Experimental and Theoretical Study on Crown Ether-Appended-Fe(III) Porphyrin Complexes and Catalytic Oxidation Cyclohexene with O2
Abstract
1. Introduction
2. Experimental Section
2.1. Materials and Catalytic Property Studies
2.2. Computational Details
3. Results and Discussion
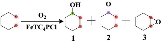
3.1. Catalytic Property of Complexes
3.2. Effect of meso-Substituents
3.3. Effect of Reaction Temperature
3.4. Effect of Axial Ligand
3.5. Optimized Structure and Bonding Properties
3.6. Atomic Charge Analysis
3.7. Molecular Orbital and Spin Density Analysis
3.8. Density-of-State Analysis
3.9. Thermodynamic Quantities Analysis
3.10. Discussion on the Mechanism of the Oxidation of Cyclohexene
4. Conclusions
Supplementary Materials
Author Contributions
Funding
Informed Consent Statement
Data Availability Statement
Conflicts of Interest
References
- Li, X.; Lei, H.; Xie, L.; Wang, N.; Zhang, W.; Cao, R. Metalloporphyrins as Catalytic Models for Studying Hydrogen and Oxygen Evolution and Oxygen Reduction Reactions. Acc. Chem. Res. 2022, 55, 878–892. [Google Scholar] [CrossRef] [PubMed]
- Yang, J.; Li, P.; Li, X.; Xie, L.; Wang, N.; Lei, H.; Zhang, C.; Zhang, W.; Lee, Y.M.; Zhang, W.; et al. Crucial Roles of a Pendant Imidazole Ligand of a Cobalt Porphyrin Complex in the Stoichiometric and Catalytic Reduction of Dioxygen. Angew. Chem. Int. Ed. Engl. 2022, 61, e202208143. [Google Scholar] [PubMed]
- Singh, P.; Denler, M.C.; Mayfield, J.R.; Jackson, T.A. Differences in chemoselectivity in olefin oxidation by a series of non-porphyrin manganese(IV)-oxo complexes. Dalton Trans. 2022, 51, 5938–5949. [Google Scholar] [CrossRef]
- Lu, X.; Wang, S.; Qin, J.H. Isolating Fe-O2 Intermediates in Dioxygen Activation by Iron Porphyrin Complexes. Molecules 2022, 27, 4690. [Google Scholar] [CrossRef]
- Guo, X.; Wang, N.; Li, X.; Zhang, Z.; Zhao, J.; Ren, W.; Ding, S.; Xu, G.; Li, J.; Apfel, U.P.; et al. Homolytic versus Heterolytic Hydrogen Evolution Reaction Steered by a Steric Effect. Angew. Chem. Int. Ed. 2020, 59, 8941–8946. [Google Scholar] [CrossRef]
- Marinescu, S.C.; Winkler, J.R.; Gray, H.B. Molecular mechanisms of cobalt-catalyzed hydrogen evolution. Proc. Natl. Acad. Sci. USA 2012, 109, 15127–15131. [Google Scholar] [CrossRef]
- Guo, H.B.; Wang, Y.N.; Guo, K.; Lei, H.T.; Liang, Z.Z.; Zhang, X.P.; Cao, R. A Co Porphyrin with Electron-Withdrawing and Hydrophilic Substituents for Improved Electrocatalytic Oxygen Reduction. J. Electrochem. 2022, 28, 2214002–2214012. [Google Scholar]
- Sinha, S.; Ghosh, M.; Warren, J.J. Changing the Selectivity of O2 Reduction Catalysis with One Ligand Heteroatom. ACS Catal. 2019, 9, 2685–2691. [Google Scholar] [CrossRef]
- Sainna, M.A.; Kumar, S.; Kumar, D.; Fornarini, S.; Crestoni, M.E.; de Visser, S.P. A comprehensive test set of epoxidation rate constants for iron(iv)-oxo porphyrin cation radical complexes. Chem. Sci. 2015, 6, 1516–1529. [Google Scholar] [CrossRef]
