Synthesis and Characterization of New Chiral Smectic Four-Ring Esters
Abstract
1. Introduction
2. Results
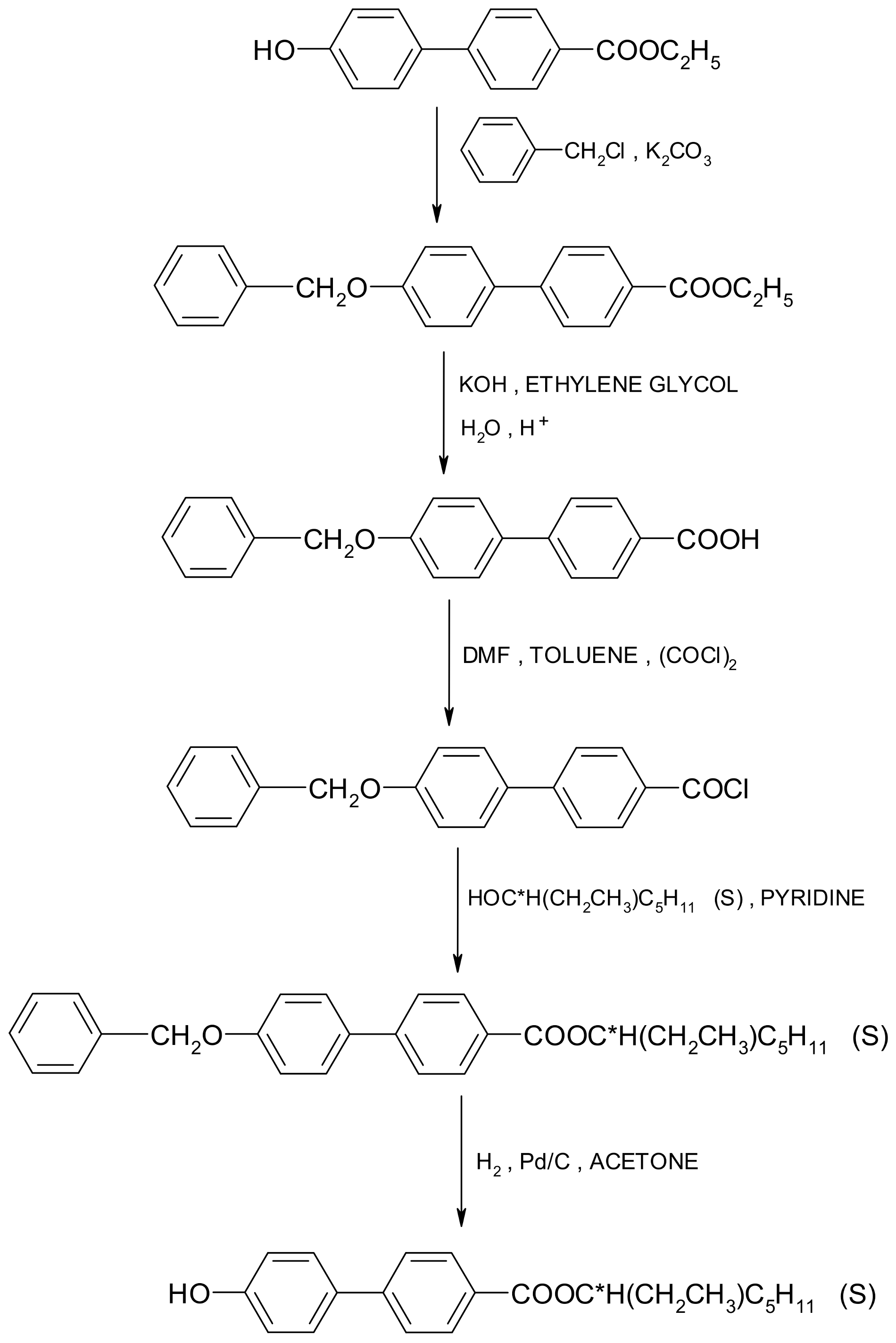
2.1. Synthesis of Compounds
- STAGE I
- STAGE II

| Protons | Compound 3PhPh | Compound 7PhPh |
|---|---|---|
| a | 3.965 (2H, t) | 3.944 (2H, t) |
| b | 3.841 (2H, t) | 3.632 (2H, t) |
| c | 2.152 (2H, m) | 1.529–1.877 (10H, m) |
| d | 4.145 (2H, t) | |
| a’ | ||
| b’ | ||
| c’ | ||
| d’ | 3.972 (2H, t) | |
| e | 7.033 (2H, d) | 7.026 (2H, d) |
| f | 8.245 (2H, d) | 8.176 (2H, d) |
| g | 7.362 (2H, d) | 7.359 (2H, d) |
| h | 7.632 (2H, d) | 7.625 (2H, d) |
| i | 7.707 (2H, d) | 7.691(2H, d) |
| j | 7.724 (2H, d) | 7.722 (2H, d) |
| k | 8.161 (2H, d) | 8.159 (2H, d) |
| l | 8.301 (2H, d) | 8.296 (2H, d) |
| m | 5.142 (1H, m) | 5.140 (1H, m) |
| n | 1.351 (2H, t) | 1.341 (2H, t) |
| o | 1.423 (3H, d) | 1.348 (3H, d) |
| p | 1.337–1.780 (8H, m) | 1.336–1.434 (8H, m) |
| q | ||
| r | ||
| s | ||
| t | 0.929 (3H, t) | 0.987 (3H, t) |
| Compound 3PhPh | 5.142 67.770 | 1H NMR [ppm] 13C NMR [ppm] |
| Compound 7PhPh | 5.140 67.773 | 1H NMR [ppm] 13C NMR [ppm] |
2.2. Mesogenic Properties of Compounds
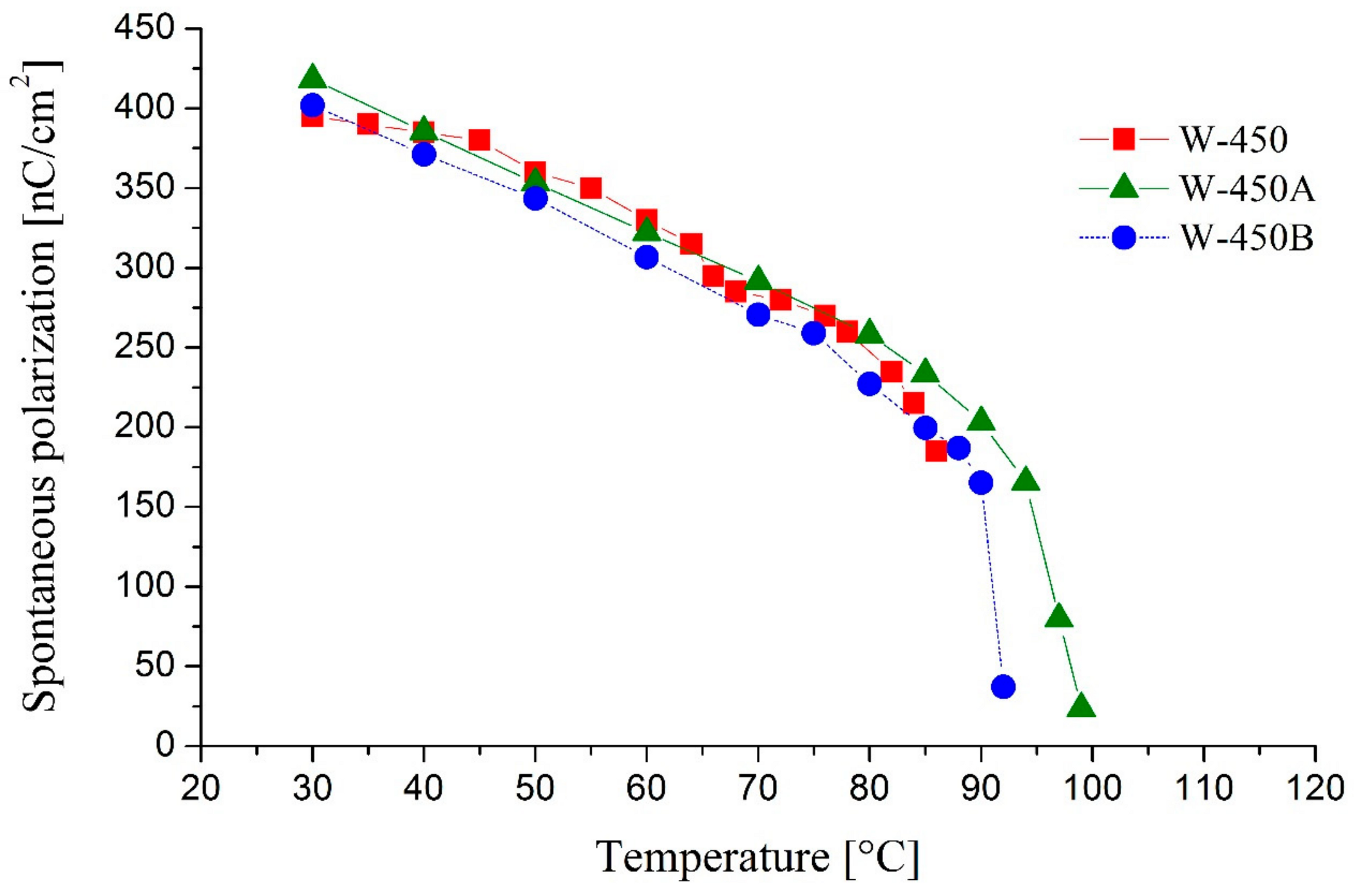
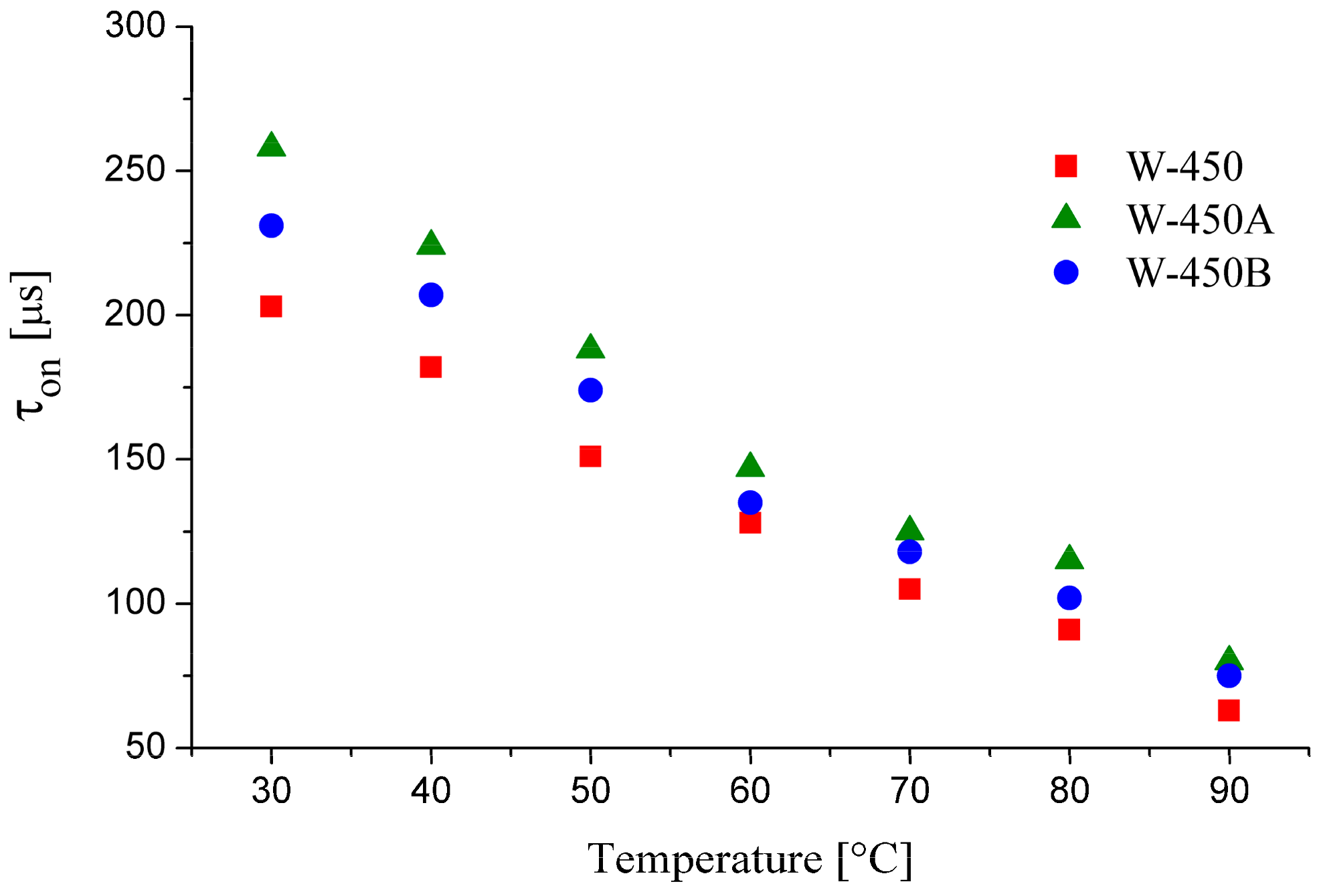
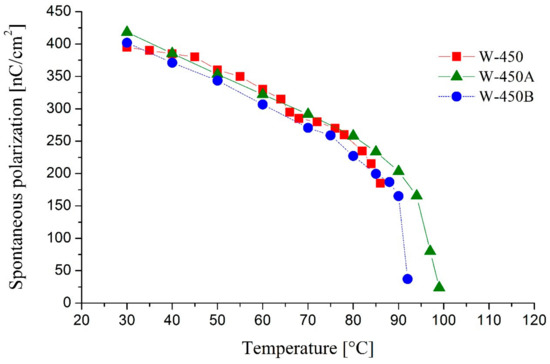
2.3. Electro-Optical and Physicochemical Properties of Mixtures
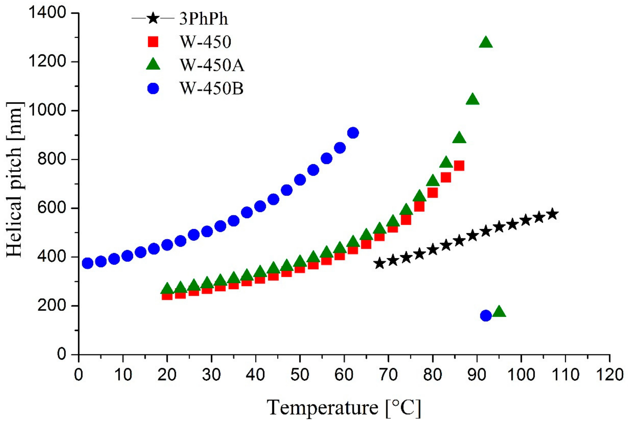
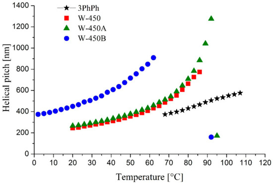
2.4. Helical Pitch of Compounds and Mixtures
3. Conclusions
Supplementary Materials
Author Contributions
Funding
Institutional Review Board Statement
Informed Consent Statement
Data Availability Statement
Acknowledgments
Conflicts of Interest
References
- Vertogen, G.; de Jeu, W.H. Thermotropic Liquid Crystals, Fundamentals; Springer: Berlin/Heidelberg, Germany, 1988. [Google Scholar]
- Lagerwall, S.T. Ferroelectric and Antiferroelectric Liquid Crystals; Wiley-VCH: Weinheim, Germany, 1999. [Google Scholar]
- Meyer, R.B. Ferroelectric liquid crystals; a review. Mol. Cryst. Liq. Cryst. 1977, 40, 33–48. [Google Scholar] [CrossRef]
- Fukuda, A.; Takanishi, Y.; Isozaki, T.; Ishikawa, K.; Takezoe, H. Antiferroelectric chiral smectic liquid crystals. J. Mat. Chem. 1994, 4, 997–1016. [Google Scholar] [CrossRef]
