Adsorption Potential, Speciation Transformation, and Risk Assessment of Hg-, Cd-, and Pb-Contaminated Soils Using Biochar in Combination with Potassium Dihydrogen Phosphate
Abstract
1. Introduction
2. Results and Discussion
2.1. Physicochemical Properties of Corn Straw Biochar
2.2. Microstructure of Corn Straw Biochar Powder
2.3. Preparation and Analysis of Indoor Composite-Polluted Soil
2.4. The Adsorption Potential of Biochar for Soil Heavy Metals
2.4.1. Isothermal Adsorption Experiment
2.4.2. Kinetic Adsorption Experiment
2.5. Near-Infrared Spectra of Biochar before and after Adsorption of Metal Ions
2.6. Laboratory Experiment of Biochar- and KH2PO4-Passivated Soil
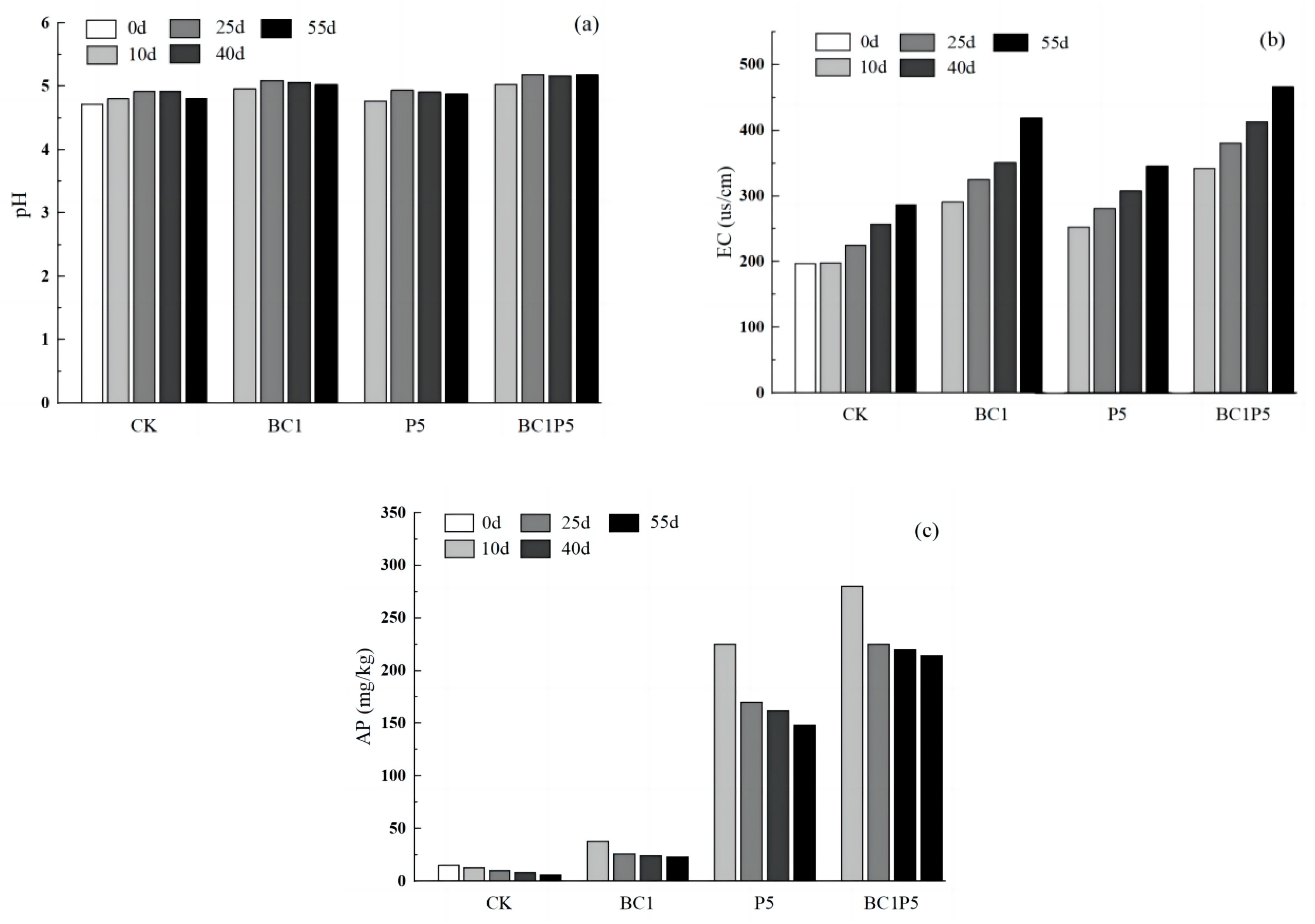
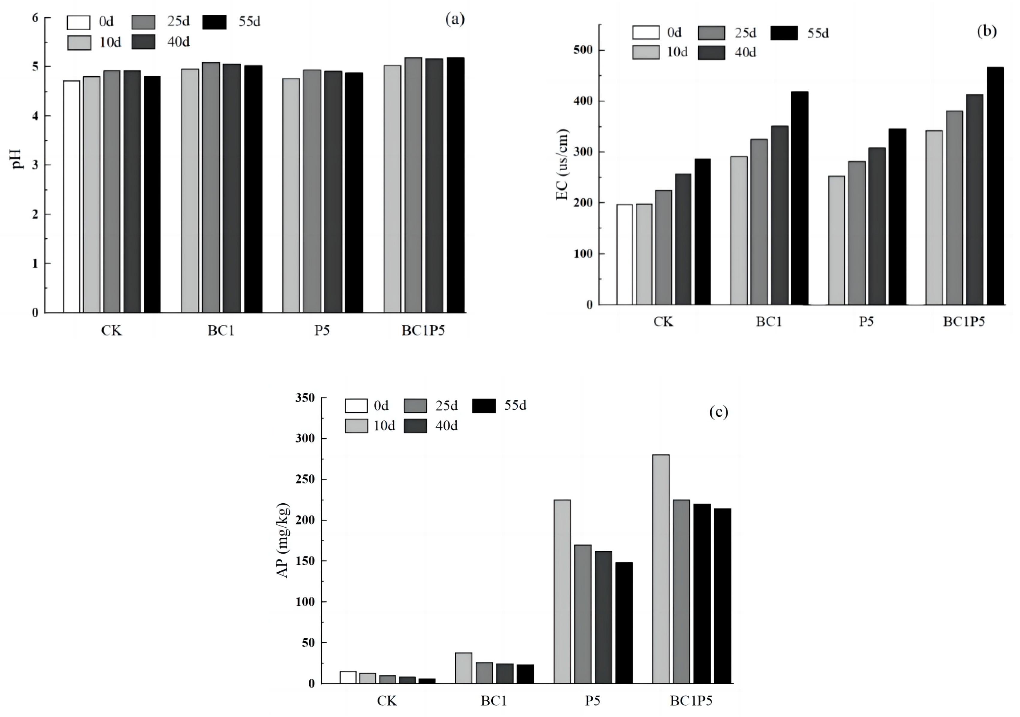
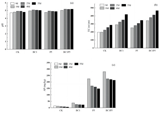
2.6.1. Dynamic Effect of Soil’s Physicochemical Properties
- (1)
- Dynamic effect of pH value
- (2)
- Dynamic effect of EC
- (3)
- Dynamic effect of available phosphorus content
2.6.2. Effect on the Distribution of Heavy Metals in Soil
2.7. Evaluation of the Remediation Effect of Biochar- and KH2PO4-Passivated Soil
2.8. Field Demonstration Study of Biochar- and KH2PO4-Passivated Soil
3. Materials and Methods
3.1. Preparation of Composite Materials
3.2. Preparation of Indoor Composite-Polluted Soil
3.3. Isothermal Adsorption Experiment
3.4. Kinetic Adsorption Experiment
3.5. Near-Infrared Spectra of Biochar before and after Adsorption of Metal Ions
3.6. Laboratory Experiment of Biochar- and KH2PO4-Passivated Soil
3.7. Evaluation of the Remediation Effect of Biochar- and KH2PO4-Passivated Soil
3.8. Field Demonstration Study of Biochar- and KH2PO4-Passivated Soil
4. Conclusions
Author Contributions
Funding
Institutional Review Board Statement
Informed Consent Statement
Data Availability Statement
Acknowledgments
Conflicts of Interest
References