- Feng, L.; Wang, K.-Y.; Joseph, E.; Zhou, H.-C. Catalytic Porphyrin Framework Compounds. Trends Chem. 2020, 2, 555–568. [Google Scholar] [CrossRef]
- Liu, X.; Zhou, Z.; Zhou, X.; Ji, H. Progress in the application of metalloporphyrins compounds in catalytic oxidation reactions. Sci. Sin. Chim. 2022, 52, 1224–1238. [Google Scholar] [CrossRef]
- Berijani, K.; Hosseini-Monfared, H. Aerobic enantioselective epoxidation of olefins mediated by an easy-to-prepare recyclable manganese-porphyrin. Mol. Catal. 2017, 433, 136–144. [Google Scholar] [CrossRef]
- Song, S.; Zhou, M.; Rao, Y.; Xu, L.; Song, J. Development of the design, synthesis and property of porphyrin arrays and porphyrinoids. Sci. Sin. Chim. 2022, 52, 1189–1204. [Google Scholar] [CrossRef]
- Zhou, X.-T.; Tang, Q.-H.; Ji, H.-B. Remarkable enhancement of aerobic epoxidation reactivity for olefins catalyzed by μ-oxo-bisiron(III) porphyrins under ambient conditions. Tetrahedron Lett. 2009, 50, 6601–6605. [Google Scholar] [CrossRef]
- Yuasa, M.; Nishihara, R.; Shi, C.; Anson, F.C. A Comparison of Several Meso-Tetraalkyl Cobalt Porphyrins as Catalysts for the Electroreduction of Dioxygen. Polym. Adv. Technol 2001, 12, 266–270. [Google Scholar] [CrossRef]
- Sinha, S.; Aaron, M.S.; Blagojevic, J.; Warren, J.J. Electrocatalytic Dioxygen Reduction by Carbon Electrodes Noncovalently Modified with Iron Porphyrin Complexes: Enhancements from a Single Proton Relay. Chem. A Eur. J. 2015, 21, 18072–18075. [Google Scholar] [CrossRef]
- Yang, X.; Sun, S.; Meng, L.; Li, K.; Mukherjee, S.; Chen, X.; Lv, J.; Liang, S.; Zang, H.-Y.; Yan, L.-K.; et al. Molecular single iron site catalysts for electrochemical nitrogen fixation under ambient conditions. Appl. Catal. B Environ. 2021, 285, 119794. [Google Scholar] [CrossRef]
- Yuan, R.; George, S.L.; Chen, J.; Wu, Q.; Qiu, X.; Zhao, L. Meso-substituted Metalloporphyrin-based Composites for Electrocatalytic Oxygen Reduction Reactions. ChemNanoMat 2023, e202300027. [Google Scholar] [CrossRef]
- Soury, R.; Chaabene, M.; Jabli, M.; Saleh, T.A.; Ben Chaabane, R.; Saint-Aman, E.; Loiseau, F.; Philouze, C.; Allouche, A.-R.; Nasri, H. Meso-tetrakis(3,4,5-trimethoxyphenyl)porphyrin derivatives: Synthesis, spectroscopic characterizations and adsorption of NO2. Chem. Eng. J. 2019, 375, 122005. [Google Scholar] [CrossRef]
- Ardakani, M.M.; Rahimi, P.; Dehghani, H.; Karami, P.E.; Zare, H.R.; Karami, S. Electrocatalytic Reduction of Dioxygen on the Surface of Glassy Carbon Electrodes Modified with Cobalt Porphyrin Complexes. Electroanalysis 2007, 19, 2258–2263. [Google Scholar] [CrossRef]
- Lei, H.; Li, X.; Meng, J.; Zheng, H.; Zhang, W.; Cao, R. Structure Effects of Metal Corroles on Energy-Related Small Molecule Activation Reactions. ACS Catal. 2019, 9, 4320–4344. [Google Scholar] [CrossRef]
