Extraction and Biological Activity of Lignanoids from Magnolia officinalis Rehder & E.H.Wilson Residual Waste Biomass Using Deep Eutectic Solvents
Abstract
1. Introduction
2. Results and Discussion
2.1. Optimal DES System for Lignanoid Extraction
2.2. Single-Factor Investigation of the Extraction Process
2.3. Response Surface Methodology (RSM) Optimization of Extraction Conditions
2.3.1. Model Analysis
2.3.2. Determination and Verification of Optimal Condition
2.4. Extraction Kinetics
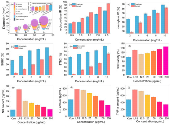
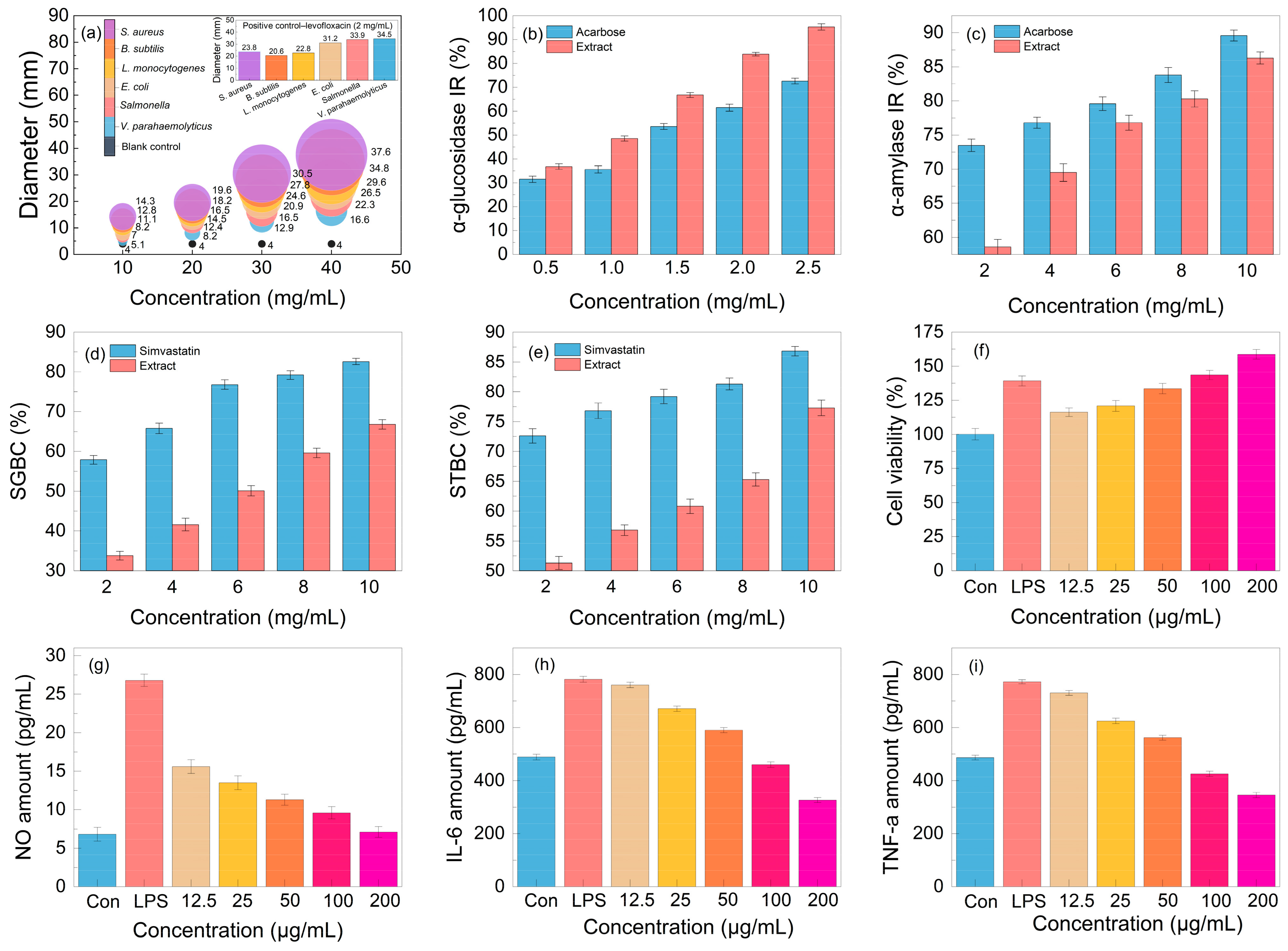
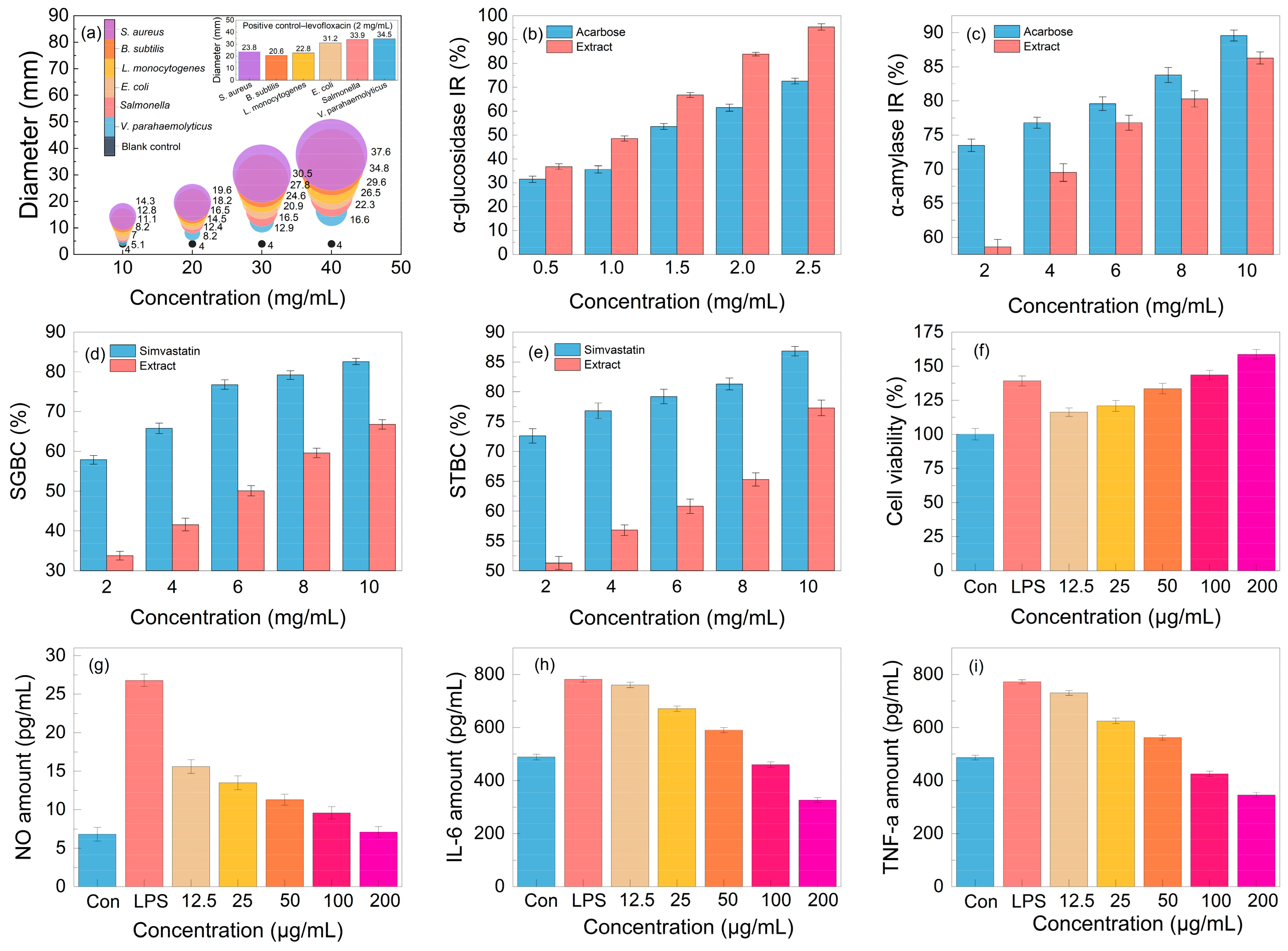
2.5. The Biological Activity
2.5.1. The Antioxidant Activity
2.5.2. The Antibacterial Activity
2.5.3. The In Vitro Hypoglycemic and Hypolipidemic Activity
2.5.4. The Immunomodulatory and Anti-Inflammatory Activity
2.6. Correlation Analysis
3. Material and Methods
3.1. Raw Materials and Chemicals
3.2. Preparation of Deep Eutectic Solvents
3.3. Characterization of MORs before and after Extraction
3.4. Selection of Optimal DES for Lignanoid Extraction
3.5. Selection of Optimal DESs: Single-Factor Experiment Design
3.6. HPLC Measurement and Analysis
3.7. Response Surface Optimization Design of Experiments
3.8. Extraction Kinetic Models
3.9. Data Analysis
3.10. The Biological Activity Test
4. Conclusions
Supplementary Materials
Author Contributions
Funding
Institutional Review Board Statement
Informed Consent Statement
Data Availability Statement
Acknowledgments
Conflicts of Interest
References
- Ma, H.; Li, H.; Zhang, F.; Wang, Q.; Tu, M. Effects of nitrogen substitute and Hypericum perforatum extract on the ethanol fermentation of traditional Chinese medicine dregs. Ind. Crops Prod. 2019, 128, 385–390. [Google Scholar] [CrossRef]
- Woumbo, C.Y.; Kuate, D.; Klang, M.J.; Womeni, H.M.; Feregrino-Perez, A.A. Valorization of Glycine max (Soybean) Seed Waste: Optimization of the Microwave-Assisted Extraction (MAE) and Characterization of Polyphenols from Soybean Meal Using Response Surface Methodology (RSM). J. Chem. 2021, 2021, 4869909. [Google Scholar] [CrossRef]
- Fontana, R.; Mattioli, L.B.; Biotti, G.; Budriesi, R.; Gotti, R.; Micucci, M.; Corazza, I.; Marconi, P.; Frosini, M.; Manfredini, S.; et al. Magnolia officinalis L. bark extract and respiratory diseases: From traditional Chinese medicine to western medicine via network target. Phytother. Res. 2023, 37, 2915. [Google Scholar] [CrossRef] [PubMed]
