Praseodymium-Doped Cr2O3 Prepared by In Situ Pyrolysis of MIL-101(Cr) for Highly Efficient Catalytic Oxidation of 1,2-Dichloroethane
Abstract
1. Introduction
2. Results and Discussion
2.1. Structural Properties
2.2. Surface Composition and Element Status
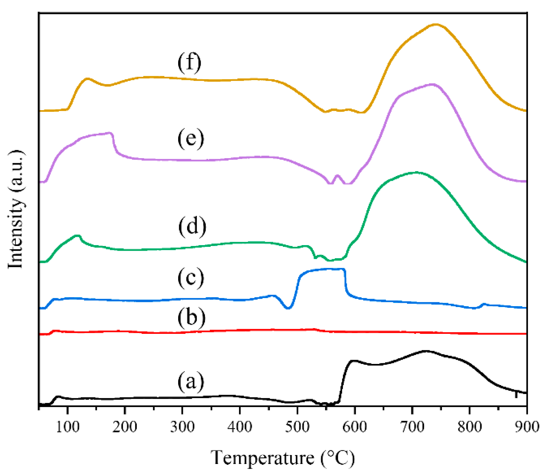
2.3. Surface Redox Properties and Acid Properties
2.4. Catalytic Performance and Structure-Activity Relationship
2.5. Durability Test
2.6. Characterization of Used Catalysts
3. Materials and Methods
3.1. Chemicals and Materials
3.2. Catalyst Preparation
3.2.1. Synthesis of MIL-101(Cr)
3.2.2. Synthesis of M-Cr and M-xPrCr
3.2.3. Synthesis of P-Cr and P-xPrCr
3.3. Catalyst Characterization
3.4. Catalytic Test
4. Conclusions
Supplementary Materials
Author Contributions
Funding
Institutional Review Board Statement
Informed Consent Statement
Data Availability Statement
Conflicts of Interest
References
- Li, N.; Gaillard, F. Catalytic combustion of toluene over electrochemically promoted Ag catalyst. Appl. Catal. B Environ. 2009, 88, 152–159. [Google Scholar] [CrossRef]
- Yang, P.; Fan, S.; Chen, Z.; Bao, G.; Zuo, S.; Qi, C. Synthesis of Nb2O5 based solid superacid materials for catalytic combustion of chlorinated VOCs. Appl. Catal. B Environ. 2018, 239, 114–124. [Google Scholar] [CrossRef]
- Zhang, X.; Liu, Y.; Deng, J.; Zhao, X.; Zhang, K.; Yang, J.; Han, Z.; Jiang, X.; Dai, H. Three-dimensionally ordered macroporous Cr2O3−CeO2: High-performance catalysts for the oxidative removal of trichloroethylene. Catal. Today 2020, 339, 200–209. [Google Scholar] [CrossRef]
- Wan, J.; Yang, P.; Guo, X.; Zhou, R. Elimination of 1,2-dichloroethane over (Ce,Cr)O2/Nb2O5 catalysts: Synergistic performance between oxidizing ability and acidity. Chin. J. Catal. 2019, 40, 1100–1108. [Google Scholar] [CrossRef]
- Pan, C.; Wang, W.; Zhang, Y.; Nam, J.C.; Wu, F.; You, Z.; Xu, J.; Li, J. Porous graphitized carbon-supported FeOCl as a bifunctional adsorbent-catalyst for the wet peroxide oxidation of chlorinated volatile organic compounds: Effect of mesopores and mechanistic study. Appl. Catal. B Environ. 2023, 330, 122659. [Google Scholar] [CrossRef]
- Mustafa, M.F.; Liu, Y.; Duan, Z.; Guo, H.; Xu, S.; Wang, H.; Lu, W. Volatile compounds emission and health risk assessment during composting of organic fraction of municipal solid waste. J. Hazard. Mater. 2017, 327, 35–43. [Google Scholar] [CrossRef] [PubMed]
- Huang, B.; Lei, C.; Wei, C.; Zeng, G. Chlorinated volatile organic compounds (Cl-VOCs) in environment—Sources, potential human health impacts, and current remediation technologies. Environ. Int. 2014, 71, 118–138. [Google Scholar] [CrossRef] [PubMed]
- Lin, F.; Zhang, Z.; Li, N.; Yan, B.; He, C.; Hao, Z.; Chen, G. How to achieve complete elimination of Cl-VOCs: A critical review on byproducts formation and inhibition strategies during catalytic oxidation. Chem. Eng. J. 2021, 404, 126534. [Google Scholar] [CrossRef]
- Sun, P.; Wang, W.; Dai, X.; Weng, X.; Wu, Z. Mechanism study on catalytic oxidation of chlorobenzene over MnxCe1−xO2/H-ZSM5 catalysts under dry and humid conditions. Appl. Catal. B Environ. 2016, 198, 389–397. [Google Scholar] [CrossRef]
