Chemico-Physical Properties of Some 1,1′-Bis-alkyl-2,2′-hexane-1,6-diyl-bispyridinium Chlorides Hydrogenated and Partially Fluorinated for Gene Delivery
Abstract
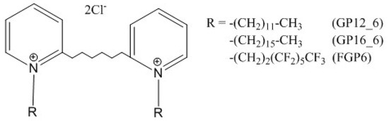
:1. Introduction
2. Results and Discussion
2.1. Micelle Formation Thermodynamics
2.2. Biological Assays of GP12_6
2.3. CD Spectroscopy
2.4. Ellipsometry and Surface Pressure
3. Materials and Methods
3.1. Compounds
3.2. Chemical Synthesis
3.3. ITC Measurements
3.4. Biological Assays
3.5. Sample Preparation and AFM Imaging
3.6. Circular Dichroism Spectroscopy
3.7. Surface Tension Measurements
3.8. Ellipsometry
4. Conclusions
Supplementary Materials
Author Contributions
Funding
Informed Consent Statement
Data Availability Statement
Acknowledgments
Conflicts of Interest
Sample Availability
References
- Rosen, M.J. Geminis: A new generation of surfactants. Chemtech 1993, 23, 30–33. [Google Scholar]
- Menger, F.M.; Keiper, J.S. Gemini surfactants. Angew. Chem. Int. Ed. 2000, 39, 1906–1920. [Google Scholar] [CrossRef]
- Zana, R. Novel Surfactants-Preparation, Applications, and Biodegradability; Dimeric (Gemini) Surfactants in: Surfactant Science Series; Marcel Dekker, Inc.: New York, NY, USA, 1998; Volume 74, p. 241. [Google Scholar]
- Zana, R.; Xia, J. Gemini Surfactants, Interfacial and Solution Phase Behavior, and Applications; Marcel Dekker, Inc.: New York, NY, USA, 2004. [Google Scholar]
- Devínsky, F.; Pisárčik, M.; Lukáč, M. Cationic Amphiphiles—Self-Assembling Systems for Biomedicine and Biopharmacy; Nova Science Publishers, Inc.: New York, NY, USA, 2017. [Google Scholar]
- Liu, L.; Wang, M.S.; Nair, J.; Yu, M.; Rapp, Q.; Wang, Y.; Luo, J.F.-W.; Chan, V.; Sahi, A.; Figueroa, X.V.; et al. Potent neutralizing antibodies against multiple epitopes on SARS-CoV-2 spike. Nature 2020, 584, 450–456. [Google Scholar] [CrossRef] [PubMed]
- Okba, N.M.; Müller, M.A.; Li, W.; Wang, C.; Kessel, C.H.G.; Corman, V.M.; Lamers, M.M.; Sikkema, R.S.; Bruin, E.D.; Chandler, F.D.; et al. Severe acute respiratory syndrome coronavirus 2-specific antibody responses in coronavirus disease patients. Emerg. Infect. Dis. 2020, 26, 1478–1488. [Google Scholar] [CrossRef]
- Sharma, V.; Ilies, M.A. Heterocyclic Cationic Gemini Surfactants: A Comparative Overview of Their Synthesis, Self-assembling, Physicochemical, and Biological Properties. Med. Res. Rev. 2014, 34, 1–44. [Google Scholar] [CrossRef]
- Ahmed, T.; Kamel, A.O.; Wettig, S.D. Interactions between DNA and Gemini surfactant: Impact on gene therapy: Part I. Nanomedicine 2016, 11, 289–306. [Google Scholar] [CrossRef]
- Fisicaro, E.; Compari, C.; Duce, E.; Donofrio, G.; Różycka-Roszak, B.; Wozniak, E. Biologically Active Bisquaternary Ammonium Chlorides: Physico-Chemical Properties of Long Chain Amphiphiles and Their Evaluation as Non-Viral Vectors for Gene Delivery. Biochim. Biophys. Acta Gen. Subj. 2005, 1722, 224–233. [Google Scholar] [CrossRef]
- Viscardi, Q.G.; Barolo, C.; Barni, E.; Bellinvia, S.; Fisicaro, E.; Compari, C. Gemini Pyridinium Surfactants: Synthesis and Conductimetric Study of a Novel Class of Amphiphiles. J. Org. Chem. 2003, 68, 7651–7660. [Google Scholar]
