Abstract
Gain-of-function mutations in the KCNT1 gene, which encodes the sodium-activated potassium channel known as SLACK, are associated with the rare but devastating developmental and epileptic encephalopathy known as epilepsy of infancy with migrating focal seizures (EIMFS). The design of small molecule inhibitors of SLACK channels represents a potential therapeutic approach to the treatment of EIMFS, other childhood epilepsies, and developmental disorders. Herein, we describe a hit optimization effort centered on a xanthine SLACK inhibitor (8) discovered via a high-throughput screen. Across three distinct regions of the chemotype, we synthesized 58 new analogs and tested each one in a whole-cell automated patch-clamp assay to develop structure–activity relationships for inhibition of SLACK channels. We further evaluated selected analogs for their selectivity versus a variety of other ion channels and for their activity versus clinically relevant SLACK mutants. Selectivity within the series was quite good, including versus hERG. Analog 80 (VU0948578) was a potent inhibitor of WT, A934T, and G288S SLACK, with IC50 values between 0.59 and 0.71 µM across these variants. VU0948578 represents a useful in vitro tool compound from a chemotype that is distinct from previously reported small molecule inhibitors of SLACK channels.
1. Introduction
Epilepsy of infancy with migrating focal seizures (EIMFS), previously known as malignant migrating partial seizures of infancy (MMPSI), is a catastrophic and rare epileptic disorder affecting infants and children [1]. Patients diagnosed with EIFMS commonly experience seizures that are resistant to standard anti-seizure medications within the first six months of life [2,3,4]. These seizures are persistent, originate in multiple focal areas, and shift across various regions within the brain. The progression of EIFMS is often marked by a decline in motor and cognitive development, visual disturbances, and muscle weakness. The etiology of EIMFS has been linked to a series of de novo missense gain-of-function (GOF) mutations in the KCNT1 gene in roughly half of patients. KCNT1 encodes for a sodium (Na+)-activated potassium (K+) channel known as SLACK (Sequence Like A Calcium-activated K+ channel), which is a critical regulator of electrical conductance within the central nervous system (CNS). SLACK plays a pivotal role in managing neural excitability, including the process of afterhyperpolarization (AHP) following recurrent neural discharges, which is critical for the modulation of action potential frequencies [2,3,4,5,6,7].
SLACK (KNa1.1, Slo2.2) belongs to the Slo family of K+ channels, which also includes Slo1 (Maxi-K, BK, or KCa1.1), Slo2.1 (SLICK), and Slo3 [6,8,9]. SLACK channels are widely distributed within the CNS and are also present in certain peripheral tissues such as the gonads, muscle cells, cardiac myocytes, and the pituitary glands [2,6,8]. Structurally, SLACK channels are composed of a tetrameric assembly of subunits, each featuring six hydrophobic transmembrane segments (S1 to S6) and a pore-forming domain between S5 and S6. Also present is an extensive C-terminal cytoplasmic domain, which includes two tandem regulator of potassium conductance (RCK) domains that impart Na+ sensitivity to the channels, alongside a nicotinamide adenine dinucleotide (NAD+) binding domain [3,5,9,10,11,12,13,14]. As expected, intracellular concentration of Na+ is a key determinant of the activity of SLACK channels [12,14]; nevertheless, their activity is further modulated by the voltage across the membrane, direct phosphorylation by protein kinase C (PKC), indirect modulation by protein kinase A (PKA), and varying levels of cytoplasmic NAD+, ATP, and estradiol, among others [12,15,16].
More than thirty distinct KCNT1 GOF mutations have been identified, all of which are linked to EIMFS [2,17,18,19,20]. These mutations predominantly occur within the C-terminal domain of the protein, as well as within the transmembrane pore domain [2,7,9,13,21,22]. The cytoplasmic domain is known to interact with developmental proteins, including the fragile X mental retardation protein (FMRP), the cytoplasmic FMR1-interacting protein 1 (Cyfip1), and the actin regulator 1 (Phactr1) [23,24]. Moreover, GOF mutations in KCNT1 have been linked to a spectrum of epileptic disorders beyond EIMFS, such as early onset epileptic encephalopathy (including West syndrome and Ohtahara syndrome) and autosomal dominant nocturnal frontal lobe epilepsy [22,25,26,27,28]. Multiple hypotheses have been put forth regarding the mechanisms by which GOF mutations in the KCNT1 gene lead to increased excitability of neurons. For example, these mutations may contribute to impaired function of inhibitory interneurons, thereby reducing the activity of these critical regulatory neurons. Likewise, GOF mutations have been shown to cause increased amplitude of AHP, which in turn increases the frequency of neuronal firing. Lastly, certain mutations may also interfere with cell signaling pathways that involve proteins such as FMRP and Phactr-1 [13,17,20,29].
To date, effective and safe therapeutic options remain unavailable for the treatment of EIMFS. While older, non-selective medications such as quinidine, clofilium, and bepridil inhibit SLACK currents in vitro, they have limited efficacy in the clinic, and quinidine causes toxicity due to its lack of selectivity and unfavorable pharmacokinetic properties [4,7,13,18,28,30,31,32,33,34,35,36]. Not surprisingly, multiple research groups have endeavored to identify new small molecules that may serve as lead compounds for the discovery of SLACK inhibitors. Recently, such efforts have begun to bear fruit. For example, researchers from the University of Leeds have identified potential SLACK pore blockers utilizing a virtual screen of 100,000 compounds via a cryo-electron microscopy-derived chicken SLACK structure. Six chemically diverse compounds with micromolar inhibitory potency in whole-cell patch-clamp assays were identified (compounds 1–3 in Figure 1; the remaining three compounds were noted as pan-assay interference compounds (PAINS) [37,38,39]). Compound 1 (BC5 in the original publication) almost completely inhibited hERG (KV11.1) channels at 10 µM while inhibition by 2 (BC12 in the original publication) and 3 (BC14 in the original publication) at the same concentration was more moderate, at 10–20% and 45%, respectively [40].
Figure 1.
Examples of small molecule SLACK inhibitors reported in the literature. Reported IC50 values appear determined using whole-cell patch-clamp electrophysiology versus WT SLACK. Refer to original references cited in the text for experimental details as cell lines and protocols differ. Note the prevalence of secondary amides and five-membered heteroaryl rings across chemotypes.
Praxis Precision Medicine has been actively working toward the design of small molecule SLACK inhibitors for several years and has recently published in the peer-reviewed [41] as well as patent literature [42]. 1,2,4-Oxadiazole-based in vivo probe 4 (Figure 1, Compound 31 in the original publication) was evaluated via whole-cell automated patch-clamp (APC) versus a variety of human and murine WT and SLACK GOF variants and showed IC50 values between 0.040 µM and 1.77 µM. However, compound 4 also exhibited moderate potency as an inhibitor of the hERG channel with an IC50 value of 11.9 µM. Importantly, compound 4 demonstrated anticonvulsant effects in a mouse model using Kcnt1L/L mice [43]. Of note, 4 also exhibited 74% displacement at GABAA Cl– channels in a binding displacement assay, hinting at a potential contribution from GABAergic modulation in mediating its anticonvulsant effects [41]. 2,3-Dihydro-1H-indene 5 (Figure 1, Compound I-17 in the published patent application) is representative of a distinct series of SLACK inhibitors from Praxis that was disclosed in the patent literature and reported to have an IC50 value less than one micromolar in the APC assay [44].
We inaugurated our efforts to discover novel inhibitors of SLACK channels with a high-throughput screen (HTS) of approximately 100,000 compounds using a fluorescence-based thallium (Tl+) flux assay [45] with HEK-293 cells that stably express WT SLACK. Among the hits identified was 2-amino-N-phenylacetamide inhibitor 6 (Figure 1, VU0606170) [9]. Despite extensive optimization efforts within this scaffold, we failed to identify analogs notably superior to the hit compound. Nonetheless, VU0606170 and several related analogs exhibited micromolar potency in a whole-cell APC assay using the same WT SLACK-expressing HEK-293 cells. This same set of analogs demonstrated activity in a Tl+-flux assay utilizing A934T SLACK-expressing HEK-293 cells with equivalent or superior potency as observed versus WT SLACK [15]. Finally, in a phenotypic assay of epilepsy [46] employing co-cultures of cortical neuronal and glial cells, 6 inhibited the frequency of spontaneous calcium oscillations, which is considered an anti-epileptic phenotype [9]. Compound 6 inhibited the hERG channel in a Tl+-flux assay with an IC50 value greater than 10 µM [9]. Recently, we also published substantial hit optimization work in our own 1,2,4-oxadiazole series of SLACK inhibitors that culminated in the identification of optimized in vitro tool 7 (Figure 1, VU0935685) [47]. Tool compound 7 demonstrated improved potency (IC50 = 0.32 µM) in a whole-cell APC assay using CHO cells stably expressing WT SLACK. Evaluation of 7 in Tl+-flux assays likewise showed excellent potency versus A934T SLACK (IC50 = 0.67 µM) with good selectivity versus Slo family members SLICK and Maxi-K as well as hERG. Still, 7 was rapidly metabolized in mouse liver microsomes, pointing to the need for continued optimization [47].
