Towards More Practical Methods for the Chemical Synthesis of Thioamides Using Sulfuration Agents: A Decade Update
Abstract
1. Introduction
2. Elemental Sulfur as a Sulfuration Agent
2.1. Characteristics and Practical Issues
2.2. Thionylation of Aldehydes, Ketones, and Acids
2.3. Thionylation of Cyanides, Halides, Azides, α-Nitroketones, Alcohols, Sulfoxonium Ylides, and Their Derivatives
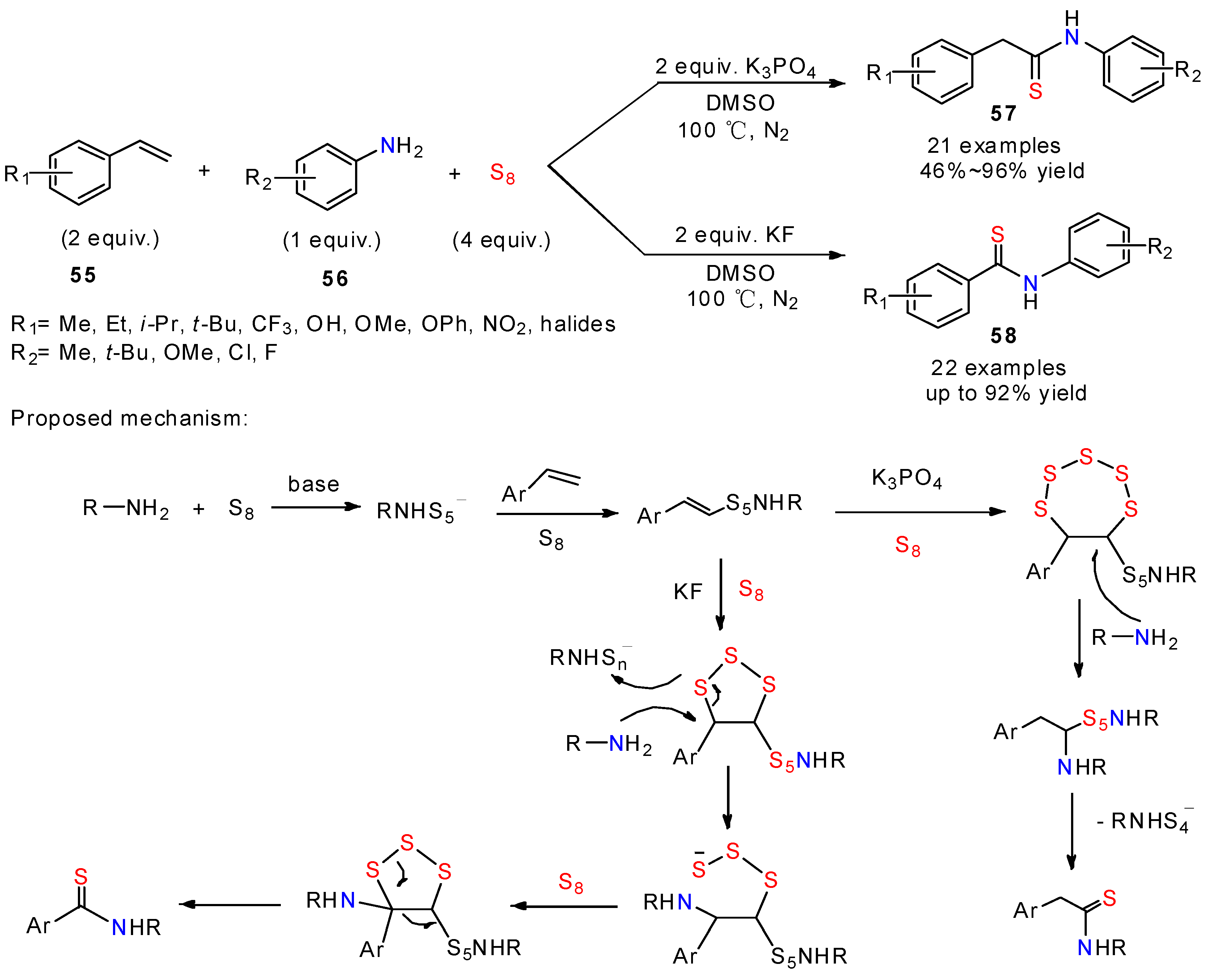
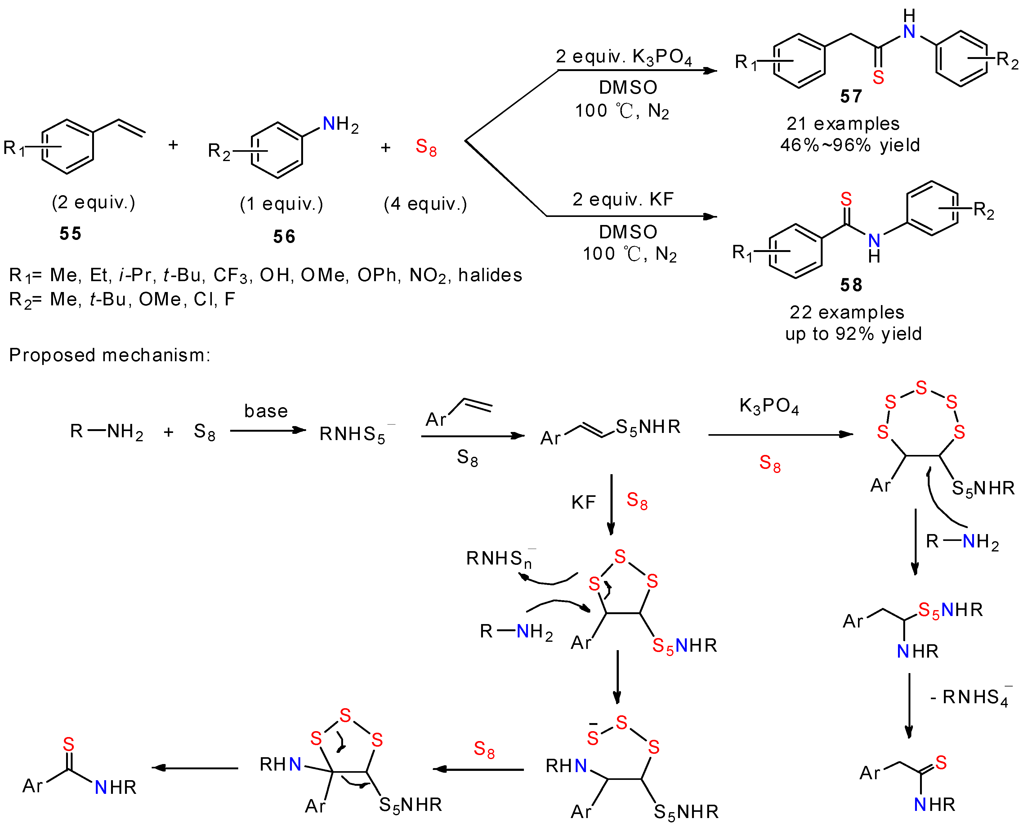
2.4. Thionylation of Alkynes and Alkenes
2.5. Thionylation of Methylheteroarenes
2.6. Thionylation Involving Amines Only
3. Inorganic Sulfides as a Sulfuration Agent
3.1. Sodium Hydrosulfide as a Sulfuration Agent
3.2. Sodium Sulfide as a Sulfuration Agent
3.3. Sodium Disulfide as a Sulfuration Agent
4. Recent Practical Improvements of Other Thionylation Methods
5. Conclusions
Author Contributions
Funding
Institutional Review Board Statement
Informed Consent Statement
Data Availability Statement
Acknowledgments
Conflicts of Interest
References
- Mueller, E.G. Trafficking in persulfides: Delivering sulfur in biosynthetic pathways. Nat. Chem. Biol. 2006, 2, 185–194. [Google Scholar] [CrossRef]
- Schwalen, C.J.; Hudson, G.A.; Kille, B.; Mitchell, D.A. Bioinformatic expansion and discovery of thiopeptide antibiotics. J. Am. Chem. Soc. 2018, 140, 9494–9501. [Google Scholar] [CrossRef]
- Kenney, G.E.; Dassama, L.M.; Pandelia, M.-E.; Gizzi, A.S.; Martinie, R.J.; Gao, P.; DeHart, C.J.; Schachner, L.F.; Skinner, O.S.; Ro, S.Y. The biosynthesis of methanobactin. Science 2018, 359, 1411–1416. [Google Scholar] [CrossRef]
- Hooper, M. The medicinal chemistry of anti-leprosy drugs. Chem. Soc. Rev. 1987, 16, 437–465. [Google Scholar] [CrossRef]
- Lincke, T.; Behnken, S.; Ishida, K.; Roth, M.; Hertweck, C. Closthioamide: An unprecedented polythioamide antibiotic from the strictly anaerobic bacterium Clostridium cellulolyticum. Angew. Chem. Int. Ed. 2010, 49, 2011–2013. [Google Scholar] [CrossRef] [PubMed]
- Banala, S.; Süssmuth, R.D. Thioamides in nature: In search of secondary metabolites in anaerobic microorganisms. ChemBioChem 2010, 11, 1335–1337. [Google Scholar] [CrossRef]
- Mahanta, N.; Szantai-Kis, D.M.; Petersson, E.J.; Mitchell, D.A. Biosynthesis and chemical applications of thioamides. ACS Chem. Biol. 2019, 14, 142–163. [Google Scholar] [CrossRef]
- Litomska, A.; Ishida, K.; Dunbar, K.L.; Boettger, M.; Coyne, S.; Hertweck, C. Enzymatic thioamide formation in a bacterial antimetabolite pathway. Angew. Chem. Int. Ed. 2018, 57, 11574–11578. [Google Scholar] [CrossRef] [PubMed]
