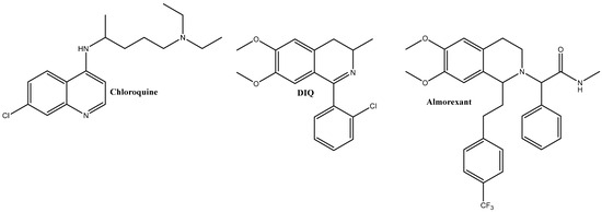
Therapeutic Potential of 1-(2-Chlorophenyl)-6,7-dimethoxy-3-methyl-3,4-dihydroisoquinoline
Abstract
1. Introduction
2. Results and Discussion
2.1. Ex Vivo Effects of DIQ on Spontaneous CA
Influence of Specific and Nonspecific Cholinergic Receptor Agonists and Antagonists on DIQ Contractile Effect
2.2. Histological Determination of the Effect of DIQ on SM
2.2.1. Morphological Analysis
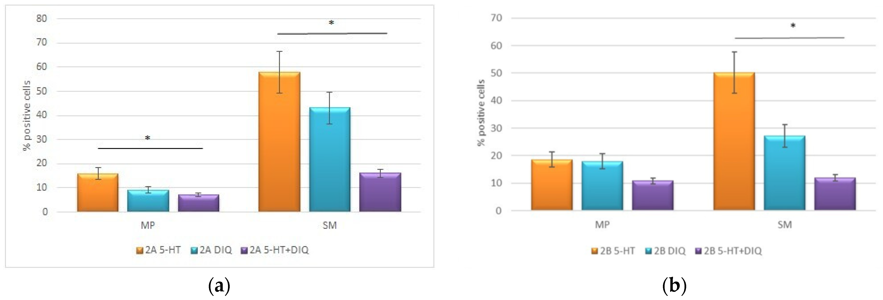
2.2.2. 5-HT2A and 5-HT2B Immune Reaction Determination
3. Materials and Methods
3.1. Solutions and Chemicals
3.2. Smooth Muscle Preparations
3.3. Registration of the Mechanical Activity of Rat Circular Gastric SM
3.4. Histological Examination
3.4.1. Hematoxylin-Eosin Staining
3.4.2. Immunohistochemistry
3.4.3. Quantitative Analysis of IHC Reactions
3.5. Statistics
4. Conclusions
Author Contributions
Funding
Institutional Review Board Statement
Informed Consent Statement
Data Availability Statement
Acknowledgments
Conflicts of Interest
References
- Shang, X.-F.; Yang, C.-J.; Morris-Natschke, S.L.; Li, J.-C.; Yin, X.-D.; Liu, Y.-Q.; Guo, X.; Peng, J.-W.; Goto, M.; Zhang, J.-Y.; et al. Biologically active isoquinoline alkaloids covering 2014–2018. Med. Res. Rev. 2020, 40, 2212–2289. [Google Scholar] [CrossRef] [PubMed]
- Khan, A.Y.; Kumar, G.S. Natural isoquinoline alkaloids: Binding aspects to functional proteins, serum albumins, hemoglobin, and lysozyme. Biophys. Rev. 2015, 7, 407–420. [Google Scholar] [CrossRef] [PubMed]
- Qian, J.-Q. Cardiovascular pharmacological effects of bisbenzylisoquinoline alkaloid derivatives. Acta Pharmacol. Sin. 2002, 23, 1086–1092. [Google Scholar] [PubMed]
- Qing, Z.-X.; Yang, P.; Tang, Q.; Cheng, P.; Liu, X.-B.; Zheng, Y.J.; Liu, Y.-S.; Zeng, J.-G. Isoquinoline alkaloids and their antiviral, antibacterial, and antifungal activities and structure-activity relationship. Curr. Org. Chem. 2017, 21, 1920–1934. [Google Scholar] [CrossRef]
- Sharma, D.; Sharma, N.; Manchanda, N.; Prasad, S.K.; Sharma, P.C.; Thakur, V.K.; Rahman, M.M.; Dhobi, M. Bioactivity and in silico studies of isoquinoline and related alkaloids as promising antiviral agents: An insight. Biomolecules 2023, 13, 17. [Google Scholar] [CrossRef] [PubMed]
- Ahmed, W.; Huang, Z.-H.; Cui, Z.-N.; Tang, R.-Y. Design and synthesis of unique thiazoloisoquinolinium thiolates and derivatives. Chin. Chem. Lett. 2021, 32, 3211–3214. [Google Scholar] [CrossRef]
- Bentley, K.W. β-Phenylethylamines and the isoquinoline alkaloids. Nat. Prod. Rep. 2006, 23, 444–463. [Google Scholar] [CrossRef]
- Luo, C.; Ampomah-Wireko, M.; Wang, H.; Wu, C.; Wang, Q.; Zhang, H.; Cao, Y. Isoquinolines: Important cores in many marketed and clinical drugs. Anticancer Agents Med. Chem. 2021, 21, 811–824. [Google Scholar] [CrossRef] [PubMed]
- Milusheva, M.; Gledacheva, V.; Stefanova, I.; Nikolova, S. 1-(2-Chlorophenyl)-6,7-dimethoxy-3-methyl-3,4-dihydroisoquinoline. Molbank 2023, 2023, M1608 . [Google Scholar] [CrossRef]
- Hendrickx, S.; Caljon, G.; Maes, L. Need for sustainable approaches in antileishmanial drug discovery. Parasitol. Res. 2019, 118, 2743–2752. [Google Scholar] [CrossRef]