- Liu, L.; Li, W.; Song, W.; Guo, M. Remediation techniques for heavy metal-contaminated soils: Principles and applicability. Sci. Total Environ. 2018, 633, 206–219. [Google Scholar] [CrossRef] [PubMed]
- Li, W.D.; Cui, Y.X.; Zeng, C.C.; Zhu, Y.Q.; Peng, Y.; Wang, K.; Li, S.J. Pollution characteristics and source analysis of heavy metals in farmland soils in the Taige Canal Valley. Environ. Sci. 2019, 40, 5073–5081. [Google Scholar]
- Zhang, X.; Yang, H.; Cui, Z. Evaluation and analysis of soil migration and distribution characteristics of heavy metals in iron tailings. J. Clean. Prod. 2018, 172, 475–480. [Google Scholar] [CrossRef]
- Xu, L.; Dai, H.; Wei, S. Advances of washing agents in remediation of heavy metal contaminated soil. China Environ. Sci. 2021, 41, 5237–5244. [Google Scholar]
- Dong, Y.; Zeng, W.; Lin, H.; Yang, Y. Preparation of Fe2O3-coated vermiculite composite by hydrophobic agglomeration and its application in As/Cd co-contaminated soil. Environ. Technol. 2020, 43, 83–94. [Google Scholar] [CrossRef] [PubMed]
- Zhao, Q.Y.; Li, X.M.; Yang, Q.; Chen, C.; Zhong, Z.Y.; Zhong, Y.; Chen, F.; Chen, X.F.; Wang, X. Passivation of Simulated Pb-and Cd-Contaminated Soil by Applying Combined Treatment of Phosphate, Humic Acid, and Fly Ash. Environ. Sci. 2018, 39, 389–398. [Google Scholar]
- Lyu, H.; Zhang, H.; Liu, Y.; Shen, B.; Wang, X.; Yang, W.; Bao, L.; Cao, C.; Chi, Y. Immobilization of heavy metals in contaminated soils using MnOx/biochar composites. Environ. Chem. 2021, 40, 2704–2714. [Google Scholar]
- Fu, Y.H.; Zhang, H.L.; Wang, Y.; Liu, H.; Duan, N. immobilization of soil contaminated by lead and cadmium using phosphate. Environ. Eng. 2017, 35, 176–180. [Google Scholar]
- Xu, L.; Zhang, M.; Yang, H. Research Progress of Remediation of Heavy Metal Contaminated Soil. J. Anhui Agric. Sci. 2011, 39, 3419–3422. [Google Scholar]