- Chatterjee, S.; Hausinger, R.P. Sulfur incorporation into biomolecules: Recent advances. Crit. Rev. Biochem. Mol. Biol. 2022, 1–16. [Google Scholar] [CrossRef]
- Kumari, S.; Carmona, A.V.; Tiwari, A.K.; Trippier, P.C. Amide bond bioisosteres: Strategies, synthesis, and successes. J. Med. Chem. 2020, 63, 12290–12358. [Google Scholar] [CrossRef] [PubMed]
- Lampkin, B.J.; VanVeller, B. Hydrogen bond and geometry effects of thioamide backbone modifications. J. Org. Chem. 2021, 86, 18287–18291. [Google Scholar] [CrossRef]
- Fiore, K.E.; Patist, M.J.; Giannakoulias, S.; Huang, C.H.; Verma, H.; Khatri, B.; Cheng, R.P.; Chatterjee, J.; Petersson, E.J. Structural impact of thioamide incorporation into a β-hairpin. RSC Chem. Biol. 2022, 3, 582–591. [Google Scholar] [CrossRef]
- Jagodziñski, T.S. Thioamides as useful synthons in the synthesis of heterocycles. Chem. Rev. 2003, 103, 197–228. [Google Scholar] [CrossRef]
- Gasteiger, J.; Herzig, C. Synthetic applications of 2-chlorooxiranes: Preparation of thiazoles, dihydrothiazoles and selenazoles. Tetrahedron 1981, 37, 2607–2611. [Google Scholar] [CrossRef]
- Singh, H.; Sarin, R. Carbon transfer reactions of Δ2-oxazolinium and thiazolinium cations. Tetrahedron 1986, 42, 1449–1460. [Google Scholar] [CrossRef]
- Engman, L. Organoselenium- and proton-mediated cyclization reactions of allylic amides and thioamides. Syntheses of 2-oxazolines and 2-thiazolines. J. Org. Chem. 1991, 56, 3425–3430. [Google Scholar] [CrossRef]
- Joyce, L.L.; Evindar, G.; Batey, R.A. Copper- and palladium-catalyzed intramolecular C–S bond formation: A convenient synthesis of 2-aminobenzothiazoles. Chem. Commun. 2004, 446–447. [Google Scholar] [CrossRef]
- Cheng, Y.; Peng, Q.; Fan, W.; Li, P. Room-temperature ligand-free Pd/C-catalyzed C–S bond formation: Synthesis of 2-substituted benzothiazoles. J. Org. Chem. 2014, 79, 5812–5819. [Google Scholar] [CrossRef]
- Ozturk, T.; Ertas, E.; Mert, O. A berzelius reagent, phosphorus decasulfide (P4S10) in organic syntheses. Chem. Rev. 2010, 110, 3419–3478. [Google Scholar] [CrossRef]
- Ozturk, T.; Ertas, E.; Mert, O. Use of Lawesson’s reagent in organic syntheses. Chem. Rev. 2007, 107, 5210–5278. [Google Scholar] [CrossRef]
- Priebbenow, D.L.; Bolm, C. Recent advances in the Willgerodt-Kindler reaction. Chem. Soc. Rev. 2013, 42, 7870–7880. [Google Scholar] [CrossRef] [PubMed]
- Nguyen, T.B. Recent advances in organic reactions involving elemental sulfur. Adv. Synth. Catal. 2017, 359, 1066–1130. [Google Scholar] [CrossRef]
