Synthesis of N-(3-Acyloxyacyl)glycines, Small Molecules with Potential Role in Gut Microbiome-Endocannabinoidome Communication
Abstract
1. Introduction
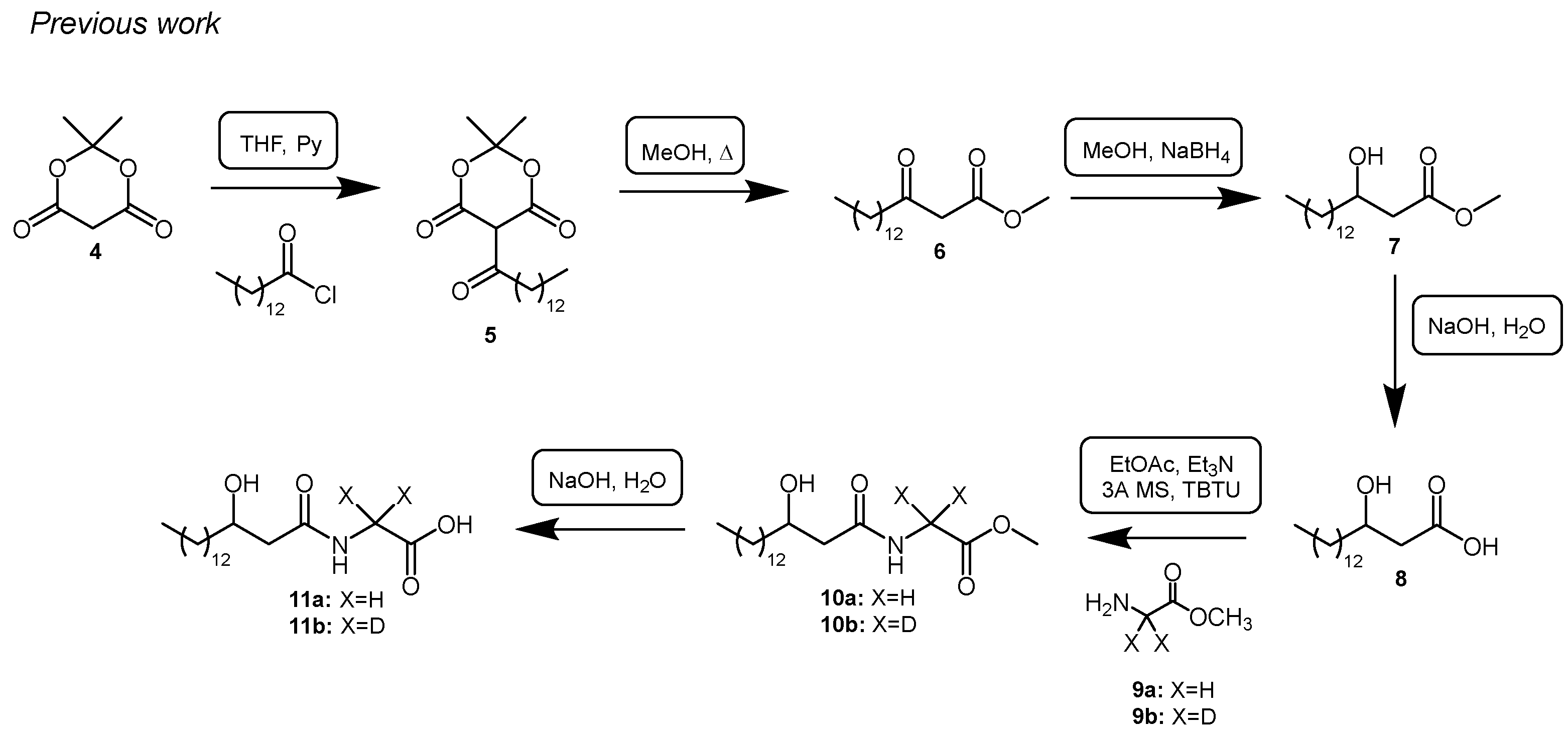
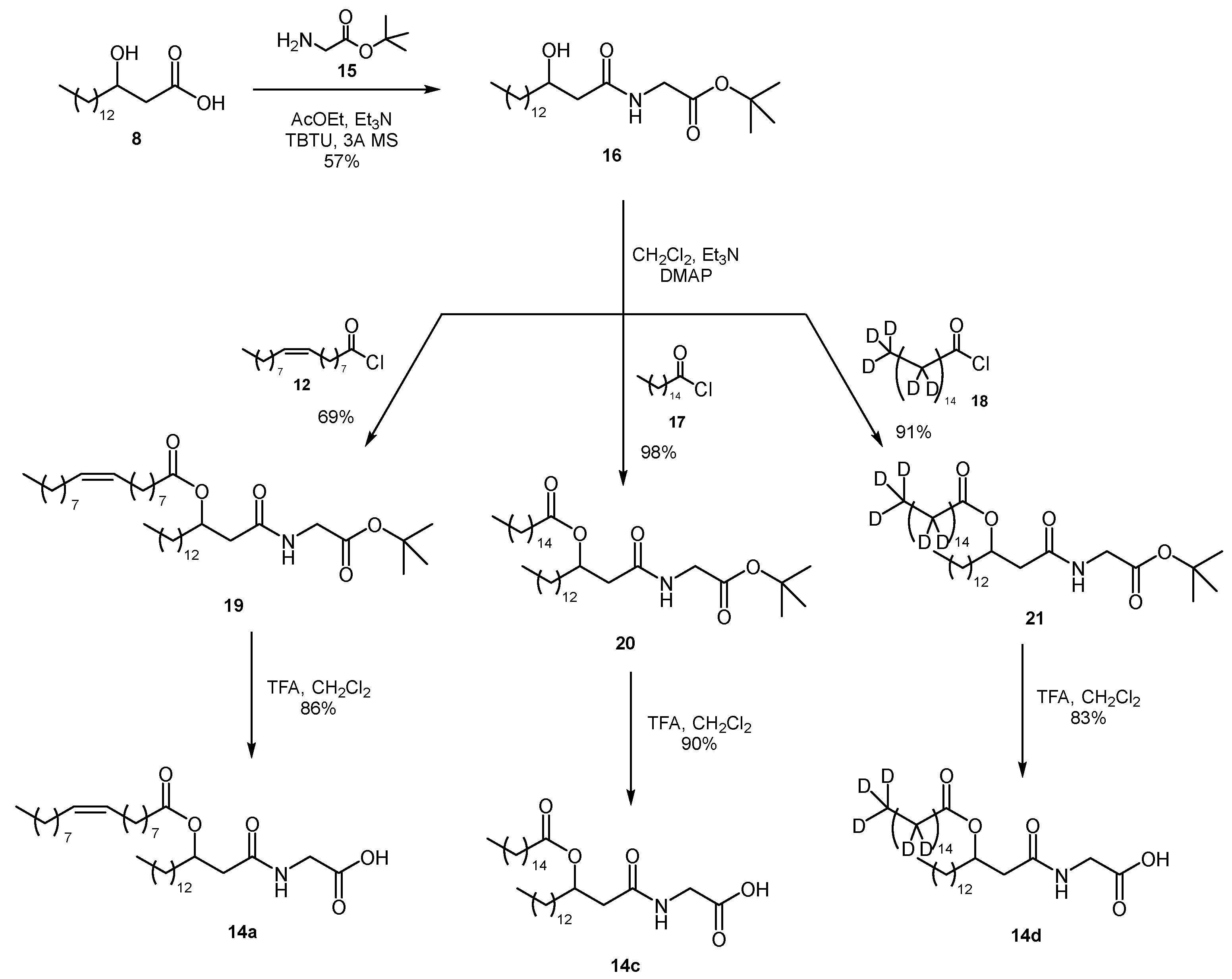
2. Results and Discussion
3. Materials and Methods
3.1. General
3.2. Procedures
4. Conclusions
Supplementary Materials
Author Contributions
Funding
Institutional Review Board Statement
Informed Consent Statement
Data Availability Statement
Conflicts of Interest
References
- Morishita, T.; Sato, A.; Hisamoto, M.; Oda, T.; Matsuda, K.; Ishii, A.; Kodama, K. N-Type calcium channel blockers from a marine bacterium, Cytophaga sp. SANK 71996. J. Antibiot. 1997, 50, 457–468. [Google Scholar] [CrossRef] [PubMed]
- Suzuki, K.; Yamaguchi, H.; Miyazaki, S.; Nagai, K.; Watanabe, S.-I.; Saito, T. Topostin, a novel inhibitor of mammalian DNA Topoisomerase I from Flexibacter Topostinus sp. NOV. J. Antibiot. 1990, 43, 154. [Google Scholar] [CrossRef] [PubMed]
- Nemoto, T.; Ojika, M.; Takahata, Y.; Andoh, T.; Sakagami, Y. Structures of Topostins, DNA Topoisomerase I inhibitors of bacterial origin. Tetrahedron 1998, 54, 2683–2690. [Google Scholar] [CrossRef]
- Riecan, M.; Paluchova, V.; Lopes, M.; Brejchova, K.; Kuda, O. Branched and linear fatty acid esters of hydroxy fatty acids (FAHFA) relevant to human health. Pharmacol. Ther. 2022, 231, 107972. [Google Scholar] [CrossRef]
- Lynch, A.; Tammireddy, S.R.; Doherty, M.K.; Whitfield, P.D.; Clarke, D.J. The glycine lipids of Bacteroides thetaiotaomicron are important for fitness during growth in vivo and in vitro. Appl. Environ. Microbiol. 2019, 85, e02157-18. [Google Scholar] [CrossRef] [PubMed]
