Preparation and Preclinical Evaluation of 18F-Labeled Olutasidenib Derivatives for Non-Invasive Detection of Mutated Isocitrate Dehydrogenase 1 (mIDH1)
Abstract
1. Introduction
2. Results and Discussion
2.1. Chemistry and Radiochemistry
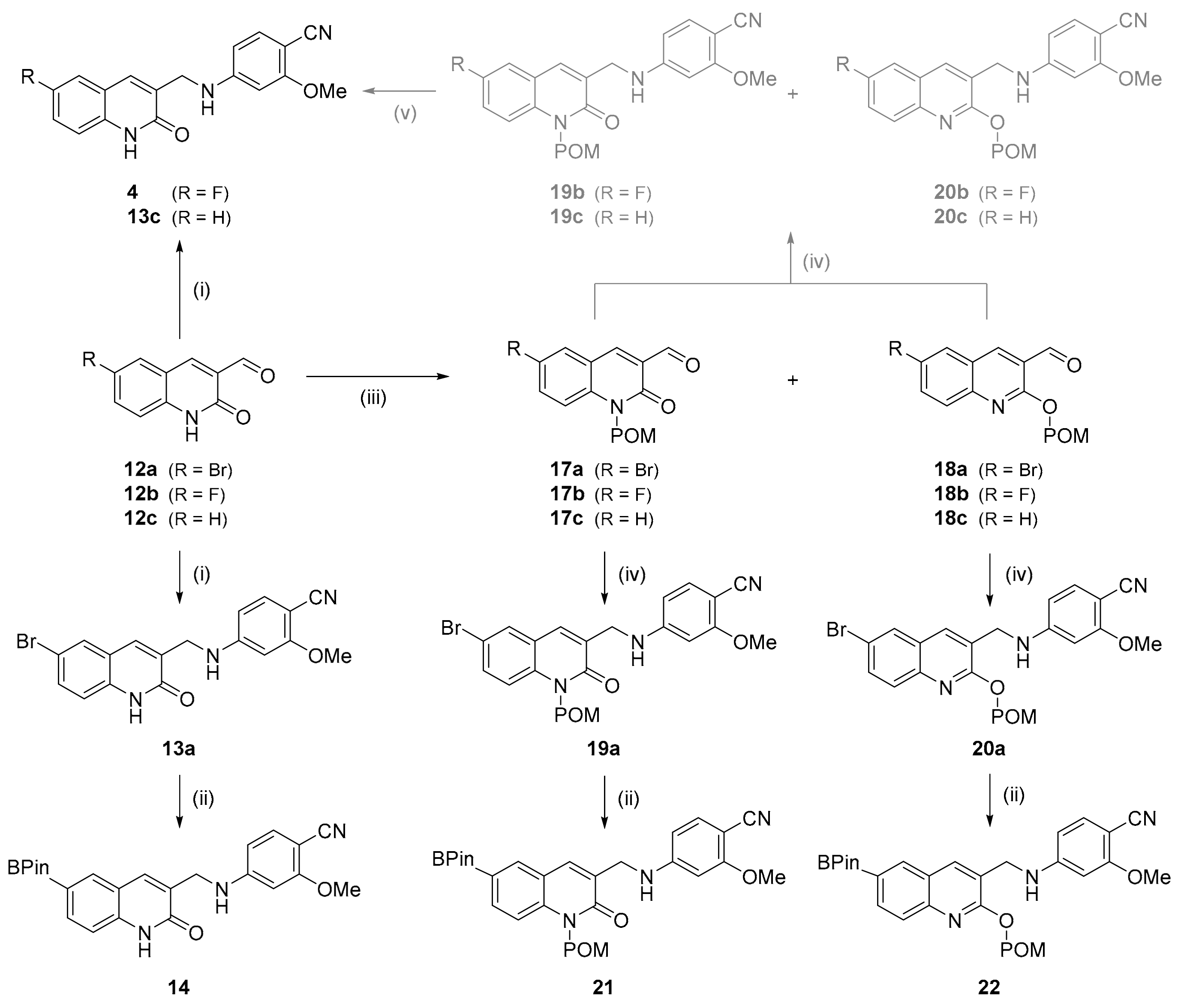
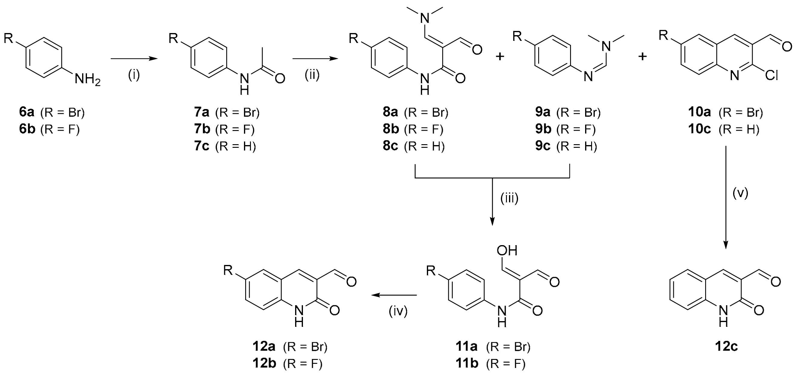
2.1.1. Synthesis of Reference Compound (4) and Radiolabeling Precursors (11, 18, 19) for the Preparation of [18F]mIDH-138 ([18F]4)
2.1.2. Radiosynthesis of [18F]mIDH-138 ([18F]4)
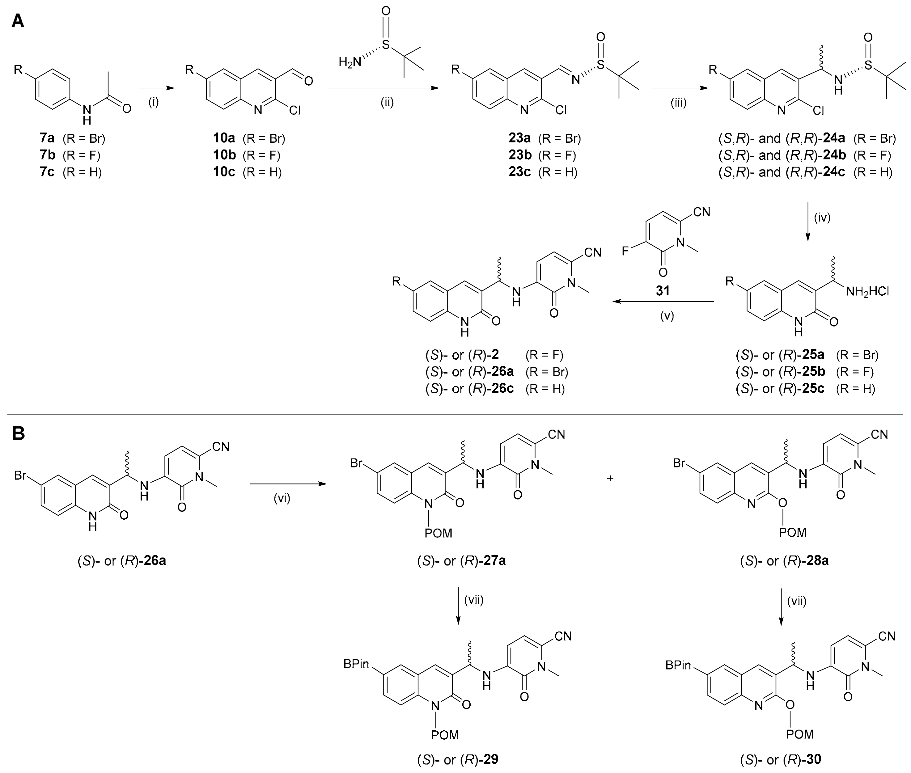
2.1.3. Synthesis of Reference Compounds [(S)- and (R)-2] and Radiolabeling Precursors [(S)- and (R)-29, (S)- and (R)-30] for (S)- and (R)-[18F]mIDH-23 [(S)- and (R)-[18F]2]
2.1.4. Radiosynthesis of (S)- and (R)-[18F]mIDH-23 [(S)- and (R)-[18F]2]
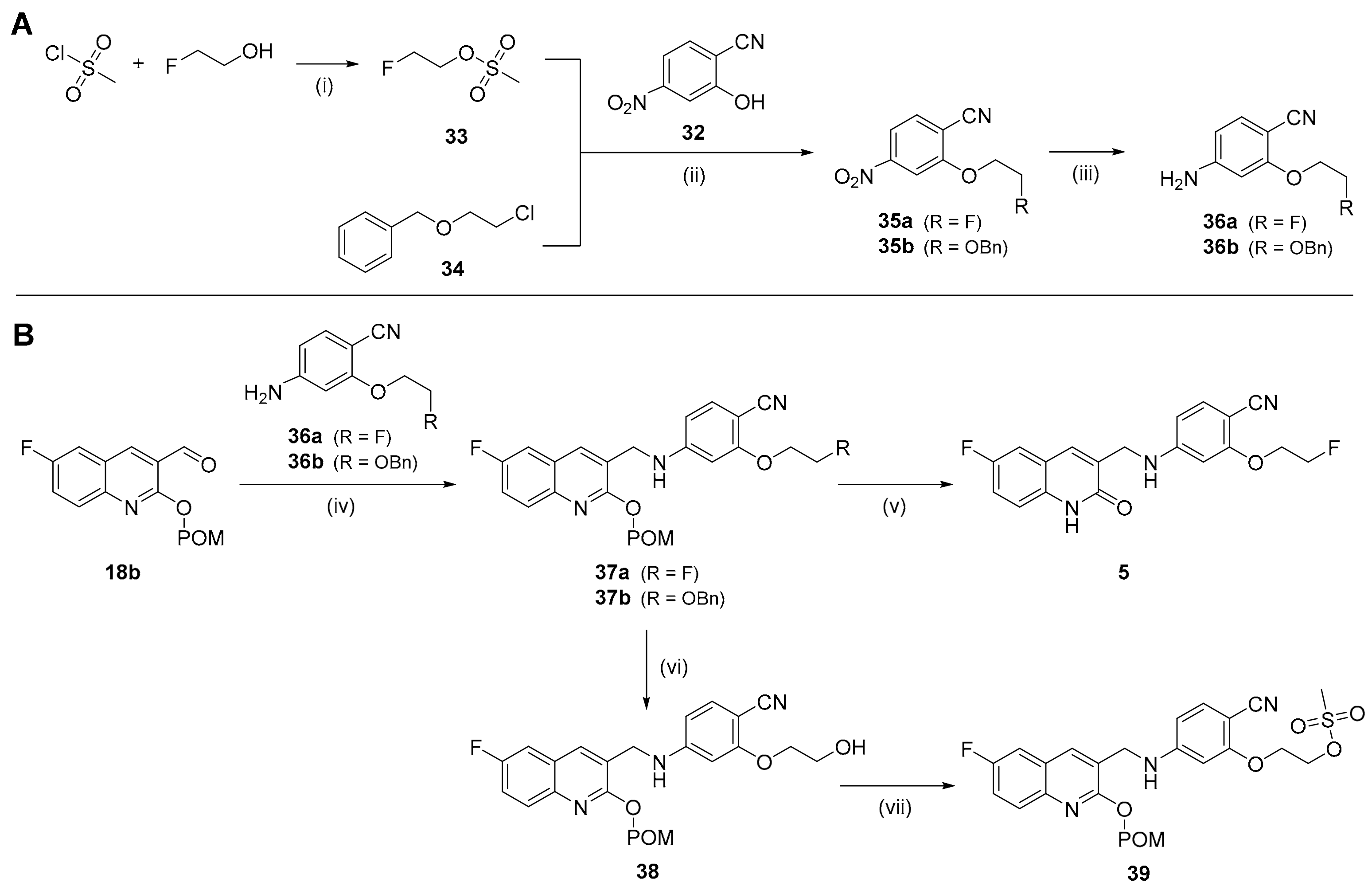
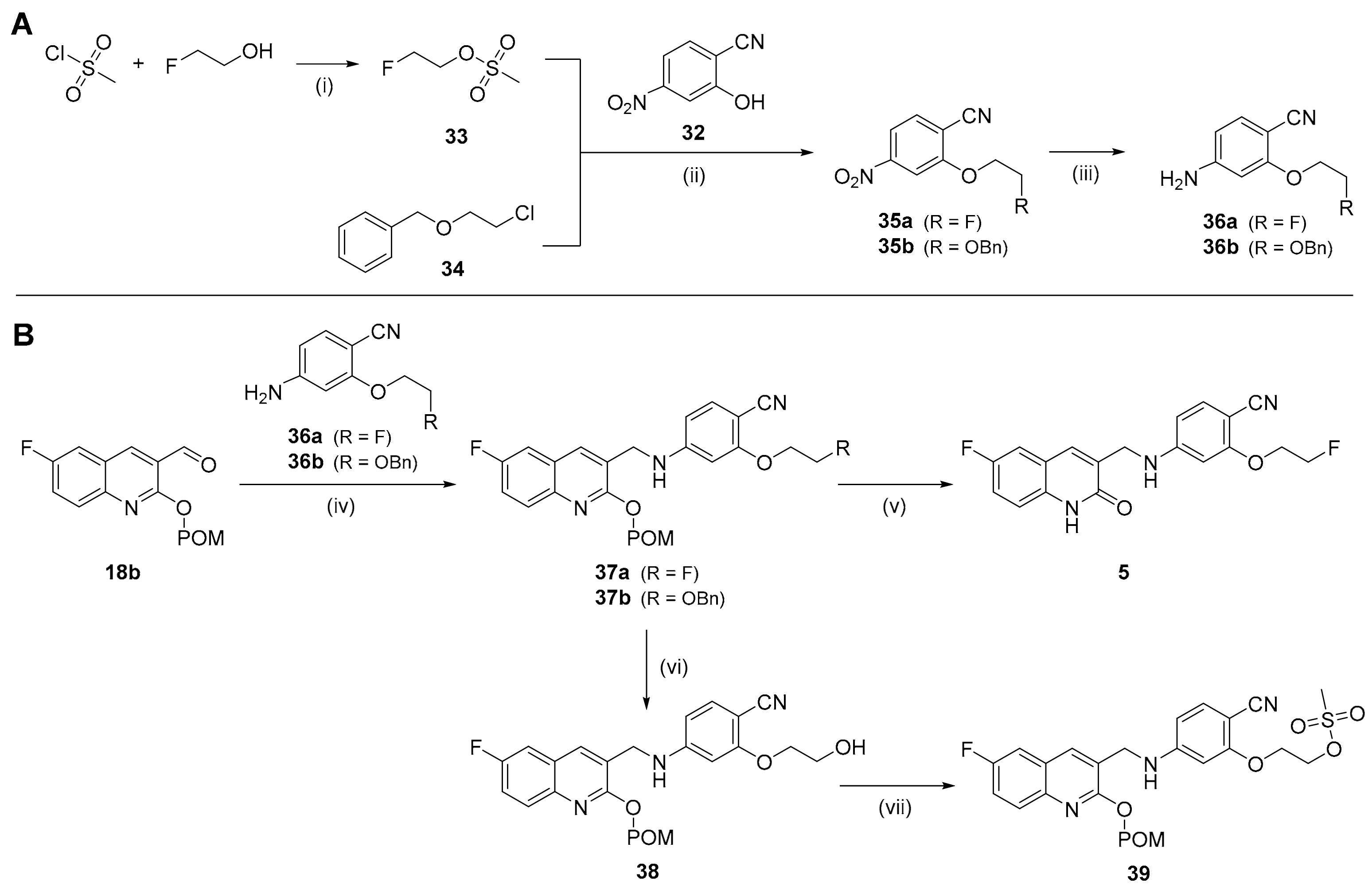
2.1.5. Synthesis of Reference Compound (5) and Radiolabeling Precursor (39) for [18F]FE-mIDH-138 ([18F]5)
2.1.6. Radiosynthesis of [18F]FE-mIDH-138 ([18F]5)
2.2. In Vitro Evaluation
2.2.1. Lipophilicity
2.2.2. In Vitro Stability
2.2.3. Inhibitory Potency
2.2.4. Cellular Uptake and Localization
2.3. In Vivo Evaluation of [18F]mIDH-138 ([18F]4)
2.3.1. Biodistribution Studies in Healthy C57BL/6 Mice
2.3.2. Biodistribution Studies in CB17-SCID Mice with Subcutaneous U87-WT and U87-mIDH Tumors
3. Materials and Methods
3.1. Chemistry and Radiochemistry
3.2. Cell Culture and In Vitro Studies
3.2.1. Cell Culture and Reagents
3.2.2. 2-Hydroxyglutarate (2-HG) Assays
3.2.3. Determination of Lipophilicity
3.2.4. Determination of Stability in DMSO
3.2.5. Determination of Stability in PBS
3.2.6. Determination of Stability in Rat Serum
3.2.7. Determination of Inhibitory Potency
3.2.8. Cellular Uptake Studies
3.3. In Vivo Studies
3.3.1. Animals
3.3.2. Subcutaneous Tumor Model
3.3.3. PET Measurements
3.3.4. Kinetic Modelling
4. Conclusions
Supplementary Materials
Author Contributions
Funding
Institutional Review Board Statement
Informed Consent Statement
Data Availability Statement
Conflicts of Interest
References
- Reitman, Z.J.; Yan, H. Isocitrate Dehydrogenase 1 and 2 Mutations in Cancer: Alterations at a Crossroads of Cellular Metabolism. JNCI J. Natl. Cancer Inst. 2010, 102, 932–941. [Google Scholar] [CrossRef] [PubMed]
