Synthesis and In Silico Analysis of New Polyheterocyclic Molecules Derived from [1,4]-Benzoxazin-3-one and Their Inhibitory Effect against Pancreatic α-Amylase and Intestinal α-Glucosidase
Abstract
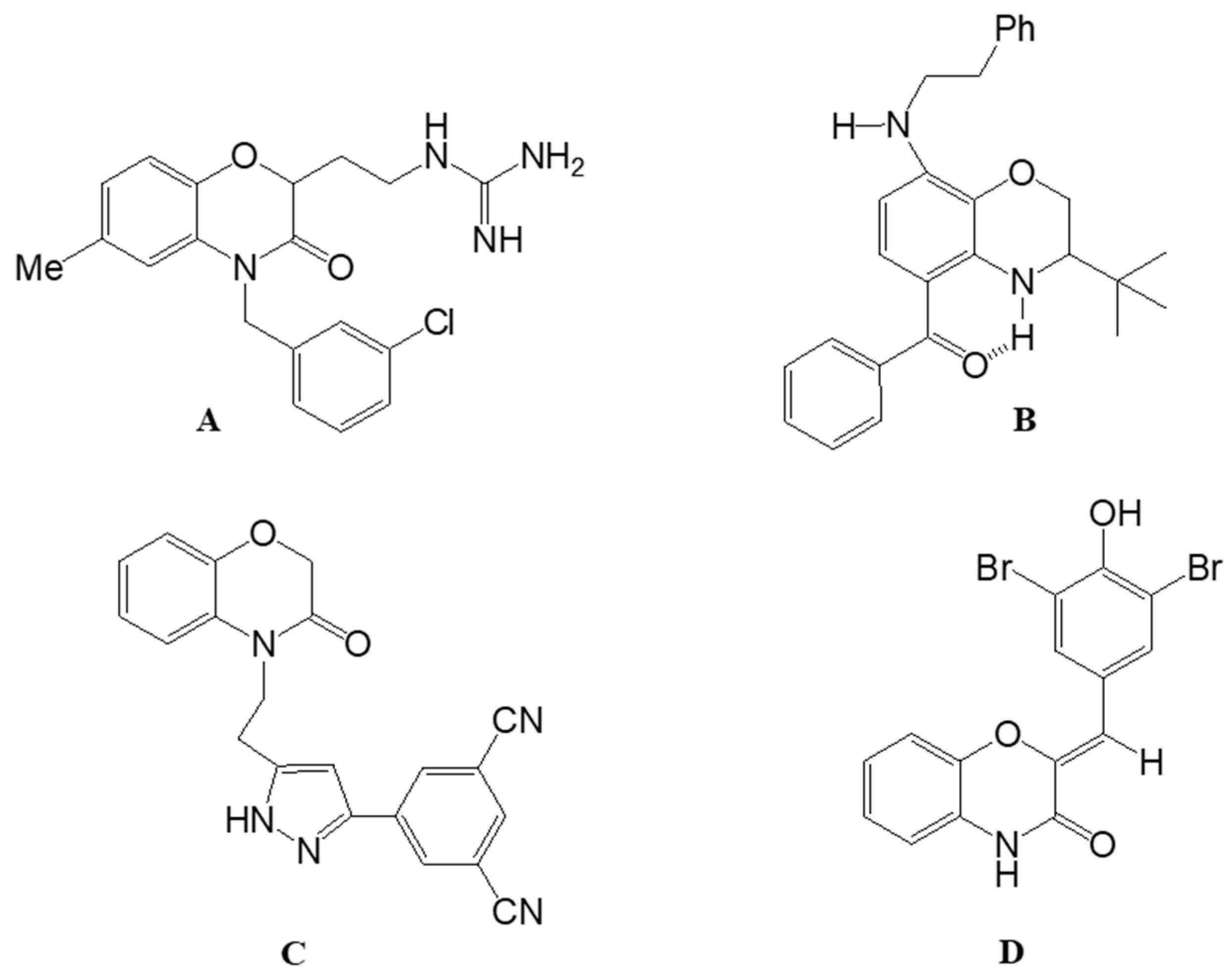
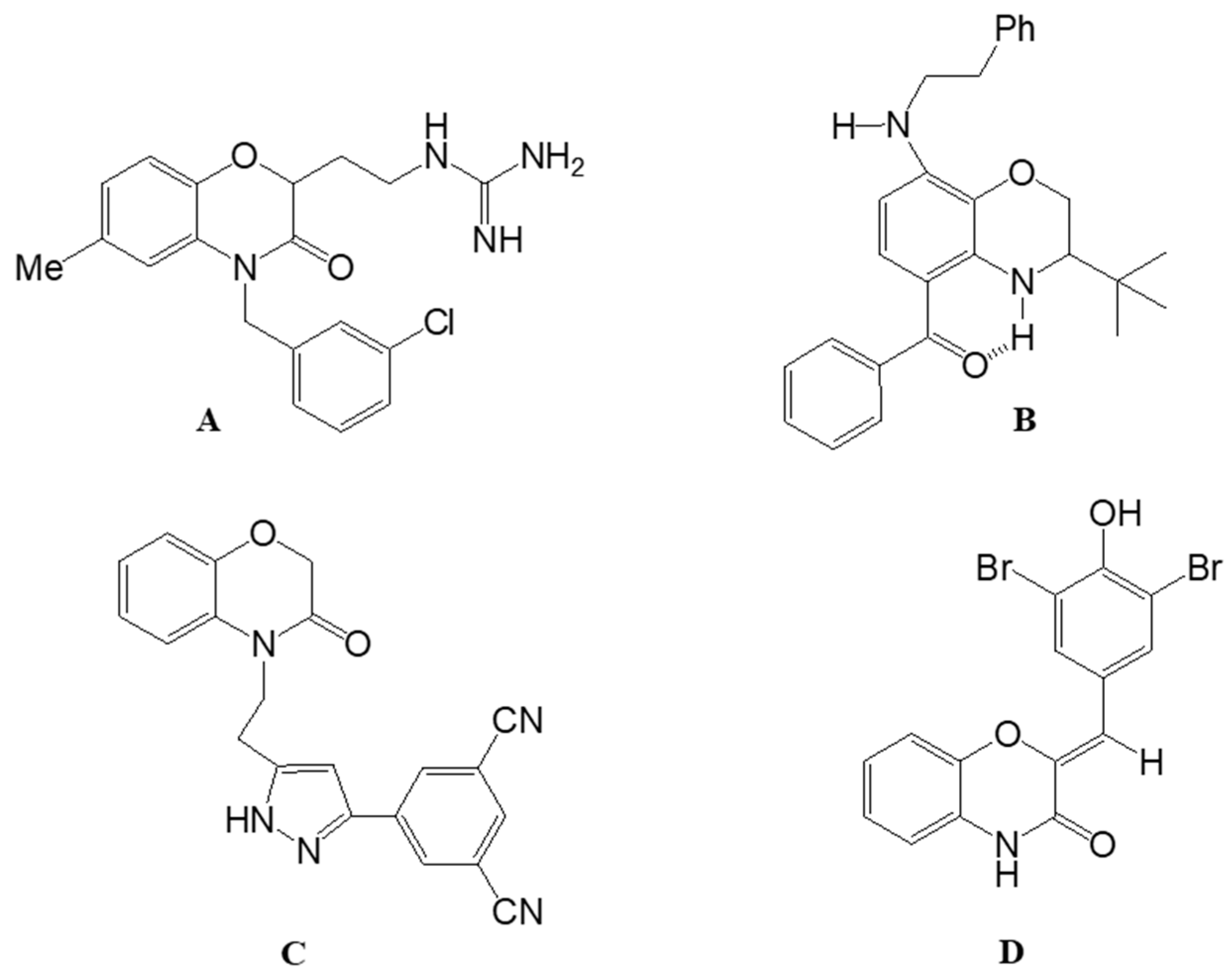
1. Introduction
2. Results
2.1. Chemical Synthesis of Isoxazolinyl-1,2,3-triazolyl-[1,4]-benzoxazin-3-one Derivatives 5a–5o
2.2. Computational Analysis Using Molecular Docking
2.2.1. In Silico, Inhibitory Activity of Synthetic Molecules on α-Amylase Activity
2.2.2. In Silico, Inhibitory Activity of Synthetic Molecules on α-Glucosidase Activity
2.3. ADME Analysis
3. Materials and Methods
3.1. General
3.2. Procedure for the Preparation of Compound 3 by “Click Chemistry” (CuAAC)
3.3. General Procedure for the Synthesis of Compounds 5a–5o
3.4. Molecular Docking Analysis
3.5. ADME Studies
4. Conclusions
Supplementary Materials
Author Contributions
Funding
Institutional Review Board Statement
Informed Consent Statement
Data Availability Statement
Acknowledgments
Conflicts of Interest
References
- Śmist, M.; Kwiecień, H.; Krawczyk, M. Synthesis and Antifungal Activity of 2H-1,4-Benzoxazin-3(4H)-One Derivatives. J. Environ. Sci. Health B 2016, 51, 393–401. [Google Scholar] [CrossRef] [PubMed]
- Madhavan, G.R.; Chakrabarti, R.; Anantha Reddy, K.; Rajesh, B.M.; Balraju, V.; Bheema Rao, P.; Rajagopalan, R.; Iqbal, J. Dual PPAR-α and -γ Activators Derived from Novel Benzoxazinone Containing Thiazolidinediones Having Antidiabetic and Hypolipidemic Potential. Bioorg. Med. Chem. 2006, 14, 584–591. [Google Scholar] [CrossRef] [PubMed]
- de Bruijn, W.J.C.; Hageman, J.A.; Araya-Cloutier, C.; Gruppen, H.; Vincken, J.P. QSAR of 1,4-Benzoxazin-3-One Antimicrobials and Their Drug Design Perspectives. Bioorg. Med. Chem. 2018, 26, 6105–6114. [Google Scholar] [CrossRef] [PubMed]
- Mehdiyeva, G.M. Synthesis and Antimicrobial Activity of 3-Substituted 8-Propenylbenzo[e][1,3]Oxazines. Russ. J. Appl. Chem. 2022, 95, 277–283. [Google Scholar] [CrossRef]
- Nagaraju, A.; Kumar Nukala, S.; Narasimha Swamy Thirukovela, T.; Manchal, R. In Vitro Anticancer and In Silico Studies of Some 1,4-Benzoxazine-1,2,4-Oxadiazole Hybrids. Chem. Sel. 2021, 6, 3318–3321. [Google Scholar] [CrossRef]
- Song, T.; Lee, M.; Bae, I.; Byun, J.Y.; Ahn, Y.G.; Kim, Y.H.; Chun, Y.J. Synthesis and Evaluation of a 3,4-Dihydro-2H-Benzoxazine Derivative as a Potent CDK9 Inhibitor for Anticancer Therapy. Bull. Korean Chem. Soc. 2021, 42, 416–419. [Google Scholar] [CrossRef]
- Mandzyuk, L.Z.; Matiychuk, V.S.; Chaban, T.I.; Bodnarchuk, O.V.; Matiychuk, J.E.; Obushak, M.D. Spiro Derivatives of 1,10b-Dihydro-5H-Pyrazolo[1,5-c][1,3]-Benzoxazines and Their Antimicrobial, Anti-Inflammatory, and Antioxidant Activity. Chem. Heterocycl. Compd. 2020, 56, 1485–1490. [Google Scholar] [CrossRef]
- Hammouda, M.B.; Ahmad, I.; Hamdi, A.; Dbeibia, A.; Patel, H.; Bouali, N.; Hamadou, W.S.; Hosni, K.; Ghannay, S.; Alminderej, F.; et al. Design, Synthesis, Biological Evaluation and in Silico Studies of Novel 1,2,3-Triazole Linked Benzoxazine-2,4-Dione Conjugates as Potent Antimicrobial, Antioxidant and Anti-Inflammatory Agents. Arab. J. Chem. 2022, 15, 104226. [Google Scholar] [CrossRef]
