of N-Boc-O-Benzyl-L-Serine (7)
3.1.3. Synthesis of O-Benzyl-L-Tyrosine (9)
3.1.4. Synthesis of N-Boc-O-Benzyl-L-Tyrosine (10)
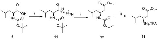
3.2. Synthesis of N-Boc-L-Leucine Diazoketone (11)
3.3. Synthesis of N-Boc-L-Leucine-β-Methyl Ester (12)
3.4. Boc-Deprotection of N-Boc-L-Leucine-β-Methyl Ester (13)
3.5. Synthesis of N-Boc-α-Glycine-β-Leucine Methyl Ester Dipeptide (14)
3.6. Boc-Deprotection of N-Boc-α-Glycine-β-Leucine Methyl Ester Dipeptide (15)
3.7. Synthesis of N-Boc-O-Benzyl-α-Serine-β-Leucine-Methyl Ester Dipeptide (16)
3.8. Synthesis of N-Boc-O-Benzyl-α-Tyrosine-α-Glycine-β-Leucine Methyl Ester Tripeptide (17)
3.9. α-Amylase Inhibition Assay
Supplementary Materials
Author Contributions
Funding
Institutional Review Board Statement
Informed Consent Statement
Data Availability Statement
Acknowledgments
Conflicts of Interest
References
- Kahanovitz, L.; Sluss, P.M.; Russell, S.J. Type 1 Diabetes—A Clinical Perspective. Point Care 2017, 16, 37–40. [Google Scholar] [CrossRef]
- Kharroubi, A.T.; Darwish, H.M. Diabetes mellitus: The epidemic of the century. World J. Diabetes 2015, 6, 850–867. [Google Scholar] [CrossRef]
- Zhang, Y.; Chen, R.; Chen, X.; Zeng, Z.; Ma, H.; Chen, S. Dipeptidyl Peptidase IV-Inhibitory Peptides Derived from Silver Carp (Hypophthalmichthys molitrix Val.) Proteins. J. Agric. Food Chem. 2016, 64, 831–839. [Google Scholar] [CrossRef]
- Makkar, F.; Chakraborty, K. Antidiabetic and anti-inflammatory potential of sulphated polygalactans from red seaweeds Kappaphycus alvarezii and Gracilaria opuntia. Int. J. Food Prop. 2017, 20, 1326–1337. [Google Scholar] [CrossRef]
- Alqadi, S.F. Diabetes Mellitus and Its Influence on Oral Health: Review. Diabetes Metab. Syndr. Obes. 2024, 17, 107–120. [Google Scholar] [CrossRef]
- Sintsova, O.; Popkova, D.; Kalinovskii, A.; Rasin, A.; Borozdina, N.; Shaykhutdinova, E.; Klimovich, A.; Menshov, A.; Kim, N.; Anastyuk, S.; et al. Control of postprandial hyperglycemia by oral administration of the sea anemone mucus-derived α-amylase inhibitor (magnificamide). Biomed. Pharmacother. 2023, 168, 115743. [Google Scholar] [CrossRef] [PubMed]
- Shen, H.; Wang, J.; Ao, J.; Hou, Y.; Xi, M.; Cai, Y.; Li, M.; Luo, A. Structure-activity relationships and the underlying mechanism of α-amylase inhibition by hyperoside and quercetin: Multi-spectroscopy and molecular docking analyses. Spectrochim. Acta Part A Mol. Biomol. Spectrosc. 2023, 285, 121797. [Google Scholar] [CrossRef] [PubMed]
- Afifi, A.; Kamel, E.A.; Khalil, A.; Fawzi, M.; Housery, M. Purification and characterization of 0-amylase from Penicilium Olsonii under the Effect of Some Anioxidant Vitamins. Glob. J. Biotechnol. Biochem. 2008, 3, 14–21. [Google Scholar]
- Krentz, A.J.; Bailey, C.J. Oral antidiabetic agents: Current role in type 2 diabetes mellitus. Drugs 2005, 65, 385–411. [Google Scholar] [CrossRef]
- Watanabe, J.; Kawabata, J.; Kurihara, H.; Niki, R. Isolation and identification of alpha-glucosidase inhibitors from tochu-cha (Eucommia ulmoides). Biosci. Biotechnol. Biochem. 1997, 61, 177–178. [Google Scholar] [CrossRef] [PubMed]
- Cubeddu, L.X.; Bönisch, H.; Göthert, M.; Molderings, G.; Racké, K.; Ramadori, G.; Miller, K.J.; Schwörer, H. Effects of metformin on intestinal 5-hydroxytryptamine (5-HT) release and on 5-HT3 receptors. Naunyn-Schmiedeberg’s Arch. Pharmacol. 2000, 361, 85–91. [Google Scholar] [CrossRef]
