The Comparison of Catalytic Activity of Carbimazole and Methimazole on Electroreduction of Zinc (II) in Chlorates (VII): Experimental and Molecular Modelling Study
Abstract
1. Introduction
- -
- Whether carbimazole adsorbs on the surface of the mercury electrode;
- -
- How carbimazole adsorption affects the kinetics of the electroreduction of Zn2+ ions;
- -
- Does the increase in the concentration of the supporting electrolyte in solutions containing carbimazole affect the electrodeposition of zinc on mercury?
2. Results and Discussion
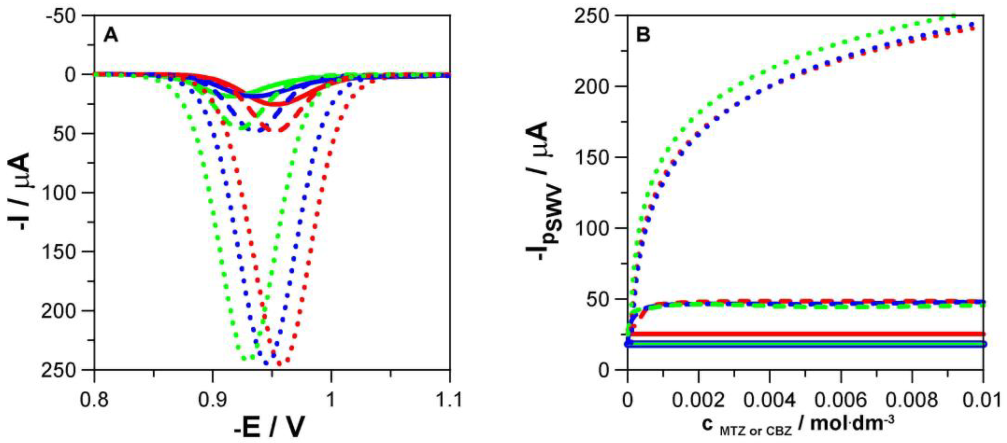
2.1. Adsorption Behavior of Methimazole and Carbimazole
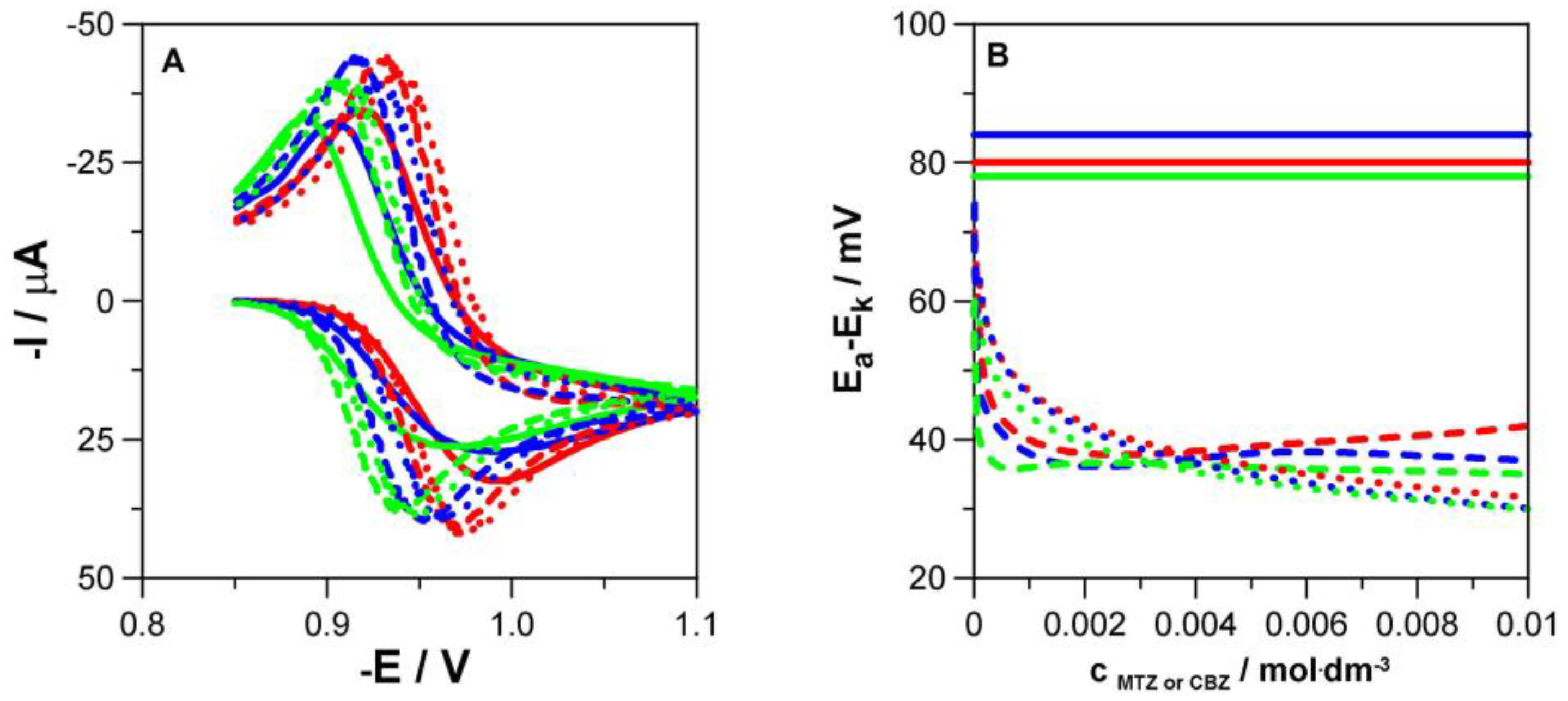
2.2. The Kinetics of Electroreduction of Zn2+ Ions in the Presence of Methimazole and Carbimazole
- -
- The increase in the concentration of MTZ and CBZ caused the increase in the kf value. These values also increased with the increase in the concentration of the supporting electrolyte;
- -
- The catalytic effect of both drugs was greater in a more negative potential range, where the kf values determined the rate of transfer of the first electron. It can, therefore, be concluded that active complexes Zn2+-MTZ or Zn2+-CBZ are formed on the mercury surface before the exchange of the first electron. It should be assumed that the active complex also takes part in the exchange of the second electron, but with a different composition. According to Marcus’ theory, after the depolarizer ion partially loses its charge, its solvation shell changes [25].
2.3. Theoretical Analysis of Investigated Systems
3. Materials and Methods

4. Elaboration of Experimental Data
5. Computational Methods
6. Conclusions
Supplementary Materials
Author Contributions
Funding
Institutional Review Board Statement
Informed Consent Statement
Data Availability Statement
Conflicts of Interest
References
- Pereira, J.K.A.; Costa, A.G.C.; Rodrigues, E.S.B.; Macêdo, I.Y.L.; Pereira, M.O.A.; Menegatti, R.; de Oliveira, S.C.B.; Guimarães, F.; Lião, L.M.; Sabino, J.R.; et al. LQFM289: Electrochemical and Computational Studies of a New Trimetozine Analogue for Anxiety Treatment. Int. J. Mol. Sci. 2023, 24, 14575. [Google Scholar] [CrossRef] [PubMed]
