Cytotoxic and Anti-HSV-1 Effects of Caulerpin Derivatives
Abstract
1. Introduction
2. Results and Discussion
2.1. Chemical Studies
2.2. Biological Studies
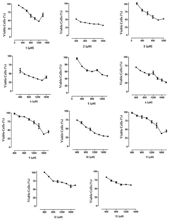
2.2.1. Cytotoxic Effect on MTT
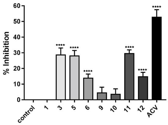
2.2.2. Antiviral Assay
Concomitant Treatment of Infection
Post-Infection Treatment Assay
3. Materials and Methods
3.1. Chemistry
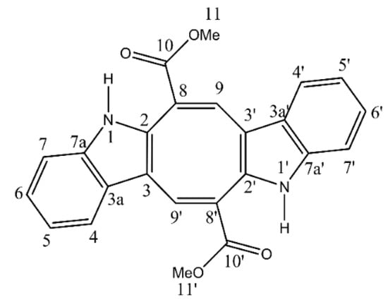
3.1.1. Caulerpin Extraction and Isolation (1)
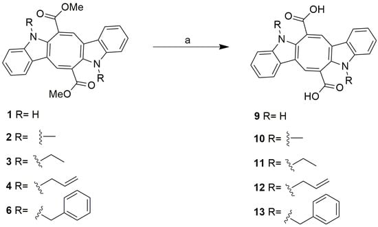
3.1.2. Derivatives Preparation
- (6E,13E)-Dimethyl-5,12-dimethyl-5,12 dihydrocycloocta[1,2 b: 5, 6-b′]diindol-6,13-dicarboxylate) (2). KOH (29.17mg, 0.52 mmol) was added to a solution of 1 (80 mg, 0.2 mmol) in MeOH (10 mL) at room temperature. The MeOH was then distilled off, and acetone (10 mL) and (Me)2SO4 (0.06 mL, 0.6 mmol) were added to the reaction medium [31]. After 3 h, the solvent was evaporated, and liquid–liquid partitioning was performed using H2O (20 mL) and CH2Cl2 (2 × 20 mL). The organic fraction was dried, and PTLC was performed on silica gel (hexane: EtOAc, 8:2), yielding 43.2 mg of pure analog 2 (54%). Appearance: orange-red crystals; solubility: CH2Cl2; molecular formula: C26H22N2O4; molar mass: 426.46 g/mol. IR (KBr) νmax/cm−1: 3437, 3058, 2992, 2948, 1718, 1708, 1631, 1550, 1466, 1434, 1384, 1318, 1253, 1227, 1203, 1067, 1041, 908, 845, 734, 580. 1H NMR (200 MHz, CD3OD, ppm) δ: 8.49 (s, 1H); 7.54 (d, 1H); 7.23 (d, 1H); 7.16 (t, 1H); 7.12 (t, 1H); 3.81 (s, 3H); 3.46 (s, 3H). 13C NMR (50 MHz, CD3OD, ppm) δ: 166.4 (C-10/10′); 144.6 (C-9/9′); 138.7 (C-7a/7a′); 134.6 (C-2/2′); 126.6 (C-3a/3a′); 125.4 (C-8/8′); 123.0 (C-6/6′); 120.5 (C-5/5′); 118.8 (C-4/4′); 112.9 (C-3/3′); 52.5 (C-11/11′); 30.9 (C-12/12′).
Derivatives 3–8, Insertion of Groups at Indolic Nitrogen
- (6E,13E)-Dimethyl-5,12-diethyl-5,12 dihydrocycloocta[1,2 b: 5,6-b′]diindole-6,13-dicarboxylate (3). Yield: (32.7 mg) 81,5%; aspect: yellow crystals; solubility: CH2Cl2; molecular formula: C28H26N2O4; molar mass: 454.52 g/mol. IR (KBr) νmax/cm−1: 3419, 3048, 3015, 2996, 2948, 2932, 2890, 1705, 1619, 1551, 1465, 1430, 1319, 1243, 1193, 1066, 1044, 917, 765, 740, 690. 1H NMR (200 MHz, CD3OD, ppm) δ: 8.44 (s, 1H); 7.51 (d, 1H); 7.26 (d, 1H); 7.19 (t, 1H); 7.10 (t, 1H); 4.01 (m, 1H); 3.80 (m,1H); 3.80 (s, 3H); 1.17 (t, 3H). 13C NMR (50 MHz, CD3OD, ppm) δ: 166.8 (C-10/10′); 144.3 (C-9/9′); 137.5 (C-7a/7a′); 134.0 (C-2/2′); 126.9 (c-3a/3a′); 126.1 (C-8/8′); 122.7 (C-6/6′); 120.4 (C-5/5′); 118.8 (C-4/4′); 113.2 (C-3/3′); 110.5 (C-7/7′); 52.6 (C-11/11′); 39.2 (C-12/12′); 14.8 (C-13/13′).