- UK Prospective Diabetes Study (UKPDS) Group. Intensive blood-glucose control with sulphonylureas or insulin compared with conventional treatment and risk of complications in patients with type 2 diabetes (UKPDS 33). Lancet 1998, 352, 837–853. [Google Scholar] [CrossRef]
- Bennett, W.L.; Maruthur, N.M.; Singh, S.; Segal, J.B.; Wilson, L.M.; Chatterjee, R.; Marinopoulos, S.S.; Puhan, M.A.; Ranasinghe, P.; Block, L.; et al. Comparative effectiveness and safety of medications for type 2 diabetes: An update including new drugs and 2-drug combinations. Ann. Intern. Med. 2011, 154, 602–613. [Google Scholar] [CrossRef]
- Fonseca, V. Effect of thiazolidinediones on body weight in patients with diabetes mellitus. Am. J. Med. 2003, 115 (Suppl. S1), 42S–48S. [Google Scholar] [CrossRef]
- Nesto, R.W.; Bell, D.; Bonow, R.O.; Fonseca, V.; Grundy, S.M.; Horton, E.S.; Le Winter, M.; Porte, D.; Semenkovich, C.F.; Smith, S.; et al. Thiazolidinedione use, fluid retention, and congestive heart failure: A consensus statement from the American Heart Association and American Diabetes Association. Diabetes Care 2004, 27, 256–263. [Google Scholar] [CrossRef]
- Mudaliar, S.; Chang, A.R.; Henry, R.R. Thiazolidinediones, peripheral edema, and type 2 diabetes: Incidence, pathophysiology, and clinical implications. Endocr. Pract. 2003, 9, 406–416. [Google Scholar]
- Karagiannis, T.; Boura, P.; Tsapas, A. Safety of dipeptidyl peptidase 4 inhibitors: A perspective review. Ther. Adv. Drug Saf. 2014, 5, 138–146. [Google Scholar] [CrossRef]
- Faillie, J.-L.; Azoulay, L.; Patenaude, V.; Hillaire-Buys, D.; Suissa, S. Incretin based drugs and risk of acute pancreatitis in patients with type 2 diabetes: Cohort study. BMJ Br. Med. J. 2014, 348, g2780. [Google Scholar] [CrossRef]
- Haas, B.; Eckstein, N.; Pfeifer, V.; Mayer, P.; Hass, M.D. Efficacy, safety and regulatory status of SGLT2 inhibitors: Focus on canagliflozin. Nutr. Diabetes 2014, 4, e143. [Google Scholar] [CrossRef] [PubMed]
- Hanefeld, M. The role of acarbose in the treatment of non-insulin-dependent diabetes mellitus. J. Diabetes Its Complicat. 1998, 12, 228–237. [Google Scholar] [CrossRef] [PubMed]
- Andrade, R.J.; Lucena, M.; Vega, J.L.; Torres, M. Acarbose-associated hepatotoxicity. Diabetes Care 1998, 21, 2029. [Google Scholar] [CrossRef]
- Taha, M.; Shah, S.A.A.; Imran, S.; Afifi, M.; Chigurupati, S.; Selvaraj, M.; Rahim, F.; Ullah, H.; Zaman, K.; Vijayabalan, S. Synthesis and in vitro study of benzofuran hydrazone derivatives as novel alpha-amylase inhibitor. Bioorg. Chem. 2017, 75, 78–85. [Google Scholar] [CrossRef] [PubMed]
- Hameed, S.; Kanwal; Seraj, F.; Rafique, R.; Chigurupati, S.; Wadood, A.; Rehman, A.U.; Venugopal, V.; Salar, U.; Taha, M.; et al. Synthesis of benzotriazoles derivatives and their dual potential as α-amylase and α-glucosidase inhibitors in vitro: Structure-activity relationship, molecular docking, and kinetic studies. Eur. J. Med. Chem. 2019, 183, 111677. [Google Scholar] [CrossRef] [PubMed]
- Imran, S.; Taha, M.; Selvaraj, M.; Ismail, N.H.; Chigurupati, S.; Mohammad, J.I. Synthesis and biological evaluation of indole derivatives as α-amylase inhibitor. Bioorg. Chem. 2017, 73, 121–127. [Google Scholar] [CrossRef]
