Investigations of Antioxidant and Anti-Cancer Activities of 5-Aminopyrazole Derivatives
Abstract
1. Introduction
2. Results
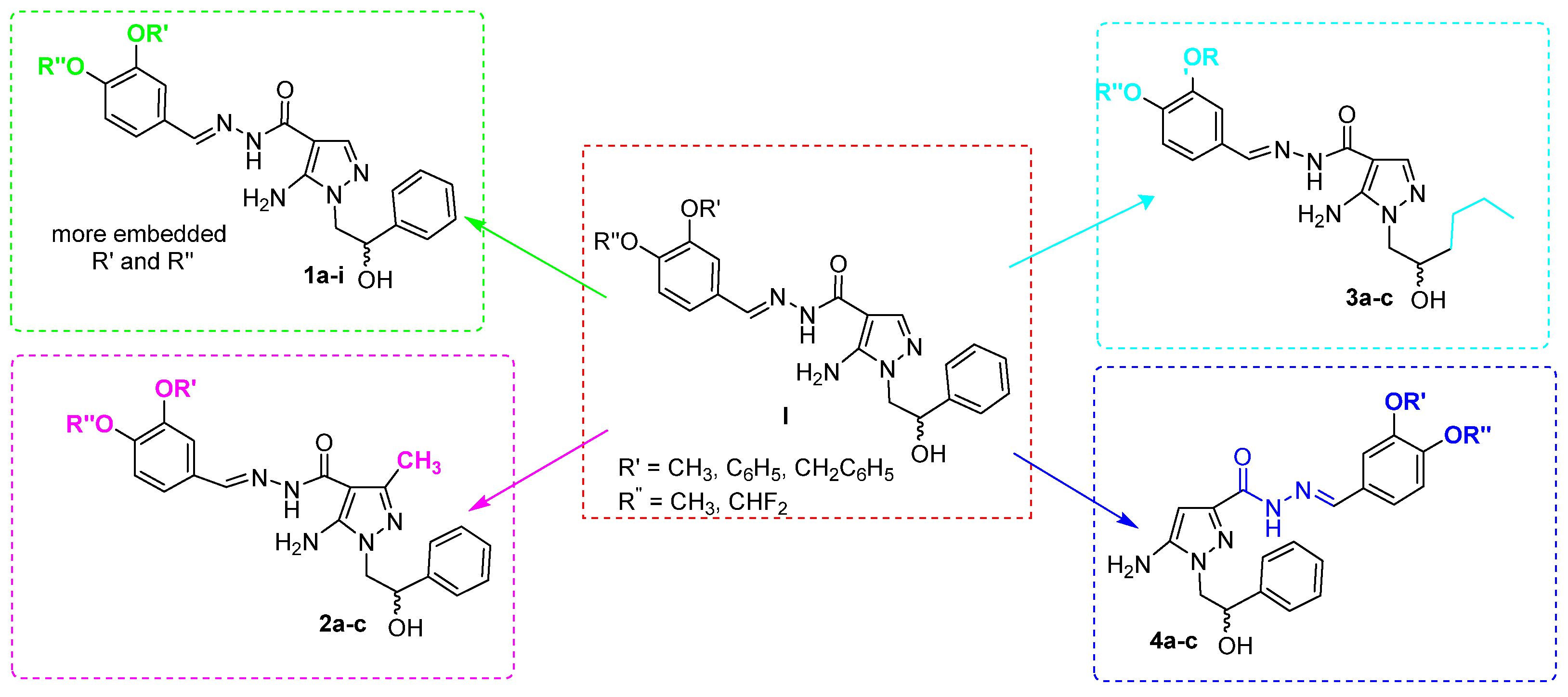
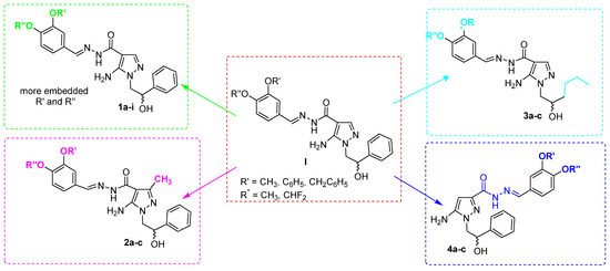
2.1. Chemistry
2.2. In Vitro Antioxidant Activity (DPPH Assay)
2.3. Inhibiting Effect on Human Platelet Aggregation and ROS Production
2.4. Cell Growth Inhibitory Activity
2.5. Pharmacokinetic Properties, Druglikness and Toxicity Prediction
3. Discussion and Conclusions
- (i)
- The presence of the acylhydrazone moiety at position 3 of the pyrazole core increases the radical scavenging activity (compare 4 with 1–3);
- (ii)
- The best ROS inhibitors in human platelets are 5APs 3 (particularly 3b and 3c, with IC50 values of 113–115 μM), characterized in N1 by a more flexible alkyl chain (hydroxyhexyl). Furthermore, the substituents on the cathecol portions of these compounds (difluoromethoxy in para position and phenoxy or benzyloxy in meta position) are the same of II, previously identified as potent ROS inhibitors. In addition, 3c showed significative anti-cancer profile against different leukemic cell lines. These data confirmed the key role of a flexible hydroxyalkyl chain on N1 position, not only for ROS production inhibition, but also for anti-cancer activity;
- (iii)
- 5APs 1 showed promising anti-proliferative activity, probably related to the chemical similarity of these compounds with previous derivatives I. Of note is the fact that 1g (active against breast cancer cell lines) bears the same substituents on the catechol fragment of its precursor Ia.
- (iv)
- Finally, compounds 2, bearing an additional methyl group on C3 position of pyrazole nucleus, did not show a relevant biological activity, confirming that the increase of steric hindrance in this position is detrimental not only for antioxidant activity and ROS production inhibition in platelets but also for anti-proliferative activity.
4. Materials and Methods
4.1. Chemical Part
4.1.1. General Information
4.1.2. Synthesis
Synthesis of Carbohydrazide 8a, 8c, and 8d
- 5-Amino-1-(2-hydroxyhexyl)-1H-pyrazole-4-carbohydrazide 8a. Yield: 78%. M.p.: 140–142 °C. 1H-NMR (400 MHz, CDCl3): δ 0.86 (t, J = 5.4 Hz, 3H, CH3), 1.15–1.58 (m, 6H, 3CH2), 4.56–4.66 (m, 2H, CH2N pyraz.), 4.92 (br s, 2H, NH2, exchangeable with D2O), 5.02 (d, J = 4.4, 1H, OH, exchangeable with D2O), 5.13–5.18 (m, 1H, CHOH), 6.20 (s, 2H, NH2, exchangeable with D2O), 7.65 (s, 1H, H-3 pyraz.), 8.97 (br s, 1H, CONH, exchangeable with D2O). 13C-NMR (101 MHz, CDCl3): δ 164.48, 149,03, 138.30, 97.48, 70.38, 53.18, 35.00, 27.54, 22.74, 14.05. Anal calcd. for C10H19N5O2. Calcd: %C 49.79, %H 7.94, %N 29.02; found: %C 49.72, %H 7.62, %N 29.30.
- 5-Amino-1-(2-hydroxy-2-phenylethyl)-3-methyl-1H-pyrazole-4-carbohydrazide 8c. Yield: 85%. M.p.: 224–226 °C. 1H-NMR (400 MHz, CDCl3): δ 2.24 (s, 3H, CH3), 3.83–3.94 (m, 2H, CH2N), 4.28 (br s, 2H, NH2, exchangeble with D2O), 4.84–4.88 (m, 1H, CHOH), 5.78 (d, J = 4.4, 1H, OH, exchangeble with D2O), 6.03 (s, 2H, NH2, exchangeble with D2O), 7.23–7.48 (m, 5H, 5Ar), 8.02 (s, 1H, CONH, exchangeble with D2O). 13C-NMR (101 MHz, CDCl3): δ 166.87, 151.19, 150.25, 142.40, 128.56, 128.19, 127.25, 93.34, 73.03, 56.46, 14.93. Anal calcd. for C13H17N5O2. Calcd: %C 56.71, %H 6.22, %N 25.44; found: %C 56.94, %H 6.02, %N 25.06.