- Xu, H.; Deng, H.; Li, Z.; Xiang, H.; Zhou, X. Synthesis of thioamides by catalyst-free three-component reactions in water. Eur. J. Org. Chem. 2013, 2013, 7054–7057. [Google Scholar] [CrossRef]
- Liu, W.; Chen, C.; Liu, H. Dimethylamine as the key intermediate generated in situ from dimethylformamide (DMF) for the synthesis of thioamides. Beilstein J. Org. Chem. 2015, 11, 1721–1726. [Google Scholar] [CrossRef]
- Li, J.; Ren, X.; Li, G.; Liang, H.; Zhao, Y.; Wang, Z.; Li, H.; Yuan, B. Mixed bases mediated synthesis of thioamides in water. J. Sulfur. Chem. 2020, 41, 229–237. [Google Scholar] [CrossRef]
- Kale, A.D.; Dalal, D.S. Catalyst- and solvent-free thioamidation of aromatic aldehydes through a Willgerodt-Kindler reaction. ChemistrySelect 2022, 7, e202203497. [Google Scholar] [CrossRef]
- Gupta, A.; Vankar, J.K.; Jadav, J.P.; Gururaja, G.N. Water mediated direct thioamidation of aldehydes at room temperature. J. Org. Chem. 2022, 87, 2410–2420. [Google Scholar] [CrossRef]
- Liao, Y.; Jiang, X. Construction of thioamide peptide via sulfur-involved amino acids/amino aldehydes coupling. Org. Lett. 2021, 23, 8862–8866. [Google Scholar] [CrossRef]
- Guntreddi, T.; Vanjari, R.; Singh, K.N. Decarboxylative thioamidation of arylacetic and cinnamic acids: A new approach to thioamides. Org. Lett. 2014, 16, 3624–3627. [Google Scholar] [CrossRef]
- Saito, M.; Murakami, S.; Nanjo, T.; Kobayashi, Y.; Takemoto, Y. Mild and chemoselective thioacylation of amines enabled by the nucleophilic activation of elemental sulfur. J. Am. Chem. Soc. 2020, 142, 8130–8135. [Google Scholar] [CrossRef]
- Qu, Y.; Li, Z.; Xiang, H.; Zhou, X. Copper (II)-catalyzed reactions of dimethylformamide with phenylacetonitrile and sulfur to form N,N-dimethylthioamides. Adv. Synth. Catal. 2013, 355, 3141–3146. [Google Scholar] [CrossRef]
- Li, X.; Pan, Q.; Hu, R.; Wang, X.; Yang, Z.; Han, S. S8-mediated one-pot synthesis of thioamides from benzyl chlorides and amines. Asian J. Org. Chem. 2016, 5, 1353–1358. [Google Scholar] [CrossRef]
- Jin, H.; Chen, X.; Qian, C.; Ge, X.; Zhou, S. Transition-metal-free, general construction of thioamides from chlorohydrocarbon, amide and elemental sulfur. Eur. J. Org. Chem. 2021, 2021, 3403–3406. [Google Scholar] [CrossRef]
- Kozlov, M.; Kozlov, A.; Komkov, A.; Lyssenko, K.; Zavarzin, I.; Volkova, Y. Synthesis of phosphoryl thioamides via three-component reaction of phosphinic chlorides with amines and sulfur. Adv. Synth. Catal. 2019, 361, 2904–2915. [Google Scholar] [CrossRef]
- Do, N.T.; Tran, K.M.; Phan, H.T.; To, T.A.; Nguyen, T.T.; Phan, N.T. Functionalization of activated methylene C–H bonds with nitroarenes and sulfur for the synthesis of thioamides. Org. Biomol. Chem. 2019, 17, 8987–8991. [Google Scholar] [CrossRef] [PubMed]
