Repellency, Toxicity, and Chemical Composition of Plant Essential Oils from Myrtaceae against Asian Citrus Psyllid, Diaphorina citri Kuwayama (Hemiptera Liviidae)
Abstract
1. Introduction
2. Result
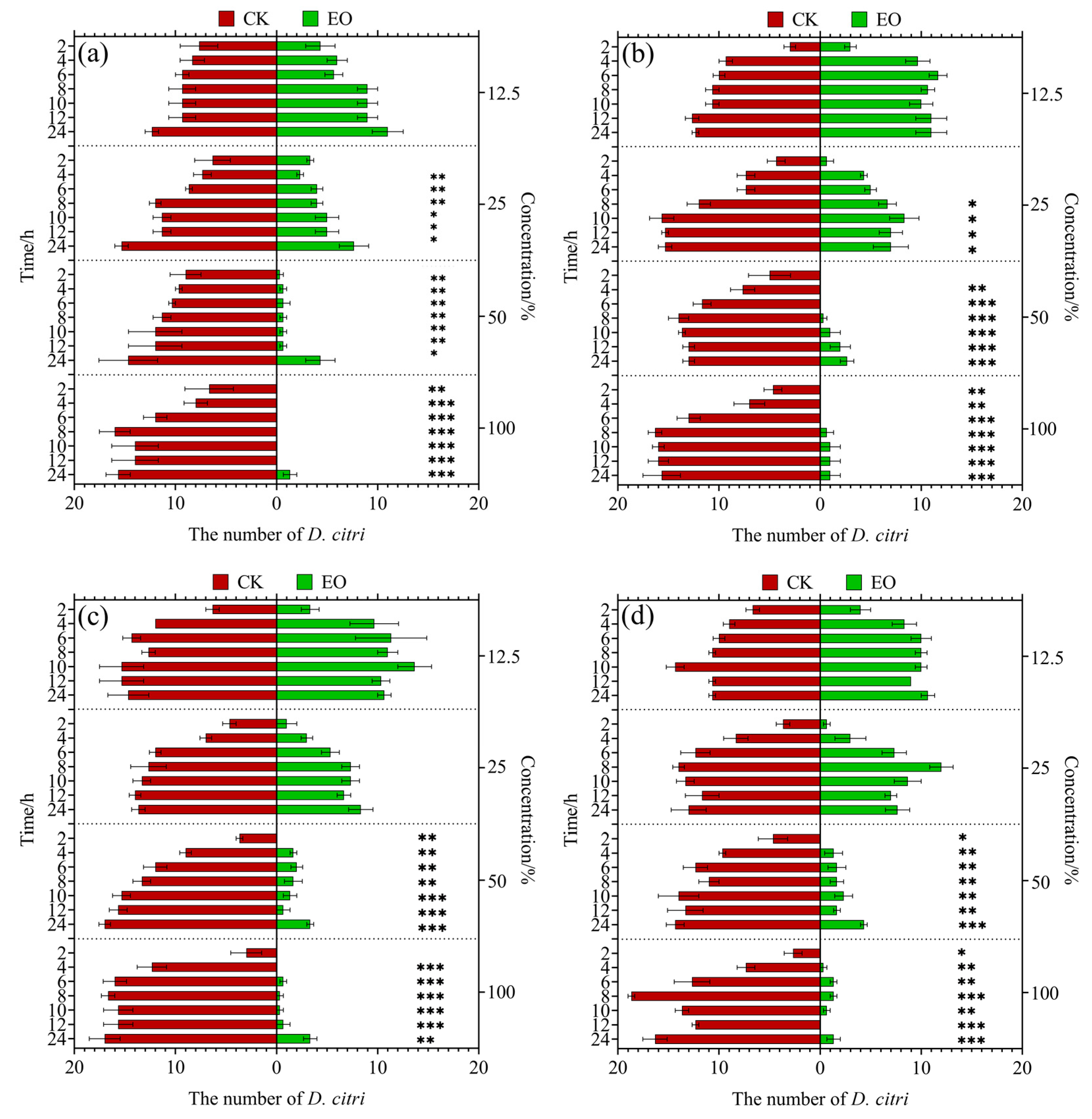
2.1. Repellent Bioassay of EOs
2.2. Toxicity Bioassay
2.3. Chemical Analysis of the EOs
2.4. Repellent Bioassay of Compounds
2.5. Molecular Docking
3. Discussion
4. Materials and Methods
4.1. Plant and Insect Materials
4.1.1. Plant Materials
4.1.2. Insect Materials
4.2. Extraction of the EOs
4.3. Repellent Bioassay of EOs
4.4. Toxicity Bioassay
4.5. Composition Analysis of the EOs by GC-MS
4.6. Repellent Bioassay of Compounds
4.7. Molecular Modeling and Docking
4.8. Statistical Analysis
5. Conclusions
Author Contributions
Funding
Institutional Review Board Statement
Informed Consent Statement
Data Availability Statement
Acknowledgments
Conflicts of Interest
References
- Bové, J.M. Huanglongbing: A destructive, newly-emerging, century-old disease of citrus. J. Plant Pathol. 2006, 88, 7–37. [Google Scholar]
- Tiwari, S.; Lewis-Rosenblum, H.; Pelz-Stelinski, K.; Stelinski, L.L. Incidence of Candidatus Liberibacter Asiaticus Infection in Abandoned Citrus Occurring in Proximity to Commercially Managed Groves. J. Econ. Entomol. 2010, 103, 1972–1978. [Google Scholar] [CrossRef] [PubMed]
- Bassanezi, R.B.; Montesino, L.H.; Stuchi, E.S. Effects of huanglongbing on fruit quality of sweet orange cultivars in Brazil. Eur. J. Plant Pathol. 2009, 125, 565–572. [Google Scholar] [CrossRef]
- Bassanezi, R.B.; Belasque, J.; Montesino, L.H. Frequency of symptomatic trees removal in small citrus blocks on citrus huanglongbing epidemics. Crop Prot. 2013, 52, 72–77. [Google Scholar] [CrossRef]
- Raj, B.D.; Bloomquist, J.R. Chemical control of the Asian citrus psyllid and of huanglongbing disease in citrus. Pest Manag. Sci. 2015, 71, 808–823. [Google Scholar]
- Muyesaier, T.; Huada, D.R.; Li, W.; Jia, L.; Ross, S.; Des, C.; Cordia, C.; Tri, P.D. Agriculture Development, Pesticide Application and Its Impact on the Environment. Int. J. Environ. Res. Public Health 2021, 18, 1112. [Google Scholar] [CrossRef] [PubMed]
- Siddharth, T.; Singh Mann, R.; Rogers, M.E.; Stelinski, L. Insecticide resistance in field populations of Asian citrus psyllid in Florida. Pest Manag. Sci. 2011, 67, 1258–1268. [Google Scholar]
- Kanga, L.H.B.; Julius, E.; Muhammad, H.; Jawwad, Q.; Philip, S. Monitoring for Insecticide Resistance in Asian Citrus Psyllid (Hemiptera: Psyllidae) Populations in Florida. J. Econ. Entomol. 2016, 109, 832–836. [Google Scholar] [CrossRef]
- Chen, X.D.; Stelinski, L.L. Resistance Management for Asian Citrus Psyllid, Diaphorina citri Kuwayama, in Florida. Insects 2017, 8, 103. [Google Scholar] [CrossRef]
- Saúl, P.; Martínez, A.M.; Figueroa, J.I.; Chavarrieta, J.M.; Viñuela, E.; Rebollar-Alviter, Á.; Miranda, M.A.; Javier, V.; Samuel, P. Insecticide resistance of adults and nymphs of Asian citrus psyllid populations from Apatzingán Valley, Mexico. Pest Manag. Sci. 2018, 74, 135–140. [Google Scholar]
- Machado, F.P.; Folly, D.; Enriquez, J.J.S.; Mello, C.B.; Esteves, R.; Araújo, R.S.; Toledo, P.F.; Mantilla-Afanador, J.G.; Santos, M.G.; Oliveira, E.E. Nanoemulsion of Ocotea indecora (Shott) Mez essential oil: Larvicidal effects against Aedes aegypti. Ind. Crops Prod. 2023, 192, 116031. [Google Scholar] [CrossRef]
