Abstract
Research over the last 25 years related to structural elucidations and biological investigations of the specialized pro-resolving mediators has spurred great interest in targeting these endogenous products in total synthesis. These lipid mediators govern the resolution of inflammation as potent and stereoselective agonists toward individual G-protein-coupled receptors, resulting in potent anti-inflammatory activities demonstrated in many human disease models. Specialized pro-resolving mediators are oxygenated polyunsaturated products formed in stereoselective and distinct biosynthetic pathways initiated by various lipoxygenase and cyclooxygenase enzymes. In this review, the reported stereoselective total synthesis and biological activities of the specialized pro-resolving mediators biosynthesized from the polyunsaturated fatty acid n-3 docosapentaenoic acid are presented.
1. Introduction
1.1. Polyunsaturated Fatty Acids and Health Effects
A high dietary intake of ω-3 long-chain polyunsaturated fatty acids (PUFAs) is associated with many beneficial health effects [1]. These PUFAs include eicosapentaenoic acid (EPA, 1), docosahexaenoic acid (DHA, 2), and n-3 docosapentaenoic acid (n-3 DPA, 3) (Figure 1). The ω-3 PUFAs are essential nutrients that cannot be biosynthesized by the human body in sufficient amounts and must therefore be obtained from the diet.
Figure 1.
Chemical structures of the ω-3 PUFAs EPA (1), DHA (2), and n-3 DPA (3) as well as the ω-6 PUFA arachidonic acid (AA (4)).
Moreover, the dietary ω-3 PUFAs have been shown to be associated with preventing a variety of inflammatory disorders [2], including cardiovascular diseases [3], rheumatoid arthritis [4], Alzheimer’s disease [5], asthma [6], and type 2 diabetes [7]. Until recently, no molecular basis or cellular mechanisms have been established for the health effects accounted for the ω-3 PUFAs. However, the diligent and continuous efforts led by Professor Charles N. Serhan and collaborators over the last 25 years have demonstrated that the three ω-3 PUFAs 1–3, but also the ω-6 PUFA arachidonic acid (AA, 4, Figure 1), are precursors for the enzymatically formed oxygenated products named specialized pro-resolving mediators (SPMs). SPMs potently down-regulate the inflammatory process and possess nanomolar pro-resolving bioactions [8,9,10]. Since uncontrolled inflammation is a common theme for the human diseases listed above, the pro-resolving and anti-inflammatory bioactions reported for the SPMs have attracted great interest in biomedical research [11]. SPMs are also highly interesting targets for stereoselective total synthesis, enabling drug discovery projects [12].
1.2. Inflammation, Resolution of Inflammation, and Lipid Mediators in Inflammation
The inflammatory process is an essential part of the protective response to tissue injury and infection by invading microbial pathogens [13]. The inflammatory response may be divided into acute and chronic inflammation, which are defined according to the nature of the inflammatory cells appearing in tissue [13]. Acute inflammation is further divided into the initiation phase and the resolution phase of inflammation. The former has the classic cardinal signs such as rubor (redness), calor (heat), tumor (swelling), and dolor (pain), described by Celsus in the 1st century [9], in addition to the loss of function, which was added by Rudolf Virchow in the 19th century [14]. Although the primary goal of the inflammation phase is to regain homeostasis [15], if kept uncontrolled, it may result in the development of a chronic state of inflammation.
The course from initiation to the resolution of acute inflammation is illustrated in Figure 2 and shows the most central cell types in the different stages of inflammation. In the early stages of the inflammatory process, activated endothelial cells start to produce pro-inflammatory mediators, such as cytokines and chemokines, as well as chemoattractants like histamine and bradykinin. Additionally, pro-inflammatory lipid mediators, such as the leukotrienes (LTs) and prostaglandins (PGs), are biosynthesized from AA (4) after its release from the phospholipid membrane. These mediators increase vessel permeability, vasodilation, and the recruitment of leukocytes to the site of injury, leading to the classic cardinal signs of inflammation [9,13].
Figure 2.
The figure illustrates the two major outcomes of the inflammatory process.
Basophils, eosinophils, neutrophils, monocytes, and lymphocytes are examples of leukocytes. The neutrophils, also known as the polymorphonuclear neutrophils (PMNs), are the most predominant of these cell types in the early stages of inflammation [16]. The PMNs are among the first cells to appear at the site of injury or infection and act as the host’s first line of defense, as these cells swarm to the inflamed tissue. The PMNs are essential for further acceleration of the inflammatory process by the production of inflammatory mediators, including cytokines, chemokines, lipid mediators, and growth factors [13]. The inflammatory response needs to be terminated once the incoming stimulus, caused by tissue injury or invasion of pathogens, has been defeated. During the termination of ongoing inflammation, also referred to as the resolution phase, PMNs are gradually being replaced by mononuclear cells, mainly monocytes (Figure 2). These cells differentiate into macrophages in the tissue and are often referred to as phagocytic cells, meaning they ingest foreign material and cell debris in a process named phagocytosis. Macrophages also clear apoptotic cells and cellular debris in a process named efferocytosis. Phagocytosis and efferocytosis are typical processes associated with SPMs during the resolution of inflammation. Another important event in the resolution phase of inflammation is the timely lipid mediator class switch, illustrated in Figure 3. Herein, the biosynthesis of the pro-inflammatory LTs and PGs, such as leukotriene B4 (LTB4, 5) and prostaglandin E2 (PGE2, 6), are diminished, and replaced by an enhanced biosynthesis of SPMs, such as lipoxin A4 (LXA4, 7), protectin D1 (PD1, 8), resolvin D1 (RvD1, 9) and maresin 1 (MaR1, 10), thus initiating resolution of inflammation [17]. The release of AA (4) from the cell membrane by cytosolic phospholipase A2 (cPLA2) is the first and overall rate-determining step in the biosynthesis of eicosanoids by effector and immune cells, as illustrated in Figure 3. This unbound form of intracellular AA (4) is rapidly converted in a cell type-specific manner by the cyclooxygenase (COX) or lipoxygenase (LOX) enzymes to generate lipid mediators, such as LTB4 (5) and PGE2 (6) [13], with pro-inflammatory properties.
Figure 3.
PUFAs, such as DHA (2) and AA (4), are released from the phospholipid membrane because of injury or infection, thus resulting in the biosynthesis of a variety of lipid mediators through the COX- and LOX pathways. The initiation of inflammation stimulates the biosynthesis of pro-inflammatory lipid mediators (LTB4 (5), PGE2 (6) followed by a lipid mediator class switch toward the biosynthesis of the anti-inflammatory and pro-resolving SPMs, e.g., LXA4 (7), PD1 (8), RvD1 (9), and MaR1 (10). The figure also highlights some anti-inflammatory drug classes that target the biosynthesis of lipid mediators, hence downregulating both the pro-inflammatory and the host protective roles of the prostaglandins. These traditional pharmaceuticals interrupt the normal resolution phase.
Failure to reduce further neutrophil recruitment and clearance of apoptotic cells by macrophages may result in the development of a chronic state of inflammation [9,18]. Chronic inflammation is defined according to the accumulation of lymphocytes, macrophages, and plasma cells in the tissue and not by the duration of the inflammatory process [19]. When present in extravascular sites, these cells may lead to the secretion of a variety of factors, one example being tumor necrosis factor-β (TNF-β). Such factors activate fibroblasts and result in the production of cross-linked collagen, which may, in turn, lead to extensive collagenous scars [13]. This highly undesirable outcome of the acute inflammatory response has proved to be a part of the pathogenesis of various disorders [2,3,4,5,6,7,20]. As stated above, the ideal outcome of an inflammation is resolution, a process that is governed by SPMs. Thus, the active process of resolution of inflammation by SPMs biosynthesized from the ω-3 PUFAs EPA (1), DHA (2), and n-3 docosapentaenoic acid (n-3 DPA, 3) is a dynamic and detailed programmed response, and not just a means of passive dilution of chemoattractants, as previously thought [13]. These active processes leading to the resolution of inflammation are considered a biomedical paradigm shift [21,22]. Resolving inflammatory exudate converts the ω-3 PUFAs 1–3 to families of structurally distinct signaling molecules, named resolvins, protectins, and maresins, while the ω-6 PUFA AA (4) forms lipoxins [8]. SPMs are agonists in the resolution phase of inflammation and exert their bioactions by stereoselective interaction with G-protein-coupled receptors (GPCRs), hence limiting the infiltration of PMNs and enhancing the clearance of apoptotic cells by phagocytosis [18]. The importance of SPMs in the resolution phase of inflammation may lead to the development of small organic molecular drugs that are not immunosuppressive [18,21] or constitute a new way to treat inflammation in the future based on the principles of resolution pharmacology [22,23,24].
1.3. Overview of Specialized Pro-Resolving Mediators
Research over the last three decades has led to the structural elucidations and biological investigations of the SPM families outlined in Figure 4. SPMs have shown potent and interesting biological effects in many human disease models and cell systems [25,26,27,28].
Figure 4.
Overview of the different SPM families derived from the ω-3 PUFAs EPA (1), DHA (2), and n-3 DPA (3) and the ω-6 PUFA AA (4). The number of each reported n-3 DPA-derived SPM is provided in parentheses.
The resolvins biosynthesized from DHA (2) are termed D-series resolvins (RvDs), while EPA (1) gives rise to the E-series resolvins (RvEs). DHA (2) also gives rise to the protectins and maresins, including the sulfido-conjugated compounds called protectin conjugates in tissue regeneration (PCTRs), resolvin conjugates in tissue regeneration (RCTRs), and maresin conjugates in tissue regeneration (MCTRs) (Figure 4). The term “resolvins” reflects their resolving features during inflammation [29], and the “protectins” got their name due to their potent protective activity in inflammatory and neuronal systems [30]. The “maresins” were assigned this name due to their role as macrophage mediators that resolve inflammation [31]. Hamberg, Serhan, and Samuelsson reported in 1984 that AA (4) was biosynthesized into lipoxins A4 and B4 [32,33]. The n-3 DPA (3)-derived SPMs include the n-3 DPA resolvins, n-3 DPA maresins, n-3 DPA protectins [34], and the most recently identified 13-series resolvins (RvTs) [35].
1.4. Specialized Pro-Resolving Mediators Derived from n-3 DPA
In 2013, Dalli, Collas, and Serhan reported that n-3 DPA (3), like EPA (1) and DHA (2), is a substrate for 5-, 12-, and 15-LOX enzymes in mice and human leukocytes, leading to the discovery of the novel n-3 DPA-derived SPMs [34,35]. These SPMs share structural resemblance with the DHA-derived protectins, maresins, and resolvins, except for the absence of the C4–C5 Z-olefin in the n-3 DPA-derived respective protectins, maresins, and resolvins. Hence, these 12 SPMs are congeners of the DHA-derived SPMs. In addition, Dalli, Chiang, and Serhan reported investigations of the transcellularly biosynthesis using n-3 DPA (3) and COX-2 during neutrophil–endothelial cell interactions. These studies resulted in the identification of the four-membered 13-resolvins (RvTs) [35]. The naming originates from the first and common oxygenation step occurring at carbon thirteen [35]. The hitherto reported stereoselective total syntheses of the n-3 DPA SPMs are discussed below, but first, the individual families of the n-3 DPA-derived SPMs are presented.
1.4.1. Biosynthesis of n-3 DPA Protectins
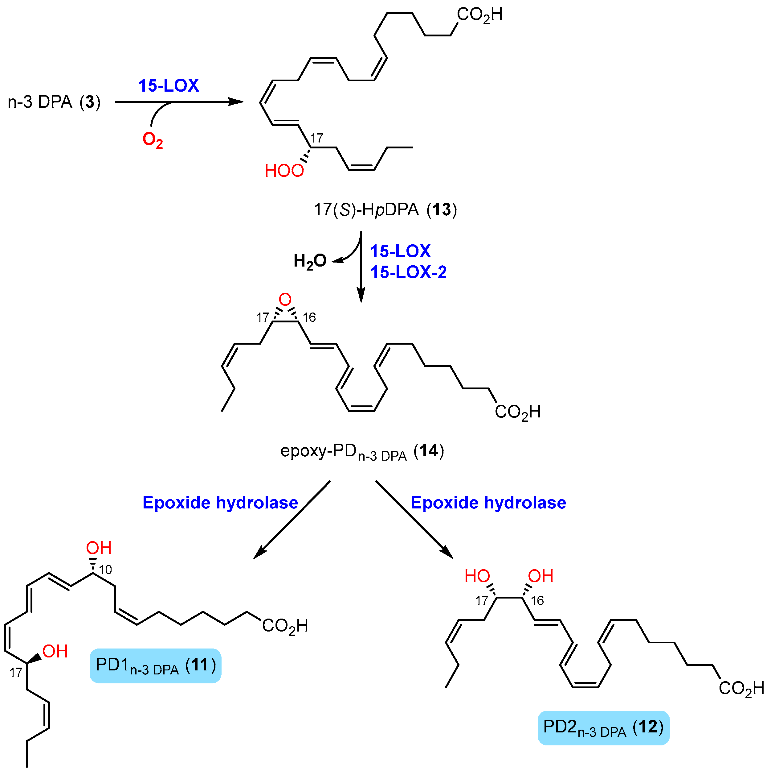
As their names suggest, PD1n-3 DPA (11) and PD2n-3 DPA (12) are both biosynthesized from n-3 DPA (3) [34,36,37]. 15-LOX activity on n-3 DPA (3) yields the known 17(S)-HpDPA (13) intermediate that is further subjected to 15-LOX and 15-LOX-2 to yield the epoxide intermediate 14 [36,37]. Different epoxide hydrolase activities lead to the formation of either PD1n-3 DPA (11) or PD2n-3 DPA (12) [37]. The biosynthetic pathways of n-3 DPA protectins, in contrast to the other n-3 DPA families of SPMs, have been studied in detail [36,37], as illustrated in Scheme 1.