- 5-Amino-1-(2-hydroxy-2-phenylethyl)-1H-pyrazole-3-carbohydrazide 8d. Yield: 85%. M.p.: 72–73 °C. 1H-NMR (400 MHz, CDCl3): δ 3.92–4.08 (m, 2H, CH2N), 4.90–4.94 (m, 1H, CHOH), 5.23 (br s., 2H, NH2, exchangeble with D2O), 5.30 (d, J = 4.4, 1H, OH, exchangeble with D2O), 5.66 (s, 1H, H-4 pyraz.), 5.91 (s, 2H, NH2, exchangeble with D2O), 7.11–7.54 (m, 5H, 5Ar), 8.01 (br s, 1H, CONH, exchangebles with D2O). 13C-NMR (101 MHz, CDCl3): δ 162.76, 56.25, 150.62, 145.20, 142.39, 128.56, 128.19, 127.25, 87.47, 72.89. Anal calcd. for C12H15N5O2. Calcd: %C 55.16, %H 5.79, %N 26.80; found: %C 55.00, %H 5.49, %N 26.46.
Synthesis of Final Compounds 1–4
- (E)-5-Amino-1-(2-hydroxy-2-phenylethyl)-N′-(4-methoxybenzylidene)-1H-pyrazole-4-carbohydrazide 1a. Yield: 61%. M.p.: 233–234 °C. 1H-NMR (400 MHz, CDCl3): δ 3.76 (s, 3H, OCH3), 3.84–4.13 (m, 2H, CH2N), 4.85–4.88 (m, 1H, CHOH), 5.68 (d, J = 4.6 Hz, 1H, OH, exchangeable with D2O), 6.12 (s, 2H, NH2, exchangeable with D2O), 7.25–7.46 (m, 9H, 5Ar + H-2 Ar + H-3 Ar + H-5 Ar + H-6 Ar), 7.86 (s, 1H, H-3 pyraz.), 8.11 (s, 1H, CH=N), 10.98 (s, 1H, CONH, exchangeable with D2O). 13C-NMR (101 MHz, CDCl3): δ 164.49, 161.94, 149.28, 148.53, 142.40, 136.23, 128.80, 128.56, 128.19, 127.25, 126.79, 114.41, 113.80, 97.65, 70.60, 55.72, 55.35. Anal calcd. for C20H21N5O3. Calcd: %C 63.31, %H 5.58, %N 18.46; found: %C 63.38, %H 5.62, %N. 18.22.
- (E)-5-Amino-N′-(3,4-dimethoxybenzylidene)-1-(2-hydroxy-2-phenylethyl)-1H-pyrazole-4-carbohydrazide 1b. Yield: 32%. M.p.: 89–90 °C. 1H-NMR (400 MHz, CDCl3): δ 3.74 (s, 3H, OCH3), 3.79 (s, 3H, OCH3), 3.89–4.10 (m, 2H, CH2N), 4.86–4.89 (m, 1H, CHOH), 5.67 (d, J = 4.7 Hz, 1H, OH, exchangeable with D2O), 6.26 (s, 2H, NH2, exchangeable with D2O), 6.87–7.42 (m, 8H, 5Ar + H-2 Ar + H-5 Ar + H-6 Ar), 7.85 (s, 1H, H-3 pyraz.), 8.11 (s, 1H, CH=N), 11.02 (s, 1H, CONH, exchangeable with D2O). 13C-NMR (101 MHz, CDCl3): δ 160.95, 151.87, 150.32, 149.28, 144.57, 142.40, 136.31, 128.56, 128.19, 127.99, 127.25, 124.16, 111.32, 109.92, 97.65, 70.76, 55.94, 55.93, 55.72. Anal calcd. for C21H23N5O4. Calcd: %C 61.60, %H 5.66, %N 17.10; found: %C 61.25, %H 5.38, %N 17.14.
- (E)-5-Amino-1-(2-hydroxy-2-phenylethyl)-N′-(4-methoxy-3-phenoxybenzylidene)-1H-pyrazole-4-carbohydrazide 1c. Yield: 32%. M.p.: 190–191 °C. 1H-NMR (400 MHz, CDCl3): δ 3.77 (s, 3H, OCH3), 3.88–4.07 (m, 2H, CH2N), 4.83–4.85 (m, 1H, CHOH), 5.66 (d, J = 4.7 Hz, 1H, OH, exchangeable with D2O), 6.30 (s, 2H, NH2, exchangeable with D2O), 6.73–7.49 (m, 13H, 10Ar + H-5 Ar + H-6 Ar + H-2 Ar), 7.77 (s, 1H, H-3 pyraz.), 8.15 (s, 1H, CH=N), 11.01 (s, 1H, CONH, exchangeable with D2O). 13C NMR (101 MHz, DMSO-d6): δ 157.89, 152.89, 143.17, 130.41, 128.65, 128.55, 127.92, 126.72, 123.15, 117.08, 72.00, 56.40, 54.46. Anal calcd. for C26H25N5O4. Calcd: %C 66.23, %H 5.34, %N 14.85; found: %C 65.86, %H 5.31, %N 14.38.
- (E)-5-Amino-N′-(3-(benzyloxy)-4-methoxybenzylidene)-1-(2-hydroxy-2-phenylethyl)-1H-pyrazole-4-carbohydrazide 1d. Yield: 62%. M.p.: 161–163 °C. 1H-NMR (400 MHz, CDCl3): δ 3.77 (s, 3H, OCH3), 3.91–4.09 (m, 2H, CH2N), 4.89–4.90 (m, 1H, CHOH), 5.10 (s, 2H, CH2O), 5.68 (d, J = 4.6 Hz, 1H, OH, exchangeable with D2O), 6.39 (s, 2H, NH2, exchangeable with D2O), 6.92–7.60 (m, 13H, 10Ar + H-5 Ar + H-6 Ar + H-2 Ar), 7.84 (s, 1H, H-3 pyraz.), 8.10 (s, 1H, CH=N), 10.99 (s, 1H, CONH, exchangeable with D2O). 13C-NMR (101 MHz, CDCl3): δ 160.95, 152.83, 149.28, 149.26, 144.57, 142.40, 137.41, 135.44, 128.56, 128.50, 128.19, 128.16, 128.12, 127.71, 127.25, 124.42, 112.85, 112.10, 97.65, 71.88, 71.05, 56.07, 55.72. Anal calcd. for C27H27N5O4. Calcd: %C 66.79, %H 5.61, %N 14.42; found: %C 66.66, %H 5.77, %N 14.48.
- (E)-5-Amino-N′-(4-((4-fluorobenzyl)oxy)-3-methoxybenzylidene)-1-(2-hydroxy-2-phenylethyl)-1H-pyrazole-4-carbohydrazide 1e. Yield: 75%. M.p.: 136–137 °C. 1H-NMR (400 MHz, CDCl3): δ 3.78 (s, 3H, OCH3), 3.91–4.12 (m, 2H, CH2N), 4.91–4.93 (m, 1H, CHOH), 5.04 (s, 2H, CH2O), 5.69 (d, J = 4.6 Hz, 1H, OH, exchangeable with D2O), 6.28 (s, 2H, NH2, exchangeable with D2O), 7.00–7.56 (m, 12H, 9Ar + H-5 Ar + H-6 Ar + H-2 Ar), 7.86 (s, 1H, H-3 pyraz.), 8.10 (s, 1H, CH=N), 11.04 (s, 1H, CONH, exchangeable with D2O). 13C NMR (101 MHz, DMSO-d6): δ 163.59, 161.17, 149.89, 149.63, 143.19, 133.63, 133.60, 130.74, 130.65, 128.67, 128.41, 127.94, 126.73, 115.92, 115.71, 113.81, 72.04, 69.68, 55.94, 54.51, 40.50. Anal calcd. for C27H26N5O4F. Calcd: %C 64.40, % H 5.20, %N 13.91; found: %C 64.55, %H 5.37, %N 13.51.