- Appel, A.G.; Gehret, M.J.; Tanley, M.J. Repellency and Toxicity of Mint Oil Granules to Red Imported Fire Ants (Hymenoptera: Formicidae). J. Econ. Entomol. 2004, 97, 575–580. [Google Scholar] [CrossRef]
- Jemberie, W.; Tadie, A.; Enyew, A.; Debebe, A.; Raja, N. Repellent activity of plant essential oil extracts against malaria vector Anopheles arabiensis Patton (Diptera: Culicidae). Entomon 2020, 41, 91–98. [Google Scholar] [CrossRef]
- Shah, F.M.; Razaq, M.; Ali, Q.; Ali, A.; Shad, S.A.; Aslam, M.; Hardy, I.C.W. Action threshold development in cabbage pest management using synthetic and botanical insecticides. Entomol. Gen. 2019, 40, 157–172. [Google Scholar] [CrossRef]
- Mahmood, S.F.; Muhammad, R.; Abid, A.; Peng, H.; Julian, C. Comparative role of neem seed extract, moringa leaf extract and imidacloprid in the management of wheat aphids in relation to yield losses in Pakistan. PLoS ONE 2017, 12, e0184639. [Google Scholar]
- Rehman, J.U.; Ali, A.; Khan, I.A. Plant based products: Use and development as repellents against mosquitoes: A review. Fitoterapia 2014, 95, 65–74. [Google Scholar] [CrossRef]
- George, D.R.; Finn, R.D.; Graham, K.M.; Sparagano, O.A.E. Present and future potential of plant-derived products to control arthropods of veterinary and medical significance. Parasites Vectors 2014, 7, 28. [Google Scholar] [CrossRef]
- Silva, J.A.A.; Hall, D.G.; Gottwald, T.R.; Andrade, M.S.; Maldonado, W.; Alessandro, R.T.; Lapointe, S.L.; Andrade, E.C.; Machado, M.A. Repellency of selected Psidium guajava cultivars to the Asian citrus psyllid, Diaphorina citri. Crop Prot. 2016, 84, 14–20. [Google Scholar] [CrossRef][Green Version]
- Clovel, P.; Rowda, A.; Deye, F.M.N.; Xavier, M. Repellency of volatiles from Martinique island guava varieties against Asian citrus psyllids. Arthropod-Plant Interact. 2022, 16, 341–348. [Google Scholar]
- Zaka, S.M.; Zeng, X.N.; Holford, P.; Beattie, G.A.C. Repellent effect of guava leaf volatiles on settlement of adults of citrus psylla, Diaphorina citri Kuwayama, on citrus. Insect Sci. 2010, 17, 39–45. [Google Scholar] [CrossRef]
- Uzochukwu, O.I.; Sunday, O.E.; Favour, E.W.C.; Chinedum, N.J.; Chidike, E.T.P. Overhauling the ecotoxicological impact of synthetic pesticides using plants’ natural products: A focus on Zanthoxylum metabolites. Environ. Sci. Pollut. Res. Int. 2023, 30, 67997–68021. [Google Scholar]
- Song, X.B.; Cui, Y.P.; Peng, A.T.; Ling, J.F.; Chen, X. First report of brown spot disease in Psidium guajava caused by Alternaria tenuissima in China. J. Plant Pathol. 2020, 102, 1309. [Google Scholar] [CrossRef]
- Liu, H.; Rutherford, S.; Wan, J.S.H.; Liu, J.; Zhang, J.; Afzal, M.R.; Du, D.; Rossetto, M. Variation in Leaf Functional and Plant Defense Traits of IntroducedEucalyptusSpecies across Environmental Gradients in Their New Range in Southern China. Forests 2023, 14, 936. [Google Scholar] [CrossRef]
- Xianliang, Z.; Jiayue, H.; Changpin, Z.; Qijie, W.; Shengkan, C.; David, B.; Fagen, L. Xylem Transcriptome Analysis in Contrasting Wood Phenotypes of Eucalyptus urophylla × tereticornis Hybrids. Forests 2022, 13, 1102. [Google Scholar] [CrossRef]
- Chen, Y.; Cai, X.a.; Zhang, Y.; Rao, X.; Fu, S. Dynamics of Understory Shrub Biomass in Six Young Plantations of Southern Subtropical China. Forests 2017, 8, 419. [Google Scholar] [CrossRef]