- Yang, Y.; Li, Z.; Zong, H.; Liu, S.; Du, Q.; Wu, H.; Li, Z.; Wang, X.; Huang, L.; Lai, C.; et al. Identification and Validation of Magnolol Biosynthesis Genes in Magnolia officinalis. Molecules 2024, 29, 587. [Google Scholar] [CrossRef] [PubMed]
- Xie, C.; Hu, W.Y.; Gan, L.L.; Fu, B.X.; Zhao, X.J.; Tang, D.F.; Liao, R.X.; Ye, L. Sulfation and Its Effect on the Bioactivity of Magnolol, the Main Active Ingredient of Magnolia officinalis. Metabolites 2022, 12, 870. [Google Scholar] [CrossRef] [PubMed]
- Niu, L.; Wang, S.L.; Xu, Y.Y.; Zu, X.W.; You, X.Y.; Zhang, Q.Y.; Zhuang, P.W.; Jiang, M.; Gao, J.; Hou, X.T.; et al. Honokiol targeting ankyrin repeat domain of TRPV4 ameliorates endothelial permeability in mice inflammatory bowel disease induced by DSS. J. Ethnopharmacol. 2024, 325, 117825. [Google Scholar] [CrossRef] [PubMed]
- Ni, H.F.; Cai, X.Y.; Qiu, X.; Liu, L.; Ma, X.; Wan, L.; Ye, H.Y.; Chen, L.J. Biphenyl-type neolignans from stem bark of Magnolia officinalis with potential anti-tumor activity. Fitoterapia 2020, 147, 104769. [Google Scholar] [CrossRef] [PubMed]
- Lai, Y.H.; Liu, W.L.; Lee, T.Y.; Kuo, C.W.; Liu, Y.R.; Huang, C.Y.; Chen, Y.H.; Chen, I.L.; Wu, S.H.; Wang, S.C.; et al. Magnolol regulates miR-200c-3p to inhibit epithelial-mesenchymal transition and retinoblastoma progression by modulating the ZEB1/E-cadherin axis in vitro and in vivo. Phytomedicine 2023, 110, 154597. [Google Scholar] [CrossRef] [PubMed]
- Xu, J.W.; Xu, H. Magnolol: Chemistry and biology. Ind. Crop. Prod. 2023, 205, 117493. [Google Scholar] [CrossRef]
- Dai, X.L.; Xie, L.; Liu, K.; Liang, Y.D.; Cao, Y.; Lu, J.; Wang, X.; Zhang, X.M.; Li, X.F. The Neuropharmacological Effects of Magnolol and Honokiol: A Review of Signal Pathways and Molecular Mechanisms. Curr. Mol. Pharmacol. 2023, 16, 161–177. [Google Scholar]
- Yuan, Y.; Zhou, X.C.; Wang, Y.Y.; Wang, Y.; Teng, X.Y.; Wang, S.Y. Cardiovascular Modulating Effects of Magnolol and Honokiol, Two Polyphenolic Compounds from Traditional Chinese Medicine-Magnolia Officinalis. Curr. Drug Targets 2020, 21, 559–572. [Google Scholar] [CrossRef] [PubMed]
- Lee, K.I.; Kim, H.J.; Kim, H.; Kim, M.S.; Kim, J.I.; Park, K.S. Magnolia officinalis Bark Extract Prevents Enterocyte Death in a Colitis Mouse Model by Inhibiting ROS-Mediated Necroptosis. Antioxidants 2022, 11, 2435. [Google Scholar] [CrossRef] [PubMed]