- Nikzad, N.; Rafiee, M. Electrochemical study of drug metabolism. Curr. Opin. Electrochem. 2024, 44, 101446. [Google Scholar] [CrossRef]
- Nosal-Wiercińska, A.; Martyna, M.; Szabelska, A.; Gołębiowska, B. Catalysis of Indium Ion Electroreduction in the Presence of Acetazolamide in Chlorates(VII) Solutions with VariedWater Activity. ChemPhysChem 2024, 25, e202300789. [Google Scholar] [CrossRef] [PubMed]
- Hibino, H. Toward Interdisciplinary Collaboration between Electrochemistry and Physiology: Status Quo, Challenges, and Prospects. Electrochemistry 2024, 92, 022002. [Google Scholar] [CrossRef]
- Ramotowska, S.; Ciesielska, A.; Makowski, M. What can electrochemical methods offer in determining DNA–drug interactions? Molecules 2021, 26, 3478. [Google Scholar] [CrossRef] [PubMed]
- Süzen, S.; Demírcígíl, B.T.; Buyukbingol, E.; Özkan, S.A. Electroanalytical evaluation and determination of 5-(3′-indolyl)-2-thiohydantoin derivatives by voltammetric studies: Possible relevance to in vitro metabolism. New J. Chem. 2003, 27, 1007–1011. [Google Scholar]
- Michałowski, P.; Bielicka-Daszkiewicz, K. Synthesis and reactivity of carbimazole. In The Book of Articles National Scientific Conferences; Promovendi Foundation: Łódź, Poland, 2023; pp. 228–230. [Google Scholar]
- Seyidahmet, S.; Dönmez, F.; Yardım, Y.; Şentürk, Z. Simple, rapid, and sensitive electrochemical determination of antithyroid drugmethimazole using a boron-doped diamond electrode. JICS 2019, 16, 913–920. [Google Scholar] [CrossRef]
- Fijalek, Z.; Zuman, P. Determination of Methimazole and Carbimazole Using Polarography and Voltammetry. Anal. Lett. 1990, 23, 1213. [Google Scholar]
- Debasis, D.; Gouriprasanna, R.; Govindasamy, M. Antithyroid Drug Carbimazole and Its Analogues: Synthesis and Inhibition of Peroxidase-Catalyzed Iodination of l-Tyrosine. J. Med. Chem. 2008, 51, 7313–7317. [Google Scholar]
- Yilmaz, B.; Yasar, H. Determination of Methimazole in Pharmaceutical Preparation and Human Serum by Square Wave and Differential Pulse Polarographic Methods. J. Adv. Pharm. Res. 2020, 4, 63–71. [Google Scholar]
- Sarna, K.; Fijałek, Z. Voltammetric and Electrochemical Quartz Crystal Microbalance Study of Antithyroid Drngs. Chem. Anal. 1997, 42, 425–433. [Google Scholar]