Scheme 1.
Biosynthesis of the n-3 DPA protectins 11 and 12.
1.4.2. Biosynthesis of n-3 DPA Maresins
The maresins derived from n-3 DPA (3) comprise MaR1n-3 DPA (15), MaR2n-3 DPA (16), and MaR3n-3 DPA (17). n-3 DPA (3) is a substrate for 12-LOX, and this oxygenase forms the common and known intermediate 14(S)-HpDPA (18), as shown in Scheme 2. Enzymatic epoxidation of 18 by 12-LOX most likely forms an epoxide that undergoes ring opening by different epoxide hydrolases, producing either MaR1n-3 DPA (15) or MaR2n-3 DPA (16). Alternatively, the insertion of molecular oxygen at C21 in 18 and additional peroxidase activity forms MaR3n-3 DPA (17). Of note, these biosynthetic pathways are presented based on prior knowledge [8,34] and have not been established by experiments.
Scheme 2.
Proposed mechanism for the biosynthesis of the n-3 DPA maresins. The absolute configuration is provided where known.
1.4.3. Biosynthesis of n-3 DPA Resolvins
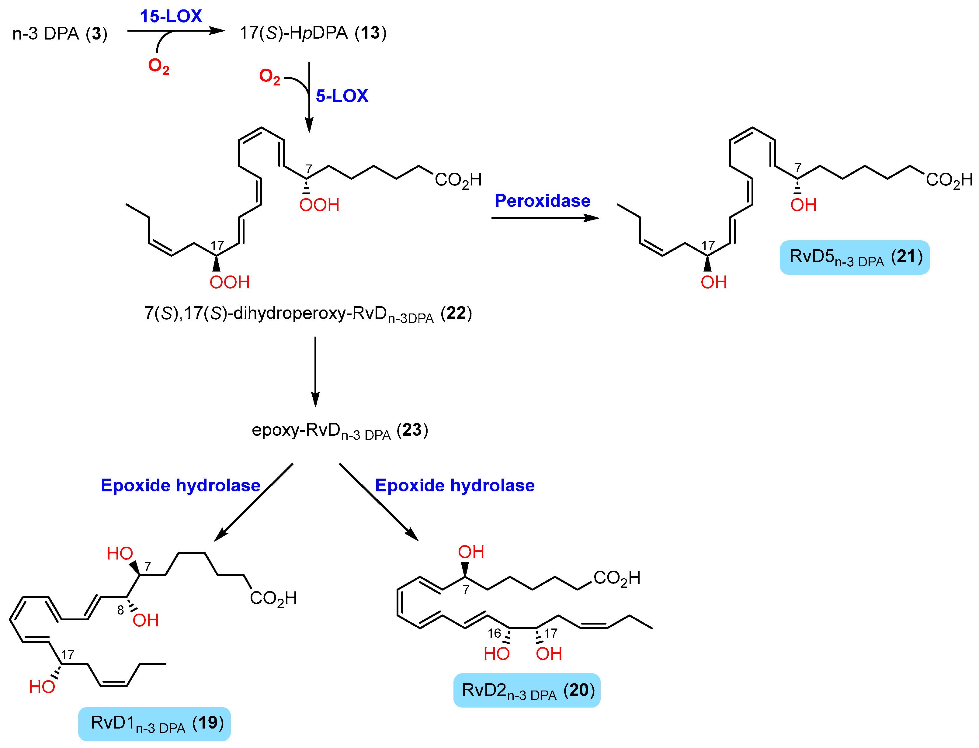
The n-3 DPA-derived resolvins consist of RvD1n-3 DPA (19), RvD2n-3 DPA (20), and RvD5n-3 DPA (21). The proposed biosynthesis suggests the insertion of molecular oxygen to n-3 DPA (3) by 15-LOX to yield the common and known intermediate 17(S)-HpDPA (13), as shown in Scheme 3. Then, 5-LOX catalyzes the formation of another hydroperoxide in the C7 position to yield the intermediate 7(S),17(S)-dihydroperoxy-RvDn-3 DPA (22). An enzymatic conversion yields an epoxy intermediate that is further hydrolyzed by different epoxide hydrolase enzymes to afford either RvD1n-3 DPA (19) or RvD2n-3 DPA (20). Alternatively, direct peroxidase activity on 22 gives rise to RvD5n-3 DPA (21) [34]. As of today, no direct evidence is available for the biosynthesis presented in Scheme 3, but it should share great similarities to the biosynthesis of the DHA-congener resolvin D1 (9) [29,38] (see Figure 3).
Scheme 3.
Proposed biosynthesis of the n-3 DPA resolvins 19–21.
A self-limited model of inflammation was applied to investigate tissue levels of n-3 DPA products during onset and resolution of inflammation [34]. In these studies, the concentration of RvD1n-3 DPA (19) showed a bi-phasic profile by reaching a maximum during peak neutrophil infiltration and late into resolution. The peak level of RvD2n-3 DPA (20) accorded with the onset of resolution, i.e., the point where PMN levels reach ~50% of transport maximum (Tmax). The level of RvD5n-3 DPA (21) gradually increased over the course of inflammation resolution, with a maximum in the late stages of the resolution phase.
1.4.4. Biosynthesis of 13-Series Resolvins
In 2015, a new series of n-3 DPA-derived resolvins was reported and termed 13-series resolvins [35]. Their names are supported by the common 13(R)-alcohol moiety in all four structures [39]. The biosynthesis of the RvTs commences with the insertion of molecular oxygen at C13 by COX-2 enzymes to yield 13(R)-HpDPA (24), as shown in Scheme 4. The peroxide intermediate 24 is then subjected to peroxidase enzymes to yield the 13(R)-alcohol 25 [40]. Different enzymatic activities on 25 form the four RvTs 26–29. Interestingly, the biosynthetic formation of these SPMs was increased by atorvastatin via S-nitrosylation of the COX-2 enzymes and reduced by COX-2 inhibitors [35].
Scheme 4.
Proposed mechanism for the biosynthesis of the 13-series resolvins 26–29.
n-3 DPA (3) is an intermediate in the biosynthesis of DHA (2) from EPA (1) [41,42,43], as shown in Scheme 5. EPA (1) is converted to n-3 DPA (3) by elongase enzymes. Further elongase and Δ6-desaturase activities on 3 yield the 24:6 n-3 fatty acid (30) via 31, which is finally converted to DHA (2) by β-oxidation. The absence of the C4-C5 Z-configured double bond in n-3 DPA makes this PUFA incapable of biosynthesizing the RvD3, RvD4, and RvD6 n-3 DPA congeners since this double bond is involved in the biosynthesis of RvD3, RvD4, and RvD6. The naming of the n-3 DPA maresins, protectins, and resolvins is based on the chemically similar structures as the DHA-derived SPMs [34].
Scheme 5.
Outline of the mammalian biosynthesis of DHA (2) from EPA (1) via the intermediate n-3 DPA (3).
2. Stereoselective Syntheses of n-3 DPA-Derived SPMs
Since SPMs are biosynthesized only on the nano- to picogram scale, direct NMR analyses for their individual structural elucidations are not possible. Hence, mass spectrometry-based identification using multiple reacting monitoring (MRM) is therefore used to establish the structures from biological sources [8]. The inconvenience of this method is that it can only provide the basic structures without stereochemistry. Hence, matching the biogenic product with the product obtained by stereoselective total synthesis with defined stereochemistry is necessary to establish the complete stereochemical assignment of the SPMs. Specialized pro-resolving mediators are interesting biotemplates in drug development efforts with the aim to provide new anti-inflammatory agents without immunosuppressive effects [21,23]. The n-3 DPA (3)-derived SPMs are no exception [44].
The following sections provide an overview of the hitherto published syntheses of the various SPMs derived from n-3 DPA (3). In addition, an overview of the biological studies reported is also presented.
2.1. Synthesis and Biological Studies of PD1n-3 DPA (11)
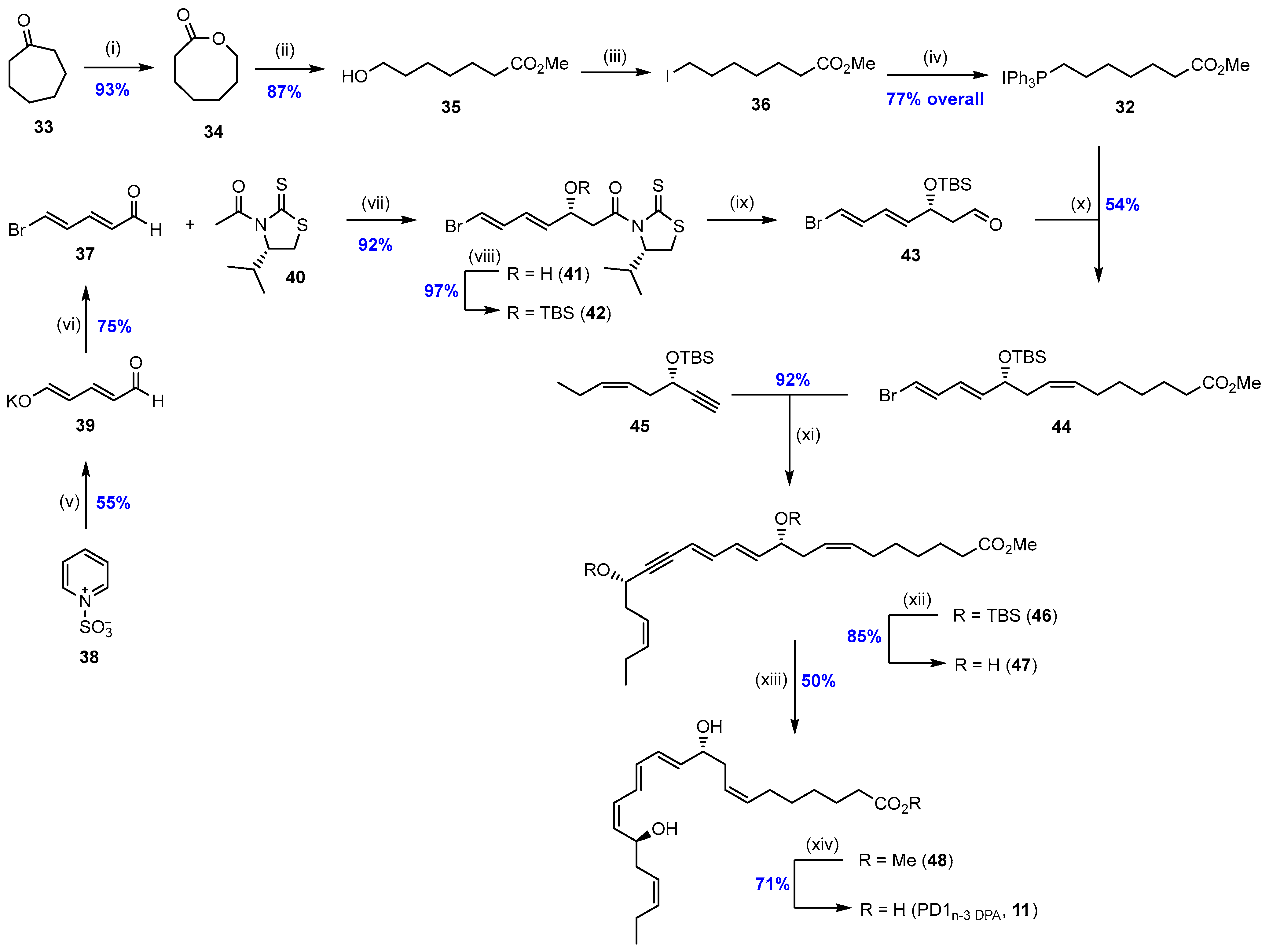
The first total synthesis of PD1n-3 DPA (11) was reported in 2014 [45]. This was a convergent synthesis with Wittig salt 32, aldehyde 43, and alkyne 45 as key fragments (Scheme 6). The Wittig salt 32 was prepared in four steps from cycloheptanone (33). A Baeyer–Villiger oxidation of 33 yielded the lactone 34 in 93% yield, which was treated with catalytic amounts of H2SO4 in MeOH to yield the ring-opened hydroxy methyl ester 35 in 87% yield. An Appel reaction using Ph3P, I2, and imidazole in CH2Cl2 was next applied to convert the alcohol moiety in 35 to the corresponding iodide 36. Finally, refluxing 36 with Ph3P in MeCN yielded the desired Wittig salt 32 in 77% yield over the two steps. For the synthesis of the key fragment 43, the known aldehyde 37 was prepared as previously reported from commercially available pyridinium-1-sulphonate (38) using a two-step protocol [46,47]. The first treatment of salt 38 with aqueous potassium hydroxide at −20 °C yielded the glutaconaldehyde potassium salt 39, which was transformed further with the Br2/PPh3 complex to aldehyde 37 in 41% yield over the two steps. Then, an Evans–Nagao acetate aldol with chiral auxiliary 40 and aldehyde 37 was executed, which yielded the aldol product 41 in 15.3:1 dr, according to the procedure of Olivio and coworkers [48]. Protection as TBS-ether 42 and reductive removal of the auxiliary yielded aldehyde 43, as earlier reported in the literature [49,50]. Aldehyde 43 was then reacted in a highly Z-selective Wittig reaction with the ylide of 32 to furnish the desired Z-alkene 44 in 54% yield. The yield in this reaction was hampered by the elimination of the TBS-protected alcohol in 44 to yield an all-conjugated system. Alkyne 45 was prepared from commercially available 1-butyne and THP-protected (S)-glycidol, as reported earlier [51,52]. A Sonogashira cross-coupling reaction between the vinylic bromide in 44 and alkyne 45 was achieved to yield 46 an excellent 92% yield using catalytic amounts of Pd(PPh3)4 and CuI in Et2NH. Deprotection of the two silyl ethers in 46 was achieved using TBAF in THF at 0 °C, which afforded 47. A Z-selective reduction of the internal alkyne in 47 was then carried out using Lindlar’s catalyst in a solvent system containing EtOAc/pyridine/1-octene (10:1:1) to obtain PD1n-3 DPA methyl ester (48) in 50% yield. Finally, saponification of the methyl ester 48 using LiOH in H2O/MeOH (1:1) at 0 °C afforded the natural product 11 in 71% yield and chemical purity >98% based on HPLC chromatography. The longest linear sequence of this synthesis was 10 steps, with an overall yield of 9%. Matching experiments between synthetic and endogenous PD1n-3 DPA (11) provided evidence for the absolute configuration to be (7Z,10R,11E,13E,15Z,17S,19Z)-10,17-dihydroxydocosa-7,11,13,15,19-pentaenoic acid (11).