- Chandani, A.D.L.; Górecka, E.; Ouchi, Y.; Takezoe, H.; Fukuda, A. Antiferroelectric chiral smectic phases responsible for the tristable switching in MHPOBC. Jpn. J. Appl. Phys. 1989, 28, L1265–L1268. [Google Scholar] [CrossRef]
- Clark, N.A.; Lagerwall, S.T. Submicrosecond bistable electro-optic switching in liquid crystals. Appl. Phys. Lett. 1980, 36, 899. [Google Scholar] [CrossRef]
- D’have, K.; Rudquist, P.; Lagerwall, S.T.; Pauwels, H.; Drzewiński, W.; Dąbrowski, R. Solution of the dark state problem in antiferroelectric liquid crystal displays. Appl. Phys. Lett. 2000, 76, 3528–3530. [Google Scholar] [CrossRef]
- Otón, J.M.; Quintana, X.; Castillo, P.L.; Lara, A.; Urruchi, V.; Bennis, N. Antiferroelectric liquid crystal displays. Opto-Electr. Rev. 2004, 12, 263–269. [Google Scholar]
- Lagerwall, J.P.F.; Scalia, G. A new era for liquid crystal research: Applications of liquid crystals in soft matter nano-, bio- and microtechnology. Curr. Appl. Phys. 2012, 2, 1387–1412. [Google Scholar] [CrossRef]
- Zhang, Y.-S.; Liu, C.-Y.; Emelyanenko, A.V.; Liu, J.-H. Synthesis of predesigned ferroelectric liquid crystals and their applications in field-sequential color displays. Adv. Funct. Mater. 2018, 28, 1706994. [Google Scholar] [CrossRef]
- Guo, Q.; Xu, L.; Sun, J.; Yang, X.; Liu, H.; Yan, K.; Zhao, H.; Chigrinov, V.G.; Kwok, H.S. Fast switching beam steering based on ferroelectric liquid crystal phase shutter and polarisation grating. Liq. Cryst. 2019, 46, 383–1388. [Google Scholar] [CrossRef]
- Jiang, B.; Liu, L.; Gao, Z.; Feng, Z.; Zheng, Y.; Wang, W. Fast dual-stimuli-responsive dynamic surface wrinkles with high bistability for smart windows and rewritable optical displays. ACS Appl. Mater. Interfaces 2019, 11, 40406–40415. [Google Scholar] [CrossRef]
- Fuh, A.Y.G.; Chih, S.Y.; Wu, S.T. Advanced electro-optical smart window based on PSLC using a photoconductive TiOPc electrode. Liq. Cryst. 2018, 45, 864–871. [Google Scholar] [CrossRef]
- Zou, J.; Yang, Q.; Hsiang, E.-L.; Ooishi, H.; Yang, Z.; Yoshidaya, K.; Wu, S.T. Fast-response liquid crystal for spatial light modulator and LiDAR applications. Crystals 2021, 11, 93. [Google Scholar] [CrossRef]