- Jin, H.; Ge, X.; Zhou, S. General construction of thioamides under mild conditions: A stepwise proton transfer process mediated by EDTA. Eur. J. Org. Chem. 2021, 2021, 6015–6021. [Google Scholar] [CrossRef]
- Yu, P.; Wang, Y.; Zeng, Z.; Chen, Y. Metal-free C–N or C–C bond cleavages of α-azido ketones: An oxidative-amidation strategy for the synthesis of α-ketothioamides and amides. J. Org. Chem. 2019, 84, 14883–14891. [Google Scholar] [CrossRef] [PubMed]
- Zhang, Z.; Yang, J.; Yu, R.; Wu, K.; Bu, J.; Li, S.; Qian, P.; Sheng, L. Efficient synthesis of α-ketothioamides from α-nitroketones, amines or DMF and elemental sulfur under oxidant-free conditions. Eur. J. Org. Chem. 2021, 37, 5209–5212. [Google Scholar] [CrossRef]
- Tian, H.; Guo, F.; Chen, X. Csp3-H bond functionalization of α-bromo ketones for the synthesis of α-keto thioamides using elemental sulfur. Russ. J. Org. Chem. 2022, 58, 1260–1266. [Google Scholar] [CrossRef]
- Chaubey, T.N.; Borpatra, P.J.; Sharma, A.; Pandey, S.K. Metal-free syntheses of α-keto thioamide and α-ketoamide derivatives from sulfoxonium ylides. Org. Lett. 2022, 24, 8062–8066. [Google Scholar] [CrossRef]
- Nguyen, T.B.; Tran, M.Q.; Ermolenko, L.; Al-Mourabit, A. Three-component reaction between alkynes, elemental sulfur, and aliphatic amines: A general, straightforward, and atom economical approach to thioamides. Org. Lett. 2014, 16, 310–313. [Google Scholar] [CrossRef]
- Li, W.; Wu, X.; Zhao, Z.; Qin, A.; Hu, R.; Tang, B.Z. Catalyst-free, atom-economic, multicomponent polymerizations of aromatic diynes, elemental sulfur, and aliphatic diamines toward luminescent polythioamides. Biomacromolecules 2015, 48, 7747–7754. [Google Scholar] [CrossRef]
- Xu, K.; Li, Z.; Cheng, F.; Zuo, Z.; Wang, T.; Wang, M.; Liu, L. Transition-metal-free cleavage of C–C triple bonds in aromatic alkynes with S8 and amides leading to aryl thioamides. Org. Lett. 2018, 20, 2228–2231. [Google Scholar] [CrossRef]
- Zhang, P.; Chen, W.; Liu, M.; Wu, H. Base-controlled three component reactions of amines, elemental sulfur, and styrenes: Synthesis of thioamides under metal-free conditions. J. Org. Chem. 2018, 83, 14269–14276. [Google Scholar] [CrossRef]
- Gan, L.; Gao, Y.; Wei, L.; Wan, J.-P. Synthesis of α-keto thioamides by metal-free C=C bond cleavage in enaminones using elemental sulfur. J. Org. Chem. 2019, 84, 1064–1069. [Google Scholar] [CrossRef]
- Xu, H.H.; Zhang, X.G.; Zhang, X.H. Thioamidation of arylpropyne derivatives with sulfur and formamides for the synthesis of aryl propanethioamides. Asian J. Org. Chem. 2020, 9, 111–115. [Google Scholar] [CrossRef]
