The Influence of the Substrate on the Functionality of Spin Crossover Molecular Materials
Abstract
1. Introduction
2. Metallic Substrates That Lock the Spin State
3. Non-Metallic Substrates That Lock the Spin State
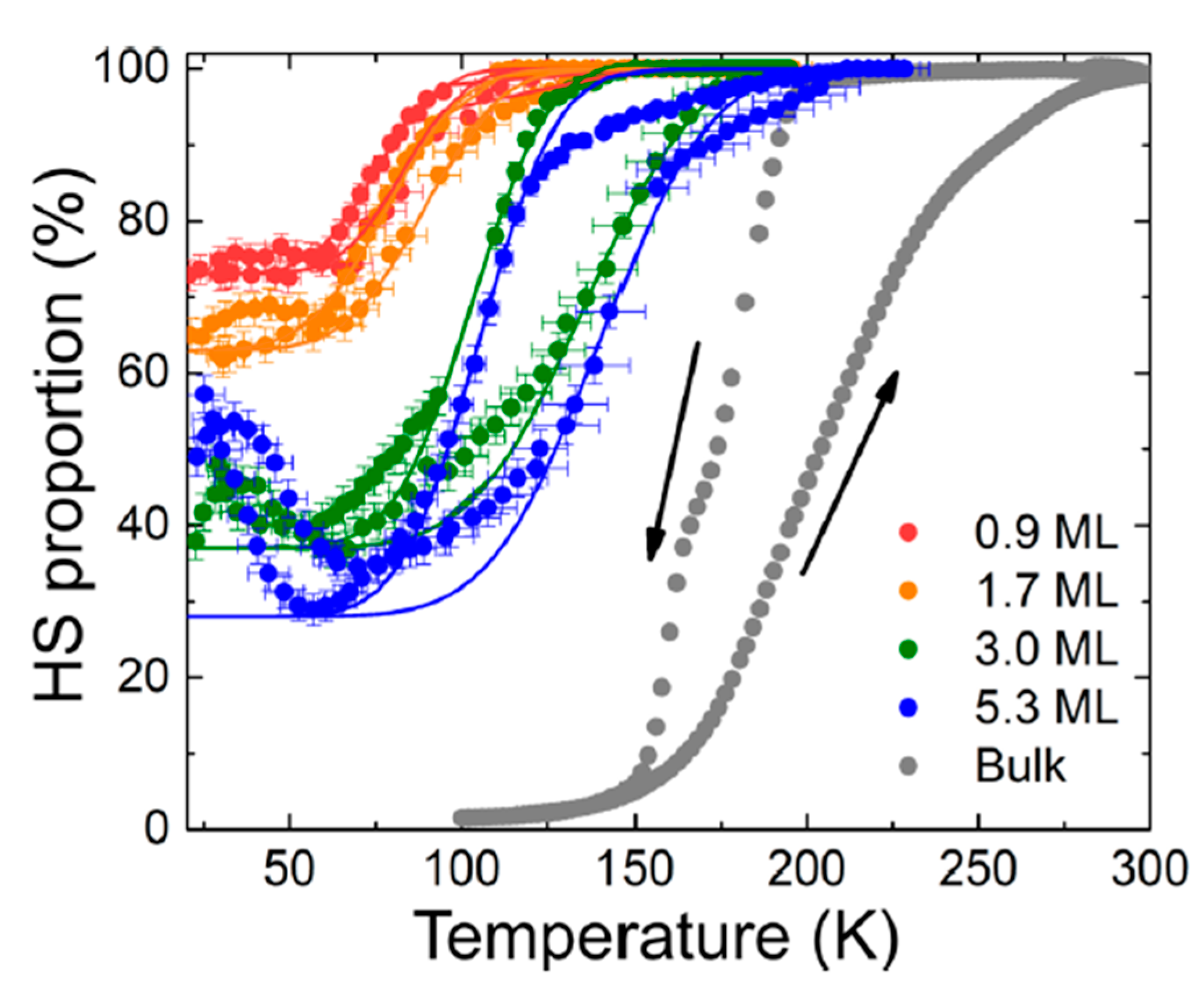
4. Substrates That Do Not Lock the Spin State
5. Ferroelectric Substrate Manipulation of the Spin State
6. Other Parameters That Influence the Spin State Switching
7. Insights from Theory
8. Conclusions
Author Contributions
Funding
Institutional Review Board Statement
Informed Consent Statement
Data Availability Statement
Conflicts of Interest
References
- Létard, J.-F.; Guionneau, P.; Goux-Capes, L. Towards spin crossover applications. Top. Curr. Chem. 2004, 235, 221–249. [Google Scholar] [CrossRef]
- Jeon, I.-R.; Calancea, S.; Panja, A.; Piñero Cruz, D.M.; Koumousi, E.S.; Dechambenoit, P.; Coulon, C.; Wattiaux, A.; Rosa, P.; Mathonière, C.; et al. Spin Crossover or Intra-Molecular Electron Transfer in a Cyanido-Bridged Fe/Co Dinuclear Dumbbell: A Matter of State. Chem. Sci. 2013, 4, 2463–2470. [Google Scholar] [CrossRef]
- Dugay, J.; Giménez-Marqués, M.; Kozlova, T.; Zandbergen, H.W.; Coronado, E.; van der Zant, H.S. Spin Switching in Electronic Devices Based on 2D Assemblies of Spin-Crossover Nanoparticles. Adv. Mater. 2015, 27, 1288–1293. [Google Scholar] [CrossRef] [PubMed]
- Molnár, G.; Rat, S.; Salmon, L.; Nicolazzi, W.; Bousseksou, A. Spin Crossover Nanomaterials: From Fundamental Concepts to Devices. Adv. Mater. 2017, 30, 1703862. [Google Scholar] [CrossRef] [PubMed]
- Kumar, K.S.; Ruben, M. Sublimable Spin-Crossover Complexes: From Spin-State Switching to Molecular Devices. Angew. Chem. Int. Ed. 2020, 60, 7502–7521. [Google Scholar] [CrossRef]
- Senthil Kumar, K.; Ruben, M. Emerging Trends in Spin Crossover (SCO) Based Functional Materials and Devices. Coord. Chem. Rev. 2017, 346, 176–205. [Google Scholar] [CrossRef]
- Ekanayaka, T.K.; Hao, G.; Mosey, A.; Dale, A.S.; Jiang, X.; Yost, A.J.; Sapkota, K.R.; Wang, G.T.; Zhang, J.; N’Diaye, A.T.; et al. Nonvolatile voltage controlled molecular spin-state switching for memory applications. Magnetochemistry 2021, 7, 37. [Google Scholar] [CrossRef]
- Mosey, A.; Dale, A.S.; Hao, G.; N’Diaye, A.; Dowben, P.A.; Cheng, R. Quantitative study of the energy changes in voltage-controlled spin crossover molecular thin films. J. Phys. Chem. Lett. 2020, 11, 8231–8237. [Google Scholar] [CrossRef]
- Hao, G.; Mosey, A.; Jiang, X.; Yost, A.J.; Sapkota, K.R.; Wang, G.T.; Zhang, X.; Zhang, J.; N’Diaye, A.T.; Cheng, R.; et al. Nonvolatile voltage controlled molecular spin state switching. Appl. Phys. Lett. 2019, 114, 032901. [Google Scholar] [CrossRef]
- Gütlich, P.; Garcia, Y.; Goodwin, H.A. Spin crossover phenomena in Fe(II) complexes. Chem. Soc. Rev. 2000, 29, 419–427. [Google Scholar] [CrossRef]
- Guütlich, P.; Goodwin, H.A.; Boillot, M.-L. Spin Crossover in Transition Metal Compounds; Springer: Berlin/Heidelberg, Germany, 2004; p. 223. ISBN 978–3-540-40394-4. [Google Scholar]
- Shatruk, M.; Phan, H.; Chrisostomo, B.A.; Suleimenova, A. Symmetry-breaking structural phase transitions in spin crossover complexes. Coord. Chem. Rev. 2015, 289, 62–73. [Google Scholar] [CrossRef]
- Singh, A.; Panda, S.; Dey, S.; Lahiri, G.K. Metal-to-ligand charge transfer induced valence tautomeric forms of non-innocent 2,2′-azobis(benzothiazole) in ruthenium frameworks. Angew. Chem. Int. Ed. 2021, 60, 11206–11210. [Google Scholar] [CrossRef] [PubMed]
- Gütlich, P.; Dei, A. Valence tautomeric interconversion in transition metal 1,2-benzoquinone complexes. Angew. Chem. Int. Ed. Engl. 1997, 36, 2734–2736. [Google Scholar] [CrossRef]
- Shepherd, H.J.; Rosa, P.; Vendier, L.; Casati, N.; Létard, J.-F.; Bousseksou, A.; Guionneau, P.; Molnár, G. High-pressure spin-crossover in a dinuclear fe(ii) complex. Phys. Chem. Chem. Phys. 2012, 14, 5265–5271. [Google Scholar] [CrossRef] [PubMed]
- Linares, J.; Codjovi, E.; Garcia, Y. Pressure and temperature spin crossover sensors with optical detection. Sensors 2012, 12, 4479–4492. [Google Scholar] [CrossRef]
- Jureschi, C.-M.; Linares, J.; Boulmaali, A.; Dahoo, P.; Rotaru, A.; Garcia, Y. Pressure and temperature sensors using two spin crossover materials. Sensors 2016, 16, 187. [Google Scholar] [CrossRef]
- Aleshin, D.Y.; Diego, R.; Barrios, L.A.; Nelyubina, Y.V.; Aromí, G.; Novikov, V.V. Unravelling of a [high spin—Low spin] ↔ [low spin—High spin] equilibrium in spin-crossover iron(ii) Dinuclear helicates using paramagnetic NMR spectroscopy. Angew. Chem. Int. Ed. 2021, 61, e202280361. [Google Scholar]
- Yang, K.; Wang, X.; Zhang, J.; Cheng, Y.; Zhang, C.; Zeng, Z.; Lin, H. Entropic broadening of the spin-crossover pressure in ferropericlase. Phys. Rev. B 2021, 103, 224105. [Google Scholar] [CrossRef]
- Chastanet, G.; Desplanches, C.; Baldé, C.; Rosa, P.; Marchivie, M.; Guionneau, P. A critical review of the T(LIESST) temperature in spin crossover materials—what it is and what it is not. Chem. Sq. 2018, 2, 2. [Google Scholar] [CrossRef]
- Ohkoshi, S.; Imoto, K.; Tsunobuchi, Y.; Takano, S.; Tokoro, H. Light-induced spin-crossover magnet. Nat. Chem. 2011, 3, 564–569. [Google Scholar] [CrossRef]
- de Graaf, C.; Sousa, C. Study of the light-induced spin crossover process of the [FeII(bpy)3]2+ complex. Chem.—A Eur. J. 2010, 16, 4550–4556. [Google Scholar] [CrossRef]
- Liu, T.; Zheng, H.; Kang, S.; Shiota, Y.; Hayami, S.; Mito, M.; Sato, O.; Yoshizawa, K.; Kanegawa, S.; Duan, C. A light-induced spin crossover actuated single-chain magnet. Nat. Commun. 2013, 4, 2826. [Google Scholar] [CrossRef]
- Delgado, T.; Villard, M. Spin crossover nanoparticles. J. Chem. Educ. 2022, 99, 1026–1035. [Google Scholar] [CrossRef]