- Zhao, J.; Zhu, J.; Zhuang, C.; Zheng, Z.; Li, S.; Li, X. Removal Performance and Mechanism of Lead and Cadmium in Water by Corn Straw Biochar. Biomass Chem. Eng. 2022, 56, 15–24. [Google Scholar]
- Ma, K.; Zhang, H.; Song, N.; Wang, F.; Lin, D. Mechanism of cadmium adsorption by oxidative aging corn straw biochar. J. Agro-Environ. Sci. 2022, 41, 1230–1240. [Google Scholar]
- Li, S.; Zheng, X.; Gong, J.; Xue, X.; Yang, H. Preparation of zinc chloride and sulfur modified cornstalk biochar and its stabilization effect on mercury contaminated soil. Chin. J. Environ. Eng. 2021, 15, 1403–1408. [Google Scholar]
- Zhong, J.; Ding, L.; Li, L.; Li, J.; Zheng, B.; Xie, X. Adsorption of copper content rate on maize straw biochar and influential factors concerned. J. Saf. Environ. 2020, 20, 1862–1870. [Google Scholar]
- Chen, Y. Remediation of Heavy Metal Contaminated Soil by Combined Technology of Chemical Washing and Solidification/Stabilization. J. Anhui Agric. Sci. 2016, 44, 156–158. [Google Scholar]
- Zhang, Y.; Lu, C.; Xu, M.; Pan, L.; Lan, N.C.; Tang, Q. In Research Progress on Stabilization/Solidification Technique for Remediation of Heavy Metals Contaminated Soil. In Proceedings of the International Conference on Geo-Spatial Technologies and Earth Resources, Hanoi, Vietnam, 5–6 October 2017; pp. 315–325. [Google Scholar]
- Wang, Y.; Zhao, T.; Wang, W. On adsorptive property of Th(Ⅳ)from aqueous solution via cornstalk biochar. J. Saf. Environ. 2020, 20, 2375–2382. [Google Scholar]
- Wu, D.; Gao, X.; Zhang, R.; Wei, C.; Hu, G. Remediation of Hg, Cd, Pb Contaminated Soil by Biochar from Corn Straw Pyrolyzed Combined with Potassium Dihydrogen Phosphate: Adsorption Potential, Speciation Transformation, and Risk Assessment. SSRN Electron. J. 2022. [Google Scholar] [CrossRef]
- Shang, F. Study on Oxidation Characteristics and Kinetics of Nonstick Coal during Spontaneous Combustion. Lanzhou. Master’s Thesis, University of Technology, Lanzhou, China, 2020. [Google Scholar]