- Peng, L.; Ma, L.; Ran, Y.; Chen, Y.; Zeng, Z. Metal-free three-component synthesis of thioamides from β-nitrostyrenes, amines and elemental sulfur. Tetrahedron Lett. 2021, 74, 153092. [Google Scholar] [CrossRef]
- Jaiswal, A.; Sharma, A.K.; Singh, K.N. Copper-catalyzed decarboxylative synthesis of α-ketothioamides using α,α-unsaturated arylcarboxylic acids, alicyclic secondary amines and elemental sulfur. Asian J. Org. Chem. 2021, 10, 1748–1751. [Google Scholar] [CrossRef]
- Vankar, J.K.; Gupta, A.; Jadav, J.P.; Nanjegowda, S.H.; Gururaja, G.N. The thioamidation of gem-dibromoalkenes in an aqueous medium. Org. Biomol. Chem. 2021, 19, 2473–2480. [Google Scholar] [CrossRef]
- Nguyen, T.T.T.; Ngo, Q.A.; Koleski, M.; Nguyen, T.B. The catalytic role of elemental sulfur in the DMSO-promoted oxidative coupling of methylhetarenes with amines: Synthesis of thioamides and bis-aza-heterocycles. Org. Chem. Front. 2021, 8, 1593–1598. [Google Scholar] [CrossRef]
- Milen, M.; Ábrányi-Balogh, P.; Dancsó, A.; Keglevich, G. Microwave-assisted synthesis of thioamides with elemental sulfur. J. Sulfur. Chem. 2012, 33, 33–41. [Google Scholar] [CrossRef]
- Nguyen, T.B.; Ermolenko, L.; Al-Mourabit, A. Efficient and selective multicomponent oxidative coupling of two different aliphatic primary amines into thioamides by elemental sulfur. Org. Lett. 2012, 14, 4274–4277. [Google Scholar] [CrossRef]
- Kurpil, B.; Kumru, B.; Heil, T.; Antonietti, M.; Savateev, A. Carbon nitride creates thioamides in high yields by the photocatalytic Kindler reaction. Green Chem. 2018, 20, 838–842. [Google Scholar] [CrossRef]
- Joshi, A.; Kumar, R.; Semwal, R.; Rawat, D.; Adimurthy, S. Ionic liquid catalysed aerobic oxidative amidation and thioamidation of benzylic amines under neat conditions. Green Chem. 2019, 21, 962–967. [Google Scholar] [CrossRef]
- Zhou, J.; Wang, S.; Lu, Y.; Li, L.; Duan, W.; Wang, Q.; Wang, H.; Wei, W. Solvent-driven C (sp3)–H thiocarbonylation of benzylamine derivatives under catalyst-free conditions. Green Chem. 2021, 23, 767–773. [Google Scholar] [CrossRef]
- Li, H.-Z.; Xue, W.-J.; Wu, A.-X. Direct synthesis of α-ketothioamides from aryl methyl ketones and amines via I2-promoted sp3 C–H functionalization. Tetrahedron 2014, 70, 4645–4651. [Google Scholar] [CrossRef]
- Wang, C.; Han, C.; Yang, J.; Zhang, Z.; Zhao, Y.; Zhao, J. Ynamide-mediated thioamide and primary thioamide syntheses. J. Org. Chem. 2022, 87, 5617–5629. [Google Scholar] [CrossRef]