- (E)-5-Amino-N′-(4-((3-fluorobenzyl)oxy)-3-methoxybenzylidene)-1-(2-hydroxy-2-phenylethyl)-1H-pyrazole-4-carbohydrazide 1f. Yield: 64%. M.p.: 123–125 °C. 1H-NMR (400 MHz, CDCl3): δ 3.81 (s, 3H, OCH3), 3.90–4.12 (m, 2H, CH2N), 4.89–4.91 (m, 1H, CHOH), 5.12 (s, 2H, CH2O), 5.68 (d, J = 4.6 Hz, 1H, OH, exchangeable with D2O), 6.31 (s, 2H, NH2, exchangeable with D2O), 6.96–7.48 (m, 12H, 9Ar + H-5 Ar + H-6 Ar + H-2 Ar), 7.86 (s, 1H, H-3 pyraz.), 8.10 (s, 1H, CH=N), 11.03 (s, 1H, CONH, exchangeable with D2O). 13C NMR (101 MHz, DMSO-d6): δ 163.93, 161.51, 149.90, 149.47, 143.19, 140.40, 140.32, 131.09, 131.01, 128.67, 128.55, 127.94, 126.73, 124.23, 124.20, 115.33, 115.12, 115.00, 114.78, 113.87, 72.03, 69.55, 55.99, 54.50, 40.70, 40.49. Anal calcd. for C27H26N5O4F. Calcd: %C 64.40, %H 5.20, %N 13.91; found: %C 64.82, %H 5.16, %N 13.78.
- (E)-5-Amino-N′-(4-((4-chlorobenzyl)oxy)-3-methoxybenzylidene)-1-(2-hydroxy-2-phenylethyl)-1H-pyrazole-4-carbohydrazide 1g. Yield: 48%. M.p.: 120–123 °C. 1H-NMR (400 MHz, CDCl3): δ 3.79 (s, 3H, OCH3), 3.85–4.13 (m, 2H, CH2N), 4.88–4.91 (m, 1H, CHOH), 5.15 (s, 2H, CH2O), 5.67 (d, J = 4.4 Hz, 1H, OH, exchangeable with D2O), 6.36 (s, 2H, NH2, exchangeable with D2O), 6.99–7.49 (m, 12H, 9Ar + H-5 Ar + H-6 Ar + H-2 Ar), 7.77 (s, 1H, H-3 pyraz.), 8.12 (s, 1H, CH=N), 11.02 (s, 1H, CONH, exchangeable with D2O). 13C NMR (101 MHz, DMSO-d6): δ 149.89, 149.51, 143.19, 136.47, 133.05, 130.19, 129.01, 128.67, 128.49, 127.94, 126.73, 72.03, 69.53, 55.97, 54.50, 40.50. Anal calcd. for C27H26N5O4Cl. Calcd: %C 62.37, %H 5.04, %N 13.47; found: %C 62.39, %H 5.28, %N 13.86.
- (E)-5-Amino-N′-(4-(difluoromethoxy)-3-((3-fluorobenzyl)oxy)benzylidene)-1-(2-hydroxy-2-phenylethyl)-1H-pyrazole-4-carbohydrazide 1h. Yield: 82%. M.p.: 148–153 °C. 1H-NMR (400 MHz, CDCl3): δ 3.90–4.12 (m, 2H, CH2N), 4.85–4.87 (m, 1H, CHOH), 5.23 (s, 2H, CH2O), 5.68 (d, J =4.4, 1H, OH, exchangeable with D2O), 6.37 (s, 2H, NH2, exchangeable with D2O), 7.15 (t, J = 70 Hz, 1H, OCHF2), 7.21–7.50 (m, 12H, 9Ar + H-5 Ar + H-6 Ar + H-2 Ar), 7.96 (s, 1H, H-3 pyraz.), 8.21 (s, 1H, CH=N), 11.18 (s, 1H, CONH, exchangeable with D2O). 13C NMR (101 MHz, DMSO-d6): δ 163.98, 161.56, 150.30, 143.17, 141.20, 139.98, 139.91, 133.76, 131.17, 131.08, 128.67, 127.94, 126.74, 123.97, 122.21, 119.88, 117.31, 115.44, 115.23, 114.74, 114.52, 72.03, 69.63, 54.49. Anal calcd. for C27H24N5O4F3. Calcd: %C 60.11, %H 4.48, %N 12.98; found: %C 60.23, %H 4.60, %N 13.12.
- (E)-5-Amino-N′-(3-((4-chlorobenzyl)oxy)-4-(difluoromethoxy)benzylidene)-1-(2-hydroxy-2-phenylethyl)-1H-pyrazole-4-carbohydrazide 1i. Yield: 81%. M.p.: 106–108 °C. 1H-NMR (400 MHz, CDCl3): δ 3.83–4.14 (m, 2H, CH2N), 4.87–4.90 (m, 1H, CHOH), 5.23 (s, 2H, CH2O), 5.68 (d, J = 4.4, 1H, OH, exchangeable with D2O), 6.32 (s, 2H, NH2, exchangeable with D2O), 7.13 (t, J = 70 Hz, 1H, OCHF2), 7.21–7.53 (m, 12H, 9Ar + H-5 Ar + H-6 Ar + H-2 Ar), 7.94 (s, 1H, H-3 pyraz.), 8.18 (s, 1H, CH=N), 11.18 (s, 1H, CONH, exchangeable with D2O). 13C NMR (101 MHz, DMSO-d6): δ 150.28, 143.17, 141.23, 136.07, 133.68, 133.17, 130.98, 129.98, 129.11, 128.90, 128.67, 127.95, 126.75, 122.07, 119.83, 117.26, 114.69, 112.19, 72.04, 69.66, 54.49, 40.70, 38.25. Anal calcd. for C27H24N5O4ClF2. Calcd: %C 58.33, %H 4.35, %N 12.60; found: %C 58.10, %H 4.33, %N 12.35.
- (E)-5-Amino-N′-(4-(difluoromethoxy)-3-methoxybenzylidene)-1-(2-hydroxy-2-phenylethyl)-3-methyl-1H-pyrazole-4-carbohydrazide 2a. Yield: 46%. M.p.: 193–195 °C. 1H-NMR (400 MHz, CDCl3): δ 2.31 (s, 3H, CH3), 3.65–4.12 (m, 5H, CH2N + OCH3), 4.83–4.86 (m, 1H, CHOH), 5.70 (d, J = 4.6 Hz, 1H, OH, exchangeable with D2O), 6.05 (s, 2H, NH2, exchangeable with D2O), 7.28 (t, J = 70, 1H, OCHF2), 7.37–7.67 (m, 8H, 5 Ar + H-5 Ar + H-6 Ar + H-2 Ar), 8.25 (s, 1H, CH=N), 11.42 (s, 1H, CONH, exchangeable with D2O). 13C-NMR (101 MHz, CDCl3): δ 166.24, 151.94, 150.72, 149.40, 144.53, 144.45, 142.40, 128.30, 128.19, 127.25, 121.90, 118.71, 118.69, 117.87, 115.77, 113.66, 110.53, 93.67, 73.03, 56.45, 56.23, 14.93. Anal calcd. for C22H23N5O4F2. Calcd: %C 57.51, %H 5.05, %N 15.24; found: %C 57.31, %H 5.26, %N 15.64.
