Universal 1H Spin–Lattice NMR Relaxation Features of Sugar—A Step towards Quality Markers
Abstract
1. Introduction
2. Results
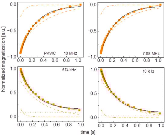
2.1. TD NMR Experiments
2.2. FFC NMR Data
3. Discussion
4. Materials and Methods
4.1. Origin and Type of Samples
4.2. Experimental Details
5. Conclusions
Author Contributions
Funding
Data Availability Statement
Conflicts of Interest
Appendix A




Appendix B














References
- Asadi, M. Beet-Sugar Handbook; John Wiley & Sons: Hoboken, NJ, USA, 2007. [Google Scholar]
- Duraisam, R.; Salelgn, K.; Berekete, A.K. Production of beet sugar and bio-ethanol from sugar beet and it bagasse: A review. Int. J. Eng. Trends Technol. 2017, 43, 222–233. [Google Scholar] [CrossRef]
- Urbanus, B.L.; Cox, G.O.; Eklund, E.J.; Ickes, C.M.; Schmidt, S.J.; Lee, S.Y. Sensory differences between beet and cane sugar sources. J. Food Sci. 2014, 79, S1763–S1768. [Google Scholar] [CrossRef] [PubMed]
- Bachmann, R.; Horns, A.L.; Paasch, N.; Schrieck, R.; Weidner, M.; Fransson, I.; Schrör, J.-P. Minor metabolites as chemical marker for the differentiation of cane, beet and coconut blossom sugar. From profiling towards identification of adulterations. Food Control 2022, 135, 108832. [Google Scholar] [CrossRef]
- ISO. The Sugar Market. International Sugar Organization. 2022. Available online: https://www.isosugar.org/sugarsector/sugar (accessed on 15 January 2024).
- Srivastava, A.K.; Rai, M.K. Sugarcane production: Impact of climate change and its mitigation. Biodivers. J. Biol. Divers. 2012, 13, 407. [Google Scholar] [CrossRef]
- Sage, R.F.; Sage, T.L.; Kocacinar, F. Photorespiration and the evolution of C4 photosynthesis. Annu. Rev. Plant Biol. 2012, 63, 19–47. [Google Scholar] [CrossRef]
- Wang, L.; Czedik-Eysenberg, A.; Mertz, R.A.; Si, Y.; Tohge, T.; Nunes-Nesi, A.; Arrivault, S.; Dedow, L.K.; Bryant, D.W.; Zhou, W.; et al. Comparative analyses of C4 and C3 photosynthesis in developing leaves of maize and rice. Nat. Biotechnol. 2014, 32, 1158–1165. [Google Scholar] [CrossRef]
- Cotton, R.; Rebers, P.; Maudru, J.; Rorabaugh, G. The Role of Sugar in the Food Industry; ACS Publications: Washington, DC, USA, 1955. [Google Scholar]
- Eggleston, G. Positive aspects of cane sugar and sugar cane derived products in food and nutrition. J. Agric. Food Chem. 2018, 66, 4007–4012. [Google Scholar] [CrossRef] [PubMed]
- Eriklioglu, H.; Ilhan, E.; Khodasevich, M.; Korolko, D.; Manley, M.; Castillo, R.; Oztop, M.H. Classification and quantifi-cation of sucrose from sugar beet and sugarcane using optical spectroscopy and chemometrics. J. Food Sci. 2023, 88, 3274–3286. [Google Scholar] [CrossRef]
- Godshall, M.A.; Vercellotti, J.R.; Triche, R. Comparison of cane and beet sugar macromolecules in processing. Int. Sugar J. 2002, 104, 228–233. Available online: https://eurekamag.com/research/003/686/003686969.php (accessed on 15 January 2024).