- Lynch, A.; Crowley, E.; Casey, E.; Cano, R.; Shanahan, R.; McGlacken, G.; Marchesi, J.R.; Clarke, D.J. The Bacteroidales produce an N-acylated derivative of glycine with both cholesterol-solubilising and hemolytic activity. Sci. Rep. 2017, 7, 13270–13280. [Google Scholar] [CrossRef]
- Cohen, L.J.; Kang, H.-S.; Chu, J.; Huang, Y.-H.; Gordon, E.A.; Reddy, B.V.B.; Ternei, M.A.; Craig, J.W.; Brady, S.F. Functional metagenomic discovery of bacterial effectors in the human microbiome and isolation of commendamide, a GPCR G2A/132 agonist. Proc. Natl. Acad. Sci. USA 2015, 112, E4825–E4834. [Google Scholar] [CrossRef]
- Cohen, L.J.; Esterhazy, D.; Kim, S.-H.; Lemetre, C.; Aguilar, R.R.; Gordon, E.A.; Pickard, A.J.; Cross, J.R.; Emiliano, A.B.; Han, S.M.; et al. Commensal bacteria make GPCR ligands that mimic human signaling molecules. Nature 2017, 549, 48–53. [Google Scholar] [CrossRef] [PubMed]
- Iannotti, F.A.; Di Marzo, V. The gut microbiome, endocannabinoids and metabolic disorders. J. Endocrinol. 2021, 248, R83–R97. [Google Scholar] [CrossRef] [PubMed]
- Silvestri, C.; Di Marzo, V. The Gut Microbiome-Endocannabinoidome Axis: A new way of controlling metabolism, inflammation and behavior. Function 2023, 4, zqad003. [Google Scholar] [CrossRef] [PubMed]
- Nicolaou, K.C. Organic synthesis: The art and science of replicating the molecules of living nature and creating others like them in the laboratory. Proc. R. Soc. A 2014, 470, 20130690. [Google Scholar] [CrossRef] [PubMed]