- Yang, J.; Wang, C.; Xu, S.; Zhao, J. Ynamide-mediated thiopeptide synthesis. Angew. Chem. Int. Ed. 2019, 58, 1382–1386. [Google Scholar] [CrossRef]
- Wei, J.; Li, Y.; Jiang, X. Aqueous compatible protocol to both alkyl and aryl thioamide synthesis. Org. Lett. 2016, 18, 340–343. [Google Scholar] [CrossRef]
- Cao, X.-T.; Qiao, L.; Zheng, H.; Yang, H.-Y.; Zhang, P.-F. A efficient protocol for the synthesis of thioamides in [DBUH][OAc] at room temperature. RSC Adv. 2018, 8, 170–175. [Google Scholar] [CrossRef]
- Sun, Y.; Jiang, H.; Wu, W.; Zeng, W.; Li, J. Synthesis of thioamides via one-pot A3-coupling of alkynyl bromides, amines, and sodium sulfide. Org. Biomol. Chem. 2014, 12, 700–707. [Google Scholar] [CrossRef]
- Morri, A.K.; Thummala, Y.; Adepu, R.; Sharma, G.V.; Ghosh, S.; Doddi, V.R. Synthesis of substituted thioamides from gem-dibromoalkenes and sodiumsulfide. Eur. J. Org. Chem. 2019, 42, 7159–7163. [Google Scholar] [CrossRef]
- Zhou, Z.; Yu, J.-T.; Zhou, Y.; Jiang, Y.; Cheng, J. Aqueous MCRs of quaternary ammoniums, N-substituted formamides and sodium disulfide towards aryl thioamides. Org. Chem. Front. 2017, 4, 413–416. [Google Scholar] [CrossRef]
- Bergman, J.; Pettersson, B.; Hasimbegovic, V.; Svensson, P.H. Thionations using a P4S10-pyridine complex in solvents such as acetonitrile and dimethyl sulfone. J. Org. Chem. 2011, 76, 1546–1553. [Google Scholar] [CrossRef]
- Wang, X.; Ji, M.; Lim, S.; Jang, H.-Y. Thiol as a synthon for preparing thiocarbonyl: Aerobic oxidation of thiols for the synthesis of thioamides. J. Org. Chem. 2014, 79, 7256–7260. [Google Scholar] [CrossRef]
- Chen, S.; Li, Y.; Chen, J.; Xu, X.; Su, L.; Tang, Z.; Au, C.-T.; Qiu, R. Iodine-promoted synthesis of thioamides from 1,2-dibenzylsulfane and difurfuryl disulfide. Synlett 2016, 27, 2339–2344. [Google Scholar]
- Chen, J.; Mei, L.; Liu, J.; Zhong, C.; Yuan, B.; Li, Q. Microwave-assisted iodine-catalyzed oxidative coupling of dibenzyl (difurfuryl) disulfides with amines: A rapid and efficient protocol for thioamides. RSC Adv. 2019, 9, 28576–28580. [Google Scholar] [CrossRef]
- Rezapour, M.; Abbasi, M. Oxidative coupling of dibenzyl disulfide with amines catalyzed by quinoline-bromine complex: Access to thioamides. Mol. Divers. 2023, 27, 159–165. [Google Scholar] [CrossRef]
- Bian, Y.; Qu, X.; Chen, Y.; Li, J.; Liu, L. K2S2O8-promoted aryl thioamides synthesis from aryl aldehydes using thiourea as the sulfur source. Molecules 2018, 23, 2225. [Google Scholar] [CrossRef]
- Zhang, Y.; Ye, X.; Liu, S.; Chen, W.; Majeed, I.; Liu, T.; Zhu, Y.; Zeng, Z. NaOTs-promoted transition metal-free C-N bond cleavage to form C-X (X= N, O, S) bonds. Org. Biomol. Chem. 2021, 19, 8566–8571. [Google Scholar] [CrossRef]