2. Results and Discussion
2.1. Selection of Hit Compound VU0607689
Having access to multiple high-quality small molecule probes from distinct chemotypes is invaluable in the preclinical validation of a novel target. Thus, we were eager to continue our efforts toward the discovery of novel small molecule inhibitors of SLACK channels. We quickly became interested in xanthine hit 8 (Figure 2, VU0607689) which was also discovered during our HTS campaign. While it is well known that simple xanthines such as caffeine, theobromine, and theophylline (Figure 2, 9–11) readily cross the blood–brain barrier (BBB) [48], it has also been established that more elaborated and functionalized xanthine-based molecules, such as propentofylline and istradefylline (Figure 2, 12 and 13), can be developed as ligands that engage specific receptors in the CNS via passive permeability of the BBB [49,50,51]. In fact, hit compound 8 has several calculated properties (obtained via PubChem, CID: 16812252) consistent with good permeability. For example, molecular weight (389.4 Da), cLogP (3.0), H-bond donors (0), and H-bond acceptors (4) are all within Lipinski’s guidelines [52]. Likewise, the topological polar surface area (61.7 Å2) and number of rotatable bonds (5) of 8 are predictive of good oral absorption and BBB permeability [53,54]. Calculation of the recently described BBB score [55] gave a value of 4.6, which, being between 4 and 6, is predictive of CNS penetrance. Finally, follow-up screening of a resynthesized batch of 8 in our APC assay showed good potency versus WT SLACK (IC50 = 1.7 µM).
Figure 2.
HTS SLACK inhibitor hit 8 (VU0607689); simple xanthine compounds caffeine (9), theobromine (10), and theophylline (11); propentofylline (12), a xanthine inhibitor of equilibrative nucleoside transporters used in veterinary medicine; and istradefylline (13), a xanthine inhibitor of adenosine A2A receptors used in the treatment of Parkinson’s disease.
Buoyed by the potential of the scaffold, we set out to develop SAR within this chemotype via a parallel hit optimization strategy centered on three regions (Figure 3). Without knowledge of the binding site of the hit compound, strategies such as molecular docking were viewed as unlikely to prove fruitful. Thus, our strategy was to be thorough in our investigation of each region and to remain agnostic as to which functional groups may or may not be preferred. Attached to the N1 atom of the core is a benzyl moiety we termed the eastern ring of the scaffold. Here, we planned to systematically investigate substitution at each of the positions with a variety of functional groups of varying steric and electronic character. Within the core of the scaffold, we planned to evaluate the impact of larger alkyl groups at the N7 atom. Finally, in the western linker and ring system attached to the C8-position of the core, we planned to explore multiple modifications. For example in the linker region, we were interested in replacing the nitrogen atom with carbon and oxygen as well as exploring alkyl branching at the methylene group. Likewise, we also planned systematic exploration of the terminal phenyl group in a similar manner to that outlined for the eastern ring.
Figure 3.
Hit optimization plan for SLACK inhibitor VU0607689 in three regions.
2.2. Synthesis of Analogs
Synthesis of eastern ring analogs is depicted in Scheme 1 and began with commercially available theobromine (10), which was chlorinated at C8-position with N-chlorosuccinimide to afford intermediate 14 in good yield. Reaction of 14 with N-methylbenzylamine in the presence of cesium carbonate utilizing microwave-assisted organic synthesis (MAOS) [56] facilitated the nucleophilic aromatic substitution (SNAr) to provide penultimate intermediate 15 in moderate yield. Alkylation of 15 was accomplished under basic conditions via reaction with the appropriately substituted benzyl mesylate, benzyl tosylate, benzyl chloride, or benzyl bromide to yield the target analogs 16–33.
Scheme 1.
Synthesis of eastern ring analogs. Reagents and Conditions: (a) NCS, THF, 60 °C, 74%; (b) N-methylbenzylamine, Cs2CO3, DMF, microwave, 130 °C, 30 min, 43%; (c) (2-F-Ph)CH2OMs, NaH, THF, 36% (16); (3-F-Ph)CH2OTs, NaH, DMF, 22% (17); ArCH2Cl, Cs2CO3, DMF, 4–48% (18–20, 22–27, and 31–33); ArCH2Br, K2CO3, DMF, 9–71% (21 and 28–30).
Synthesis of analogs at the N7-position of the core was carried out as shown in Scheme 2. Bromination of 3-methylxanthine 34 proceeded smoothly to provide intermediate 35. The nitrogen atom at the 7-position of the core was then protected with MEM chloride (36) to afford 37. In the same pot, alkylation of the 1-position nitrogen atom was accomplished with benzyl bromide to give 38 in moderate yield over two steps. Reaction of 38 with N-methylbenzylamine in the presence of cesium carbonate with thermal heating efficiently effected the SNAr reaction, affording 39 in high yield. Cleavage of the MEM protecting was accomplished under acidic conditions to give penultimate intermediate 40 as its hydrochloride salt. Conversion of 40 into analogs 41–43 was accomplished via alkylation with the appropriate alkyl halide.
Scheme 2.
Synthesis of N7-position analogs. Reagents and Conditions: (a) Br2, AcOH, 100 °C, 95%; (b) ClCH2OCH2CH2OCH3 (36), NEt3, DMF (c) BnBr, K2CO3, 100 °C, 34% over 2 steps; (d) N-methylbenzyl amine, Cs2CO3, DMF, 100 °C, 85%; (e) 4N HCl, 1,4-dioxane, 93%; (f) EtI, Cs2CO3, DMF, microwave, 130 °C, 30 min, 9% (41); RCH2Br, NaH, DMF, 31% (42), 28% (43).
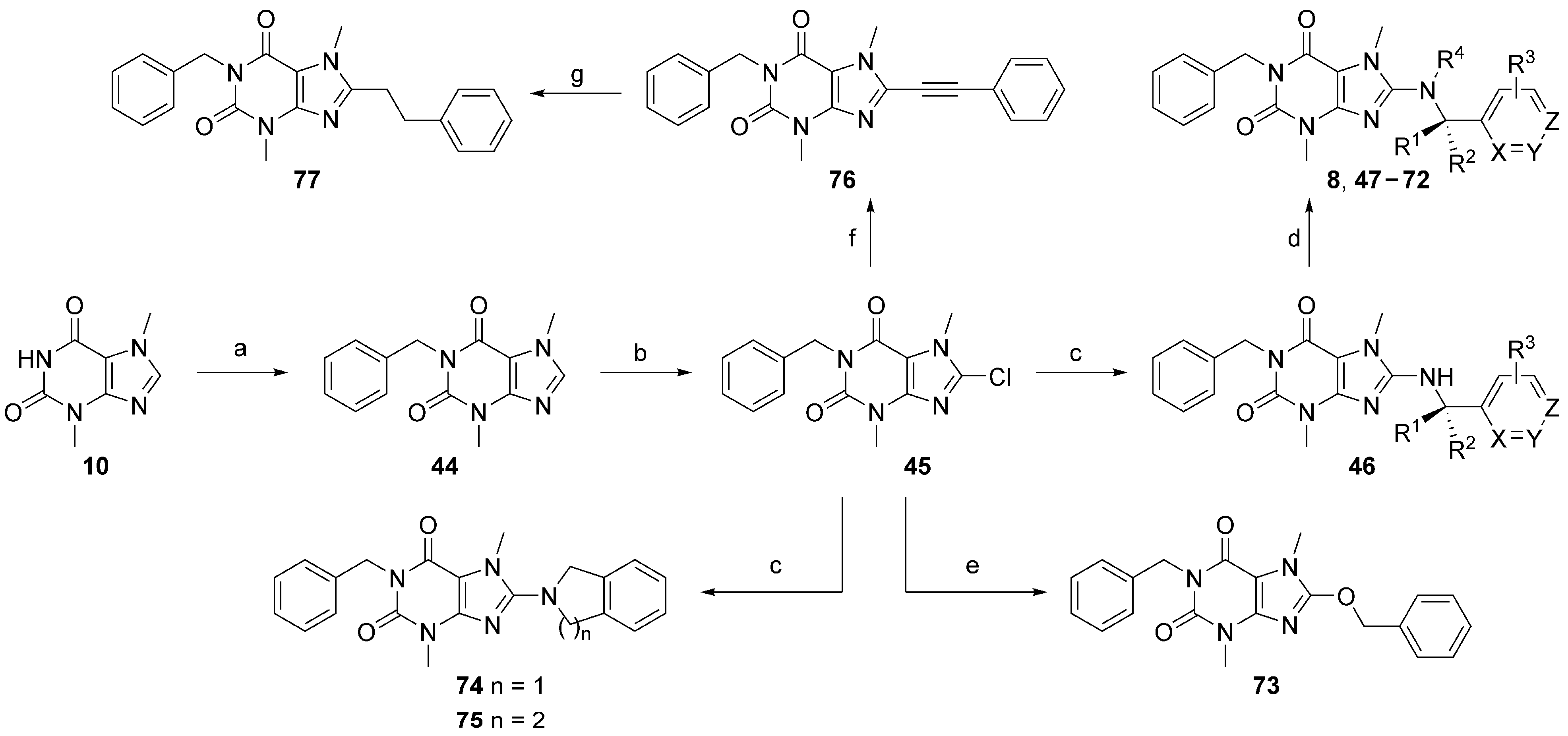
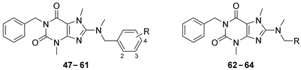
Synthesis of analogs in the western linker and ring of the scaffold followed the methodology outlined in Scheme 3. Once again, we began with commercial theobromine 10; however, in this case, the sequence began with benzylation of the N1 atom, which proceeded in excellent yield to afford 44. Chlorination at the C8 position gave key intermediate 45 in good yield. From compound 45, we were able to access a variety of different analogs. For example, SNAr reaction of 45 with a host of commercially available primary benzyl amines was carried out using MAOS [56] to provide intermediates 46. In the case of monomers containing substituents (R3) on the phenyl ring or pyridine replacements for the phenyl ring (X, Y, or Z = N), reaction of 46 with methyl iodide gave analogs 47–64 in low to moderate yield. Likewise, we also carried out the same two-step sequence with both enantiomers of 1-phenethylamine to access chiral analogs 65 and 66. To evaluate SAR at the linker nitrogen (R4), we followed the addition of benzylamine by reaction with a variety of alkylating agents to provide analogs 67–72. Finally, the SNAr reaction of 45 with isoindoline and 1,2,3,4 tetrahydroisoquinoline provided analogs 74 and 75, respectively, in moderate yield. Oxygen linker analog 73 was prepared in good yield through reaction of 45 with benzyl alcohol using MAOS [56]. To access the carbon linker analogs, a Sonogashira coupling [57] between ethynyl benzene and 45 was used to prepare 76 in moderate yield. Exhaustive hydrogenation of 76 under palladium catalysis gave analog 77 in low yield.