- Fisicaro, E.; Compari, C.; Biemmi, M.; Duce, E.; Peroni, M.; Barbero, N.; Viscardi, G.; Quagliotto, P. The Unusual Behaviour of the Aqueous Solutions of Gemini Bispyridinium Surfactants: Apparent and Partial Molar Enthalpies of the Dimethanesulfonates. J. Phys. Chem. B 2008, 112, 12312–12317. [Google Scholar] [CrossRef]
- Fisicaro, E.; Compari, C.; Bacciottini, F.; Barbero, N.; Viscardi, G.; Quagliotto, P. Is the Counterion Responsible for the Unusual Thermodynamic Behavior of the Aqueous Solutions of Gemini Bispyridinium Surfactants? Colloids Surf. A Physicochem. Eng. Asp. 2014, 443, 249–254. [Google Scholar] [CrossRef]
- Fisicaro, E.; Compari, C.; Bacciottini, F.; Contardi, L.; Barbero, N.; Viscardi, G.; Quagliotto, P.; Donofrio, G.; Rozycka-Roszak, B.; Misiak, P.; et al. Nonviral Gene-Delivery: Gemini Bispyridinium Surfactant-Based DNA Nanoparticles. J. Phys. Chem. B 2014, 118, 13183–13191. [Google Scholar] [CrossRef]
- Barbero, N.; Magistris, C.; Quagliotto, P.; Bonandini, L.; Barolo, C.; Buscaino, R.; Compari, C.; Contardi, L.; Fisicaro, E.; Viscardi, G. Synthesis and Physico-Chemical Characterization of Long Alkyl Chain Gemini Pyridinium Surfactants for Gene Delivery. Chem. Plus Chem. 2015, 80, 952–962. [Google Scholar]
- Quagliotto, P.; Barolo, C.; Barbero, N.; Barni, E.; Compari, C.; Fisicaro, E.; Viscardi, G. Synthesis and Characterization of Highly Fluorinated Gemini Pyridinium Surfactants. Eur. J. Org. Chem. 2009, 19, 3167–3177. [Google Scholar] [CrossRef]
- Fisicaro, E.; Compari, C.; Bacciottini, F.; Contardi, L.; Pongiluppi, E.B.N.; Viscardi, G.; Quagliotto, P.; Donofrio, G.; Krafft, M. Nonviral Gene-Delivery by Highly Fluorinated Gemini Bispyridinium Surfactants-Based DNA Nanoparticles. J. Colloid Interface Sci. 2017, 487, 182–191. [Google Scholar] [CrossRef] [PubMed]
- Massa, M.; Rivara, M.; Donofrio, G.; Cristofolini, L.; Peracchia, E.; Compari, C.; Bacciottini, F.; Orsi, D.; Franceschi, V.; Fisicaro, E. Gene-Delivery Ability of New Hydrogenated and Partially Fluorinated Gemini bispyridinium Surfactants with Six Methylene Spacers. Int. J. Mol. Sci. 2022, 23, 3062. [Google Scholar] [CrossRef]
- Boussif, O.; Gaucheron, J.; Boulanger, C.; Santaella, C.; Kolbe, H.V.; Vierling, P. Enhanced in Vitro and in Vivo Cationic Lipid-Mediated Gene Delivery with a Fluorinated Glycerophosphoethanolamine Helper Lipid. J. Gene Med. 2001, 3, 109–114. [Google Scholar] [CrossRef] [PubMed]
- Boulanger, C.; Di Giorgio, C.; Gaucheron, J.; Santaella, C. Transfection with Fluorinated Lipoplexes Based on New Fluorinated Cationic Lipids and in the Presence of a Bile Salt Surfactant. Bioconjugate Chem. 2004, 15, 901–908. [Google Scholar] [CrossRef] [PubMed]
- Gaucheron, J.; Santaella, C.; Vierling, P. Improved in Vitro Gene Transfer Mediated by Fluorinated Lipoplexes in the Presence of a Bile Salt Surfactants. J. Gen. Med. 2001, 3, 338–344. [Google Scholar] [CrossRef]
- Kissa, E. Fluorinated Surfactants; Marcel Dekker, Inc.: New York, NY, USA, 1994. [Google Scholar]