- (E)-5-Amino-N′-(4-(difluoromethoxy)-3-phenoxybenzylidene)-1-(2-hydroxy-2-phenylethyl)-3-methyl-1H-pyrazole-4-carbohydrazide 2b. Yield: 25%. M.p.: 203–206 °C. 1H-NMR (400 MHz, CDCl3): δ 2.51 (s, 3H, CH3), 3.71–4.10 (m, 2H, CH2N), 4.84–4.85 (m, 1H, CHOH), 5.71 (d, J = 4.6 Hz, 1H, OH, exchangeable with D2O), 5.95 (s, 2H, NH2, exchangeable with D2O), 6.94–7.53 (m, 14H, 10Ar + H-5 Ar + H-6 Ar + H-2 Ar + OCHF2), 8.21 (s, 1H, CH=N), 10.32 (s, 1H, CONH, exchangeable with D2O). 13C-NMR (101 MHz, CDCl3): δ 166.24, 156.83, 152.85, 150.72, 147.66, 145.72, 144.77, 142.40, 130.02, 128.19, 127.25, 124.60, 122.31, 122.17, 120.07, 118.73, 117.96, 115.73, 115.71, 115.69, 114.87, 92.84, 74.52, 54.27, 16.24. Anal calcd. for C27H25N5O4F2. Calcd: %C 62.18, %H 4.83, %N 13.43; found: %C 62.37, %H 4.25, %N 13.34.
- (E)-5-Amino-N′-(3-(benzyloxy)-4-(difluoromethoxy)benzylidene)-1-(2-hydroxy-2-phenylethyl)-3-methyl-1H-pyrazole-4-carbohydrazide 2c. Yield: 75%. M.p.: 188–190 °C. 1H-NMR (400 MHz, CDCl3): δ 2.29 (s, 3H, CH3), 3.73–4.15 (m, 2H, CH2N), 4.79–4.82 (m, 1H, CHOH), 5.21 (s, 2H, CH2O), 5.71 (d, J =4.4, 1H, OH, exchangeable with D2O), 6.03 (s, 2H, NH2, exchangeable with D2O), 7.17 (t, J = 70 Hz, 1H, OCHF2), 7.30–7.63 (m, 13H, 10Ar + H-5 Ar + H-6 Ar + H-2 Ar), 8.22 (s, 1H, CH=N), 10.42 (s, 1H, CONH, exchangeable with D2O). 13C-NMR (101 MHz, CDCl3): δ 166.24, 154.48, 150.58, 150.56, 145.94, 144.67, 142.40, 137.49, 128.56, 128.50, 128.22, 128.19, 128.16, 127.71, 127.25, 122.14, 119.79, 117.68, 115.58, 112.92, 112.89, 112.87, 111.68, 95.24, 72.49, 71.24, 54.32, 16.33. Anal calcd. for C28H27N5O4F2. Calcd: %C 62.80, %H 5.08, %N 13.08; found: %C 62.72, %H 5.18, %N 13.51.
- (E)-5-Amino-N′-(4-(difluoromethoxy)-3-methoxybenzylidene)-1-(2-hydroxyhexyl)-1H-pyrazole-4-carbohydrazide 3a. Yield: 52%. M.p.: 164–165 °C. 1H-NMR (400 MHz, CDCl3): δ 0.85 (s, 3H, CH3), 1.07–1.48 (m, 6H, 3CH2), 3.64–4.03 (m, 5H, OCH3 + CH2N), 4.93–4.97 (s, 1H, CHOH), 5.67 (d, J = 4.5 Hz, 1H, OH, exchangeable with D2O), 6.34 (s, 2H, NH2, exchangeable with D2O), 7.12 (t, J = 67 Hz, 1H, OCHF2), 7.40–7.54 (m, 3H, H-5 Ar + H-6 Ar + H-2 Ar), 7.99 (s, 1H, H-3 pyraz.), 8.18 (s, 1H, CH=N), 11.22 (s, 1H, CONH exchangeable with D2O). 13C-NMR (101 MHz, CDCl3): δ 158.95, 151.94, 149.02, 144.53, 135.49, 128.30, 121.90, 118.69, 115.77, 113.66, 110.53, 97.46, 70.38, 56.23, 55.36, 32.62, 27.54, 22.74, 16.41. Anal calcd. for C19H25N5O4F2. Calcd: %C 53.64, %H 5.92, %N 16.46; found: %C 53.75, %H 5.81, %N 16.36.
- (E)-5-Amino-N′-(4-(difluoromethoxy)-3-phenoxybenzylidene)-1-(2-hydroxyhexyl)-1H-pyrazole-4-carbohydrazide 3b. Yield: 73%. M.p.: 140–141 °C. 1H-NMR (400 MHz, CDCl3): δ 0.86 (t, 3H, CH3), 1.14–1.52 (m, 6H, 3CH2), 3.65–3.97 (m, 2H, CH2N), 4.92–4.94 (m, 1H, CHOH), 6.01 (d, J = 4.4 Hz, 1H, OH, exchangeable with D2O), 6.29 (s, 2H, NH2, exchangeable with D2O), 6.83 (t, J = 67 Hz, 1H, OCHF2), 7.08–7.63 (m, 8H, 5 Ar + H-5 Ar + H-6 Ar + H-2 Ar), 7.79 (s, 1H, H-3 pyraz.), 8.15 (s, 1H, CH=N), 11.18 (s, 1H, CONH, exchangeable with D2O). 13C-NMR (101 MHz, CDCl3): δ 165.06, 156.83, 149.02, 147.65, 145.13, 145.08, 144.73, 134.57, 130.02, 128.30, 124.60, 122.31, 118.73, 117.87, 115.76, 114.87, 113.66, 97.46, 70.38, 53.17, 32.77, 27.54, 24.62, 18.06. Anal calcd. for C24H27N5O4F2. Calcd: %C 59.13, %H 5.58, %N 14.37; found: %C 59.59, %H 5.46, %N 14.69.
- (E)-5-Amino-N′-(3-(benzyloxy)-4-(difluoromethoxy)benzylidene)-1-(2-hydroxyhexyl)-1H-pyrazole-4-carbohydrazide 3c. Yield: 52%. M.p.: 129–131 °C. 1H-NMR (400 MHz, CDCl3): δ 0.84 (t, J = 5.6 Hz, 3H, CH3), 1.18–1.65 (m, 6H, 3CH2), 3.65–3.99 (m, 2H, CH2N), 4.85–4.86 (m, 1H, CHOH), 5.23 (s, 2H, CH2O), 6.03 (d, J = 4.4 Hz, 1H, OH, exchangeable with D2O), 6.35 (s, 2H, NH2, exchangeable with D2O), 7.01 (t, J = 67 Hz, 1H, OCHF2), 7.15–7.63 (m, 8H, 5 Ar + H-5 Ar + H-6 Ar + H-2 Ar), 7.97 (s, 1H, H-3 pyraz.), 8.10 (s, 1H, CH=N), 11.22 (s, 1H, CONH, exchangeable with D2O). 13C-NMR (101 MHz, CDCl3): δ 162.95, 150.55, 149.02, 144.54, 137.49, 135.36, 128.22, 128.16, 127.71, 122.14, 118.44, 118.42, 116.84, 114.74, 112.63, 111.68, 95.84, 71.24, 70.38, 53.17, 31.77, 27.54, 24.31, 18.41. Anal calcd. for C25H29N5O4F2. Calcd: %C 59.87, %H 5.83, %N 13.96; found: %C 59.59, %H 5.77, %N 14.10.