- Horbinski, C. What Do We Know about IDH1/2 Mutations so Far, and How Do We Use It? Acta Neuropathol. 2013, 125, 621–636. [Google Scholar] [CrossRef]
- Han, S.; Liu, Y.; Cai, S.J.; Qian, M.; Ding, J.; Larion, M.; Gilbert, M.R.; Yang, C. IDH Mutation in Glioma: Molecular Mechanisms and Potential Therapeutic Targets. Br. J. Cancer 2020, 122, 1580–1589. [Google Scholar] [CrossRef] [PubMed]
- Dang, L.; White, D.W.; Gross, S.; Bennett, B.D.; Bittinger, M.A.; Driggers, E.M.; Fantin, V.R.; Jang, H.G.; Jin, S.; Keenan, M.C.; et al. Cancer-Associated IDH1 Mutations Produce 2-Hydroxyglutarate. Nature 2009, 462, 739–744. [Google Scholar] [CrossRef] [PubMed]
- Yan, H.; Parsons, D.W.; Jin, G.; McLendon, R.; Rasheed, B.A.; Yuan, W.; Kos, I.; Batinic-Haberle, I.; Jones, S.; Riggins, G.J.; et al. IDH1 and IDH2 Mutations in Gliomas. N. Engl. J. Med. 2009, 360, 765–773. [Google Scholar] [CrossRef]
- Xu, W.; Yang, H.; Liu, Y.; Yang, Y.; Wang, P.; Kim, S.-H.; Ito, S.; Yang, C.; Wang, P.; Xiao, M.-T.; et al. Oncometabolite 2-Hydroxyglutarate Is a Competitive Inhibitor of α-Ketoglutarate-Dependent Dioxygenases. Cancer Cell 2011, 19, 17–30. [Google Scholar] [CrossRef]
- Johannessen, T.-C.A.; Mukherjee, J.; Viswanath, P.; Ohba, S.; Ronen, S.M.; Bjerkvig, R.; Pieper, R.O. Rapid Conversion of Mutant IDH1 from Driver to Passenger in a Model of Human Gliomagenesis. Mol. Cancer Res. 2016, 14, 976–983. [Google Scholar] [CrossRef]
- Kayabolen, A.; Yilmaz, E.; Bagci-Onder, T. IDH Mutations in Glioma: Double-Edged Sword in Clinical Applications? Biomedicines 2021, 9, 799. [Google Scholar] [CrossRef]
- Golub, D.; Iyengar, N.; Dogra, S.; Wong, T.; Bready, D.; Tang, K.; Modrek, A.S.; Placantonakis, D.G. Mutant Isocitrate Dehydrogenase Inhibitors as Targeted Cancer Therapeutics. Front. Oncol. 2019, 9, 417. [Google Scholar] [CrossRef]
- Tian, W.; Zhang, W.; Wang, Y.; Jin, R.; Wang, Y.; Guo, H.; Tang, Y.; Yao, X. Recent Advances of IDH1 Mutant Inhibitor in Cancer Therapy. Front. Pharmacol. 2022, 13, 982424. [Google Scholar] [CrossRef]
- Parsons, D.W.; Jones, S.; Zhang, X.; Lin, J.C.-H.; Leary, R.J.; Angenendt, P.; Mankoo, P.; Carter, H.; Siu, I.-M.; Gallia, G.L.; et al. An Integrated Genomic Analysis of Human Glioblastoma Multiforme. Science 2008, 321, 1807–1812. [Google Scholar] [CrossRef]