- Yang, P.; Yang, S.; Shi, Z.; Meng, Z.; Zhou, R. Deep oxidation of chlorinated VOCs over CeO2-based transition metal mixed oxide catalysts. Appl. Catal. B Environ. 2015, 162, 227–235. [Google Scholar] [CrossRef]
- Yang, P.; Shi, Z.; Yang, S.; Zhou, R. High catalytic performances of CeO2–CrOx catalysts for chlorinated VOCs elimination. Chem. Eng. Sci. 2015, 126, 361–369. [Google Scholar] [CrossRef]
- Chen, Z.; Mao, J.; Zhou, R. Preparation of size-controlled Pt supported on Al2O3 nanocatalysts for deep catalytic oxidation of benzene at lower temperature. Appl. Surf. Sci. 2019, 465, 15–22. [Google Scholar] [CrossRef]
- Guo, Y.; Gao, Y.; Li, X.; Zhuang, G.; Wang, K.; Zheng, Y.; Sun, D.; Huang, J.; Li, Q. Catalytic benzene oxidation by biogenic Pd nanoparticles over 3D-ordered mesoporous CeO2. Chem. Eng. J. 2019, 362, 41–52. [Google Scholar] [CrossRef]
- Topka, P.; Delaigle, R.; Kaluža, L.; Gaigneaux, E.M. Performance of platinum and gold catalysts supported on ceria-zirconia mixed oxide in the oxidation of chlorobenzene. Catal. Today 2015, 253, 172–177. [Google Scholar] [CrossRef]
- Shi, Y.; Wang, J.; Zhou, R. Pt-support interaction and nanoparticle size effect in Pt/CeO2-TiO2 catalysts for low temperature VOCs removal. Chemosphere 2021, 265, 129127. [Google Scholar] [CrossRef] [PubMed]
- Jia, H.; Xing, Y.; Zhang, L.; Zhang, W.; Wang, J.; Zhang, H.; Su, W. Progress of catalytic oxidation of typical chlorined volatile organic compounds (CVOCs): A review. Sci. Total Environ. 2023, 865, 161063. [Google Scholar] [CrossRef]
- Sun, W.; Gong, B.; Pan, J.; Wang, Y.; Xia, H.; Zhang, H.; Dai, Q.; Wang, L.; Wang, X. Catalytic combustion of CVOCs over Cr Ti-oxide catalysts. J. Catal. 2020, 391, 132–144. [Google Scholar] [CrossRef]
- Feng, X.; Tian, M.; He, C.; Li, L.; Shi, J.-W.; Yu, Y.; Cheng, J. Yolk-shell-like mesoporous CoCrOx with superior activity and chlorine resistance in dichloromethane destruction. Appl. Catal. B Environ. 2020, 264, 118493. [Google Scholar] [CrossRef]
- Ye, N.; Li, Y.; Yang, Z.; Zheng, J.; Zuo, S. Rare earth modified kaolin-based Cr2O3 catalysts for catalytic combustion of chlorobenzene. Appl. Catal. A Gen. 2019, 579, 44–51. [Google Scholar] [CrossRef]
- Zhang, X.; Liu, Y.; Deng, J.; Jing, L.; Yu, X.; Han, Z.; Dai, H. Effect of transition metal oxide doping on catalytic activity of titania for the oxidation of 1,2-dichloroethane. Catal. Today 2021, 375, 623–634. [Google Scholar] [CrossRef]
- Wang, L.; Yu, X.; Wei, Y.; Liu, J.; Zhao, Z. Research advances of rare earth catalysts for catalytic purification of vehicle exhausts—Commemorating the 100th anniversary of the birth of Academician Guangxian Xu. J. Rare Earths 2021, 39, 1151–1180. [Google Scholar] [CrossRef]
- Borchert, P.S.Y.; Wilhelm, M.; Borchert, H.; Baumer, M. Nanostructured Praseodymium Oxide: Preparation, Structure, and Catalytic Properties. J. Phys. Chem. C 2008, 112, 3054–3063. [Google Scholar] [CrossRef]
- Sonström, P.; Birkenstock, J.; Borchert, Y.; Schilinsky, L.; Behrend, P.; Gries, K.; Müller, K.; Rosenauer, A.; Bäumer, M. Nanostructured Praseodymium Oxide: Correlation Between Phase Transitions and Catalytic Activity. ChemCatChem 2010, 2, 694–704. [Google Scholar] [CrossRef]