- Di Martino, R.M.C.; Maxwell, B.D.; Pirali, T. Deuterium in drug discovery: Progress, opportunities and challenges. Nat. Rev. Drug Discov. 2023, 22, 562–584. [Google Scholar] [CrossRef] [PubMed]
- Brun, V.; Masselon, C.; Garin, J.; Dupuis, A. Isotope dilution strategies for absolute quantitative proteomics. J. Proteom. 2009, 72, 740–749. [Google Scholar] [CrossRef] [PubMed]
- Bąchor, R.; Modzel, M.; Cebrat, M.; Kijewska, M.; Waliczek, M.; Kuczer, M.; Biernat, M.; Stefanowicz, P.; Kluczyk, A. Two is better than one: Deuterium in analytical mass spectrometry. Trends Anal. Chem. 2024, 178, 117842. [Google Scholar] [CrossRef]
- Yoshida, K.; Iwami, M.; Umehara, Y.; Nishikawa, M.; Uchida, I.; Kohsaka, M.; Aoki, H.; Imanaka, H. Studies on WB-3559A, B, C, and D, new potent fibrinolytic agents. I. Discovery, identification, isolation, and characterization. J. Antibiot. 1985, 38, 1469–1475. [Google Scholar] [CrossRef] [PubMed]
- Shiozaki, M.; Deguchi, N.; Mochizuki, T.; Wakabayashi, T.; Ishikawa, T.; Haruyama, H.; Kawai, Y.; Nishijima, M. Revised structure and synthesis of Flavolipin. Tetrahedron 1998, 54, 11861–11876. [Google Scholar] [CrossRef]
- Villano, R.; Tinto, F.; Di Marzo, V. Facile and Sustainable Synthesis of Commendamide and its Analogues. Front. Chem. 2022, 10, 858854. [Google Scholar] [CrossRef] [PubMed]
- Wu, X.-A.; Ying, P.; Liu, J.-Y.; Shen, H.-S.; Chen, Y.; He, L. Lithium Chloride–Assisted Selective Hydrolysis of Methyl Esters Under Microwave Irradiation. Synth. Commun. 2009, 39, 3459–3470. [Google Scholar] [CrossRef]
- Dauben, W.G.; Bridon, D.P.; Kowalczyk, B.A. Sonication-induced halogenative decarboxylation of thiohydroxamic esters. J. Org. Chem. 1989, 54, 6101–6106. [Google Scholar] [CrossRef]