- Zhang, W.; Li, B.B.; Lv, Y.Y.; Wei, S.; Zhang, S.B.; Hu, Y.S. Transcriptomic analysis shows the antifungal mechanism of honokiol against Aspergillus flavus. Int. J. Food Microbiol. 2023, 384, 109972. [Google Scholar] [CrossRef] [PubMed]
- Zhu, S.; Liu, F.; Zhang, R.Y.; Xiong, Z.X.; Zhang, Q.; Hao, L.; Chen, S.Y. Neuroprotective Potency of Neolignans in Magnolia officinalis Cortex Against Brain Disorders. Front. Pharmacol. 2022, 13, 8574449. [Google Scholar] [CrossRef] [PubMed]
- Heckmann, M.; Sadova, N.; Drotarova, I.; Atzmüller, S.; Schwarzinger, B.; Guedes, R.M.C.; Correia, P.A.; Hirtenlehner, S.; Potthast, C.; Klanert, G.; et al. Extracts Prepared from Feed Supplements Containing Wood Lignans Improve Intestinal Health by Strengthening Barrier Integrity and Reducing Inflammation. Molecules 2022, 27, 6327. [Google Scholar] [CrossRef]
- Ouyang, Y.; Tang, X.; Zhao, Y.; Zuo, X.; Ren, X.; Wang, J.; Zou, L.; Lu, J. Disruption of Bacterial Thiol-Dependent Redox Homeostasis by Magnolol and Honokiol as an Antibacterial Strategy. Antioxidants 2023, 12, 1180. [Google Scholar] [CrossRef] [PubMed]
- Xiao, L.K.; Zhao, A.Y.; Qiu, J.; Liu, A.; Chen, S.; Jiang, J.Z.; Zhang, J.; Guo, C.; Di, J.P.; Cheng, J.T.; et al. Comprehensive reutilization of herbal waste: Coproduction of magnolol, honokiol, and 13-amyrin from Magnolia officinalis residue. Green Energy Environ. 2024, 9, 403–412. [Google Scholar] [CrossRef]
- Lampakis, D.; Skenderidis, P.; Leontopoulos, S. Technologies and Extraction Methods of Polyphenolic Compounds Derived from Pomegranate (Punica granatum) Peels. A Mini Review. Processes 2021, 9, 236. [Google Scholar] [CrossRef]
- Pandey, P.; Kumarihamy, M.; Chaturvedi, K.; Ibrahim, M.A.M.; Lambert, J.A.; Godfrey, M.; Doerksen, R.J.; Muhammad, I. In Vitro and In Silico Studies of Neolignans from Magnolia grandiflora L. Seeds against Human Cannabinoids and Opioid Receptors. Molecules 2023, 28, 1253. [Google Scholar] [CrossRef]
- Juodeikaite, D.; Zilius, M.; Briedis, V. Preparation of Aqueous Propolis Extracts Applying Microwave-Assisted Extraction. Processes 2022, 10, 1330. [Google Scholar] [CrossRef]