- Nieszporek, J.; Gugała-Fekner, D.; Nieszporek, K. The Effect of Supporting Electrolyte Concentration on Zinc Electrodeposition Kinetics from Methimazole Solutions. Electroanalysis 2019, 31, 1141–1149. [Google Scholar]
- Sykut, K.; Dalmata, G.; Nowicka, B.; Saba, J. Acceleration of electrode processes by organic compounds–cap-pair effect. J. Electroanal. Chem. 1978, 90, 299–302. [Google Scholar]
- Pezzatini, G.; Moncelli, M.R.; Guidelli, R. Comparative adsorption study of thiourea on mercury and gallium from aqueous 0.5 M Na2SO4 at 32 °C. J. Electroanal. Chem. 1991, 301, 227–240. [Google Scholar]
- May, M.; Khalifa, K.; Ali, B. Corrosion Inhibition of Mild Steel by Using Carbimazole/Zn+ System in NaCl Medium. Am. J. Mech. Mater. Eng. 2019, 3, 70–77. [Google Scholar]
- Sieńko, D.; Gugała, D.; Nieszporek, J.; Jankowska, J.; Saba, J. Adsorption of methimazole on the mercury electrode. Electrochim. Acta 2006, 51, 2273–2277. [Google Scholar]
- Nosal-Wiercińska, A.; Dalmata, G. Adsorption of N,N′-dimethylthiourea at a mercury/aqueous solution of NaClO4 interface; dependence on the supporting electrolyte concentration. Electrochim. Acta 2006, 51, 6179–6185. [Google Scholar]
- Martyna, M.; Pawlak, A.; Grochowski, M.; Bazan-Woźniak, A.; Pietrzak, R.; Nosal-Wiercińska, A. Adsorption of 4-aminopyrimidine at the R-AgLAFE/chlorate(VII) interface. Comparison of the adsorption properties of various water activity as well as different surfactants. Physicochem. Probl. Miner. Process. 2023, 59, 170204. [Google Scholar]
- Gugała-Fekner, D. Adenine adsorption in different pH acetate buffer. Physicochem. Probl. Miner. Process. 2022, 58, 144446. [Google Scholar]
- Skompska, M. The effect of LiClO4 concentration on the adsorption behaviour of thiourea at the mercury-ethanolic solution interface. J. Electroanal. Chem. Interfacial Electrochem. 1991, 319, 331–339. [Google Scholar]
- Gugała, D.; Fekner, Z.; Sieńko, D.; Nieszporek, J.; Saba, J. Adsorption of 1,1,3,3-tetramethyl-2-thiourea on the mercury electrode: Dependence on the concentration of the base electrolyte. Electrochim. Acta 2004, 49, 2227–2236. [Google Scholar] [CrossRef]
- Nieszporek, J. “Cap-Pair” Effect as the Reason of the Catalytic Properties of Nicotinic Acid: Experimental and Theoretical Studies. ChemPhysChem 2023, 24, e202200394. [Google Scholar] [CrossRef] [PubMed]