- Sturrock, F. Sugar beet or sugar cane. J. Agric. Econ. 1969, 20, 125–131. [Google Scholar] [CrossRef]
- Chartrand, M.M.; Mester, Z. Carbon isotope measurements of foods containing sugar: A survey. Food Chem. 2019, 300, 125106. [Google Scholar] [CrossRef]
- Eggleston, G.; Pollach, G.; Triche, R. Differentiating cane white sugar from beet white sugar using ion chromatography profiles. Pap. Present. SPRI Conf. Sugar Process. Res. 2004, 33, 63–65. [Google Scholar]
- Morel Du Boil, P.G. Theanderose: Distinguishing cane and beet sugars. Int. Sugar J. 1997, 99, 102–106. [Google Scholar]
- Kruk, D.; Masiewicz, E.; Wojciechowski, M.; Florek-Wojciechowska, M.; Broche, L.M.; Lurie, D.J. Slow dynamics of solid proteins—Nuclear magnetic resonance relaxometry versus dielectric spectroscopy. J. Magn. Reason. 2020, 314, 106721. [Google Scholar] [CrossRef]
- Kruk, D.; Rochowski, P.; Masiewicz, E.; Wilczyński, S.; Wojciechowski, M.; Broche, L.M.; Lurie, D.J. Mechanism of Water Dynamics in Hyaluronic Dermal Fillers Revealed by Nuclear Magnetic Resonance Relaxometry. ChemPhysChem 2019, 20, 2816–2822. [Google Scholar] [CrossRef] [PubMed]
- Kruk, D.; Wojciechowski, M.; Florek-Wojciechowska, M.; Singh, R.K. Dynamics of Ionic Liquids in Confinement by Means of NMR Relaxometry—EMIM-FSI in a Silica Matrix as an Example. Materials 2020, 13, 4351. Available online: https://www.mdpi.com/1996-1944/13/19/4351 (accessed on 15 January 2024). [CrossRef]
- Masiewicz, E.; Ashcroft, G.P.; Boddie, D.; Dundas, S.R.; Kruk, D.; Broche, L.M. Towards applying NMR relaxometry as a diagnostic tool for bone and soft tissue sarcomas: A pilot study. Sci. Rep. 2020, 10, 14207. [Google Scholar] [CrossRef]
- Ates, E.G.; Domenici, V.; Florek-Wojciechowska, M.; Gradišek, A.; Kruk, D.; Maltar-Strmečki, N.; Rollet, A.-L. Field-dependent NMR relaxometry for Food Science: Applications and perspectives. Trends Food Sci. 2021, 110, 513–524. [Google Scholar] [CrossRef]
- Kruk, D.; Florek—Wojciechowska, M.; Masiewicz, E.; Oztop, M.; Ploch-Jankowska, A.; Duda, P.; Wilczynski, S. Water mobility in cheese by means of Nuclear Magnetic Resonance relaxometry. J. Food Eng. 2021, 298, 110483. [Google Scholar] [CrossRef]
- Kruk, D.; Masiewicz, E.; Budny, J.; Kolodziejski, K.; Zulewska, J.; Wieczorek, Z. Relationship between macroscopic properties of honey and molecular dynamics—Temperature effects. J. Food Eng. 2022, 314, 110782. [Google Scholar] [CrossRef]
- Kruk, D.; Masiewicz, E.; Budny, J.; Stankiewicz, A.; Lotarska, S.; Oztop, M.; Wieczorek, Z. Diffusion in oils versus their viscosity—Insight from Nuclear Magnetic Resonance relaxometry. J. Food Eng. 2022, 317, 110848. [Google Scholar] [CrossRef]
- Ozel, B.; Kruk, D.; Wojciechowski, M.; Osuch, M.; Oztop, M.H. Water Dynamics in Whey-Protein-Based Composite Hydrogels by Means of NMR Relaxometry. Int. J. Mol. Sci. 2021, 22, 9672. Available online: https://www.mdpi.com/1422-0067/22/18/9672 (accessed on 15 January 2024). [CrossRef] [PubMed]