- The Cancer Genome Atlas Research Network. The Cancer Genome Atlas Research Network Comprehensive, Integrative Genomic Analysis of Diffuse Lower-Grade Gliomas. N. Engl. J. Med. 2015, 372, 2481–2498. [Google Scholar] [CrossRef]
- Sanson, M.; Marie, Y.; Paris, S.; Idbaih, A.; Laffaire, J.; Ducray, F.; El Hallani, S.; Boisselier, B.; Mokhtari, K.; Hoang-Xuan, K.; et al. Isocitrate Dehydrogenase 1 Codon 132 Mutation Is an Important Prognostic Biomarker in Gliomas. J. Clin. Oncol. 2009, 27, 4150–4154. [Google Scholar] [CrossRef]
- Louis, D.N.; Perry, A.; Reifenberger, G.; von Deimling, A.; Figarella-Branger, D.; Cavenee, W.K.; Ohgaki, H.; Wiestler, O.D.; Kleihues, P.; Ellison, D.W. The 2016 World Health Organization Classification of Tumors of the Central Nervous System: A Summary. Acta Neuropathol. 2016, 131, 803–820. [Google Scholar] [CrossRef]
- Osborn, A.G.; Louis, D.N.; Poussaint, T.Y.; Linscott, L.L.; Salzman, K.L. The 2021 World Health Organization Classification of Tumors of the Central Nervous System: What Neuroradiologists Need to Know. Am. J. Neuroradiol. 2022, 43, 928–937. [Google Scholar] [CrossRef] [PubMed]
- Berger, T.R.; Wen, P.Y.; Lang-Orsini, M.; Chukwueke, U.N. World Health Organization 2021 Classification of Central Nervous System Tumors and Implications for Therapy for Adult-Type Gliomas: A Review. JAMA Oncol. 2022, 8, 1493–1501. [Google Scholar] [CrossRef]
- Whitfield, B.T.; Huse, J.T. Classification of Adult-type Diffuse Gliomas: Impact of the World Health Organization 2021 Update. Brain Pathol. 2022, 32, e13062. [Google Scholar] [CrossRef]
- Lohmann, P.; Lerche, C.; Bauer, E.K.; Steger, J.; Stoffels, G.; Blau, T.; Dunkl, V.; Kocher, M.; Viswanathan, S.; Filss, C.P.; et al. Predicting IDH Genotype in Gliomas Using FET PET Radiomics. Sci. Rep. 2018, 8, 13328. [Google Scholar] [CrossRef]
- Unterrainer, M.; Winkelmann, I.; Suchorska, B.; Giese, A.; Wenter, V.; Kreth, F.W.; Herms, J.; Bartenstein, P.; Tonn, J.C.; Albert, N.L. Biological Tumour Volumes of Gliomas in Early and Standard 20–40 Min 18F-FET PET Images Differ According to IDH Mutation Status. Eur. J. Nucl. Med. Mol. Imaging 2018, 45, 1242–1249. [Google Scholar] [CrossRef] [PubMed]