- Torres-Cavanillas, R.; Morant-Giner, M.; Escorcia-Ariza, G.; Dugay, J.; Canet-Ferrer, J.; Tatay, S.; Cardona-Serra, S.; Giménez-Marqués, M.; Galbiati, M.; Forment-Aliaga, A.; et al. Spin-crossover nanoparticles anchored on MOS2 layers for heterostructures with tunable strain driven by thermal or light-induced spin switching. Nat. Chem. 2021, 13, 1101–1109. [Google Scholar] [CrossRef] [PubMed]
- Thakur, S.; Golias, E.; Kumberg, I.; Senthil Kumar, K.; Hosseinifar, R.; Torres-Rodríguez, J.; Kipgen, L.; Lotze, C.; Arruda, L.M.; Luo, C.; et al. Thermal- and light-induced spin-crossover characteristics of a functional iron(ii) complex at Submonolayer coverage on HOPG. J. Phys. Chem. C 2021, 125, 13925–13932. [Google Scholar] [CrossRef]
- Mahfoud, T.; Molnár, G.; Bonhommeau, S.; Cobo, S.; Salmon, L.; Demont, P.; Tokoro, H.; Ohkoshi, S.-I.; Boukheddaden, K.; Bousseksou, A. Electric-field-induced charge-transfer phase transition: A promising approach toward electrically switchable devices. J. Am. Chem. Soc. 2009, 131, 15049–15054. [Google Scholar] [CrossRef]
- Karmakar, S.; Chakraborty, P.; Saha-Dasgupta, T. Trend in light-induced excited-state spin trapping in fe(ii)-based spin crossover systems. Phys. Chem. Chem. Phys. 2022, 24, 10201–10209. [Google Scholar] [CrossRef]
- Xie, K.-P.; Ruan, Z.-Y.; Chen, X.-X.; Yang, J.; Wu, S.-G.; Ni, Z.-P.; Tong, M.-L. Light-induced hidden multistability in a spin crossover metal–organic framework. Inorg. Chem. Front. 2022, 9, 1770–1776. [Google Scholar] [CrossRef]
- Ridier, K.; Nicolazzi, W.; Salmon, L.; Molnár, G.; Bousseksou, A. Sequential activation of molecular and macroscopic spin-state switching within the Hysteretic region following pulsed light excitation. Adv. Mater. 2021, 34, 2105468. [Google Scholar] [CrossRef]
- Sadashivaiah, S.; Wolny, J.A.; Scherthan, L.; Jenni, K.; Omlor, A.; Müller, C.S.; Sergueev, I.; Herlitschke, M.; Leupold, O.; Wille, H.-C.; et al. High-repetition rate optical pump–nuclear resonance probe experiments identify transient molecular vibrations after photoexcitation of a spin crossover material. J. Phys. Chem. Lett. 2021, 12, 3240–3245. [Google Scholar] [CrossRef]
- Brachňaková, B.; Moncol’, J.; Pavlik, J.; Šalitroš, I.; Bonhommeau, S.; Valverde-Muñoz, F.J.; Salmon, L.; Molnár, G.; Routaboul, L.; Bousseksou, A. Spin crossover metal–organic frameworks with inserted photoactive guests: On the quest to control the spin state by photoisomerization. Dalton Trans. 2021, 50, 8877–8888. [Google Scholar] [CrossRef] [PubMed]
- Zhao, Q. Light and thermal induced spin crossover properties of Fe(II) compound. J. Phys. Conf. Ser. 2021, 2009, 012052. [Google Scholar] [CrossRef]
- Gheorghe, A.-C.; Bibik, Y.S.; Kucheriv, O.I.; Barakhtii, D.D.; Boicu, M.-V.; Rusu, I.; Diaconu, A.; Gural’skiy, I.A.; Molnár, G.; Rotaru, A. Anomalous pressure effects on the electrical conductivity of the spin crossover complex [fe(pyrazine){au(cn)2}2]. Magnetochemistry 2020, 6, 31. [Google Scholar] [CrossRef]
- Bas, A.-C.; Thompson, X.; Salmon, L.; Thibault, C.; Molnár, G.; Palamarciuc, O.; Routaboul, L.; Bousseksou, A. Bilayer thin films that combine luminescent and spin crossover properties for an efficient and reversible fluorescence switching. Magnetochemistry 2019, 5, 28. [Google Scholar] [CrossRef]
- Molnár, G.; Mikolasek, M.; Ridier, K.; Fahs, A.; Nicolazzi, W.; Bousseksou, A. Molecular spin crossover materials: Review of the lattice dynamical properties. Ann. Phys. 2019, 531, 1900076. [Google Scholar] [CrossRef]
- Halcrow, M.A. Spin-Crossover Materials: Properties and Applications; Wiley: Chichester, UK, 2013. [Google Scholar]
- Bousseksou, A.; Molnár, G.; Salmon, L.; Nicolazzi, W. Molecular spin crossover phenomenon: Recent achievements and prospects. Chem. Soc. Rev. 2011, 40, 3313–3335. [Google Scholar] [CrossRef]
- Shepherd, H.J.; Molnár, G.; Nicolazzi, W.; Salmon, L.; Bousseksou, A. Spin crossover at the Nanometre Scale. Eur. J. Inorg. Chem. 2013, 5, 653–661. [Google Scholar] [CrossRef]
- Tao, J.; Wei, R.-J.; Huang, R.-B.; Zheng, L.-S. Polymorphism in spin-crossover systems. Chem. Soc. Rev. 2012, 41, 703–737. [Google Scholar] [CrossRef]
- Gaspar, A.B.; Seredyuk, M. Spin crossover in soft matter. Coord. Chem. Rev. 2014, 268, 41–58. [Google Scholar] [CrossRef]
- Molnár, G.; Salmon, L.; Nicolazzi, W.; Terki, F.; Bousseksou, A. Emerging properties and applications of spin crossover nanomaterials. J. Mater. Chem. C 2014, 2, 1360–1366. [Google Scholar] [CrossRef]
- Tissot, A.; Kesse, X.; Giannopoulou, S.; Stenger, I.; Binet, L.; Rivière, E.; Serre, C. A spin crossover porous hybrid architecture for potential sensing applications. Chem. Commun. 2019, 55, 194–197. [Google Scholar] [CrossRef] [PubMed]
- Hao, G.; Cheng, R.; Dowben, P.A. The emergence of the local moment molecular spin transistor. J. Phys. Condens. Matter. 2020, 32, 234002. [Google Scholar] [CrossRef] [PubMed]
- Li, H.; Peng, H. Recent advances in self-assembly of spin crossover materials and their applications. Curr. Opin. Colloid Interface Sci. 2018, 35, 9–16. [Google Scholar] [CrossRef]
- Suryadevara, N.; Mizuno, A.; Spieker, L.; Salamon, S.; Sleziona, S.; Maas, A.; Pollmann, E.; Heinrich, B.; Schleberger, M.; Wende, H.; et al. Structural insights into hysteretic spin-crossover in a set of iron(ii)-2,6-bis(1H-pyrazol-1-yl)pyridine) complexes. Chem.—A Eur. J. 2022, 28, 6. [Google Scholar]
- Wane, S.; Tran, Q.H.; Cabrera, A.E.; Salmon, L.; Molnar, G.; Huard, V.; Bousseksou, A. Smart sensing of vital-signs: Co-design of tunable quantum-spin crossover materials with secure photonics and RF front-end-module. In Proceedings of the 2021 IEEE Texas Symposium on Wireless and Microwave Circuits and Systems (WMCS) 2021, Waco, TX, USA, 18–20 May 2021. [Google Scholar]