- Residori, S.; Bortolozzo, U.; Huignard, J.P. Liquid crystal light valves as optically addressed liquid crystal spatial light modulators: Optical wave mixing and sensing applications. Liq. Cryst. Rev. 2018, 6, 1–16. [Google Scholar] [CrossRef]
- Manda, R.; Pagidi, S.; Lim, Y.J.; He, R.; Song, S.M.; Lee, J.H.; Lee, G.-D.; Lee, S.H. Self-supported liquid crystal film for flexible display and photonic applications. J. Mol. Liq. 2019, 291, 111314. [Google Scholar] [CrossRef]
- Rudquist, P. Orthoconic antiferroelectric liquid crystals. Liq. Cryst. 2013, 40, 1678–1697. [Google Scholar] [CrossRef]
- Dąbrowski, R.; Kula, P.; Raszewski, Z.; Piecek, W.; Otón, J.M.; Spadło, A. New orthoconic antiferroelectrics useful for applications. Ferroelectrics 2010, 395, 116–132. [Google Scholar] [CrossRef]
- D’havé, K.; Dahlgren, A.; Rudquist, P.; Lagerwall, J.P.F.; Andersson, G.; Matuszczyk, M.; Lagerwall, S.T.; Dąbrowski, R.; Drzewiński, W. Antiferroelectric Liquid Crystals with 45◦ Tilt—A New Class of Promising Electro-Optic Materials. Ferroelectrics 2000, 244, 115–128. [Google Scholar] [CrossRef]
- Rudquist, P.; Meier, J.G.; Lagerwall, J.P.F.; D’have, K.; Lagerwall, S.T. Tilt plane orientation in antiferroelectric liquid crystal cells and the origin of the pretransitional effect. Phys. Rev. E 2002, 66, 061708. [Google Scholar] [CrossRef]
- Dąbrowski, R.; Gąsowska, J.; Otón, J.M.; Piecek, W.; Przedmojski, J.; Tykarska, M. High tilted antiferroelectric liquid crystalline materials. Displays 2004, 25, 9–19. [Google Scholar] [CrossRef]
- Castillo, P.L.; Otón, J.M.; Dąbrowski, R.; Lara, A.; Quintana, X.; Bennis, N. Electrooptics of antiferroelectric orthoconic reflective displays. Proc. SPIE 2004, 5565, 284–289. [Google Scholar]
- Drzewiński, W.; Czupryński, K.; Dąbrowski, R.; Neubert, M. New antiferroelectric compounds containing partially fluorinated terminal chains. Synthesis and mesomorphic properties. Mol. Cryst. Liq. Cryst. 1999, 328, 401–410. [Google Scholar] [CrossRef]
- Deptuch, A.; Górska, N.; Baran, S.; Urbańska, M. Investigation of glass transition and polymorphism of smectogenic, partially fluorinated chiral compound by X-ray diffraction and infra-red spectroscopy. J. Mol. Liq. 2024, 404, 125001. [Google Scholar] [CrossRef]