- Ivo, E.W.; Caroline, S.A.; Linhares, V.H.X.; Berta, A.; Leandro, P.; Pedreira, M.M. Push-pull and kill strategy for Diaphorina citri control in citrus orchards. Entomol. Exp. Appl. 2023, 171, 287–299. [Google Scholar]
- Cassie, S.; Birkett, M.A.; Withall, D.M. Enantiomeric Discrimination in Insects: The Role of OBPs and ORs. Insects 2022, 13, 368. [Google Scholar] [CrossRef] [PubMed]
- Gadenne, C.; Barrozo, R.B.; Anton, S. Plasticity in Insect Olfaction: To Smell or Not to Smell? Annu. Rev. Entomol. 2016, 61, 317–333. [Google Scholar] [CrossRef] [PubMed]
- Leal, W.S. Odorant Reception in Insects: Roles of Receptors, Binding Proteins, and Degrading Enzymes. Annu. Rev. Entomol. 2013, 58, 373–391. [Google Scholar] [CrossRef]
- Pelosi, P.; Zhou, J.-J.; Ban, L.P.; Calvello, M. Soluble proteins in insect chemical communication. Cell. Mol. Life Sci. CMLS 2006, 63, 1658–1676. [Google Scholar] [CrossRef]
- Venthur, H.; Zhou, J.-J. Odorant Receptors and Odorant-Binding Proteins as Insect Pest Control Targets: A Comparative Analysis. Front. Physiol. 2018, 9, 1163. [Google Scholar] [CrossRef] [PubMed]
- Zhou, J.J.; Vieira, F.G.; He, X.L.; Smadja, C.; Liu, R.; Rozas, J.; Field, L.M. Genome annotation and comparative analyses of the odorant-binding proteins and chemosensory proteins in the pea aphid Acyrthosiphon pisum. (Special Issue: The aphid genome). Insect Mol. Biol. 2010, 19, 113–122. [Google Scholar] [CrossRef] [PubMed]
- Ming, H.; Peng, H. Molecular characterization, expression profiling, and binding properties of odorant binding protein genes in the whitebacked planthopper, Sogatella furcifera. Comp. Biochem. Physiol. Part B Biochem. Mol. Biol. 2014, 174, 1–8. [Google Scholar]
- Zeng, Y.; Yang, Y.-T.; Wu, Q.-J.; Wang, S.-L.; Xie, W.; Zhang, Y.-J. Genome-wide analysis of odorant-binding proteins and chemosensory proteins in the sweet potato whitefly, Bemisia tabaci. Insect Sci. 2019, 26, 620–634. [Google Scholar] [CrossRef] [PubMed]
- Wu, Z.; Zhang, H.; Bin, S.; Chen, L.; Han, Q.; Lin, J. Antennal and Abdominal Transcriptomes Reveal Chemosensory Genes in the Asian Citrus Psyllid, Diaphorina citri. PLoS ONE 2017, 11, e0159372. [Google Scholar] [CrossRef] [PubMed]
- Gottwald, T.R.; Hall, D.G.; Kriss, A.B.; Salinas, E.J.; Parker, P.E.; Beattie, G.A.C.; Nguyen, M.C. Orchard and nursery dynamics of the effect of interplanting citrus with guava for huanglongbing, vector, and disease management. Crop Prot. 2014, 64, 93–103. [Google Scholar] [CrossRef]
- Alquezar, B.; Linhares Volpe, H.X.; Magnani, R.F.; de Miranda, M.P.; Santos, M.A.; Wulff, N.A.; Simoes Bento, J.M.; Postali Parra, J.R.; Bouwmeester, H.; Pena, L. β-caryophyllene emitted from a transgenic Arabidopsis or chemical dispenser repels Diaphorina citri, vector of Candidatus Liberibacters. Sci. Rep. 2017, 7, 5639. [Google Scholar] [CrossRef]
- Leong, S.S.; Leong, S.C.T.; Beattie, G.A.C. Effect of Horticultural Mineral Oil on Huanglongbing Transmission by Diaphorina citri Kuwayama (Hemiptera: Psyllidae) Population in a Commercial Citrus Orchard in Sarawak, Malaysia, Northern Borneo. Insects 2021, 12, 772. [Google Scholar] [CrossRef] [PubMed]
- Ibarra-Cortés, K.H.; González-Hernández, H.; Guzmán-Franco, A.W. Susceptibility of nymphs and adults of Diaphorina citri to the entomophathogenic fungus Hirsutella citriformis. Biocontrol Sci. Technol. 2017, 27, 433–438. [Google Scholar] [CrossRef]