- Wang, Z.L.; Pan, H.Y.; Xu, J.; Chang, Y.H.; Liu, C.; Zhang, Y.; Yang, H.; Duan, C.J.; Huang, J.; Fu, Y.J. A sustainable and integrated natural surfactant mediated microwave-assisted extraction technique enhances the extraction of phytochemicals from plants. Ind. Crop. Prod. 2022, 184, 115043. [Google Scholar] [CrossRef]
- Ke, L.T.; Duan, X.Q.; Cui, J.; Song, X.P.; Ma, W.R.; Zhang, W.M.; Liu, Y.Q.; Fan, Y.P. Research progress on the extraction technology and activity study of Epimedium polysaccharides. Carbohydr. Polym. 2023, 306, 120602. [Google Scholar] [CrossRef] [PubMed]
- Villalobos-Vega, M.J.; Rodríguez-Rodríguez, G.; Armijo-Montes, O.; Jiménez-Bonilla, P.; Álvarez-Valverde, V. Optimization of the Extraction of Antioxidant Compounds from Roselle Hibiscus Calyxes (Hibiscus sabdariffa), as a Source of Nutraceutical Beverages. Molecules 2023, 28, 2628. [Google Scholar] [CrossRef] [PubMed]
- Jiang, L.; Li, S.; Li, X.; Li, Z.; Wang, X. Preparation of aminolignin from paper mill sludge and its discolouring flocculant performance. Asian J. Chem. 2013, 25, 1279. [Google Scholar]
- Monrroy, M.; Araúz, O.; García, J.R. Active Compound Identification in Extracts of N. lappaceum Peel and Evaluation of Antioxidant Capacity. J. Chem. 2020, 2020, 4301891. [Google Scholar] [CrossRef]
- Hashemi, B.; Shiri, F.; Švec, F.; Nováková, L. Green solvents and approaches recently applied for extraction of natural bioactive compounds. TrAC Trend. Anal. Chem. 2022, 157, 116732. [Google Scholar] [CrossRef]
- Zhou, M.; Fakayode, O.A.; Li, H. Green Extraction of Polyphenols via Deep Eutectic Solvents and Assisted Technologies from Agri-Food By-Products. Molecules 2023, 28, 6852. [Google Scholar] [CrossRef] [PubMed]
- Xiang, B.; Zhou, X.; Qin, D.; Li, C.; Xi, J. Infrared assisted extraction of bioactive compounds from plant materials: Current research and future prospect. Food Chem. 2022, 371, 131192. [Google Scholar] [CrossRef]
- Lauberts, M.; Pals, M. Antioxidant Activity of Different Extracts from Black Alder (Alnus glutinosa) Bark with Greener Extraction Alternative. Plants 2021, 10, 2531. [Google Scholar] [CrossRef]
- Yan, X.Y.; Cai, Z.H.; Zhao, P.Q.; Wang, J.D.; Fu, L.N.; Gu, Q.; Fu, Y.J. Application of a novel and green temperature-responsive deep eutectic solvent system to simultaneously extract and separate different polar active phytochemicals from Schisandra chinensis (Turcz.) Baill. Food Res. Int. 2023, 165, 112541. [Google Scholar] [CrossRef]