- Verger, A.; Stoffels, G.; Bauer, E.K.; Lohmann, P.; Blau, T.; Fink, G.R.; Neumaier, B.; Shah, N.J.; Langen, K.-J.; Galldiks, N. Static and Dynamic 18F–FET PET for the Characterization of Gliomas Defined by IDH and 1p/19q Status. Eur. J. Nucl. Med. Mol. Imaging 2018, 45, 443–451. [Google Scholar] [CrossRef] [PubMed]
- Vettermann, F.; Suchorska, B.; Unterrainer, M.; Nelwan, D.; Forbrig, R.; Ruf, V.; Wenter, V.; Kreth, F.-W.; Herms, J.; Bartenstein, P.; et al. Non-Invasive Prediction of IDH-Wildtype Genotype in Gliomas Using Dynamic 18F-FET PET. Eur. J. Nucl. Med. Mol. Imaging 2019, 46, 2581–2589. [Google Scholar] [CrossRef]
- Clément, A.; Zaragori, T.; Filosa, R.; Ovdiichuk, O.; Beaumont, M.; Collet, C.; Roeder, E.; Martin, B.; Maskali, F.; Barberi-Heyob, M.; et al. Multi-Tracer and Multiparametric PET Imaging to Detect the IDH Mutation in Glioma: A Preclinical Translational in Vitro, in Vivo, and Ex Vivo Study. Cancer Imaging 2022, 22, 16. [Google Scholar] [CrossRef] [PubMed]
- Neumaier, F.; Zlatopolskiy, B.D.; Neumaier, B. Mutated Isocitrate Dehydrogenase (MIDH) as Target for PET Imaging in Gliomas. Molecules 2023, 28, 2890. [Google Scholar] [CrossRef]
- Chitneni, S.K.; Reitman, Z.J.; Gooden, D.M.; Yan, H.; Zalutsky, M.R. Radiolabeled Inhibitors as Probes for Imaging Mutant IDH1 Expression in Gliomas: Synthesis and Preliminary Evaluation of Labeled Butyl-Phenyl Sulfonamide Analogs. Eur. J. Med. Chem. 2016, 119, 218–230. [Google Scholar] [CrossRef]
- Chitneni, S.K.; Reitman, Z.J.; Spicehandler, R.; Gooden, D.M.; Yan, H.; Zalutsky, M.R. Synthesis and Evaluation of Radiolabeled AGI-5198 Analogues as Candidate Radiotracers for Imaging Mutant IDH1 Expression in Tumors. Bioorg. Med. Chem. Lett. 2018, 28, 694–699. [Google Scholar] [CrossRef] [PubMed]
- Wang, T.; Lin, Q.; Zhang, Y.; Xu, Z.; Shi, D.; Cheng, Y.; Fu, Z.; Tan, H.; Cheng, D.; Shi, H. Synthesis and Biological Evaluation of Novel PET Tracers [18F]AG120 & [18F]AG135 for Imaging Mutant Isocitrate Dehydrogenase 1 Expression. Bioorg. Med. Chem. 2022, 53, 116525. [Google Scholar] [CrossRef]
- Lai, T.H.; Wenzel, B.; Dukić-Stefanović, S.; Teodoro, R.; Arnaud, L.; Maisonial-Besset, A.; Weber, V.; Moldovan, R.-P.; Meister, S.; Pietzsch, J.; et al. Radiosynthesis and Biological Evaluation of [18F]AG-120 for PET Imaging of the Mutant Isocitrate Dehydrogenase 1 in Glioma. Eur. J. Nucl. Med. Mol. Imaging 2023, 51, 1085–1096. [Google Scholar] [CrossRef] [PubMed]