- Rubio-Giménez, V.; Tatay, S.; Martí-Gastaldo, C. Electrical conductivity and magnetic bistability in metal–organic frameworks and coordination polymers: Charge Transport and spin crossover at the Nanoscale. Chem. Soc. Rev. 2020, 49, 5601–5638. [Google Scholar] [CrossRef]
- Londo, S.; Biswas, S.; Husek, J.; Pinchuk, I.V.; Newburger, M.J.; Boyadzhiev, A.; Trout, A.H.; McComb, D.W.; Kawakami, R.; Baker, L.R. Ultrafast spin crossover in a room-temperature ferrimagnet: Element-specific spin dynamics in photoexcited cobalt ferrite. J. Phys. Chem. C 2020, 124, 11368–11375. [Google Scholar] [CrossRef]
- Kucheriv, O.I.; Oliynyk, V.V.; Zagorodnii, V.V.; Launets, V.L.; Fritsky, I.O.; Gural’skiy, I.A. New applications of spin-crossover complexes: Microwave absorption, chirooptical switching and enantioselective detection. NATO Sci. Peace Secur. Ser. B Phys. Biophys. 2020, 119–143. [Google Scholar] [CrossRef]
- Villalva, J.; Develioglu, A.; Montenegro-Pohlhammer, N.; Sánchez-de-Armas, R.; Gamonal, A.; Rial, E.; García-Hernández, M.; Ruiz-Gonzalez, L.; Costa, J.S.; Calzado, C.J.; et al. Spin-state-dependent electrical conductivity in single-walled carbon nanotubes encapsulating spin-crossover molecules. Nat. Commun. 2021, 12, 1578. [Google Scholar] [CrossRef]
- Bartual-Murgui, C.; Akou, A.; Salmon, L.; Molnár, G.; Thibault, C.; Real, J.A.; Bousseksou, A. Guest effect on nanopatterned spin-crossover thin films. Small 2011, 7, 3385–3391. [Google Scholar] [CrossRef]
- Dugay, J.; Aarts, M.; Giménez-Marqués, M.; Kozlova, T.; Zandbergen, H.W.; Coronado, E.; van der Zant, H.S. Phase transitions in spin-crossover thin films probed by graphene transport measurements. Nano Lett. 2016, 17, 186–193. [Google Scholar] [CrossRef]
- Mallah, T.; Cavallini, M. Surfaces, thin films and patterning of spin crossover compounds. Comptes Rendus Chim. 2018, 21, 1270–1286. [Google Scholar] [CrossRef]
- Palamarciuc, T.; Oberg, J.C.; El Hallak, F.; Hirjibehedin, C.F.; Serri, M.; Heutz, S.; Létard, J.-F.; Rosa, P. Spin crossover materials evaporated under clean high vacuum and ultra-high vacuum conditions: From thin films to single molecules. J. Mater. Chem. 2012, 22, 9690–9695. [Google Scholar] [CrossRef]
- Félix, G.; Abdul-Kader, K.; Mahfoud, T.; Gural’skiy, I.A.; Nicolazzi, W.; Salmon, L.; Molnár, G.; Bousseksou, A. Surface plasmons reveal spin crossover in nanometric layers. J. Am. Chem. Soc. 2011, 133, 15342–15345. [Google Scholar] [CrossRef] [PubMed]
- Rohlf, S.; Grunwald, J.; Jasper-Toennies, T.; Johannsen, S.; Diekmann, F.; Studniarek, M.; Berndt, R.; Tuczek, F.; Rossnagel, K.; Gruber, M. Influence of substrate electronic properties on the integrity and functionality of an adsorbed fe(ii) spin-crossover compound. J. Phys. Chem. C 2019, 123, 17774–17780. [Google Scholar] [CrossRef]
- Auwärter, W.; Écija, D.; Klappenberger, F.; Barth, J.V. Porphyrins at interfaces. Nat. Chem. 2015, 7, 105–120. [Google Scholar] [CrossRef]
- Mortensen, O.V.; Liberato, J.L.; Coutinho-Netto, J.; dos Santos, W.F.; Fontana, A.C. Molecular determinants of transport stimulation of EAAT2 are located at interface between the trimerization and substrate transport domains. J. Neurochem. 2015, 133, 199–210. [Google Scholar] [CrossRef]
- Cahen, D.; Kahn, A.; Umbach, E. Energetics of Molecular Interfaces. Mater. Today 2005, 8, 32–41. [Google Scholar] [CrossRef]
- Haick, H.; Cahen, D. Contacting organic molecules by soft methods: Towards molecule-based electronic devices. Acc. Chem. Res. 2008, 41, 359–366. [Google Scholar] [CrossRef]
- Mannhar, J.; Herrnberger, A. The interface is still the device. Nat. Mater. 2012, 11, 91. [Google Scholar]
- Kipgen, L.; Bernien, M.; Tuczek, F.; Kuch, W. Spin-crossover molecules on surfaces: From isolated molecules to ultrathin films. Adv. Mater. 2021, 33, 2008141. [Google Scholar] [CrossRef]
- Gruber, M.; Berndt, R. Spin-crossover complexes in direct contact with surfaces. Magnetochemistry 2020, 6, 35. [Google Scholar] [CrossRef]
- Bernien, M.; Wiedemann, D.; Hermanns, C.F.; Krüger, A.; Rolf, D.; Kroener, W.; Müller, P.; Grohmann, A.; Kuch, W. Spin crossover in a vacuum-deposited submonolayer of a molecular iron(ii) complex. J. Phys. Chem. Lett. 2012, 3, 3431–3434. [Google Scholar] [CrossRef] [PubMed]
- Ossinger, S.; Kipgen, L.; Naggert, H.; Bernien, M.; Britton, A.J.; Nickel, F.; Arruda, L.M.; Kumberg, I.; Engesser, T.A.; Golias, E.; et al. Effect of ligand methylation on the spin-switching properties of surface-supported spin-crossover molecules. J. Phys. Condens. Matter 2019, 32, 114003. [Google Scholar] [CrossRef]
- Shi, S.; Schmerber, G.; Arabski, J.; Beaufrand, J.-B.; Kim, D.J.; Boukari, S.; Bowen, M.; Kemp, N.T.; Viart, N.; Rogez, G.; et al. Study of molecular spin-crossover complex Fe(phen)2(NCS)2 thin films. Appl. Phys. Lett. 2009, 95, 043303. [Google Scholar] [CrossRef]
- Naggert, H.; Rudnik, J.; Kipgen, L.; Bernien, M.; Nickel, F.; Arruda, L.M.; Kuch, W.; Näther, C.; Tuczek, F. Vacuum-evaporable spin-crossover complexes: Physicochemical properties in the crystalline bulk and in thin films deposited from the gas phase. J. Mater. Chem. C 2015, 3, 7870–7877. [Google Scholar] [CrossRef]
- Ekanayaka, T.K.; Wang, P.; Yazdani, S.; Phillips, J.P.; Mishra, E.; Dale, A.S.; N’Diaye, A.T.; Klewe, C.; Shafer, P.; Freeland, J.; et al. Evidence of dynamical effects and critical field in a cobalt spin crossover complex. Chem. Commun. 2022, 58, 661–664. [Google Scholar] [CrossRef] [PubMed]
- Poggini, L.; Giacom, L.; Milek, M.; Naiim, A.; Chen, P.; Lanzilotto, V.; Vortigiani, B.; Bondio, F.; Magnano, E.; Otero, E.; et al. Sub-monolayer deposit of photochromic spin crossover compound on HOPG. Surfaces 2019, 12, 27–29. [Google Scholar]
- Miyamachi, T.; Gruber, M.; Davesne, V.; Bowen, M.; Boukari, S.; Joly, L.; Scheurer, F.; Rogez, G.; Yamada, T.K.; Ohresser, P.; et al. Robust spin crossover and memristance across a single molecule. Nat. Commun. 2012, 3, 938. [Google Scholar] [CrossRef]