Scheme 3.
Synthesis of western linker and ring analogs. Reagents and Conditions: (a) BnBr K2CO3, DMF, 90 °C, 95%; (b) NCS, THF, 60 °C, 71%; (c) 1° or 2° benzylamine, Cs2CO3, DMF, microwave, 130 °C, 30 min, 34% (74), 32% (75) (d) MeI, NaH, THF, 4–37% over 2 steps (8, 47–66); R4X (X = Br or I), NaH, THF, 0 to 50 °C, 8–40% (67–72); (e) PhCH2OH, Cs2CO3, DMF, microwave, 130 °C, 30 min, 64%; (f) PhC≡CH, Pd(PPh3)4, NEt3, CuI, DMF, 100 °C, 47%; (g) 10% Pd/C, MeOH, 10 bar, 60 °C, H-Cube®, 23%.
2.3. Structure–Activity Relationships
All new analogs were tested in our APC assay using CHO cells stably expressing WT SLACK using a concentration-response format with concentrations ranging from 0.125 to 30 μM in half-log steps and a minimum of three cells (replicates) per concentration series. In the eastern ring, the systematic substitution of the ring showed the SAR to be relatively flat with many analogs being within two-fold of the activity observed with the hit compound 8 (Table 1). Still, there were some notable results. For example, substitution at the 4-position was largely unfavorable regardless of the nature of the substituent (21, 24, 27, 30, and 33) apart from the 4-fluoro analog 18. Interestingly, substitution with the trifluoromethyl group (25–27) was unfavorable at all positions, especially at the 2- and 4-positions, and inferior to the corresponding chloro (19–21) and methyl analogs (22–24). As the trifluoromethyl group is similar in electronegativity to chlorine, but larger than both methyl and chlorine [58,59], perhaps the steric bulk of the trifluoromethyl is to blame for the poor potency of these analogs. With the exception of the fluoro (16–18) and cyano (28–30) analogs, substitution at the 3-position was favorable for SLACK activity, with 3-methoxy analog 32 standing out in this set. Alkylation of the N7-position of the core with any groups larger than methyl proved universally detrimental to SLACK activity (Table 2).
Table 1.
Eastern ring analogs.
Table 2.
N7-position analogs.
Systematic functionalization of the western ring of the scaffold revealed few analogs with improved SLACK activity relative to hit compound 8 (Table 3). Installation of a heteroatom in the ring at any position (62–64) proved particularly intolerable. In stark contrast to the results obtained in the eastern ring (25–27, Table 1), trifluoromethyl analogs (56–58) were well tolerated here. In fact, outside of the 2-trifluoromethyl analog 56, substitution at the 2-position (47, 50, 53, and 59) reduced potency at SLACK, with the most notable reductions in activity observed with electron-donating methyl (53) and methoxy (59) groups. In most cases, substitution at the 3- and 4-positions was tolerated regardless of the functional group, though 4-chloro (52) and 3- and 4-methoxy (60 and 61) substitution was moderately disfavored. Among this set, only 3-fluoro analog 48 stood out as markedly improved compared to the hit compound 8.
Table 3.
Western ring analogs.
Evaluation of structural changes to the western linker provided quite divergent SAR with respect to SLACK potency, both favorable and unfavorable (Table 4). Testing of secondary amine intermediate 46a demonstrated the necessity of a tertiary amine at the C8-position for SLACK activity. Of particular note were the results observed with chiral analogs 65 and 66. Although (R)-enantiomer 65 was equipotent to hit 8, it was more than six-fold more potent than (S)-enantiomer 66. Perhaps this instance of stereochemical bias would be worthy of future follow-up to explore whether other alkyl groups in the (R)-configuration yielded improvements in potency. While branching (69) of the alkyl group at the carbon immediately adjacent to the nitrogen atom was not favorable, other alkyl groups larger than methyl (67, 68, 70–72) improved SLACK activity, with n-butyl (70) and cyclopropylmethyl (71) analogs standing out within this set. Replacement of the nitrogen atom with oxygen (73) and carbon (76 and 77) was not favorable for SLACK activity. Interestingly, while isoindolin-2-yl analog 74 was inactive, expansion of the saturated ring from a five- to six-membered ring in analog 75 restored most of the lost potency.
Table 4.
Western linker analogs.
2.4. Secondary Pharmacological Profiling
With a handful of analogs that offered improved SLACK potency relative to hit compound 8, we next proceeded to investigate the ancillary pharmacology of such compounds, both with respect to other Slo family members as well as versus a spectrum of diverse ion channels (Table 5). Thus, we screened four compounds (32, 48, 70, and 71) at 10 µM in our in-house selectivity panel of Tl+-flux assays in HEK-293 cells stably expressing the target of interest [9,60]. The selectivity profile for all four analogs was largely encouraging, with few instances of greater than 50% inhibition observed at 10 µM. Some valuable SAR was noted as well. For example, while N-methyl analogs 32 and 48 demonstrated notable inhibition of Maxi-K α1/β3 at 79% and 63%, respectively, the installation of the larger n-butyl (70) and methylcyclopropyl (71) groups on the nitrogen atom significantly reduced activity versus this target. Reduction of inhibition at Maxi-K α1/β4 also followed. This SAR will be important to bear in mind for continued optimization within this series. A similar SAR was observed with regard to inhibition of KV2.1 [61], another potassium channel with mutations linked to infantile epilepsy [62]. Also, within the Slo family, none of the four analogs demonstrated notable activity against SLICK even though it is highly homologous to SLACK, with 78% sequence identity [10]. Of particular note is the lack of significant hERG activity in this series, as activity versus that counter-target has been an issue with other SLACK inhibitors [9,40,41]. Thus, this xanthine series provides another example [47] within a distinct chemotype that demonstrates an ability to design potent SLACK inhibitors with selectivity versus the hERG channel.
Table 5.
Ion-channel panel screening with selected analogs 1.
Development of a useful SLACK inhibitor in vivo tool will require potent activity at the corresponding mouse ortholog as studies in appropriate mouse models [20,63,64,65] will be critical. Thus, we evaluated analogs 32 and 48 in our APC assay using CHO cells stably expressing mouse WT SLACK (Table 6). Activity versus the mouse proved only marginally reduced compared to the human with both compounds. We were also eager to evaluate the same compounds with regard to their ability to inhibit clinically relevant GOF SLACK mutants. Both the C-terminus A934T mutant and transmembrane G288S mutant have been associated with clinical cases of EIMFS [3,7]. Gratifyingly, both 32 and 48 inhibited these mutant targets with similar potency as observed versus WT SLACK using our APC assay (Table 6).
Table 6.
Electrophysiology results versus mouse and GOF mutant SLACK.
2.5. Synthesis and Testing of Combination Analogs
Finally, we turned our attention to the synthesis of second-generation analogs that combined optimal features. In the eastern ring, we chose the 3-methoxy benzyl group found in analog 32. At the nitrogen atom appended to the C8-position of the core, we chose the n-butyl and methylcyclopropyl groups of analogs 70 and 71, respectively. In the western ring, we chose the 3-fluoro and 4-fluoro groups of analogs 48 and 49, respectively. Using chemistry analogous to that described in Scheme 3, we prepared analogs 78–81 (Table 7). Evaluation of these four analogs using APC versus WT, A934T, and G288S revealed that the combination of structural changes in the scaffold led to improved activities in some cases. Most notably, n-butyl analogs 78 and 80 both showed improved potency versus the A934T mutant compared to 32 and 48.
Table 7.
Combination analogs: electrophysiology results versus WT and GOF mutant SLACK.
2.6. Conclusions and Future Directions
In conclusion, we have executed a hit optimization strategy centered on xanthine HTS hit 8 and identified substitution of the eastern and western rings as well as alkylation of the nitrogen atom group at the C8-position as viable strategies for increasing inhibitory potency of SLACK channels. Chemistry employed to access key intermediates involved moderate to high yielding reactions, facilitating the synthesis of analogs. Isolated yields for the conversion of penultimate intermediates into final compounds varied more widely and were poor in some cases. In certain instances, poor yields could be attributed to low conversion or impurities that complicated the isolation of pure samples. Selectivity profiling versus Slo family channels and a diverse set of other ion channels was encouraging, with SAR identified for reducing activity at Maxi-K and KV2.1. Selectivity in this series versus hERG was also promising, providing another scaffold that demonstrates potential in this key area. Finally, synthesis of analogs that combined optimized features in different regions yielded molecules with enhanced potency versus the clinically relevant A934T SLACK mutant. In fact, analog 80 demonstrated inhibitory potency between 0.59 and 0.71 µM versus WT, A934T, and G288S SLACK. Thus, compound 80 (VU0948578) represents a valuable in vitro tool from a series wholly distinct from SLACK inhibitors disclosed to date. The next step for this series must include evaluation of the metabolic and physicochemical properties of representative compounds within the series to evaluate any potential liabilities in areas such as clearance, solubility, and permeability. The results from such studies will enable an assessment of the probability that continued optimization efforts in the series may lead to the discovery of a molecule suitable for use as an in vivo probe.