- Alqudah, M.; Razzaq, R.A.; Alfaqih, M.A.; Al-Shboul, O.; Al-Dwairi, A.; Taha, S. Mechanism of oxytocin-induced contraction in rat gastric circular smooth muscle. Int. J. Mol. Sci. 2023, 24, 441. [Google Scholar] [CrossRef]
- Jespersen, B.; Tykocki, N.; Watts, S.; Cobbett, P. Measurement of smooth muscle function in the isolated tissue bath-applications to pharmacology research. J. Vis. Exp. 2015, 95, 52324. [Google Scholar] [CrossRef]
- Röhm, K.; Diener, M.; Huber, K.; Seifert, J. Characterization of cecal smooth muscle contraction in laying hens. Vet. Sci. 2021, 8, 91. [Google Scholar] [CrossRef]
- Matthew, A.; Shmygol, A.; Wray, S. Ca2+ entry, efflux and release in smooth muscle. Biol. Res. 2004, 37, 617–624. [Google Scholar] [CrossRef] [PubMed]
- Ivanov, I.; Nikolova, S.; Aladjov, D.; Stefanova, I.; Zagorchev, P. Synthesis and contractile activity of substituted 1,2,3,4-tetrahydroisoquinolines. Molecules 2011, 16, 7019–7042. [Google Scholar] [CrossRef]
- Gledacheva, V.N.; Stefanova, I.D.; Slavchev, V.I.; Ardasheva, R.G.; Kristev, A.D.; Nikolova, S.A.; Saracheva, K.E.; Dimitrova, D.S. Impact of a newly synthesized molecule (2-chloro-N-(1-(3,4-dimethoxyphenyl) propan-2-yl)-2-phenylacetamide) on the bioelectrogenesis and the contractile activity of isolated smooth muscles. Folia Med. 2020, 62, 532–538. [Google Scholar] [CrossRef]
- Gledacheva, V.; Pencheva, M.; Nikolova, S.; Stefanova, I. Ability of 2-chloro-N-(1-(3,4-dimethoxyphenyl)propan-2-yl)-2-phenylacetamide to stimulate endogenous nitric oxide synthesis. Appl. Sci. 2022, 12, 4473. [Google Scholar] [CrossRef]
- Milusheva, M.; Gledacheva, V.; Batmazyan, M.; Nikolova, S.; Stefanova, I.; Dimitrova, D.; Saracheva, K.; Tomov, D.; Chaova-Gizdakova, V. Ex vivo and in vivo study of some isoquinoline precursors. Sci. Pharm. 2022, 90, 37. [Google Scholar] [CrossRef]
- Milusheva, M.; Gledacheva, V.; Stefanova, I.; Pencheva, M.; Mihaylova, R.; Tumbarski, Y.; Nedialkov, P.; Cherneva, E.; Todorova, M.; Nikolova, S. In silico, in vitro, and ex vivo biological activity of some novel mebeverine precursors. Biomedicines 2023, 11, 605. [Google Scholar] [CrossRef]
- Drazen, J.; Lewis, R.; Austen, F.; Toda, M.; Brion, F.; Marfat, A.; Corey, E. Contractile activities of structural analogs of leukotrienes C and D: Necessity of a hydrophobic region. Proc. Nati. Acad. Sci. USA 1981, 78, 3195–3198. [Google Scholar] [CrossRef]
- Zhang, D.; Fan, G. Application of Conjugated Materials in Muscle Movement Recovery Process. Front. Chem. 2023, 11, 1246926. [Google Scholar] [CrossRef] [PubMed]
- Gonzalez, C.; Silva-Ramirez, A.S.; Navarro-Tovar, G.; Barrios-Capuchino, J.J.; Rocha-Uribe, A. Effect of the Double Bond Conjugation on the Vascular Physiology and Nitric Oxide Production of Isomers of Eicosapentaenoic and Docosahexaenoic Acids Prepared from Shark Oil. PLoS ONE 2020, 15, e0229435. [Google Scholar] [CrossRef] [PubMed]
- Tanahashi, Y.; Komori, S.; Matsuyama, H.; Kitazawa, T.; Unno, T. Functions of muscarinic receptor subtypes in gastrointestinal smooth muscle: A review of studies with receptor-knockout mice. Int. J. Mol. Sci. 2021, 22, 926. [Google Scholar] [CrossRef] [PubMed]