- (E)-5-Amino-N′-(4-(difluoromethoxy)-3-methoxybenzylidene)-1-(2-hydroxy-2-phenylethyl)-1H-pyrazole-3-carbohydrazide 4a. Yield: 54%. M.p.: 196–197 °C. 1H-NMR (400 MHz, CDCl3): δ 3.86–3.94 (m, 2H, CH2N), 3.97 (s, 3H, OCH3), 4.52 (d, J = 4.4 Hz, 1H, OH, exchangeable with D2O), 5.10–5.13 (m, 1H, CHOH), 5.69 (s, 2H, NH2, exchangeable with D2O), 5.74 (s, 1H, H-4 pyraz.), 7.04 (t, J = 70 Hz, 1H, OCHF2), 7.10–7.51 (m, 8H, 5Ar + H-5 Ar + H-6 Ar + H-2 Ar), 8.55 (s, 1H, CH=N), 11.78 (s, 1H, CONH, exchangeable with D2O). 13C NMR (101 MHz, DMSO-d6): δ 166.71, 165.11, 150.37, 150.03, 137.50, 136.45, 97.39, 95.92, 69.85, 53.18, 34.39, 27.68, 22.69, 14.51. Anal calcd. for C21H21N5O4F2. Calcd: %C 56.60, %H 4.70, %N 15.72; found: %C 56.69, %H 4.42, %N 15.69.
- (E)-5-Amino-N′-(4-(difluoromethoxy)-3-phenoxybenzylidene)-1-(2-hydroxy-2-phenylethyl)-1H-pyrazole-3-carbohydrazide 4b. Yield: 59%. M.p.: 195–196 °C. 1H-NMR (400 MHz, CDCl3): δ 3.92–4.08 (m, 2H, CH2N), 4.96–4.98 (m, 1H, CHOH), 5.33 (d, J = 4.4 Hz, 1H, OH, exchangeable with D2O), 5.43 (s, 2H, NH2, exchangeable with D2O), 5.75 (s, 1H, H-4 pyraz.), 6.92–7.50 (m, 14H, 10Ar + H-5 Ar + H-6 Ar + H-2 Ar + OCHF2), 8.40 (s, 1H, CH=N), 11.41 (s, 1H, CONH, exchangeable with D2O). 13C-NMR (101 MHz, CDCl3): δ 162.64, 156.83, 151.88, 150.61, 145.08, 144.66, 142.39, 140.61, 130.02, 128.56, 128.32, 128.19, 127.25, 124.60, 122.31, 121.36, 119.25, 118.73, 117.15, 115.73, 115.70, 115.68, 114.87, 87.65, 71.77, 57.42. Anal calcd. for C26H23N5O4F2. Calcd: %C 61.53, %H 4.57, %N 13.80; found: %C 61.63, %H 4.95, %N 13.65.
- (E)-5-Amino-N′-(3-(benzyloxy)-4-(difluoromethoxy)benzylidene)-1-(2-hydroxy-2-phenylethyl)-1H-pyrazole-3-carbohydrazide 4c. Yield: 15%. M.p.: 136–137 °C. 1H-NMR (400 MHz, CDCl3): δ 4.00–4.14 (m, 2H, CH2N), 4.98–5.01 (m, 1H, CHOH), 5.17 (s, 2H, CH2O), 5.36 (d, J = 4.4 Hz, 1H, OH, exchangeable with D2O), 5.75 (s, 2H, NH2, exchangeable with D2O), 5.81 (s, 1H, H-4 pyraz.), 7.02 (t, J = 70 Hz, 1H, OCHF2), 7.22–7.53 (m, 13H, 10Ar + H-5 Ar + H-6 Ar + H-2 Ar), 8.43 (s, 1H, CH=N), 11.44 (s, 1H, CONH, exchangeable with D2O). 13C-NMR (101 MHz, CDCl3): δ 162.95, 153.71, 153.70, 150.61, 144.49, 144.43, 144.36, 142.39, 140.74, 137.49, 128.50, 128.19, 128.18, 128.16, 127.71, 127.25, 122.14, 120.67, 118.57, 116.46, 112.90, 112.88, 111.68, 86.98, 73.64, 71.24, 57.37. Anal calcd. for C27H25N5O4F2. Calcd: %C 62.18, %H 4.83, %N 13.43; found: %C 62.15, %H 4.40, %N 13.01.
4.2. In Vitro Antioxidant Activity (DPPH Assay)
4.3. Human Platelet Assays
4.3.1. Material
4.3.2. Blood Collection and Preparative Procedures
4.3.3. ROS Assay
4.3.4. Platelet Aggregation
4.4. Cell Growth Inibitory activity
MTT Assay
Supplementary Materials
Author Contributions
Funding
Institutional Review Board Statement
Informed Consent Statement
Data Availability Statement
Acknowledgments
Conflicts of Interest
References
- Ebenezer, O.; Shapi, M.; Tuszynski, J.A. A Review of the Recent Development in the Synthesis and Biological Evaluations of Pyrazole Derivatives. Biomedicines 2022, 10, 1124–1180. [Google Scholar] [CrossRef]
- Karrouchi, K.; Radi, S.; Ramli, Y.; Taoufik, J.; Mabkhot, Y.N.; Al-aizari, F.A.; Ansar, M. Synthesis and Pharmacological Activities of Pyrazole Derivatives: A Review. Molecules 2018, 23, 134–219. [Google Scholar] [CrossRef]
- Karati, D.; Mahadik, K.R.; Kumar, D. Pyrazole Scaffolds: Centrality in Anti-Inflammatory and Antiviral Drug Design. Med. Chem. 2022, 18, 1060–1072. [Google Scholar] [CrossRef]
- Karati, D.; Mahadik, K.R.; Trivedi, P.; Kumar, D. A Molecular Insight into Pyrazole Congeners as Antimicrobial, Anticancer, and Antimalarial Agents. Med. Chem. 2022, 18, 1044–1059. [Google Scholar] [CrossRef]
- Ansari, A.; Ali, A.; Asif, M. Biologically active pyrazole derivatives. New J. Chem. 2017, 41, 16–41. [Google Scholar] [CrossRef]
- Li, M.; Zhao, B.X. Progress of the synthesis of condensed pyrazole derivatives (from 2010 to mid-2013). Eur. J. Med. Chem 2014, 85, 311–340. [Google Scholar] [CrossRef]
- Dadiboyena, S.; Nefzi, A. Synthesis of functionalized tetrasubstituted pyrazolyl heterocycles--a review. Eur. J. Med. Chem. 2011, 46, 5258–5275. [Google Scholar] [CrossRef]
- Abu-Hashem, A.A.; Aly, A.S. Synthesis of New Pyrazole, Triazole, Thiazolidine, -Pyrimido [4,5-b] quinoline derivatives with Potential Antitumor Activity. Arch. Pharm. Res. 2012, 35, 437–445. [Google Scholar] [CrossRef]
- Abu-Hashem, A. Synthesis of new pyrazoles, oxadiazoles, triazoles, pyrrolotriazines and pyrrolotriazepines as potential cytotoxic agents. J. Heter. Chem. 2021, 58, 805–821. [Google Scholar] [CrossRef]
- Silva, V.L.; Silva, A.M.S. Special Issue “Recent Advances in the Synthesis, Functionalization and Applications of Pyrazole-Type Compounds”. Molecules 2021, 26, 4989. [Google Scholar] [CrossRef] [PubMed]
- Silva, V.L.M.; Silva, A.M.S. Special Issue Recent Advances in the Synthesis, Functionalization and Applications of Pyrazole-Type Compounds II. Molecules 2023, 28, 5873. [Google Scholar] [CrossRef]