- Plastiras, O.-E.; Samanidou, V. Applications of deep eutectic solvents in sample preparation and extraction of organic molecules. Molecules 2022, 27, 7699. [Google Scholar] [CrossRef] [PubMed]
- Martins, M.A.R.; Pinho, S.P.; Coutinho, J.A.P. Insights into the nature of eutectic and deep eutectic mixtures. J. Solution Chem. 2018, 48, 962–982. [Google Scholar] [CrossRef]
- Liao, Y.; Chen, F.; Tang, H.; Dessie, W.; Qin, Z. Extraction and purification of Aucubin from Eucommia ulmoides seed draff in natural deep eutectic solvents using macroporous resins. ACS Omega 2023, 9, 1723–1737. [Google Scholar] [CrossRef] [PubMed]
- Zhang, J.; Ye, Z.; Liu, G.; Liang, L.; Wen, C.; Liu, X.; Li, Y.; Ji, T.; Liu, D.; Ren, J.; et al. Subcritical Water Enhanced with Deep Eutectic Solvent for Extracting Polysaccharides from Lentinus edodes and Their Antioxidant Activities. Molecules 2022, 27, 3612. [Google Scholar] [CrossRef] [PubMed]
- Mero, A.; Moody, N.R.; Husanu, E.; Mezzetta, A.; D’Andrea, F.; Pomelli, C.S.; Bernaert, N.; Paradisi, F.; Guazzelli, L. Challenging DESs and ILs in the valorization of food waste: A case study. Front. Chem. 2023, 11, 1270221. [Google Scholar] [CrossRef] [PubMed]
- Mero, A.; Koutsoumpos, S.; Giannios, P.; Stavrakas, I.; Moutzouris, K.; Mezzetta, A.; Guazzelli, L. Comparison of physicochemical and thermal properties of choline chloride and betaine-based deep eutectic solvents: The influence of hydrogen bond acceptor and hydrogen bond donor nature and their molar ratios. J. Mol. Liq. 2023, 377, 121563. [Google Scholar] [CrossRef]
- Mero, A.; Mezzetta, A.; De Leo, M.; Braca, A.; Guazzelli, L. Sustainable valorization of cherry (Prunus avium L.) pomace waste via the combined use of (NA)DESs and bio-ILs. Green Chem. 2024. [Google Scholar] [CrossRef]
- Vieira Sanches, M.; Freitas, R.; Oliva, M.; Mero, A.; De Marchi, L.; Cuccaro, A.; Fumagalli, G.; Mezzetta, A.; Colombo Dugoni, G.; Ferro, M.; et al. Are natural deep eutectic solvents always a sustainable option? A bioassay-based study. Environ. Sci. Pollut. Res. 2022, 30, 17268–17279. [Google Scholar] [CrossRef]
- Pontes, P.V.d.A.; Czaikoski, A.; Almeida, N.A.; Fraga, S.; Rocha, L.d.O.; Cunha, R.L.; Maximo, G.J.; Batista, E.A.C. Extraction optimization, biological activities, and application in O/W emulsion of deep eutectic solvents-based phenolic extracts from olive pomace. Food Res. Int. 2022, 161, 111753. [Google Scholar] [CrossRef]