- Żurowska, M.; Dąbrowski, R.; Dziaduszek, J.; Garbat, K.; Filipowicz, M.; Tykarska, M.; Rejmer, W.; Czupryński, K.; Spadło, A.; Bennis, N.; et al. Influence of alkoxy chain length and fluorosubstitution on mesogenic and spectral properties of high tilted antiferroelectric esters. J. Mat. Chem. 2011, 21, 2144–2153. [Google Scholar] [CrossRef]
- Żurowska, M.; Filipowicz, M.; Czerwiński, M.; Szala, M. Synthesis and properties of ferro- and antiferroelectric esters with a chiral centre based on (S)-(+)-3-octanol. Liq. Cryst. 2019, 46, 299–308. [Google Scholar] [CrossRef]
- Urbańska, M.; Morawiak, P.; Senderek, M. Investigation of the tilt angle and spontaneous polarisation of antiferroelectric liquid crystals with a chiral centre based on (S)-(+)-3-octanol. J. Mol. Liq. 2021, 328, 115378. [Google Scholar] [CrossRef]
- Urbańska, M.; Perkowski, P.; Morawiak, M.; Senderek, M. Antiferroelectric and ferroelectric mesophases created by (S) enantiomers with a short oligomethylene spacer and their usefulness in the formulation of orthoconic mixtures. J. Mol. Liq. 2020, 320, 114452. [Google Scholar] [CrossRef]
- Urbańska, M.; Strzeżysz, O.; Perkowski, P. Fluorinated esters with a very broad temperature range of the antiferroelectric phase. Liq. Cryst. 2023, 50, 2332–2344. [Google Scholar] [CrossRef]
- Levelut, A.M.; Germain, C.; Keller, P.; Liebert, L.; Billard, J. Two new mesophases in a chiral compound. J. Phys. 1983, 44, 623–629. [Google Scholar] [CrossRef]
- Furukawa, K.; Terashima, T.; Ichihashi, M.; Saitoh, S.; Miyazawa, K.; Inukai, T. Chiral smectic C liquid crystals having an electronegative substituent ortho to the chiral tail group—A study of a factor determining the magnitude of spontaneous polarization. Ferroelectrics 1988, 85, 451–459. [Google Scholar] [CrossRef]
- Miyasato, K.; Abe, S.; Takezoe, H.; Fukuda, A.; Kuze, E. Direct method with triangular waves for measuring spontaneous polarization in ferroelectric liquid crystals. Jpn. J. Appl. Phys. 1983, 22, L661–L663. [Google Scholar] [CrossRef]
- Schröder, I.Z. Über die Abhängigkeit der Löslichkeit eines festen Körpers von seiner Schmelztemperatur. Z. für Phys. Chem. 1893, 11, 449–465. [Google Scholar] [CrossRef]