- Li, C.B.; Yang, X.; Tang, W.B.; Liu, C.Y.; Xie, D.P. Arecoline excites the contraction of distal colonic smooth muscle strips in rats via the M3 receptor-extracellular Ca2+ influx–Ca2+ store release pathway. Can. J. Physiol. Pharmacol. 2010, 88, 439–447. [Google Scholar] [CrossRef] [PubMed]
- Tanahashi, Y.; Kitazawa, T.; Unno, T. Muscarinic Regulation of Gastrointestinal Motility. Neuromethods 2024, 211, 307–340. [Google Scholar] [CrossRef]
- Giachetti, A.; Giraldo, E.; Ladinsky, H.; Montagna, E. Binding and functional profiles of the selective M1 muscarinic receptor antagonists trihexyphenidyl and dicyclomine. Br. J. Pharmacol. 1986, 89, 83–90. [Google Scholar] [CrossRef] [PubMed]
- Yu, M.; Robinson, N.E.; Wang, Z.; Derksen, F.J. Muscarinic receptor subtypes in equine tracheal smooth muscle. Vet. Res. Commun. 1992, 16, 301–310. [Google Scholar] [CrossRef] [PubMed]
- May, L.T.; Lin, Y.; Sexton, P.M.; Christopoulos, A. Regulation of M2 muscarinic acetylcholine receptor expression and signaling by prolonged exposure to allosteric modulators. J. Pharmacol. Exp. Ther. 2005, 312, 382–390. [Google Scholar] [CrossRef]
- Kruse, A.C.; Hu, J.; Pan, A.C.; Arlow, D.H.; Rosenbaum, D.M.; Rosemond, E.; Green, H.F.; Liu, T.; Chae, P.S.; Dror, R.O.; et al. Structure and dynamics of the M3 muscarinic acetylcholine receptor. Nature 2012, 482, 552–556. [Google Scholar] [CrossRef]
- Ehlert, F.J.; Sawyer, G.W.; Esqueda, E.E. Contractile role of M2 and M3 muscarinic receptors in gastrointestinal smooth muscle. Life Sci. 1999, 64, 387–394. [Google Scholar] [CrossRef]
- Santander, R.; Mena, I.; Gramisu, M.; Valenzuela, J.E. Effect of nifedipine on gastric emptying and gastrointestinal motility in man. Dig. Dis. Sci. 1988, 33, 535–539. [Google Scholar] [CrossRef] [PubMed]
- Nayler, W.G.; Poole-Wilson, P. Calcium antagonists: Definition and mode of action. Basic. Res. Cardiol. 1980, 76, 1–15. [Google Scholar] [CrossRef] [PubMed]
- Yang, X.; Lou, J.; Shan, W.; Ding, J.; Jin, Z.; Hu, Y.; Du, Q.; Xie, Q.L.R.; Xu, J. Pathophysiologic role of neurotransmitters in digestive diseases. Front. Physiol. 2021, 12, 567650. [Google Scholar] [CrossRef]
- Hirafuji, M.; Nezu, A.; Kanai, Y.; Ebihara, T.; Kawahara, F.; Tanimura, A.; Minami, M. Effect of 5-hydroxytryptamine on intracellular calcium dynamics in cultured rat vascular smooth muscle cells. Res. Commun. Mol. Pathol. Pharmacol. 1998, 99, 305–319. [Google Scholar] [CrossRef]
- Guzel, T.; Mirowska-Guzel, D. The role of serotonin neurotransmission in gastrointestinal tract and pharmacotherapy. Molecules 2022, 27, 1680. [Google Scholar] [CrossRef]
- Talley, N.J. Serotoninergic neuroenteric modulators. Lancet 2001, 358, 2061–2068. [Google Scholar] [CrossRef] [PubMed]







| SMP Tonus Caused by DIQ (50 μM) (Autocontrol), mN | Background Agent, μM | Time of Incubation of Background Agent, min | Changes in the Tonus of SMPs on the Background Agent, mN | n | p |
|---|---|---|---|---|---|
| 3.40 ± 0.31 | arecoline | 15 | 1.99 ± 0.19 * | 11 | 0.04 |
| (0.1 μM) | |||||
| 3.23 ± 0.16 | atropine | 30 | 1.23 ± 0.13 * | 11 | 0.03 |