- Kitts, D.D.; Weiler, K. Bioactive proteins and peptides from food sources. Applications of bioprocesses used in isolation and recovery. Curr. Pharm. Des. 2003, 9, 1309–1323. [Google Scholar] [CrossRef]
- Liu, X.-Y.; Zhang, N.; Chen, R.; Zhao, J.-G.; Yu, P. Efficacy and safety of sodium–glucose cotransporter 2 inhibitors in type 2 diabetes: A meta-analysis of randomized controlled trials for 1 to 2years. J. Diabetes Its Complicat. 2015, 29, 1295–1303. [Google Scholar] [CrossRef] [PubMed]
- Yao, Y.; Sang, W.; Zhou, M.; Ren, G. Antioxidant and alpha-glucosidase inhibitory activity of colored grains in China. J. Agric. Food Chem. 2010, 58, 770–774. [Google Scholar] [CrossRef] [PubMed]
- Kim, Y.M.; Jeong, Y.K.; Wang, M.H.; Lee, W.Y.; Rhee, H.I. Inhibitory effect of pine extract on alpha-glucosidase activity and postprandial hyperglycemia. Nutrition 2005, 21, 756–761. [Google Scholar] [CrossRef]
- Sagan, S.; Karoyan, P.; Lequin, O.; Chassaing, G.; Lavielle, S. N- and Calpha-methylation in biologically active peptides: Synthesis, structural and functional aspects. Curr. Med. Chem. 2004, 11, 2799–2822. [Google Scholar] [CrossRef]
- Ciarkowski, J.; Zieleniak, A.; Rodziewicz-Motowidło, S.; Rusak, Ł.; Chung, N.N.; Czaplewski, C.; Witkowska, E.; Schiller, P.W.; Izdebski, J. Deltorphin analogs restricted via a urea bridge: Structure and opioid activity. Adv. Exp. Med. Biol. 2009, 611, 491–492. [Google Scholar]
- Hruby, V.J. Houben−Weyl Methods of Organic Chemistry. Volume E22A. Synthesis of Peptides and Peptidomimetics Edited by Murray Goodman, Arthur Felix, Luis Moroder, and Claudio Toniolo. Georg Thieme Verlag, Stuttgart, Germany. 2001. xxvii+ 901 pp. 18× 26 cm. ISBN 3 132 19604 5. 1840 euro. J. Med. Chem. 2002, 45, 5187. [Google Scholar]
- Lee, T.-H.; Checco, J.W.; Malcolm, T.; Eller, C.H.; Raines, R.T.; Gellman, S.H.; Lee, E.F.; Fairlie, W.D.; Aguilar, M.-I. Differential membrane binding of α/β-peptide foldamers: Implications for cellular delivery and mitochondrial targeting. Aust. J. Chem. 2023, 76, 482–492. [Google Scholar] [CrossRef] [PubMed]
- Lim, D.; Lee, W.; Hong, J.; Gong, J.; Choi, J.; Kim, J.; Lim, S.; Yoo, S.H.; Lee, Y.; Lee, H.-S. Versatile Post-synthetic Modifications of Helical β-Peptide Foldamers Derived from a Thioether-Containing Cyclic β-Amino Acid. Angew. Chem. Int. Ed. 2023, 62, e202305196. [Google Scholar] [CrossRef]
- Xiao, X.; Zhou, M.; Cong, Z.; Zou, J.; Liu, R. Advance in the Polymerization Strategy for the Synthesis of β-Peptides and β-Peptoids. ChemBioChem 2023, 24, e202200368. [Google Scholar] [CrossRef] [PubMed]
- Li, W.; Xiao, X.; Qi, Y.; Lin, X.; Hu, H.; Shi, M.; Zhou, M.; Jiang, W.; Liu, L.; Chen, K.; et al. Host-Defense-Peptide-Mimicking β-Peptide Polymer Acting as a Dual-Modal Antibacterial Agent by Interfering Quorum Sensing and Killing Individual Bacteria Simultaneously. Research 2023, 6, 0051. [Google Scholar] [CrossRef]
- Wang, J.; Wu, T.; Fang, L.; Liu, C.; Liu, X.; Li, H.; Shi, J.; Li, M.; Min, W. Anti-diabetic effect by walnut (Juglans mandshurica Maxim.)-derived peptide LPLLR through inhibiting α-glucosidase and α-amylase, and alleviating insulin resistance of hepatic HepG2 cells. J. Funct. Foods 2020, 69, 103944. [Google Scholar] [CrossRef]