- (6E,13E)-Dimethyl-5,12-diethyl-5,12 dihydrocycloocta[1,2 b: 5,6-b′]diindol-6,13-dicarboxylate (4). Yield: (33.0 mg) 82.5%; aspect: yellow crystals; solubility: CH2Cl2; molecular formula: C30H26N2O4; molar mass: 478.54 g/mol. IR (KBr) νmax/cm−1: 3416, 3051, 3000, 2948, 2927, 1715, 1702, 1619, 1555, 1461, 1371, 1312, 1259, 1234, 1191, 1065, 1037, 917, 750, 739, 724. 1H NMR (200 MHz, CD3OD, ppm) δ: 8.44 (s, 1H); 7.49 (d, 1H); 7.23 (d, 1H); 7.20 (t, 1H); 7.12 (t, 1H); 5.73 (m, 1H); 4.93 (t, 2H); 4.47 (ddd, 2H); 3.77 (s, 3H). 13C NMR (50 MHz, CD3OD, ppm) δ: 166.5 (C-10/10′); 144.5 (C-9/9′); 137.9 (C-7a/7a′); 134.1 (C-2/2′); 132.9 (C-13/13′); 126.6 (C-3a/3a′); 126.0 (C-8/8′); 122.9 (C-6/6′); 120.4 (C-5/5′); 118.4 (C-4/4′); 117.1 (C-14/14′); 113.5 (C-3/3′); 110.6 (C-7/7′); 52.4 (C-11/11′); 47.1 (C-12/12′).
- (6E,13E)-Dimethyl-5,12-di(prop-2-yn-1-yl) 5,12-dihydrocycloocta[1,2b:5,6-b′]diindol-6,13 dicarboxylate (5). Yield: (34.0 mg) 85%; aspect: yellow crystals; solubility: CH2Cl2; molecular formula: C30H22N2O4; molar mass: 474.51 g/mol. IR (KBr) νmax/cm−1: 3475, 3416, 3284, 3057, 2948, 2923, 2849, 2100 1711, 1624, 1550, 1462, 1433, 1388, 1333, 1315, 1266, 1240, 1194, 1071, 1043, 741, 662. 1H NMR (200 MHz, CD3OD, ppm) δ: 8.46 (s, 1H); 7.51 (d, 1H); 7.41 (d, 1H); 7.24 (t, 1H); 7.14 (t, 1H); 4.59 (m, 2H); 3.80 (s, 3H); 2.20 (s, 1H). 13C NMR (50 MHz, CD3OD, ppm) δ: 166.5 (C-10/10′); 145.6 (C-9/9′); 137.6 (C-7a/7a′); 133.6 (C-2/2′); 126.9 (C-3a/3a′); 125.9 (C-8/8′); 123.5 (C-6/6′); 120.6 (C-5/5′); 118.9 (C-4/4′); 114.2 (C-3/3′); 110.4 (C-7/7′); 77.7 (C-14/14′); 73.1 (C-13/13′); 52.1 (C-11/11′); 34.4 (C-12/12′).
- (6E,13E)-Dimethyl-5,12-dinzyl 5,12-dihydrocycloocta[1,2b:5,6-b′]diindol-6,13-dicarboxylate (6). Yield: (39.7 mg) 99.25%; aspect: yellow crystals; solubility: CH2Cl2; molecular formula: C38H30N2O4; molar mass: 578.66 g/mol. IR (KBr) νmax/cm−1: 3474, 3415, 3058, 3032, 2948, 1691, 1617, 1550, 1463, 1428, 1263, 1244, 1190, 1069, 1051, 914, 768, 737, 707, 668, 613. 1H NMR (200 MHz, CD3OD, ppm) δ: 8.45 (s, 1H); 7.35 (d, 1H); 7.31 (d, 1H); 7.05 (t, 1H); 6.95 (t, 1H); 5.10 (m, 2H); 3.66 (s, 3H). 13C NMR (50 MHz, CD3OD, ppm) δ: 166.3 (10/10′); 144.9 (C-9/9′); 138.0 (C-13); 136.9 (C-7a/7a′); 134.4 (C-2/2′); 128.5 (C-orto); 127.3 (C-meta); 126.8 (C-3a/3a′); 126.6 (C-8/8′); 126.2 (C-para); 123.2 (C-6/6′); 120.6 (C-5/5′); 119.4 (C-4/4′); 114.1 (C-3/3′); 110.6 (C-7/7′); 52.4 (C-11/11′); 48.1(C-12).
- (6E,13E)-13-(Metoxicarbonyl) 5,12-dihidrocicloocta[1,2b:5,6-b′]diindol-6-ácidocarboxílico (7). Yield: (12.9 mg) 32.25%; aspect: dark crystals; solubility: MeOH; molecular formula: C23H16N2O4; molar mass: 384.38g/mol. 1H NMR (200 MHz, CD3OD, ppm) δ: 8.21 (s, 1H); 8.17 (s, 1H); 7.41 (d, 1H); 7.30 (d, 1H); 7.10 (t, 1H); 7.02 (t, 1H); 4.81 (s); 3.89 (s, 3H). 13C NMR (50 MHz, CD3OD, ppm) δ: 168.4 (C-10); 166.8 (C-10′); 143.9 (C-9′); 139.5 (C-7a); 139.4 (C-7a′); 135.3 (C-2); 134.1 (C-2′); 129.3 (C-3a); 129.2 (C-3a′); 129.9 (C-8′); 126.9 (C-8); 123.8 (C-6′); 121.3 (C-5); 121.1 (C-5′); 118.9 (C-4); 118.7 (C-4′); 113.5 (C-3); 112.9 (C-3′); 112.7 (C-7); 112.6 (C-7′); 53.0(C-11′).