- Chen, X.; Chen, X.; Cai, S.; Chen, J.; Xu, W.; Jia, H.; Chen, J. Catalytic combustion of toluene over mesoporous Cr2O3-supported platinum catalysts prepared by in situ pyrolysis of MOFs. Chem. Eng. J. 2018, 334, 768–779. [Google Scholar] [CrossRef]
- Li, H.; Pan, Q.; Liu, J.; Liu, W.; Li, Q.; Wang, L.; Wang, Z. Synthesis and catalytic properties of praseodymium oxide (Pr6O11) nanorods for diesel soot oxidation. J. Environ. Chem. Eng. 2023, 11, 109152. [Google Scholar] [CrossRef]
- Zhou, G.; He, X.; Liu, S.; Xie, H.; Fu, M. Phenyl VOCs catalytic combustion on supported CoMn/AC oxide catalyst. J. Ind. Eng. Chem. 2015, 21, 932–941. [Google Scholar] [CrossRef]
- Liu, X.; Wang, J.; Zeng, J.; Wang, X.; Zhu, T. Catalytic oxidation of toluene over a porous Co3O4-supported ruthenium catalyst. RSC Adv. 2015, 5, 52066–52071. [Google Scholar] [CrossRef]
- Santos, V.P.; Soares, O.S.G.P.; Bakker, J.J.W.; Pereira, M.F.R.; Órfão, J.J.M.; Gascon, J.; Kapteijn, F.; Figueiredo, J.L. Structural and chemical disorder of cryptomelane promoted by alkali doping: Influence on catalytic properties. J. Catal. 2012, 293, 165–174. [Google Scholar] [CrossRef]
- Zhang, C.; Wang, C.; Zhan, W.; Guo, Y.; Guo, Y.; Lu, G.; Baylet, A.; Giroir-Fendler, A. Catalytic oxidation of vinyl chloride emission over LaMnO3 and LaB0.2Mn0.8O3 (B=Co, Ni, Fe) catalysts. Appl. Catal. B Environ. 2013, 129, 509–516. [Google Scholar] [CrossRef]
- Tang, W.; Wu, X.; Chen, Y. Co-templating synthesis of mesoporous hollow silica spheres and their application in catalytic oxidation with low Pt loading. Mater. Lett. 2016, 168, 111–115. [Google Scholar] [CrossRef]
- Huang, Y.; Tian, M.; Jiang, Z.; Ma, M.; Chen, C.; Xu, H.; Zhang, J.; Albilali, R.; He, C. Inserting Cr2O3 dramatically promotes RuO2/TiO2 catalyst for low-temperature 1,2-dichloroethane deep destruction: Catalytic performance and synergy mechanism. Appl. Catal. B Environ. 2022, 304, 121002. [Google Scholar] [CrossRef]
- Tian, M.; Guo, X.; Dong, R.; Guo, Z.; Shi, J.; Yu, Y.; Cheng, M.; Albilali, R.; He, C. Insight into the boosted catalytic performance and chlorine resistance of nanosphere-like meso-macroporous CrOx/MnCo3Ox for 1,2-dichloroethane destruction. Appl. Catal. B Environ. 2019, 259, 118018. [Google Scholar] [CrossRef]
- Liu, L.; Xu, K.; Su, S.; He, L.; Qing, M.; Chi, H.; Liu, T.; Hu, S.; Wang, Y.; Xiang, J. Efficient Sm modified Mn/TiO2 catalysts for selective catalytic reduction of NO with NH3 at low temperature. Appl. Catal. A Gen. 2020, 592, 117413. [Google Scholar] [CrossRef]
- Yu, C.; Huang, B.; Dong, L.; Chen, F.; Yang, Y.; Fan, Y.; Yang, Y.; Liu, X.; Wang, X. Effect of Pr/Ce addition on the catalytic performance and SO2 resistance of highly dispersed MnOx/SAPO-34 catalyst for NH3-SCR at low temperature. Chem. Eng. J. 2017, 316, 1059–1068. [Google Scholar] [CrossRef]
- Deng, Y.; Tian, P.; Liu, S.; He, H.; Wang, Y.; Ouyang, L.; Yuan, S. Enhanced catalytic performance of atomically dispersed Pd on Pr-doped CeO2 nanorod in CO oxidation. J. Hazard. Mater. 2022, 426, 127793. [Google Scholar] [CrossRef]
