Abstract
The molecular structure and conformational and rotational composition of 3,7,9-tris(trifluoromethylsulfonyl)-3,7,9-triazabicyclo[3.3.1]nonane 1 have been investigated by synchronous gas-phase electron diffraction/mass spectrometry GED/MS and theoretical calculations (B3LYP and M06-2X with cc-pVTZ and aug-cc-pVTZ basis sets) and compared to the X-ray structure. All 16 possible conformers and rotamers were calculated, differing by the conformations of the two piperazine rings, orientation of the CF3 groups relative to these rings, and non-equivalence of the two wings of the butterfly structure. The optimized geometry of the most stable 1-c-out-2-c-out conformer coincides with that in the crystal. In contrast to only one conformer determined by X-ray, the GED analysis revealed the presence of five conformers, 1-c-out-2-c-out (I), 1-c-in-2-c-out (II), 1-c-out-2-c-in (III), 1-b-out-2-c-out (IV), 1-c-out-2-b-out (V) in the ratio of I:(II + III):IV:V = 36(10):42(6):22(10):0(10). The experimental results are better reproduced by calculations performed for 428 K (the temperature of the GED experiment) than for 298 K (standard), and most satisfactorily at the M06-2X/aug-cc-pVTZ level of theory.
1. Introduction
Gas-phase electron diffraction (GED) measurements provide researchers with unique information on the structure and conformational preferences of the studied molecules, which are often different from that of the same molecules in solution or in the crystal. Whereas in solution, the structure is affected by intermolecular interactions, leading to the formation of different homo- and hetero-associates, and in the crystal, it is mainly determined by packing effects. GED measurements allow us to analyze the structure that is intrinsic to individual molecules and, in the case of the presence of several conformers, to determine not only the structure of free molecules undistorted by intermolecular interactions but also the conformational composition. Therefore, the correct use of results from GED and X-ray is complementary.
Recently, we synthesized 3,7,9-tris(trifluoromethylsulfonyl)-3,7,9-triazabicyclo[3.3.1]nonane 1 by the reaction of N,N-diallyltriflamide TfN(CH2CH = CH2)2 with triflamide TfNH2 (Tf = CF3SO2) and determined its structure by single crystal X-ray analysis [1] (Figure 1). Here, we present the results of the GED analysis and DFT calculations of all conformers and rotamers of molecule 1 in order to compare the results to those obtained by single-crystal X-ray diffraction to determine the structure and the fraction of each conformer in the gas phase equilibrium. Note that the conformer distribution could also be measured by NMR, but for flexible systems such as molecule 1, it is possible only at low temperatures, <150 K. We used a combination of the two methods when it was possible (see review [2] and references therein), but it cannot be applied to compound 1, which is insoluble in Freon, the only suitable solvent at these temperatures.
Figure 1.
Molecular crystal structure of 3,7,9-tris(trifluoromethylsulfonyl)-3,7,9-triazabicyclo[3.3.1]nonane 1.
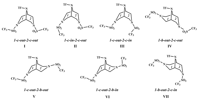
Molecule 1 has the plane of symmetry passing through the nitrogen atoms and both piperazine moieties in the chair conformation. Possible conformers and rotamers differing by the conformations of the two piperazine rings, orientation of the CF3 groups with respect to these rings, and taking into account non-equivalence of the ‘left’ and ‘right’ wings of the butterfly structure in Figure 1 are shown in Chart 1, only for several representative structures lying in energy (ΔE) not higher than 4 kcal/mol above the most stable conformer I (Table 1). Numbers 1 and 2 denote ‘left’ and ‘right’ wings, letters b and c—boat and chair conformations of the piperazine rings, and in and out mean the inward and outward directionality of the CF3 group with respect to these rings. The total number of different conformers and rotamers, resembling “the Dancing Men” of A. Conan Doyle, is 16.
Table 1.
B3LYP/cc-pVTZ total (Etot) and relative (ΔE) energies, entropies (ΔS298), and relative free energies (ΔG298) of the calculated structures.
Chart 1:

2. Results and Discussion
2.1. Theoretical Calculations
Table 1 summarizes the total and relative energies, entropies, and relative free energies of all possible conformers and rotamers ranked in the order of rising energy. A rigid bicyclic structure of molecule 1 allows us to neglect other much less stable conformers on the potential energy surface.