- Wannakao, S.; Maihom, T.; Kongpatpanich, K.; Limtrakul, J.; Promarak, V. Halogen substitutions leading to enhanced oxygen evolution and oxygen reduction reactions in metalloporphyrin frameworks. Phys. Chem. Chem. Phys. 2017, 19, 29540–29548. [Google Scholar] [CrossRef] [PubMed]
- Qin, H.; Wang, Y.; Wang, B.; Duan, X.; Lei, H.; Zhang, X.; Zheng, H.; Zhang, W.; Cao, R. Cobalt porphyrins supported on carbon nanotubes as model catalysts of metal-N4/C sites for oxygen electrocatalysis. J. Energy Chem. 2021, 53, 77–81. [Google Scholar] [CrossRef]
- Venegas, R.; Recio, F.J.; Riquelme, J.; Neira, K.; Marco, J.F.; Ponce, I.; Zagal, J.H.; Tasca, F. Biomimetic reduction of O2 in an acid medium on iron phthalocyanines axially coordinated to pyridine anchored on carbon nanotubes. J. Mater. Chem. A 2017, 5, 12054–12059. [Google Scholar] [CrossRef]
- Aarabi, M.; Omidyan, R.; Soorkia, S.; Grégoire, G.; Broquier, M.; Crestoni, M.-E.; de la Lande, A.; Soep, B.; Shafizadeh, N. The dramatic effect of N-methylimidazole on trans axial ligand binding to ferric heme: Experiment and theory. Phys. Chem. Chem. Phys. 2019, 21, 1750–1760. [Google Scholar] [CrossRef]
- Ma, Z.; Nakatani, N.; Fujii, H.; Hada, M. DFT insight into axial ligand effects on electronic structure and mechanistic reactivity of oxoiron(iv) porphyrin. Phys. Chem. Chem. Phys. 2020, 22, 12173–12179. [Google Scholar] [CrossRef]
- Meng, J.; Lei, H.; Li, X.; Zhang, W.; Cao, R. The Trans Axial Ligand Effect on Oxygen Reduction. Immobilization Method May Weaken Catalyst Design for Electrocatalytic Performance. J. Phys. Chem. C 2020, 124, 16324–16331. [Google Scholar] [CrossRef]
- Li, X.D.; Zhu, Y.C.; Yang, L.J. Crown ether-appended Fe (III) porphyrin: Synthesis, characterization and catalytic oxidation of cyclohexene with molecular oxygen. Chin. Chem. Lett. 2012, 23, 375–378. [Google Scholar] [CrossRef]
- Liu, Y.-C.; Kuo, M.-C.; Lee, C.-W.; Liang, Y.-R.; Lee, G.-H.; Peng, S.-M.; Yeh, C.-Y. Synthesis, structure, and cation complexation of a novel crown ether porphyrin. Tetrahedron Lett. 2008, 49, 7223–7226. [Google Scholar] [CrossRef]
- Frisch, M.J.; Trucks, G.W.; Schlegel, H.B.; Scuseria, G.E.; Robb, M.A.; Cheeseman, J.R.; Scalmani, G.; Barone, V.; Petersson, G.A.; Nakatsuji, H.; et al. Gaussian 09, Versions D.01; Gaussian, Inc.: Wallingford, CT, USA, 2013. [Google Scholar]
- Adamo, C.; Barone, V. Toward reliable density functional methods without adjustable parameters: The PBE0 model. J. Chem. Phys. 1999, 110, 6158–6170. [Google Scholar] [CrossRef]
- Chai, J.-D.; Head-Gordon, M. Long-range corrected hybrid density functionals with damped atom–atom dispersion corrections. Phys. Chem. Chem. Phys. 2008, 10, 6615–6620. [Google Scholar] [CrossRef] [PubMed]