- Admassu, H.; Gasmalla, M.A.; Yang, R.; Zhao, W. Identification of bioactive peptides with α-amylase inhibitory potential from enzymatic protein hydrolysates of red seaweed (Porphyra spp). J. Agric. Food Chem. 2018, 66, 4872–4882. [Google Scholar] [CrossRef]
- Deming, T.J. The Practice of Peptide Synthesis; Bodansky, M., Bodansky, A., Eds.; Springer: New York, NY, USA, 1995; pp. XVIII, 217. [Google Scholar]
- Bose, D.S.; Lakshminarayana, V. Lewis acid-mediated selective removal of N-tert-butoxycarbonyl protective group (t-Boc). Synthesis 1999, 1999, 66–68. [Google Scholar] [CrossRef]
- Chankeshwara, S.V.; Chakraborti, A.K. Catalyst-free chemoselective N-tert-butyloxycarbonylation of amines in water. Org. Lett. 2006, 8, 3259–3262. [Google Scholar] [CrossRef]
- Bodanszky, M.; Bodanszky, A. The Practice of Peptide Synthesis; Springer: Berlin/Heidelberg, Germany, 1984. [Google Scholar]
- Meier, H.; Zeller, K.P. The Wolff rearrangement of α-diazo carbonyl compounds. Angew. Chem. Int. Ed. Engl. 1975, 14, 32–43. [Google Scholar] [CrossRef]
- Algethami, F.K.; Saidi, I.; Abdelhamid, H.N.; Elamin, M.R.; Abdulkhair, B.Y.; Chrouda, A.; Ben Jannet, H. Trifluoromethylated Flavonoid-Based Isoxazoles as Antidiabetic and Anti-Obesity Agents: Synthesis, In Vitro α-Amylase Inhibitory Activity, Molecular Docking and Structure–Activity Relationship Analysis. Molecules 2021, 26, 5214. [Google Scholar] [CrossRef] [PubMed]
- Kaur, N.; Kumar, V.; Nayak, S.K.; Wadhwa, P.; Kaur, P.; Sahu, S.K. Alpha-amylase as molecular target for treatment of diabetes mellitus: A comprehensive review. Chem. Biol. Drug Des. 2021, 98, 539–560. [Google Scholar] [CrossRef]
- Mhatre, S.V.; Bhagit, A.A.; Yadav, R.P. Pancreatic lipase inhibitor from food plant: Potential molecule for development of safe anti-obesity drug. MGM J. Med. Sci. 2016, 3, 34–41. [Google Scholar]
- Unuofin, J.O.; Otunola, G.A.; Afolayan, A.J. Inhibition of key enzymes linked to obesity and cytotoxic activities of whole plant extracts of Vernonia mesplilfolia Less. Processes 2019, 7, 841. [Google Scholar] [CrossRef]
- Yu, Z.; Yin, Y.; Zhao, W.; Liu, J.; Chen, F. Anti-diabetic activity peptides from albumin against α-glucosidase and α-amylase. Food Chem. 2012, 135, 2078–2085. [Google Scholar] [CrossRef] [PubMed]
- Ramadhan, A.H.; Nawas, T.; Zhang, X.; Pembe, W.M.; Xia, W.; Xu, Y. Purification and identification of a novel antidiabetic peptide from Chinese giant salamander (Andrias davidianus) protein hydrolysate against α-amylase and α-glucosidase. Int. J. Food Prop. 2017, 20, S3360–S3372. [Google Scholar] [CrossRef]
- Siow, H.-L.; Gan, C.-Y. Extraction, identification, and structure–activity relationship of antioxidative and α-amylase inhibitory peptides from cumin seeds (Cuminum cyminum). J. Funct. Foods 2016, 22, 1–12. [Google Scholar] [CrossRef]
- Ibrahim, M.A.; Bester, M.J.; Neitz, A.W.; Gaspar, A.R. Rational in silico design of novel α-glucosidase inhibitory peptides and in vitro evaluation of promising candidates. Biomed. Pharmacother. 2018, 107, 234–242. [Google Scholar] [CrossRef]
- Mollica, A.; Zengin, G.; Durdagi, S.; Ekhteiari Salmas, R.; Macedonio, G.; Stefanucci, A.; Dimmito, M.P.; Novellino, E. Combinatorial peptide library screening for discovery of diverse α-glucosidase inhibitors using molecular dynamics simulations and binary QSAR models. J. Biomol. Struct. Dyn. 2019, 37, 726–740. [Google Scholar] [CrossRef]