- Van Laar, J.J. Die Schmelz- oder Erstarrungskurven bei binären Systemen, wenn die feste Phase ein Gemisch (amorphe feste Lösung oder Mischkristalle) der beiden Komponenten ist. Z. für Phys. Chem. 1908, 63, 257–297. [Google Scholar] [CrossRef]
- Chatelier, H.L. On a general statement of the laws of chemical equilibrium. C. R. Acad. Sci. 1884, 99, 786–789. [Google Scholar]
- Cox, R.J.; Johnson, J.F. Phase equilibria in liquid crystal mixtures. IBM J. Res. Dev. 1978, 22, 51–59. [Google Scholar] [CrossRef]
- Bubnov, A.; Podoliak, N.; Hamplová, V.; Tomášková, P.; Havlíček, J.; Kašpar, M. Eutectic behaviour of binary mixtures composed of two isomeric lactic acid derivatives. Ferroelectr. 2016, 495, 105–115. [Google Scholar] [CrossRef]
- Żurowska, M.; Czerwiński, M.; Dziaduszek, J.; Filipowicz, M. Examination of new chiral smectics with four aromatic rings. Phase Trans. 2018, 91, 521–529. [Google Scholar] [CrossRef]
- Bubnov, A.; Hamplová, V.; Kašpar, M.; Vajda, A.; Stojanović, M.; Obadović, D.; Éber, N.; Fodor-Csorba, K. Thermal analysis of binary liquid crystalline mixtures: System of bent core and calamitic molecules. J. Therm. Anal. Calori. 2007, 90, 431–441. [Google Scholar] [CrossRef]
- Fitas, J.; Marzec, M.; Szymkowiak, M.; Jaworska-Gołąb, T.; Deptuch, A.; Tykarska, M.; Kurp, K.; Żurowska, M.; Bubnov, A. Mesomorphic, electro-optic and structural properties of binary liquid crystalline mixtures with ferroelectric and antiferroelectric liquid crystalline behaviour. Phase Trans. 2018, 91, 1017–1026. [Google Scholar] [CrossRef]
- Debnath, A.; Mandal, P.K. Effect of fluorination on the phase sequence, dielectric and electro-optical properties of ferroelectric and antiferroelectric mixtures. Liq. Cryst. 2017, 44, 2192–2202. [Google Scholar] [CrossRef]
- Lagerwall, J.P.F.; Saipa, A.; Giesselmann, F.; Dąbrowski, R. On the origin of high optical director tilt in a partially fluorinated orthoconic antiferroelectric liquid crystal mixture. Liq. Cryst. 2004, 31, 1175–1184. [Google Scholar] [CrossRef]
- Milewska, K.; Drzewiński, W.; Czerwiński, M.; Dąbrowski, R.; Piecek, W. Highly tilted liquid crystalline materials possessing a direct phase transition from antiferroelectric to isotropic phase. Mater. Chem. Phys. 2016, 171, 33–38. [Google Scholar] [CrossRef]