- Riess, J.G. Highly Fluorinated Amphiphilic Molecules and Self-Assemblies with Biomedical Potential. Curr. Opin. Colloid Interface Sci. 2009, 14, 294–304. [Google Scholar] [CrossRef]
- Krafft, M.; Riess, J. Selected physicochemical aspects of poly- and perfluoroalkylated substances relevant to performance. Environ. Sustain. Part One Chemosphere 2015, 129, 4–19. [Google Scholar] [PubMed]
- Olofsson, G.; Loh, W. On the use of titration calorimetry to study the association of surfactants in aqueous solutions. J. Braz. Chem. Soc. 2009, 20, 577–593. [Google Scholar] [CrossRef]
- Fisicaro, E.; Contardi, L.; Compari, C.; Bacciottini, F.; Pongiluppi, E.; Viscardi, G.; Barbero, N.; Quagliotto, P.; Różycka-Roszak, B. Solution Thermodynamics of Highly Fluorinated Gemini Bispyridinium Surfactants for Biomedical Applications. Colloids Surf. A Physicochem. Eng. Asp. 2016, 507, 236–242. [Google Scholar] [CrossRef]
- McGhee, B.; Mingins, J.; Pethica, B.A. Thermodynamics of Micellization of Ionized Surfactants: The Equivalence of Enthalpies of Micellization from Calorimetry and the Variation of Critical Micelle Points with Temperature as Exemplified for Aqueous Solutions of an Aliphatic Cationic Surfactant. Langmuir 2021, 37, 8569–8576. [Google Scholar] [CrossRef]
- Fisicaro, E.; Compari, C.; Duce, E.; Biemmi, M.; Peroni, M.; Braibanti, A. Thermodynamics of micelle formation in water, hydrophobic processes and surfactant self-assemblies. Phys. Chem. Chem. Phys. 2008, 10, 3903–3914. [Google Scholar] [CrossRef]
- Shinoda, K.; Hato, M.; Hayashi, T. Physicochemical properties of aqueous solutions of fluorinated surfactants. J. Phys. Chem. 1972, 76, 909–914. [Google Scholar] [CrossRef]
- Balgavý, P.; Devínsky, F. Cut-Off Effects in Biological Activities of Surfactants. Adv. Colloid Interface Sci. 1996, 66, 23–63. [Google Scholar] [CrossRef]
- Jennings, K.H.; Marshall, I.C.; Wilkinson, M.J.; Kremer, A.; Kirby, A.J.; Camilleri, P. Aggregation Properties of a Novel Class of Cationic Gemini Surfactants Correlate with Their Efficiency as Gene Transfection Agent. Langmuir 2002, 18, 2426–2429. [Google Scholar] [CrossRef]
- Neidle, S. Nucleic Acid Structure and Recognition; Oxford University Press: New York, NY, USA, 2002; pp. 89–138. [Google Scholar]
- Grueso, E.; Cerrillos, C.; Hidalgo, J.; Lopez-Cornejo, P. Compaction and Decompaction of DNA Induced by the Cationic Surfactant CTAB. Langmuir 2012, 28, 10968–10979. [Google Scholar] [CrossRef]
- Keller, D.; Bustamante, C. Theory of the interaction of light with large inhomogeneous molecular aggregates. II. Psi-type circular dichroism. J. Chem. Phys. 1986, 84, 2972–2980. [Google Scholar] [CrossRef]
- Zhao, X.; Shang, Y.; Hu, J.; Liu, H.; Hu, Y. Biophysical characterization of complexation of DNA with oppositely charged Gemini surfactant 12-3-12. Biophys Chem. 2008, 138, 144–149. [Google Scholar] [CrossRef]
- Bombelli, C.; Faggioli, F.; Luciani, P.; Mancini, G.; Sacco, M. Efficient transfection of DNA by liposomes formulated with cationic gemini amphiphiles. J. Med. Chem. 2005, 48, 5378–5382. [Google Scholar] [CrossRef] [PubMed]