- Li, G.; Xing, Y.; Zhao, H.; Zhang, J.; Hong, X.; Szostak, M. Chemoselective transamidation of thioamides by transition-metal-free N-C(S) transacylation. Angew. Chem. Int. Ed. 2022, 61, e202200144. [Google Scholar]
- Lu, C.; Li, X.; Chang, S.; Zhang, Y.; Xing, D.; Wang, S.; Lin, Y.; Jiang, H.; Huang, L. Thioamide synthesis via copper-catalyzed C-H activation of 1,2,3-thiadiazoles enabled by slow release and capture of thioketenes. Org. Chem. Front. 2022, 9, 2382–2389. [Google Scholar] [CrossRef]
- Hegedus, L.L.; McCabe, R.W. Catalyst Poisoning; Marcel Dekker Incorporated: New York, NY, USA, 1984. [Google Scholar]
- Wu, K.; Ling, Y.; Ding, A.; Jin, L.; Sun, N.; Hu, B.; Shen, Z.; Hu, X. A chromatography-free and aqueous waste-free process for thioamide preparation with Lawesson’s reagent. Beilstein J. Org. Chem. 2021, 17, 805–812. [Google Scholar] [CrossRef]















































Disclaimer/Publisher’s Note: The statements, opinions and data contained in all publications are solely those of the individual author(s) and contributor(s) and not of MDPI and/or the editor(s). MDPI and/or the editor(s) disclaim responsibility for any injury to people or property resulting from any ideas, methods, instructions or products referred to in the content. |
© 2023 by the authors. Licensee MDPI, Basel, Switzerland. This article is an open access article distributed under the terms and conditions of the Creative Commons Attribution (CC BY) license (https://creativecommons.org/licenses/by/4.0/).
Share and Cite
Zhang, Q.; Soulère, L.; Queneau, Y. Towards More Practical Methods for the Chemical Synthesis of Thioamides Using Sulfuration Agents: A Decade Update. Molecules 2023, 28, 3527. https://doi.org/10.3390/molecules28083527
Zhang Q, Soulère L, Queneau Y. Towards More Practical Methods for the Chemical Synthesis of Thioamides Using Sulfuration Agents: A Decade Update. Molecules. 2023; 28(8):3527. https://doi.org/10.3390/molecules28083527
Chicago/Turabian StyleZhang, Qiang, Laurent Soulère, and Yves Queneau. 2023. "Towards More Practical Methods for the Chemical Synthesis of Thioamides Using Sulfuration Agents: A Decade Update" Molecules 28, no. 8: 3527. https://doi.org/10.3390/molecules28083527
APA StyleZhang, Q., Soulère, L., & Queneau, Y. (2023). Towards More Practical Methods for the Chemical Synthesis of Thioamides Using Sulfuration Agents: A Decade Update. Molecules, 28(8), 3527. https://doi.org/10.3390/molecules28083527