- Krasnov, V.P.; Musiyak, V.V.; Levit, G.L.; Gruzdev, D.A.; Andronova, V.L.; Galegov, G.A.; Orshanskaya, I.R.; Sinegubova, E.O.; Zarubaev, V.V.; Charushin, V.N. Synthesis of Pyrimidine Conjugates with 4-(6-Amino-Hexanoyl)-7,8-Difluoro-3,4-Dihydro-3-Methyl-2H-[1,4] Benzoxazine and Evaluation of Their Antiviral Activity. Molecules 2022, 27, 4236. [Google Scholar] [CrossRef]
- Vozdvizhenskaya, O.; Andronova, V.L.; Galegov, G.; Levit, G.L.; Krasnov, V.P.; Charushin, V.N. Synthesis and Antiherpetic Activity of Novel Purine Conjugates with 7,8-Difluoro-3-Methyl-3,4-Dihydro-2H-1,4-Benzoxazine. Chem. Heterocycl. Compd. 2021, 57, 490–497. [Google Scholar] [CrossRef]
- Akhter, M.; Husain, A.; Akhter, N.; Y Khan, M.S. Synthesis, antiinflammatory and antimicrobial activity of some new 1-(3-Phenyl-3, 4-Dihydro-2H-1, 3-Benzoxazin-6-yl)-ethanone derivatives. Indian J. Pharm. Sci. 2011, 73, 101–104. [Google Scholar] [CrossRef] [PubMed]
- Largeron, M.; Mesples, B.; Gressens, P.; Cecchelli, R.; Spedding, M.; Le Ridant, A.; Fleury, M.B. The neuroprotective activity of 8-alkylamino-1,4-benzoxazine antioxidants. Eur. J. Pharmacol. 2001, 424, 189–194. [Google Scholar] [CrossRef] [PubMed]
- Benarjee, V.; Saritha, B.; Gangadhar, K.H.; Sailaja, B.B.V. Synthesis of some new 1,4-benzoxazine-pyrazoles in water as EGFR targeting anticancer agents. J. Mol. Struct. 2022, 1265, 133188. [Google Scholar] [CrossRef]
- Wang, L.; Ankati, H.; Akubathini, S.K.; Balderamos, M.; Storey, C.A.; Patel, A.V.; Price, V.; Kretzschmar, D.; Biehl, E.R.; D’Mello, S.R. Identification of novel 1, 4-benzoxazine compounds that are protective in tissue culture and in vivo models of neurodegeneration. J. Neurosci. Res. 2010, 88, 1970–1984. [Google Scholar] [CrossRef]
- Buchanan, D.; Pham, A.M.; Singh, S.K.; Panda, S.S. Molecular Hybridization of Alkaloids Using 1,2,3-Triazole-Based Click Chemistry. Molecules 2023, 28, 7593. [Google Scholar] [CrossRef]
- Bhukal, A.; Kumar, V.; Kumar, L.; Lal, K. Recent Advances in Chalcone-Triazole Hybrids as Potential Pharmacological Agents. Results Chem. 2023, 6, 101173. [Google Scholar] [CrossRef]
- Yadav, M.; Lal, K.; Kumar, A.; Kumar, A.; Kumar, D. Indole-Chalcone Linked 1,2,3-Triazole Hybrids: Facile Synthesis, Antimicrobial Evaluation and Docking Studies as Potential Antimicrobial Agents. J. Mol. Struct. 2022, 1261, 132867. [Google Scholar] [CrossRef]
- Sharma, M.K.; Parashar, S.; Chahal, M.; Lal, K.; Pandya, N.U.; Om, H. Antimicrobial and In-Silico Evaluation of Novel Chalcone and Amide-Linked 1,4-Disubstituted 1,2,3 Triazoles. J. Mol. Struct. 2022, 1257, 132632. [Google Scholar] [CrossRef]
- Yadav, M.; Lal, K.; Kumar, A.; Singh, P.; Vishvakarma, V.K.; Chandra, R. Click Reaction Inspired Synthesis, Antimicrobial Evaluation and in Silico Docking of Some Pyrrole-Chalcone Linked 1,2,3-Triazole Hybrids. J. Mol. Struct. 2023, 1273, 134321. [Google Scholar] [CrossRef]
- Jiang, X.; Wu, G.; Zalloum, W.A.; Meuser, M.E.; Dick, A.; Sun, L.; Chen, C.H.; Kang, D.; Jing, L.; Jia, R.; et al. Discovery of Novel 1,4-Disubstituted 1,2,3-Triazole Phenylalanine Derivatives as HIV-1 Capsid Inhibitors. RSC Adv. 2019, 9, 28961–28986. [Google Scholar] [CrossRef]