Scheme 6.
Stereoselective synthesis of PD1n-3 DPA (11) [45]. Reagents and conditions: (i) m-CPBA, CH2Cl2; (ii) cat. H2SO4, MeOH; (iii) Ph3P, I2, imidazole, CH2Cl2; (iv) Ph3P, MeCN, Δ; (v) KOH (aq), −20 °C to rt; (vi) Br2, PPh3, CH2Cl2, 0 °C, then p-TsOH, Et2O; (vii) TiCl4, (i-Pr)2NEt, CH2Cl2, −78 °C; (viii) TBSOTf, 2,6-lutidine, CH2Cl2, −78 °C; (ix) DIBAL-H, CH2Cl2, −78 °C; (x) NaHMDs, THF, −78 °C; (xi) Pd(PPh3)4, CuI, Et2NH; (xii) TBAF, THF, 0 °C; (xiii) H2, Lindlar’s catalyst, EtOAc/pyridine/1-octene; (xiv) LiOH (aq), MeOH, 0 °C.
PD1n-3 DPA (11) is the n-3 DPA SPM member that has been the subject of most biological studies. This SPM displays potent anti-inflammatory and pro-resolving bioactivities comparable to those of PD1 (8) in that it decreases neutrophil recruitment during peritonitis and increases macrophage phagocytosis of both zymosan A and apoptotic neutrophils [45]. A recent study revealed that PD1n-3 DPA (11) regulated neuroinflammation and reduced weight loss and cognitive deficit during epileptogenesis, in addition to halting the ensuing epileptic seizures [53]. Another interesting study uncovered the protective effects of 11 against colitis and intestinal inflammation in mice [54].
2.2. Synthesis of PD2n-3 DPA (12)
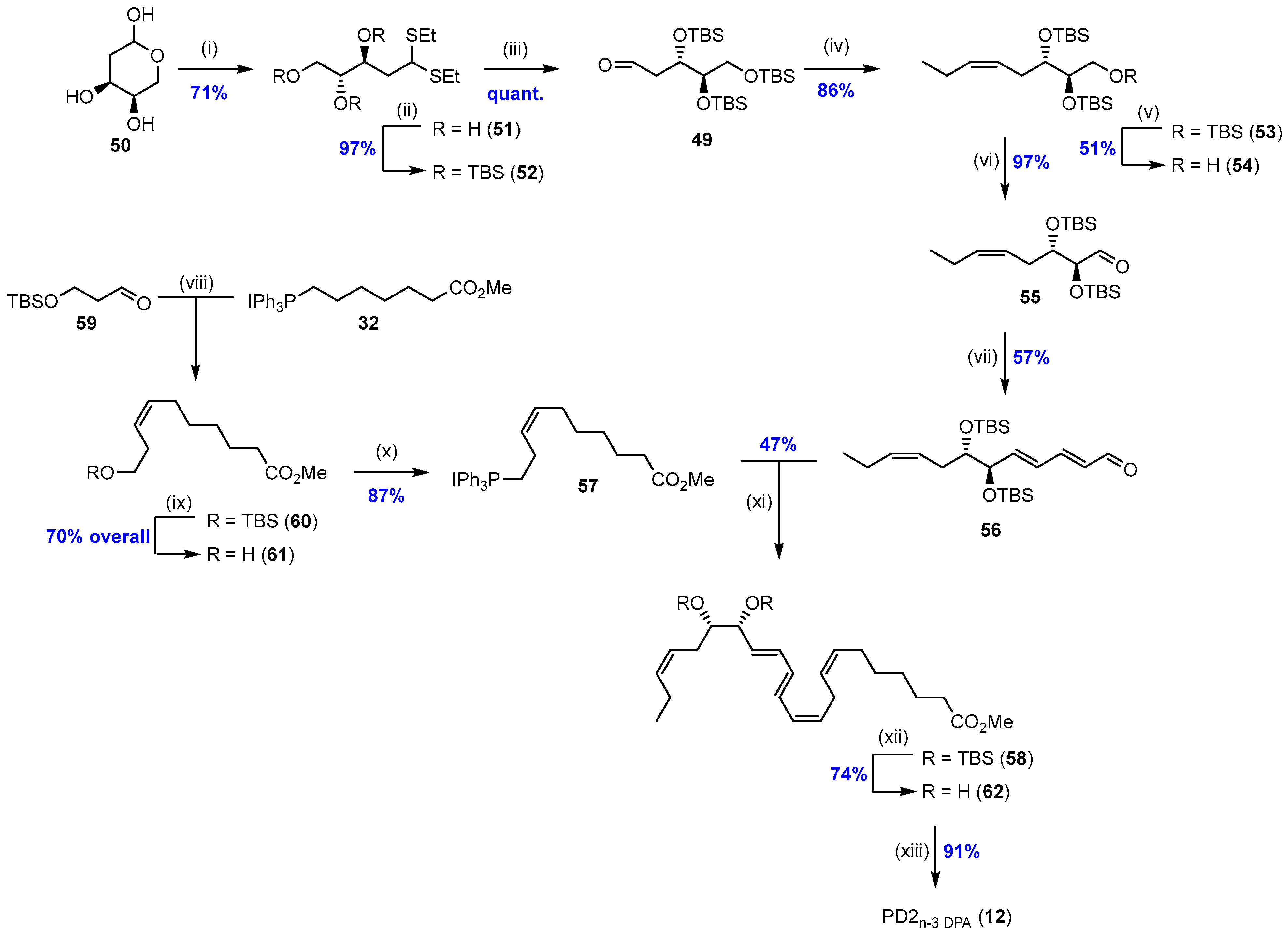
The hitherto only reported total synthesis of PD2n-3 DPA (12) was published in 2020 by Primdahl, Tungen, and Hansen [55]. This convergent synthesis relied on the two key fragments, aldehyde 56 and Wittig salt 57 (Scheme 7). For the synthesis of key aldehyde 56, compound 49 [56] was prepared from 2-deoxy-D-ribose (50). Conversion of 50 into its thioacetal 51 was followed by global protection into 52 and cleavage of the thioacetal to afford aldehyde 49. A Z-selective Wittig reaction of aldehyde 49 with the ylide of commercially available propyltriphenylphosphonium bromide, the latter obtained in situ after treatment with NaHMDS, afforded 53 (Scheme 7). Selective deprotection by PTSA in EtOH/MeOH at −20 °C revealed the primary alcohol 54, which was further partially oxidized to 55 using Dess–Martin periodinane. Aldehyde 55 was then reacted in a double E-selective Wittig reaction with (triphenylphosphoranylidene)acetaldehyde in toluene at elevated temperature to yield the key fragment 56. The other key fragment, Wittig salt 57, was obtained by following a four-step sequence. Firstly, a Z-selective Wittig reaction between aldehyde 59 and the ylide of 32, the latter obtained after reaction with NaHMDS, yielded Z-alkene 60. Then, deprotection yielded alcohol 61, and an Appel reaction and quaternization with triphenylphosphine afforded 57 (Scheme 7). The two key fragments, aldehyde 56 and Wittig salt 57, were joined by a Z-selective Wittig reaction to afford compound 58. The final steps included deprotection of the TBS-ethers in compound 58 with TBAF to yield the diol 62, which was hydrolyzed to PD2n-3 DPA (12). This convergent synthesis provided the target molecule PD2n-3 DPA (12) in 10 steps (longest linear sequence) and 5% overall yield. As of today, no biological studies with 12 have been reported.
Scheme 7.
Stereoselective synthesis of PD2n-3 DPA (12) [55]. Reagents and conditions: (i) EtSH, HCl, rt., 3 h; (ii) TBSOTf, 2,6-lutidine, 0 °C, 16 h; (iii) NBS, 2,6-lutidine, acetone/H2O, 0 °C, 1 h; (iv) NaHMDS, BrPh3P(CH2)2CH3, CH2Cl2, −78 °C to rt; (v) PTSA, EtOH/MeOH (1:1), −20 °C to rt; (vi) DMP, NaHCO3, CH2Cl2, rt; (vii) (triphenylphosphoranylidene)acetaldehyde, toluene, 95 °C; (viii) NaHMDS, HPMA, THF, then 59, −78 °C; (ix) CSA, MeOH/CH2Cl2 (2:1); (x) PPh3, I2, imidazole, CH2Cl2, then Ph3P, MeCN, Δ; (xi) NaHMDS, THF, HMPA, −78 °C; (xii) TBAF, THF, 0 °C to rt; (xiii) LiOH, THF/MeOH/H2O (2:2:1), 0 °C.
2.3. Synthesis and Biological Evaluations of MaR1n-3 DPA (15)
The only synthesis of MaR1n-3 DPA (15) was reported in 2014 [57]. This convergent synthesis relied on a Sonogashira reaction between the two key fragments alkyne 69 (Scheme 8) and vinyl bromide 70, and a sp3–sp3 Negishi cross-coupling reaction between bromide 72 and 4-ethoxy-4-oxobutylzinc bromide (Scheme 9). The synthesis of alkyne 69 commenced with the protection of the alcohol moiety in commercially available (S)-(−)-α-hydroxy-γ-butyrolactone (63) using TBSOTf and 2,6-lutidine in CH2Cl2 to yield compound 64 in near quantitative yield, as shown in Scheme 8. Lactone 64 was then reduced to the corresponding lactol using DIBAL-H in CH2Cl2 at −78 °C, followed by a solvent switch to THF and reacted in a Colvin homologation reaction using LDA and trimethylsilyldiazomethane (TMSCHN2) to afford alcohol 65 in 57% isolated yield. Swern oxidation yielded aldehyde 66, which was subjected to a Z-selective Wittig reaction with the ylide of 67. This yielded the desired alkyne 69 in 83% yield. The Wittig salt 67 was prepared in 90% yield from commercially available (Z)-3-hexen-1-ol (68) over two steps using a literature procedure [58].
Scheme 8.
Synthesis of the ω-fragment 69 needed for the preparation of MaR1n-3 DPA (15) [57]. Reagents and conditions: (i) TBSOTf, 2,6-lutidine, CH2Cl2, −78 °C; (ii) DIBAL-H, CH2Cl2, −78 °C, then LDA, TMSCHN2, THF, −78 °C; (iii) (COCl)2, DMSO, Et3N, CH2Cl2, −78 °C; (iv) I2, PPh3, imidazole, CH2Cl2, then PPh3, MeCN, Δ; (v) NaHMDS, HMPA, THF, −78 °C.
Scheme 9.
Final steps in the stereoselective synthesis of MaR1n-3 DPA (15) [57]. Reagents and conditions: (i) LiBH4, Et2O, MeOH; (ii) Pd(PPh3)4, CuI, alkyne 69, Et2NH; (iii) CBr4, PPh3, 2,6-lutidine, CH2Cl2; (iv) Pd-PEPPSITM-IPr, LiCl, 4-ethoxy-4-oxobutylzinc bromide, THF, NMP; (v) TBAF, THF, 0 °C; (vi) Lindlar’s catalyst, H2, EtOAc, pyridine, 1-octene; (vii) LiOH, THF, MeOH, 0 °C.
The vinyl bromide 70 was prepared by reduction of known 42 (see Scheme 6 for the synthesis of 42) with LiBH4 in a solvent system containing Et2O and MeOH. A Sonogashira cross-coupling reaction of alkyne 69 and the vinylic bromide in 70 yielded the product 71 in an acceptable 68% yield. The primary alcohol in 71 was transformed to the corresponding bromide 72 to be further reacted in a sp3–sp3 Negishi cross-coupling reaction using the commercial palladium-based PEPPSI™-IPr catalyst, which yielded the alkyne 73. This is an example of an early application of the sp3–sp3 Negishi cross-coupling reaction in the total synthesis of an advanced natural product. Removal of the two TBS-ethers in 73 using fluoride anions yielded the diol 74 in near quantitative yield. The internal alkyne in 74 was reduced in a highly Z-selective fashion by employing Lindlar’s catalyst in a mixed solvent system containing EtOAc, pyridine, and 1-octene under a hydrogen atmosphere. Finally, saponification of the ethyl ester yielded the desired MaR1n-3 DPA (15) in 86% yield and chemical purity >98% based on HPLC analyses. This convergent synthesis yielded MaR1n-3 DPA (15) over 11 steps (longest linear sequence) and 12% overall yield.