- Umut, E.; Beira, M.J.; Oztop, M.H.; Sahiner, N.; Sebastião, P.J.; Kruk, D. Water Dynamics in Dextran-Based Hydrogel Micro/Nanoparticles Studied by NMR Diffusometry and Relaxometry. JPC B 2023, 127, 8950–8960. [Google Scholar] [CrossRef] [PubMed]
- Kruk, D.; Grunin, L.; Stankiewicz, A.; Kołodziejski, K.; Ilhan, E.; Oztop, M.H. Molecular Dynamics of Jelly Candies by Means of Nuclear Magnetic Resonance Relaxometry. Molecules 2023, 28, 2230. Available online: https://www.mdpi.com/1420-3049/28/5/2230 (accessed on 15 January 2024). [CrossRef] [PubMed]
- Berk, B.; Cavdaroglu, C.; Grunin, L.; Ardelean, I.; Kruk, D.; Mazi, B.G.; Oztop, M.H. Use of magic sandwich echo and fast field cycling NMR relaxometry on honey adulteration with corn syrup. J. Sci. Food Agric. 2022, 102, 2667–2675. [Google Scholar] [CrossRef] [PubMed]
- Ribeiro, R.D.O.R.; Mársico, E.T.; da Silva Carneiro, C.; Monteiro, M.L.G.; Júnior, C.C.; de Jesus, E.F.O. Detection of honey adulteration of high fructose corn syrup by Low Field Nuclear Magnetic Resonance (LF 1H NMR). J. Food Eng. 2014, 135, 39–43. [Google Scholar] [CrossRef]
- Zhang, Q.; Saleh AS, M.; Shen, Q. Discrimination of Edible Vegetable Oil Adulteration with Used Frying Oil by Low Field Nuclear Magnetic Resonance. Food Bioprocess Technol. 2013, 6, 2562–2570. [Google Scholar] [CrossRef]
- Santos, P.M.; Pereira-Filho, E.R.; Colnago, L.A. Detection and quantification of milk adulteration using time domain nuclear magnetic resonance (TD-NMR). Microchem. J. 2016, 124, 15–19. [Google Scholar] [CrossRef]
- Chen, Y.P.; Zou, M.Q.; Qi, C.; Xie, M.-X.; Wang, D.-N.; Wang, Y.-F.; Xue, Q.; Li, J.-F.; Chen, Y. Immunosensor based on magnetic relaxation switch and biotin–streptavidin system for the detection of Kanamycin in milk. Biosens. Bioelectron. 2013, 39, 112–117. [Google Scholar] [CrossRef]
- Välimaa, A.-L.; Tilsala-Timisjärvi, A.; Virtanen, E. Rapid detection and identification methods for Listeria monocytogenes in the food chain—A review. Food Control 2015, 55, 103–114. [Google Scholar] [CrossRef]
- Colnago, L.A.; Azeredo, R.B.; Marchi Netto, A.; Andrade, F.D.; Venâncio, T. Rapid analyses of oil and fat content in agri-food products using continuous wave free precession time domain NMR. Magn. Reason. Chem. 2011, 49 (Suppl. S1), S113–S120. [Google Scholar] [CrossRef] [PubMed]
- Alekseev, G.V.; Khripov, A.A. Method of Rapid Remote Control of Casein Concentration in Dairy Products in Unopened Packages. J. Food Process Eng. 2015, 38, 11–18. [Google Scholar] [CrossRef]
- Pereira FM, V.; Colnago, L.A. Determination of the Moisture Content in Beef Without Weighing Using Benchtop Time-Domain Nuclear Magnetic Resonance Spectrometer and Chemometrics. Food Anal. Methods 2012, 5, 1349–1353. [Google Scholar] [CrossRef]