- Chitneni, S.K.; Yan, H.; Zalutsky, M.R. Synthesis and Evaluation of a 18F-Labeled Triazinediamine Analogue for Imaging Mutant IDH1 Expression in Gliomas by PET. ACS Med. Chem. Lett. 2018, 9, 606–611. [Google Scholar] [CrossRef]
- Lin, J.; Lu, W.; Caravella, J.A.; Campbell, A.M.; Diebold, R.B.; Ericsson, A.; Fritzen, E.; Gustafson, G.R.; Lancia, D.R.; Shelekhin, T.; et al. Discovery and Optimization of Quinolinone Derivatives as Potent, Selective, and Orally Bioavailable Mutant Isocitrate Dehydrogenase 1 (mIDH1) Inhibitors. J. Med. Chem. 2019, 62, 6575–6596. [Google Scholar] [CrossRef]
- Caravella, J.A.; Lin, J.; Diebold, R.B.; Campbell, A.-M.; Ericsson, A.; Gustafson, G.; Wang, Z.; Castro, J.; Clarke, A.; Gotur, D.; et al. Structure-Based Design and Identification of FT-2102 (Olutasidenib), a Potent Mutant-Selective IDH1 Inhibitor. J. Med. Chem. 2020, 63, 1612–1623. [Google Scholar] [CrossRef]
- Weber, V.; Arnaud, L.; Dukic-Stefanovic, S.; Wenzel, B.; Roux, V.; Chezal, J.-M.; Lai, T.-H.; Teodoro, R.; Kopka, K.; Miot-Noirault, E.; et al. Novel Radioiodinated and Radiofluorinated Analogues of FT-2102 for SPECT or PET Imaging of mIDH1 Mutant Tumours. Molecules 2022, 27, 3766. [Google Scholar] [CrossRef] [PubMed]
- Meth-Cohn, O.; Narine, B.; Tarnowski, B. A Versatile New Synthesis of Quinolines and Related Fused Pyridines, Part 5. The Synthesis of 2-Chloroquinoline-3-Carbaldehydes. J. Chem. Soc. Perkin Trans. 1 1981, 1520–1530. [Google Scholar] [CrossRef]
- Vilsmeier, A.; Haack, A. Über die Einwirkung von Halogenphosphor auf Alkyl-formanilide. Eine neue Methode zur Darstellung Sekundärer und Tertiärer p-Alkylamino-benzaldehyde. Berichte Dtsch. Chem. Ges. 1927, 60, 119–122. [Google Scholar] [CrossRef]
- Abdel-Magid, A.F.; Mehrman, S.J. A Review on the Use of Sodium Triacetoxyborohydride in the Reductive Amination of Ketones and Aldehydes. Org. Process Res. Dev. 2006, 10, 971–1031. [Google Scholar] [CrossRef]
- Ishiyama, T.; Murata, M.; Miyaura, N. Palladium(0)-Catalyzed Cross-Coupling Reaction of Alkoxydiboron with Haloarenes: A Direct Procedure for Arylboronic Esters. J. Org. Chem. 1995, 60, 7508–7510. [Google Scholar] [CrossRef]