Matching experiments between synthetic and human macrophage MaR1n-3 DPA (15) demonstrated that the synthetic material co-elutes with the naturally occurring 15, establishing the absolute configuration to be (7S,8E,10E,12Z,14S,16Z,19Z)-7,14-dihydroxydocosa-8,10,12,16,19-pentaenoic acid. MaR1n-3 DPA (15) was next assayed for its potential to enhance human macrophage efferocytosis, a highly important pro-resolution hallmark. The results provided clear evidence for the potent bioactions of 15 and its corresponding ethyl ester in stimulating efferocytosis of apoptotic human neutrophils by macrophages [57].
2.4. Synthesis of MaR2n-3 DPA (16)
A stereoselective total synthesis of MaR2n-3 DPA (16) was reported in 2020 [59]. The key fragments in this synthesis were alkyne 76 (Scheme 10), aldehyde 49, and Wittig salt 67 (Scheme 11). Alkyne 76 was synthesized in a four-step sequence, starting with a Bayer–Villiger oxidation of commercially available cycloheptanone (33), which was followed by Fischer esterification of the corresponding lactone of 33, as shown in Scheme 10, to yield compound 35 in 31% yield. Next, partial oxidation of the primary alcohol moiety in 35 using the Dess–Martin periodinane reagent afforded aldehyde 77 in 92% yield. A Seyferth–Gilbert homologation reaction, using the Ohira–Bestmann reagent, with aldehyde 77 produced the terminal alkyne 76 in 41% yield.
Scheme 10.
Synthesis of terminal alkyne 76 needed for the synthesis of MaR2n-3 DPA (16) [59]. Reagents and conditions: (i) m-CPBA, CH2Cl2, then MeOH, H2SO4; (ii) DMP, NaHCO3, CH2Cl2; (iii) dimethyl(1-diazo-2-oxopropyl) phosphonate, K2CO3, MeOH.
Scheme 11.
Final steps in the stereoselective synthesis of MaR2n-3 DPA (16) [59]. Reagents and conditions: (i) NaHMDS, CH2Cl2, −78 °C; (ii) para-toluene sulfonic acid, MeOH, −20 °C; (iii) DMP, NaHCO3, CH2Cl2; (iv) (triphenylphosphoranylidene)acetaldehyde, toluene, Δ; (v) CrCl2, dioxane, THF, CHI3, 0 °C; (vi) CuI, Pd(PPh3)4 (5 mol%), alkyne 76, Et2NH; (vii) TBAF, THF; (viii) Lindlar’s catalyst (Pd/CaCO3), EtOAc/pyridine/1-octene, H2 (g); (ix) LiOH, H2O, MeOH, 0 °C.
Aldehyde 49 was prepared as previously reported [56] (see Scheme 7). A Z-selective Wittig reaction with the ylide of Wittig salt 67, the latter obtained in situ after reacting 67 with NaHMDS at −78 °C and aldehyde 49, yielded Z-alkene 78. Selective deprotection of the primary TBS-ether in 78 using para-toluene sulfonic acid (PTSA) in MeOH at −20 °C revealed the primary alcohol 79, which was further oxidized to the corresponding aldehyde 80 using the Dess–Martin periodinane (DMP) reagent. Next, an E-selective Wittig between aldehyde 80 and (triphenyl-phosphoranylidene)acetaldehyde in toluene at elevated temperature afforded the α,β-unsaturated aldehyde 81 in 60% yield. A Takai olefination reaction was then performed on aldehyde 81 to yield the E,E-vinylic iodide 82 in 73% isolated yield after chromatographic purifications. A palladium-mediated Sonogashira cross-coupling reaction between vinylic iodide 82 and alkyne 76 yielded the key intermediate 83 in 50% yield. Diol 84 was prepared by deprotection of the two TBS-ethers in 83 using TBAF in THF. A Lindlar hydrogenation protocol afforded the desired methyl ester 85 in 72% yield and chemical purity >95% based on HPLC analysis. Finally, a mild hydrolysis of the methyl ester 85 yielded the desired natural product MaR2n-3 DPA (16) in 97% isolated yield. Matching experiments of synthetic and endogenous 16 revealed that the right stereoisomer was prepared, thus establishing the absolute configuration of MaR2n-3 DPA (16) to be (7Z,9E,11E,13R,14S,16Z,19Z)-13,14-dihydroxydocosa-7,9,11,16,19-pentaenoic acid (16). MaR2n-3 DPA (16) has not been utilized in any biological studies.
2.5. Synthesis and Biological Evaluations of RvD1n-3 DPA (19)
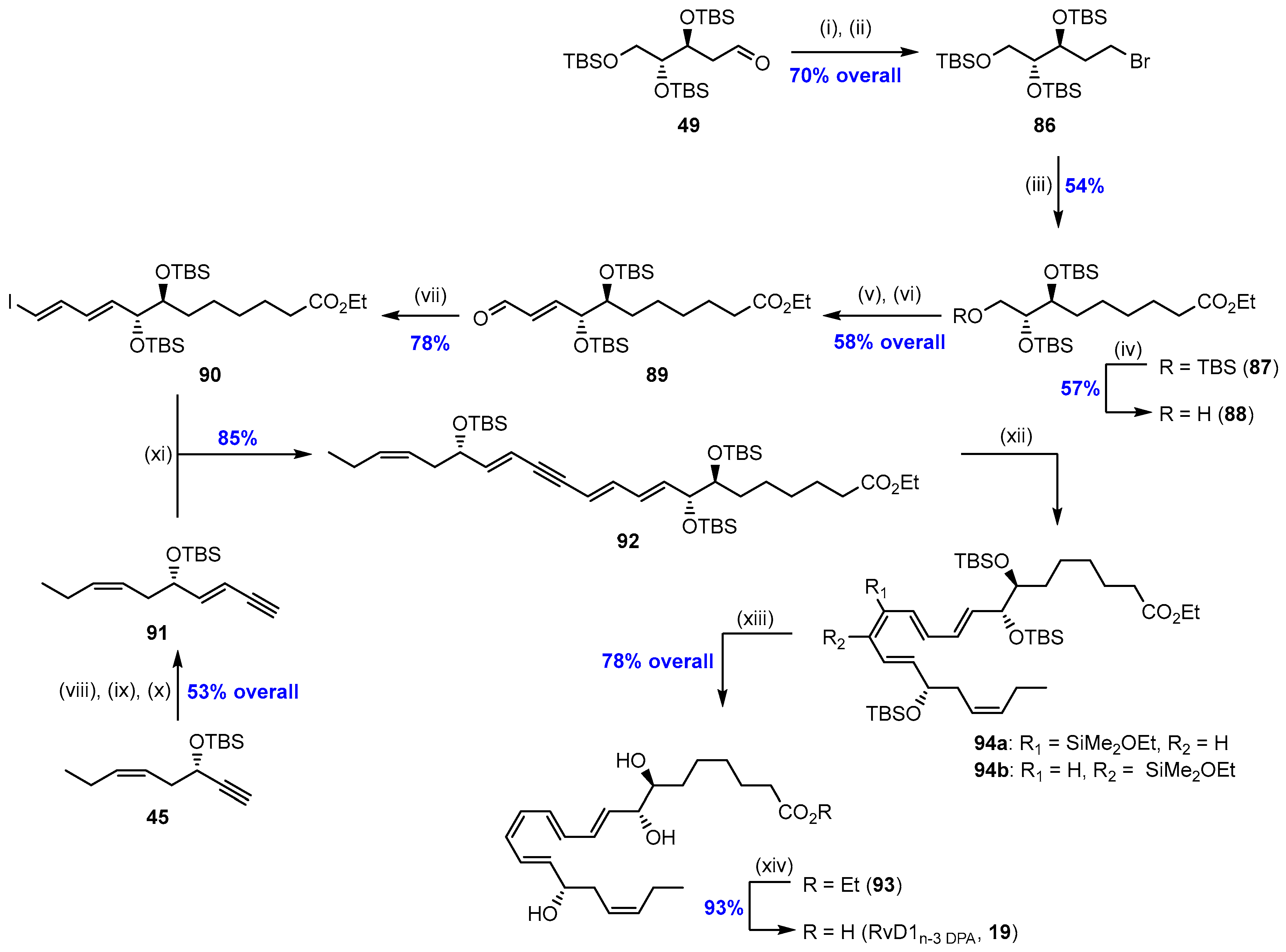
In 2019, a total synthesis of RvD1n-3 DPA (19) was reported [56]. This convergent synthesis relied on a Sonogashira cross-coupling reaction between the two key fragments, vinyl iodide 90 and alkyne 91 (Scheme 12). Vinyl iodide 90 was prepared in six steps from the known aldehyde 49 (Scheme 7). First, aldehyde 49 was reduced to the corresponding alcohol with NaBH4 in MeOH, followed by an Appel halogenation to yield the bromide 86. This bromide was subjected to a sp3-sp3 Negishi cross-coupling reaction with 4-ethoxy-4-oxobutylzinc bromide using the palladium-based PEPPSITM-IPr catalyst to furnish compound 87 in 54% isolated yield. Selective removal of the primary TBS-ether using PTSA revealed the primary alcohol 88. Partial oxidation of 88 using Dess–Martin periodinane, followed by an E-selective Wittig reaction, yielded the α,β-unsaturated aldehyde 89 in 58% yield over the two steps. A Takai olefination reaction converted aldehyde 89 to the vinyl iodide 90. The other key fragment, alkyne 91, was prepared from the previously prepared compound 45 [51,52] in a three-step sequence, including a zirconation/iodination reaction, a Sonogashira coupling, and a deprotection reaction. A Sonogashira cross-coupling was then performed to unite 90 and 91. The product herein, 92, was next assumed to be reduced in a Z-selective manner; however, both the trusted Boland and Lindlar reductions on 92 and its triol failed to yield the desired ethyl ester 93. The Karstedt alkyne hydrosilylation/protodesilylation protocol [60] was then utilized to convert internal alkyne 92 to the corresponding Z-alkene, which gratefully yielded, via 94a and 94b, the desired RvD1n-3 DPA ethyl ester (93) in 78% yield over the two steps and with chemical purity > 97% based on HPLC analysis. A mild saponification of the ethyl ester yielded RvD1n-3 DPA (19). Metabololipidomics LC-MS/MS experiments were used to determine if the synthetic and authentic material of RvD1n-3 DPA (19) matched. Identical retention time and co-elution of synthetic and authentic 19 provided evidence for the right stereoisomer to be synthesized, thus establishing the absolute configuration of 19 to be (7S,8R,9E,11E,13Z,15E,17S,19Z)-7,8,17-trihydroxydocosa-9,11,13,15,19-pentaenoic acid.
Scheme 12.
Stereoselective total synthesis of RvD1n-3 DPA (19) [56]. Reagents and conditions: (i) NaBH4, MeOH, 0 °C, 1 h; (ii) CBr4, PPh3, 2,6-lutidine, −10 °C, 4 h; (iii) BrZn(CH2)3CO2Et, Pd-PEPPSITM-IPr, LiBr, THF/DMI, 40 °C, 2 h; (iv) PTSA, MeOH, −20 °C, 1 h; (v) DMP, NaHCO3, CH2Cl2, rt, 20 h; (vi) Ph3P=CHCHO, toluene, 95 °C, 18 h; (vii) CrCl2, CHI3, THF/dioxane, 0 °C to rt, 1.5 h; (viii) Cp2ZrCl2, DIBAL-H, then I2, THF, 0 °C, 30 min; (ix) TMSCCH, piperidine, CuI, Pd(PPh3)2Cl2, THF, rt, 3 h; (x) K2CO3, MeOH, rt., 2 h; (xi) Pd(PPh3)4, CuI, benzene, Et2NH, rt, 18 h; (xii) Karstedt’s cat., Me2SiHOEt, toluene, rt, 16 h; (xiii) TBAF, THF, 0 °C to rt., 20 h; (xiv) LiOH, THF, MeOH, H2O, 0 °C, 4 h.
The synthetic material of RvD1n-3 DPA (19) showed potent agonism toward the human receptor GPR32 in an impedance assay, and this SPM displayed nanomolar anti-inflammatory, pro-resolution, and anti-bacterial effects [56].