- (6E,13E)-Dimethyl-5-(2-oxybutyl) 5,12-dihydrocycloocta[1,2b:5,6-b′]diindol-6,13-dicarboxylate (8). Yield: (5.47mg) 13.67%; aspect: yellow solid; solubility: CH2Cl2; molecular formula: C28H24N2O4; molar mass: 484.50 g/mol. 1H NMR (200 MHz, CD3OD, ppm) δ: 9.11 (s, 1H); 8.35 (s, 1H); 8.17 (s, 1H); 7.45 (d, 1H); 7.43 (d, 1H); 7.28 (d, 1H); 7.21 (d, 1H); 7.17 (t, 1H); 7.16 (t, 1H); 7.11 (t, 1); 7.08 (t, 1H); 4.65 (m, 1H); 4.48 (m, 1H); 4.00 (m, 2H); 3.88 (s, 3H); 3.76 (s, 3H); 0.97 (t, 3H). 13C NMR (50 MHz, CD3OD, ppm) δ: 167.9 (C-13); 166.8 (C-10); 165.9 (C-10′); 146.3 (C-9); 141.5 (C-9′); 138.9 (C-7a); 137.3 (C-7a′); 134.1 (C-2); 132.2 (C-2′); 127.6 (C-3a); 126.8 (C-3a′); 126.4 (C-8); 124.8 (C-8′); 123.2 (C-6′); 120.8 (C-5); 120.6 (C-5′); 118.8 (C-4); 118.4 (C-4′); 113.6 (C-3); 113.3 (C-3′); 111.5 (C-7); 110.1 (C-7′); 61.5 (C-14); 52.6 (C-11); 52.3 (C-11′); 45.9 (C-12); 13.8 (C-15).
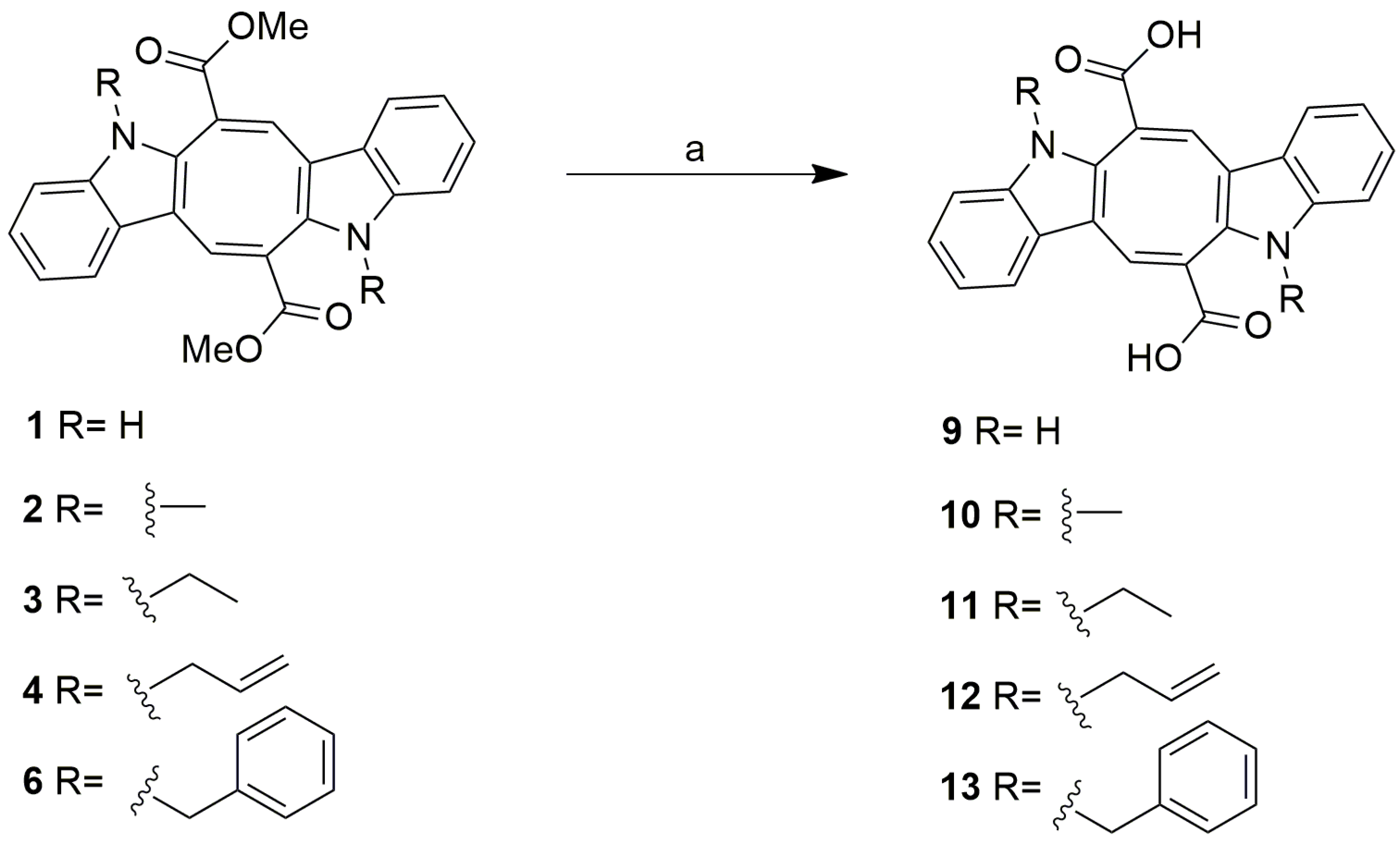
Derivatives 9–13, Hydrolysis of Ester Groups
- (6E,13E)-5,12-Dihydrocycloocta[1,2b:5,6-b′]diindol-6,13-dicarboxylic acid (9). Yield: (31.6 mg) 79%; aspect: black solid; solubility: MeOH; molecular formula: C22H14N2O4; molar mass: 370.36 g/mol. IR (KBr) νmax/cm−1: 3408, 3058, 3035, 2968, 2924, 2620, 2503, 1650, 1611, 1406, 1385, 1259, 1238, 1150, 7017, 755, 723, 611, 548. 1H NMR (200 MHz, CD3OD, ppm) δ: 8.21 (s, 1H); 7.37 (d, 1H); 7.28 (d, 1H); 7.08 (t, 1H); 7.01 (t, 1H); and 4.90 (s). 13C NMR (50 MHz, CD3OD, ppm) δ: 169.3 (C-10/10′); 143.7 (C-9/9′); 139.1 (C-7a/7a′); 134.3 (C-2/2′); 128.9 (C-3a/3a′); 127.3 (C-8/8′); 123.6 (C-6/6′); 120.8 (C-5/5′); 118.4 (C-4/4′); 112.7 (C-3/3′); 112.3 (C-7/7′).