3. Materials and Methods
3.1. Synthesis and Purification
Air-sensitive reactions were carried out under a nitrogen atmosphere. Starting materials, reagents, intermediates, and final compounds were weighed on a Mettler ToledoTM New Classic ME analytical balance or a Mettler ToledoTM New Classic ME toploader balance. Thin-layer chromatography (TLC) was conducted on glass plates coated with Silica Gel 60 F254 from Millipore Sigma. Normal-phase flash chromatography was carried out on either a CombiFlash® EZ Prep or CombiFlash® Rf+ automated flash chromatography system, both from Teledyne ISCO. Normal-phase flash chromatography was carried out using RediSep® Rf normal-phase, disposable flash columns from Teledyne ISCO or SiliaSep normal-phase, disposable flash columns (40–63 micron) from SiliCycle, Inc. Reverse-phase preparative chromatography was carried out on the CombiFlash® EZ Prep using a reusable RediSep® Rf C18 reverse-phase column. Microwave reactions were carried out an Anton Paar Monowave 200 automated microwave synthesizer. The Monowave 200 has an output power of 850 W with a maximum temperature of 260 °C and a maximum pressure of 290 psi and is suitable for use with reaction volumes ranging from 0.5 to 20 mL.
All NMR spectra were recorded on a 300 MHz Bruker Fourier 300HD NMR spectrometer equipped with a dual 1H and 13C probe with Z-Gradient and automatic tuning and matching, full computer control of all shims with TopShimTM, 24-sample SampleCaseTM automation system, and TopSpinTM software, version 3.6.2. All NMR samples were prepared with either chloroform-d with 0.03% TMS (99.8+ atom % D, Acros Organics Catalog No. 209561000) or d6-dimethyl sulfoxide with 0.03% TMS (ACROS Organics Catalog No. 360000100). 1H and 13C chemical shifts are reported in δ values in ppm downfield. Data are reported as follows: chemical shift, multiplicity (s = singlet, d = doublet, t = triplet, q = quartet, br = broad, m = multiplet), integration, coupling constant (Hz). High resolution mass spectrometry was conducted on an Agilent 6230 Accurate-Mass Time-of-Flight (TOF) LC/MS with ESI source equipped with MassHunter Walkup software, version B.09.00, Build 9.0.9044.0. MS parameters were as follows: fragmentor: 175 V, capillary voltage: 3500 V, nebulizer pressure: 35 psig, drying gas flow: 11 L/min, drying gas temperature: 325 °C. Samples were introduced via an Agilent 1260 Infinity UHPLC comprised of a G4225A HiP Degasser, G1312B binary pump, G1367E ALS, G1316A TCC, and G1315C DAD VL+ with a 5 μL semi-micro flow cell with a 6 mm path length. UV absorption was observed at 220 nm and 254 nm with a 4 nm bandwidth. Column: Agilent Zorbax SB-C18, Rapid Resolution HT, 1.8 µm, 2.1 × 50 mm. Gradient conditions: hold at 5% CH3CN in H2O (0.1% formic acid) for 1.0 min, 5% to 95% CH3CN in H2O (0.1% formic acid) over 5 min, hold at 95% CH3CN in H2O (0.1% formic acid) for 1.0 min, 0.5 mL/min. All samples submitted for biological testing were confirmed ≥95% pure by 1H NMR.
3.2. Analog Synthesis
Synthesis of analogs 16–18, 21, 8, and 67 are described here as representative of the routes used to access the most active SLACK inhibitor compounds. Synthetic methods and characterization of all samples submitted for biological testing are available in the Supplementary Material.
8-Chloro-3,7-dimethyl-3,7-dihydro-1H-purine-2,6-dione (14). Theobromine (10) (5.00 g, 27.8 mmol, 1.0 eq) and NCS (7.41 g, 55.5 mmol, 2.0 eq) were suspended in THF (25 mL), and the reaction was heated at 60 °C overnight. THF was removed in vacuo, and the residue was filtered and washed with water. The product was dried at 40 °C to provide 4.4 g (74%) of the title compound as a beige solid that was used further without purification. LCMS RT = 2.62 min; HRMS, calc’d for C7H8ClN4O2+ [M + H], 215.0330; found 215.0330.
8-(Benzyl(methyl)amino)-3,7-dimethyl-3,7-dihydro-1H-purine-2,6-dione (15). Intermediate 14 (1.00 g, 4.66 mmol, 1.0 eq), N-methylbenzyl amine (1.13 g, 9.32 mmol, 2.0 eq), Cs2CO3 (3.03 g, 9.32 mmol, 2.0 eq), and DMF (5.0 mL) were added to a microwave vial and heated in a microwave reactor at 130 °C for 30 min. The reaction was cooled to room temperature, water was added, and the mixture was extracted with ethyl acetate (2×). The combined organics were washed with brine, dried over Na2SO4, filtered, and concentrated in vacuo. Purification of the residue by flash chromatography on silica gel yielded 600 mg (43%) of the title compound. LCMS RT = 4.0 min; HRMS, calc’d for C15H18N5O2+ [M + H], 300.1455; found 300.1460.
8-(Benzyl(methyl)amino)-1-(2-fluorobenzyl)-3,7-dimethyl-3,7-dihydro-1H-purine-2,6-dione (16). Sodium hydride (8.0 mg, 0.34 mmol, 2.0 eq) was added to an ice-cold solution of 15 (50 mg, 0.17 mmol, 1.0 eq) and was stirred for 15 min. Afterwards, 2-fluorobenzyl methanesulfonate (69 mg, 0.34 mmol, 2.0 eq) was added, and the reaction was heated at 130 °C for one hour. The reaction was cooled to room temperature, water was added, and the mixture was extracted with DCM (2×). The combined organics were washed with brine, dried over Na2SO4, filtered, and concentrated in vacuo. Purification of the residue by flash chromatography on silica gel yielded 25 mg (36%) of the title compound. 1H NMR (300 MHz, CDCl3) δ 7.43–7.14 (m, 7H), 7.09–6.97 (m, 2H), 5.28 (s, 2H), 4.47 (s, 2H), 3.80 (s, 3H), 3.54 (s, 3H), 2.91 (s, 3H); 13C NMR (75 MHz, CDCl3) δ 162.33, 159.05, 157.58, 154.43, 151.61, 148.00, 136.77, 128.86 (d, J(C,F) = 4.07 Hz), 128.64 (d, J(C,F) = 8.29 Hz), 128.31 (d, J(C,F) = 69.62 Hz), 127.78, 124.68 (d, J(C,F) = 14.40 Hz), 124.00 (d, J(C,F) = 3.65 Hz), 115.35 (d, J(C,F) = 21.73 Hz), 105.03, 57.45, 38.91, 38.00 (d, J(C,F) = 4.97 Hz), 32.92, 29.76 ppm. LCMS RT = 5.25 min; HRMS, calc’d for C22H23FN5O2+ [M + H], 408.1830; found 408.1836.
8-(Benzyl(methyl)amino)-1-(3-fluorobenzyl)-3,7-dimethyl-3,7-dihydro-1H-purine-2,6-dione (17). 3-Fluorobenzyl 4-methylbenzenesulfonate (95.3 mg, 0.34 mmol, 2.0 eq) was added to a solution of 15 (50 mg, 0.17 mmol, 1.0 eq) and Cs2CO3 (110 mg, 0.34 mmol, 2.0 eq) in THF (3 mL) and stirred at 60 °C overnight. The reaction was cooled to room temperature, water was added, and the mixture was extracted with DCM (2×). The combined organics were washed with brine, dried over Na2SO4, filtered, and concentrated in vacuo. Purification of the residue by flash chromatography on silica gel yielded 15 mg (22%) of the title compound. 1H NMR (300 MHz, CDCl3) δ 7.41–7.21 (m, 7H), 7.17 (m, 1H), 6.93 (m, 1H), 5.17 (s, 2H), 4.47 (s, 2H), 3.81 (s, 3H), 3.53 (s, 3H), 2.91 (s, 3H); 13C NMR (75 MHz, CDCl3) δ 162.77 (d, J(C,F) = 245.42 Hz), 157.60, 154.42, 151.63, 147.97, 140.25 (d, J(C,F) = 7.40 Hz), 136.75, 129.79 (d, J(C,F) = 8.25 Hz), 128.77, 127.84, 127.78, 124.21 (d, J(C,F) = 2.80 Hz), 115.41 (d, J(C,F) = 21.82 Hz), 114.23 (d, J(C,F) = 21.04 Hz), 105.05, 57.44, 42.74 (d, J(C,F) = 1.67 Hz), 38.91, 32.91, 29.74 ppm. LCMS RT = 5.33 min; HRMS, calc’d for C22H23FN5O2+ [M + H], 408.1830; found 408.1835.
8-(Benzyl(methyl)amino)-1-(4-fluorobenzyl)-3,7-dimethyl-3,7-dihydro-1H-purine-2,6-dione (18). 4-Fluorobenzylchloride (49 mg, 0.34 mmol, 2.0 eq) was added to a solution of 15 (50 mg, 0.17 mmol, 1.0 eq) and Cs2CO3 (110 mg, 0.34 mmol, 2.0 eq) in DMF (0.5 mL) and stirred at 100 °C overnight. The reaction was cooled to room temperature, water was added, and the mixture was extracted with DCM (2×). The combined organics were washed with brine, dried over Na2SO4, filtered, and concentrated in vacuo. Purification of the residue by flash chromatography on silica gel yielded 28 mg (40%) of the title compound. 1H NMR (300 MHz, CDCl3) δ 7.49 (m, 2H), 7.41–7.27 (m, 5H), 6.97 (m, 2H), 5.14 (s, 2H), 4.46 (s, 2H), 3.80 (s, 3H), 3.52 (s, 3H), 2.90 (s, 3H); 13C NMR (75 MHz, CDCl3) δ 162.18 (d, J(C,F) = 245.07 Hz), 157.55, 154.50, 151.65, 147.88, 136.75, 133.65 (d, J(C,F) = 3.20 Hz), 130.74 (d, J(C,F) = 8.16 Hz), 128.76, 127.84, 127.77, 115.11 (d, J(C,F) = 21.19 Hz), 105.10, 57.45, 43.49, 38.92, 32.88, 29.71 ppm. LCMS RT = 5.38 min; HRMS, calc’d for C22H23FN5O2+ [M + H], 408.1830; found 408.1830.