- Mollica, A.; Pinnen, F.; Costante, R.; Locatelli, M.; Stefanucci, A.; Pieretti, S.; Davis, P.; Lai, J.; Rankin, D.; Porreca, F.; et al. Biological active analogues of the opioid peptide biphalin: Mixed α/β(3)-peptides. J. Med. Chem. 2013, 56, 3419–3423. [Google Scholar] [CrossRef]
- Frackenpohl, J.; Arvidsson, P.I.; Schreiber, J.V.; Seebach, D. The outstanding biological stability of beta- and gamma-peptides toward proteolytic enzymes: An in vitro investigation with fifteen peptidases. Chembiochem 2001, 2, 445–455. [Google Scholar] [CrossRef] [PubMed]
- Schreiber, J.V.; Frackenpohl, J.; Moser, F.; Fleischmann, T.; Kohler, H.P.; Seebach, D. On the biodegradation of beta-peptides. Chembiochem 2002, 3, 424–432. [Google Scholar] [CrossRef]
- Sugano, H.; Miyoshi, M. A convenient synthesis of N-tert-butyloxycarbonyl-O-benzyl-L-serine. J. Org. Chem. 1976, 41, 2352–2353. [Google Scholar] [CrossRef] [PubMed]
- Akabori, S.; Sakakibara, S.; Shimonishi, Y.; Nobuhara, Y. A new method for the protection of the sulfhydryl group during peptide synthesis. Bull. Chem. Soc. Jpn. 1964, 37, 433–434. [Google Scholar] [CrossRef]
- Carter, J.D.; LaBean, T.H. Coupling strategies for the synthesis of peptide-oligonucleotide conjugates for patterned synthetic biomineralization. J. Nucleic Acids 2011, 2011, 926595. [Google Scholar] [CrossRef]
- Bibi, G.; Haq, I.; Ullah, N.; Mannan, A.; Mirza, B. Antitumor, cytotoxic and antioxidant potential of Aster thomsonii extracts. Afr. J. Pharm. Pharmacol. 2011, 5, 252–258. [Google Scholar]










| Samples | % Inhibition |
|---|---|
| N-(Boc)-O-(Bz)-α-Ser-β-Leu–OCH3 (16) | 45.22 |
| N(Boc)-O-(Bz)-α-Tyr-α-Gly-β-Leu–OCH3 (17) | 17.05 |
| N-(Boc)-Gly-β-Leu–OCH3 (14) | 18.51 |
Disclaimer/Publisher’s Note: The statements, opinions and data contained in all publications are solely those of the individual author(s) and contributor(s) and not of MDPI and/or the editor(s). MDPI and/or the editor(s) disclaim responsibility for any injury to people or property resulting from any ideas, methods, instructions or products referred to in the content. |
© 2024 by the authors. Licensee MDPI, Basel, Switzerland. This article is an open access article distributed under the terms and conditions of the Creative Commons Attribution (CC BY) license (https://creativecommons.org/licenses/by/4.0/).
Share and Cite
Ahmed, N.; Razzaq, F.; Arfan, M.; Gatasheh, M.K.; Nasir, H.; Ali, J.S.; Hafeez, H. A Convenient Synthesis of Short α-/β-Mixed Peptides as Potential α-Amylase Inhibitors. Molecules 2024, 29, 4028. https://doi.org/10.3390/molecules29174028
Ahmed N, Razzaq F, Arfan M, Gatasheh MK, Nasir H, Ali JS, Hafeez H. A Convenient Synthesis of Short α-/β-Mixed Peptides as Potential α-Amylase Inhibitors. Molecules. 2024; 29(17):4028. https://doi.org/10.3390/molecules29174028
Chicago/Turabian StyleAhmed, Naeem, Fakhira Razzaq, Muhammad Arfan, Mansour K. Gatasheh, Hammad Nasir, Joham Sarfraz Ali, and Hamna Hafeez. 2024. "A Convenient Synthesis of Short α-/β-Mixed Peptides as Potential α-Amylase Inhibitors" Molecules 29, no. 17: 4028. https://doi.org/10.3390/molecules29174028
APA StyleAhmed, N., Razzaq, F., Arfan, M., Gatasheh, M. K., Nasir, H., Ali, J. S., & Hafeez, H. (2024). A Convenient Synthesis of Short α-/β-Mixed Peptides as Potential α-Amylase Inhibitors. Molecules, 29(17), 4028. https://doi.org/10.3390/molecules29174028