- (6E,13E)-5,12-Dimethyl-5-dihydrocycloocta[1,2b:5,6-b’]diindol-6,13-dicarboxylic acid (10). Yield: (23.5 mg) 58,8%; aspect: yellow crystals; solubility: MeOH; molecular formula: C24H18N2O4; molar mass: 398.41 g/mol. IR (KBr) νmax/cm−1: 3416, 3050, 2940,1885, 1880, 1624, 1554, 1488, 1376, 1317, 1250, 1221, 1220,1129, 1110, 930, 844, 742, 730, 701, 662. 1H NMR (200 MHz, CD3OD, ppm) δ: 8.33 (s, 1H); 7.49 (d, 1H); 7.40 (d, 1H); 7.20 (t, 1H); 7.09 (t, 1H); 3.45 (s). 13C NMR (50 MHz, CD3OD, ppm) δ: 175.9 (C-10/10′); 152.0 (C-9/9′); 147.5 (C-7a/7a′); 144.3 (C-2/2′); 135.9 (C-3a/3a′); 135.3 (C-8/8′); 132.1 (C-6/6′); 129.7 (C-5/5′); 127.8 (C-4/4′); 121.5 (C2-3/3′); 119.9 (C-7/7′); 40.2 (C-12/12′).
- (6E,13E)-5,12-Diethyl-5,12-dihydrocycloocta[1,2b:5,6-b′]diindol-6,13-dicarboxylic acid (11). Yield: (30.4 mg) 76%; aspect: yellow crystals; solubility: MeOH; molecular formula: C26H22N2O4; molar mass: 426.46 g/mol. IR (KBr) νmax/cm−1: 3411, 3125, 3057, 2975, 2933, 2595, 1704, 1676, 1629, 1618, 1550, 1460, 1383, 1371, 1355, 1232, 1212, 1132, 747, 730, 700, 687, 536. 1H NMR (200 MHz, CD3OD, ppm) δ: 8.41 (s, 1H); 7.45 (d, 1H); 7.28 (d, 1H); 7.15 (t, 1H); 7.01 (t, 1H); 4.95 (s); 4.06(m, 1H); 3.87 (m, 1H); 1.07 (t, 3H). 13C NMR (50 MHz, CD3OD, ppm) δ: 168.2 (C-10/10′); 144.1 (C-9/9′); 136.7 (C-7a/7a′); 135.3 (C-2/2′); 127.9 (C-3a/3a′); 126.6 (C-8/8′); 123.6 (C-6/6′); 121.1 (5/5′); 119.1 (4/4′); 114.4 (C-3/3′); 110.9 (C-7/7′); 40.1 (C-12/12′); 15.1 (C-13/13′).