- Al-Taweel, S.; Al-Saraireh, Y.; Al-Trawneh, S.; Alshahateet, S.; Al-Tarawneh, R.; Ayed, N.; Alkhojah, M.; AL-Khaboori, W.; Zereini, W.; Al-Qaralleh, O. Synthesis and Biological Evaluation of Ciprofloxacin—1,2,3-Triazole Hybrids as Antitumor, Antibacterial, and Antioxidant Agents. Heliyon 2023, 9, e22592. [Google Scholar] [CrossRef]
- Shafi, S.; Mahboob Alam, M.; Mulakayala, N.; Mulakayala, C.; Vanaja, G.; Kalle, A.M.; Pallu, R.; Alam, M.S. Synthesis of Novel 2-Mercapto Benzothiazole and 1,2,3-Triazole Based Bis-Heterocycles: Their Anti-Inflammatory and Anti-Nociceptive Activities. Eur. J. Med. Chem. 2012, 49, 324–333. [Google Scholar] [CrossRef]
- Ravindar, L.; Hasbullah, S.A.; Rakesh, K.P.; Hassan, N.I. Pyrazole and Pyrazoline Derivatives as Antimalarial Agents: A Key Review. Eur. J. Pharm. Sci. 2023, 183, 106365. [Google Scholar] [CrossRef]
- Nehra, N.; Tittal, R.K.; Ghule Vikas, D.; Naveen; Lal, K. Synthesis, Antifungal Studies, Molecular Docking, ADME and DNA Interaction Studies of 4-Hydroxyphenyl Benzothiazole Linked 1,2,3-Triazoles. J. Mol. Struct. 2021, 1245, 131013. [Google Scholar] [CrossRef]
- Yan, W.; Wang, X.; Li, K.; Li, T.X.; Wang, J.J.; Yao, K.C.; Cao, L.L.; Zhao, S.S.; Ye, Y.H. Design, Synthesis, and Antifungal Activity of Carboxamide Derivatives Possessing 1,2,3-Triazole as Potential Succinate Dehydrogenase Inhibitors. Pestic. Biochem. Physiol. 2019, 156, 160–169. [Google Scholar] [CrossRef] [PubMed]
- Xu, Z.; Zhao, S.J.; Liu, Y. 1,2,3-Triazole-Containing Hybrids as Potential Anticancer Agents: Current Developments, Action Mechanisms and Structure-Activity Relationships. Eur. J. Med. Chem. 2019, 183, 111700. [Google Scholar] [CrossRef] [PubMed]
- Murthy, I.S.; Sreenivasulu, R.; Alluraiah, G.; Ramesh Raju, R. Design, Synthesis, and Anticancer Activity of 1,2,3-Triazole Linked 1,2-Isoxazole-Imidazo[4,5-b]Pyridine Derivatives. Russ. J. Gen. Chem. 2019, 89, 1718–1723. [Google Scholar] [CrossRef]
- Xu, Z. 1,2,3-Triazole-Containing Hybrids with Potential Antibacterial Activity against Methicillin-Resistant Staphylococcus Aureus (MRSA). Eur. J. Med. Chem. 2020, 206, 112686. [Google Scholar] [CrossRef]
- Ellouz, M.; Sebbar, N.K.; Fichtali, I.; Ouzidan, Y.; Mennane, Z.; Charof, R.; Mague, J.T.; Urrutigoïty, M.; Essassi, E.M. Synthesis and Antibacterial Activity of New 1,2,3-Triazolylmethyl-2H-1,4-Benzothiazin-3(4H)-One Derivatives. Chem. Cent. J. 2018, 12, 123. [Google Scholar] [CrossRef] [PubMed]
- Tan, W.; Li, Q.; Li, W.; Dong, F.; Guo, Z. Synthesis and Antioxidant Property of Novel 1,2,3-Triazole-Linked Starch Derivatives via “Click Chemistry”. Int. J. Biol. Macromol. 2016, 82, 404–410. [Google Scholar] [CrossRef]
- Shaikh, M.H.; Subhedar, D.D.; Khan, F.A.K.; Sangshetti, J.N.; Shingate, B.B. 1,2,3-Triazole Incorporated Coumarin Derivatives as Potential Antifungal and Antioxidant Agents. Chin. Chem. Lett. 2016, 27, 295–301. [Google Scholar] [CrossRef]
- El-Sayed, W.A.; Khalaf, H.S.; Mohamed, S.F.; Hussien, H.A.; Kutkat, O.M.; Amr, A.E. Synthesis and Antiviral Activity of 1,2,3-Triazole Glycosides Based Substituted Pyridine via Click Cycloaddition. Russ. J. Gen. Chem. 2017, 87, 2444–2453. [Google Scholar] [CrossRef]
- Kanzouai, Y.; Chalkha, M.; Hadni, H.; Laghmari, M.; Bouzammit, R.; Nakkabi, A.; Benali, T.; Tüzün, B.; Akhazzane, M.; El Yazidi, M.; et al. Design, Synthesis, in-Vitro and in-Silico Studies of Chromone-Isoxazoline Conjugates as Anti-Bacterial Agents. J. Mol. Struct. 2023, 1293, 136205. [Google Scholar] [CrossRef]