- Li, B.; Yang, L.; Wang, C.Q.; Zhang, Q.P.; Liu, Q.C.; Li, Y.D.; Xiao, R. Adsorption of Cd(II) from aqueous solutions by rape straw biochar derived from different modification processes. Chemosphere 2017, 175, 332–340. [Google Scholar] [CrossRef]
- Wang, J.; Cui, L.; Ren, Y.; Zou, Y.; Ma, J.; Wang, C.; Zheng, Z.; Chen, X.; Zeng, R.; Zheng, Y. In vitro and in vivo biodegradation and biocompatibility of an MMT/BSA composite coating upon magnesium alloy AZ31. J. Mater. Sci. Technol. 2020, 47, 52–67. [Google Scholar] [CrossRef]
- Zhang, D. Adsorption of Cu2+, Pb2+, Cd2+ in Water by Polyethyleneimine Functionalized Straw Biochar. Master’s Thesis, Northeast Normal University, Changchun, China, 2020. [Google Scholar]
- Leng, L.; Huang, H. An overview of the effect of pyrolysis process parameters on biochar stability. Bioresour. Technol. 2018, 270, 627–642. [Google Scholar] [CrossRef] [PubMed]
- Cheng, S.; Chen, T.; Xu, W.; Huang, J.; Jiang, S.; Yan, B. Application Research of Biochar for the Remediation of Soil Heavy Metals Contamination: A Review. Molecules 2020, 25, 3167. [Google Scholar] [CrossRef] [PubMed]
- Cao, X.; Ma, L.; Gao, B.; Harris, W. Daiery-Manure Derived Biochar Effectively Sorbs Lead and Atrazine. Environ. Sci. Technol. 2009, 43, 3285–3291. [Google Scholar] [CrossRef]
- GB 15618-2018. Available online: https://www.chinesestandard.net/Related.aspx/GB15618-2018 (accessed on 5 May 2024).
- GB 15618-2018; Soil Environmental Quality Control Standard 536 for Agricultural Land Soil Pollution Risk (Trial). Ministry of Ecology and Environment: Beijing, China, 2018.
- Cao, X.; Ma, L.; Gao, B.; Harris, W. Water Regulation Influence on Passivation Effect of Heavy Metals. Chin. Agric. Sci. Bull. 2017, 33, 88–93. [Google Scholar]
- GB/T 17140-1997. Available online: https://codeofchina.com/standard/GBT17140-1997.html (accessed on 5 May 2024).