2.6. Synthesis and Biological Evaluations of RvD2n-3 DPA (20)
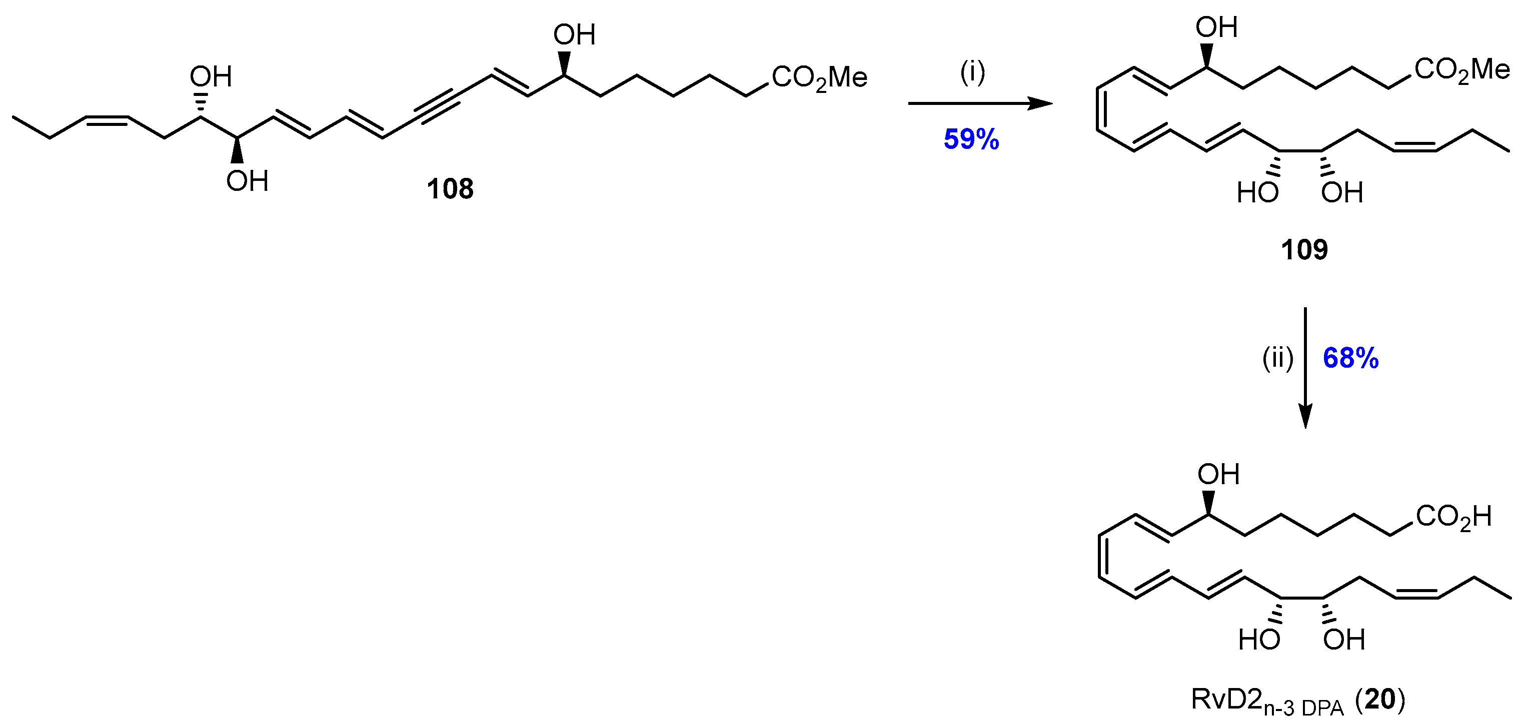
The stereoselective total synthesis of RvD2n-3 DPA (20) was reported as a convergent synthesis, relying on a Sonogashira cross-coupling reaction between the two key fragments vinyl iodide 95 and alkyne 97 (Scheme 13 and Scheme 14) [61]. For the synthesis of vinyl iodide 95, aldehyde 55 was first prepared from commercially available and cheap 2-deoxy-D-ribose (50) as previously reported in the literature [55] (Scheme 7), and then 55 was reacted in an E-selective Wittig reaction with commercially available (triphenylphosphoranylidene)acetaldehyde to yield α,β-unsaturated aldehyde 96 in 71% yield. A Takai olefination reaction on 96 furnished the desired vinyl iodide 95 in an excellent 82% yield.
Scheme 13.
Synthesis of vinyl iodide 95 [61]. Reagents and conditions: (i) (triphenylphosphoranylidene)acetaldehyde, toluene, 95 °C; (ii) CrCl2, CHI3, THF/dioxane, 0 °C to rt. Details for the preparation of 55 is given in reference [55].
Scheme 14.
Synthesis of internal alkyne 97 and coupling of fragments [61]. Reagents and conditions: (i) NaOH (aq), THF, then HCl (aq), 0 °C; (ii) (COCl)2, DMF (cat), CH2Cl2, 0 °C to rt, then AlCl3, BTMSA, CH2Cl2, 0 °C to rt; (iii) (S)-Alpine-borane, THF to ~neat, −10 °C to rt; (iv) TBSCl, imidazole, CH2Cl2; (v) K2CO3, MeOH, 0 °C to rt; (vi) Bu3SnH, AIBN (16 mol%), benzene, 80 °C; (vii) I2, CH2Cl2; (viii) TMSCCH, CuI (12 mol%), Pd(PPh3)2Cl2 (5 mol%), Et3N, THF, 0 °C to rt; (ix) K2CO3, MeOH, 0 °C to rt; (x) vinyl iodide 95, CuI (9 mol%), Pd(PPh3)4 (3 mol%), Et2NH, benzene; (xi) TBAF, THF, 0 °C to rt.
For the preparation of the terminal alkyne 97 needed for the subsequent Sonogashira cross-coupling reaction with 95, commercially available and cheap diester 98 was first selectively hydrolyzed using aqueous NaOH in THF at a lowered temperature. The carboxylic acid 99 was then converted to its acid chloride in situ, followed by a Friedel–Crafts acylation with bis(trimethylsilyl)acetylene (BTMSA) to yield 100 in acceptable 59% yield. The Midland (S)-Alpine-borane reagent was then applied to synthesize (S)-alcohol 101 in 93% enantiomeric excess and 95% yield. The alcohol in 101 was protected using TBSCl and imidazole in CH2Cl2 to yield 102, followed by removal of the TMS group using K2CO3 in MeOH to obtain terminal alkyne 103. Hydrostannylation of 103 yielded 104, which was subjected to an in situ iodination protocol to prepare vinyl iodide 105. Vinyl iodide 105 was in fact first reported in 2020 by Rodriguez and Spur for the total synthesis of RvT1 (26) and RvT4 (29) [62]. The greatest difference between the two syntheses of 105 was the use of the Midland Alpine-borane reagent for the asymmetric reduction of the acetylenic ketone herein rather than the ruthenium-catalyzed asymmetric reduction. Also, the availability of reagents was crucial for choosing different reaction conditions for the synthesis of vinyl iodide 105 herein. Next, a Sonogashira cross-coupling between 105 and trimethylsilylacetylene yielded crude 106, which was directly subjected to a TMS-deprotection step to obtain terminal alkyne 97 in 81% yield. Vinyl iodide 95 and alkyne 97 were reacted in a Sonogashira cross-coupling reaction with Pd(PPh3)4 (3 mol%) and CuI (9 mol%) as the catalysts of choice to afford the internal alkyne 107. The protection groups were then removed with TBAF in THF to yield triol 108 in an excellent 93% yield.
For the Z-selective reduction of the internal alkyne in 108, several different strategies were attempted [63,64] that proved problematic. No product formation was observed using the Lindlar catalyst. The Karstedt platinum-catalyzed alkyne hydrosilylation/protodesilylation protocol [60] was successful for the synthesis of structurally similar RvD1n-3 DPA (19) [56]; hence, this reaction was attempted next for the Z-selective reduction of 107. Using this procedure, the protodesilylation step could also remove the silyl ethers in one pot. Unfortunately, the two-step reaction afforded a mixture of the desired product 109 and inseparable by-products. HPLC analysis revealed a chemical purity of disappointingly 81% after extensive purification by flash chromatography utilizing different combinations of eluent systems. Finally, a Z-selective hydrogenation protocol using potassium cyanide and zinc in 1-propanol/H2O [65] yielded the natural product 20 (Scheme 15). However, due to issues in the purification step, re-esterification with TMS-diazomethane in toluene/MeOH was needed, which afforded the RvD2n-3 DPA methyl ester (109) in 59% yield over the two steps and in >96% chemical purity based on HPLC analysis. Hydrolysis of 109 to RvD2n-3 DPA (20) was performed just prior to matching experiments and biological testing due to the inherent chemical-sensitive nature of this SPM. MRM LC-MS/MS matching experiments were conducted that revealed that the synthetically produced material 20 was indeed identical to that of biologically produced RvD2n-3 DPA (20). Also, these studies confirmed the structure of 20 to be (7S,8E,10Z,12E,14E,16R,17S,19Z)-7,16,17-trihydroxydocosa-8,10,12,14,19-pentaenoic acid (20).
Scheme 15.
Final steps in the total synthesis of RvD2n-3 DPA (20) using the Näf reduction protocol. Reagents and conditions: (i) Zn/KCN, 1-propanol/H2O, then TMSCHN2, toluene/MeOH; (ii) LiOH (aq), THF, −78 to 4 °C.
RvD2n-3 DPA (20) potently increased the uptake of the Gram-positive S. aureus bacteria in macrophages [61]. The effects were dose-dependent, between 0.01 and 10 nM. Moreover, using the same doses, macrophages pretreated with synthetic 20 also showed a statistically significant increase in the digestion of zymosan A bioparticles, a type of macromolecules derived from the yeast wall of Saccharomyces cerevisiae, thus providing evidence for its anti-fungal activity as well [61]. The clearance of such pathogens and inflammatory molecules by macrophages is a key step in the resolution phase of inflammation [66].
2.7. Synthesis and Biological Evaluations of RvD5n-3 DPA (21)
The stereoselective synthesis of RvD5n-3 DPA (21) was reported very recently [67]. This convergent synthesis relied on the two key fragments, vinyl iodide 110 (Scheme 16) and alkyne 115 (Scheme 17), which were combined in a Sonogashira cross-coupling reaction. The synthesis of vinyl iodide 110 was achieved in seven steps starting from commercially available and affordable (Z)-4-heptenal (111), as previously reported [68]. The most prominent step herein was the Macmillan organocatalytic α-oxyamination reaction, which afforded the diol 112 in 82% yield and 98% ee. Diastereomerically pure 110 was obtained from diol 112 after an E-selective Takai olefination reaction as the most pivotal step.
Scheme 16.
Synthesis of vinyl iodide 110. (i) D-proline, PhNO, CHCl3, 0 °C to rt; (ii) NaBH4, EtOH, then Zn, AcOH, 82%, 98% ee. Details for the preparation of 110 is given in reference [68].
Scheme 17.
Synthesis of terminal alkyne 115 and the final steps for making RvD5n-3 DPA methyl ester (118) [67]. Reagents and conditions: (i) Pd(PPh3)2Cl2 (5 mol%), CuI (12 mol%), Et3N, THF; (ii) AgNO3, KCN, THF, EtOH, H2O; (iii) Pd(PPh3)2Cl2 (5 mol%), CuI (11 mol%), Et3N, vinyl iodide 110, THF; (iv) Pd/BaSO4, quinoline, EtOAc; (v) cat. AcCl, MeOH.
For the synthesis of the other fragment, alkyne 115, the known vinyl iodide 105 [61] was reacted in a Sonogashira cross-coupling reaction with commercially available 113 to afford the coupled product 114 in quantitative yields (Scheme 17). Next, compound 114 was reacted with AgNO3 and KCN to gently remove the TMS-protection group and reveal the terminal alkyne 115. Alkyne 115 was further reacted in another palladium-mediated Sonogashira coupling with vinyl iodide 110 to yield the carbon backbone 116 in an acceptable 62% yield. The alkyne 115 is most likely highly unstable and prone to rapid decomposition, hence the slightly modest yield in this step, although using 2.5 equivalents of 115. For the Z-selective reduction of the two internal alkynes in 116, the Lindlar hydrogenation protocol was first attempted, but no reduction of the triple bonds was observed. A Z-selective hydrogenation protocol utilizing Pd/BaSO4/quinoline was then applied, which showed rapid and selective conversion of the two internal alkynes to the respective Z-alkenes and furnished compound 117 in 71% yield. Finally, a mild removal of the TBS-ethers using catalytic amounts of acetyl chloride in dry MeOH afforded the RvD5n-3 DPA methyl ester (118) in 68% yield and chemical purity of 97% based on HPLC analysis. This convergent synthesis achieved the methyl ester of RvD5n-3 DPA in 8% overall yield over 12 steps (longest linear sequence).
Hydrolysis of the methyl ester 118 to RvD5n-3 DPA (21) was conducted just prior to analyses due to the inherent chemically sensitive nature of this SPM. Firstly, matching experiments with synthetic and biogenic 21 provided evidence for the right stereoisomer to be synthesized. Next, agonism studies of RvD5n-3 DPA (21) with the human receptor GPR101 were measured. These results confirmed the nanomolar agonism of RvD5n-3 DPA (21) toward this GPCR. Additionally, the anti-inflammatory, pro-resolution, and anti-bacterial effects of 21 [67] were evaluated and confirmed [69].
2.8. Synthesis and Biological Actions of RvT1 (26) and RvT4 (29)
Rodriguez and Spur reported the only total synthesis of RvT1 (26) and RvT4 (29) so far in 2020 [62]. These two SPMs are structurally quite similar (see Scheme 4), and the authors came up with a clever solution where RvT1 (26) could be produced from synthetic RvT4 (29) by a lipoxygenation of the latter. One of the two key fragments in this synthesis, vinylic iodide 105, was prepared in a nine-step sequence (Scheme 18), starting from dicarboxylic acid 119. The diacid 119 was first esterified to yield the diester 98, followed by selective hydrolysis of one of the methyl esters using porcine pancreatic lipase. The resulting product 99 was next transformed into the corresponding acid chloride 120, which was reacted in a Friedel–Crafts acylation with bis(trimethylsilyl)acetylene (BTMSA) in the presence of AlCl3 to yield the propargyl ketone 100 in 65% yield over the two steps. A Noyori asymmetric hydrogenation protocol was applied to introduce the (S)-alcohol at C7 in an excellent 97% yield and >94% ee. TBS-protection of the alcohol, followed by TMS-deprotection of the terminal acetylene, produced compound 103 in 91% yield over the two steps. Finally, a standard hydrostannylation/iodination protocol afforded the vinyl iodide 105 in 83% yield.
Scheme 18.