- Nie, J.-P.; Qu, Z.-N.; Chen, Y.; Chen, J.-H.; Jiang, Y.; Jin, M.-N.; Yu, Y.; Niu, W.-Y.; Duan, H.-Q.; Qin, N. Discovery and Anti-Diabetic Effects of Novel Isoxazole Based Flavonoid Derivatives. Fitoterapia 2020, 142, 104499. [Google Scholar] [CrossRef] [PubMed]
- Phongphane, L.; Radzuan, S.N.M.; Bakar, M.H.A.; Omar, M.T.C.; Supratman, U.; Harneti, D.; Wahab, H.A.; Azmi, M.N. Synthesis, Biological Evaluation, and Molecular Modelling of Novel Quinoxaline-Isoxazole Hybrid as Anti-Hyperglycemic. Comput. Biol. Chem. 2023, 106, 107938. [Google Scholar] [CrossRef] [PubMed]
- Bernal, C.C.; Vesga, L.C.; Mendez-Sánchez, S.C.; Romero Bohórquez, A.R. Synthesis and Anticancer Activity of New Tetrahydroquinoline Hybrid Derivatives Tethered to Isoxazoline Moiety. Med. Chem. Res. 2020, 29, 675–689. [Google Scholar] [CrossRef]
- Alshamari, A.; Al-Qudah, M.; Hamadeh, F.; Al-Momani, L.; Abu-Orabi, S. Synthesis, Antimicrobial and Antioxidant Activities of 2-Isoxazoline Derivatives. Molecules 2020, 25, 4271. [Google Scholar] [CrossRef] [PubMed]
- Ismail, A.H.; Abdula, A.M.; Tomi, I.H.R.; Al-Daraji, A.H.R.; Baqi, Y. Synthesis, Antimicrobial Evaluation and Docking Study of Novel 3,5-Disubstituted-2-Isoxazoline and 1,3,5-Trisubstituted-2-Pyrazoline Derivatives. Med. Chem. 2019, 17, 462–473. [Google Scholar] [CrossRef]
- Mota, F.V.B.; De Araújo Neta, M.S.; De Souza Franco, E.; Bastos, I.V.G.A.; Da Araújo, L.C.C.; Da Silva, S.C.; De Oliveira, T.B.; Souza, E.K.; De Almeida, V.M.; Ximenes, R.M.; et al. Evaluation of Anti-Inflammatory Activity and Molecular Docking Study of New Aza-Bicyclic Isoxazoline Acylhydrazone Derivatives. Medchemcomm 2019, 10, 1916–1925. [Google Scholar] [CrossRef]
- Zhang, T.; Dong, M.; Zhao, J.; Zhang, X.; Mei, X. Synthesis and Antifungal Activity of Novel Pyrazolines and Isoxazolines Derived from Cuminaldehyde. J. Pestic. Sci. 2019, 44, 181–185. [Google Scholar] [CrossRef]
- Quadrelli, P.; Vazquez Martinez, N.; Scrocchi, R.; Corsaro, A.; Pistarà, V. Syntheses of Isoxazoline-Carbocyclic Nucleosides and Their Antiviral Evaluation: A Standard Protocol. Sci. World J. 2014, 2014, 492178. [Google Scholar] [CrossRef] [PubMed]
- Filali, I.; Bouajila, J.; Znati, M.; Bousejra-El Garah, F.; Ben Jannet, H. Synthesis of New Isoxazoline Derivatives from Harmine and Evaluation of Their Anti-Alzheimer, Anti-Cancer and Anti-Inflammatory Activities. J. Enzym. Inhib. Med. Chem. 2015, 30, 371–376. [Google Scholar] [CrossRef] [PubMed]
- Kumar, R.; Saha, P.; Sahana, S.; Dubey, A. A review on diabetes mellitus: Type1 & type2. World J. Pharm. Pharm. Sci. 2020, 9, 838–850. [Google Scholar] [CrossRef]
- Sheard, N.F.; Clark, N.G.; Brand-miller, J.C.; Franz, M.J.; Xavier Pi-sunyer, F.; Mayer-davis, E.; Kulkarni, K.; Geil, P. Dietary Carbohydrate (Amount and Type) in the Prevention and Management of Diabetes A Statement by the American Diabetes Association. Diabetes Care 2004, 27, 2266–2271. [Google Scholar] [CrossRef] [PubMed]
- Ben Lamine, J.; Boujbiha, M.A.; Dahane, S.; Cherifa, A.B.; Khlifi, A.; Chahdoura, H.; Yakoubi, M.T.; Ferchichi, S.; El Ayeb, N.; Achour, L. α-Amylase and α-Glucosidase Inhibitor Effects and Pancreatic Response to Diabetes Mellitus on Wistar Rats of Ephedra Alata Areal Part Decoction with Immunohistochemical Analyses. Environ. Sci. Pollut. Res. 2019, 26, 9739–9754. [Google Scholar] [CrossRef] [PubMed]