- Lusardi, M.; Spallarossa, A.; Brullo, C. Amino-Pyrazoles in Medicinal Chemistry: A Review. IJMS 2023, 24, 7834. [Google Scholar] [CrossRef]
- Bennani, F.E.; Doudach, L.; Cherrah, Y.; Ramli, Y.; Karrouchi, K.; Ansar, M.; Faouzi, M.E.A. Overview of recent developments of pyrazole derivatives as an anticancer agent in different cell line. Bioorg. Chem. 2020, 97, 103470. [Google Scholar] [CrossRef]
- Küçükgüzel, Ş.G.; Şenkardeş, S. Recent advances in bioactive pyrazoles. Eur. J. Med. Chem. 2015, 97, 786–815. [Google Scholar] [CrossRef]
- Bekhit, A.A.; Hymete, A.; El-Din A Bekhit, A.; Damtew, A.; Aboul-Enein, H.Y. Pyrazoles as promising scaffold for the synthesis of anti-inflammatory and/or antimicrobial agent: A review. Mini Rev. Med. Chem. 2010, 10, 1014–1033. [Google Scholar] [CrossRef]
- Bennani, F.E.; Doudach, L.; El Rhayam, Y.; Karrouchi, K.; Cherrah, Y.; Tarib, A.; Ansar, M.; Faouzi, M.E.A. Identification of the new progress on Pyrazole Derivatives Molecules as Antimicrobial and Antifungal Agents. West Afr. J. Med. 2022, 39, 1217–1244. [Google Scholar]
- Anwara, H.F.; Mohamed, H.E. Recent developments in aminopyrazole chemistry. ARKIVOC 2009, 198–250. Available online: https://www.arkat-usa.org/get-file/29257/ (accessed on 8 May 2024). [CrossRef]
- Abu Elmaati, T.M.; El-Taweel, F.M. New Trends in the Chemistry of 5-Aminopyrazoles. J. Heterocycl. Chem. 2004, 41, 109–134. [Google Scholar] [CrossRef]
- Goldstein, D.M.; Alfredson, T.; Bertrand, J.; Browner, M.F.; Clifford, K.; Dalrymple, S.A.; Dunn, J.; Freire-Moar, J.; Harris, S.; Labadie, S.S.; et al. Discovery of S-[5-Amino-1-(4-fluorophenyl)-1H-pyrazol-4-yl]-[3-(2,3-dihydroxypropoxy)phenyl]-methanone (RO3201195), an Orally Bioavailable and Highly Selective Inhibitor of p38 Map Kinase. J. Med. Chem. 2006, 49, 1562–1575. [Google Scholar] [CrossRef]
- Bagley, M.C.; Davis, T.; Dix, M.C.; Murziani, P.G.S.; Rokicki, M.J.; Kipling, D. Microwave-assisted synthesis of 5-aminopyrazol-4-yl ketones and the p38MAPK inhibitor RO3201195 for study in Werner syndrome cells. Bioorg. Med. Chem. Lett. 2008, 18, 3745–3748. [Google Scholar] [CrossRef]
- Röhm, S.; Berger, B.T.; Schröder, M.; Chaikuad, A.; Winkel, R.; Hekking, K.F.W.; Benningshof, J.J.C.; Müller, G.; Tesch, R.; Kudolo, M.; et al. Fast Iterative Synthetic Approach toward Identification of Novel Highly Selective p38 MAP Kinase Inhibitors. J. Med. Chem. 2019, 62, 10757–10782. [Google Scholar] [CrossRef] [PubMed]
- Röhm, S.; Schröder, M.; Dwyer, J.E.; Widdowson, C.S.; Chaikuad, A.; Berger, B.T.; Joerger, A.C.; Krämer, A.; Harbig, J.; Dauch, D.; et al. Selective targeting of the αC and DGF-out pocket in p38 MAPK. Eur. J. Med. Chem. 2020, 208, 112721–112755. [Google Scholar] [CrossRef] [PubMed]
- Fadaly, W.A.A.; Elshaier, Y.A.M.M.; Hassanein, E.H.M.; Abdellatif, K.R.A. New 1,2,4-triazole/pyrazole hybrids linked to oxime moiety as nitric oxide donor celecoxib analogs: Synthesis, cyclooxygenase inhibition antiinflammatory, ulcerogenicity, anti-proliferative activities, apoptosis, molecular modeling and nitric oxide release studies. Bioorg. Chem. 2020, 98, 103752–103771. [Google Scholar] [CrossRef] [PubMed]
- Ibrahim, H.S.; Abou-Seri, S.H.; Tanc, M.; Elaasser, M.M.; Abdel-Aziz, H.A.; Supuran, C.T. Isatin-pyrazole benzenesulfonamide hybrids potently inhibit tumor-associated carbonic anhydrase isoforms IX and XII. Eur. J. Med. Chem. 2015, 103, 583–593. [Google Scholar] [CrossRef] [PubMed]
- Pippione, A.C.; Sainas, S.; Federico, A.; Lupino, E.; Piccinini, M.; Kubbutat, M.; Contreras, J.M.; Morice, C.; Barge, A.; Ducime, A.; et al. N-Acetyl-3-aminopyrazoles block the noncanonical NF-κB cascade by selectively inhibiting NIK. Med. Chem. Commun. 2018, 9, 963–968. [Google Scholar] [CrossRef] [PubMed]
- Hassan, A.Y.; Saleh, N.M.; Kadh, M.S.; Abou-Amra, E.S. New fused pyrazolopyrimidine derivatives; heterocyclic styling, synthesis, molecular docking and anticancer evaluation. J. Heterocycl. Chem. 2020, 57, 2704–2721. [Google Scholar] [CrossRef]
- De, S.K. Pirtobrutinib: First Non-covalent Tyrosine Kinase Inhibitor for Treating Relapsed or Refractory Mantle Cell Lymphoma in Adults. Curr. Med. Chem. 2023; ahead of print. [Google Scholar] [CrossRef]
- Schultze, M.D.; Reeves, D.J. Pirtobrutinib: A New and Distinctive Treatment Option for B-Cell Malignancies. Ann. Pharmacother. 2024, 10600280231223737. [Google Scholar] [CrossRef] [PubMed]
- Roskoski, R. Properties of FDA-approved small molecule protein kinase inhibitors: A 2024 update. Pharmacol. Res. 2024, 200, 107059. [Google Scholar] [CrossRef]
- Mato, A.R.; Shah, N.N.; Jurczak, W.; Cheah, C.Y.; Pagel, J.M.; Woyach, J.A.; Fakhri, B.; Eyre, T.A.; Lamanna, N.; Patel, M.R. Pirtobrutinib in relapsed or refractory B-cell malignancies (BRUIN): A phase 1/2 study. Lancet 2021, 397, 892–901. [Google Scholar] [CrossRef]
- Brandhuber, B.J.; Ku, N.C.Y.; Nanda, N.; Smith, S.A.; Tsai, D. Dosing of a Bruton’s Tyrosine Kinase inhibitor. PCT Int. Appl. WO 2021113497, 10 June 2021. [Google Scholar]