- Lou, R.; Zhang, X. Evaluation of pretreatment effect on lignin extraction from wheat straw by deep eutectic solvent. Bioresour. Technol. 2022, 344, 126174. [Google Scholar] [CrossRef]
- Duan, L.; Dou, L.L.; Guo, L.; Li, P.; Liu, E.H. Comprehensive evaluation of deep eutectic solvents in extraction of bioactive natural products. ACS Sustain. Chem. Eng. 2016, 4, 2405–2411. [Google Scholar] [CrossRef]
- Sepali, C.; Skoko, S.; Guglielmero, L.; Giovannini, T.; Mezzetta, A.; D’Andrea, F.; Pomelli, C.S.; Guazzelli, L.; Cappelli, C. Deciphering the structure of deep eutectic solvents: A computational study from the solute’s viewpoint. J. Mol. Liq. 2024, 399, 124326. [Google Scholar] [CrossRef]
- Hammond, O.S.; Bowron, D.T.; Edler, K.J. The Effect of Water upon Deep Eutectic Solvent Nanostructure: An Unusual Transition from Ionic Mixture to Aqueous Solution. Angew. Chem. Int. Ed. 2017, 56, 9782–9785. [Google Scholar] [CrossRef] [PubMed]
- Synowiec, A.; Gniewosz, M.; Kraśniewska, K.; Przybył, J.L.; Bączek, K.; Węglarz, Z. Antimicrobial and antioxidant properties of pullulan film containing sweet basil extract and an evaluation of coating effectiveness in the prolongation of the shelf life of apples stored in refrigeration conditions. Innov. Food Sci. Emerg. Technol. 2014, 23, 171–181. [Google Scholar] [CrossRef]
- Jiang, F.; Sheng, Y.; Wang, F.; Pan, H.; Chen, W.; Kong, F. Characterization and biological activity of acidic sugarcane leaf polysaccharides by microwave-assisted hot alkali extraction. Food Biosci. 2023, 54, 102852. [Google Scholar] [CrossRef]
- Zhao, C.; Yang, F.; Lin, F.; Qu, Q.; Li, Z.; Liu, X.; Han, L.; Shi, X. Process optimization in ginseng fermentation by Monascus ruber and study on bile acid-binding ability of fermentation products in vitro. Prep. Biochem. Biotechnol. 2021, 51, 120–126. [Google Scholar] [CrossRef]
- Liao, Y.; Chen, F.; Tang, H.; Dessie, W.; Qin, Z. Combination of a Deep Eutectic Solvent and Macroporous Resin for Green Recovery of Iridoids, Chlorogenic Acid, and Flavonoids from Eucommia ulmoides Leaves. Molecules 2024, 29, 737. [Google Scholar] [CrossRef]
DES | PH | Viscosity (mPa·s) | Amount (mg/g) * | SBET (m2/g) | Vpore (cm3/g) | |||
---|---|---|---|---|---|---|---|---|
Magnolol | Honokiol | Fresh | Extracted | Fresh | Extracted | |||