- Sanecki, P.; Skitał, P.; Kaczmarski, K. An integrated two phases approach to Zn2+ ions electroreduction on Hg. Electroanalysis 2006, 18, 595–604. [Google Scholar] [CrossRef]
- Marcus, R.A. Dynamical effects in electron transfer reactions. J. Chem. Phys. 1965, 43, 679–701. [Google Scholar] [CrossRef]
- Saba, J.; Sykut, K.; Dalmata, G.; Nieszporek, J. The influence of thiourea on the two-step electroreduction of Zn(II) ions. Monatsh. Chem. 1999, 130, 1453–1459. [Google Scholar] [CrossRef]
- Dalmata, G. The influence of N,N′-dialkylthioureas on the two-step electroreduction of Zn(II) ions. Collect. Czechoslov. Chem. Commun. 1998, 63, 749–760. [Google Scholar] [CrossRef]
- Fawcett, W.R. Double layer effects in the electrode kinetics of amalgam formation reactions: Part I. A comparison of the EE and IA mechanisms. J. Electroanal. Chem. 1991, 302, 13–29. [Google Scholar]
- Fawcett, W.R. Double layer effects in the electrode kinetics of amalgam formation reactions: Part II. A comparison of the CE and IE mechanisms. J. Electroanal. Chem. 1991, 310, 13–25. [Google Scholar]
- Sluyters-Rehbach, M.; Sluyters, J.H. A. C. Techniques. In Comprehensive Treatise of Electrochemistry; Yeager, E., Bockris, J.O.M., Conway, B.E., Sarangapani, S., Eds.; Plenum Press: New York, NY, USA, 1984; Volume 9, pp. 177–292. [Google Scholar]
- Berendsen, H.J.C.; van der Spoel, D.; van Drunen, R. GROMACS: A Message-Passing Parallel Molecular Dynamics Implementation. Comp. Phys. Comm. 1995, 91, 43–56. [Google Scholar] [CrossRef]
- Wang, J.; Wolf, R.M.; Caldwell, J.W.; Kollman, P.A.; Case, D.A. Development and testing of a general amber force field. J. Comput. Chem. 2004, 25, 1157–1174. [Google Scholar] [CrossRef] [PubMed]
- Vanquelef, E.; Simon, S.; Marquant, G.; Garcia, E.; Klimerak, G.; Delepine, J.C.; Cieplak, P.; Dupradeau, F.Y.R.E.D. Server: A web service for deriving RESP and ESP charges and building force field libraries for new molecules and molecular fragments. Nucl. Acids Res. 2011, 39, W511–W517. [Google Scholar] [CrossRef] [PubMed]
- Sousa da Silva, W.; Vranken, W.F. ACPYPE—AnteChamber PYthon Parser interfacE. BMC Res. Notes 2012, 5, 367. [Google Scholar] [CrossRef] [PubMed]


0,
1 × 10−5,
5 × 10−5,
1 × 10−4,
5 × 10−4,
1 × 10−3,
5 × 10−3,
1 × 10−2.