8-(Benzyl(methyl)amino)-1-(4-chlorobenzyl)-3,7-dimethyl-3,7-dihydro-1H-purine-2,6-dione (21). 4-Chlorobenzyl bromide (33 mg, 0.16 mmol, 2.0 eq) was added to a solution of 15 (25 mg, 0.08 mmol, 1.0 eq) and K2CO3 (22 mg, 0.16 mmol, 2.0 eq) in DMF (0.5 mL) and stirred at 100 °C overnight. The reaction was cooled to room temperature, water was added, and the mixture was extracted with DCM (2×). The combined organics were washed with brine, dried over sodium sulfate (Na2SO4), filtered, and concentrated in vacuo. Purification of the residue by flash chromatography on silica gel yielded 24 mg (71%) of the title compound. 1H NMR (300 MHz, CDCl3) δ 7.43 (m, 2H), 7.40–7.21 (m, 7H), 5.13 (s, 2H), 4.46 (s, 2H), 3.80 (s, 3H), 3.52 (s, 3H), 2.91 (s, 3H); 13C NMR (75 MHz, CDCl3) δ 157.58, 154.44, 151.63, 147.93, 139.74, 136.34, 133.15, 130.31, 128.77, 128.47, 127.84, 127.78, 105.07, 57.44, 43.57, 38.91, 32.90, 29.72 ppm. LCMS RT = 5.59 min; HRMS, calc’d for C22H23ClN5O2+ [M + H], 424.1535; found 424.1540.
1-Benzyl-3,7-dimethyl-3,7-dihydro-1H-purine-2,6-dione (44). Theobromine (10) (1.58 g, 8.78 mmol, 1.5 eq) and K2CO3 (1.62 g, 11.7 mmol, 2.0 eq) were suspended in DMF (8.0 mL), followed by the addition of benzyl bromide (1.00 g, 5.85 mmol, 1.0 eq). The reaction was heated at 90 °C overnight. The reaction was cooled to room temperature, water was added, and the residue was filtered and rinsed with water. The product was dried at 40 °C to provide 1.50 g (95%) of the title compound as a white powder that was used further without purification. LCMS RT = 3.98 min; HRMS, calc’d for C14H15N4O2+ [M + H], 271.1190; found 271.1192.
1-Benzyl-8-chloro-3,7-dimethyl-3,7-dihydro-1H-purine-2,6-dione (45). Intermediate 44 (1.50 g, 5.55, 1.0 eq) and NCS (1.48 g, 11.1 mmol, 2.0 eq) were suspended in THF (15 mL), and the reaction was heated at 60 °C overnight. THF was removed in vacuo, and the residue was filtered and washed with water. The product was dried at 40 °C to provide 1.31 g (78%) of the title compound as a beige solid that was used further without purification. 1H NMR (300 MHz, CDCl3) δ 7.47 (m, 2H), 7.40–7.18 (m, 3H), 5.18 (s, 2H), 3.95 (s, 3H), 3.53 (s, 3H). LCMS RT = 4.64 min; HRMS, calc’d for C14H14ClN4O2+ [M + H], 305.0800; found 305.0799.
1-Benzyl-8-(benzyl(methyl)amino)-3,7-dimethyl-3,7-dihydro-1H-purine-2,6-dione [VU0607689] (8). Intermediate 45 (50 mg, 0.16 mmol, 1.0 eq), benzyl amine (34 mg, 0.32 mmol, 2.0 eq), Cs2CO3 (104 mg, 0.32 mmol, 2.0 eq), and DMF (0.5 mL) were added to a microwave vial and heated in a microwave reactor at 130 °C for 30 min. The reaction was cooled to room temperature, water was added, and the mixture was extracted with ethyl acetate (2×). The combined organics were washed with brine, dried over Na2SO4, filtered, and concentrated in vacuo. Purification of the residue by flash chromatography on silica gel yielded impure product that was dissolved in THF (2.0 mL) and cooled to 0 °C, followed by the addition of sodium hydride (15 mg, 0.64 mmol, 4.0 eq). The solution was stirred for 30 min, followed by the addition of methyl iodide. The reaction temperature was brought to 50 °C and stirred at that temperature for 1 h. The reaction was cooled to room temperature, water was added, and the mixture was extracted with DCM (2×). The combined organics were washed with brine, dried over Na2SO4, filtered, and concentrated in vacuo. Purification of the residue by flash chromatography on silica gel yielded 20 mg (32%) of the title compound. 1H NMR (300 MHz, CDCl3) δ 7.49 (m, 2H), 7.41–7.18 (m, 8H), 5.19 (s, 2H), 4.45 (s, 2H), 3.80 (s, 3H), 3.52 (s, 3H), 2.90 (s, 3H); 13C NMR (75 MHz, CDCl3) δ 157.49, 154.61, 151.70, 147.83, 137.83, 136.79, 128.76, 128.74, 128.35, 127.86, 127.76, 127.32, 105.14, 57.48, 44.22, 38.93, 32.86, 29.70 ppm. LCMS RT = 5.26 min; HRMS, calc’d for C22H24N5O2+ [M + H], 390.1925; found 390.1932.
1-Benzyl-8-(benzylamino)-3,7-dimethyl-3,7-dihydro-1H-purine-2,6-dione (46a). Intermediate 45 (700 mg, 2.30 mmol, 1.0 eq), benzyl amine (493 mg, 4.60 mmol, 2.0 eq), Cs2CO3 (1.50 g, 4.60 mmol, 2.0 eq), and DMF (5.0 mL) were added to a microwave vial and heated in a microwave reactor at 130 °C for 30 min. The reaction was cooled to room temperature, water was added, and the mixture was extracted with ethyl acetate (2×). The combined organics were washed with brine, dried over Na2SO4, filtered, and concentrated in vacuo. Purification of the residue by flash chromatography on silica gel yielded 650 mg (38%) of the title compound. 1H NMR (300 MHz, CDCl3) δ 7.47 (m, 2H), 7.41–7.16 (m, 8H), 5.18 (s, 2H), 4.66 (d, J = Hz, 2H), 4.40 (m, 1H), 3.66 (s, 3H), 3.52 (s, 3H); 13C NMR (75 MHz, CDCl3) δ 154.12, 153.21, 151.69, 148.73, 138.13, 137.92, 128.87, 128.61, 128.34, 127.98, 127.26, 103.37, 47.43, 44.11, 29.72, 29.63 ppm. LCMS RT = 4.87 min; HRMS, calc’d for C21H22N5O2+ [M + H], 376.1768; found 376.1774.
1-Benzyl-8-(benzyl(ethyl)amino)-3,7-dimethyl-3,7-dihydro-1H-purine-2,6-dione (67). Compound 46a (50 mg, 0.13 mmol, 1.0 eq) was dissolved in THF (2.0 mL) and cooled to 0 °C, followed by the addition of NaH (12.5 mg, 0.52 mmol, 4.0 eq). The solution was stirred for 30 min, followed by the addition of iodoethane. The reaction temperature was brought to 50 °C and stirred for 1 h. The reaction was cooled to room temperature, water was added, and the mixture was extracted with DCM (2×). The combined organics were washed with brine, dried over Na2SO4, filtered, and concentrated in vacuo. Purification of the residue by flash chromatography on silica gel yielded 21 mg (40%) of the title compound. 1H NMR (300 MHz, CDCl3) δ 7.49 (m, 2H), 7.39–7.18 (m, 8H), 5.18 (s, 2H), 4.54 (s, 2H), 3.76 (s, 3H), 3.51 (s, 3H), 3.27 (q, J = 7.11 Hz, 2H), 1.15 (t, J = 7.11 Hz, 3H); 13C NMR (75 MHz, CDCl3) δ 156.56, 154.62, 151.69, 147.78, 137.83, 137.44, 128.77, 128.62, 128.34, 127.95, 127.59, 127.32, 105.10, 54.71, 46.00, 44.21, 32.58, 29.71, 12.68 ppm. LCMS RT = 5.51 min; HRMS, calc’d for C23H26N5O2+ [M + H], 404.2081; found 404.2088.
3.3. Stable Cell Line Generation
Stably transfected monoclonal HEK293 cell lines expressing Slick, Maxi-K α1/β3, Maxi-K α1/β4, CaV3.2, GIRK 1/2, KV2.1, KV7.2, NaV1.7, and TASK-1 were generated as previously described [9]. Stably transfected monoclonal HEK293 cell lines expressing hERG were generated as previously described [66]. CHO-K1 cells expressing human Slack and disease-associated human Slack mutations, G288S and A934T, were generated by transfecting a PiggyBac TRE mammalian expression vector (VectorBuilder, Chicago, IL, USA) containing KCNT1. FuGENE 6 (Promega, Madison, WI, USA) transfection reagent and protocol, together with Opti-MEM (Thermo Fisher Scientific, Walkham, MA, USA), were utilized.