Disclaimer/Publisher’s Note: The statements, opinions and data contained in all publications are solely those of the individual author(s) and contributor(s) and not of MDPI and/or the editor(s). MDPI and/or the editor(s) disclaim responsibility for any injury to people or property resulting from any ideas, methods, instructions or products referred to in the content. |
© 2024 by the authors. Licensee MDPI, Basel, Switzerland. This article is an open access article distributed under the terms and conditions of the Creative Commons Attribution (CC BY) license (https://creativecommons.org/licenses/by/4.0/).
Share and Cite
Villano, R.; Di Marzo, V. Synthesis of N-(3-Acyloxyacyl)glycines, Small Molecules with Potential Role in Gut Microbiome-Endocannabinoidome Communication. Molecules 2024, 29, 3703. https://doi.org/10.3390/molecules29153703
Villano R, Di Marzo V. Synthesis of N-(3-Acyloxyacyl)glycines, Small Molecules with Potential Role in Gut Microbiome-Endocannabinoidome Communication. Molecules. 2024; 29(15):3703. https://doi.org/10.3390/molecules29153703
Chicago/Turabian StyleVillano, Rosaria, and Vincenzo Di Marzo. 2024. "Synthesis of N-(3-Acyloxyacyl)glycines, Small Molecules with Potential Role in Gut Microbiome-Endocannabinoidome Communication" Molecules 29, no. 15: 3703. https://doi.org/10.3390/molecules29153703
APA StyleVillano, R., & Di Marzo, V. (2024). Synthesis of N-(3-Acyloxyacyl)glycines, Small Molecules with Potential Role in Gut Microbiome-Endocannabinoidome Communication. Molecules, 29(15), 3703. https://doi.org/10.3390/molecules29153703