- Rohlf, S.; Gruber, M.; Flöser, B.M.; Grunwald, J.; Jarausch, S.; Diekmann, F.; Kalläne, M.; Jasper-Toennies, T.; Buchholz, A.; Plass, W.; et al. Light-induced spin crossover in an fe(ii) low-spin complex enabled by surface adsorption. J. Phys. Chem. Lett. 2018, 9, 1491–1496. [Google Scholar] [CrossRef]
- Gruber, M.; Miyamachi, T.; Davesne, V.; Bowen, M.; Boukari, S.; Wulfhekel, W.; Alouani, M.; Beaurepaire, E. Spin crossover in Fe(phen)2(NCS)2 complexes on metallic surfaces. J. Chem. Phys. 2017, 146, 092312. [Google Scholar] [CrossRef]
- Fourmental, C.; Mondal, S.; Banerjee, R.; Bellec, A.; Garreau, Y.; Coati, A.; Chacon, C.; Girard, Y.; Lagoute, J.; Rousset, S.; et al. Importance of epitaxial strain at a spin-crossover molecule–metal interface. J. Phys. Chem. Lett. 2019, 10, 4103–4109. [Google Scholar] [CrossRef]
- Kelai, M.; Repain, V.; Tauzin, A.; Li, W.; Girard, Y.; Lagoute, J.; Rousset, S.; Otero, E.; Sainctavit, P.; Arrio, M.-A.; et al. Thermal bistability of an ultrathin film of iron(II) spin-crossover molecules directly adsorbed on a metal surface. J. Phys. Chem. Lett. 2021, 12, 6152–6158. [Google Scholar] [CrossRef] [PubMed]
- Jasper-Tönnies, T.; Gruber, M.; Karan, S.; Jacob, H.; Tuczek, F.; Berndt, R. Deposition of a cationic Feiii spin-crossover complex on Au(111): Impact of the counter ion. J. Phys. Chem. Lett. 2017, 8, 1569–1573. [Google Scholar] [CrossRef] [PubMed]
- Zhang, X.; Costa, P.S.; Hooper, J.; Miller, D.P.; N’Diaye, A.T.; Beniwal, S.; Jiang, X.; Yin, Y.; Rosa, P.; Routaboul, L.; et al. Locking and unlocking the molecular spin crossover transition. Adv. Mater. 2017, 29, 1702257. [Google Scholar] [CrossRef]
- Giaconi, N.; Sorrentino, A.L.; Poggini, L.; Serrano, G.; Cucinotta, G.; Otero, E.; Longo, D.; Douib, H.; Pointillart, F.; Caneschi, A.; et al. Investigation of a tetrathiafulvalene-based Fe2+ thermal spin crossover assembled on Gold Surface. Magnetochemistry 2022, 8, 14. [Google Scholar] [CrossRef]
- Gueddida, S.; Alouani, M. Spin crossover in a single Fe(phen)2 (NCS)2 molecule adsorbed onto metallic substrates: An ab initio calculation. Phys. Rev. B 2013, 87, 144413. [Google Scholar] [CrossRef]
- Zhang, Y. Fe(phen)2(NCS)2 on Al(100): Influence of AlN Layer on spin crossover barrier. Phys. Chem. Chem. Phys. 2021, 23, 23758–23767. [Google Scholar] [CrossRef]
- Cinchetti, M.; Dediu, V.A.; Hueso, L.E. Activating the molecular spinterface. Nat. Mater. 2017, 16, 507–515. [Google Scholar] [CrossRef]
- Knaak, T.; González, C.; Dappe, Y.J.; Harzmann, G.D.; Brandl, T.; Mayor, M.; Berndt, R.; Gruber, M. Fragmentation and distortion of terpyridine-based spin-crossover complexes on Au(111). J. Phys. Chem. C 2019, 123, 4178–4185. [Google Scholar] [CrossRef]
- Djeghloul, F.; Gruber, M.; Urbain, E.; Xenioti, D.; Joly, L.; Boukari, S.; Arabski, J.; Bulou, H.; Scheurer, F.; Bertran, F.; et al. High spin polarization at ferromagnetic metal–organic interfaces: A generic property. J. Phys. Chem. Lett. 2016, 7, 2310–2315. [Google Scholar] [CrossRef]
- Gopakumar, T.G.; Bernien, M.; Naggert, H.; Matino, F.; Hermanns, C.F.; Bannwarth, A.; Mühlenberend, S.; Krüger, A.; Krüger, D.; Nickel, F.; et al. Spin-crossover complex on Au(111): Structural and electronic differences between mono- and multilayers. Chem.—A Eur. J. 2013, 19, 15702–15709. [Google Scholar] [CrossRef]
- Beniwal, S.; Sarkar, S.; Baier, F.; Weber, B.; Dowben, P.A.; Enders, A. Site selective adsorption of the Spin Crossover Complex Fe(phen)2(NCS) on Au(111). J. Phys. Condens. Matter 2020, 32, 324003. [Google Scholar] [CrossRef] [PubMed]
- Pronschinske, A.; Bruce, R.C.; Lewis, G.; Chen, Y.; Calzolari, A.; Buongiorno-Nardelli, M.; Shultz, D.A.; You, W.; Dougherty, D.B. Iron(II) spin crossover films on Au(111): Scanning probe microscopy and Photoelectron Spectroscopy. Chem. Commun. 2013, 49, 10446. [Google Scholar] [CrossRef]
- Pronschinske, A.; Chen, Y.; Lewis, G.F.; Shultz, D.A.; Calzolari, A.; Buongiorno Nardelli, M.; Dougherty, D.B. Modification of molecular spin crossover in Ultrathin Films. Nano Lett. 2013, 13, 1429–1434. [Google Scholar] [CrossRef] [PubMed]
- Beniwal, S.; Zhang, X.; Mu, S.; Naim, A.; Rosa, P.; Chastanet, G.; Létard, J.-F.; Liu, J.; Sterbinsky, G.E.; Arena, D.A.; et al. Surface-induced spin state locking of the [Fe(H2B(pz)2)2(bipy)] spin crossover complex. J. Phys. Condens. Matter 2016, 28, 206002. [Google Scholar] [CrossRef]
- Ossinger, S.; Naggert, H.; Kipgen, L.; Jasper-Toennies, T.; Rai, A.; Rudnik, J.; Nickel, F.; Arruda, L.M.; Bernien, M.; Kuch, W.; et al. Vacuum-evaporable spin-crossover complexes in direct contact with a solid surface: Bismuth versus gold. J. Phys. Chem. C 2017, 121, 1210–1219. [Google Scholar] [CrossRef]
- Gruber, M.; Davesne, V.; Bowen, M.; Boukari, S.; Beaurepaire, E.; Wulfhekel, W.; Miyamachi, T. Spin State of spin-crossover complexes: From single molecules to Ultrathin Films. Phys. Rev. B 2014, 89, 195415. [Google Scholar] [CrossRef]
- Pasquier, R.; Rassoul, K.; Alouani, M. Inverse spin crossover in fluorinated Fe (1, 10-phenanthroline)2(NCS)2 adsorbed on Cu(001) surface. Comput. Condens. Matter 2022, 32, e00735. [Google Scholar] [CrossRef]
- Poggini, L.; Gonidec, M.; Canjeevaram Balasubramanyam, R.K.; Squillantini, L.; Pecastaings, G.; Caneschi, A.; Rosa, P. Temperature-induced transport changes in molecular junctions based on a spin crossover complex. J. Mater. Chem. C 2019, 7, 5343–5347. [Google Scholar] [CrossRef]
- Lefter, C.; Rat, S.; Costa, J.S.; Manrique-Juárez, M.D.; Quintero, C.M.; Salmon, L.; Séguy, I.; Leichle, T.; Nicu, L.; Demont, P.; et al. Current switching coupled to molecular spin-states in large-area junctions. Adv. Mater. 2016, 28, 7508–7514. [Google Scholar] [CrossRef]