ChUre | 7.26 | 16.5 | - | 1.68 ± 0.38 | 1.65 | 3.26 | 0.09 | 0.11 |
ChAce | 2.85 | 15.6 | 14.58 ± 1.15 | 6.35 ± 0.45 | 1.65 | 14.25 | 0.09 | 0.18 |
ChPro | 2.26 | 13.8 | 16.89 ± 1.06 | 7.68 ± 0.35 | 1.65 | 16.35 | 0.09 | 0.19 |
ChCit | 0.48 | 27.6 | 5.68 ± 1.21 | 3.56 ± 0.26 | 1.65 | 7.52 | 0.09 | 0.14 |
ChOxa | 0.11 | 50.8 | 3.56 ± 1.35 | 2.56 ± 0.32 | 1.65 | 4.65 | 0.09 | 0.12 |
ChMal | 0.22 | 560.1 | 2.58 ± 1.12 | 1.35 ± 0.15 | 1.65 | 3.28 | 0.09 | 0.11 |
ChLac | 0.85 | 26.9 | 9.58 ± 1.08 | 4.68 ± 0.38 | 1.65 | 10.86 | 0.09 | 0.16 |
ChLev | 1.09 | 103.0 | 18.79 ± 1.23 | 9.56 ± 0.32 | 1.65 | 19.65 | 0.09 | 0.21 |
ChGly | 6.75 | 876.2 | 4.98 ± 1.32 | 3.18 ± 0.49 | 1.65 | 6.86 | 0.09 | 0.13 |
ChEG | 6.89 | 378.1 | 9.68 ± 1.05 | 5.92 ± 0.45 | 1.65 | 13.54 | 0.09 | 0.17 |
Model | Equation |
---|---|
Magnolol amount (Ma) | Magnolol amount (mg/g) = 26.02 + 0.5625A + 0.5938B − 0.8812C − 0.1563D + 1.38E − 0.6000AB + 0.1750AC − 0.9000AD − 0.5250AE + 0.2750BC + 0.0250BD − 0.0750BE + 0.3750CD + 0.3500CE + 0.5250DE − 3.89A² − 3.55B² − 7.95C² − 4.73D² − 1.68E² |
Honokiol amount (Ha) | Honokiol amount (mg/g) = 12.42 + 0.8525A + 0.4000B − 0.8837C − 0.3063D + 0.9375E + 0.0250AB + 0.8900AC − 0.5250AD − 0.3500AE − 0.1750BC − 0.0250BD − 0.4250BE − 0.3000CD + 0.1000CE − 0.1250DE − 2.49A² − 1.56B² − 3.40C² − 1.50D² − 0.3425E² |
αMa/αA | αMa/αA = 0.5625 − 0.6000AB + 0.1750C − 0.9000D − 0.5250E − 7.78A |
αMa/αB | αMa/αB = 0.5938 − 0.6000B + 0.2750B + 0.0250B − 0.0750B − 7.10B |
αMa/αC | αMa/αC = −0.8812 + 0.1750A + 0.2750B + 0.3750D + 0.3500E − 15.90C |
αMa/αD | αMa/αD = −0.1563 − 0.9000A + 0.0250B + 0.3750C + 0.5250E − 9.46D |
αMa/αE | αMa/αE = 1.38 − 0.5250A − 0.0750B + 0.3500C + 0.5250E − 3.36E |
αHa/αA | αHa/αA = 0.8525 + 0.0250B + 0.8900C − 0.5250D − 0.3500E − 4.98A |
αHa/αB | αHa/αB = 0.4000 + 0.0250A − 0.1750C − 0.0250D − 0.4250E − 3.12B |
αHa/αC | αHa/αC = −0.8837 + 0.8900A − 0.1750B − 0.3000D + 0.1000E − 6.80C |
αHa/αD | αHa/αD = −0.3063 − 0.5250A − 0.0250B − 0.3000C − 0.1250E − 3.00D |
αHa/αE | αHa/αE = 0.9375 − 0.3500A − 0.4250B + 0.1000C − 0.1250E − 0.685E |
Model | Magnolol Amount | Honokiol Amount | ||||
---|---|---|---|---|---|---|
R2 | RSS | Chi-Square | R2 | RSS | Chi-Square | |
First-order kinetic model | 0.9783 | 20.7242 | 0.9554 | 0.9704 | 4.2993 | 0.4649 |
Fick’s second law | 0.9806 | 15.8216 | 2.4313 | 0.9827 | 3.1655 | 1.1706 |