- (6E,13E)-5,12-Diallyl-5,12-dihydrocycloocta[1,2b:5,6-b′]diindol-6,13-dicarboxylic acid (12). Yield: (25.9 mg) 64.86%; aspect: yellow crystals; solubility: MeOH; molecular formula: C28H22N2O4; molar mass: 450.49 g/mol. IR (KBr) νmax/cm−1: 3468, 3412, 3077, 3056, 2980, 2927, 1690, 1677, 1619, 1461, 1384, 1265, 1237, 1199, 1014, 990, 921, 833, 822, 738, 662. 1H NMR (200 MHz, CD3OD, ppm) δ: 8.40 (s, 1H); 7.43 (d, 1H); 7.26 (d, 1H); 7.15 (t, 1H); 7.07 (t, 1H); 5.70 (m, 1H); 4.93 (s); 4.57 (m, 2H). 13C NMR (50 MHz, CD3OD, ppm) δ: 169.2 (C-10/10′); 144.5 (C-9/9′); 139.3 (C-7a/7a′); 135.6 (C-2/2′); 134.4 (C-13/13′); 128.4 (3a/3a′); 127.8 (C-8/8′); 123.8 (C-6/6′); 121.3 (C-5/5′); 119.7 (C-4/4′); 116.5 (C-14/14′); 114.9 (C-3/3′); 111.5 (C-7/7′); 47.4 (C-12/12′).
- (6E,13E)-5,12-Dibenzyl-5,12-dihydrocycloocta[1,2 b: 5,6-b′]diindol-6,13-dicarboxylic acid (13). Yield: (20.3 mg) 50.63%; aspect: yellow crystals; solubility: MeOH; molecular formula: C36H26N2O4; molar mass: 550.60 g/mol. IR (KBr) νmax/cm−1: 3415, 3086, 3060, 3028, 2943, 2865, 1701, 1663, 1619, 1560, 1462, 1370, 1333, 1261, 1200, 1185, 1027, 926, 831, 744, 727, 692, 607, 581. 1H NMR (200 MHz, CD3OD, ppm) δ: 8.42 (s, 1H); 7.11 (m); 6.73 (t, 1H); 6.56 (d, 2H); 6.40 (t, 2H); 5.22 (t, 2H); 3.66 (s). 13C NMR (50 MHz, CD3OD, ppm) δ: 167.8 (C-10/10′); 144.9 (C-9/9′); 139.1 (C-13/13′); 138.6 (C-7a/7a′); 135.9 (C-2/2′); 129.1 (C-orto); 128.2 (C-8/8′); 128.8 (C-3a/3a′); 127.8 (C-meta); 126.9 (C-para); 123.8 (C-6/6′); 121.3 (C-5/5′); 119.8 (C-4/4′); 115.6 (C-3/3′); 111.4 (C-7/7′); 30.7 (C-12/12′).
Derivatives 14 and 15 Transesterified
- (6E,13E)-Diethyl 5,12-dihydrocycloocta[1,2b:5, 6-b′]diindol-6,13-dicarboxylate (14). Yield: (11.6 mg) 33.14%; aspect: red crystals; solubility: CH2Cl2; molecular formula: C26H22N2O4; molar mass: 426.46 g/mol. 1H NMR (200 MHz, CD3OD, ppm) δ: 9.27 (s, 1H); 7.41 (d, 1H); 7.28 (d, 1H); 7.16 (t, 1H); 7.01 (t, 1H); 4.34 (q, 2H); 1.40 (t,3H). 13C NMR (50 MHz, CD3OD, ppm) δ: 161.4 (C-10/10′); 137.5 (C-9/9′); 132.8 (C-7a/7a′); 128.1 (C-2/2′); 123.7 (C-3a/3a′); 120.9 (C-8/8′); 118.6 (C-6/6′); 115.7 (C-5/5′); 112.9 (C-4/4′); 107.5 (C-3/3′); 106.6 (C-7/7′); 56.7 (C-11/11′); 9.4 (C-12/12′).
- (6E,13E)-Diethyl 5,12-dimethyl-5,12-dihydrocycloocta[1,2b:5,6-b′]diindol-6,13-dicarboxylate (15). Yield: (19.3 mg) 42%; aspect: red crystals; solubility: CH2Cl2; molecular formula: C28H26N2O4; molar mass: 454.52 g/mol. 1H NMR (200 MHz, CD3OD, ppm) δ: 8.45 (s, 1H); 7.52 (d, 1H); 7.21 (d, 1H); 7.14 (d, 1H); 7.10 (d, 1H); 4.28 (m, 2H); 3.45 (s, 3H); 1.30 (t,3H). 13C NMR (50 MHz, CD3OD, ppm) δ: 165.9 (C-10/10′); 144.4 (C-9/9′); 138.7 (C-7a/7a′); 134.8 (C-2/2′); 126.7 (C-3a/3a′); 125.8 (C-8/8′); 122.9 (C-6/6′); 120.8 (C-5/5′); 119.1 (C-4/4′); 112.9 (C-3/3′); 109.9 (C-7/7′); 61.5 (C-11/11′); 31.0 (C-13/13′); 14.6 (C-12/12′).