In the past, we have used B3LYP or M06-2X in the GED studies of cyclic molecules of similar complexity [3,4,5]. Higher levels of theory require overwhelming computational resources to be practical for such large molecules of low symmetry. The cc-pVTZ basis set provides satisfactory results in a reasonable timeframe. However, diffuse functions may play a role for electronegative atoms F, O, and S; so, we have also performed calculations with the aug-cc-pVTZ basis set. M06-2X functional is more computationally expensive than B3LYP, so the scanning of the triflamide group rotation was performed at the B3LYP/cc-pVTZ level (the rotation barrier of 11 kcal/mol was the same as at M06-2X/cc-pVTZ—vide infra).
Note that the calculated geometry of the isolated molecule of the most stable conformer, 1-c-out-2-c-out, completely coincides with that in the crystal [1]. Expectedly, the boat conformers and the conformers with the CF3 group directed inward the corresponding ring are less stable than their chair and outward counterparts. The values of ΔG vary in parallel with those of ΔE, with a few exceptions caused by different flexibility (ΔS) of the conformers.
The five most stable structures in Table 1 were recalculated using the aug-cc-pVTZ basis set, as well as applying M06-2X functional with both basis sets. Interestingly, the relative energies ΔE follow the same order of stability, whereas for the free energies ΔG, this order is violated due to the larger flexibility of the backbone of conformers II, IV, V, with respect to the most stable conformer I, see Table 2.
Table 2.
Calculated total relative ΔE energies, relative free energies ΔG (kcal/mol), and mole fraction X (mol.%) of the five most stable conformers of 1 at room, 298 K, and at a temperature of GED/MS experiments, 428 K.
2.2. Potential Energy Surface (PES) Profile of Trifluoromethylsulfonyl Groups Rotation
The transition between conformers, in which both cycles have the shape of a chair, can be carried out by rotating one of the trifluoromethylsulfonyl groups. For this reason, the PES profile of the rotation of each of them was scanned around the S–N bonds at the B3LYP/cc-pVTZ level (Figure 2). During the scanning process, the dihedral angle Cβ–N–S–C was changed in increments of 20 degrees.
Figure 2.
Potential energy surface profiles of the trifluoromethyl groups rotation. The colors of the curves match those of the conformers’ numbering, and arrows indicate the rotations.
The rotation barriers of each of the groups were found to be of approx. 11 kcal/mol, which is quite high and can be easily overcome at moderate temperatures: the thermal energy RT values are ca. 0.6 and 0.9 kcal/mol at 298 and 428 K, respectively.
Remarkably, the red and blue curves in Figure 2 practically coincide, meaning that the dependence of energy on the rotation of the unequally distant triflyl groups in the two piperazine rings is identical. This may suggest the absence or negligible role of noncovalent interactions in the molecule.
2.3. Conformer Contributions vs. Temperature
The synchronous gas-phase electron diffraction/mass spectrometric (GED/MS) experiments for compound 1 were carried out at temperature T = 428(5) K, see Experimental section. Since it is different from the standard value of 298 K applied as default in quantum chemical (QC) calculations, we performed a series of scans to estimate the conformers contribution change against temperature, see Computational details section for details.
According to all theoretical approaches applied, the 1-c-out-2-c-out conformer is predicted to dominate at room temperature in the gas phase (Table 2), as well as in the case of the solid phase [1].
At the same time, as the temperature increases, the relative contribution of the most stable 1-c-out-2-c-out conformer decreases (Figure 3), although it still predominates up to rather high temperatures, following on from the DFT calculations with B3LYP functional. On the other hand, according to M06-2X/cc-pVTZ calculations, already at ca. 380 K, the 1-c-out-2-b-out conformer becomes predominant, although all other approaches used indicate its insignificant presence in the vapor. For this reason, it would be incorrect to describe the composition of the vapor by the single 1-c-out-2-b-out conformer.
Figure 3.
Temperature dependence of conformational composition of 1 from DFT calculations. GED data for 428 K with error limits also given at the M06-2X/aug-cc-pVTZ plot.