- Telaraja, D.; Kasamon, Y.L.; Collazo, J.S.; Leong, R.; Wang, K.; Li, P.; Dahmane, E.; Yang, Y.; Earp, J.; Grimstein, M.; et al. FDA Approval Summary: Pirtobrutinib for Relapsed or Refractory Mantle Cell Lymphoma. Clin. Cancer Res. 2024, 30, 17–22. [Google Scholar] [CrossRef]
- Gomez, E.B.; Ebata, K.; Randeria, H.S.; Rosendahl, M.S.; Cedervall, E.P.; Morales, T.H.; Hanson, L.M.; Brown, N.E.; Gong, X.; Stephens, J.R.; et al. Pirtobrutinib preclinical characterization: A highly selective, non-covalent (reversible) BTK inhibitor. Blood 2023, 142, 62–72. [Google Scholar] [CrossRef]
- Spallarossa, A.; Rapetti, F.; Signorello, M.G.; Rosano, C.; Iervasi, E.; Ponassi, M.; Brullo, C. Insights on pharmacological activity of imidazo-pyrazole scaffold. ChemMedChem 2023, 18, e202300252. [Google Scholar] [CrossRef]
- Brullo, C.; Russo, E.; Garibaldi, S.; Altieri, P.; Ameri, P.; Ravera, S.; Signorello, M.G. Inside the Mechanism of Action of Three Pyrazole Derivatives in Human Platelets and Endothelial Cells. Antioxidants 2023, 12, 216. [Google Scholar] [CrossRef]
- Benoit, G. Hydroxyalkyl hydrazines. Bull. Soc. Chim. Fr. 1939, 6, 708–715. [Google Scholar]
- Schenone, S.; Bruno, O.; Ranise, A.; Bondavalli, F.; Brullo, C.; Fossa, P.; Mosti, L.; Menozzi, G.; Carraro, F.; Naldini, A.; et al. New pyrazolo [3,4-d]pyrimidines endowed with A431 antiproliferative activity and inhibitory properties of Src phosphorylation. Bioorg. Med. Chem. Lett. 2004, 14, 2511–2517. [Google Scholar] [CrossRef]
- Lusardi, M.; Wehrle-Haller, B.; Sidibe, A.; Ponassi, M.; Iervasi, E.; Rosano, C.; Brullo, C.; Spallarossa, A. Novel 5-aminopyrazoles endowed with anti-angiogenetic properties: Design, synthesis and biological evaluation. Eur. J. Med. Chem. 2023, 260, 115727. [Google Scholar] [CrossRef]
- Meta, E.; Brullo, C.; Sidibè, A.; Imhof, B.A.; Bruno, O. Design, synthesis, and biological evaluation of new pyrazolyl-ureas and imidazopyrazolecarboxamides able to interfere with MAPK and PI3K upstream signalling involved in the angiogenesis. Eur. J. Med. Chem. 2017, 133, 24–35. [Google Scholar] [CrossRef]
- Zuo, S.J.; Li, S.; Yu, R.H.; Zheng, G.X.; Cao, Y.X.; Zhang, S.Q. Discovery of novel 3-benzylquinazolin-4(3H)-ones as potent vasodilative agents. Bioorg. Med. Chem. Lett. 2014, 24, 5597–5601. [Google Scholar] [CrossRef]
- Lampe, T.; Alonso-alija, C.; Stelte-ludwig, B.; Sandner, P.; Bauser, M.; Beck, H.; Lustig, K.; Rosentreter, U.; Stahl, E.; Takagi, H. Substituted 4-benzyloxy-phenylmethylamide Derivatives as Cold Menthol Receptor-1 (cmr-i) Antagonists for the Treatment of Urological Disorder. PCT Int. Appl. Bayer Heatlthcare, WO 2006040136, 20 April 2006. [Google Scholar]
- Singleton, V.L.; Orthofer, R.; Lamuela-Raventós, R.M. Analysis of total phenols and other oxidation substrates and antioxidants by means of Folin-Ciocalteu reagent. In Methods in Enzymology; Academic Press Ltd.: Cambridge, MA, USA; Elsevier Science Ltd.: London, UK, 1999; Volume 299, pp. 152–178. [Google Scholar]
- Russo, E.; Spallarossa, A.; Comite, A.; Pagliero, M.; Guida, P.; Belotti, V.; Caviglia, D.; Schito, A.M. Valorization and Potential Antimicrobial Use of Olive Mill Wastewater (OMW) from Italian Olive Oil Production. Antioxidants 2022, 11, 903. [Google Scholar] [CrossRef]
- Croce, K.; Libby, P. Intertwining of thrombosis and inflammation in atherosclerosis. Curr. Opin. Hematol. 2007, 14, 55–61. [Google Scholar] [CrossRef]
- Cuesta, Á.M.; Palao, N.; Bragado, P.; Gutierrez-Uzquiza, A.; Herrera, B.; Sánchez, A.; Porras, A. New and Old Key Players in Liver Cancer. Int. J. Mol. Sci. 2023, 24, 17152. [Google Scholar] [CrossRef]
- Taniyama, Y.; Griendling, K.K. Reactive oxygen species in the vasculature: Molecular and cellular mechanisms. Hypertension 2023, 42, 1075–1081. [Google Scholar] [CrossRef]
- Alexander, Y.; Osto, E.; Schmidt-Trucksäss, A.; Shechter, M.; Trifunovic, D.; Duncker, D.J.; Aboyans, V.; Bäck, M.; Badimon, L.; Cosentino, F.; et al. Endothelial function in cardiovascular medicine: A consensus paper of the European Society of Cardiology Working Groups on Atherosclerosis and Vascular Biology, Aorta and Peripheral Vascular Diseases, Coronary Pathophysiology and Microcirculation, and Thrombosis. Cardiovasc. Res. 2021, 117, 29–42. [Google Scholar] [CrossRef]
- Available online: http://dtp.cancer.gov (accessed on 30 March 2024).
- Daina, A.; Michielin, O.; Zoete, V. SwissADME: A free web tool to evaluate pharmacokinetics, drug-likeness and medicinal chemistry friendliness of small molecules. Sci. Rep. 2017, 7, 42717–42729. [Google Scholar] [CrossRef]
- Delaney, J.S. ESOL: Estimating Aqueous Solubility Directly from Molecular Structure. J. Chem. Inf. Model. 2004, 44, 1000–1005. [Google Scholar] [CrossRef]
- Brenk, R.; Schipani, A.; James, D.; Krasowski, A.; Gilbert, I.H.; Frearson, J.; Wyatt, P.G. Lessons learnt from assembling screening libraries for drug discovery for neglected diseases. ChemMedChem 2008, 3, 435–444. [Google Scholar] [CrossRef]
- Available online: https://comptox.charite.de/protox3/index.php?site=models (accessed on 30 April 2024).