- Rasouli, H.; Hosseini-Ghazvini, S.M.B.; Adibi, H.; Khodarahmi, R. Differential α-Amylase/α-Glucosidase Inhibitory Activities of Plant-Derived Phenolic Compounds: A Virtual Screening Perspective for the Treatment of Obesity and Diabetes. Food Funct. 2017, 8, 1942–1954. [Google Scholar] [CrossRef] [PubMed]
- Ilaš, J.; Anderluh, P.Š.; Dolenc, M.S.; Kikelj, D. Recent Advances in the Synthesis of 2H-1,4-Benzoxazin-3-(4H)-Ones and 3,4-Dihydro-2H-1,4-Benzoxazines. Tetrahedron 2005, 61, 7325–7348. [Google Scholar] [CrossRef]
- Fang, L.; Zuo, H.; Li, Z.B.; He, X.Y.; Wang, L.Y.; Tian, X.; Zhao, B.X.; Miao, J.Y.; Shin, D.S. Synthesis of Benzo[b][1,4]Oxazin-3(4H)-Ones via Smiles Rearrangement for Antimicrobial Activity. Med. Chem. Res. 2011, 20, 670–677. [Google Scholar] [CrossRef]
- Totobenazara, J.; Burke, A.J. New Click-Chemistry Methods for 1,2,3-Triazoles Synthesis: Recent Advances and Applications. Tetrahedron Lett. 2015, 56, 2853–2859. [Google Scholar] [CrossRef]
- Velikorodov, A.V.; Sukhenko, L.T. Synthesis and Antimicrobial Activity of 3,5-Disubstituted Isoxazolines and Isoxazoles with Carbamate Groups. Pharm. Chem. J. 2003, 37, 22–24. [Google Scholar] [CrossRef]
- Praveena Devi, C.H.B.; Vijay, K.; Hari Babu, B.; Adil, S.F.; Mujahid Alam, M.; Vijjulatha, M.; Ansari, M.B. CuSO4/Sodium Ascorbate Catalysed Synthesis of Benzosuberone and 1,2,3-Triazole Conjugates: Design, Synthesis and in Vitro Anti-Proliferative Activity. J. Saudi Chem. Soc. 2019, 23, 980–991. [Google Scholar] [CrossRef]
- Sebbar, N.K.; Mekhzoum, M.E.M.; Essassi, E.M.; Zerzouf, A.; Talbaoui, A.; Bakri, Y.; Saadi, M.; Ammari, L. El Novel 1,4-Benzothiazine Derivatives: Synthesis, Crystal Structure, and Anti-Bacterial Properties. Res. Chem. Intermed. 2016, 42, 6845–6862. [Google Scholar] [CrossRef]
- Kheira, N.; Labd, M.; Mokhtar, E.; Abdallah, B.; Zakaria, M.; Mague, T. Synthesis, DFT Study and Antibacterial Activity of Some Isoxazoline Derivatives Containing 1,4-Benzothiazin-3-One Nucleus Obtained Using 1,3-Dipolar Cycloaddition Reaction. Iran. J. Chem. Chem. Eng. 2020, 39, 53–67. [Google Scholar]
- Carlson, A.S.; Calcanas, C.; Brunner, R.M.; Topczewski, J.J. Regiocontrolled Wacker Oxidation of Cinnamyl Azides. Org. Lett. 2018, 20, 1604–1607. [Google Scholar] [CrossRef]
- Ramasubbu, N.; Ragunath, C.; Mishra, P.J.; Thomas, L.M.; Gyémánt, G.; Kandra, L. Human Salivary A-amylase Trp58 Situated at Subsite− 2 Is Critical for Enzyme Activity. Eur. J. Biochem. 2004, 271, 2517–2529. [Google Scholar] [CrossRef] [PubMed]
- Ragunath, C.; Manuel, S.G.A.; Venkataraman, V.; Sait, H.B.R.; Kasinathan, C.; Ramasubbu, N. Probing the Role of Aromatic Residues at the Secondary Saccharide-Binding Sites of Human Salivary α-Amylase in Substrate Hydrolysis and Bacterial Binding. J. Mol. Biol. 2008, 384, 1232–1248. [Google Scholar] [CrossRef] [PubMed]
- Hsiu, J.; Fischer, E.H.; Stein, E.A. Alpha-Amylases as Calcium-Metalloenzymes. II. Calcium and the Catalytic Activity. Biochemistry 1964, 3, 61–66. [Google Scholar] [CrossRef] [PubMed]
- Shah, M.; Rahman, H.; Khan, A.; Bibi, S.; Ullah, O.; Ullah, S.; Ur Rehman, N.; Murad, W.; Al-Harrasi, A. Identification of α-Glucosidase Inhibitors from Scutellaria Edelbergii: ESI-LC-MS and Computational Approach. Molecules 2022, 27, 1322. [Google Scholar] [CrossRef]