- Lalik, S.; Deptuch, A.; Fryń, P.; Jaworska-Gołąb, T.; Węgłowska, D.; Marzec, M. Physical properties of new binary ferroelectric mixture. J. Mol. Liq. 2019, 274, 540–549. [Google Scholar] [CrossRef]
- Chakraborty, S.; Das, M.K.; Bubnov, A.; Weissflog, W.; We, D.; Dabrowski, R. Induced frustrated twist grain boundary liquid crystalline phases in binary mixtures of achiral hockey stick-shaped and chiral rod-like materials. J. Mater. Chem. C. 2019, 7, 10530–10543. [Google Scholar] [CrossRef]
- Tykarska, M.; Kurp, K.; Zieja, P.; Herman, J.; Stulov, S.; Bubnov, A. New quaterphenyls laterally substituted by methyl group and their influence on the self-assembling behaviour of ferroelectric bicomponent mixtures. Liq. Cryst. 2022, 49, 821–835. [Google Scholar] [CrossRef]
- Żurowska, M.; Czerwiński, M. The new high tilt mixtures with antiferroelectric phase at a broad temperature range and a long helical pitch. Liq. Cryst. 2017, 44, 1044–1049. [Google Scholar] [CrossRef]
- Quintana, X.; Castillo, P.L.; Otón, J.M.; Bennis, N.; Lara, A.; Urruchi, V.; Dąbrowski, R. Video-rate Multiplexed Driving Scheme for Passive Antiferroelectric Liquid Crystal Displays. Opto-Electr. Rev. 2004, 12, 291–297. [Google Scholar]
- Czerwiński, M.; de Blas, M.G.; Bennis, N.; Herman, J.; Dmochowska, E.; Otón, J.M. Polymer stabilized highly tilted antiferroelectric liquid crystals—The influence of monomer structure and phase sequence of base mixtures. J. Mol. Liq. 2021, 327, 114869. [Google Scholar] [CrossRef]
- Takezoe, H.; Kondo, K.; Fukuda, A.; Kuze, E. Determination of helical pitch in homeotropic cell of chiral Smectic C liquid crystal using center laser. Jpn. J. Appl. Phys. 1982, 21, L627–L629. [Google Scholar] [CrossRef]
- Kurp, K.; Tykarska, M.; Drzewicz, A.; Lapanik, V.; Sasnouski, G. Effect of ferroelectric liquid crystalline quaterphenyl structure and handednesson helical pitch length in bicomponent mixtures. Liq. Cryst. 2017, 44, 618–627. [Google Scholar] [CrossRef]
- Raszewski, Z.; Kędzierski, J.; Perkowski, P.; Piecek, W.; Rutkowska, J.; Kłosowicz, S.; Zieliński, J. Refractive indices of the MHPB(H)PBC and MHPB(F)PBC antiferroelectric liquid crystals. Ferroelectrics 2002, 276, 289–300. [Google Scholar] [CrossRef]