- Ludwig, E.; Naggert, H.; Kalläne, M.; Rohlf, S.; Kröger, E.; Bannwarth, A.; Quer, A.; Rossnagel, K.; Kipp, L.; Tuczek, F. Iron(II) spin-crossover complexes in ultrathin films: Electronic structure and spin-state switching by visible and vacuum-UV light. Angew. Chem. Int. Ed. 2014, 53, 3019–3023. [Google Scholar] [CrossRef] [PubMed]
- Schleicher, F.; Studniarek, M.; Kumar, K.S.; Urbain, E.; Katcko, K.; Chen, J.; Frauhammer, T.; Hervé, M.; Halisdemir, U.; Kandpal, L.M.; et al. Linking electronic transport through a spin crossover thin film to the molecular spin state using X-ray absorption spectroscopy Operando techniques. ACS Appl. Mater. Interfaces 2018, 10, 31580–31585. [Google Scholar] [CrossRef]
- Gopakumar, T.G.; Matino, F.; Naggert, H.; Bannwarth, A.; Tuczek, F.; Berndt, R. Electron-induced spin crossover of single molecules in a bilayer on gold. Angew. Chem. Int. Ed. 2012, 51, 6262–6266. [Google Scholar] [CrossRef] [PubMed]
- Atzori, M.; Poggini, L.; Squillantini, L.; Cortigiani, B.; Gonidec, M.; Bencok, P.; Sessoli, R.; Mannini, M. Thermal and light-induced spin transition in a nanometric film of a new high-vacuum processable spin crossover complex. J. Mater. Chem. C 2018, 6, 8885–8889. [Google Scholar] [CrossRef]
- Poggini, L.; Gonidec, M.; González-Estefan, J.H.; Pecastaings, G.; Gobaut, B.; Rosa, P. Vertical Tunnel Junction embedding a spin crossover molecular film. Adv. Electron. Mater. 2018, 4, 1800204. [Google Scholar] [CrossRef]
- Tong, Y.; Kelaï, M.; Bairagi, K.; Repain, V.; Lagoute, J.; Girard, Y.; Rousset, S.; Boillot, M.-L.; Mallah, T.; Enachescu, C.; et al. Voltage-induced bistability of single spin-crossover molecules in a two-dimensional monolayer. J. Phys. Chem. Lett. 2021, 12, 11029–11034. [Google Scholar] [CrossRef]
- Johannsen, S.; Ossinger, S.; Grunwald, J.; Herman, A.; Wende, H.; Tuczek, F.; Gruber, M.; Berndt, R. Spin crossover in a cobalt complex on Ag(111). Angew. Chem. 2022, 61, e202115892. [Google Scholar] [CrossRef]
- Johannsen, S.; Ossinger, S.; Markussen, T.; Tuczek, F.; Gruber, M.; Berndt, R. Electron-induced spin-crossover in self-assembled tetramers. ACS Nano 2021, 15, 11770–11778. [Google Scholar] [CrossRef]
- Johannsen, S.; Schüddekopf, S.; Ossinger, S.; Grunwald, J.; Tuczek, F.; Gruber, M.; Berndt, R. Three-state switching of an Fe spin crossover complex. J. Phys. Chem. C 2022, 126, 7238–7244. [Google Scholar] [CrossRef]
- Zhang, X.; N’Diaye, A.T.; Jiang, X.; Zhang, X.; Yin, Y.; Chen, X.; Hong, X.; Xu, X.; Dowben, P.A. Indications of magnetic coupling effects in spin cross-over molecular thin films. Chem. Commun. 2018, 54, 944–947. [Google Scholar] [CrossRef]
- Zhang, Y. Surface effects on temperature-driven spin crossover in Fe(phen)2(NCS)2. J. Chem. Phys. 2020, 153, 134704. [Google Scholar] [CrossRef] [PubMed]
- Gavara-Edo, M.; Córdoba, R.; Valverde-Muñoz, F.J.; Herrero-Martín, J.; Real, J.A.; Coronado, E. Electrical sensing of the thermal and light-induced spin transition in robust contactless spin-crossover/graphene hybrid devices. Adv. Mater. 2022, 34, 2202551. [Google Scholar] [CrossRef]
- Bernien, M.; Naggert, H.; Arruda, L.M.; Kipgen, L.; Nickel, F.; Miguel, J.; Hermanns, C.F.; Krüger, A.; Krüger, D.; Schierle, E.; et al. Highly efficient thermal and light-induced spin-state switching of an fe(ii) complex in direct contact with a solid surface. ACS Nano 2015, 9, 8960–8966. [Google Scholar] [CrossRef]
- Poggini, L.; Londi, G.; Milek, M.; Naim, A.; Lanzilotto, V.; Cortigiani, B.; Bondino, F.; Magnano, E.; Otero, E.; Sainctavit, P.; et al. Surface effects on a photochromic spin-crossover iron(ii) molecular switch adsorbed on highly oriented pyrolytic graphite. Nanoscale 2019, 11, 20006–20014. [Google Scholar] [CrossRef]
- Kipgen, L.; Bernien, M.; Ossinger, S.; Nickel, F.; Britton, A.J.; Arruda, L.M.; Naggert, H.; Luo, C.; Lotze, C.; Ryll, H.; et al. Evolution of cooperativity in the spin transition of an iron(II) complex on a graphite surface. Nat. Commun. 2018, 9, 2984. [Google Scholar] [CrossRef] [PubMed]
- Karuppannan, S.K.; Martín-Rodríguez, A.; Ruiz, E.; Harding, P.; Harding, D.J.; Yu, X.; Tadich, A.; Cowie, B.; Qi, D.; Nijhuis, C.A. Room temperature conductance switching in a molecular iron(iii) spin crossover junction. Chem. Sci. 2021, 12, 2381–2388. [Google Scholar] [CrossRef] [PubMed]
- Kumar, K.S.; Studniarek, M.; Heinrich, B.; Arabski, J.; Schmerber, G.; Bowen, M.; Boukari, S.; Beaurepaire, E.; Dreiser, J.; Ruben, M. Engineering on-surface spin crossover: Spin-state switching in a self-assembled film of vacuum-sublimable functional molecule. Adv. Mater. 2018, 30, 1705416. [Google Scholar] [CrossRef]
- Naggert, H.; Bannwarth, A.; Chemnitz, S.; von Hofe, T.; Quandt, E.; Tuczek, F. First observation of light-induced spin change in vacuum deposited thin films of iron spin crossover complexes. Dalton Trans. 2011, 40, 6364. [Google Scholar] [CrossRef]
- Saha, S.; Chandra, P.; Mandal, S.K. Spin state bistability in (Mn, zn) doped (Fe(Phen)2(NCS)2) molecular thin film nanocrystals on Quartz. Phys. B Condens. Matter 2022, 642, 414128. [Google Scholar] [CrossRef]
- Ridier, K.; Bas, A.C.; Shalabaeva, V.; Nicolazzi, W.; Salmon, L.; Molnár, G.; Bousseksou, A.; Lorenc, M.; Bertoni, R.; Collet, E.; et al. Finite size effects on the switching dynamics of spin-crossover thin films photoexcited by a femtosecond laser pulse. Adv. Mater. 2019, 31, 1901361. [Google Scholar] [CrossRef]
- Jasper-Toennies, T.; Gruber, M.; Karan, S.; Jacob, H.; Tuczek, F.; Berndt, R. Robust and selective switching of an feiii spin-crossover compound on Cu2N/Cu(100) with memristance behavior. Nano Lett. 2017, 17, 6613–6619. [Google Scholar] [CrossRef] [PubMed]
- Mahfoud, T.; Molnár, G.; Cobo, S.; Salmon, L.; Thibault, C.; Vieu, C.; Demont, P.; Bousseksou, A. Electrical properties and non-volatile memory effect of the [Fe(HB(pz)3)2] spin crossover complex integrated in a microelectrode device. Appl. Phys. Lett. 2011, 99, 053307. [Google Scholar] [CrossRef]