- Liu, X.-Q.; Jiang, H.-B.; Fan, J.-Y.; Liu, T.-Y.; Meng, L.-W.; Liu, Y.; Yu, H.-Z.; Dou, W.; Wang, J.-J. An odorant-binding protein of Asian citrus psyllid, Diaphorina citri, participates in the response of host plant volatiles. Pest Manag. Sci. 2021, 77, 3068–3079. [Google Scholar] [CrossRef]
- Gao, S.; Huo, Z.; Guo, M.; Zhang, K.; Zhang, Y.; Wang, X.; Li, R. Contact toxicity of eucalyptol and RNA sequencing of Tribolium castaneum after exposure to eucalyptol. Entomol. Res. 2023, 53, 226–237. [Google Scholar] [CrossRef]
- de S Viana, T.; Dias, R.F.; da S Vianna, A.C.; Moreira, R.F.A.; Aguiar, V.M. Evaluation of Chilean Boldo Essential Oil as a Natural Insecticide Against Chrysomya megacephala (Diptera: Calliphoridae). J. Med. Entomol. 2020, 57, 1364–1372. [Google Scholar] [CrossRef] [PubMed]
- Sukontason, K.L.; Kom, S.; Noppawan, B.; Somsak, P. Some ultrastructural superficial changes in house fly (Diptera: Muscidae) and blow fly (Diptera: Calliphoridae) larvae induced by eucalyptol oil. Rev. Inst. Med. Trop. Sao Paulo 2004, 46, 263–267. [Google Scholar] [PubMed]
- Mohd, I.M.N.; Yazmin, H.; Che, R.N.F.; Mubin, A.M.N.; Keong, Y.S.; Sulaiman, R.H.; Jaffri, M.M.; Elyani, M.N.; Rasedee, A.; Banu, A.N. Physicochemical characterization, cytotoxic effect and toxicity evaluation of nanostructured lipid carrier loaded with eucalyptol. BMC Complement. Med. Ther. 2021, 21, 254. [Google Scholar]
- Caldas, G.F.R.; Limeira, M.M.F.; Araújo, A.V.; Albuquerque, G.S.; Silva-Neto, J.d.C.; Silva, T.G.d.; Costa-Silva, J.H.; Menezes, I.R.A.d.; Costa, J.G.M.d.; Wanderley, A.G. Repeated-doses and reproductive toxicity studies of the monoterpene 1,8-cineole (eucalyptol) in Wistar rats. Food Chem. Toxicol. 2016, 97, 297–306. [Google Scholar] [CrossRef] [PubMed]
- Eugenia Amoros, M.; Pereira das Neves, V.; Rivas, F.; Buenahora, J.; Martini, X.; Stelinski, L.L.; Rossini, C. Response of Diaphorina citri (Hemiptera: Liviidae) to volatiles characteristic of preferred citrus hosts. Arthropod-Plant Interact. 2019, 13, 367–374. [Google Scholar] [CrossRef]
- Manoj, K.; Maharishi, T.; Ryszard, A.; Vivek, S.; Sneha, N.M.; Chirag, M.; Minnu, S.; Uma, P.; Muzaffar, H.; Surinder, S.; et al. Guava (Psidium guajava L.) Leaves: Nutritional Composition, Phytochemical Profile, and Health-Promoting Bioactivities. Foods 2021, 10, 752. [Google Scholar] [CrossRef] [PubMed]
- Raj, M.S.A.; Amalraj, S.; Alarifi, S.; Kalaskar, M.G.; Chikhale, R.; Santhi, V.P.; Gurav, S.; Ayyanar, M. Nutritional Composition, Mineral Profiling, In Vitro Antioxidant, Antibacterial and Enzyme Inhibitory Properties of Selected Indian Guava Cultivars Leaf Extract. Pharmaceuticals 2023, 16, 1636. [Google Scholar] [CrossRef]
- Katembo, K.D.; Gauthier, L.; Mate, M.J.; Thomas, D.; Mélissa, R.; Adrien, M.; Nils, B. Growth, Productivity, Biomass and Carbon Stock in Eucalyptus saligna and Grevillea robusta Plantations in North Kivu, Democratic Republic of the Congo. Forests 2022, 13, 1508. [Google Scholar] [CrossRef]



| Stage | EOs | n | Slope ± SEM | LC50 (95% CI) | LC90 (95% CI) | χ2 | df | Control Group Death Rate% |
|---|---|---|---|---|---|---|---|---|
| Nymph | PG | 90 | 1.80 ± 0.20 | 93.15 (77.13–115.63) | 480.04 (326.26–861.10) | 1.90 | 3 | 5.60 |
| ER | 90 | 1.40 ± 0.18 | 53.85 (42.39–73.36) | 441.24 (249.63–826.42) | 1.31 | 3 | 6.70 | |