2.4. Geometries
The internuclear bond distances in the considered conformers are very close to each other, according to QC calculations, as shown in Table 3 below and Table S1 in ESI. Noticeable differences are observed for the distances CαCβ. In the boat-shaped cycle (in the case of conformers 1-b-out-2-c-out and 1-c-out-2-b-out), they are ~0.03 Å longer compared to those in the chair cycle. Also, in these forms, there is a shortening of the C–N distances. The flap-angle in the boats has a lower value than in the chair. The average C–F bond lengths are shown in Table 3, although in each of the three trifluoromethyl groups of the molecule, for each of the conformers, the distance C–F is shorter for the atom F lying in the plane of symmetry of the molecule by about 0.01 Å relative to the other two bonds in the CF3 group.
Table 3.
Selected geometric parameters a,b (Å and degrees) along with contributions X (mol. %) of the conformers of 1.
At the same time, different combinations of the method/basis set (Table S1) predict different exocyclic parameters up to 0.04 Å in the values of the internuclear distances S–N and S–C for the same conformer.
The pyramidality of the nitrogen environment in the conformers of 1, characterized by a sum of bond angles at N-atoms (C–N–C and two C–N–S), is very close to 360°—varying from 354 to 360°. Minimal are the values for II and III at inward orientation of trifluoromethyl groups (see Introduction); maximal—for IV and V, but in chairs only. The experimentally measured X-ray values of ΣN are 358° in 1 [1], i.e., the same as in 1,1,1-trifluoromethanesulfonamide [7]. Another parameter of pyramidality/planarity is the angle between the CNC plane and N–S bond, which can be expressed via the S–N–X angle as (180 – S–N–X) and is given in Table 3. Concerning the ‘top’ fragment of the molecule, see line headed ‘SNtX’ in Table 3; one can note a maximal extent of its planarity in conformer IV (CF3 group directed towards the boat); however, in contrast, a minimal in V (CF3 group directed towards the chair).
3. Structural Analysis
Synchronous GED/MS experiments were carried out at 428(5) K. A ceaseless mass spectrometric monitoring of the vapor under study showed peaks which explicitly allow them to be assigned to the target molecule. The main conditions of the GED/MS experiments and the mass spectra are listed in Table 4 and Table 5, respectively, see Experimental section.
Table 4.
Experimental conditions of the synchronous GED/MS experiments.
Table 5.
EI (Ui = 50 V) mass-spectrum of 1 recorded during the GED experiments.
Prior to the refinement of the experimental diffraction intensities, a ‘sensitivity’ of the GED method to the structure of the conformers of 1 was tested by juxtaposition of theoretical molecular scattering sM(s) and radial distribution f(r) functions based on M06-2X/aug-cc-pVTZ calculations. The functions for the 1-c-in-2-c-out (II) conformer were taken as a sort of a reference instead of experimental data, while for those for the other, most stable conformers, the disagreement factors Rf (see Equation (S1)) were calculated and the f(r) curves and the differences Δf(r) visualize a possibility to be distinguished, Figure 4.
Figure 4.
Comparison of theoretical radial distribution functions f(r) of 1. Difference curves Δf(r) concerning 1-c-in-2-c-out are shown at the bottom. The R-factors are 1-c-out-2-c-out (13.4%), 1-c-out-2-c-in (4.9%), 1-b-out-2-c-out (17.1%), 1-c-out-2-b-out (14.2%). Molecular parameters were calculated at the M06-2X/aug-cc-pVTZ level.
The theoretically generated conformer structures are clearly distinguishable in terms of GED—the disagreement factors Rf are rather high (above 10%). The 1-c-in-2-c-out and 1-c-out-2-c-in pairs are exceptions, for which the Rf = 2.9 and 4.9% for M06-2X with cc-pVTZ and aug-cc-pVTZ basis sets, respectively. Nevertheless, we may consider these two conformers to noticeably contribute to the gas phase at 428 K because 1-c-in-2-c-out is expected to be a significant amount. The M06-2X/cc-pVTZ approach predicted similar R-factors.
The UNEX program [8] was used to refine geometric and vibrational parameters using the least-squares method. Vibrational corrections and starting geometries and vibrational amplitudes for the GED data refinement were derived by the VibModule [9] program using a nonlinear relation between Cartesian and internal coordinates on the basis of theoretical calculations.