3.4. Whole-Cell Automated Patch-Clamp Electrophysiology
Automated patch-clamp recording was performed with a SyncroPatch 768 PE system (Nanion, Munich, Germany) as previously described [9,67]. Whole-cell recordings were performed at room temperature. Cells were harvested by first washing with PBS without Mg2+ or Ca2+ (Gibco, Billings, MT, USA) to remove cell culture media, followed by dissociation with TryPLE (Gibco, Billings, MT, USA). Cells were then resuspended and diluted to 100,000 cells/mL in external solution. External solution contained 105 mM NaCl, 4 mM KCl, 1 mM MgCl2, 5 mM CaCl2, 10 mM HEPES, and 40 mM N-Methyl-D-glucamine chloride, titrated to pH of 7.4 and osmolarity of 300 mOsm/kg; internal solution contained 70 mM NaCl, 70 mM KF, 10 mM KCl, 5 mM EGTA, and 5 mM HEPES, titrated to a pH of 7.2 and osmolarity of 295 mOsm/kg. Compound potencies were generated using concentrations ranging from 0.125 to 30 μM in half-log steps and a minimum of three cells (replicates) per concentration series.
The APC protocol was set as follows: Cells were held at a pressure of −80 mV for 100 ms, then a ramp protocol was performed from −100 mV to 80 mV at 0.4 mV/ms, followed by holding the cell at −80 mV for another 100 ms, then steps were performed at −20 mV, 0 mV, +20 mV, +40 mV, and +60 mV for 100 ms of each step. Whole-cell currents were measured at 0 mV and normalized to current after external buffer addition. Compound response was compared to “full block” Emax of 500 μM quinidine. To obtain the concentration-response relationship graphs and IC50 values, we take the median value of the last 7 current amplitude values obtained for each set of data points collected for a given concentration at a particular step.
3.5. Thallium (Tl+)-Flux Assays
The Tl+ flux assays were conducted as previously described [9,60] with modifications optimized for individual cell lines as described below. Following removal of cell culture media, cells were loaded with Tl+-sensitive dye loading solution containing Thallos-AM (ION Biosciences, San Marcos, TX, USA), 1.25 mM Probenecid, and 0.3% Pluronic F-127 (MilliporeSigma, Burlington, MA, USA), in assay buffer comprised of Hanks Balanced Salt Solution (HBSS) (Thermo Fisher Scientific, Waltham, MA, USA) and 20 mM HEPES (Corning, Corning, NY, USA) at room temperature for one-hour. Dye loading solution was replaced with 20 μL/well of assay buffer prior to assaying. Cell plates were then loaded onto a Panoptic kinetic imaging plate reader (WaveFront Biosciences, Franklin, TN, USA). Data were acquired at 5 Hz (excitation 482 ± 35 nm, emission 536 ± 40 nm) for 10 s, at which time 20 μL/well of test compounds in assay buffer at 2-fold above the desired final concentration was added and allowed to incubate for 120 s. Next, 10 μL/well of Tl+ stimulus buffer (129 mM Na gluconate, 1.2 mM CaSO4, 1 MgSO4, 1 mM Na2HPO4, 4.17 mM NaHCO3, 5.56 mM glucose, 2.5 mM Tl2SO4, and 10 mM HEPES pH 7.3) was added. Imaging was concluded after an additional 120 s. Compound potencies were determined using concentrations ranging from 1.5 nm to 30 μM in half-log steps and a minimum of three replicate wells per concentration series.
Supplementary Materials
The following supporting information can be downloaded at: https://www.mdpi.com/article/10.3390/molecules29112437/s1, Synthetic methods and characterization of all samples submitted for biological testing.
Author Contributions
Conceptualization, funding acquisition, methodology, project administration, and supervision, C.D.W. and K.A.E.; software, validation, formal analysis, investigation, resources, data curation, writing—review and editing, and visualization, A.M.Q., B.D.S., Y.D., P.K.P., Y.K.M., C.D.W. and K.A.E.; writing—original draft preparation, A.M.Q. and K.A.E. All authors have read and agreed to the published version of the manuscript.
Funding
This research was funded by the National Institute of Neurological Disorders and Stroke, grant number R33NS109521 (C.D.W. and K.A.E.). Portions of this work has been supported by certain funds managed by Deerfield Management Company, L.P. Funding for the WaveFront Biosciences Panoptic and the Syncropatch 768 PE platform was provided by the Office of The Director (OD) of the National Institutes of Health under the award numbers 1S10OD021734 and 1S10OD021734, respectively. These instruments are housed and maintained in the Vanderbilt Institute of Chemical Biology’s High-throughput Screening Center.
Institutional Review Board Statement
Not applicable.
Informed Consent Statement
Not applicable.
Data Availability Statement
Data supporting reported results is available upon request.
Conflicts of Interest
C.D.W. is an owner of WaveFront Biosciences and ION biosciences, makers of the Panoptic plate reader and Thallos, Tl+-sensitive fluorescent indicators used in some of these studies, respectively. The remaining authors declare that the research was conducted in the absence of any commercial or financial relationships that could be construed as a potential conflict of interest. The authors further declare that this study received funding from Deerfield Management Company, L.P. The funder was not involved in the study design, collection, analysis, interpretation of data, the writing of this article or the decision to submit it for publication.
References
- Coppola, G.; Plouin, P.; Chiron, C.; Robain, O.; Dulac, O. Migrating partial seizures in infancy: A malignant disorder with developmental arrest. Epilepsia 1995, 36, 1017–1024. [Google Scholar] [CrossRef] [PubMed]
- Barcia, G.; Fleming, M.R.; Deligniere, A.; Gazula, V.R.; Brown, M.R.; Langouet, M.; Chen, H.; Kronengold, J.; Abhyankar, A.; Cilio, R.; et al. De novo gain-of-function KCNT1 channel mutations cause malignant migrating partial seizures of infancy. Nat. Genet. 2012, 44, 1255–1259. [Google Scholar] [CrossRef] [PubMed]
- McTague, A.; Nair, U.; Malhotra, S.; Meyer, E.; Trump, N.; Gazina, E.V.; Papandreou, A.; Ngoh, A.; Ackermann, S.; Ambegaonkar, G.; et al. Clinical and molecular characterization of KCNT1-related severe early-onset epilepsy. Neurology 2018, 90, e55–e66. [Google Scholar] [CrossRef]
- Cole, B.A.; Clapcote, S.J.; Muench, S.P.; Lippiat, J.D. Targeting K(Na)1.1 channels in KCNT1-associated epilepsy. Trends Pharmacol. Sci. 2021, 42, 700–713. [Google Scholar] [CrossRef] [PubMed]
- Bhattacharjee, A.; Gan, L.; Kaczmarek, L.K. Localization of the Slack potassium channel in the rat central nervous system. J. Comp. Neurol. 2002, 454, 241–254. [Google Scholar] [CrossRef] [PubMed]
- Yuan, A.; Santi, C.M.; Wei, A.; Wang, Z.W.; Pollak, K.; Nonet, M.; Kaczmarek, L.; Crowder, C.M.; Salkoff, L. The sodium-activated potassium channel is encoded by a member of the Slo gene family. Neuron 2003, 37, 765–773. [Google Scholar] [CrossRef] [PubMed]
- Barcia, G.; Chemaly, N.; Kuchenbuch, M.; Eisermann, M.; Gobin-Limballe, S.; Ciorna, V.; Macaya, A.; Lambert, L.; Dubois, F.; Doummar, D.; et al. Epilepsy with migrating focal seizures: KCNT1 mutation hotspots and phenotype variability. Neurol. Genet. 2019, 5, e363. [Google Scholar] [CrossRef]
- Joiner, W.J.; Tang, M.D.; Wang, L.Y.; Dworetzky, S.I.; Boissard, C.G.; Gan, L.; Gribkoff, V.K.; Kaczmarek, L.K. Formation of intermediate-conductance calcium-activated potassium channels by interaction of Slack and Slo subunits. Nat. Neurosci. 1998, 1, 462–469. [Google Scholar] [CrossRef]
- Spitznagel, B.D.; Mishra, N.M.; Qunies, A.a.M.; Prael, F.J.; Du, Y.; Kozek, K.A.; Lazarenko, R.M.; Denton, J.S.; Emmitte, K.A.; Weaver, C.D. VU0606170, a Selective Slack Channels Inhibitor, Decreases Calcium Oscillations in Cultured Cortical Neurons. ACS Chem. Neurosci. 2020, 11, 3658–3671. [Google Scholar] [CrossRef]