- Ridier, K.; Bas, A.-C.; Zhang, Y.; Routaboul, L.; Salmon, L.; Molnár, G.; Bergaud, C.; Bousseksou, A. Unprecedented switching endurance affords for high-resolution surface temperature mapping using a spin-crossover film. Nat. Commun. 2020, 11, 3611. [Google Scholar] [CrossRef] [PubMed]
- Stegmann, P.; Gee, A.; Kemp, N.T.; König, J. Statistical analysis of spin switching in coupled spin-crossover molecules. Phys. Rev. B 2021, 104, 125431. [Google Scholar] [CrossRef]
- Lefter, C.; Tan, R.; Dugay, J.; Tricard, S.; Molnár, G.; Salmon, L.; Carrey, J.; Nicolazzi, W.; Rotaru, A.; Bousseksou, A. Unidirectional electric field-induced spin-state switching in spin crossover based microelectronic devices. Chem. Phys. Lett. 2016, 644, 138–141. [Google Scholar] [CrossRef]
- Hu, Y.; Picher, M.; Tran, N.M.; Palluel, M.; Stoleriu, L.; Daro, N.; Mornet, S.; Enachescu, C.; Freysz, E.; Banhart, F.; et al. Photo-thermal switching of individual plasmonically activated spin crossover nanoparticle imaged by Ultrafast Transmission Electron Microscopy. Adv. Mater. 2021, 33, 2105586. [Google Scholar] [CrossRef]
- Maskowicz, D.; Sawczak, M.; Ghosh, A.C.; Grochowska, K.; Jendrzejewski, R.; Rotaru, A.; Garcia, Y.; Śliwiński, G. Spin crossover and cooperativity in Nanocrystalline [Fe(pyrazine)Pt(CN)4] thin films deposited by matrix-assisted laser evaporation. Appl. Surf. Sci. 2021, 541, 148419. [Google Scholar] [CrossRef]
- Konstantinov, N.; Tauzin, A.; Noumbé, U.N.; Dragoe, D.; Kundys, B.; Majjad, H.; Brosseau, A.; Lenertz, M.; Singh, A.; Berciaud, S.; et al. Electrical read-out of light-induced spin transition in thin film spin crossover/graphene heterostructures. J. Mater. Chem. C 2021, 9, 2712–2720. [Google Scholar] [CrossRef]
- Gakiya-Teruya, M.; Jiang, X.; Le, D.; Üngör, Ö.; Durrani, A.J.; Koptur-Palenchar, J.J.; Jiang, J.; Jiang, T.; Meisel, M.W.; Cheng, H.-P.; et al. Asymmetric design of spin-crossover complexes to increase the volatility for surface deposition. J. Am. Chem. Soc. 2021, 143, 14563–14572. [Google Scholar] [CrossRef]
- Shalabaeva, V.; Ridier, K.; Rat, S.; Manrique-Juarez, M.D.; Salmon, L.; Séguy, I.; Rotaru, A.; Molnár, G.; Bousseksou, A. Room temperature current modulation in large area electronic junctions of Spin Crossover Thin Films. Appl. Phys. Lett. 2018, 112, 013301. [Google Scholar] [CrossRef]
- Dayen, J.-F.; Konstantinov, N.; Palluel, M.; Daro, N.; Kundys, B.; Soliman, M.; Chastanet, G.; Doudin, B. Room temperature optoelectronic devices operating with spin crossover nanoparticles. Mater. Horiz. 2021, 8, 2310–2315. [Google Scholar] [CrossRef] [PubMed]
- Yazdani, S.; Collier, K.; Yang, G.; Phillips, J.; Dale, A.; Grocki, S.; Zhang, J.; Cheng, R.; Dowben, P.A. Spectroscopy study of isothermal spin state switching in a Fe(II) spin crossover molecular thin film. Preprints 2022, 2022080454. [Google Scholar] [CrossRef]
- Zhang, X.; Palamarciuc, T.; Létard, J.-F.; Rosa, P.; Lozada, E.V.; Torres, F.; Rosa, L.G.; Doudin, B.; Dowben, P.A. The spin state of a molecular adsorbate driven by the ferroelectric substrate polarization. Chem. Commun. 2014, 50, 2255. [Google Scholar] [CrossRef]
- Wäckerlin, C.; Donati, F.; Singha, A.; Baltic, R.; Decurtins, S.; Liu, S.-X.; Rusponi, S.; Dreiser, J. Excited spin-state trapping in spin crossover complexes on ferroelectric substrates. J. Phys. Chem. C 2018, 122, 8202–8208. [Google Scholar] [CrossRef]
- Angulo-Cervera, J.E.; Piedrahita-Bello, M.; Mathieu, F.; Leichle, T.; Nicu, L.; Salmon, L.; Molnár, G.; Bousseksou, A. Investigation of the effect of spin crossover on the static and dynamic properties of MEMS Microcantilevers coated with nanocomposite films of [Fe(Htrz)2(trz)](BF4)@P(VDF-TrFE). Magnetochemistry 2021, 7, 114. [Google Scholar] [CrossRef]
- Huang, Y.-X.; Hu, H.-J.; Wei, R.-J.; Ning, G.-H.; Li, D. Multiple polymorphic phases of a mononuclear spin-crossover Fe(II) complex with significant Coligand effect. Cryst. Growth Des. Des. 2021, 21, 4587–4593. [Google Scholar] [CrossRef]
- Cuza, E.; Motei, R.; Setifi, F.; Bentama, A.; Gómez-García, C.J.; Triki, S. Coordination isomerism in spin crossover (SCO) materials. J. Appl. Phys. 2021, 129, 145501. [Google Scholar] [CrossRef]
- Ossinger, S.; Näther, C.; Buchholz, A.; Schmidtmann, M.; Mangelsen, S.; Beckhaus, R.; Plass, W.; Tuczek, F. Spin transition of an iron(ii) organoborate complex in different polymorphs and in vacuum-deposited thin films: Influence of Cooperativity. Inorg. Chem. 2020, 59, 7966–7979. [Google Scholar] [CrossRef]
- Jiang, X.; Hao, G.; Wang, X.; Mosey, A.; Zhang, X.; Yu, L.; Yost, A.J.; Zhang, X.; DiChiara, A.D.; N’Diaye, A.T.; et al. Tunable spin-state bistability in a spin crossover molecular complex. J. Phys. Condens. Matter 2019, 31, 315401. [Google Scholar] [CrossRef]
- Maskowicz, D.; Jendrzejewski, R.; Kopeć, W.; Gazda, M.; Karczewski, J.; Niedziałkowski, P.; Kleibert, A.; Vaz, C.A.; Garcia, Y.; Sawczak, M. Thin Films of nanocrystalline [Fe(pz)Pt(VN)4] deposited by resonant matrix-assisted pulsed laser evaporation. Materials 2021, 14, 7135. [Google Scholar] [CrossRef]
- Enriquez-Cabrera, A.; Rapakousiou, A.; Piedrahita Bello, M.; Molnár, G.; Salmon, L.; Bousseksou, A. Spin crossover polymer composites, polymers and related soft materials. Coord. Chem. Rev. 2020, 419, 213396. [Google Scholar] [CrossRef]
- Sawczak, M.; Jendrzejewski, R.; Maskowicz, D.; Garcia, Y.; Ghosh, A.C.; Gazda, M.; Czechowski, J.; Śliwiński, G. Nanocrystalline polymer impregnated [Fe(pz)Pt(VN)4] thin films prepared by matrix-assisted pulsed laser evaporation. Eur. J. Inorg. Chem. 2019, 2019, 3249–3255. [Google Scholar] [CrossRef]