| ET | 90 | 1.11 ± 0.18 | 56.50 (41.76–86.80) | 484.80 (357.29–602.69) | 0.84 | 3 | 2.20 | |
| BF | 90 | 1.63 ± 0.17 | 36.47 (30.27–44.79) | 222.12 (151.00–391.32) | 3.06 | 3 | 7.80 | |
| Adult | PG | 90 | 1.53 ± 0.16 | 111.00 (91.73–137.59) | 766.79 (506.96–1008.07) | 1.83 | 3 | 0.00 |
| ER | 90 | 1.11 ± 0.15 | 90.44 (70.31–119.15) | 777.67 (457.71–1084.19) | 0.79 | 3 | 0.00 | |
| ET | 90 | 1.36 ± 0.15 | 77.19 (62.36–95.72) | 680.89 (438.03–926.14) | 0.23 | 3 | 0.00 | |
| BF | 90 | 1.63 ± 0.16 | 60.72 (50.22–72.60) | 370.69 (270.22–578.70) | 0.12 | 3 | 0.00 |
| No. | Compounds | NIST RI | Relative Abundance (%) | |||
|---|---|---|---|---|---|---|
| PG | ER | ET | BF | |||
| 1 | 4-Hexen-3-one | 855 | - | 0.51 | - | - |
| 2 | Dimethyl sulfone | 922 | - | 0.60 | 3.02 | - |
| 3 | Benzene, (1-methylethyl)- | 926.57 | - | - | 1.68 | - |
| 4 | Cyclobutanespiro-2′-bicyclo [1.1.0]butane-4′-spirocyclobutane | 930 | - | 1.10 | 5.85 | 0.68 |
| 5 | α-Pinene | 936.35 | - | 3.40 | 15.59 | 3.21 |
| 6 | Cyclopentene, 1-butyl- | 938 | - | - | 0.93 | - |
| 7 | Bicyclo (3.3.1)non-2-ene | 964 | - | - | 0.68 | - |
| 8 | 4-methyl-1-(1-methylethyl)-Bicyclo[3.1.0]hex-2-ene | 966 | - | - | 1.21 | - |
| 9 | Bicyclo[3.1.0]hexane, 4-methylene-1-(1-methylethyl)- | 972 | - | 0.45 | 1.62 | - |
| 10 | 2,6-Octadiene, 2,6-dimethyl- | 978 | - | 0.43 | 1.44 | - |
| 11 | β-Pinene | 979.71 | - | 1.81 | 6.25 | 0.70 |
| 12 | 1,7-Octadiene, 2-methyl-6-methylene- | 984 | - | 0.38 | 1.31 | - |
| 13 | Disulfur compounds, ethyl 1-methylethyl | 985 | - | - | 0.58 | - |
| 14 | Pyridine, 3-propyl- | 986 | - | - | 0.73 | - |
| 15 | Benzene, (1-methylpropyl)- | 1001 | - | 0.37 | - | - |
| 16 | α-Phellandrene | 1006 | - | 12.20 | 0.77 | 0.55 |
| 17 | Terpilene | 1018.03 | - | - | - | - |
| 18 | 4-Hexen-1-ol, acetate | 1020 | - | 0.67 | 0.67 | 0.63 |
| 19 | o-Cymene | 1022 | - | 10.70 | 4.13 | 13.62 |
| 20 | 4,6-Octadiyn-3-one, 2-methyl- | 1023 | 0.69 | - | - | - |
| 21 | 2-Azabicyclo[3.2.1]octan-3-one | 1025 | - | 1.86 | 2.05 | 1.65 |
| 22 | p-Cymene | 1025.98 | - | 3.77 | 1.55 | 5.34 |
| 23 | Limonene | 1026 | 3.66 | 3.08 | 2.32 | 0.76 |
| 24 | 2-Methyl-1,3-dithiacyclopentane | 1026 | - | 1.15 | - | 1.51 |
| 25 | 1,7-Nonadiene, 4,8-dimethyl- | 1026 | - | 0.85 | 0.46 | - |
| 26 | Thiazole, 5-ethenyl-4-methyl- | 1027 | - | 0.76 | 0.93 | 0.63 |
| 27 | Pyridine, 2,3,4,5-tetrahydro-6-propyl- | 1028 | - | 0.56 | 0.65 | - |
| 28 | Indane | 1029 | - | 1.69 | 0.63 | 2.19 |
| 29 | Cyclohexanol, 3,5-dimethyl- | 1030 | - | 3.26 | 2.83 | 2.94 |
| 30 | β-Phellandrene | 1031 | 2.68 | 1.77 | 4.36 | 2.82 |
| 31 | D-Limonene | 1031.27 | 3.15 | 4.13 | 3.19 | 2.35 |
| 32 | Eucalyptol | 1034.33 | - | 5.91 | 6.87 | 4.31 |
| 33 | 3-Octen-2-one, (E)- | 1035 | - | 3.23 | 3.92 | 2.89 |
| 34 | Ocimene | 1037 | 0.53 | 5.72 | 1.21 | - |
| 35 | 2-Acetyl-5-methylfuran | 1037.22 | - | 0.50 | 0.57 | - |
| 36 | (S)-2,5-Dimethyl-3-vinylhex-4-en-2-ol | 1039 | 0.96 | 4.32 | 4.32 | 2.93 |
| 37 | 3-Octen-2-one | 1040 | - | 1.89 | 1.40 | 1.55 |
| 38 | Benzeneacetaldehyde | 1045.59 | - | 0.48 | - | - |
| 39 | (E)-β-Ocimene | 1049 | - | 0.96 | - | - |
| 40 | γ-Terpinene | 1060.24 | - | 0.57 | - | 3.02 |
| 41 | Benzenemethanol, α-methyl- | 1061.21 | - | - | - | 0.94 |
| 42 | trans-4-thujanol | 1070 | - | - | - | 1.82 |
| 43 | Benzaldehyde, 3-methyl- | 1070.12 | - | 0.48 | - | 2.37 |