- Ferreira, L.L.G.; Andricopulo, A.D. ADMET Modeling Approaches in Drug Discovery. Drug Discov. Today 2019, 24, 1157–1165. [Google Scholar] [CrossRef]
- Srivastava, V.; Yadav, A.; Sarkar, P. Molecular Docking and ADMET Study of Bioactive Compounds of Glycyrrhiza Glabra against Main Protease of SARS-CoV2. Mater. Today Proc. 2020, 49, 2999–3007. [Google Scholar] [CrossRef]
- Zrouri, H.; Nasr, F.A.; Parvez, M.K.; Alahdab, A. Exploring Medicinal Herbs’ Therapeutic Potential and Molecular Docking Analysis for Compounds as Potential Inhibitors of Human Acetylcholinesterase in Alzheimer’s. Medicina 2023, 59, 1812. [Google Scholar] [CrossRef] [PubMed]
- Domínguez, A.; Suárez-Merino, B.; Goñi-de-Cerio, F. Nanoparticles and Blood-Brain Barrier: The Key to Central Nervous System Diseases. J. Nano Nanotechnol. 2014, 14, 766–779. [Google Scholar] [CrossRef] [PubMed]
- Stillhart, C.; Vučićević, K.; Augustijns, P.; Basit, A.W.; Batchelor, H.; Flanagan, T.R.; Gesquiere, I.; Greupink, R.; Keszthelyi, D.; Koskinen, M.; et al. European Journal of Pharmaceutical Sciences Impact of Gastrointestinal Physiology on Drug Absorption in Special Populations—An UNGAP Review. Eur. J. Pharm. Sci. 2020, 147, 105280. [Google Scholar] [CrossRef] [PubMed]
- Taşçıoğlu, N.; Saatçi, Ç.; Emekli, R.; Tuncel, G.; Eşel, E.; Dundar, M. Investigation of Cytochrome P450 CYP1A2, CYP2D6, CYP2E1 and CYP3A4 Gene Expressions and Polymorphisms in Alcohol Withdrawal. Klin. Psikiyatr. Derg. 2021, 24, 298–306. [Google Scholar] [CrossRef]
- Daina, A.; Michielin, O.; Zoete, V. SwissADME: A Free Web Tool to Evaluate Pharmacokinetics, Drug-Likeness and Medicinal Chemistry Friendliness of Small Molecules. Sci. Rep. 2017, 7, 42717. [Google Scholar] [CrossRef] [PubMed]
- Kandsi, F.; Elbouzidi, A.; Lafdil, F.Z.; Meskali, N.; Azghar, A.; Addi, M.; Hano, C.; Maleb, A.; Gseyra, N. Antibacterial and Antioxidant Activity of Dysphania ambrosioides (L.) Mosyakin and Clemants Essential Oils: Experimental and Computational Approaches. Antibiotics 2022, 11, 482. [Google Scholar] [CrossRef] [PubMed]
- Elbouzidi, A.; Taibi, M.; Laarej, S.; El Hassania, L.; Haddou, M.; Hachlafi, N.E.; Naceiri Mrabti, H.; Baraich, A.; Bellaouchi, R.; ASEHRAOU, A. Chemical Profiling of Volatile Compounds of the Essential Oil of Grey-Leaved Rockrose (Cistus albidus L.) and Its Antioxidant, Anti-Inflammatory, Antibacterial, Antifungal, and Anticancer Activity In Vitro and In Silico. Front. Chem. 2024, 12, 1334028. [Google Scholar] [CrossRef] [PubMed]
- Ouahabi, S.; Loukili, E.H.; Elbouzidi, A.; Taibi, M.; Bouslamti, M.; Nafidi, H.-A.; Salamatullah, A.M.; Saidi, N.; Bellaouchi, R.; Addi, M.; et al. Pharmacological Properties of Chemically Characterized Extracts from Mastic Tree: In Vitro and In Silico Assays. Life 2023, 13, 1393. [Google Scholar] [CrossRef]
- Rajendran, P.; Rathinasabapathy, R.; Chandra Kishore, S.; Bellucci, S. Computational-Simulation-Based Behavioral Analysis of Chemical Compounds. J. Compos. Sci. 2023, 7, 196. [Google Scholar] [CrossRef]
- Cooper, A.K.; Oliver-Hoyo, M.T. Creating 3D Physical Models to Probe Student Understanding of Macromolecular Structure. Biochem. Mol. Biol. Educ. 2017, 45, 491–500. [Google Scholar] [CrossRef]