For all conformers, z-matrices were written with the three imaginary atoms necessary to maintain the stability of the model. In particular, sulfur atoms bound to nitrogen can be described using valence angles S–N–C; however, such a description does not adequately vary the position of the triflamide group relative to the ring, so these atoms were given using imaginary atoms X (angle S–N–Xc in the case of a chair or S–N–Xb in the case of a boat). The Xa atom is located between the “central” carbon atoms and can explicitly vary the flap angle for the boat. The position of imaginary atoms and the symbols of all atoms on the example of the conformer 1-c-out-2-b-out, which includes both a boat and a chair, are shown in Figure 5.
Figure 5.
Molecular model of 1-c-out-2-b-out with dummy atoms with atoms labelling. Xα is a dummy atom between two Cα; Xc and Xb are dummy atoms between two Cβ in chair and boat forms of piperazine ring, respectively. Hydrogens have been omitted.
The following parameters were used as independent variables in the description of molecular models: a) all r(S–N); b) r(F–C); c) r(C–S); d) r(O–S); e) all r(C–N) and r(Cα–Cβ); f) r(C–H); g) all a(C–S–N); h) a(O–S–C); i) a(O–S–Nt); j) a(F–C–S); k) a(Cα–Nt–S); l) a(Cβ–Cα–Xα); m) a(S–N–Xc); n) d(Cα–Nt–S–C); o) d(C–S–N–Xc); p) d(N–Cβ–Cβ–Cα); r) d(C–Cα–Xα–N). For conformers containing a piperazine fragment in the boat-shaped fragment, the angle group q) a(S–N–Xb) was added as an independent parameter. The parameters within one group were described by fixing the differences between them obtained according to the QC calculations.
The vibrational amplitudes were combined in the following six groups according to their internuclear distance to the specific groups at the radial distribution (Figure 6b): 0–1.95, 1.95–2.3, 2.3–3.4, 3.4–4.15, 4.15–5.35, 5.35–11 Å. The ratio of amplitudes within the groups was assumed to be equal to theoretical values. The valence and dihedral angles used to describe the position of hydrogen atoms were fixed.
Figure 6.
(a) Experimental (lines) and theoretical for refined structures and conformer contribution (dots), molecular scattering intensities sM(s), and (b) radial distribution curves f(r). Differences “Exp.–Theor.” are given in the bottom. Colored vertical lines describe contribution of conformers to the radial distribution; the colors are the same as those in Figure 4.
The order of the refinement was as follows: (1) scale factors k, see Equation (S1); (2) bond distances (a)–(e); (3) bond distances (a)–(e), all valence and dihedral angles; (4) vibrational amplitudes; (5) conformers contribution; (6) all geometric parameters (a)–(q), with the vibrational amplitudes and conformers contribution.
Experimental and theoretical molecular scattering intensities sM(s) (Equation (S2)) and radial distribution functions are plotted in Figure 6a and Figure 6b, respectively, along with the ‘Experiment–Theory’ differences.
3.1. Scanning the R-Factor vs. Conformer Contributions
GED data refinement was performed using the vibrational corrections, starting geometries and vibration amplitudes generated on the base of four QC levels, B3LYP, and M06-2X with cc-pVTZ and aug-cc-pVTZ basis sets. Both combinations with B3LYP yielded worse fit compared to the experimental molecular scattering intensities, see Table S2 in ESI.
According to the results of the GED data refinement using the theoretical force field from M06-2X/aug-cc-pVTZ calculations, the gas phase of 1 at 428 K, along with the conformer 1-c-out-2-c-out (42%), contains conformers 1-c-in-2-c-out, 1-c-out-2-c-in (total contribution of 40%), and 1-b-out-2-c-out, which includes a piperazine cycle in the form of a boat. The disagreement factor was Rf = 4.195%, see row headed as ‘X428 K (UNEX)’ in Table 3. At the same time, the contribution of the 1-c-out-2-b-out conformer is close to zero. However, the errors in determining the composition are quite large, in particular, due to the high correlation between the contributions of 1-c-in-2-c-out and 1-c-out-2-c-in.
For this reason, R-factor was scanned to explore its dependence on the composition with a fixed contribution of optimized structures in increments of 10% for each of the conformers (number of points = 1001), while only scale factors varied. Then, similar scans were performed in the minimum area with a smaller step (4%, 1991 point and 2%, 5369 points, see Table S3). The composition determined in this way was as follows: I:(II + III):IV:V = 36(10):42(6):22(10):0(10) mol.%. The errors were determined using the Hamilton’s criterion [2] (at a significance level of 0.05) with a ratio Rf/Rf(min) = 1.03.