Preparation of compound 105 needed for the total synthesis of RvT4 (29) and RvT1 (26) by Rodriguez and Spur [62]. Reagents and conditions: (i) TMSCl, 2,2-dimethoxypropane, CH3OH, rt; (ii) porcine pancreatic lipase, 0.05 M phosphate buffer pH 7, 1 N NaOH; (iii) (COCl)2, cat. DMF, CH2Cl2, rt; (iv) BTMSA, AlCl3, CH2Cl2, 0 °C; (v) RuCl[(S,S)-TsDPEN](p-cymene), cetrimonium bromide (CTAB), HCOONa, H2O, EtOAc, rt; (vi) TBSCl, imidazole, 4-DMAP, CH2Cl2, 0 °C to rt; (vii) K2CO3, Na2SO4, CH3OH, rt; (viii) (Bu)3SnH, AIBN, benzene, reflux; (ix) I2, CH2Cl2, 0 °C.
The other key fragment in this synthesis, terminal alkyne 121, was prepared starting from commercially available and optically pure glycidol derivative 122, which was reacted with trimethylsilylacetylene, n-BuLi, and BF3·Et2O to yield the secondary alcohol 123, as shown in Scheme 19. The secondary alcohol in 123 was then protected using TBSCl, imidazole, and 4-DMAP, followed by selective deprotection of the primary TBS-ether using CSA in CH2Cl2/MeOH. Treatment of the resulting alcohol 125 with Dess–Martin periodinane yielded the corresponding aldehyde 126, which was reacted in an E-selective Wittig reaction with (triphenylphosphoranylidene)acetaldehyde to obtain the α,β-unsaturated aldehyde 127. A Z-selective Wittig reaction between 127 and known phosphorane 67 provided compound 128 in 82% yield. Removal of the TMS-protection group revealed the terminal acetylene 121, which was next reacted with vinyl iodide 105 in a Sonogashira cross-coupling reaction, providing the whole carbon skeleton of the target compounds. The two TBS-protection groups in 129 were then removed using acetyl chloride in MeOH to yield diol 130. A Boland reduction protocol was applied to selectively reduce the internal triple bond in 130 to predominantly yield the Z-olefin 131. Hydrolysis of the methyl ester 131 afforded the desired natural product RvT4 (29). To obtain RvT1 (26), RvT4 (29) was subjected to a lipoxygenation using lipoxidase type I-B from soybean. After the reduction of the resulting hydroperoxide with tris(2-carboxyethyl)phosphine hydrochloride (TCEP-HCl), pure RvT1 (26) was obtained after HPLC purification and desalting.
Scheme 19.
Preparation of the ω-fragment 121 and coupling of fragments to complete the synthesis of RvT4 (29). RvT1 (26) was prepared from enzymatic hydroxylation of RvT4 (29) [62]. Reagents and conditions: (i) Trimethylsilylacetylene, n-BuLi, BF3·Et2O, THF, –78 °C; (ii) TBSCl, imidazole, 4-DMAP, CH2Cl2, 0 °C to rt; (iii) CSA, CH2Cl2/MeOH 1/1, 0 °C; (iv) Dess–Martin periodinane, CH2Cl2, rt; (v) (Triphenylphosphoranylidene)acetaldehyde, MeCN, 30 °C; (vi) 67, n-BuLi, THF, –78 °C to 0 °C; (vii) K2CO3, CH3OH, rt; (viii) 105, Pd(PPh3)4, CuI, piperidine, benzene, rt; (ix) CH3COCl, MeOH, 0 °C to rt; (x) Zn(Cu/Ag), CH3OH, H2O, 40–45 °C; (xi) 1 N LiOH, MeOH/H2O 1/1, 0 °C to rt; (xii) lipoxidase type I-B from soybean, 0.01 M borate buffer pH 10.7, rt; (xiii) TCEP-HCl, rt.
Patients with rheumatoid arthritis have an increased risk of developing cardiovascular diseases, including atherosclerosis. To this end, RvT4 (29) recently proved to enhance macrophage cholesterol efflux in arthritic mice to reduce vascular diseases and thus limit morbidity in inflammatory arthritis [70].
2.9. Synthesis of RvT2 (27) and Biological Actions of the RvTs
Rodriguez and Spur have disclosed the hitherto only synthesis of RvT2 (27) [71]. The synthesis commenced with the preparation of aldehyde 132 (Scheme 20). Firstly, commercially available S-(−)-1,2,4-butanetriol was transformed to the corresponding crystalline phosphonium iodide 133 and thus reacted with aldehyde 134 in a Wittig reaction to afford olefin 135. The double bond was next reduced using platinum on carbon under a hydrogen atmosphere to yield the saturated compound 136 in quantitative yield. Removal of the acetonide-protection group using diluted HCl, followed by TBS-protection, yielded the desired silylated compound 138. Selective removal of the TBS-ether of the primary alcohol to yield 139 was achieved in an acceptable 49% yield. Finally, oxidation of the primary alcohol 139 using Dess–Martin periodinane afforded compound 132.
Scheme 20.
Synthesis of compound 132 needed for the preparation of RvT2 (27) by Rodriguez and Spur [71]. Reagents and conditions: (i) n-BuLi, THF, −78 °C to −20 °C; (ii) H2, Pt/C, hexane/methyl acetate 9/1, rt; (iii) 1 N HCl, MeOH, 0 °C; (iv) TBSCl, imidazole, 4-DMAP, CH2Cl2, 0 °C to rt; (v) CSA, CH2Cl2/MeOH 1/1, 0 °C; (vi) Dess–Martin periodinane, CH2Cl2, rt.
The synthesis of the other key fragment in this synthesis, the Wittig salt 140, began with the reaction of L-(+)-ribose (141) with methyl (triphenylphosphoranylidene)acetate, as shown in Scheme 21. This E-selective Wittig reaction yielded 142, which was used directly in the next step to yield the diacetonide-protected compound 143. Selective removal of the terminal acetonide using amberlyst® 15 yielded compound 144. Cleavage of the diol using NaIO4 afforded aldehyde 145, which was reacted in an E-selective Wittig reaction with (triphenylphosphoranylidene)acetaldehyde to yield 146 and then further subjected to a Z-selective Wittig reaction with the ylide prepared from phosphonium iodide 67. The product herein, 147, was reduced with DIBAL-H at low temperature to convert the ester moiety to the corresponding alcohol. The resulting alcohol 148 was then transformed to the Wittig salt 140 and reacted with aldehyde 132 in a new Z-selective Wittig reaction to provide 149 in 29%, containing the carbon backbone of the target compound. Finally, acidic removal of the acetonide-protection group, followed by basic hydrolysis of the methyl ester, provided the natural product RvT2 (27). Also, the synthesis of the 13(R)-epimer of RvT2 (27) was reported by Rodriguez and Spur by following the same synthetic route as for 27, starting from d-(−)-arabinose instead of l-(+)-ribose (141) [71].
Scheme 21.
Synthesis of compound 140 and coupling of fragments to furnish RvT2 (27) [71]. Reagents and conditions: (i) methyl (triphenylphosphoranylidene)acetate, benzoic acid, 1,4-dioxane, reflux; (ii) acetone/2,2-dimethoxypropane (2/1), p-toluenesulfonic acid, rt; (iii) amberlyst® 15, MeOH/H2O 9/1, rt; (iv) NaIO4, CH3OH/H2O 10/4, 0 °C to rt; (v) (triphenylphosphoranylidene)acetaldehyde, benzene, rt; (vi) 67, n-BuLi, THF, −78 °C to −20 °C; (vii) DIBAL-H, CH2Cl2, −78 °C to −20 °C; (viii) CBr4, Ph3P, CH2Cl2, 0 °C; (ix) Ph3P, CH2Cl2, 0 °C to rt; (x) 132, KHMDS, THF, −78 °C to −20 °C; (xi) 2 N HCl, MeOH, 0 °C to rt, 76%; (xii) 1 N LiOH, MeOH/H2O 2/1, 0 °C to rt.
Recently, the SPMs 26–29 were reported to reduce neutrophil extracellular traps (NETs) in human blood [72]. The formation of NETs is primarily through a cell death process called NETosis [73] and is a way for neutrophils to protect the host against invading pathogens. NETs can trap microbes [74]; however, excessive formation is known to be a source of collateral tissue damage in the pathology of an array of diseases [75,76,77,78,79,80]. This phenomenon is especially known in SARS-CoV-2 infections [81] and acute respiratory distress syndrome (ARDS) [82]. Hence, the role of the RvTs in decreasing NETosis could be utilized to find a new approach for treating such infections in the future. As of today, no details on the total synthesis of RvT3 (28) have been reported.
2.10. Synthesis and Biological Actions of the ω-22 Monohydroxylated Metabolite 22-OH-PD1 (151)
At the current time, few reports exist on the further metabolism of n-3 DPA-derived SPMs. However, the further metabolism of 11 has been studied, which showed that the monohydroxy metabolite named 22-OH-PD1n-3 DPA (151) was formed in human serum and neutrophils (Scheme 22). The Hansen group exploited the similarity with PD1n-3 DPA (11) to synthesize its ω-oxidation further metabolite 151 [83]. Known aldehyde 66 [57] was reacted in a Z-selective Wittig reaction with the ylide of commercially available 152, the latter obtained after reaction with NaHMDS, to obtain Z-olefin 153 in 74% yield. Compound 153 was next reacted in a palladium-mediated Sonogashira cross-coupling reaction with compound 44 to nicely yield the coupled product 154. The three TBS-ethers in 154 were then removed using excess TBAF to afford triol 155, which was further subjected to a Boland reduction protocol to yield 22-OH-PD1n-3 DPA methyl ester (156) in an acceptable 46% yield. Finally, a saponification of the methyl ester in 156 yielded the metabolite 151 in 90% yield and 94% chemical purity (based on HPLC).
Scheme 22.
Synthesis of the ω-22 monohydroxylated metabolite 151 [83]. Reagents and conditions: (i) NaHMDS, THF, HMPA, −78 °C; (ii) Pd(PPh3)4, CuI, Et2NH, rt; (iii) TBAF, THF, −78 °C; (iv) Zn(Cu/Ag), MeOH/H2O, rt; (v) LiOH, MeOH, H2O, 0 °C. The synthesis of compound 44 is presented in Scheme 6.
Since SPMs are formed in nano- to picogram amounts at the site of injury, SPM metabolites are even more challenging to isolate and characterize. Hence, LC/MS-MS data were attained that showed that the biosynthetic and synthetic materials of 151 matched data from MRM experiments [83]. Biosynthetic studies with human neutrophils and human monocytes revealed in both experiments the direct formation of 22-OH-PD1n-3 DPA (151) from PD1n-3 DPA (11) [83]. Moreover, studies adding n-3 DPA to human neutrophils also allowed the detection of the metabolite 151 and its precursor PD1n-3 DPA (11) [83].
3. Conclusions
n-3 DPA is a PUFA that has gained an increased interest in biomedical and life science research [84]. Biosynthetic studies in the presence of this PUFA and several oxygenase enzymes enabled the discovery of seven resolvins, three maresins, and two protectins [85], whereas ten of these have been prepared and confirmed by stereoselective total synthesis [45,55,56,57,59,61,62,67,71]. However, based on the chemical structure of n-3 DPA and the catalytic mechanisms of LOXs, several additional new DPA-derived SPMs are envisioned. Among those, sulfido-conjugated n-3 DPA-derived SPMs, similar to their original congeners, should be formed since epoxides are intermediates [36,37]. Moreover, the n-3 DPA-derived families of SPMs should also be attractive as substrates for receptor and metabolism studies, where less knowledge is available at this point. As of today, only the metabolite of PD1n-3 DPA (11), named 22-OH-PD1n-3 DPA (151), has been reported and studied [83]. The biological evaluations of simpler chemical synthetic analogs of the 12 n-3 DPA-derived SPMs known will also be of future interest. Some studies have emerged recently [86,87]. However, success in such endeavors is dependent on stereoselective synthesis of the native SPMs highlighted herein, but also the synthesis of isomers [88] and analogs [86], in particular since SPMs are produced in nanogram amounts in living systems, making NMR studies for their exact structural elucidation impossible to perform [89].
Author Contributions
Conceptualization, T.V.H.; software, A.F.R.; writing—original draft preparation, A.F.R.; writing—review and editing, A.F.R., A.V. and T.V.H.; visualization, A.F.R.; supervision, A.V. and T.V.H.; funding acquisition, T.V.H. All authors have read and agreed to the published version of the manuscript.
Funding
T.V.H. is grateful for funding from The Research Council of Norway for a Leiv Eiriksson travel grant (NFR-225429).
Institutional Review Board Statement
Not applicable.
Informed Consent Statement
Not applicable.
Data Availability Statement
Not applicable.
Acknowledgments
We are grateful to past and current group members for their significant and diligent contributions to the synthetic work presented herein. Fruitful collaborations with Charles N. Serhan (Brigham and Women’s Hospital, Harvard Medical School), Ru-Rong Ji (Duke University), and Jesmond Dalli (Queen Mary University of London) are very much appreciated and acknowledged.
Conflicts of Interest
The authors declare no conflicts of interest.