- Furue, H.; Umeno, E.; Hatano, J. Temperature Dependence of Helical Structure of Polymer-Stabilized Antiferroelectric Liquid Crystals. Mol. Cryst. Liq. Cryst. 2005, 437, 203–209. [Google Scholar] [CrossRef]
- Chen, J.H.; Hsiue, G.-H.; Hwang, C.-P.; Wu, J.-L. Broad liquid crystalline temperature range of ferroelectric liquid crystals. Liq. Cryst. 1995, 19, 803–806. [Google Scholar] [CrossRef]
- Kelly, S.M. Ferroelectric liquid crystals. Part 9. Laterally substituted phenyl benzoates incorporating a trans-1,4-disubstituted cyclohexane ring. Helv. Chim. Acta. 1989, 72, 594–607. [Google Scholar] [CrossRef]
- Podoliak, N.; Hamplová, V.; Kašpar, M.; Novotná, V.; Glogarová, M.; Pociecha, D.; Górecka, E. Highly tilted smectogens with bromine-substituted molecular core. Liq. Cryst. 2013, 40, 321–328. [Google Scholar] [CrossRef]
- Fergusson, K.M.; Hird, M. The dramatic influence of the location of bend and of lateral fluoro substitution on the mesomorphic properties of angular chiral esters based on a 1,3-disubstituted benzene ring. J. Mater. Chem. 2010, 20, 3069–3078. [Google Scholar] [CrossRef]
- Gisse, P.; Cluzeau, P.; Ravaine, V.; Nguyen, H.T. Characterization of a new chiral antiferroelectric liquid crystal with a lateral bromo substituent. Liq. Cryst. 2002, 29, 91–98. [Google Scholar] [CrossRef]
- Novotná, V.; Hamplová, V.; Kašpar, M.; Glogarová, M. New chlorine-substituted ferroelectric liquid crystals with four aromatic rings in the mesogenic core. Liq. Cryst. 2002, 29, 1435–1439. [Google Scholar] [CrossRef]
- Yeap, G.-Y.; Hng, T.-C.; Yeap, S.-Y.; Górecka, E.; Ito, M.M.; Ueno, K.; Okamoto, M.; Mahmood, W.A.K.; Imrie, C.T. Why do non-symmetric dimers intercalate? The synthesis and characterisation of the α-(4-benzylidene-substituted-aniline-4′-oxy)-ω-(2-methylbutyl-4′-(4″-phenyl)benzoateoxy)alkanes. Liq. Cryst. 2009, 36, 1431–1441. [Google Scholar] [CrossRef]
- Podoliak, N.; Novotná, V.; Kašpar, M.; Hamplová, V.; Pacherová, O. Chiral smectogens with four-phenyl-ring molecular core, laterally substituted by iodine atom. Liq. Cryst. 2015, 42, 404–411. [Google Scholar] [CrossRef]













| Chemical Formula (and Acronym) of the Compound | C [%] | H [%] | O + F [%] |
|---|---|---|---|
| C41H41F7O6 (3PhPh) | 64.21 | 4.935 | 30.855 |