- Van de Waterbeemd, H.; Gifford, E. ADMET in Silico Modelling: Towards Prediction Paradise? Nat. Rev. Drug Discov. 2003, 2, 192–204. [Google Scholar] [CrossRef] [PubMed]
- Aja, P.M.; Agu, P.C.; Ezeh, E.M.; Awoke, J.N.; Ogwoni, H.A.; Deusdedit, T.; Ekpono, E.U.; Igwenyi, I.O.; Alum, E.U.; Ugwuja, E.I.; et al. Prospect into Therapeutic Potentials of Moringa Oleifera Phytocompounds against Cancer Upsurge: De Novo Synthesis of Test Compounds, Molecular Docking, and ADMET Studies. Bull. Natl. Res. Cent. 2021, 45, 99. [Google Scholar] [CrossRef]






| 1H NMR (ppm) | 13C NMR (ppm) | |||
|---|---|---|---|---|
| CH Triazol | CH2 Isoxazoline | C=O | C=N | |
| 5a | 8.02 | 3.20, 3.50 | 164.66 | 157.23 |
| 5b | 8.04 | 3.16, 3.52 | 164.64 | 155.27 |
| 5c | 8.03 | 3.29, 3.63 | 164.61 | 156.20 |
| 5d | 8.02 | 3.29, 3.57 | 164.64 | 156.41 |
| 5e | 8.01 | 3.20, 3.52 | 164.66 | 156.50 |
| 5f | 7.94 | 2.95, 3.35 | 164.68 | 158.64 |
| 5g | 8.00 | 3.13, 3.45 | 164.65 | 149.17 |
| 5h | 8.01 | 3.05, 3.34 | 164.68 | 158.38 |
| 5i | 8.01 | 3.20, 3.54 | 164.65 | 149.17 |
| 5j | 8.00 | 3.14, 3.46 | 164.86 | 151.18 |
| 5k | 8.01 | 3.15, 3.49 | 164.62 | 156.60 |
| 5l | 8.01 | 3.12, 3.44 | 164.66 | 156.93 |
| 5m | 8.01 | 3.15, 3.49 | 164.95 | 156.63 |
| 5n | 8.03 | 3.18, 3.53 | 164.68 | 157.22 |
| 5o | 8.01 | 3.20, 3.52 | 167.33 | 156.43 |
| Compounds | α-Amylase Protein (PDB ID: 1SMD) | |
|---|---|---|
| Affinity (kcal/mol) | H-Bonding | |
| Acarbose 1 | −7.8 | Tyr A:2, Gln A:7, Ser A:289, Ser A:289, Asp A:402, Gly A:334 |
| 5a | −9.2 * | - |
| 5b | −8.7 * | - |
| 5c | −8.2 * | Gln A:63, Arg A:195, His A:299 |
| 5d | −9.0 * | His A:201 |
| 5e | −9 * | - |
| 5f | −8.4 * | - |
| 5g | −8.3 * | His A:201 |
| 5h | −8.2 * | - |
| 5i | −8.6 * | - |
| 5j | −7.9 * | - |
| 5k | −8.2 * | - |
| 5l | −8.8 * | - |
| 5m | −8.8 * | Lys A:200 |
| 5n | −7.7 | Asp A:63 |
| 5o | −9.1 * | His A:202 |
| Compounds | α-Glucosidase Protein (PDB ID: 5NN5) | |
|---|---|---|
| Affinity (kcal/mol) | H-Bonding | |
| Acarbose 1 | −7.2 | Asp A:356, Met A:363, Glu A: 866, Arg A:608 |
| 5a | −9.5 * | Tyr A:360, Met A:363, Arg A:608, Glu A:866 |
| 5b | −9.5 * | Tyr A:360, Met A:363, Arg A:608, Glu A:866 |
| 5c | −9.5 * | Tyr A:360, Met A:363, Arg A:608, Glu A:866 |
| 5d | −8.9 * | Tyr A:360, Glu A:866 |
| 5e | −9.9 * | Tyr A:360, Met A:363, His A: 584, Arg A:608, Glu A:866 |
| 5f | −9 * | Arg A:608, Glu A:866 |
| 5g | −9.1 * | Tyr A:360, Met A:363, Arg A:608, Glu A:866 |
| 5h | −9.1 * | Tyr A:360, Met A:363, Arg A:608, Glu A:866 |
| 5i | −9.5 * | Tyr A:360, Met A:363, Arg A:608, Glu A:866 |
| 5j | −8.8 * | Tyr A: 360, Glu A:866 |
| 5k | −9.5 * | - |
| 5l | −8.7 * | Tyr A:360, Arg A: 866 |
| 5m | −9.1 * | Tyr A:360, Arg A: 608 |
| 5n | −9.6 * | Tyr A:360, Met A:363, Arg A:608, Glu A:866 |
| 5o | −9.4 * | Tyr A:360, Arg A:608, Glu A:866 |
| Physicochemical Properties | Lipophilicity | Druglikeness | Pharmacokinetics | |||||||||
|---|---|---|---|---|---|---|---|---|---|---|---|---|
| Compounds | MW g/mol | HBA | HBD | TPSA Å2 | Rotatable Bonds | M logP | W logP | Lipinski’s | Verber’s | GI Absorption | BBB Permeation | CYP1A2 Inhibitor |
| 5a | 403.4 | 6 | 0 | 81.8 | 5 | 1.9 | 1.7 | 0 | 0 | High | No | Yes |