- Köysüren, B.; Oztop, M.; Theodoridis, G. Characterization of almond varieties from different regions of Greece during two harvesting years by HS-SPME/GC-MS and TD NMR Relaxometry analyses. Planta Medica 2022, 88, 1458. [Google Scholar]
- Tas, O.; Ertugrul, U.; Grunin, L.; Oztop, M.H. Investigation of the Hydration Behavior of Different Sugars by Time Domain-NMR. Foods 2022, 11, 1148. Available online: https://www.mdpi.com/2304-8158/11/8/1148 (accessed on 15 January 2024). [CrossRef]




| Sample | [s−1] | [s−1] | [s−1] | |
|---|---|---|---|---|
| DEBC | 0.49 ± 0.01 | 16.9 ± 8.2 | 13.6 ± 0.9 | 0.50 ± 0.01 |
| DEWB | 0.46 ± 0.01 | 26.3 ± 2.6 | 12.9 ± 0.7 | 0.45 ± 0.02 |
| ITBC | 0.43 ± 0.02 | 34.9 ± 4.6 | 11.6 ± 2.1 | 0.50 ± 0.02 |
| ITWC | 0.42 ± 0.02 | 15.7 ± 5.6 | 13.2 ± 1.4 | 0.50 ± 0.01 |
| PKWC | 0.45 ± 0.01 | 17.7 ± 2.6 | 14.6 ± 0.9 | 0.48 ± 0.03 |
| PLWB (1) | 0.39 ± 0.02 | 18.1 ± 5.8 | 12.7 ± 1.3 | 0.49 ± 0.02 |
| PLWB (2) | 0.41 ± 0.02 | 18.9 ± 8.1 | 13.3 ± 1.6 | 0.50 ± 0.01 |
| PLWB (3) | 0.39 ± 0.01 | 33.9 ± 9.6 | 16.1 ± 1.8 | 0.47 ± 0.02 |
| PTBC | 0.44 ± 0.02 | 22.9 ± 4.7 | 6.3 ± 0.8 | 0.59 ± 0.07 |
| PTWC | 0.36 ± 0.02 | 8.60 ± 2.6 | 10.9 ± 1.2 | 0.46 ± 0.02 |
| ROW | 0.39 ± 0.01 | 16.6 ± 5.9 | 19.6 ± 1.7 | 0.46 ± 0.01 |
| RSWB (1) | 0.42 ± 0.01 | 16.1 ± 5.8 | 15.2 ± 1.5 | 0.51 ± 0.01 |
| RSWB (2) | 0.39 ± 0.02 | 14.7 ± 5.0 | 9.0 ± 1.1 | 0.51 ± 0.02 |
| RSWB (3) | 0.38 ± 0.01 | 26.5 ± 8.9 | 12.9 ± 1.4 | 0.47 ± 0.01 |
| TRWB | 0.40 ± 0.01 | 17.1 ± 4.4 | 13.2 ± 1.2 | 0.47 ± 0.02 |
| Sample | [s−1] | [s−1] | [s−1] | |
|---|---|---|---|---|
| DEBC | 3.47 ± 0.18 | 17.08 ± 0.92 | 3.57 ± 0.60 | 4.96 ± 0.20 |
| DEWB | 2.52 ± 0.09 | 15.99 ± 0.54 | 2.81 ± 0.70 | 4.69 ± 0.11 |
| ITBC | 2.74 ± 0.09 | 16.03 ± 0.66 | 4.06 ± 0.58 | 4.16 ± 0.17 |
| ITWC | 2.17 ± 0.09 | 13.52 ± 0.62 | 2.43 ± 0.75 | 3.88 ± 0.17 |
| PKWC | 2.61 ± 0.10 | 15.55 ± 0.55 | 4.15 ± 0.89 | 4.01 ± 0.17 |
| PLWB (1) | 2.49 ± 0.06 | 15.61 ± 0.42 | 3.40 ± 0.43 | 4.33 ± 0.23 |
| PLWB (2) | 2.36 ± 0.08 | 14.96 ± 0.70 | 2.80 ± 0.73 | 4.43 ± 0.26 |
| PLWB (3) | 2.23 ± 0.12 | 13.37 ± 0.70 | 2.35 ± 0.41 | 4.49 ± 0.24 |
| PTBC | 2.42 ± 0.12 | 14.05 ± 0.70 | 3.90 ± 0.66 | 3.67 ± 0.15 |
| PTWC | 2.09 ± 0.13 | 13.07 ± 0.57 | 2.88 ± 0.20 | 3.94 ± 0.10 |
| ROW | 2.39 ± 0.07 | 15.37 ± 0.60 | 2.84 ± 0.37 | 4.65 ± 0.29 |
| RSWB (1) | 2.10 ± 0.09 | 13.06 ± 0.63 | 3.15 ± 0.54 | 3.94 ± 0.06 |
| RSWB (2) | 2.49 ± 0.13 | 15.28 ± 0.47 | 3.59 ± 0.65 | 4.17 ± 0.17 |
| RSWB (3) | 2.15 ± 0.12 | 13.61 ± 0.59 | 2.76 ± 0.73 | 3.94 ± 0.06 |
| TRWB | 2.44 ± 0.08 | 15.72 ± 0.53 | 3.15 ± 0.52 | 4.67 ± 0.11 |
| Category | Crystal Sugar | Sugar/Water Mixture | |||
|---|---|---|---|---|---|
| [s−1] | [s−1] | [s−1] | [s−1] | ||
| brown, cane sugar | 0.53 ± 0.03 | 2.88 ± 0.54 | 15.7 ± 1.5 | 3.84 ± 0.25 | 4.26 ± 0.66 |