- Drwal, M.N.; Banerjee, P.; Dunkel, M.; Wettig, M.R.; Preissner, R. ProTox: A web server for the in silico prediction of rodent oral toxicity. Nucleic Acids Res. 2014, 42, W53–W58. [Google Scholar] [CrossRef]
- Banerjee, P.; Dehnbostel, F.O.; Preissner, R. Prediction Is a Balancing Act: Importance of Sampling Methods to Balance Sensitivity and Specificity of Predictive Models Based on Imbalanced Chemical Data Sets. Front. Chem. 2018, 6, 362. [Google Scholar] [CrossRef]
- Banerjee, P.; Eckert, A.O.; Schrey, A.K.; Preissner, R. ProTox-II: A webserver for the prediction of toxicity of chemicals. Nucleic Acids Res. 2018, 46, W257–W263. [Google Scholar] [CrossRef]
- Mielnik, M.B.; Olsen, E.; Vogt, G.; Adeline, D.; Skrede, G. Grape seed extract as antioxidant in cooked, cold stored turkey meat. LWT-Food Sci. Technol. 2006, 39, 191–198. [Google Scholar] [CrossRef]
- Aree, T.; Jongrungruangchok, S. Structure–antioxidant activity relationship of β-cyclodextrin inclusion complexes with olive tyrosol, hydroxytyrosol and oleuropein: Deep insights from X-ray analysis, DFT calculation and DPPH assay. Carbohydr. Polym. 2018, 199, 661–669. [Google Scholar] [CrossRef] [PubMed]
- Maresca, M.; Colao, C.; Leoncini, G. Generation of hydrogen peroxide in resting and activated platelets. Cell Biochem. Funct. 1992, 10, 79–85. [Google Scholar] [CrossRef] [PubMed]
- Born, G.V.R. Aggregation of blood platelets by adenosine diphosphate and its reversal. Nature 1962, 194, 927–929. [Google Scholar] [CrossRef] [PubMed]




| Compounds | R′ | R″ |
|---|---|---|
| 1a | // | CH3 |
| 1b | CH3 | CH3 |
| 1c | C6H5 | CH3 |
| 1d | CH2C6H5 | CH3 |
| 1e | CH3 | CH2C6H4-pF |
| 1f | CH3 | CH2C6H4-mF |
| 1g | CH3 | CH2C6H4-pCl |
| 1h | CH2C6H4-mF | CHF2 |
| 1i | CH2C6H4-pCl | CHF2 |
| 2a | CH3 | CHF2 |
| 2b | C6H5 | CHF2 |
| 2c | CH2C6H5 | CHF2 |
| 3a | CH3 | CHF2 |
| 3b | C6H5 | CHF2 |
| 3c | CH2C6H5 | CHF2 |
| 4a | CH3 | CHF2 |
| 4b | C6H5 | CHF2 |
| 4c | CH2C6H5 | CHF2 |
| Compound | A (517 nm) a | DPPH% b | AA% b |
|---|---|---|---|
| 1a | 0.917 | 99.48 ± 0.31 | 0.30 ± 0.31 |
| 1b | 0.909 | 98.93 ± 0.15 | 1.17 ± 0.15 |
| 1c | 0.917 | 99.59 ± 0.08 | 0.36 ± 0.08 |
| 1d | 0.881 | 95.56 ± 0.31 | 4.22 ± 0.31 |
| 1e | 0.910 | 98.83 ± 0.15 | 1.07 ± 0.15 |
| 1f | 0.912 | 99.04 ± 0.15 | 0.85 ± 0.15 |
| 1g | 0.909 | 98.72 ± 0.15 | 1.17 ± 0.15 |
| 1h | 0.869 | 94.59 ± 0.15 | 5.52 ± 0.15 |
| 1i | 0.864 | 93.93 ± 0.08 | 6.12 ± 0.08 |
| 2a | 0.900 | 97.85 ± 0.08 | 2.21 ± 0.08 |
| 2b | 0.867 | 94.48 ± 0.38 | 5.79 ± 0.38 |
| 2c | 0.872 | 94.91 ± 0.23 | 5.25 ± 0.23 |
| 3a | 0.914 | 98.93 ± 0.54 | 0.68 ± 0.54 |
| 3b | 0.915 | 99.37 ± 0.08 | 0.58 ± 0.08 |
| 3c | 0.865 | 94.37 ± 0.46 | 5.96 ± 0.46 |
| 4a | 0.873 | 94.69 ± 0.31 | 5.09 ± 0.31 |
| 4b | 0.666 | 72.08 ± 0.38 | 27.65 ± 0.38 |
| 4c | 0.778 | 84.47 ± 0.08 | 15.47 ± 0.08 |
| DPPH | 0.920 | - | - |
| IC50 (μM) a | ||
|---|---|---|
| Compound | Aggregation Inhibition | ROS Production Inhibition |
| 1a | 560 ± 27 | 473 ± 43 |
| 1b | 137 ± 5 | 143 ± 12 |
| 1c | 483 ± 12 | 451 ± 42 |
| 1d | 851 ± 17 | 923 ± 62 |
| 1e | 953 ± 18 | 960 ± 32 |
| 1f | >1000 | >1000 |
| 1g | 914 ± 22 | 902 ± 43 |
| 1h | 187 ± 33 | 236 ± 47 |
| 1i | 190 ± 43 | 240 ± 53 |
| 2a | 221 ± 26 | 198 ± 26 |
| 2b | 334 ± 22 | 302 ± 36 |
| 2c | >1000 | >1000 |
| 3a | 130 ± 18 | 143 ± 13 |
| 3b | 113 ± 3 | 128 ± 5 |
| 3c | 116 ± 3 | 139 ± 12 |
| 4a | 146 ± 24 | 186 ± 18 |
| 4b | 178 ± 27 | 145 ± 28 |
| 4c | 169 ± 28 | 205 ± 24 |
| ASA | 438 ± 18 | n.d. |
| NAC | n.d. | 872 ± 26 |
| Compound | Cancer Cell Lines | Cell Growth Percent (%) | |
|---|---|---|---|
| 1c | Leukemia | RPMI-8226 SR | 48.0 44.43 |
| Colon Cancer | HCT-15 KM12 | 49.2 50.97 | |
| Breast Cancer | T-47D | 33.11 | |
| 1d | Leukemia | CCRF-CEM MOLT-4 K-562 SR | 34.92 43.36 50.96 40.25 |
| Colon Cancer | KM12 | 44.11 | |
| Breast Cancer | T-47D | 25.19 | |
| 1e | Renal Cancer | CAKI-1 | 32.41 |
| 1f | Leukemia | CCRF-CEM RPMI-8226 | 43.46 50.80 |
| Breast Cancer | T-47D | 35.88 | |
| 1g | Colon Cancer | HCT-116 | 49.35 |
| Ovarian Cancer | OVCAR-3 | 45.03 | |
| Breast Cancer | HS 578t | 43.21 | |
| 3a | Leukemia | K-562 MOLT-4 RPMI-8226 SR | 38.64 37.84 45.20 40.35 |
| Melanoma | SK-MEL-5 | 50.43 | |
| Breast Cancer | T-47D | 44.38 | |
| 3c | Leukemia | CCRF-CEM K-562 MOLT-4 RPMI-8226 SR | 45.70 29.16 35.03 46.77 41.04 |
| Prostate Cancer | PC-3 | 48.28 |
| 1c | 1d | 1f | 1g | Cis-Pt | |
|---|---|---|---|---|---|
| Breast cancer cell line | |||||
| MCF7 | >80 | >80 | >80 | 52.14% | 72.74% |
| MDA-MB231 | >80 | >80 | >80 | 55.0% | 72.74% |
| SK-BR3 | >80 | >80 | 65.37% | 44.78% (GI50 = 14.4 ± 0.3 μM) | 70.59% (GI50 = 25.7 ± 3.3 μM) |
Disclaimer/Publisher’s Note: The statements, opinions and data contained in all publications are solely those of the individual author(s) and contributor(s) and not of MDPI and/or the editor(s). MDPI and/or the editor(s) disclaim responsibility for any injury to people or property resulting from any ideas, methods, instructions or products referred to in the content. |
© 2024 by the authors. Licensee MDPI, Basel, Switzerland. This article is an open access article distributed under the terms and conditions of the Creative Commons Attribution (CC BY) license (https://creativecommons.org/licenses/by/4.0/).
Share and Cite
Rapetti, F.; Spallarossa, A.; Russo, E.; Caviglia, D.; Villa, C.; Tasso, B.; Signorello, M.G.; Rosano, C.; Iervasi, E.; Ponassi, M.; et al. Investigations of Antioxidant and Anti-Cancer Activities of 5-Aminopyrazole Derivatives. Molecules 2024, 29, 2298. https://doi.org/10.3390/molecules29102298
Rapetti F, Spallarossa A, Russo E, Caviglia D, Villa C, Tasso B, Signorello MG, Rosano C, Iervasi E, Ponassi M, et al. Investigations of Antioxidant and Anti-Cancer Activities of 5-Aminopyrazole Derivatives. Molecules. 2024; 29(10):2298. https://doi.org/10.3390/molecules29102298
Chicago/Turabian StyleRapetti, Federica, Andrea Spallarossa, Eleonora Russo, Debora Caviglia, Carla Villa, Bruno Tasso, Maria Grazia Signorello, Camillo Rosano, Erika Iervasi, Marco Ponassi, and et al. 2024. "Investigations of Antioxidant and Anti-Cancer Activities of 5-Aminopyrazole Derivatives" Molecules 29, no. 10: 2298. https://doi.org/10.3390/molecules29102298
APA StyleRapetti, F., Spallarossa, A., Russo, E., Caviglia, D., Villa, C., Tasso, B., Signorello, M. G., Rosano, C., Iervasi, E., Ponassi, M., & Brullo, C. (2024). Investigations of Antioxidant and Anti-Cancer Activities of 5-Aminopyrazole Derivatives. Molecules, 29(10), 2298. https://doi.org/10.3390/molecules29102298