3.2. Cytotoxicity
3.3. Antiviral Screening
3.3.1. Treatment Concomitant to Infection
3.3.2. Post-Infection Treatment
4. Conclusions
Supplementary Materials
Author Contributions
Funding
Institutional Review Board Statement
Informed Consent Statement
Data Availability Statement
Acknowledgments
Conflicts of Interest
References
- Atanas, G.; Atanasov, S.B.; Zotchev, V.M. Dirsch. Natural products in drug discovery: Advances and opportunities. Nat. Rev. Drug Discov. 2021, 20, 200–216. [Google Scholar] [CrossRef] [PubMed]
- Sasadhar, M.; Debjit, D. Chemical derivatization of natural products: Semisynthesis and pharmacological aspects—A decade update. Tetrahedron 2021, 78, 131801. [Google Scholar]
- Lee, M.-C.; Yeh, H.-Y.; Shih, W.-L. Extraction procedure, characteristics, and feasibility of Caulerpa microphysa (Chlorophyta) polysaccharide extract as a cosmetic ingredient. Mar. Drugs 2021, 19, 524. [Google Scholar] [CrossRef]
- Bhambhani, S.; Kondhare, K.R.; Giri, A.P. Diversity in chemical structures and biological properties of plant alkaloids. Molecules 2021, 26, 3374. [Google Scholar] [CrossRef]
- Costa-Lotufo, L.V.; Wilke, D.V.; Jimenez, P.C. Organismos marinhos como fonte de novos fármacos: Histórico & perspectivas. Quím. Nova 2009, 32, 703–716. [Google Scholar]
- Bitencourt, M.A.O.; Dantas, G.R.; Lira, D.P.; Barbosa-Filho, J.M.; Miranda, G.E.C.; Santos, B.V.O.; Souto, J.T. Aqueous and methanolic extracts of Caulerpa mexicana suppress cell migration and ear edema induced by inflammatory agents. Mar. Drugs 2011, 9, 1332–1345. [Google Scholar] [CrossRef] [PubMed]
- Bitencourt, M.A.O.; Silva, H.M.D.; Abilio, G.M.F.; Miranda, G.E.C.; Moura, A.M.A.; Araújo-Júnior, J.X.; Silveira, E.J.D.; Santos, B.V.O.; Souto, J.T. Anti-inflammatory effects of methanolic extract of green algae Caulerpa mexicana in a murine model of ulcerative colitis. Rev. Bras. Farmacogn. 2015, 25, 677–682. [Google Scholar] [CrossRef]
- Souza, E.T.; Lira, D.P.; Queiroz, A.C.; Silva, D.J.C.; Aquino, A.B.; Mella, E.A.C.; Lorenzo, V.P.; Miranda, G.E.C.; Araújo-Júnior, J.X.; Chaves, M.C.O.; et al. The antinociceptive and anti-inflammatory activities of caulerpin, a bisindole alkaloid isolated from seaweeds of the genus Caulerpa Mar. Drugs 2009, 7, 689–704. [Google Scholar]
- Cavalcante-Silva, L.H.A.; Correia, A.C.C.; Barbosa-Filho, J.M.; Silva, B.A.; Santos, B.V.O.; Lira, D.P.; Sousa, J.C.F.; Miranda, G.E.C.; Cavalcante, F.A.; Alexandre-Moreira, M.S. Spasmolytic effect of caulerpin involves blockade of Ca2+ influx on guinea pig ileum. Mar. Drugs 2013, 11, 1553–1564. [Google Scholar] [CrossRef]
- Cavalcante-Silva, L.H.A.; Correia, A.C.C.; Sousa, J.C.F.; Barbosa-Filho, J.M.; Santos, B.V.O.; Miranda, G.E.C.; Alexandre-Moreira, M.S.; Cavalcante, F.A. Involvement of β adrenergic receptors in spasmolytic effect of caulerpine on guinea pig ileum. Nat. Prod. Res. 2016, 30, 2605–2610. [Google Scholar] [CrossRef]
- Macedo, N.R.P.V.; Ribeiro, M.S.; Villaça, R.C.; Ferreira, W.; Pinto, A.M.; Teixeira, V.L.; Cirne-Santos, C.; Paixão, I.C.N.P.; Giongo, V. Caulerpin as a potential antiviral drug against Herpes simplex virus type 1. Rev. Bras. Farmacogn. 2012, 22, 861–867. [Google Scholar] [CrossRef]
- Sousa, M.B.; Pires, K.M.S.; Alencar, D.B.; Sampaio, A.H.; Saker-Sampaio, S. α, β-Caroteno e α tocoferol em algas marinhas in natura α- and β-carotene, and α-tocoferol in fresh seaweeds. Food Sci. Technol. 2008, 28, 953–958. [Google Scholar] [CrossRef][Green Version]
- Yang, P.; Liu, D.; Liang, T.; Zhang, H.; Liu, A.; Guo, Y.; Mao, S. Bioactive constituents from the green alga Caulerpa racemosa. Bioorg. Med. Chem. Lett. 2015, 23, 38–45. [Google Scholar] [CrossRef]