- Abonia, R.; Gutiérrez, L.F.; Insuasty, B.; Quiroga, J.; Laali, K.K.; Zhao, C.; Borosky, G.L.; Horwitz, S.M.; Bunge, S.D. Catalyst-Free Assembly of Giant Tris(Heteroaryl)Methanes: Synthesis of Novel Pharmacophoric Triads and Model Sterically Crowded Tris(Heteroaryl/Aryl)Methyl Cation Salts. Beilstein J. Org. Chem. 2019, 15, 642–654. [Google Scholar] [CrossRef] [PubMed]
- Pletz, J.; Berg, B.; Breinbauer, R. A General and Direct Reductive Amination of Aldehydes and Ketones with Electron-Deficient Anilines. Synthesis 2016, 48, 1301–1317. [Google Scholar] [CrossRef][Green Version]
- Hoffmann, C.; Kolks, N.; Smets, D.; Haseloer, A.; Gröner, B.; Urusova, E.A.; Endepols, H.; Neumaier, F.; Ruschewitz, U.; Klein, A.; et al. Next Generation Copper Mediators for the Efficient Production of 18F-Labeled Aromatics. Chem. A Eur. J. 2023, 29, e202202965. [Google Scholar] [CrossRef]
- Taylor, N.J.; Emer, E.; Preshlock, S.; Schedler, M.; Tredwell, M.; Verhoog, S.; Mercier, J.; Genicot, C.; Gouverneur, V. Derisking the Cu-Mediated 18F-Fluorination of Heterocyclic Positron Emission Tomography Radioligands. J. Am. Chem. Soc. 2017, 139, 8267–8276. [Google Scholar] [CrossRef] [PubMed]
- Su, W.; Weng, Y.; Jiang, L.; Yang, Y.; Zhao, L.; Chen, Z.; Li, Z.; Li, J. Recent Progress in the Use of Vilsmeier-Type Reagents. Org. Prep. Proced. Int. 2010, 42, 503–555. [Google Scholar] [CrossRef]
- Davis, F.A.; Reddy, R.E.; Szewczyk, J.M.; Reddy, G.V.; Portonovo, P.S.; Zhang, H.; Fanelli, D.; Reddy, R.T.; Zhou, P.; Carroll, P.J. Asymmetric Synthesis and Properties of Sulfinimines (Thiooxime S-Oxides). J. Org. Chem. 1997, 62, 2555–2563. [Google Scholar] [CrossRef] [PubMed]
- Liu, G.; Cogan, D.A.; Ellman, J.A. Catalytic Asymmetric Synthesis of tert-Butanesulfinamide. Application to the Asymmetric Synthesis of Amines. J. Am. Chem. Soc. 1997, 119, 9913–9914. [Google Scholar] [CrossRef]
- Davis, F.A.; Chen, B.-C. Asymmetric Synthesis of Amino Acids Using Sulfinimines (Thiooxime S-Oxides). Chem. Soc. Rev. 1998, 27, 13–18. [Google Scholar] [CrossRef]
- Pearson, A.J.; Roush, W.R. Handbook of Reagents for Organic Synthesis Vol. 4: Activating Agents and Protecting Groups; John Wiley & Sons: Hoboken, NJ, USA; ISBN 978-0-471-97927-2.