0,
1 × 10−5,
5 × 10−5,
1 × 10−4,
5 × 10−4,
1 × 10−3,
5 × 10−3,
1 × 10−2.



0,
1 × 10−5,
5 × 10−5,
1 × 10−4,
5 × 10−4,
1 × 10−3,
5 × 10−3,
1 × 10−2.
0,
1 × 10−5,
5 × 10−5,
1 × 10−4,
5 × 10−4,
1 × 10−3,
5 × 10−3,
1 × 10−2.







| Drug Concentration mol dm−3 | Radius of Sphere nm | Coordination Number | |
|---|---|---|---|
| carbimazole | 0 | 0.24 | 4.0 |
| 1 × 10−3 | 4.8 | ||
| 1 × 10−2 | 5.0 | ||
| methimazole | 0 | 0.24 | 4.0 |
| 1 × 10−3 | 4.8 | ||
| 1 × 10−2 | 5.1 |
| Drug Concentration mol dm−3 | Diffusion Coefficient Values cm2 s−1 | Diffusion Coefficient Values Determined Experimentally cm2 s−1 [13] |
|---|---|---|
| 0 Carbimazole/Methimazole | 0.6958 (±0.5583) × 10−5 | 0.661 × 10−5 |
| 10−3 Methimazole | 0.5632 (±0.4729) × 10−5 | 0.686 × 10−5 |
| 10−2 Methimazole | 0.6758 (±0.5287) × 10−5 | 0.719 × 10−5 |
| 10−3 Carbimazole | 0.7238 (±0.6496) × 10−5 | 0.755 × 10−5 |
| 10−2 Carbimazole | 0.7271 (±0.6686) × 10−5 | 0.822 × 10−5 |
Disclaimer/Publisher’s Note: The statements, opinions and data contained in all publications are solely those of the individual author(s) and contributor(s) and not of MDPI and/or the editor(s). MDPI and/or the editor(s) disclaim responsibility for any injury to people or property resulting from any ideas, methods, instructions or products referred to in the content. |
© 2024 by the authors. Licensee MDPI, Basel, Switzerland. This article is an open access article distributed under the terms and conditions of the Creative Commons Attribution (CC BY) license (https://creativecommons.org/licenses/by/4.0/).
Share and Cite
Nieszporek, J.; Pańczyk, T.; Nieszporek, K. The Comparison of Catalytic Activity of Carbimazole and Methimazole on Electroreduction of Zinc (II) in Chlorates (VII): Experimental and Molecular Modelling Study. Molecules 2024, 29, 3455. https://doi.org/10.3390/molecules29153455
Nieszporek J, Pańczyk T, Nieszporek K. The Comparison of Catalytic Activity of Carbimazole and Methimazole on Electroreduction of Zinc (II) in Chlorates (VII): Experimental and Molecular Modelling Study. Molecules. 2024; 29(15):3455. https://doi.org/10.3390/molecules29153455
Chicago/Turabian StyleNieszporek, Jolanta, Tomasz Pańczyk, and Krzysztof Nieszporek. 2024. "The Comparison of Catalytic Activity of Carbimazole and Methimazole on Electroreduction of Zinc (II) in Chlorates (VII): Experimental and Molecular Modelling Study" Molecules 29, no. 15: 3455. https://doi.org/10.3390/molecules29153455
APA StyleNieszporek, J., Pańczyk, T., & Nieszporek, K. (2024). The Comparison of Catalytic Activity of Carbimazole and Methimazole on Electroreduction of Zinc (II) in Chlorates (VII): Experimental and Molecular Modelling Study. Molecules, 29(15), 3455. https://doi.org/10.3390/molecules29153455