| 44 | (Z)-Pent-2-enyl butyrate | 1091 | - | - | - | 1.77 |
| 45 | Linalool | 1100.58 | - | - | - | 0.98 |
| 46 | 6-Nonenal, (Z)- | 1103.52 | - | - | - | 1.03 |
| 47 | Pinocarveol | 1138 | - | - | 0.91 | - |
| 48 | Myrcenone | 1145 | - | - | 0.52 | - |
| 49 | p-Mentha-1 (7),2-dien-8-ol | 1163 | - | - | 0.70 | - |
| 50 | Pinocarvone | 1164 | - | - | 1.41 | - |
| 51 | Phenol, 4-ethyl- | 1165.40 | - | - | 0.63 | - |
| 52 | (E)-2,6-Dimethylocta-5,7-dien-2-ol | 1169 | - | - | - | 1.66 |
| 53 | Lavandulol | 1170 | - | - | - | 1.36 |
| 54 | Borneol | 1170.41 | - | - | 0.68 | - |
| 55 | Terpinen-4-ol | 1181.45 | - | 0.53 | - | 2.38 |
| 56 | 2-Butenoic acid, hexyl ester | 1191 | - | - | - | 0.73 |
| 57 | (-)-Dihydrocarveol | 1192 | - | - | - | 0.56 |
| 58 | α-Terpineol | 1195.55 | - | - | - | 0.59 |
| 59 | Benzamide | 1344 | - | 0.46 | - | - |
| 60 | 2,3,5,9-tetramethyltricyclo[6.3.0.01,5]undec-3-ene | 1348 | - | 4.20 | - | - |
| 61 | Terpinyl acetate | 1350 | - | 2.89 | - | - |
| 62 | (1α,3β,4β)-p-menthane-3,8-diol | 1355 | - | 0.61 | - | - |
| 63 | Neryl acetate | 1365.22 | - | 3.09 | - | - |
| 64 | Methyl 4-aminobenzoate | 1372 | 1.30 | - | - | - |
| 65 | 6,8-Nonadien-2-one, 8-methyl-5-(1-methylethyl)-, (E)- | 1373 | 0.59 | - | - | - |
| 66 | (-)-α-Copaene | 1376 | 3.54 | - | - | - |
| 67 | Di-epi-α-cedrene- (I) | 1382 | 5.52 | - | - | - |
| 68 | (-)-β-Bourbonene | 1384 | 1.12 | - | - | - |
| 69 | (-)-Modhephene | 1385 | 0.63 | - | - | - |
| 70 | Damascenone | 1386 | 0.71 | - | - | - |
| 71 | Acetic acid, phenoxy- | 1389 | 0.79 | - | - | - |
| 72 | β-Cubebene | 1390 | 9.42 | - | - | - |
| 73 | Niacinamide | 1419 | 0.80 | - | - | - |
| 74 | Ethyl mandelate | 1421 | - | 0.69 | 0.51 | 1.98 |
| 75 | Benzoic acid, 4-methoxy- | 1424.27 | 1.49 | - | - | - |
| 76 | Benzenemethanol, 4-hydroxy- | 1426 | 1.42 | - | - | 0.61 |
| 77 | 3-Hexanone, 1-phenyl- | 1427 | 5.14 | 0.87 | 0.60 | 2.34 |
| 78 | 2-Propenoic acid, 3-phenyl- | 1427.53 | - | - | - | 1.04 |
| 79 | Quinoxaline, 2,3-dimethyl- | 1428 | 0.50 | - | - | - |
| 80 | (E,E)-2,4-Undecadienal | 1430 | 2.16 | 0.40 | - | 1.08 |
| 81 | (+)-Calarene | 1432 | 5.08 | 0.36 | - | 1.43 |
| 82 | β-Caryophyllene | 1432.49 | 6.15 | 1.04 | 0.72 | 2.89 |
| 83 | γ-Elemene | 1433 | 2.27 | - | - | 0.92 |
| 84 | Ethyl β-safranate | 1434 | 3.22 | 0.47 | - | 1.31 |
| 85 | trans-α-bergamotene | 1435 | 3.27 | 0.43 | - | 1.22 |
| 86 | 2-Hydroxymethylbenzimidazole | 1437 | 3.14 | - | - | 0.96 |
| 87 | Ethanone, 1-(3-hydroxyphenyl)- | 1439 | 0.76 | - | - | - |
| 88 | Azulene, 1,2,3,3a,6,8a-hexahydro-1,4-dimethyl-7-(1-methylethyl)-, (1R,3aS,8aS)- | 1440 | 3.09 | - | - | - |
| 89 | Naphthalene, 1,2,4a,5,8,8a-hexahydro-4,7-dimethyl-1-(1-methylethyl)-, (1α,4aβ,8aα)- (.+/−.)- | 1440 | 3.34 | - | - | 0.99 |
| 90 | Aromandendrene | 1440 | 0.85 | - | - | - |
| 91 | (+)-α-Muurolene | 1440 | - | 0.62 | - | 1.67 |
| 92 | Benzyl angelate | 1446 | 1.25 | - | - | - |
| 93 | -6-Methyl-2-methylene-6- bicyclo[3.1.1]heptane | 1446 | 1.02 | - | - | - |
| 94 | (-)-Aristolene | 1447 | 2.08 | - | - | - |
| 95 | Benzene, 1-(1,5-dimethylhexyl)-4-methyl- | 1449 | 1.17 | - | - | - |
| 96 | (-)-α-Himachalene | 1449 | 1.11 | - | - | - |
| 97 | Acetophenone, 4’-hydroxy- | 1455 | 0.76 | - | - | 2.21 |
| 98 | (E)-β-Famesene | 1457 | - | - | - | 1.02 |
| 99 | 5,9-Undecadien-2-ol, 6,10-dimethyl- | 1459 | - | - | - | 0.74 |