| C45H49F7O6 (7PhPh) | 67.48 | 5.948 | 26.572 |
| Acronym | Cr | SmCA* | SmC* | SmA* | Iso | ||||
|---|---|---|---|---|---|---|---|---|---|
| - | 176.0–177.7 | 195.3–196.6 | 209.8–211.7 | ||||||
| 90.2 | 181.7 | 187.7 | 204.2 | ||||||
| 3PhPh | • | 41.8 | • | 177.3 | • | 186.1 | • | 205.5 | • |
| 16.82 | 0.06 | 1.15 | 1.82 | ||||||
| - | 186.7–187.5 | 194.0–195.5 | 215.0–217.8 | ||||||
| 72.7 | 182.6 | 189.1 | 210.4 | ||||||
| 7PhPh | • | - | • | 179.6 | • | 188.9 | • | 209.8 | • |
| 14.78 | 0.04 | 1.04 | 2.13 |
| No. | Compounds | Concentration [wt%] |
|---|---|---|
| 1. | ![]() [26] | 13.0 |
| 2. | ![]() [26] | 45.0 |
| 3. | ![]() [28] | 42.0 |
| Acronym of the Mixture | Mixture W-450 Concentration [wt%] | Dopant and Concentration [wt%] |
|---|---|---|
| W-450A | 80.0 | 3PhPh; 20.0 |
| W-450B | 80.0 | 7PhPh; 20.0 |
Disclaimer/Publisher’s Note: The statements, opinions and data contained in all publications are solely those of the individual author(s) and contributor(s) and not of MDPI and/or the editor(s). MDPI and/or the editor(s) disclaim responsibility for any injury to people or property resulting from any ideas, methods, instructions or products referred to in the content. |
© 2024 by the authors. Licensee MDPI, Basel, Switzerland. This article is an open access article distributed under the terms and conditions of the Creative Commons Attribution (CC BY) license (https://creativecommons.org/licenses/by/4.0/).
Share and Cite
Urbańska, M.; Gratzke, M.; Czerwiński, M. Synthesis and Characterization of New Chiral Smectic Four-Ring Esters. Molecules 2024, 29, 3134. https://doi.org/10.3390/molecules29133134
Urbańska M, Gratzke M, Czerwiński M. Synthesis and Characterization of New Chiral Smectic Four-Ring Esters. Molecules. 2024; 29(13):3134. https://doi.org/10.3390/molecules29133134
Chicago/Turabian StyleUrbańska, Magdalena, Mateusz Gratzke, and Michał Czerwiński. 2024. "Synthesis and Characterization of New Chiral Smectic Four-Ring Esters" Molecules 29, no. 13: 3134. https://doi.org/10.3390/molecules29133134
APA StyleUrbańska, M., Gratzke, M., & Czerwiński, M. (2024). Synthesis and Characterization of New Chiral Smectic Four-Ring Esters. Molecules, 29(13), 3134. https://doi.org/10.3390/molecules29133134