- Huang, F.; Gao, L.Y.; Wu, R.R.; Wang, H.; Xiao, R.B. Qualitative and quantitative characterization of adsorption mechanisms for Cd2+ by silicon-rich biochar. Sci. Total Environ. 2020, 731, 139163. [Google Scholar] [CrossRef] [PubMed]
- Sun, Y.; Gao, B.; Yao, Y.; Fang, J.; Zhang, M.; Zhou, Y.; Chen, H.; Yang, L. Effects of feedstock type, production method, and pyrolysis temperature on biochar and hydrochar properties. Chem. Eng. J. 2014, 240, 574–578. [Google Scholar] [CrossRef]
- Liu, J.; Zhang, N.; Yuan, Q. Passivation effect and influencing factors of different passivators on lead-cadmium compound contaminated soils. Ecol. Environ. Sci. 2021, 30, 1732–1741. [Google Scholar]
- Gu, P.; Zhang, Y.; Xie, H.; Wei, J.; Zhang, X.; Huang, X.; Wang, J.; Lou, X. Effect of cornstalk biochar onphytoremediation of Cd-contaminated soil by Beta vulgaris var. cicla L. Ecotoxicol. Environ. Saf. 2020, 205, 111144. [Google Scholar] [CrossRef] [PubMed]
- Weng, X.; Long, H.; Yang, X.; Luo, Z.; Su, X.; Wang, W. Effects of combined amendments on the absorption of heavy metals by Eucalyptus-taking Cd, Zn and Cu of mine soils as example. China Environ. Sci. 2020, 40, 3911–3918. [Google Scholar]
- Chagas, P.C.; Chagas, E.A.; Crane, J.H.; Vendrame, W.; Chambers, A.; Costa, B.N.; Neto, A.R. Effect of naphthalene acetic acid, gibberellic acid, and spray adjuvant alone or in conjunction with hand pollination on fruit set and quality of ‘LeahReese’ sugar apple (Annona squamosa L.). Sci. Hortic. 2022, 299, 111011. [Google Scholar] [CrossRef]
- Zhang, W.; Zhang, W.; Wang, S. Effect of Flue Gas Desulphurization Gypsum on Colloidal Flocculation in Sodic Soil. Soils 2021, 53, 555–562. [Google Scholar]
- Cao, X.; Ma Lena, Q.; Rhue Dean, R.; Appel Chip, S. Mechanisms of lead, copper, and zinc retention by phosphate rock. Environ. Pollut. 2004, 131, 435–444. [Google Scholar] [CrossRef]
- Cao, X.; Wahbi, A.; Ma, L.; Li, B.; Yang, Y. Immobilization of Zn, Cu, and Pb in contaminated soils using phosphate rock and phosphoric acid. J. Hazard. Mater. 2009, 164, 555–564. [Google Scholar] [CrossRef] [PubMed]
- Zhang, Y.; Tie, B.; Liu, X. Effects of waterlogging and application of bio-carbon from corn stalks on the physico-chemical properties and the forms of arsenic and cadmium in arsenic and cadmium-contaminated soils. Acta Sci. Circumstantiae 2018, 38, 715–721. [Google Scholar]
- Cao, R.X.; Ma, L.Q.; Chen, M.; Singh, S.P.; Harris, W.G. Phosphate-induced metal immobilization in a contaminated site. Environ. Pollut. 2003, 122, 19–28. [Google Scholar] [CrossRef] [PubMed]
- Fang, B.; Zhang, J.; Ji, M. Effect of biochar combined with phosphate on in-situ immobilization of Pb and Cd in contaminated soil. Environ. Pollut. Control. 2018, 40, 1389–1393. [Google Scholar]
- Ming, H.; Naidu, R.; Sarkar, B.; Lamb, D.T.; Liu, Y.; Megharaj, M.; Sparks, D. Competitive sorption of cadmium and zinc in contrasting soils. Geoderma 2016, 268, 60–68. [Google Scholar] [CrossRef]
- Li, H.B.; Zhong, Y.; Zhang, H.N.; Wang, X.; Chen, J.; Wang, L.L.; Xiao, J.G.; Xiao, W.; Wang, W. Mechanism for the application of biochar in remediation of heavy metal contaminated farmland and its research advances. Trans. Chin. Soc. Agric. Eng. 2020, 36, 173–185. [Google Scholar]
- GB/T17664-1999. Available online: https://www.chinesestandard.net/PDF.aspx/GBT17664-1999 (accessed on 5 May 2024).