| 100 | 1,1′-(1,4-phenylene)bis-ethanone | 1461 | 0.67 | - | - | - |
| 101 | Benzene, [1-[[1-(1-methylethyl)-3-butenyl]oxy]ethyl]-, [S-(R*,R*)]- | 1463 | - | - | - | 0.91 |
| 102 | 2-Pinen-10-yl isobutyrate | 1466 | - | - | - | 1.46 |
| 103 | (1R,9R,E)-4,11,11-Trimethyl-8-methylenebicyclo[7.2.0]undec-4-ene | 1466 | - | - | - | 0.90 |
| 104 | Acoradiene | 1471 | - | - | - | 0.64 |
| 105 | (4R,4aS,6S)-4,4a-Dimethyl-6-(prop-1-en-2-yl)-1,2,3,4,4a,5,6,7-octahydronaphthalene | 1476 | 0.57 | - | - | - |
| 106 | Eudesma-2,4,11-triene | 1479 | 0.54 | - | - | - |
| 107 | (-)-Germacrene D | 1481 | 1.52 | - | - | - |
| 108 | 3-(4-Hydroxyphenyl)propanal | 1490 | - | 0.37 | 1.01 | - |
| 109 | (1S,2E,6E,10R)-3,7,11,11-tetramethylbicyclo[8.1.0]undeca-2,6-diene | 1495 | - | 0.81 | 2.07 | - |
| 110 | Benzyl tiglate | 1498 | - | - | 0.68 | - |
| 111 | α-Muurolene | 1499 | 0.66 | - | 0.63 | - |
| 112 | Epizonarene | 1501 | - | - | 0.57 | - |
| 113 | α-Cuprenene | 1509 | - | - | 0.61 | - |
| 114 | (E)-α-Bisabolene | 1512 | 0.65 | 0.47 | 1.27 | - |
| 115 | (-)-γ-Cadinene | 1513 | - | - | 0.74 | - |
| 116 | cis-Calamenene | 1523 | 3.01 | - | - | - |
| 117 | (+)-δ-Cadinene | 1524 | 0.64 | - | - | - |
| 118 | Cadinadiene,cadina-1,4-diene | 1532 | 0.92 | - | - | - |
| 119 | (+)-α-Cadinene | 1538 | 0.89 | - | - | - |
| 120 | β-Vetivenene | 1540 | 0.50 | - | - | - |
| 121 | 3,7 (11)-Eudesmadiene | 1542 | 1.29 | - | - | - |
| Total | 97.21 | 97.89 | 97.97 | 96.79 | ||
| Terpineoids | 65.31 | 44.00 | 46.91 | 46.15 | ||
| Ketone | 12.24 | 10.00 | 8.16 | 9.61 | ||
| Ester | 6.12 | 8.00 | 8.16 | 9.61 | ||
| Alcohol | 4.08 | 6.00 | 6.12 | 13.46 | ||
| Acid | 4.08 | 5.00 | - | 1.92 | ||
| Hydrocarbons | - | 6.00 | 12.24 | 1.92 | ||
| Heterocyclic compound | 4.08 | 8.00 | 8.16 | 5.77 | ||
| Aromatics | - | 6.00 | 6.12 | 5.77 | ||
| Amine | 2.04 | 2.00 | - | - | ||
| Aldehyde | 2.04 | 8.00 | 2.04 | 5.77 | ||
| Time (h) | 2 | 4 | 6 | 8 | 10 | 12 | 24 | |
|---|---|---|---|---|---|---|---|---|
| Compounds | CAS | Mean ± SEM% | ||||||
| β-Caryophyllene | 87-44-5 | 100 ± 0.00 | 100 ± 0.00 | 100 ± 0.00 | 94.07 ± 2.97 a | 83.23 ± 5.2 abc | 83.23 ± 5.2 ab | 85.00 ± 4.28 ab |
| α-Terpinene | 99-86-5 | 100 ± 0.00 | 100 ± 0.00 | 85.05 ± 7.87 abc | 67.72 ± 2.69 abcd | 70.61 ± 10.32 abcd | 68.15 ± 10.76 bcd | 80.37 ± 1.61 abc |
| β-Pinene | 127-91-3 | 80.61 ± 11.56 abc | 50.27 ± 8.93 bc | 42.06 ± 4.83 def | 58.36 ± 12.59 cde | 60.69 ± 5.52 bcd | 73.45 ± 4.92 abc | 72.01 ± 5.01 abc |
| Linalool | 78-70-6 | 55.19 ± 2.89 bc | 69.11 ± 1.38 ab | 62.29 ± 4.85 bcd | 54.94 ± 1.6 def | 52.31 ± 1.31 cd | 52.98 ± 0.79 cd | 53.7 ± 0.85 c |
| Eucalyptol | 470-82-6 | 100 ± 0.00 | 100 ± 0.00 | 94.86 ± 2.57 ab | 92.22 ± 4.01 ab | 100 ± 0.00 | 100 ± 0.00 | 100 ± 0.00 |
| α-Pinene | 80-56-8 | 100 ± 0.00 | 100 ± 0.00 | 80.43 ± 5.66 abc | 86.98 ± 3.49 abc | 93.33 ± 6.67 a | 87.13 ± 3.57 ab | 76.92 ± 4.47 abc |
| Phellandrene | 99-83-2 | 100 ± 0.00 | 77.78 ± 11.11 ab | 83.07 ± 5.82 abc | 93.65 ± 6.35 a | 84.13 ± 11.45 ab | 72.26 ± 5.56 abcd | 52.84 ± 2.47 c |
| Ocimene | 13877-91-3 | 4.58 ± 17.56 de | −14.31 ± 9.51 e | −9.39 ± 4.13 h | −4.32 ± 2.27 hi | −4.32 ± 2.27 e | −4.53 ± 2.43 f | 7.34 ± 6.82 d |
| D-Limonen | 5989-27-5 | −9.16 ± 2.38 e | −11.27 ± 4.36 e | −8.43 ± 1.56 h | −8.43 ± 3.24 i | −8.97 ± 2.19 e | 11.44 ± 3.23 f | 2.7 ± 1.96 d |