- Canché Chay, C.I.C.; Cansino, R.G.; Pinzón, C.I.E.; Torres-Ochoa, R.O.; Martínez, R. Synthesis and anti-tuberculosis activity of the marine natural product caulerpin and its analogues. Mar. Drugs 2014, 12, 1757–1772. [Google Scholar] [CrossRef] [PubMed]
- Anjaneyulu, A.S.R.; Prakashi, C.V.S.; Mallavadhani, U.V. Sterols and terpenes of the marine green algal species Caulerpa racemosa and Codium decorticatum. Indian J. Chem. 1991, 68, 480. [Google Scholar]
- Anjaneyulu, A.S.R.; Prakash, C.V.S.; Raju, K.V.S.; Mallavadhani, U.V. Isoaltion of new aromatic derivatives from a marine algal species Caulerpa racemosa. Phytochem. Rev. 1992, 55, 496–499. [Google Scholar]
- Lorenzo, V.P. Estudo Fitoquímico com Fins Farmacológicos da Alga Bentônica Caulerpa racemosa. Master’s Thesis, Universidade Federal da Paraíba, Programa de Pós-Graduação em Produtos Naturais e Sintéticos Bioativos, João Pessoa, Brazil, 2010. [Google Scholar]
- Pavia, D.L.; Lampman, G.M.; Kriz, G.S.; Vyan, J.R. Introdução à Espectroscopia, 5th ed.; Cengage Learning: São Paulo, Brazil, 2016. [Google Scholar]
- Esteves, P.O.; Oliveira, M.C.; Barros, C.S.; Cirne-Santos, C.C.; Laneuvlille, V.T.; Paixão, I.C.P. Antiviral effect of caulerpin against Chikungunya. Nat. Prod. Commun. 2019, 14, 1–6. [Google Scholar] [CrossRef]
- Barreiro, E.J.; Fraga, C.A.M. Química Medicinal—As Bases Moleculares da Ação dos Fármacos, 2nd ed.; Artmed: Porto Alegre, Brazil, 2014; p. 536. [Google Scholar]
- Montanari, C.A. Química Medicinal: Métodos e Fundamentos em Planejamento de Fármacos; Editora da Universidade de São Paulo: São Paulo, Brazil, 2011. [Google Scholar]
- Zhao, S.; Kang, J.; Du, Y.; Kang, J.; Zhao, X.; Xu, Y.; Chen, R.; Wang, Q.; Shi, X. An efficient ultrasound-assisted synthesis of N-alkyl derivatives of carbazole, indole, and phenothiazine. J. Heterocycl. Chem. 2014, 51, 683–689. [Google Scholar] [CrossRef]
- Amarante, G.W.; Cavallaro, M.; Coelho, F. Hyphenating the Curtius rearrangement with Morita-Baylis-Hillman adducts: Synthesis of biologically active acyloins and vicinal amino alcohols. J. Braz. Chem. Soc. 2011, 22, 1568–1584. [Google Scholar] [CrossRef]
- Clayden, J.; Greeves, N.; Warren, S.; Wothers, P. Organic Chemistry; Oxford University Press: New York, NY, USA, 2012; p. 1133. [Google Scholar]
- Sousa, J.C.F. Semi-Síntese de Novos Análogos da Caulerpina. Ph.D. Thesis, Universidade Federal da Paraíba, Programa de Pós-Graduação em Produtos Naturais e Sintéticos Bioativos, João Pessoa, Brazil, 2016. [Google Scholar]
- Movahhedin, N.; Barar, J.; Azad, F.F.; Barzegari, A.; Nazemiyeh, H. Phytochemistry and biologic activities of Caulerpa peltata native to Oman Sea. Iran. J. Pharm. Sci. 2014, 13, 515–521. [Google Scholar]
- Yu, H.; Zhang, H.; Dong, M.; Wu, Z.; Shen, Z.; Xie, Y.; Kong, Z.; Dai, X.; Xu, B. Metabolic reprogramming and AMPKα1 pathway activation by caulerpin in colorectal cancer cells. Int. J. Oncol. 2017, 50, 161–172. [Google Scholar] [CrossRef] [PubMed]
- Lavrenov, S.N.; Luzikov, Y.N.; Bykov, E.E.; Reznikova, M.I.; Stepanova, E.V.; Glazunova, V.A.; Volodina, Y.L.; Tatarsky, V.V., Jr.; Shtil, A.A.; Preobrazhenskaya, M.N. Synthesis and cytotoxic potency of novel tris (a-alkylindol-3-yl) methylium salts: Role of N-alkyl substituents. Bioorg. Med. Chem. 2010, 18, 6905–6913. [Google Scholar] [CrossRef] [PubMed]
- Soares, A.R.; Robaína, M.C.S.; Mendes, G.S.; Silva, T.S.L.; Gestinari, L.M.S.; Pamplona, O.S.; Yoneshigue-Valetin, Y.; Kaiser, C.R.; Romanos, M.T.V. Antiviral activity of extracts from Brazilian seaweeds against Herpes simplex virus. Rev. Bras. Farmacogn. 2012, 22, 714–723. [Google Scholar] [CrossRef]
- Ghosh, P.; Adhikari, U.; Ghosal, P.K.; Pujol, C.A.; Carlucci, M.J.; Damonte, E.B.; Ray, N. In vitro anti-herpetic activity of sufated polysaccharide fractions from Caulerpa racemosa. Phytochemistry 2004, 65, 3151–3157. [Google Scholar] [CrossRef]