References
- Calder, P.C.; Yaqoob, P. Understanding Omega-3 Polyunsaturated Fatty Acids. Postgrad. Med. 2009, 121, 148–157. [Google Scholar] [CrossRef]
- Fetterman, J.W., Jr.; Zdanowicz, M.M. Therapeutic potential of n-3 polyunsaturated fatty acids in disease. Am. J. Health-Syst. Pharm. 2009, 66, 1169–1179. [Google Scholar] [CrossRef] [PubMed]
- Harper, C.R.; Jacobson, T.A. The Fats of Life: The Role of Omega-3 Fatty Acids in the Prevention of Coronary Heart Disease. Arch. Intern. Med. 2001, 161, 2185–2192. [Google Scholar] [CrossRef] [PubMed]
- Cleland, L.G.; James, M.J.; Proudman, S.M. The Role of Fish Oils in the Treatment of Rheumatoid Arthritis. Drugs 2003, 63, 845–853. [Google Scholar] [CrossRef] [PubMed]
- Tabas, I.; Glass, C.K. Anti-Inflammatory Therapy in Chronic Disease: Challenges and Opportunities. Science 2013, 339, 166–172. [Google Scholar] [CrossRef] [PubMed]
- Krishnamoorthy, N.; Burkett, P.R.; Dalli, J.; Abdulnour, R.-E.E.; Colas, R.; Ramon, S.; Phipps, R.P.; Petasis, N.A.; Kuchroo, V.K.; Serhan, C.N.; et al. Cutting Edge: Maresin-1 Engages Regulatory T Cells to Limit Type 2 Innate Lymphoid Cell Activation and Promote Resolution of Lung Inflammation. J. Immunol. 2015, 194, 863–867. [Google Scholar] [CrossRef] [PubMed]
- Nettleton, J.A.; Katz, R. n-3 long-chain polyunsaturated fatty acids in type 2 diabetes: A review. J. Am. Diet. Assoc. 2005, 105, 428–440. [Google Scholar] [CrossRef] [PubMed]
- Serhan, C.N.; Petasis, N.A. Resolvins and Protectins in Inflammation-Resolution. Chem. Rev. 2011, 111, 5922–5943. [Google Scholar] [CrossRef] [PubMed]
- Serhan, C.N.; Chiang, N.; Van Dyke, T.E. Resolving inflammation: Dual anti-inflammatory and pro-resolution lipid mediators. Nat. Rev. Immunol. 2008, 8, 349–361. [Google Scholar] [CrossRef]
- Dalli, J. Does promoting resolution instead of inhibiting inflammation represent the new paradigm in treating infections? Mol. Asp. Med. 2017, 58, 12–20. [Google Scholar] [CrossRef]
- Serhan, C.N.; Levy, B.D. Resolvins in inflammation: Emergence of the pro-resolving superfamily of mediators. J. Clin. Investig. 2018, 128, 2657–2669. [Google Scholar] [CrossRef] [PubMed]
- Hansen, T.V.; Serhan, C.N. Protectins: Their biosynthesis, metabolism and structure-functions. Biochem. Pharmacol. 2022, 206, 115330. [Google Scholar] [CrossRef] [PubMed]
- Serhan, C.N.; Ward, P.A.; Gilroy, D.W. Fundamentals of Inflammation, 1st ed.; Cambridge University Press: New York, NY, USA, 2010; pp. 1–27. [Google Scholar]
- Heidland, A.; Klassen, A.; Rutkowski, P.; Bahner, U. The contribution of Rudolf Virchow to the concept of inflammation: What is still of importance? J. Nephrol. 2006, 19, S102–S109. [Google Scholar] [PubMed]
- Serhan, C.N. Novel Lipid Mediators and Resolution Mechanisms in Acute Inflammation: To Resolve or Not? Am. J. Pathol. 2010, 177, 1576–1591. [Google Scholar] [CrossRef] [PubMed]
- Serhan, C.N.; Chiang, N. Resolution phase lipid mediators of inflammation: Agonists of resolution. Curr. Opin. Pharmacol. 2013, 13, 632–640. [Google Scholar] [CrossRef] [PubMed]
- Serhan, C.N.; Savill, J. Resolution of inflammation: The beginning programs the end. Nat. Immunol. 2005, 6, 1191–1197. [Google Scholar] [CrossRef] [PubMed]
- Serhan, C.N. Pro-resolving lipid mediators are leads for resolution physiology. Nature 2014, 510, 92–101. [Google Scholar] [CrossRef] [PubMed]
- Panigrahy, D.; Gilligan, M.M.; Serhan, C.N.; Kashfi, K. Resolution of inflammation: An organizing principle in biology and medicine. Pharmacol. Ther. 2021, 227, 107879. [Google Scholar] [CrossRef] [PubMed]
- Larsson, S.C.; Kumlin, M.; Ingelman-Sundberg, M.; Wolk, A. Dietary long-chain n− 3 fatty acids for the prevention of cancer: A review of potential mechanisms. Am. J. Clin. Nutr. 2004, 79, 935–945. [Google Scholar] [CrossRef]
- Fullerton, J.N.; Gilroy, D.W. Resolution of inflammation: A new therapeutic frontier. Nat. Rev. Drug Discov. 2016, 15, 551–567. [Google Scholar] [CrossRef]
- Maderna, P.; Godson, C. Lipoxins: Resolutionary road. Br. J. Pharmacol. 2009, 158, 947–959. [Google Scholar] [CrossRef] [PubMed]
- Perretti, M.; Leroy, X.; Bland, E.J.; Montero-Melendez, T. Resolution Pharmacology: Opportunities for Therapeutic Innovation in Inflammation. Trends Pharmacol. Sci. 2015, 36, 737–755. [Google Scholar] [CrossRef] [PubMed]
- Dalli, J.; Serhan, C.N. Identification and structure elucidation of the pro-resolving mediators provides novel leads for resolution pharmacology. Br. J. Pharmacol. 2019, 176, 1024–1037. [Google Scholar] [CrossRef] [PubMed]
- Xu, Z.-Z.; Zhang, L.; Liu, T.; Park, J.Y.; Berta, T.; Yang, R.; Serhan, C.N.; Ji, R.-R. Resolvins RvE1 and RvD1 attenuate inflammatory pain via central and peripheral actions. Nat. Med. 2010, 16, 592–597. [Google Scholar] [CrossRef]
- Devchand, P.R.; Arita, M.; Hong, S.; Bannenberg, G.; Moussignac, R.L.; Gronert, K.; Serhan, C.N. Human ALX receptor regulates neutrophil recruitment in transgenic mice: Roles in inflammation and host defense. FASEB J. 2003, 17, 652–659. [Google Scholar] [CrossRef] [PubMed]
- Deng, B.; Wang, C.-W.; Arnardottir, H.H.; Li, Y.; Cheng, C.-Y.C.; Dalli, J.; Serhan, C.N. Maresin Biosynthesis and Identification of Maresin 2, a New Anti-Inflammatory and Pro-Resolving Mediator from Human Macrophages. PLoS ONE 2014, 9, e102362. [Google Scholar] [CrossRef] [PubMed]
- Serhan, C.N.; Dalli, J.; Karamnov, S.; Choi, A.; Park, C.-K.; Xu, Z.-Z.; Ji, R.-R.; Zhu, M.; Petasis, N.A. Macrophage proresolving mediator maresin 1 stimulates tissue regeneration and controls pain. FASEB J. 2012, 26, 1755–1765. [Google Scholar] [CrossRef] [PubMed]
- Serhan, C.N.; Hong, S.; Gronert, K.; Colgan, S.P.; Devchand, P.R.; Mirick, G.; Moussignac, R.-L. Resolvins: A Family of Bioactive Products of Omega-3 Fatty Acid Transformation Circuits Initiated by Aspirin Treatment that Counter Proinflammation Signals. J. Exp. Med. 2002, 196, 1025–1037. [Google Scholar] [CrossRef] [PubMed]
- Mukherjee, P.K.; Marcheselli, V.L.; Serhan, C.N.; Bazan, N.G. Neuroprotectin D1: A docosahexaenoic acid-derived docosatriene protects human retinal pigment epithelial cells from oxidative stress. Proc. Natl. Acad. Sci. USA 2004, 101, 8491–8496. [Google Scholar] [CrossRef]
- Serhan, C.N.; Yang, R.; Martinod, K.; Kasuga, K.; Pillai, P.S.; Porter, T.F.; Oh, S.F.; Spite, M. Maresins: Novel macrophage mediators with potent antiinflammatory and proresolving actions. J. Exp. Med. 2009, 206, 15–23. [Google Scholar] [CrossRef]
- Serhan, C.N.; Hamberg, M.; Samuelsson, B. Lipoxins: Novel series of biologically active compounds formed from arachidonic acid in human leukocytes. Proc. Natl. Acad. Sci. USA 1984, 81, 5335–5339. [Google Scholar] [CrossRef]
- Serhan, C.N. Lipoxin biosynthesis and its impact in inflammatory and vascular events. Biochim. Biophys. Acta Lipids Lipid Metab. 1994, 1212, 1–25. [Google Scholar] [CrossRef]
- Dalli, J.; Colas, R.A.; Serhan, C.N. Novel n-3 Immunoresolvents: Structures and Actions. Sci. Rep. 2013, 3, 1940. [Google Scholar] [CrossRef] [PubMed]
- Dalli, J.; Chiang, N.; Serhan, C.N. Elucidation of novel 13-series resolvins that increase with atorvastatin and clear infections. Nat. Med. 2015, 21, 1071–1075. [Google Scholar] [CrossRef]
- Primdahl, K.G.; Tungen, J.E.; De Souza, P.R.S.; Colas, R.A.; Dalli, J.; Hansen, T.V.; Vik, A. Stereocontrolled synthesis and investigation of the biosynthetic transformations of 16(S),17(S)-epoxy-PDn-3 DPA. Org. Biomol. Chem. 2017, 15, 8606–8613. [Google Scholar] [CrossRef] [PubMed]
- Pistorius, K.; Souza, P.R.; De Matteis, R.; Austin-Williams, S.; Primdahl, K.G.; Vik, A.; Mazzacuva, F.; Colas, R.A.; Marques, R.M.; Hansen, T.V.; et al. PDn-3 DPA Pathway Regulates Human Monocyte Differentiation and Macrophage Function. Cell Chem. Biol. 2018, 25, 749–760. [Google Scholar] [CrossRef]
- Ariel, A.; Serhan, C.N. Resolvins and protectins in the termination program of acute inflammation. Trends Immunol. 2007, 28, 176–183. [Google Scholar] [CrossRef] [PubMed]
- Dalli, J.; Pistorius, K.; Walker, M.E. Novel n-3 Docosapentaneoic Acid-Derived Pro-resolving Mediators Are Vasculoprotective and Mediate the Actions of Statins in Controlling Inflammation. Adv. Exp. Med. Biol. 2019, 1161, 65–75. [Google Scholar] [CrossRef] [PubMed]
- Primdahl, K.G.; Aursnes, M.; Walker, M.E.; Colas, R.A.; Serhan, C.N.; Dalli, J.; Hansen, T.V.; Vik, A. Synthesis of 13(R)-Hydroxy-7Z,10Z,13R,14E,16Z,19Z Docosapentaenoic Acid (13R-HDPA) and Its Biosynthetic Conversion to the 13-Series Resolvins. J. Nat. Prod. 2016, 79, 2693–2702. [Google Scholar] [CrossRef]
- Calder, P.C. Fatty acids and inflammation: The cutting edge between food and pharma. Eur. J. Pharmacol. 2011, 668, S50–S58. [Google Scholar] [CrossRef]
- De Caterina, R. n–3 Fatty Acids in Cardiovascular Disease. N. Engl. J. Med. 2011, 364, 2439–2450. [Google Scholar] [CrossRef] [PubMed]
- Lemaitre, R.N.; Tanaka, T.; Tang, W.; Manichaikul, A.; Foy, M.; Kabagambe, E.K.; Nettleton, J.A.; King, I.B.; Weng, L.-C.; Bhattacharya, S.; et al. Genetic Loci Associated with Plasma Phospholipid n-3 Fatty Acids: A Meta-Analysis of Genome-Wide Association Studies from the CHARGE Consortium. PLoS Genet. 2011, 7, e1002193. [Google Scholar] [CrossRef] [PubMed]
- Grégoire, M.; Uhel, F.; Lesouhaitier, M.; Gacouin, A.; Guirriec, M.; Mourcin, F.; Dumontet, E.; Chalin, A.; Samson, M.; Berthelot, L.-L.; et al. Impaired efferocytosis and neutrophil extracellular trap clearance by macrophages in ARDS. Eur. Respir. J. 2018, 52, 1702590. [Google Scholar] [CrossRef] [PubMed]
- Aursnes, M.; Tungen, J.E.; Vik, A.; Colas, R.; Cheng, C.-Y.C.; Dalli, J.; Serhan, C.N.; Hansen, T.V. Total Synthesis of the Lipid Mediator PD1n-3 DPA: Configurational Assignments and Anti-inflammatory and Pro-resolving Actions. J. Nat. Prod. 2014, 77, 910–916. [Google Scholar] [CrossRef] [PubMed]
- Becher, J. Glutaconaldehyde sodium salt from hydrolysis of pyridinium-1-sulfonate. Org. Synth. 1979, 59, 79. [Google Scholar] [CrossRef]
- Soullez, D.; Plé, G.; Duhamel, L. ω-Halogeno polyenals: Preparation and application to a one-pot synthesis of polyenals from carbonyl compounds. J. Chem. Soc. Perkin Trans. 1 1997, 1639–1645. [Google Scholar] [CrossRef]
- Romero-Ortega, M.; Colby, D.A.; Olivo, H.F. Synthesis of the C10–C17 fragment of aurisides and callipeltosides. Tetrahedron Lett. 2002, 43, 6439–6441. [Google Scholar] [CrossRef]