The fact that the system cannot be described by a single conformer can be confirmed by the Rf values for a composition comprising 100% of a single conformer. So, the disagreement factor for 1-c-out-2-c-out was 7.78%, while for the refined composition was only 4.195%, see rows marked as ‘Rf (ind.)’ and ‘Rf (tot.)’, respectively, in Table 3. At the same time, for geometry taken from QC calculations without refinement of parameters, Rf exceeds 14%.
3.2. Comparison of Gas-Phase and Crystal Structures
Unlike conformer variety in the gas phase described above, a single conformer was detected by single-crystal study XRD [1], namely 1-c-out-2-c-out (I). Compared with that determined in the solid phase [1], the C–C and C–N distances of the piperazine ring for free molecule 1, determined from the GED experiment, are significantly shorter (1.518 vs. 1.533/1.535 Å for the C–C and 1.461 vs. 1.479 Å for C–N). On the contrary, in the gas phase, where the intermolecular interactions are negligible, the exocyclic S–N, S–C, and C–F bonds are longer, though in the case of the latter, this is to a smaller extent.
4. Conclusions
The structure of free molecule 1 was studied using QC calculations and GED. The GED method provided unique information on the structure and is not distorted by intermolecular interactions, which cannot be obtained by methods such as NMR in solution or X-ray in the crystal. It also allowed us to experimentally determine the conformational distribution and to show that it cannot be described by only one 1-c-out-2-c-out conformer as in the crystal and that ‘liberated’ molecules behave in a distinctly different way. According to our study, its contribution does not exceed 50%, although it is still most abundant in gas. The refinement of the GED experiment data of 1 was not able to reliably distinguish conformers II and III, but proved their essential summed contribution. Surprising was a noticeable amount of conformer IV, in which one of the rings had the shape of a boat. QC calculations confirmed a decrease in the fraction of conformer I with increasing temperature, which does not contradict the data for the crystal measured at 100(2) K, i.e., 330 K lower than for gas phase. The endocyclic bonds are shorter in free molecule 1 than those in the crystal, whereas the exocyclic bonds are significantly longer. The M06-2X/aug-cc-pVTZ best fits the experimental GED, Rf = 4.2%. Scanning the potential energy surface revealed that the energy barriers for transitions I → II and I → III by the triflamide group rotation are 11 kcal/mol.
The noticeable sensitivity of GED to such a complex conformational composition, as in the case of compound 1, is largely due to the presence of heavy fluorine atoms in the terminal CF3 groups, which are less flexible than methyl groups. The obtained results allow us to extend the methodology of the present work to our ongoing studies of other conformationally flexible cyclic products.
5. Experimental Section
5.1. Synthesis
Compound 1 was obtained as a by-product of the reaction of N,N-diallyltriflamide with triflamide in the oxidative system NaI/t-BuOCl in MeCN upon cooling and separated by washing out the product mixtures with chloroform and the crystallization of undissolved solid from a minimal amount of chloroform. Colorless crystals, m.p. 283 °C.
5.2. Synchronous GED/MS Experiments
Synchronous gas-phase electron diffraction and mass spectrometric GED/MS experiments for 1 were carried out using the combined EMR100/APDM-1 apparatus described earlier [10,11,12,13]. The sample of 1 was loaded into molybdenum effusion cell at atmosphere. Detailed conditions of the GED/MS experiment are listed in Table 4. The temperature of 428 K is the lowest temperature at which the minimal required vapor pressure of 0.05–0.1 Torr could be obtained. The effect of pressure itself can apparently be neglected because, in gas phase, it is manifested only when the number of species in the equilibrium changes, which is not the case for the equilibrium between conformers.
During all stages of the cell heating, the effusing vapor was continuously monitored by cyclic recording mass spectra each ca. 1.5 min. Mass spectrum is given in Table 5.
5.3. Computational Details
CREST program with GFN2-xTB method [14,15] was used for the preliminary conformational search.