- Stephens, P.J.; Devlin, F.J.; Chabalowski, C.F.; Frisch, M.J. Ab Initio Calculation of Vibrational Absorption and Circular Dichroism Spectra Using Density Functional Force Fields. J. Phys. Chem. 1994, 98, 11623–11627. [Google Scholar] [CrossRef]
- Weigend, F.; Ahlrichs, R. Balanced basis sets of split valence, triple zeta valence and quadruple zeta valence quality for H to Rn: Design and assessment of accuracy. Phys. Chem. Chem. Phys. 2005, 7, 3297–3305. [Google Scholar] [CrossRef] [PubMed]
- Schwabe, T.; Grimme, S. Double-hybrid density functionals with long-range dispersion corrections: Higher accuracy and extended applicability. Phys. Chem. Chem. Phys 2007, 9, 3397–3406. [Google Scholar] [CrossRef]
- Lu, T.; Chen, F. Multiwfn: A multifunctional wavefunction analyzer. J. Comput. Chem. 2012, 33, 580–592. [Google Scholar] [CrossRef] [PubMed]
- Humphrey, W.; Dalke, A.; Schulten, K. Visual Molecular Dynamics. J. Mol. Graph. 1996, 14, 33–38. [Google Scholar] [CrossRef]
- Lu, T.; Chen, Q. Shermo: A general code for calculating molecular thermochemistry properties. Comput. Theor. Chem. 2021, 1200, 113249. [Google Scholar] [CrossRef]
- Wang, R.M.; Li, S.B.; Wang, Y.P.; He, Y.F.; Lei, Z.Q. Sheet polymer and its complexes. II. Preparation and catalytic activity of polymeric tetrakisphenylporphyrin films crosslinked by 4,4′-biphenylene-bisulfoate. J. Appl. Polym. Sci. 1998, 67, 2027–2034. [Google Scholar] [CrossRef]
- Baricelli, P.J.; Sánchez, V.J.; Pardey, A.J.; Moya, S.A. Catalytic oxidation of 1-hexene and cyclohexene with molecular oxygen by iridium nitro complexes. J. Mol. Catal. A Chem. 2000, 164, 77–84. [Google Scholar] [CrossRef]
- Wang, R.M.; Hao, C.J.; Wang, Y.P.; Li, S.B. Amino acid Schiff base complex catalyst for effective oxidation of olefins with molecular oxygen. J. Mol. Catal. A Chem. 1999, 147, 173–178. [Google Scholar] [CrossRef]
- Cai, Y.; Castro, P.P.; Gutierrez-Tunstad, L.M. ‘Cloverleaf’ crown ether resorcin[4]arenes. Tetrahedron Lett. 2008, 49, 2146–2149. [Google Scholar] [CrossRef]
- Liu, H.; Shao, X.-B.; Jia, M.-X.; Jiang, X.-K.; Li, Z.-T.; Chen, G.-J. Selective recognition of sodium cyanide and potassium cyanide by diaza-crown ether-capped Zn-porphyrin receptors in polar solvents. Tetrahedron 2005, 61, 8095–8100. [Google Scholar] [CrossRef]
- Fathalla, M. Synthesis and characterization of a porphyrin-crown ether conjugate as a potential intermediate for drug delivery application. J. Porphyr. Phthalocyanines 2020, 25, 95–101. [Google Scholar] [CrossRef]
- Li, H.; Zheng, X.; Jia, Z.; Wang, X. Theoretical study on noncovalent interaction of molecular tweezers by Zn(II) salphen-azo-crown ether triads receptor. J. Mol. Model 2020, 26, 39. [Google Scholar] [CrossRef]
- Lu, T.; Chen, F. Atomic Dipole Moment Corrected Hirshfeld Population Method. J. Theor. Comput. Chem. 2012, 11, 163–183. [Google Scholar] [CrossRef]