- Corey, E.; Cho, H.; Rücker, C.; Hua, D.H. Studies with trialkylsilyltriflates: New syntheses and applications. Tetrahedron Lett. 1981, 22, 3455–3458. [Google Scholar] [CrossRef]
- Tello-Aburto, R.; Ochoa-Teran, A.; Olivo, H.F. Model studies on the ring construction of the auriside macrolactone. Tetrahedron Lett. 2006, 47, 5915–5917. [Google Scholar] [CrossRef]
- Nicolaou, K.; Webber, S.; Ramphal, J.; Abe, Y. Stereocontrolled Total Synthesis of Lipoxins A5 and B5. Angew. Chem. Int. Ed. 1987, 26, 1019–1021. [Google Scholar] [CrossRef]
- Yadav, J.S.; Deshpande, P.K.; Sharma, G.V.M. Stereoselective Synthesis of (S)-13-Hydroxy Octadeca-(9Z,11E)-di- and (9Z,11E,15Z)-trienoic Acids: Selfdefensive Substances Against Rice Blast Disease. Tetrahedron 1992, 48, 4465–4474. [Google Scholar] [CrossRef]
- Frigerio, F.; Pasqualini, G.; Craparotta, I.; Marchini, S.; van Vliet, E.A.; Foerch, P.; Vandenplas, C.; Leclercq, K.; Aronica, E.; Porcu, L.; et al. n-3 Docosapentaenoic acid-derived protectin D1 promotes resolution of neuroinflammation and arrests epileptogenesis. Brain 2018, 141, 3130–3143. [Google Scholar] [CrossRef] [PubMed]
- Gobbetti, T.; Dalli, J.; Colas, R.A.; Federici Canova, D.; Aursnes, M.; Bonnet, D.; Alric, L.; Vergnolle, N.; Deraison, C.; Hansen, T.V. Protectin D1n-3 DPA and resolvin D5n-3 DPA are effectors of intestinal protection. Proc. Natl. Acad. Sci. USA 2017, 114, 3963–3968. [Google Scholar] [CrossRef]
- Tungen, J.E.; Primdahl, K.G.; Hansen, T.V. The First Total Synthesis of the Lipid Mediator PD2n-3 DPA. J. Nat. Prod. 2020, 83, 2255–2260. [Google Scholar] [CrossRef] [PubMed]
- Tungen, J.E.; Gerstmann, L.; Vik, A.; De Matteis, R.; Colas, R.A.; Dalli, J.; Chiang, N.; Serhan, C.N.; Kalesse, M.; Hansen, T.V. Resolving Inflammation: Synthesis, Configurational Assignment, and Biological Evaluations of RvD1n-3 DPA. Chem. Eur. J. 2019, 25, 1476–1480. [Google Scholar] [CrossRef] [PubMed]
- Tungen, J.E.; Aursnes, M.; Dalli, J.; Arnardottir, H.; Serhan, C.N.; Hansen, T.V. Total Synthesis of the Anti-inflammatory and Pro-resolving Lipid Mediator MaR1n-3 DPA Utilizing an sp3–sp3 Negishi Cross-Coupling Reaction. Chem. Eur. J. 2014, 20, 14575–14578. [Google Scholar] [CrossRef] [PubMed]
- Detterbeck, R.; Guggisberg, A.; Popaj, K.; Hesse, M. (−)-(3S)-3-(Tosylamino) butano-4-lactone, a Versatile Chiral Synthon for the Enantioselective Synthesis of Different Types of Polyamine Macrocycles: Determination of the Absolute Configuration of (−)-(R)-Budmunchiamine A. Helv. Chim. Acta 2002, 85, 1742–1758. [Google Scholar] [CrossRef]
- Sønderskov, J.; Tungen, J.E.; Palmas, F.; Dalli, J.; Serhan, C.N.; Stenstrøm, Y.; Hansen, T.V. Stereoselective synthesis of MaR2n-3 DPA. Tetrahedron Lett. 2020, 61, 151510. [Google Scholar] [CrossRef]
- Rooke, D.A.; Ferreira, E.M. Platinum-Catalyzed Hydrosilylations of Internal Alkynes: Harnessing Substituent Effects to Achieve High Regioselectivity. Angew. Chem. Int. Ed. 2012, 51, 3225–3230. [Google Scholar] [CrossRef]
- Reinertsen, A.F.; Primdahl, K.G.; De Matteis, R.; Dalli, J.; Hansen, T.V. Stereoselective Synthesis, Configurational Assignment and Biological Evaluations of the Lipid Mediator RvD2n-3 DPA. Chem. Eur. J. 2022, 28, e202103857. [Google Scholar] [CrossRef]
- Rodriguez, A.R.; Spur, B.W. First total syntheses of the pro-resolving lipid mediators 7(S),13(R),20(S)-Resolvin T1 and 7(S),13(R)-Resolvin T4. Tetrahedron Lett. 2020, 61, 151473. [Google Scholar] [CrossRef] [PubMed]
- Boland, W.; Schroer, N.; Sieler, C.; Feigel, M. Sterospecific Syntheses and Spectroscopic Properties of Isomeric 2,4,6,8-Undecatetraenes. New Hydrocarbons from the Marine Brown Alga Giffordia mitchellae. Part IV. Helv. Chim. Acta 1987, 70, 1025–1040. [Google Scholar] [CrossRef]
- Mohamed, Y.M.A.; Hansen, T.V. Z-Stereoselective semi-reduction of alkynes: Modification of the Boland protocol. Tetrahedron 2013, 69, 3872–3877. [Google Scholar] [CrossRef]
- Näf, F.; Decorzant, R.; Thommen, W.; Willhalm, B.; Ohloff, G. The Four Isomeric 1,3,5-Undecatrienes. Synthesis and configurational assignment. Helv. Chim. Acta 1975, 58, 1016–1037. [Google Scholar] [CrossRef]
- Koenis, D.S.; Beegun, I.; Jouvene, C.C.; Aguirre, G.A.; Souza, P.R.; Gonzalez-Nunez, M.; Ly, L.; Pistorius, K.; Kocher, H.M.; Ricketts, W.; et al. Disrupted Resolution Mechanisms Favor Altered Phagocyte Responses in COVID-19. Circ. Res. 2021, 129, e54–e71. [Google Scholar] [CrossRef] [PubMed]
- Ervik, K.; Reinertsen, A.F.; Koenis, D.S.; Dalli, J.; Hansen, T.V. Stereoselective Synthesis, Pro-resolution, and Anti-inflammatory Actions of RvD5n-3 DPA. J. Nat. Prod. 2023, 86, 2546–2553. [Google Scholar] [CrossRef] [PubMed]
- Reinertsen, A.F.; Primdahl, K.G.; Shay, A.E.; Serhan, C.N.; Hansen, T.V.; Aursnes, M. Stereoselective Synthesis and Structural Confirmation of the Specialized Pro-Resolving Mediator Resolvin E4. J. Org. Chem. 2021, 86, 3535–3545. [Google Scholar] [CrossRef]
- Flak, M.B.; Koenis, D.S.; Sobrino, A.; Smith, J.; Pistorius, K.; Palmas, F.; Dalli, J. GPR101 mediates the pro-resolving actions of RvD5n-3 DPA in arthritis and infections. J. Clin. Investig. 2020, 130, 359–373. [Google Scholar] [CrossRef]
- Walker, M.E.; De Matteis, R.; Perretti, M.; Dalli, J. Resolvin T4 enhances macrophage cholesterol efflux to reduce vascular disease. Nat. Commun. 2024, 15, 975. [Google Scholar] [CrossRef]
- Rodriguez, A.R.; Spur, B.W. First total synthesis of the pro-resolving lipid mediator 7(S),12(R),13(S)-Resolvin T2 and its 13(R)-epimer. Tetrahedron Lett. 2020, 61, 151857. [Google Scholar] [CrossRef]
- Chiang, N.; Sakuma, M.; Rodriguez, A.R.; Spur, B.W.; Irimia, D.; Serhan, C.N. Resolvin T-series reduce neutrophil extracellular traps. Blood 2022, 139, 1222–1233. [Google Scholar] [CrossRef] [PubMed]
- Fuchs, T.A.; Abed, U.; Goosmann, C.; Hurwitz, R.; Schulze, I.; Wahn, V.; Weinrauch, Y.; Brinkmann, V.; Zychlinsky, A. Novel cell death program leads to neutrophil extracellular traps. J. Cell Biol. 2007, 176, 231–241. [Google Scholar] [CrossRef]
- Kolaczkowska, E.; Kubes, P. Neutrophil recruitment and function in health and inflammation. Nat. Rev. Immunol. 2013, 13, 159–175. [Google Scholar] [CrossRef] [PubMed]
- Albrengues, J.; Shields, M.A.; Ng, D.; Park, C.G.; Ambrico, A.; Poindexter, M.E.; Upadhyay, P.; Uyeminami, D.L.; Pommier, A.; Küttner, V.; et al. Neutrophil extracellular traps produced during inflammation awaken dormant cancer cells in mice. Science 2018, 361, eaao4227. [Google Scholar] [CrossRef] [PubMed]
- Azcutia, V.; Parkos, C.A.; Brazil, J.C. Role of negative regulation of immune signaling pathways in neutrophil function. J. Leukoc. Biol. 2018, 103, 1029–1041. [Google Scholar] [CrossRef]
- Jorch, S.K.; Kubes, P. An emerging role for neutrophil extracellular traps in noninfectious disease. Nat. Med. 2017, 23, 279–287. [Google Scholar] [CrossRef] [PubMed]
- Silvestre-Roig, C.; Braster, Q.; Ortega-Gomez, A.; Soehnlein, O. Neutrophils as regulators of cardiovascular inflammation. Nat. Rev. Cardiol. 2020, 17, 327–340. [Google Scholar] [CrossRef] [PubMed]
- Williams, G.W.; Berg, N.K.; Reskallah, A.; Yuan, X.; Eltzschig, H.K. Acute Respiratory Distress Syndrome: Contemporary Management and Novel Approaches during COVID-19. Anesthesiology 2021, 134, 270–282. [Google Scholar] [CrossRef] [PubMed]
- Wong, S.L.; Wagner, D.D. Peptidylarginine deiminase 4: A nuclear button triggering neutrophil extracellular traps in inflammatory diseases and aging. FASEB J. 2018, 32, 6358–6370. [Google Scholar] [CrossRef] [PubMed]
- Nathan, C. Neutrophils and COVID-19: Nots, NETs, and knots. J. Exp. Med. 2020, 217, e20201439. [Google Scholar] [CrossRef]
- Vik, A.; Dalli, J.; Hansen, T.V. Recent advances in the chemistry and biology of anti-inflammatory and specialized pro-resolving mediators biosynthesized from n-3 docosapentaenoic acid. Bioorg. Med. Chem. Lett. 2017, 27, 2259–2266. [Google Scholar] [CrossRef]
- Nesman, J.I.; Primdahl, K.G.; Tungen, J.E.; Palmas, F.; Dalli, J.; Hansen, T.V. Synthesis, structural confirmation, and biosynthesis of 22-OH-PD1n-3 DPA. Molecules 2019, 24, 3228. [Google Scholar] [CrossRef] [PubMed]
- Kaur, G.; Cameron-Smith, D.; Garg, M.; Sinclair, A.J. Docosapentaenoic acid (22: 5n-3): A review of its biological effects. Prog. Lipid Res. 2011, 50, 28–34. [Google Scholar] [CrossRef] [PubMed]
- Haatveit, Å.S.; Hansen, T.V. The Biosynthetic Pathways of the Protectins. Prostaglandins Other Lipid Mediat. 2023, 169, 106787. [Google Scholar] [CrossRef]
- Nesman, J.I.; Chen, O.; Luo, X.; Ji, R.-R.; Serhan, C.N.; Hansen, T.V. A new synthetic protectin D1 analog 3-oxa-PD1n-3 DPA reduces neuropathic pain and chronic itch in mice. Org. Biomol. Chem. 2021, 19, 2744–2752. [Google Scholar] [CrossRef] [PubMed]
- Furutani, K.; Chen, O.; McGinnis, A.; Wang, Y.; Serhan, C.N.; Hansen, T.V.; Ji, R.-R. Novel pro-resolving lipid mediator mimetic 3-oxa-PD1n-3 DPA reduces acute and chronic itch by modulating excitatory and inhibitory synaptic transmission and astroglial secretion of lipocalin-2 in mice. Pain 2023, 164, 1340–1354. [Google Scholar] [CrossRef] [PubMed]
- Dayaker, G.; Durand, T.; Balas, L. A versatile and stereocontrolled total synthesis of dihydroxylated docosatrienes containing a conjugated E, E, Z-Triene. Chem. Eur. J. 2014, 20, 2879–2887. [Google Scholar] [CrossRef]
- Hansen, T.V.; Dalli, J.; Serhan, C.N. The novel lipid mediator PD1n-3 DPA: An overview of the structural elucidation, synthesis, biosynthesis and bioactions. Prostaglandins Other Lipid Mediat. 2017, 133, 103–110. [Google Scholar] [CrossRef]
Disclaimer/Publisher’s Note: The statements, opinions and data contained in all publications are solely those of the individual author(s) and contributor(s) and not of MDPI and/or the editor(s). MDPI and/or the editor(s) disclaim responsibility for any injury to people or property resulting from any ideas, methods, instructions or products referred to in the content. |
© 2024 by the authors. Licensee MDPI, Basel, Switzerland. This article is an open access article distributed under the terms and conditions of the Creative Commons Attribution (CC BY) license (https://creativecommons.org/licenses/by/4.0/).

