- Bhattacharjee, A.; Joiner, W.J.; Wu, M.; Yang, Y.; Sigworth, F.J.; Kaczmarek, L.K. Slick (Slo2.1), a rapidly-gating sodium-activated potassium channel inhibited by ATP. J. Neurosci. 2003, 23, 11681–11691. [Google Scholar] [CrossRef]
- Zhang, Z.; Rosenhouse-Dantsker, A.; Tang, Q.Y.; Noskov, S.; Logothetis, D.E. The RCK2 domain uses a coordination site present in Kir channels to confer sodium sensitivity to Slo2.2 channels. J. Neurosci. 2010, 30, 7554–7562. [Google Scholar] [CrossRef] [PubMed]
- Kaczmarek, L.K. Slack, Slick, and Sodium-Activated Potassium Channels. ISRN Neurosci. 2013, 2013, 354262. [Google Scholar] [CrossRef]
- Rizzo, F.; Ambrosino, P.; Guacci, A.; Chetta, M.; Marchese, G.; Rocco, T.; Soldovieri, M.V.; Manocchio, L.; Mosca, I.; Casara, G.; et al. Characterization of two de novoKCNT1 mutations in children with malignant migrating partial seizures in infancy. Mol. Cell. Neurosci. 2016, 72, 54–63. [Google Scholar] [CrossRef] [PubMed]
- Tang, Q.Y.; Zhang, F.F.; Xu, J.; Wang, R.; Chen, J.; Logothetis, D.E.; Zhang, Z. Epilepsy-Related Slack Channel Mutants Lead to Channel Over-Activity by Two Different Mechanisms. Cell Rep. 2016, 14, 129–139. [Google Scholar] [CrossRef]
- Qunies, A.M.; Mishra, N.M.; Spitznagel, B.D.; Du, Y.; Acuna, V.S.; David Weaver, C.; Emmitte, K.A. Structure-activity relationship studies in a new series of 2-amino-N-phenylacetamide inhibitors of Slack potassium channels. Bioorg Med. Chem. Lett. 2022, 76, 129013. [Google Scholar] [CrossRef]
- Nuwer, M.O.; Picchione, K.E.; Bhattacharjee, A. cAMP-dependent kinase does not modulate the Slack sodium-activated potassium channel. Neuropharmacology 2009, 57, 219–226. [Google Scholar] [CrossRef] [PubMed]
- Kim, G.E.; Kronengold, J.; Barcia, G.; Quraishi, I.H.; Martin, H.C.; Blair, E.; Taylor, J.C.; Dulac, O.; Colleaux, L.; Nabbout, R.; et al. Human Slack Potassium Channel Mutations Increase Positive Cooperativity between Individual Channels. Cell Rep. 2014, 9, 1661–1672. [Google Scholar] [CrossRef]
- Milligan, C.J.; Li, M.; Gazina, E.V.; Heron, S.E.; Nair, U.; Trager, C.; Reid, C.A.; Venkat, A.; Younkin, D.P.; Dlugos, D.J.; et al. KCNT1 gain of function in 2 epilepsy phenotypes is reversed by quinidine. Ann. Neurol. 2014, 75, 581–590. [Google Scholar] [CrossRef]
- Martin, H.C.; Kim, G.E.; Pagnamenta, A.T.; Murakami, Y.; Carvill, G.L.; Meyer, E.; Copley, R.R.; Rimmer, A.; Barcia, G.; Fleming, M.R.; et al. Clinical whole-genome sequencing in severe early-onset epilepsy reveals new genes and improves molecular diagnosis. Hum. Mol. Genet. 2014, 23, 3200–3211. [Google Scholar] [CrossRef]
- Quraishi, I.H.; Mercier, M.R.; McClure, H.; Couture, R.L.; Schwartz, M.L.; Lukowski, R.; Ruth, P.; Kaczmarek, L.K. Impaired motor skill learning and altered seizure susceptibility in mice with loss or gain of function of the Kcnt1 gene encoding Slack (KNa1.1) Na(+)-activated K(+) channels. Sci. Rep. 2020, 10, 3213. [Google Scholar] [CrossRef]
- Heron, S.E.; Smith, K.R.; Bahlo, M.; Nobili, L.; Kahana, E.; Licchetta, L.; Oliver, K.L.; Mazarib, A.; Afawi, Z.; Korczyn, A.; et al. Missense mutations in the sodium-gated potassium channel gene KCNT1 cause severe autosomal dominant nocturnal frontal lobe epilepsy. Nat. Genet. 2012, 44, 1188–1190. [Google Scholar] [CrossRef] [PubMed]
- Ohba, C.; Kato, M.; Takahashi, N.; Osaka, H.; Shiihara, T.; Tohyama, J.; Nabatame, S.; Azuma, J.; Fujii, Y.; Hara, M.; et al. De novo KCNT1 mutations in early-onset epileptic encephalopathy. Epilepsia 2015, 56, e121–e128. [Google Scholar] [CrossRef] [PubMed]
- Brown, M.R.; Kronengold, J.; Gazula, V.R.; Chen, Y.; Strumbos, J.G.; Sigworth, F.J.; Navaratnam, D.; Kaczmarek, L.K. Fragile X mental retardation protein controls gating of the sodium-activated potassium channel Slack. Nat. Neurosci. 2010, 13, 819–821. [Google Scholar] [CrossRef] [PubMed]
- Fleming, M.R.; Brown, M.R.; Kronengold, J.; Zhang, Y.; Jenkins, D.P.; Barcia, G.; Nabbout, R.; Bausch, A.E.; Ruth, P.; Lukowski, R.; et al. Stimulation of Slack K(+) Channels Alters Mass at the Plasma Membrane by Triggering Dissociation of a Phosphatase-Regulatory Complex. Cell Rep. 2016, 16, 2281–2288. [Google Scholar] [CrossRef] [PubMed]
- Moller, R.S.; Heron, S.E.; Larsen, L.H.; Lim, C.X.; Ricos, M.G.; Bayly, M.A.; van Kempen, M.J.; Klinkenberg, S.; Andrews, I.; Kelley, K.; et al. Mutations in KCNT1 cause a spectrum of focal epilepsies. Epilepsia 2015, 56, e114–e120. [Google Scholar] [CrossRef] [PubMed]
- Hansen, N.; Widman, G.; Hattingen, E.; Elger, C.E.; Kunz, W.S. Mesial temporal lobe epilepsy associated with KCNT1 mutation. Seizure 2017, 45, 181–183. [Google Scholar] [CrossRef]
- Routier, L.; Verny, F.; Barcia, G.; Chemaly, N.; Desguerre, I.; Colleaux, L.; Nabbout, R. Exome sequencing findings in 27 patients with myoclonic-atonic epilepsy: Is there a major genetic factor? Clin. Genet. 2019, 96, 254–260. [Google Scholar] [CrossRef] [PubMed]
- Borlot, F.; Abushama, A.; Morrison-Levy, N.; Jain, P.; Puthenveettil Vinayan, K.; Abukhalid, M.; Aldhalaan, H.M.; Almuzaini, H.S.; Gulati, S.; Hershkovitz, T.; et al. KCNT1-related epilepsy: An international multicenter cohort of 27 pediatric cases. Epilepsia 2020, 61, 679–692. [Google Scholar] [CrossRef] [PubMed]
- Quraishi, I.H.; Stern, S.; Mangan, K.P.; Zhang, Y.; Ali, S.R.; Mercier, M.R.; Marchetto, M.C.; McLachlan, M.J.; Jones, E.M.; Gage, F.H.; et al. An Epilepsy-Associated KCNT1 Mutation Enhances Excitability of Human iPSC-Derived Neurons by Increasing Slack KNa Currents. J. Neurosci. 2019, 39, 7438–7449. [Google Scholar] [CrossRef]
- Bearden, D.; Strong, A.; Ehnot, J.; DiGiovine, M.; Dlugos, D.; Goldberg, E.M. Targeted treatment of migrating partial seizures of infancy with quinidine. Ann. Neurol. 2014, 76, 457–461. [Google Scholar] [CrossRef]
- Dilena, R.; DiFrancesco, J.C.; Soldovieri, M.V.; Giacobbe, A.; Ambrosino, P.; Mosca, I.; Galli, M.A.; Guez, S.; Fumagalli, M.; Miceli, F.; et al. Early Treatment with Quinidine in 2 Patients with Epilepsy of Infancy with Migrating Focal Seizures (EIMFS) Due to Gain-of-Function KCNT1 Mutations: Functional Studies, Clinical Responses, and Critical Issues for Personalized Therapy. Neurother. J. Am. Soc. Exp. NeuroTherapeutics 2018, 15, 1112–1126. [Google Scholar] [CrossRef] [PubMed]
- Jia, Y.; Lin, Y.; Li, J.; Li, M.; Zhang, Y.; Hou, Y.; Liu, A.; Zhang, L.; Li, L.; Xiang, P.; et al. Quinidine Therapy for Lennox-Gastaut Syndrome With KCNT1 Mutation. A Case Report and Literature Review. Front. Neurol. 2019, 10, 64. [Google Scholar] [CrossRef] [PubMed]
- Patil, A.A.; Vinayan, K.P.; Roy, A.G. Two South Indian Children with KCNT1-Related Malignant Migrating Focal Seizures of Infancy–Clinical Characteristics and Outcome of Targeted Treatment with Quinidine. Ann. Indian Acad. Neurol. 2019, 22, 311–315. [Google Scholar] [CrossRef] [PubMed]
- Passey, C.C.; Erramouspe, J.; Castellanos, P.; O’Donnell, E.C.; Denton, D.M. Concurrent Quinidine and Phenobarbital in the Treatment of a Patient with 2 KCNT1 Mutations. Curr. Ther. Res. Clin. Exp. 2019, 90, 106–108. [Google Scholar] [CrossRef] [PubMed]
- El Kosseifi, C.; Cornet, M.-C.; Cilio, M.R. Neonatal Developmental and Epileptic Encephalopathies. Semin. Pediatr. Neurol. 2019, 32, 100770. [Google Scholar] [CrossRef] [PubMed]
- Yoshitomi, S.; Takahashi, Y.; Yamaguchi, T.; Oboshi, T.; Horino, A.; Ikeda, H.; Imai, K.; Okanishi, T.; Nakashima, M.; Saitsu, H.; et al. Quinidine therapy and therapeutic drug monitoring in four patients with KCNT1 mutations. Epileptic Disord. Int. Epilepsy J. Videotape 2019, 21, 48–54. [Google Scholar] [CrossRef] [PubMed]
- Baell, J.B.; Holloway, G.A. New substructure filters for removal of pan assay interference compounds (PAINS) from screening libraries and for their exclusion in bioassays. J. Med. Chem. 2010, 53, 2719–2740. [Google Scholar] [CrossRef] [PubMed]