| (10 μM) | |||||
| 3.42 ± 0.20 | ipratropium | 30 | 1.67 ± 0.08 * | 11 | 0.01 |
| (1 μM) | |||||
| 3.50 ± 0.12 | dicyclomine | 30 | 3.48 ± 0.17 | 10 | 0.05 |
| (10 μM) | |||||
| 3.43 ± 0.10 | pirenzepine | 90 | 3.29 ± 0.09 | 10 | 0.06 |
| (10 μM) | |||||
| 3.48 ± 0.21 | gallamine | 90 | 3.08 ± 0.20 | 10 | 0.06 |
| (10 μM) | |||||
| 3.37 ± 0.22 | alcuronium | 90 | 3.12 ± 0.26 | 10 | 0.07 |
| (10 μM) | |||||
| 3.09 ± 0.08 | 4-DAMP | 90 | 1.72 ± 0.11 * | 10 | 0.04 |
| (0.3 μM) | |||||
| 3.39 ± 0.18 | tiotropium | 90 | 1.91 ± 0.14 * | 10 | 0.03 |
| (5 μM) | |||||
| 3.22 ± 0.24 | hexamethonium | 30 | 3.02 ± 0.12 | 9 | 0.05 |
| (0.1 μM) | |||||
| 3.34 ± 0.28 | decamethonium | 30 | 3.31 ± 0.20 | 9 | 0.06 |
| (0.1 μM) | |||||
| 2.99 ± 0.17 | nifedipine | 35 | 0.36 ± 0.06 * | 12 | 0.01 |
| (0.5 μM) | |||||
| 3.01 ± 0.09 | verapamil | 15 | 0.73 ± 0.09 * | 12 | 0.01 |
| (0.3 μM) |
| Tonus of SMPs Caused by the Impact Agent (Autocontrol), mN | Background Agent, μM | Time of Incubation of Background Agent, Min | Changes in the Tonus of SMPs on the Background Agent, mN | n | p |
|---|---|---|---|---|---|
| DIQ (50 μM) | ACh (1 μM) | 15 | 1.15 ± 0.09 * | 16 | 0.01 |
| 2.36 ± 0.12 | |||||
| DIQ (50 μM) | 5-HT (1 μM) | 15 | 0.99 ± 0.17 * | 16 | 0.03 |
| 2.57 ± 0.10 | |||||
| ACh (1 μM) | DIQ (50 μM) | 20 | 4.85 ± 0.24 | 18 | 0.64 |
| 4.87 ± 0.25 | |||||
| 5-HT (1 μM) | DIQ (50 μM) | 20 | 2.46 ± 0.23 * | 18 | 0.04 |
| 3.88 ± 0.16 |
Disclaimer/Publisher’s Note: The statements, opinions and data contained in all publications are solely those of the individual author(s) and contributor(s) and not of MDPI and/or the editor(s). MDPI and/or the editor(s) disclaim responsibility for any injury to people or property resulting from any ideas, methods, instructions or products referred to in the content. |
© 2024 by the authors. Licensee MDPI, Basel, Switzerland. This article is an open access article distributed under the terms and conditions of the Creative Commons Attribution (CC BY) license (https://creativecommons.org/licenses/by/4.0/).
Share and Cite
Slavchev, V.; Gledacheva, V.; Pencheva, M.; Milusheva, M.; Nikolova, S.; Stefanova, I. Therapeutic Potential of 1-(2-Chlorophenyl)-6,7-dimethoxy-3-methyl-3,4-dihydroisoquinoline. Molecules 2024, 29, 3804. https://doi.org/10.3390/molecules29163804
Slavchev V, Gledacheva V, Pencheva M, Milusheva M, Nikolova S, Stefanova I. Therapeutic Potential of 1-(2-Chlorophenyl)-6,7-dimethoxy-3-methyl-3,4-dihydroisoquinoline. Molecules. 2024; 29(16):3804. https://doi.org/10.3390/molecules29163804
Chicago/Turabian StyleSlavchev, Valeri, Vera Gledacheva, Mina Pencheva, Miglena Milusheva, Stoyanka Nikolova, and Iliyana Stefanova. 2024. "Therapeutic Potential of 1-(2-Chlorophenyl)-6,7-dimethoxy-3-methyl-3,4-dihydroisoquinoline" Molecules 29, no. 16: 3804. https://doi.org/10.3390/molecules29163804
APA StyleSlavchev, V., Gledacheva, V., Pencheva, M., Milusheva, M., Nikolova, S., & Stefanova, I. (2024). Therapeutic Potential of 1-(2-Chlorophenyl)-6,7-dimethoxy-3-methyl-3,4-dihydroisoquinoline. Molecules, 29(16), 3804. https://doi.org/10.3390/molecules29163804