- Saikia, B. Zinc Ammonium Chloride. Synlett 2011, 2011, 2597–2598. [Google Scholar] [CrossRef][Green Version]
- Cristau, H.-J.; Hervé, A.; Loiseau, F.; Virieux, D. Synthesis of New Arylhydroxymethylphosphinic Acids and Derivatives. Synthesis 2003, 35, 2216–2220. [Google Scholar] [CrossRef]
- Dong, J.; Wang, N.-N.; Yao, Z.-J.; Zhang, L.; Cheng, Y.; Ouyang, D.; Lu, A.-P.; Cao, D.-S. ADMETlab: A Platform for Systematic ADMET Evaluation Based on a Comprehensively Collected ADMET Database. J. Cheminformatics 2018, 10, 29. [Google Scholar] [CrossRef] [PubMed]
- Liu, S.; Abboud, M.; Mikhailov, V.; Liu, X.; Reinbold, R.; Schofield, C.J. Differentiating Inhibition Selectivity and Binding Affinity of Isocitrate Dehydrogenase 1 Variant Inhibitors. J. Med. Chem. 2023, 66, 5279–5288. [Google Scholar] [CrossRef] [PubMed]
- Borger, D.R.; Tanabe, K.K.; Fan, K.C.; Lopez, H.U.; Fantin, V.R.; Straley, K.S.; Schenkein, D.P.; Hezel, A.F.; Ancukiewicz, M.; Liebman, H.M.; et al. Frequent Mutation of Isocitrate Dehydrogenase (IDH)1 and IDH2 in Cholangiocarcinoma Identified Through Broad-Based Tumor Genotyping. Oncologist 2012, 17, 72–79. [Google Scholar] [CrossRef] [PubMed]
- Amary, M.F.; Bacsi, K.; Maggiani, F.; Damato, S.; Halai, D.; Berisha, F.; Pollock, R.; O’Donnell, P.; Grigoriadis, A.; Diss, T.; et al. IDH1 and IDH2 Mutations Are Frequent Events in Central Chondrosarcoma and Central and Periosteal Chondromas but Not in Other Mesenchymal Tumours. J. Pathol. 2011, 224, 334–343. [Google Scholar] [CrossRef]
- Kato Kaneko, M.; Liu, X.; Oki, H.; Ogasawara, S.; Nakamura, T.; Saidoh, N.; Tsujimoto, Y.; Matsuyama, Y.; Uruno, A.; Sugawara, M.; et al. Isocitrate Dehydrogenase Mutation Is Frequently Observed in Giant Cell Tumor of Bone. Cancer Sci. 2014, 105, 744–748. [Google Scholar] [CrossRef] [PubMed]
- Fathi, A.T.; Sadrzadeh, H.; Comander, A.H.; Higgins, M.J.; Bardia, A.; Perry, A.; Burke, M.; Silver, R.; Matulis, C.R.; Straley, K.S.; et al. Isocitrate Dehydrogenase 1 (IDH1) Mutation in Breast Adenocarcinoma Is Associated With Elevated Levels of Serum and Urine 2-Hydroxyglutarate. Oncologist 2014, 19, 602–607. [Google Scholar] [CrossRef] [PubMed]
- Murugan, A.K.; Bojdani, E.; Xing, M. Identification and Functional Characterization of Isocitrate Dehydrogenase 1 (IDH1) Mutations in Thyroid Cancer. Biochem. Biophys. Res. Commun. 2010, 393, 555–559. [Google Scholar] [CrossRef] [PubMed]
- Reitman, Z.J.; Jin, G.; Karoly, E.D.; Spasojevic, I.; Yang, J.; Kinzler, K.W.; He, Y.; Bigner, D.D.; Vogelstein, B.; Yan, H. Profiling the Effects of Isocitrate Dehydrogenase 1 and 2 Mutations on the Cellular Metabolome. Proc. Natl. Acad. Sci. USA 2011, 108, 3270–3275. [Google Scholar] [CrossRef] [PubMed]
- Yang, H.; Ye, D.; Guan, K.-L.; Xiong, Y. IDH1 and IDH2 Mutations in Tumorigenesis: Mechanistic Insights and Clinical Perspectives. Clin. Cancer Res. 2012, 18, 5562–5571. [Google Scholar] [CrossRef] [PubMed]
- Viswanath, P.; Radoul, M.; Izquierdo-Garcia, J.L.; Ong, W.Q.; Luchman, H.A.; Cairncross, J.G.; Huang, B.; Pieper, R.O.; Phillips, J.J.; Ronen, S.M. 2-Hydroxyglutarate-Mediated Autophagy of the Endoplasmic Reticulum Leads to an Unusual Downregulation of Phospholipid Biosynthesis in Mutant IDH1 Gliomas. Cancer Res. 2018, 78, 2290–2304. [Google Scholar] [CrossRef] [PubMed]
- Lita, A.; Pliss, A.; Kuzmin, A.; Yamasaki, T.; Zhang, L.; Dowdy, T.; Burks, C.; de Val, N.; Celiku, O.; Ruiz-Rodado, V.; et al. IDH1 Mutations Induce Organelle Defects via Dysregulated Phospholipids. Nat. Commun. 2021, 12, 614. [Google Scholar] [CrossRef] [PubMed]
- Huang, L.E. Friend or Foe—IDH1 Mutations in Glioma 10 Years On. Carcinogenesis 2019, 40, 1299–1307. [Google Scholar] [CrossRef] [PubMed]
- Innis, R.B.; Cunningham, V.J.; Delforge, J.; Fujita, M.; Gjedde, A.; Gunn, R.N.; Holden, J.; Houle, S.; Huang, S.-C.; Ichise, M.; et al. Consensus Nomenclature for in Vivo Imaging of Reversibly Binding Radioligands. J. Cereb. Blood Flow Metab. 2007, 27, 1533–1539. [Google Scholar] [CrossRef] [PubMed]