DFT calculations (hybrid functional B3LYP and Minnesota functional M06-2X [16] combined with correlation consistent triple-zeta basis set cc-pVTZ and its analogue augmented by diffuse functions aug-cc-pVTZ) [17,18,19] were performed with use of Gaussian09 program [20] to obtain the optimized structures and compute the harmonic vibrations. The basis sets were taken from the EMSL BSE library [21].
The influence of the temperature on the conformational preferences in the gas phase of 1 was studied by calculating the Gibbs free energies (ΔG) using VibModule8 program at the interval of 100–1000 K with a step of 10 K.
Supplementary Materials
The following supporting information can be downloaded at: https://www.mdpi.com/article/10.3390/molecules28093933/s1, Cartesian coordinates, QC geometries, results of Rf vs. conformer contribution scans.
Author Contributions
Conceptualization, B.A.S.; methodology, B.A.S. and S.A.S.; investigation, S.A.S., A.V.E. and V.A.M.; writing—original draft preparation, B.A.S., A.V.E. and S.A.S.; writing—review and editing, B.A.S., A.V.E. and S.A.S.; project administration, B.A.S. All authors have read and agreed to the published version of the manuscript.
Funding
This research was funded by Russian Science Foundation (Grant # 22-13-00036).
Institutional Review Board Statement
Not applicable.
Informed Consent Statement
Not applicable.
Data Availability Statement
The data presented in this study are available on request from the corresponding author.
Acknowledgments
The authors thank A.S. Ganin for providing the sample of compound 1 for investigation. The gas-phase electron diffraction/mass-spectrometric experiments were carried out using the GED/MS equipment (https://www.isuct.ru/department/ckp/structure/ged-ms, accessed on 5 May 2023) and resources of the Center for Shared Use of Scientific Equipment of the ISUCT (with the support of the Ministry of Science and Higher Education of Russia, grant No. 075-15-2021-671).
Conflicts of Interest
The authors declare no conflict of interest.
Sample Availability
Samples of the compounds are available from the authors.
References
- Shainyan, B.A.; Astakhova, V.V.; Ganin, A.S.; Moskalik, M.Y.; Sterkhova, I.V. Oxidative Addition/Cycloaddition of Arenesulfonamides and Triflamide to N-Allyltriflamide and N,N-Diallyltriflamide. RSC Adv. 2017, 7, 38951–38955. [Google Scholar] [CrossRef]
- Shainyan, B.A. Silacyclohexanes, Sila(hetero)cyclohexanes and Related Compounds: Structure and Conformational Analysis. Molecules 2020, 25, 1624. [Google Scholar] [CrossRef] [PubMed]
- Shlykov, S.A.; Phien, T.D.; Trang, N.H. Orbital interaction between electron lone pair and carbonyl group in N-trifluoroacetylpiperidine and N-piperidine amides: Planar and non-planar nitrogen bond configurations. Tetrahedron 2017, 73, 5311–5320. [Google Scholar] [CrossRef]
- Eroshin, A.V.; Phien, T.D.; Weber, P.M.; Shlykov, S.A. Conformational diversity of 1-phenylpiperidin-4-one in the gas phase. Chem. Phys. Lett. 2022, 803, 139851. [Google Scholar] [CrossRef]
- Phien, T.D.; Shlykov, S.A.; Shainyan, B.A. Molecular structure and conformational behavior of 1-methyl-1-phenylsilacyclohexane studied by gas electron diffraction, IR spectroscopy and quantum chemical calculations. Tetrahedron 2017, 73, 1127–1134. [Google Scholar] [CrossRef]
- Hamilton, W.C. Significance Tests on the Crystallographic R Factor. Acta Crystallogr. 1965, 18, 502–510. [Google Scholar] [CrossRef]
- Sterkhova, I.V.; Shainyan, B.A. Trifluoromethanesulfonamide: X-ray Single-Crystal Determination and Quantum Chemical Calculations. J. Phys. Org. Chem. 2015, 28, 485–489. [Google Scholar] [CrossRef]
- Vishnevskiy, Y.V. UNEX, Version 1.6, 2022. Available online: https://unex.vishnevskiy.group (accessed on 1 January 2023).