| 5b | 434.4 | 8 | 0 | 131.2 | 6 | 1.8 | 1.2 | 0 | 0 | High | No | No |
| 5c | 434.4 | 8 | 0 | 131.2 | 6 | 1.8 | 1.2 | 0 | 0 | High | No | No |
| 5d | 434.4 | 8 | 0 | 131.2 | 6 | 1.8 | 1.2 | 0 | 0 | High | No | No |
| 5e | 423.8 | 6 | 0 | 81.8 | 5 | 2.2 | 2.1 | 0 | 0 | High | No | Yes |
| 5f | 403.4 | 6 | 0 | 81.8 | 6 | 1.9 | 1.6 | 0 | 0 | High | No | No |
| 5g | 379.3 | 7 | 0 | 94.9 | 5 | 0.5 | 1.0 | 0 | 0 | High | No | Yes |
| 5h | 415.4 | 6 | 0 | 81.8 | 6 | 2.1 | 2.0 | 0 | 0 | High | No | No |
| 5i | 390.4 | 7 | 0 | 94.7 | 5 | 0.7 | 0.8 | 0 | 0 | High | No | Yes |
| 5j | 392.4 | 6 | 0 | 86.7 | 5 | 0.8 | 0.8 | 0 | 0 | High | No | No |
| 5k | 468.3 | 6 | 0 | 81.8 | 5 | 2.3 | 2.2 | 0 | 0 | High | No | Yes |
| 5l | 432.4 | 6 | 0 | 85.0 | 6 | 1.6 | 1.5 | 0 | 0 | High | No | No |
| 5m | 419.4 | 7 | 0 | 97.0 | 6 | 1.4 | 1.4 | 0 | 0 | High | No | Yes |
| 5n | 419.4 | 7 | 0 | 91.07 | 6 | 1.47 | 1.49 | 0 | 0 | High | No | No |
| 5o | 407.4 | 7 | 0 | 81.8 | 5 | 2.4 | 2.0 | 0 | 0 | High | No | Yes |
Disclaimer/Publisher’s Note: The statements, opinions and data contained in all publications are solely those of the individual author(s) and contributor(s) and not of MDPI and/or the editor(s). MDPI and/or the editor(s) disclaim responsibility for any injury to people or property resulting from any ideas, methods, instructions or products referred to in the content. |
© 2024 by the authors. Licensee MDPI, Basel, Switzerland. This article is an open access article distributed under the terms and conditions of the Creative Commons Attribution (CC BY) license (https://creativecommons.org/licenses/by/4.0/).
Share and Cite
Ellouz, M.; Ihammi, A.; Baraich, A.; Farihi, A.; Addichi, D.; Loughmari, S.; Sebbar, N.K.; Bouhrim, M.; A. Mothana, R.; M. Noman, O.; et al. Synthesis and In Silico Analysis of New Polyheterocyclic Molecules Derived from [1,4]-Benzoxazin-3-one and Their Inhibitory Effect against Pancreatic α-Amylase and Intestinal α-Glucosidase. Molecules 2024, 29, 3086. https://doi.org/10.3390/molecules29133086
Ellouz M, Ihammi A, Baraich A, Farihi A, Addichi D, Loughmari S, Sebbar NK, Bouhrim M, A. Mothana R, M. Noman O, et al. Synthesis and In Silico Analysis of New Polyheterocyclic Molecules Derived from [1,4]-Benzoxazin-3-one and Their Inhibitory Effect against Pancreatic α-Amylase and Intestinal α-Glucosidase. Molecules. 2024; 29(13):3086. https://doi.org/10.3390/molecules29133086
Chicago/Turabian StyleEllouz, Mohamed, Aziz Ihammi, Abdellah Baraich, Ayoub Farihi, Darifa Addichi, Saliha Loughmari, Nada Kheira Sebbar, Mohamed Bouhrim, Ramzi A. Mothana, Omar M. Noman, and et al. 2024. "Synthesis and In Silico Analysis of New Polyheterocyclic Molecules Derived from [1,4]-Benzoxazin-3-one and Their Inhibitory Effect against Pancreatic α-Amylase and Intestinal α-Glucosidase" Molecules 29, no. 13: 3086. https://doi.org/10.3390/molecules29133086
APA StyleEllouz, M., Ihammi, A., Baraich, A., Farihi, A., Addichi, D., Loughmari, S., Sebbar, N. K., Bouhrim, M., A. Mothana, R., M. Noman, O., Eto, B., Chigr, F., & Chigr, M. (2024). Synthesis and In Silico Analysis of New Polyheterocyclic Molecules Derived from [1,4]-Benzoxazin-3-one and Their Inhibitory Effect against Pancreatic α-Amylase and Intestinal α-Glucosidase. Molecules, 29(13), 3086. https://doi.org/10.3390/molecules29133086