- Ottoni, O.; Cruz, R.; Alves, R. Efficient and simple methods for the introduction of the sulfonyl, acyl and alkyl protecting groups on the nitrogen of indole and its derivatives. Tetrahedron 1998, 54, 1315–1328. [Google Scholar] [CrossRef]
- Cheng, V.C.C.; Chan, J.F.W.; To, K.K.W.; Yuen, K.Y. Clinical management and infection control of SARS: Lessons learned. Antivir. Res. 2013, 100, 407–419. [Google Scholar] [CrossRef] [PubMed]








| Analyzed Compound | Caulerpin [17] | |||
|---|---|---|---|---|
| Carbons | δH | δC | δH | δC |
| N | 9.21 (s, 1H) | — | 9.20 (s, 1H) | — |
| 2/2′ | — | 133.0 (q) | — | 132.8 (q) |
| 3/3′ | — | 112.0 (q) | — | 112.4 (q) |
| 3a/3a′ | — | 128.3 (q) | — | 128.1 (q) |
| 4/4′ | 7.43 (d, 1H) | 118.4 (CH) | 7.41(d, 1H) | 118.0 (CH) |
| 5/5′ | 7.09 (t, 1H) | 120.8 (CH) | 7.07 (t, 1H) | 120.7 (CH) |
| 6/6′ | 7.18 (t, 1H) | 123.5 (CH) | 7.17 (t, 1H) | 123.3 (CH) |
| 7/7′ | 7.30 (d, 1H) | 111.7 (CH) | 7.29 (d, 1H) | 111.5 (CH) |
| 7a/7a′ | — | 137.8 (q) | — | 137.7 (q) |
| 8/8′ | — | 125.6 (q) | — | 125.6 (q) |
| 9/9′ | 8.06 (s, 1H) | 142.9 (CH) | 8.04 (s, 1H) | 142.9 (CH) |
| 10/10′ | — | 166.8 (q) | — | 166.6 (q) |
| 11/11′ | 3.90 (s, 3H) | 52.7 (CH3) | 3.88 (s, 3H) | 52.6 (CH3) |
| Samples | Emax (%) | CC50 (µM) |
|---|---|---|
| Analog 1 | 52.7 ± 1.8 b | 687.9 ± 35.2 B |
| Analog 2 | 68.4 ± 0.2 c | 524.1 ± 19.3 B |
| Analog 3 | 51.5 ± 0.9 b | 547.6 ± 38.8 B |
| Analog 4 | 70.1 ± 1.1 c | 628.2 ± 69.8 B |
| Analog 5 | 52.1 ± 0.9 b | 496.1 ± 16.8 B |
| Analog 6 | 74.1 ± 1.8 c | 891.0 ± 87.8 B |
| Analog 9 | 62.6 ± 0.7 c | 1035.0 ± 62.4 A |
| Analog 10 | 71.8 ± 0.3 c | 678.7 ± 38.3 B |
| Analog 11 | 62.7 ± 0.8 c | 1004.0 ± 41.6 A |
| Analog 12 | 44.5 ± 1.3 a | 663.9 ± 55.3 B |
| Analog 13 | 41.0 ± 1.2 a | 494.0 ± 51.4 B |
Disclaimer/Publisher’s Note: The statements, opinions and data contained in all publications are solely those of the individual author(s) and contributor(s) and not of MDPI and/or the editor(s). MDPI and/or the editor(s) disclaim responsibility for any injury to people or property resulting from any ideas, methods, instructions or products referred to in the content. |
© 2024 by the authors. Licensee MDPI, Basel, Switzerland. This article is an open access article distributed under the terms and conditions of the Creative Commons Attribution (CC BY) license (https://creativecommons.org/licenses/by/4.0/).
Share and Cite
Abílio, G.M.F.; Camilo, C.J.; Coutinho, H.D.M.; Costa, J.G.M.d.; Pena, L.J.; Silva-Júnior, A.; Nascimento, Y.M.d.; Barbosa-Filho, J.M.; Santos, B.V.d.O.; Freire, K.R.d.L. Cytotoxic and Anti-HSV-1 Effects of Caulerpin Derivatives. Molecules 2024, 29, 3859. https://doi.org/10.3390/molecules29163859
Abílio GMF, Camilo CJ, Coutinho HDM, Costa JGMd, Pena LJ, Silva-Júnior A, Nascimento YMd, Barbosa-Filho JM, Santos BVdO, Freire KRdL. Cytotoxic and Anti-HSV-1 Effects of Caulerpin Derivatives. Molecules. 2024; 29(16):3859. https://doi.org/10.3390/molecules29163859
Chicago/Turabian StyleAbílio, Gisely Maria Freire, Cicera Janaine Camilo, Henrique Douglas Melo Coutinho, José Galberto Martins da Costa, Lindomar José Pena, Abelardo Silva-Júnior, Yuri Mangueira do Nascimento, José Maria Barbosa-Filho, Bárbara Viviana de Oliveira Santos, and Kristerson Reinaldo de Luna Freire. 2024. "Cytotoxic and Anti-HSV-1 Effects of Caulerpin Derivatives" Molecules 29, no. 16: 3859. https://doi.org/10.3390/molecules29163859
APA StyleAbílio, G. M. F., Camilo, C. J., Coutinho, H. D. M., Costa, J. G. M. d., Pena, L. J., Silva-Júnior, A., Nascimento, Y. M. d., Barbosa-Filho, J. M., Santos, B. V. d. O., & Freire, K. R. d. L. (2024). Cytotoxic and Anti-HSV-1 Effects of Caulerpin Derivatives. Molecules, 29(16), 3859. https://doi.org/10.3390/molecules29163859