- Haraguchi, T.; Otsubo, K.; Sakata, O.; Fujiwara, A.; Kitagawa, H. Strain-controlled spin transition in heterostructured metal–organic framework thin film. J. Am. Chem. Soc. 2021, 143, 16128–16135. [Google Scholar] [CrossRef] [PubMed]
- Cavallini, M. Status and perspectives in thin films and patterning of spin crossover compounds. Phys. Chem. Chem. Phys. 2012, 14, 11867. [Google Scholar] [CrossRef]
- Sakaida, S.; Otsubo, K.; Otake, K.; Kawaguchi, S.; Maesato, M.; Kitagawa, S.; Kitagawa, H. Surface morphology-induced spin-crossover-inactive high-spin state in a coordination framework. Chem. Commun. 2021, 57, 1462–1465. [Google Scholar] [CrossRef]
- Mishra, E.; Ekanayaka, T.K.; McElveen, K.A.; Lai, R.Y.; Dowben, P.A. Evidence for long drift carrier lifetimes in [Fe(Htrz)2(trz)](BF4) plus polyaniline composites. Org. Electron. 2022, 105, 106516. [Google Scholar] [CrossRef]
- Costa, P.S.; Hao, G.; N’Diaye, A.T.; Routaboul, L.; Braunstein, P.; Zhang, X.; Zhang, J.; Ekanayaka, T.K.; Shi, Q.-Y.; Schlegel, V.; et al. Manipulation of the molecular spin crossover transition of [Fe{H2B(pz)2}2(bipy)] by addition of polar molecules. J. Phys. Condens. Matter 2019, 32, 034001. [Google Scholar] [CrossRef]
- Turo-Cortés, R.; Valverde-Muñoz, F.J.; Meneses-Sánchez, M.; Muñoz, M.C.; Bartual-Murgui, C.; Real, J.A. Bistable Hofmann-type Feii spin-crossover two-dimensional polymers of 4-alkyldisulfanylpyridine for prospective grafting of monolayers on metallic surfaces. Inorg. Chem. 2021, 60, 9040–9049. [Google Scholar] [CrossRef]
- Bartual-Murgui, C.; Vela, S.; Darawsheh, M.; Diego, R.; Teat, S.J.; Roubeau, O.; Aromí, G. A probe of steric ligand substituent effects on the spin crossover of Fe(II) complexes. Inorg. Chem. Front. 2017, 4, 1374–1383. [Google Scholar] [CrossRef]
- Hao, G.; Jiang, X.; Mosey, A.; Yost, A.; Zhang, X.; N’Diaye, A.; Zhang, J.; Cheng, R.; Xu, X.; Dowben, P. Coordination Dependence of Cooperative Effects in Spin Crossover [fe{H2B(pz)2}2 (bipy)] Thin Film; Bulletin of the American Physical Society: College Park, MD, USA, 2019. [Google Scholar]
- Molnár, G.; Cobo, S.; Real, J.A.; Carcenac, F.; Daran, E.; Vieu, C.; Bousseksou, A. A combined top-down/bottom-up approach for the nanoscale patterning of spin-crossover coordination polymers. Adv. Mater. 2007, 19, 2163–2167. [Google Scholar] [CrossRef]
- Boix-Constant, C.; García-López, V.; Navarro-Moratalla, E.; Clemente-León, M.; Zafra, J.L.; Casado, J.; Guinea, F.; Mañas-Valero, S.; Coronado, E. Strain switching in van der waals heterostructures triggered by a spin-crossover metal–organic framework. Adv. Mater. 2022, 34, 2110027. [Google Scholar] [CrossRef] [PubMed]
- Polyzou, C.D.; Malina, O.; Polaskova, M.; Tripathi, M.; Dalton, A.B.; Parthenios, J.; Tangoulis, V. Extreme downsizing of spin crossover nanoparticles towards stable colloids in water: A detailed nano-topographic study. J. Mater. Chem. C 2021, 9, 15671–15682. [Google Scholar] [CrossRef]
- Bartual-Murgui, C.; Rubio-Giménez, V.; Meneses-Sánchez, M.; Valverde-Muñoz, F.J.; Tatay, S.; Martí-Gastaldo, C.; Muñoz, M.C.; Real, J.A. Epitaxial thin-film vs single crystal growth of 2d Hofmann-type iron(II) materials: A comparative assessment of their bi-stable spin crossover properties. ACS Appl. Mater. Interfaces 2020, 12, 29461–29472. [Google Scholar] [CrossRef] [PubMed]
- Benaicha, B.; Van Do, K.; Yangui, A.; Pittala, N.; Lusson, A.; Sy, M.; Bouchez, G.; Fourati, H.; Gómez-García, C.J.; Triki, S.; et al. Interplay between spin-crossover and luminescence in a multifunctional single crystal iron(II) complex: Towards a new generation of molecular sensors. Chem. Sci. 2019, 10, 6791–6798. [Google Scholar] [CrossRef] [PubMed]
- Ossinger, S.; Näther, C.; Tuczek, F. Spin-crossover behavior of Bis[dihydrobis(4-methylpyrazol-1-yl-borate)]-(2,2′-bipyridine)iron and analogous complexes in the bulk and in thin films: Elucidating the influence of π–π-interactions on the type of spin transition. J. Phys. Condens. Matter 2019, 32, 094001. [Google Scholar] [CrossRef]
- Tangoulis, V.; Polyzou, C.D.; Gkolfi, P.; Lalioti, N.; Malina, O.; Polaskova, M. 2-D spin crossover materials at the nanometric scale: The effects of the size-reduction on the magnetic properties. Dalton Trans. 2021, 50, 3109–3115. [Google Scholar] [CrossRef]
- Rubio-Giménez, V.; Bartual-Murgui, C.; Galbiati, M.; Núñez-López, A.; Castells-Gil, J.; Quinard, B.; Seneor, P.; Otero, E.; Ohresser, P.; Cantarero, A.; et al. Effect of nanostructuration on the spin crossover transition in Crystalline Ultrathin Films. Chem. Sci. 2019, 10, 4038–4047. [Google Scholar] [CrossRef]
- Manrique-Juárez, M.D.; Mathieu, F.; Laborde, A.; Rat, S.; Shalabaeva, V.; Demont, P.; Thomas, O.; Salmon, L.; Leichle, T.; Nicu, L.; et al. Micromachining-compatible, facile fabrication of polymer nanocomposite spin crossover actuators. Adv. Funct. Mater. 2018, 28, 1801970. [Google Scholar] [CrossRef]
- Zhang, L.; Tong, Y.; Kelai, M.; Bellec, A.; Lagoute, J.; Chacon, C.; Girard, Y.; Rousset, S.; Boillot, M.L.; Rivière, E.; et al. Anomalous light-induced spin-state switching for iron(II) spin-crossover molecules in direct contact with metal surfaces. Angew. Chem. Int. Ed. 2020, 59, 13341–13346. [Google Scholar] [CrossRef]
- Ekanayaka, T.K.; Kurz, H.; McElveen, K.A.; Hao, G.; Mishra, E.; N’Diaye, A.T.; Lai, R.Y.; Weber, B.; Dowben, P.A. Evidence for surface effects on the intermolecular interactions in Fe(II) spin crossover coordination polymers. Phys. Chem. Chem. Phys. 2022, 24, 883–894. [Google Scholar] [CrossRef]
- Phillips, J.; Yazdani, S.; Highland, W.; Ekanayaka, T.; Wang, P.; Shatruk, M.; Cheng, R.; Dowben, P. Temperature Dependent Conductance Measurements of Co Spin Crossover Molecules APS March Meeting. 2022. Available online: https://meetings.aps.org/Meeting/MAR22/Session/D60.8 (accessed on 3 April 2023).