| γ-Terpinene | 99-85-4 | 48.89 ± 14.57 bcd | 26.83 ± 8.04 cd | 28.92 ± 1.31 defg | 25.41 ± 4.81 fgh | 43.39 ± 10.62 d | 53.33 ± 4.63 cd | 20.08 ± 6.76 d |
| o-Cymene | 527-84-4 | 100 ± 0.00 | 100 ± 0.00 | 91.91 ± 4.05 ab | 71.42 ± 5.72 abcd | 70.98 ± 5.49 abcd | 63.14 ± 1.57 bcd | 54.77 ± 5.29 c |
| Cineole | 406-67-7 | 100 ± 0.00 | 65.02 ± 3.37 abc | 45.95 ± 2.57 def | 63.24 ± 7.25 bcde | 48.03 ± 4.16 d | 79.35 ± 10.62 abc | 65.72 ± 9.22 bc |
| 1,4-Diethylbenzene | 105-05-5 | −1.06 ± 7.35 e | 4.15 ± 9.54 de | −9.09 ± 4.29 h | −1.45 ± 1.45 hi | 1.15 ± 1.15 e | 1.76 ± 7.54 f | 9.70 ± 5.78 d |
| Limonene | 138-86-3 | −10.82 ± 10.64 e | −17.32 ± 8.52 e | −9.09 ± 4.29 h | −9.09 ± 4.29 i | −9.09 ± 4.29 e | 12.87 ± 3.25 f | 3.20 ± 1.62 d |
| 3-Carene | 13466-78-9 | 8.91 ± 13.76 cde | 1.14 ± 5.46 de | 1.42 ± 3.34 gh | −10.07 ± 4.36 i | −9.97 ± 4.43 e | 11.42 ± 3.1 f | 3.70 ± 6.42 d |
| 1-Phenylhexan-3-one | 29898-25-7 | 8.38 ± 16.9 de | 1.63 ± 8.13 de | 17.21 ± 12.83 fgh | 5.41 ± 1.84 hi | 5.41 ± 1.84 e | 16.76 ± 3.32 ef | 21.56 ± 1.52 d |
| Myrtol | 8002-55-9 | 65.02 ± 3.37 ab | 39.09 ± 5.09 bcd | 23.74 ± 4.27 efgh | 12.27 ± 2.58 ghi | 12.27 ± 2.58 de | 12.27 ± 2.58 f | 21.43 ± 4.59 d |
| N | 3 | 3 | 3 | 3 | 3 | 3 | 3 | |
| df | 16 | 16 | 16 | 16 | 16 | 16 | 16 | |
| X2 | 24.532 | 44.98 | 45.54 | 46.16 | 44.81 | 45.07 | 45.337 | |
| p-Value | <0.001 | <0.001 | <0.001 | <0.001 | <0.001 | <0.001 | <0.001 | |
Disclaimer/Publisher’s Note: The statements, opinions and data contained in all publications are solely those of the individual author(s) and contributor(s) and not of MDPI and/or the editor(s). MDPI and/or the editor(s) disclaim responsibility for any injury to people or property resulting from any ideas, methods, instructions or products referred to in the content. |
© 2024 by the authors. Licensee MDPI, Basel, Switzerland. This article is an open access article distributed under the terms and conditions of the Creative Commons Attribution (CC BY) license (https://creativecommons.org/licenses/by/4.0/).
Share and Cite
Li, Y.-J.; Liu, T.-A.; Zhao, H.; Han, Y.; Lou, B.-H.; Lei, C.-Y.; Song, Y.-Q.; Jiang, H.-B. Repellency, Toxicity, and Chemical Composition of Plant Essential Oils from Myrtaceae against Asian Citrus Psyllid, Diaphorina citri Kuwayama (Hemiptera Liviidae). Molecules 2024, 29, 3390. https://doi.org/10.3390/molecules29143390
Li Y-J, Liu T-A, Zhao H, Han Y, Lou B-H, Lei C-Y, Song Y-Q, Jiang H-B. Repellency, Toxicity, and Chemical Composition of Plant Essential Oils from Myrtaceae against Asian Citrus Psyllid, Diaphorina citri Kuwayama (Hemiptera Liviidae). Molecules. 2024; 29(14):3390. https://doi.org/10.3390/molecules29143390
Chicago/Turabian StyleLi, Yi-Jie, Tian-Ao Liu, Hang Zhao, Yang Han, Bing-Hai Lou, Cui-Yun Lei, Ya-Qin Song, and Hong-Bo Jiang. 2024. "Repellency, Toxicity, and Chemical Composition of Plant Essential Oils from Myrtaceae against Asian Citrus Psyllid, Diaphorina citri Kuwayama (Hemiptera Liviidae)" Molecules 29, no. 14: 3390. https://doi.org/10.3390/molecules29143390
APA StyleLi, Y.-J., Liu, T.-A., Zhao, H., Han, Y., Lou, B.-H., Lei, C.-Y., Song, Y.-Q., & Jiang, H.-B. (2024). Repellency, Toxicity, and Chemical Composition of Plant Essential Oils from Myrtaceae against Asian Citrus Psyllid, Diaphorina citri Kuwayama (Hemiptera Liviidae). Molecules, 29(14), 3390. https://doi.org/10.3390/molecules29143390