- NY/T 1121.22-2010. Available online: https://codeofchina.com/standard/NYT1121.22-2010.html (accessed on 5 May 2024).
- NY/T 1121.7-2006. Available online: https://www.chinesestandard.net/Related.aspx/NYT1121.7-2014?Redirect (accessed on 5 May 2024).
- NY/T 1121.6-2006. Available online: https://www.chinesestandard.net/Related.aspx/NYT1121.6-2006 (accessed on 5 May 2024).
- Cui, H.; Zhou, J.; Zhao, Q.; Si, Y.; Mao, J.; Fang, G.; Liang, J. Fractions of Cu, Cd, and enzyme activities in a contaminated soil as affected by applications of micro- and nanohydroxyapatite. J. Soil Sediments 2013, 13, 742–752. [Google Scholar] [CrossRef]











| Biochar | pH | Ash * (%) | EC (ms/cm) | Water-Soluble Phosphorus (mg/kg) | Specific Surface Area (m2/g) | Total Pore Volume (cm3/g) |
|---|---|---|---|---|---|---|
| BC300 | 7.49 ± 0.02 | 21.31 ± 2 | 3.22 ± 0.5 | 477.33 ± 95 | 29.6 | 0.03295 |
| BC400 | 8.95 ± 0.02 | 22.78 ± 2 | 5.74 ± 0.5 | 596.75 ± 95 | 12.1 | 0.02517 |
| BC500 | 9.85 ± 0.02 | 24.54 ± 2 | 2.79 ± 0.5 | 233.53 ± 95 | 23.3 | 0.03170 |
| pH | EC * (μs/cm) | WHC * (%) | AP * (mg/kg) | OM * (g/kg) | Total Hg (mg/kg) | Total Cd (mg/kg) | Total Pb (mg/kg) |
|---|---|---|---|---|---|---|---|
| 4.81 | 97 | 29.51 | 14.80 | 28.87 | 0.15 | 0.28 | 76.94 |
| Metal Ions | Specimen Types | Qm * (mg/g) | KL (L/mg) | R2 |
|---|---|---|---|---|
| Hg2+ | BC300 | 129.31 ± 25.00 | 0.00192 ± 0.0004 | 0.963 |
| BC400 | 173.27 ± 25.00 | 0.00152 ± 0.0004 | 0.995 | |
| BC500 | 190.24 ± 25.00 | 0.00100 ± 0.0004 | 0.985 | |
| Cd2+ | BC300 | 9.97 ± 5.00 | 0.02700 ± 0.009 | 0.964 |
| BC400 | 22.83 ± 5.00 | 0.00656 ± 0.009 | 0.965 | |
| BC500 | 17.59 ± 5.00 | 0.02213 ± 0.009 | 0.975 | |
| Pb2+ | BC300 | 45.45 ± 15.00 | 0.00457 ± 0.002 | 0.938 |
| BC400 | 81.47 ± 15.00 | 0.00479 ± 0.002 | 0.942 | |
| BC500 | 56.84 ± 15.00 | 0.00010 ± 0.002 | 0.979 |
| Metal Ions | Specimen Types | Pseudo-First-Order Dynamic Model | Pseudo-Second-Order Dynamic Model | ||||
|---|---|---|---|---|---|---|---|
| Qe (mg/g) | K1 (min−1) | R2 | Qe (mg/g) | K2 (mg(g∙min)−1) | R2 | ||
| Hg2+ | BC300 | 37.58 ± 3.50 | 0.0025 ± 0.007 | 0.7553 | 33.52 ± 1.00 | 0.0001 ± 0.00005 | 0.6801 |
| BC400 | 46.18 ± 3.50 | 0.0215 ± 0.007 | 0.7392 | 31.73 ± 1.00 | 0.0002 ± 0.00005 | 0.6539 | |
| BC500 | 43.12 ± 3.50 | 0.0108 ± 0.007 | 0.8020 | 35.10 ± 1.00 | 0.0001 ± 0.00005 | 0.6785 | |
| Cd2+ | BC300 | 8.20 ± 5.00 | 0.0118 ± 0.01 | 0.5367 | 5.33 ± 3.00 | 0.0005 ± 0.00005 | 0.7175 |
| BC400 | 20.86 ± 5.00 | 0.0276 ± 0.01 | 0.7386 | 12.58 ± 3.00 | 0.0005 ± 0.00005 | 0.6657 | |