- Gu, Q.; Wang, L.; Wang, Y.; Li, X. Effect of praseodymium substitution on La1−xPrxMnO3 (x = 0–0.4) perovskites and catalytic activity for NO oxidation. J. Phys. Chem. Solids 2019, 133, 52–58. [Google Scholar] [CrossRef]
- Zhang, Q.; Zhao, W.; Su, H.; Sun, X.; Sun, L.; Zhao, L.; Qi, C. The advantage of praseodymium doped TiO2 composite as the support of Au catalysts for CO oxidation in CO2-rich atmosphere. Appl. Catal. A Gen. 2023, 661, 119261. [Google Scholar] [CrossRef]
- Tankov, I.; Pawelec, B.; Arishtirova, K.; Damyanova, S. Structure and surface properties of praseodymium modified alumina. Appl. Surf. Sci. 2011, 258, 278–284. [Google Scholar] [CrossRef]
- Jin, Q.; Shen, Y.; Zhu, S.; Liu, Q.; Li, X.; Yan, W. Effect of praseodymium additive on CeO2(ZrO2)/TiO2 for selective catalytic reduction of NO by NH3. J. Rare Earths 2016, 34, 1111–1120. [Google Scholar] [CrossRef]
- Yang, P.; Zuo, S.; Shi, Z.; Tao, F.; Zhou, R. Elimination of 1,2-dichloroethane over (Ce,Cr)xO2/MOy catalysts (M = Ti, V, Nb, Mo, W and La). Appl. Catal. B Environ. 2016, 191, 53–61. [Google Scholar] [CrossRef]
- Ye, N.; Zheng, J.; Xie, K.; Jiang, B.; Zuo, S. Performance of mesoporous CeO2-Cr2O3 mixed metal oxides applied to benzene catalytic combustion. J. Rare Earths 2023, 41, 889–895. [Google Scholar] [CrossRef]
- Wu, Z.; Deng, J.; Xie, S.; Yang, H.; Zhao, X.; Zhang, K.; Lin, H.; Dai, H.; Guo, G. Mesoporous Cr2O3-supported Au–Pd nanoparticles: High-performance catalysts for the oxidation of toluene. Microporous Mesoporous Mater. 2016, 224, 311–322. [Google Scholar] [CrossRef]
- Storaro, L.; Ganzerla, R.; Lenarda, M.; Zanoni, R.; Lopez, A.J.; Olivera-Pastor, P.; Castellh, E.R. Catalytic behavior of chromia and chromium-doped alumina pillared clay materials for the vapor phase deep oxidation of chlorinated hydrocarbons. J. Mol. Catal. A Chem. 1997, 115, 329–338. [Google Scholar] [CrossRef]
- Popescu, I.; Martínez-Munuera, J.C.; García-García, A.; Marcu, I.-C. Insights into the relationship between the catalytic oxidation performances of Ce-Pr mixed oxides and their semiconductive and redox properties. Appl. Catal. A Gen. 2019, 578, 30–39. [Google Scholar] [CrossRef]
- Zhao, H.; Dong, F.; Han, W.; Tang, Z. Study of Morphology-Dependent and Crystal-Plane Effects of CeMnOx Catalysts for 1,2-Dichlorobenzene Catalytic Elimination. Ind. Eng. Chem. Res. 2019, 58, 18055–18064. [Google Scholar] [CrossRef]
- Cao, S.; Wang, H.; Yu, F.; Shi, M.; Chen, S.; Weng, X.; Liu, Y.; Wu, Z. Catalyst performance and mechanism of catalytic combustion of dichloromethane (CH2Cl2) over Ce doped TiO2. J. Colloid Interface Sci. 2016, 463, 233–241. [Google Scholar] [CrossRef] [PubMed]
- Crapse, J.; Pappireddi, N.; Gupta, M.; Shvartsman, S.Y.; Wieschaus, E.; Wuhr, M. Evaluating the Arrhenius equation for developmental processes. Mol. Syst. Biol. 2021, 17, e9895. [Google Scholar] [CrossRef]
- Duan, X.; Zhao, T.; Yang, Z.; Niu, B.; Li, G.; Li, B.; Zhang, Z.; Cheng, J.; Hao, Z. Oxygen activation-boosted manganese oxide with unique interface for chlorobenzene oxidation: Unveiling the roles and dynamic variation of active oxygen species in heterogeneous catalytic oxidation process. Appl. Catal. B Environ. 2023, 331, 122719. [Google Scholar] [CrossRef]