- Aldrich, C.; Bertozzi, C.; Georg, G.I.; Kiessling, L.; Lindsley, C.; Liotta, D.; Merz, K.M., Jr.; Schepartz, A.; Wang, S. The Ecstasy and Agony of Assay Interference Compounds. ACS Cent. Sci. 2017, 3, 143–147. [Google Scholar] [CrossRef] [PubMed]
- Baell, J.; Walters, M.A. Chemistry: Chemical con artists foil drug discovery. Nature 2014, 513, 481–483. [Google Scholar] [CrossRef]
- Cole, B.A.; Johnson, R.M.; Dejakaisaya, H.; Pilati, N.; Fishwick, C.W.G.; Muench, S.P.; Lippiat, J.D. Structure-Based Identification and Characterization of Inhibitors of the Epilepsy-Associated K(Na)1.1 (KCNT1) Potassium Channel. iScience 2020, 23, 101100. [Google Scholar] [CrossRef]
- Griffin, A.M.; Kahlig, K.M.; Hatch, R.J.; Hughes, Z.A.; Chapman, M.L.; Antonio, B.; Marron, B.E.; Wittmann, M.; Martinez-Botella, G. Discovery of the First Orally Available, Selective KNa1.1 Inhibitor: In Vitro and In Vivo Activity of an Oxadiazole Series. ACS Med. Chem. Lett. 2021, 12, 593–602. [Google Scholar] [CrossRef]
- Qunies, A.M.; Emmitte, K.A. Small-molecule inhibitors of Slack potassium channels as potential therapeutics for childhood epilepsies. Pharm. Pat. Anal. 2022, 11, 45–56. [Google Scholar] [CrossRef]
- Burbano, L.E.; Li, M.; Jancovski, N.; Jafar-Nejad, P.; Richards, K.; Sedo, A.; Soriano, A.; Rollo, B.; Jia, L.; Gazina, E.V.; et al. Antisense oligonucleotide therapy for KCNT1 encephalopathy. JCI Insight 2022, 7, e146090. [Google Scholar] [CrossRef] [PubMed]
- Martinez Botella, G.; Griffin, A.M.; Charifson, P.S.; Reddy, K.; Kahlig, M.K.M.; Marron, B.E. KCNT1 Inhibitors and Methods of Use. WO 2020/227097 A1, 11 December 2020. [Google Scholar]
- Weaver, C.D. Thallium Flux Assay for Measuring the Activity of Monovalent Cation Channels and Transporters. Methods Mol. Biol. 2018, 1684, 105–114. [Google Scholar] [CrossRef]
- Pacico, N.; Mingorance-Le Meur, A. New in vitro phenotypic assay for epilepsy: Fluorescent measurement of synchronized neuronal calcium oscillations. PLoS ONE 2014, 9, e84755. [Google Scholar] [CrossRef] [PubMed]
- Qunies, A.M.; Spitznagel, B.D.; Du, Y.; David Weaver, C.; Emmitte, K.A. Design, synthesis, and biological evaluation of a novel series of 1,2,4-oxadiazole inhibitors of SLACK potassium channels: Identification of in vitro tool VU0935685. Bioorg Med. Chem. 2023, 95, 117487. [Google Scholar] [CrossRef] [PubMed]
- Liu, X.; Smith, B.J.; Chen, C.; Callegari, E.; Becker, S.L.; Chen, X.; Cianfrogna, J.; Doran, A.C.; Doran, S.D.; Gibbs, J.P.; et al. Evaluation of cerebrospinal fluid concentration and plasma free concentration as a surrogate measurement for brain free concentration. Drug Metab. Dispos. 2006, 34, 1443–1447. [Google Scholar] [CrossRef]
- Frampton, M.; Harvey, R.J.; Kirchner, V. Propentofylline for dementia. Cochrane Database Syst. Rev. 2003, CD002853. [Google Scholar] [CrossRef] [PubMed]
- Cui, M.; Bai, X.; Li, T.; Chen, F.; Dong, Q.; Zhao, Y.; Liu, X. Decreased extracellular adenosine levels lead to loss of hypoxia-induced neuroprotection after repeated episodes of exposure to hypoxia. PLoS ONE 2013, 8, e57065. [Google Scholar] [CrossRef]
- Muller, T. The role of istradefylline in the Parkinson’s disease armamentarium. Expert. Opin. Pharmacother. 2023, 24, 863–871. [Google Scholar] [CrossRef]
- Lipinski, C.A.; Lombardo, F.; Dominy, B.W.; Feeney, P.J. Experimental and computational approaches to estimate solubility and permeability in drug discovery and development settings. Adv. Drug Deliv. Rev. 2001, 46, 3–26. [Google Scholar] [CrossRef] [PubMed]
- Kelder, J.; Grootenhuis, P.D.; Bayada, D.M.; Delbressine, L.P.; Ploemen, J.P. Polar molecular surface as a dominating determinant for oral absorption and brain penetration of drugs. Pharm. Res. 1999, 16, 1514–1519. [Google Scholar] [CrossRef] [PubMed]
- Veber, D.F.; Johnson, S.R.; Cheng, H.Y.; Smith, B.R.; Ward, K.W.; Kopple, K.D. Molecular properties that influence the oral bioavailability of drug candidates. J. Med. Chem. 2002, 45, 2615–2623. [Google Scholar] [CrossRef]
- Gupta, M.; Lee, H.J.; Barden, C.J.; Weaver, D.F. The Blood-Brain Barrier (BBB) Score. J. Med. Chem. 2019, 62, 9824–9836. [Google Scholar] [CrossRef]
- Wolkenberg, S.E.; Shipe, W.D.; Lindsley, C.W.; Guare, J.P.; Pawluczyk, J.M. Applications of microwave-assisted organic synthesis on the multigram scale. Curr. Opin. Drug Discov. Devel 2005, 8, 701–708. [Google Scholar] [CrossRef]
- Chinchilla, R.; Najera, C. The Sonogashira reaction: A booming methodology in synthetic organic chemistry. Chem. Rev. 2007, 107, 874–922. [Google Scholar] [CrossRef]
- Furuya, T.; Kamlet, A.S.; Ritter, T. Catalysis for fluorination and trifluoromethylation. Nature 2011, 473, 470–477. [Google Scholar] [CrossRef] [PubMed]
- Jagodzinska, M.; Huguenot, F.; Candiani, G.; Zanda, M. Assessing the bioisosterism of the trifluoromethyl group with a protease probe. ChemMedChem 2009, 4, 49–51. [Google Scholar] [CrossRef] [PubMed]
- Kozek, K.A.; Du, Y.; Sharma, S.; Prael, F.J., 3rd; Spitznagel, B.D.; Kharade, S.V.; Denton, J.S.; Hopkins, C.R.; Weaver, C.D. Discovery and Characterization of VU0529331, a Synthetic Small-Molecule Activator of Homomeric G Protein-Gated, Inwardly Rectifying, Potassium (GIRK) Channels. ACS Chem. Neurosci. 2019, 10, 358–370. [Google Scholar] [CrossRef]
- Misonou, H.; Mohapatra, D.P.; Trimmer, J.S. Kv2.1: A voltage-gated k+ channel critical to dynamic control of neuronal excitability. Neurotoxicology 2005, 26, 743–752. [Google Scholar] [CrossRef]
- Saitsu, H.; Akita, T.; Tohyama, J.; Goldberg-Stern, H.; Kobayashi, Y.; Cohen, R.; Kato, M.; Ohba, C.; Miyatake, S.; Tsurusaki, Y.; et al. De novo KCNB1 mutations in infantile epilepsy inhibit repetitive neuronal firing. Sci. Rep. 2015, 5, 15199. [Google Scholar] [CrossRef] [PubMed]
- Shore, A.N.; Colombo, S.; Tobin, W.F.; Petri, S.; Cullen, E.R.; Dominguez, S.; Bostick, C.D.; Beaumont, M.A.; Williams, D.; Khodagholy, D.; et al. Reduced GABAergic Neuron Excitability, Altered Synaptic Connectivity, and Seizures in a KCNT1 Gain-of-Function Mouse Model of Childhood Epilepsy. Cell Rep. 2020, 33, 108303. [Google Scholar] [CrossRef]
- Gertler, T.S.; Cherian, S.; DeKeyser, J.M.; Kearney, J.A.; George, A.L., Jr. K(Na)1.1 gain-of-function preferentially dampens excitability of murine parvalbumin-positive interneurons. Neurobiol. Dis. 2022, 168, 105713. [Google Scholar] [CrossRef] [PubMed]
- Hill, S.F.; Jafar-Nejad, P.; Rigo, F.; Meisler, M.H. Reduction of Kcnt1 is therapeutic in mouse models of SCN1A and SCN8A epilepsy. Front. Neurosci. 2023, 17, 1282201. [Google Scholar] [CrossRef] [PubMed]
- Kaufmann, K.; Romaine, I.; Days, E.; Pascual, C.; Malik, A.; Yang, L.; Zou, B.; Du, Y.; Sliwoski, G.; Morrison, R.D.; et al. ML297 (VU0456810), the first potent and selective activator of the GIRK potassium channel, displays antiepileptic properties in mice. ACS Chem. Neurosci. 2013, 4, 1278–1286. [Google Scholar] [CrossRef]
- Gertler, T.S.; Thompson, C.H.; Vanoye, C.G.; Millichap, J.J.; George, A.L., Jr. Functional consequences of a KCNT1 variant associated with status dystonicus and early-onset infantile encephalopathy. Ann. Clin. Transl. Neurol. 2019, 6, 1606–1615. [Google Scholar] [CrossRef]
Disclaimer/Publisher’s Note: The statements, opinions and data contained in all publications are solely those of the individual author(s) and contributor(s) and not of MDPI and/or the editor(s). MDPI and/or the editor(s) disclaim responsibility for any injury to people or property resulting from any ideas, methods, instructions or products referred to in the content. |
© 2024 by the authors. Licensee MDPI, Basel, Switzerland. This article is an open access article distributed under the terms and conditions of the Creative Commons Attribution (CC BY) license (https://creativecommons.org/licenses/by/4.0/).