| BC500 | 14.82 ± 5.00 | 0.0443 ± 0.01 | 0.6995 | 8.79 ± 3.00 | 0.0006 ± 0.00005 | 0.6812 | |
| Pb2+ | BC300 | 25.18 ± 7.00 | 0.0025 ± 0.015 | 0.7217 | 22.63 ± 9.00 | 0.0001 ± 0.00004 | 0.6302 |
| BC400 | 51.17 ± 7.00 | 0.0422 ± 0.015 | 0.5751 | 44.10 ± 9.00 | 0.0002 ± 0.00004 | 0.6850 | |
| BC500 | 73.24 ± 7.00 | 0.0406 ± 0.015 | 0.7179 | 35.89 ± 9.00 | 0.0001 ± 0.00004 | 0.6763 | |
| Specimen Types | Hg (mg/L) | Cd (mg/L) | Pb (mg/L) |
|---|---|---|---|
| CK | 0.0104 ± 0.00008 | 0.0131 ± 0.0005 | 4.5503 ± 0.600 |
| BC1 | 0.0102 ± 0.00008 | 0.0122 ± 0.0005 | 4.0503 ± 0.600 |
| P5 | 0.0103 ± 0.00008 | 0.0125 ± 0.0005 | 3.5144 ± 0.600 |
| BC1P5 | 0.0102 ± 0.00008 | 0.0117 ± 0.0005 | 3.0733 ± 0.600 |
Disclaimer/Publisher’s Note: The statements, opinions and data contained in all publications are solely those of the individual author(s) and contributor(s) and not of MDPI and/or the editor(s). MDPI and/or the editor(s) disclaim responsibility for any injury to people or property resulting from any ideas, methods, instructions or products referred to in the content. |
© 2024 by the authors. Licensee MDPI, Basel, Switzerland. This article is an open access article distributed under the terms and conditions of the Creative Commons Attribution (CC BY) license (https://creativecommons.org/licenses/by/4.0/).
Share and Cite
Wu, D.; Lu, J.; Huang, K.; Jiang, L.; Gao, X.; Li, S.; Liu, H.; Wu, B. Adsorption Potential, Speciation Transformation, and Risk Assessment of Hg-, Cd-, and Pb-Contaminated Soils Using Biochar in Combination with Potassium Dihydrogen Phosphate. Molecules 2024, 29, 2202. https://doi.org/10.3390/molecules29102202
Wu D, Lu J, Huang K, Jiang L, Gao X, Li S, Liu H, Wu B. Adsorption Potential, Speciation Transformation, and Risk Assessment of Hg-, Cd-, and Pb-Contaminated Soils Using Biochar in Combination with Potassium Dihydrogen Phosphate. Molecules. 2024; 29(10):2202. https://doi.org/10.3390/molecules29102202
Chicago/Turabian StyleWu, Dun, Jianwei Lu, Kun Huang, Longjin Jiang, Xia Gao, Shuqin Li, Hai Liu, and Boren Wu. 2024. "Adsorption Potential, Speciation Transformation, and Risk Assessment of Hg-, Cd-, and Pb-Contaminated Soils Using Biochar in Combination with Potassium Dihydrogen Phosphate" Molecules 29, no. 10: 2202. https://doi.org/10.3390/molecules29102202
APA StyleWu, D., Lu, J., Huang, K., Jiang, L., Gao, X., Li, S., Liu, H., & Wu, B. (2024). Adsorption Potential, Speciation Transformation, and Risk Assessment of Hg-, Cd-, and Pb-Contaminated Soils Using Biochar in Combination with Potassium Dihydrogen Phosphate. Molecules, 29(10), 2202. https://doi.org/10.3390/molecules29102202