Second-order kinetic model | 0.9847 | 13.3588 | 0.551 | 0.9869 | 2.6110 | 0.2684 |
So–Macdonald model | 0.9956 | 3.6209 | 0.0857 | 0.9985 | 0.2669 | 0.0165 |
Name | Units | Type | Low | High |
---|---|---|---|---|
Liquid–solid ratio | mL/g | Factor | 30 | 50 |
HBD-HBA ratio | Factor | 1 | 3 | |
Water percentage | % | Factor | 20 | 40 |
Temperature | K | Factor | 318.15 | 358.15 |
Time | min | Factor | 60 | 120 |
Honokiol amount | (mg/g) | Response | ||
Magnolol amount | (mg/g) | Response | ||
Lignanoid amount | (mg/g) | Response |
Disclaimer/Publisher’s Note: The statements, opinions and data contained in all publications are solely those of the individual author(s) and contributor(s) and not of MDPI and/or the editor(s). MDPI and/or the editor(s) disclaim responsibility for any injury to people or property resulting from any ideas, methods, instructions or products referred to in the content. |
© 2024 by the authors. Licensee MDPI, Basel, Switzerland. This article is an open access article distributed under the terms and conditions of the Creative Commons Attribution (CC BY) license (https://creativecommons.org/licenses/by/4.0/).
Share and Cite
Lu, Y.; Tang, H.; Chen, F.; Tang, W.; Dessie, W.; Liao, Y.; Qin, Z. Extraction and Biological Activity of Lignanoids from Magnolia officinalis Rehder & E.H.Wilson Residual Waste Biomass Using Deep Eutectic Solvents. Molecules 2024, 29, 2352. https://doi.org/10.3390/molecules29102352
Lu Y, Tang H, Chen F, Tang W, Dessie W, Liao Y, Qin Z. Extraction and Biological Activity of Lignanoids from Magnolia officinalis Rehder & E.H.Wilson Residual Waste Biomass Using Deep Eutectic Solvents. Molecules. 2024; 29(10):2352. https://doi.org/10.3390/molecules29102352
Chicago/Turabian StyleLu, Ying, Haishan Tang, Feng Chen, Wufei Tang, Wubliker Dessie, Yunhui Liao, and Zuodong Qin. 2024. "Extraction and Biological Activity of Lignanoids from Magnolia officinalis Rehder & E.H.Wilson Residual Waste Biomass Using Deep Eutectic Solvents" Molecules 29, no. 10: 2352. https://doi.org/10.3390/molecules29102352
APA StyleLu, Y., Tang, H., Chen, F., Tang, W., Dessie, W., Liao, Y., & Qin, Z. (2024). Extraction and Biological Activity of Lignanoids from Magnolia officinalis Rehder & E.H.Wilson Residual Waste Biomass Using Deep Eutectic Solvents. Molecules, 29(10), 2352. https://doi.org/10.3390/molecules29102352