- Cristofolini, L. Synchrotron X-ray techniques for the investigation of structures and dynamics in interfacial systems. Curr. Opin. Colloid Interface Sci. 2014, 19, 228–241. [Google Scholar] [CrossRef]
- Butt, H.J.; Graf, K.; Kappl, M. Physics and Chemistry of Interfaces; WILEY-VCH Verlag GmbH & Co. KGaA: Weinheim, Germany, 2003. [Google Scholar]
- Tompkins, H.G.A. User’s Guide to Ellipsometry; Academic Press: Boston, MA, USA, 1993. [Google Scholar]
- Cristofolini, L.; Berzina, T.; Erokhina, S.; Konovalov, O.; Erokhin, V. Structural Study of the DNA Dipalmitoylphosphatidylcholine Complex at the Air-Water Interface. Biomacromolecules 2007, 8, 2270–2275. [Google Scholar] [CrossRef] [PubMed]










| cmc [mM] | xcmc 105 | ΔHmic [kJ mol−1] | ΔGmic [kJ mol−1] | ΔSmic [J K−1 mol−1] | |
|---|---|---|---|---|---|
| FGP6 | 0.89 | 1.603 | −6.1 | −27.4 | 71 |
| FGP8 | 0.77 | 1.387 | −6.2 | −27.7 | 72 |
| GP12-6 | 0.92 | 1.657 | −6.5 | −27.3 | 70 |
| GP16-6 | 0.41 | 0.738 | −14.0 | −29.3 | 51 |
Disclaimer/Publisher’s Note: The statements, opinions and data contained in all publications are solely those of the individual author(s) and contributor(s) and not of MDPI and/or the editor(s). MDPI and/or the editor(s) disclaim responsibility for any injury to people or property resulting from any ideas, methods, instructions or products referred to in the content. |
© 2023 by the authors. Licensee MDPI, Basel, Switzerland. This article is an open access article distributed under the terms and conditions of the Creative Commons Attribution (CC BY) license (https://creativecommons.org/licenses/by/4.0/).
Share and Cite
Massa, M.; Rivara, M.; Pertinhez, T.A.; Compari, C.; Donofrio, G.; Cristofolini, L.; Orsi, D.; Franceschi, V.; Fisicaro, E. Chemico-Physical Properties of Some 1,1′-Bis-alkyl-2,2′-hexane-1,6-diyl-bispyridinium Chlorides Hydrogenated and Partially Fluorinated for Gene Delivery. Molecules 2023, 28, 3585. https://doi.org/10.3390/molecules28083585
Massa M, Rivara M, Pertinhez TA, Compari C, Donofrio G, Cristofolini L, Orsi D, Franceschi V, Fisicaro E. Chemico-Physical Properties of Some 1,1′-Bis-alkyl-2,2′-hexane-1,6-diyl-bispyridinium Chlorides Hydrogenated and Partially Fluorinated for Gene Delivery. Molecules. 2023; 28(8):3585. https://doi.org/10.3390/molecules28083585
Chicago/Turabian StyleMassa, Michele, Mirko Rivara, Thelma A. Pertinhez, Carlotta Compari, Gaetano Donofrio, Luigi Cristofolini, Davide Orsi, Valentina Franceschi, and Emilia Fisicaro. 2023. "Chemico-Physical Properties of Some 1,1′-Bis-alkyl-2,2′-hexane-1,6-diyl-bispyridinium Chlorides Hydrogenated and Partially Fluorinated for Gene Delivery" Molecules 28, no. 8: 3585. https://doi.org/10.3390/molecules28083585
APA StyleMassa, M., Rivara, M., Pertinhez, T. A., Compari, C., Donofrio, G., Cristofolini, L., Orsi, D., Franceschi, V., & Fisicaro, E. (2023). Chemico-Physical Properties of Some 1,1′-Bis-alkyl-2,2′-hexane-1,6-diyl-bispyridinium Chlorides Hydrogenated and Partially Fluorinated for Gene Delivery. Molecules, 28(8), 3585. https://doi.org/10.3390/molecules28083585