- Rico-Barragán, A.A.; Álvarez, J.R.; Hernández-Fernández, E.; Rodríguez-Hernández, J.; Garza-Navarro, M.A.; Dávila-Guzmán, N.E. Green synthesis of metal-organic framework MIL-101(Cr)—An assessment by quantitative green chemistry metrics. Polyhedron 2022, 225, 116052. [Google Scholar] [CrossRef]












| Samples | SBET a (m2/g) | Pore Volume b (cm3/g) | Average Pore Size c (nm) | T50 d (°C) | T90 d (°C) |
Cr Content e (%) |
Pr Content e (%) |
|---|---|---|---|---|---|---|---|
| M-Cr | 135.24 | 0.36 | 0.86 | 320 | >400 | - | - |
| M-20PrCr | 634.42 | 0.37 | 0.71 | 302 | 312 | 16.24 | 83.53 |
| M-30PrCr | 699.31 | 0.49 | 0.75 | 255 | 286 | 23.45 | 76.41 |
| M-40PrCr | 648.52 | 0.44 | 0.73 | 271 | 298 | 28.29 | 71.58 |
| P-30PrCr | 44.53 | 0.37 | 20.24 | 274 | >400 | 16.96 | 82.99 |
| P-Cr | 57.99 | 0.20 | 1.16 | 371 | >400 | - | - |
| P-Pr | 19.84 | 0.21 | 25.18 | >400 | >400 | - | - |
| Sample | Molar Ratio a | H2 Consumption b (mmol·g−1) | Acid Sites | |||
|---|---|---|---|---|---|---|
| Oβ/(Oα+Oβ) | Cr6+/Cr3+ | Pwa c | Pma d | Psa e | ||
| M-Cr | 0.32 | 0.97 | 7.10 | 95 | 65 | 513 |
| P-Cr | 0.45 | 2.16 | 5.79 | 51 | 43 | 31 |
| P-Pr | - f | - | 14.19 | 130 | 192 | 59 |
| M-20PrCr | 0.74 | 1.23 | 10.61 | 213 | 112 | 585 |
| M-30PrCr | 0.81 | 1.48 | 27.24 | 387 | 122 | 600 |
| M-40PrCr | 0.79 | 1.41 | 28.37 | 363 | 137 | 626 |
| P-30PrCr | 0.30 | 4.07 | - | - | - | - |
Disclaimer/Publisher’s Note: The statements, opinions and data contained in all publications are solely those of the individual author(s) and contributor(s) and not of MDPI and/or the editor(s). MDPI and/or the editor(s) disclaim responsibility for any injury to people or property resulting from any ideas, methods, instructions or products referred to in the content. |
© 2024 by the authors. Licensee MDPI, Basel, Switzerland. This article is an open access article distributed under the terms and conditions of the Creative Commons Attribution (CC BY) license (https://creativecommons.org/licenses/by/4.0/).
Share and Cite
Zhu, P.; Hu, Z.; Chen, S. Praseodymium-Doped Cr2O3 Prepared by In Situ Pyrolysis of MIL-101(Cr) for Highly Efficient Catalytic Oxidation of 1,2-Dichloroethane. Molecules 2024, 29, 3417. https://doi.org/10.3390/molecules29143417
Zhu P, Hu Z, Chen S. Praseodymium-Doped Cr2O3 Prepared by In Situ Pyrolysis of MIL-101(Cr) for Highly Efficient Catalytic Oxidation of 1,2-Dichloroethane. Molecules. 2024; 29(14):3417. https://doi.org/10.3390/molecules29143417
Chicago/Turabian StyleZhu, Pengfei, Zhaoxia Hu, and Shouwen Chen. 2024. "Praseodymium-Doped Cr2O3 Prepared by In Situ Pyrolysis of MIL-101(Cr) for Highly Efficient Catalytic Oxidation of 1,2-Dichloroethane" Molecules 29, no. 14: 3417. https://doi.org/10.3390/molecules29143417
APA StyleZhu, P., Hu, Z., & Chen, S. (2024). Praseodymium-Doped Cr2O3 Prepared by In Situ Pyrolysis of MIL-101(Cr) for Highly Efficient Catalytic Oxidation of 1,2-Dichloroethane. Molecules, 29(14), 3417. https://doi.org/10.3390/molecules29143417