- Xu, X.; Zhao, J.; Xu, Z.; Peng, B.; Huang, Q.; Arnold, E.; Ding, J. Structures of Human Cytosolic NADP-Dependent Isocitrate Dehydrogenase Reveal a Novel Self-Regulatory Mechanism of Activity. J. Biol. Chem. 2004, 279, 33946–33957. [Google Scholar] [CrossRef] [PubMed]
- Sabo, K.A.; Albekioni, E.; Caliger, D.; Coleman, N.J.; Thornberg, E.; Avellaneda Matteo, D.; Komives, E.A.; Silletti, S.; Sohl, C.D. Capturing the Dynamic Conformational Changes of Human Isocitrate Dehydrogenase 1 (IDH1) upon Ligand and Metal Binding Using Hydrogen–Deuterium Exchange Mass Spectrometry. Biochemistry 2023, 62, 1145–1159. [Google Scholar] [CrossRef] [PubMed]
- Roman, J.V.; Melkonian, T.R.; Silvaggi, N.R.; Moran, G.R. Transient-State Analysis of Human Isocitrate Dehydrogenase I: Accounting for the Interconversion of Active and Non-Active Conformational States. Biochemistry 2019, 58, 5366–5380. [Google Scholar] [CrossRef]













| Tracer | logP | logD7.4 | |
|---|---|---|---|
| Exp. Determined | ADMETlab | ||
| (S)-[18F]mIDH-23 [(S)-[18F]2] | negative | 2.51 ± 0.11 | 2.33 |
| (R)-[18F]mIDH-23 [(R)-[18F]2] | negative | 2.51 ± 0.11 | 2.33 |
| [18F]mIDH-138 ([18F]4) | 2.50 ± 0.03 | 2.67 ± 0.04 | 2.75 |
| [18F]FE-mIDH-138 ([18F]5) | 2.77 ± 0.03 | 2.72 ± 0.06 | 2.87 |
| Timeframe | SUVbw | Ratio (WT/mIDH) | Significance 1 | |
|---|---|---|---|---|
| U87-WT | U87-mIDH | |||
| 0–30 min | 35 ± 4 | 31 ± 3 | 1.1 | p = 0.5810 |
| 30–60 min | 42 ± 9 | 24 ± 2 | 1.7 | p = 0.0031 |
| 60–90 min | 36 ± 10 | 18 ± 1 | 1.9 | p = 0.0033 |
| 90–120 min | 30 ± 10 | 16 ± 1 | 1.9 | p = 0.0087 |
| Parameter | U87-WT Tumor | U87-mIDH Tumor | Significance |
|---|---|---|---|
| K1 (mL/ccm/min) | 0.174 ± 0.068 | 0.141 ± 0.047 | p = 0.401 |
| k2 (1/min) | 0.553 ± 0.238 | 0.578 ± 0.173 | p = 0.858 |
| k3 (1/min) | 0.089 ± 0.059 | 0.057 ± 0.040 | p = 0.343 |
| k4 (1/min) | 0.044 ± 0.022 | 0.053 ± 0.023 | p = 0.525 |
| VS (mL/ccm) | 0.576 ± 0.143 | 0.225 ± 0.070 | p = 0.001 |
| VT (mL/ccm) | 0.921 ± 0.250 | 0.471 ± 0.084 | p = 0.005 |
| K1/k2 (mL/ccm) | 0.345 ± 0.172 | 0.246 ± 0.063 | p = 0.261 |
| k3/k4, BPND (1/1) | 1.874 ± 0.653 | 0.962 ± 0.399 | p = 0.029 |
Disclaimer/Publisher’s Note: The statements, opinions and data contained in all publications are solely those of the individual author(s) and contributor(s) and not of MDPI and/or the editor(s). MDPI and/or the editor(s) disclaim responsibility for any injury to people or property resulting from any ideas, methods, instructions or products referred to in the content. |
© 2024 by the authors. Licensee MDPI, Basel, Switzerland. This article is an open access article distributed under the terms and conditions of the Creative Commons Attribution (CC BY) license (https://creativecommons.org/licenses/by/4.0/).
Share and Cite
Cologni, R.; Holschbach, M.; Schneider, D.; Bier, D.; Schulze, A.; Stegmayr, C.; Endepols, H.; Ermert, J.; Neumaier, F.; Neumaier, B. Preparation and Preclinical Evaluation of 18F-Labeled Olutasidenib Derivatives for Non-Invasive Detection of Mutated Isocitrate Dehydrogenase 1 (mIDH1). Molecules 2024, 29, 3939. https://doi.org/10.3390/molecules29163939
Cologni R, Holschbach M, Schneider D, Bier D, Schulze A, Stegmayr C, Endepols H, Ermert J, Neumaier F, Neumaier B. Preparation and Preclinical Evaluation of 18F-Labeled Olutasidenib Derivatives for Non-Invasive Detection of Mutated Isocitrate Dehydrogenase 1 (mIDH1). Molecules. 2024; 29(16):3939. https://doi.org/10.3390/molecules29163939
Chicago/Turabian StyleCologni, Roberta, Marcus Holschbach, Daniela Schneider, Dirk Bier, Annette Schulze, Carina Stegmayr, Heike Endepols, Johannes Ermert, Felix Neumaier, and Bernd Neumaier. 2024. "Preparation and Preclinical Evaluation of 18F-Labeled Olutasidenib Derivatives for Non-Invasive Detection of Mutated Isocitrate Dehydrogenase 1 (mIDH1)" Molecules 29, no. 16: 3939. https://doi.org/10.3390/molecules29163939
APA StyleCologni, R., Holschbach, M., Schneider, D., Bier, D., Schulze, A., Stegmayr, C., Endepols, H., Ermert, J., Neumaier, F., & Neumaier, B. (2024). Preparation and Preclinical Evaluation of 18F-Labeled Olutasidenib Derivatives for Non-Invasive Detection of Mutated Isocitrate Dehydrogenase 1 (mIDH1). Molecules, 29(16), 3939. https://doi.org/10.3390/molecules29163939