- Vishnevskiy, Y.V.; Zhabanov, Y.A. New Implementation of the First-Order Perturbation Theory for Calculation of Interatomic Vibrational Amplitudes and Corrections in Gas Electron Diffraction. J. Phys. Conf. Ser. 2015, 633, 012076. [Google Scholar] [CrossRef]
- Girichev, G.V.; Utkin, A.N.; Revichev, Y.F. Modernization of the EMR-100 Setup for the Studies of Gases. Prib. Tekh. Eksp 1984, 27, 187–190. [Google Scholar]
- Girichev, G.V.; Shlykov, S.A.; Revichev, Y.F. Apparatus for Studies of the Molecular Structures of Non-Saturated Compounds. Prib. Tekh. Eksp. 1986, 29, 167–169. [Google Scholar]
- Shlykov, S.A.; Girichev, G.V. A Radiofrequency Mass Spectrometer Based on APDM-1 Unit for the Mass Range of 1–1600 Amu. Prib. Tekh. Eksp. 1988, 31, 141–142. [Google Scholar]
- Girichev, G.V.; Shlykov, S.A.; Petrova, V.N.; Subbotyina, N.Y.; Lapshina, S.B.; Danilova, T.G. Equipment and Technique of Joint Gas Electron Diffraction and Mass Spectrometric Experiment and Their Application to the Study of Titanium Trihalide Molecules. Izv. Vyss. Uchebn. Zaved. Khim. Khim. Tekhnol. 1988, 31, 46–49. [Google Scholar]
- Pracht, P.; Bohle, F.; Grimme, S. Automated Exploration of the Low-Energy Chemical Space with Fast Quantum Chemical Methods. PhysChemChemPhys. 2020, 22, 7169–7192. [Google Scholar] [CrossRef] [PubMed]
- Grimme, S. Exploration of Chemical Compound, Conformer, and Reaction Space with Meta-Dynamics Simulations Based on Tight-Binding Quantum Chemical Calculations. J. Chem. Theory Comput. 2019, 15, 2847–2862. [Google Scholar] [CrossRef] [PubMed]
- Zhao, Y.; Schultz, N.E.; Truhlar, D.G. Design of Density Functionals by Combining the Method of Constraint Satisfaction with Parametrization for Thermochemistry, Thermochemical Kinetics, and Noncovalent Interactions. J. Chem. Theory Comput. 2006, 2, 364–382. [Google Scholar] [CrossRef] [PubMed]
- Dunning, T.H. Gaussian Basis Sets for Use in Correlated Molecular Calculations. I. The Atoms Boron through Neon and Hydrogen. J. Chem. Phys. 1989, 90, 1007–1023. [Google Scholar] [CrossRef]
- Woon, D.E.; Dunning, T.H. Gaussian Basis Sets for Use in Correlated Molecular Calculations. III. The Atoms Aluminum through Argon. J. Chem. Phys. 1993, 98, 1358–1371. [Google Scholar] [CrossRef]
- Kendall, R.A.; Dunning, T.H.; Harrison, R.J. Electron Affinities of the First row Atoms Revisited. Systematic Basis Sets and Wave Functions. J. Chem. Phys. 1992, 96, 6796–6806. [Google Scholar] [CrossRef]
- Frisch, M.J.; Trucks, G.W.; Schlegel, H.B.; Scuseria, G.E.; Robb, M.A.; Cheeseman, J.R.; Scalmani, G.; Barone, V.; Mennucci, B.; Petersson, G.A.; et al. Gaussian 09, Rev A.1; Gaussian Inc.: Wallingford, CT, USA, 2009. [Google Scholar]
- Pritchard, B.P.; Altarawy, D.; Didier, B.; Gibson, T.D.; Windus, T.L. New Basis Set Exchange: An Open, Up-to-Date Resource for the Molecular Sciences Community. J. Chem. Inf. Model. 2019, 59, 4814–4820. [Google Scholar] [CrossRef] [PubMed]
Disclaimer/Publisher’s Note: The statements, opinions and data contained in all publications are solely those of the individual author(s) and contributor(s) and not of MDPI and/or the editor(s). MDPI and/or the editor(s) disclaim responsibility for any injury to people or property resulting from any ideas, methods, instructions or products referred to in the content. |
© 2023 by the authors. Licensee MDPI, Basel, Switzerland. This article is an open access article distributed under the terms and conditions of the Creative Commons Attribution (CC BY) license (https://creativecommons.org/licenses/by/4.0/).