- Fahs, A.; Nicolazzi, W.; Molnár, G.; Bousseksou, A. Role of surface effects in the vibrational density of states and the vibrational entropy in spin crossover nanomaterials: A molecular dynamics investigation. Magnetochemistry 2021, 7, 27. [Google Scholar] [CrossRef]
- Mikolasek, M.; Nicolazzi, W.; Terki, F.; Molnár, G.; Bousseksou, A. Surface transition in spin crossover nanoparticles. Chem. Phys. Lett. 2017, 678, 107–111. [Google Scholar] [CrossRef]
- Volatron, F.; Catala, L.; Rivière, E.; Gloter, A.; Stéphan, O.; Mallah, T. Spin-crossover coordination nanoparticles. Inorg. Chem. 2008, 47, 6584–6586. [Google Scholar] [CrossRef] [PubMed]
- Boldog, I.; Gaspar, A.B.; Martínez, V.; Pardo-Ibañez, P.; Ksenofontov, V.; Bhattacharjee, A.; Gütlich, P.; Real, J.A. Spin-crossover nanocrystals with magnetic, optical, and structural bistability near room temperature. Angew. Chem. 2008, 120, 6533–6537. [Google Scholar] [CrossRef]
- Tissot, A.; Enachescu, C.; Boillot, M.-L. Control of the thermal hysteresis of the prototypal spin-transition FeII(phen)2(NCS)2 compound via the Microcrystallites Environment: Experiments and mechanoelastic model. J. Mater. Chem. 2012, 22, 20451. [Google Scholar] [CrossRef]
- Bas, A.-C.; Shalabaeva, V.; Thompson, X.; Vendier, L.; Salmon, L.; Thibault, C.; Molnár, G.; Routaboul, L.; Bousseksou, A. Effects of solvent vapor annealing on the crystallinity and spin crossover properties of thin films of [Fe(Hb(tz)3)2]. Comptes Rendus Chim. 2019, 22, 525–533. [Google Scholar] [CrossRef]
- Sánchez-de-Armas, R.; Calzado, C.J. Spin-crossover Fe(II) complexes on a surface: A mixture of low-spin and high-spin molecules at low temperature from quantum-chemistry calculations. Inorg. Chem. Front. 2022, 9, 753–760. [Google Scholar] [CrossRef]
- Gee, A.; Jaafar, A.H.; Brachňaková, B.; Massey, J.; Marrows, C.H.; Šalitroš, I.; Kemp, N.T. Multilevel resistance switching and enhanced spin transition temperature in single- and double-molecule spin crossover nanogap devices. J. Phys. Chem. C 2020, 124, 13393–13399. [Google Scholar] [CrossRef]
- Kuppusamy, S.K.; Mizuno, A.; García-Fuente, A.; van der Poel, S.; Heinrich, B.; Ferrer, J.; van der Zant, H.S.; Ruben, M. Spin-crossover in Supramolecular iron(II)–2,6-bis(1h-pyrazol-1-yl)pyridine complexes: Toward spin-state switchable single-molecule junctions. ACS Omega 2022, 7, 13654–13666. [Google Scholar] [CrossRef]
- Boukheddaden, K.; Linares, J.; Spiering, H.; Varret, F. One-dimensional Ising-like systems: An analytical investigation of the static and dynamic properties, applied to spin-crossover relaxation. Eur. Phys. J. B 2000, 15, 317–326. [Google Scholar] [CrossRef]
- Slichter, C.P.; Drickamer, H.G. Pressure-induced electronic changes in compounds of Iron. J. Chem. Phys. 1972, 56, 2142–2160. [Google Scholar] [CrossRef]
- Cazelles, C.; Singh, Y.; Linares, J.; Dahoo, P.-R.; Boukheddaden, K. Three states and three steps simulated within Ising like model solved by local mean field approximation in 3D spin crossover nanoparticles. Mater. Today Commun. 2021, 26, 102074. [Google Scholar] [CrossRef]
- Dale, A.; Mosey, A.; Dowben, P.A.; Petrache, H.; Cheng, R. Determination of High-Spin to Low-Spin Phase Transition of Organic Spintronic Device by Monte Carlo Simulation of 3d Ising-like Model APS April Meeting. 2021. Available online: https://meetings.aps.org/Meeting/APR21/Session/Q08.8 (accessed on 3 April 2023).
- Gudyma, I.; Maksymov, A. The cooperativity in 3D spin-crossover nanocrystals with ferromagnetic and antiferromagnetic surface. Appl. Surf. Sci. 2019, 483, 779–784. [Google Scholar] [CrossRef]
- Gudyma, I.; Maksymov, A. Ising-like model of nanosize spin-crossover molecular crystals. Springer Proc. Phys. 2020, 246, 143–158. [Google Scholar]
- Affes, K.; Slimani, A.; Singh, Y.; Maalej, A.; Boukheddaden, K. Magneto-elastic properties of a spin crossover membrane deposited on a deformable substrate. J. Phys. Condens. Matter 2020, 32, 255402. [Google Scholar] [CrossRef]
- Dale, A.; Hao, G.; Chopdekar, R.; Dowben, P.; Cheng, R. 3d Ising Model Studies of Mixed-State Domain Formation in Spin Crossover Molecular Systems APS March Meeting. 2022. Available online: https://meetings.aps.org/Meeting/MAR22/Session/Z70.12. (accessed on 3 April 2023).
- Gueddida, S.; Alouani, M. Calculated impact of ferromagnetic substrate on the spin crossover in a Fe (1,10− phenanthroline)2(NCS)2 molecule. Phys. Rev. B 2016, 93, 184433. [Google Scholar] [CrossRef]
- Palomino, C.M.; Sánchez-de-Armas, R.; Calzado, C.J. Theoretical inspection of the spin-crossover [fe(tzpy)2(ncs)2] complex on Au(100) surface. J. Chem. Phys. 2021, 154, 034701. [Google Scholar] [CrossRef]
- Montenegro-Pohlhammer, N.; Sánchez-de-Armas, R.; Calzado, C.J. Deposition of the spin crossover FeII–pyrazolylborate complex on Au(111) surface at the molecular level. Chem. A Eur. J. 2020, 27, 712–723. [Google Scholar] [CrossRef]
























Disclaimer/Publisher’s Note: The statements, opinions and data contained in all publications are solely those of the individual author(s) and contributor(s) and not of MDPI and/or the editor(s). MDPI and/or the editor(s) disclaim responsibility for any injury to people or property resulting from any ideas, methods, instructions or products referred to in the content. |
© 2023 by the authors. Licensee MDPI, Basel, Switzerland. This article is an open access article distributed under the terms and conditions of the Creative Commons Attribution (CC BY) license (https://creativecommons.org/licenses/by/4.0/).
Share and Cite
Yazdani, S.; Phillips, J.; Ekanayaka, T.K.; Cheng, R.; Dowben, P.A. The Influence of the Substrate on the Functionality of Spin Crossover Molecular Materials. Molecules 2023, 28, 3735. https://doi.org/10.3390/molecules28093735
Yazdani S, Phillips J, Ekanayaka TK, Cheng R, Dowben PA. The Influence of the Substrate on the Functionality of Spin Crossover Molecular Materials. Molecules. 2023; 28(9):3735. https://doi.org/10.3390/molecules28093735
Chicago/Turabian StyleYazdani, Saeed, Jared Phillips, Thilini K. Ekanayaka, Ruihua Cheng, and Peter A. Dowben. 2023. "The Influence of the Substrate on the Functionality of Spin Crossover Molecular Materials" Molecules 28, no. 9: 3735. https://doi.org/10.3390/molecules28093735
APA StyleYazdani, S., Phillips, J., Ekanayaka, T. K., Cheng, R., & Dowben, P. A. (2023). The Influence of the Substrate on the Functionality of Spin Crossover Molecular Materials. Molecules, 28(9), 3735. https://doi.org/10.3390/molecules28093735