| white sugar | 0.48 ± 0.02 | 2.34 ± 0.18 | 14.6 ± 1.2 | 3.03 ± 0.50 | 4.26 ± 0.32 |
| white, cane sugar | 0.48 ± 0.02 | 2.29 ± 0.28 | 14.0 ± 1.3 | 3.15 ± 0.89 | 3.94 ± 0.07 |
| white, beet sugar | 0.49 ± 0.02 | 2.35 ± 0.17 | 14.7 ± 1.2 | 3.00 ± 0.40 | 4.33 ± 0.30 |
| Sr. No. | Country | Sample Code | Brand Label | |
|---|---|---|---|---|
| Type | Source | |||
| 1 | Germany | DEBC | brown sugar | cane sugar |
| 2 | DEWB | white sugar | beet sugar | |
| 3 | Italy | ITBC | brown sugar | cane sugar |
| 4 | ITWC | white sugar | cane sugar | |
| 5 | Pakistan | PKWC | white sugar | cane sugar |
| 6 | Poland | PLWB (1) | white sugar | beet sugar |
| 7 | PLWB (2) | white sugar | beet sugar | |
| 8 | PLWB (3) | white sugar | beet sugar | |
| 9 | Portugal | PTBC | brown sugar | cane sugar |
| 10 | PTWC | white sugar | cane sugar | |
| 11 | Romania | ROW | white sugar | unknown |
| 12 | Serbia | RSWB (1) | white sugar | beet sugar |
| 13 | RSWB (2) | white sugar | beet sugar | |
| 14 | RSWB (3) | white sugar | beet sugar | |
| 15 | Turkey | TRWB | white sugar | beet sugar |
Disclaimer/Publisher’s Note: The statements, opinions and data contained in all publications are solely those of the individual author(s) and contributor(s) and not of MDPI and/or the editor(s). MDPI and/or the editor(s) disclaim responsibility for any injury to people or property resulting from any ideas, methods, instructions or products referred to in the content. |
© 2024 by the authors. Licensee MDPI, Basel, Switzerland. This article is an open access article distributed under the terms and conditions of the Creative Commons Attribution (CC BY) license (https://creativecommons.org/licenses/by/4.0/).
Share and Cite
Fakhar, H.I.; Kasparek, A.; Kolodziejski, K.; Grunin, L.; Öztop, M.H.; Hayat, M.Q.; Janjua, H.A.; Kruk, D. Universal 1H Spin–Lattice NMR Relaxation Features of Sugar—A Step towards Quality Markers. Molecules 2024, 29, 2422. https://doi.org/10.3390/molecules29112422
Fakhar HI, Kasparek A, Kolodziejski K, Grunin L, Öztop MH, Hayat MQ, Janjua HA, Kruk D. Universal 1H Spin–Lattice NMR Relaxation Features of Sugar—A Step towards Quality Markers. Molecules. 2024; 29(11):2422. https://doi.org/10.3390/molecules29112422
Chicago/Turabian StyleFakhar, Hafiz Imran, Adam Kasparek, Karol Kolodziejski, Leonid Grunin, Mecit Halil Öztop, Muhammad Qasim Hayat, Hussnain A. Janjua, and Danuta Kruk. 2024. "Universal 1H Spin–Lattice NMR Relaxation Features of Sugar—A Step towards Quality Markers" Molecules 29, no. 11: 2422. https://doi.org/10.3390/molecules29112422
APA StyleFakhar, H. I., Kasparek, A., Kolodziejski, K., Grunin, L., Öztop, M. H., Hayat, M. Q., Janjua, H. A., & Kruk, D. (2024). Universal 1H Spin–Lattice NMR Relaxation Features of Sugar—A Step towards Quality Markers. Molecules, 29(11), 2422. https://doi.org/10.3390/molecules29112422