- Xia-Yu, Z.; Chun-Ying, R.; Tian, L.U.; Shu-Bin, L.I.U. Hirshfeld Charge as a Quantitative Measure of Electrophilicity and Nucleophilicity: Nitrogen-Containing Systems. Acta Physico Chim. Sin. 2014, 30, 2055–2062. [Google Scholar] [CrossRef]
- Davidson, E.R.; Chakravorty, S. A test of the Hirshfeld definition of atomic charges and moments. Theor. Chim. Acta 1992, 83, 319–330. [Google Scholar] [CrossRef]
- Wiberg, K.B.; Rablen, P.R. Comparison of Atomic Charges Derived via Different Procedures. J. Comput. Chem. 1993, 14, 1504–1518. [Google Scholar] [CrossRef]
- Tian, L.U.; Fei-Wu, C. Comparison of Computational Methods for Atomic Charges. Acta Phys. Chim. Sin. 2012, 28, 1–18. [Google Scholar] [CrossRef]
- Liu, Z.; Lu, T.; Chen, Q. An sp-hybridized all-carboatomic ring, cyclo[18]carbon: Bonding character, electron delocalization, and aromaticity. Carbon 2020, 165, 468–475. [Google Scholar] [CrossRef]
- Manzetti, S.; Lu, T.; Behzadi, H.; Estrafili, M.D.; Thi Le, H.-L.; Vach, H. Intriguing properties of unusual silicon nanocrystals. RSC Adv. 2015, 5, 78192–78208. [Google Scholar] [CrossRef]
- Lin, Z.; Lu, T.; Ding, X.-L. A theoretical investigation on doping superalkali for triggering considerable nonlinear optical properties of Si12C12 nanostructure. J. Comput. Chem. 2017, 38, 1574–1582. [Google Scholar] [CrossRef]
- Mohebbi, S.; Boghaei, D.M.; Sarvestani, A.H.; Salimi, A. Oxovanadium(IV) complexes as homogeneous catalyst—Aerobic epoxidation of olefins. Appl. Catal. A Gen. 2005, 278, 263–267. [Google Scholar] [CrossRef]
- Heiko Weiner, A.T.; Finke, R.G. Expanded product, plus kinetic and mechanistic, studies of polyoxoanion-based cyclohexene oxidation catalysis: The detection of ~70 products at higher conversion leading to a simple, product-based test for the presence of olefin autoxidation. J. Mol. Catal. A Chem. 2003, 191, 217–252. [Google Scholar] [CrossRef]
- Birnbaum, E.R.; Grinstaff, M.W.; Labinger, J.A.; Bercaw, J.E.; Gray, H.B. On the mechanism of catalytic alkene oxidation by molecular oxygen and halogenated iron porphyrins. J. Mol. Catal. A Chem. 1995, 104, L119–L122. [Google Scholar] [CrossRef]
- Labinger, J.A. A simplified model for catalyzed isobutane autoxidation. Catal. Lett. 1994, 26, 95–99. [Google Scholar] [CrossRef]











| Entry | Temp °C | Conv % | TON f (×105) mol/mol | Products Selectivity (%) | ||
|---|---|---|---|---|---|---|
| 1 | 2 | 3 | ||||
| 1 | 30 | 24 | 1 | 36 | 25 | 13 |
| 2 | 40 | 32 | 2 | 41 | 28 | 1 |
| 3 | 50 | 46 | 6 | 73 | 12 | 1 |
| 4 | 60 | 85 | 17 | 65 | 12 | 4 |
| 5 | 70 | 94 | 29 | 53 | 15 | 3 |
| 6 | 77 | 91 | 25 | 46 | 13 | 4 |
| 7 b | 70 | 76 | 14 | 40 | 13 | 4 |
| 8 c | 70 | 40 | 5 | 16 | 23 | 3 |
| 9 d | 70 | 15 | 1 | 45 | 8 | 6 |
| 10 e | 70 | -- | -- | -- | -- | -- |
| Complexes | Atomic Charge (a.u.) | |||||
|---|---|---|---|---|---|---|
| Npyrr | Npyri | Fe | Cl | meso-Substituents | O2 | |
| FeTPPCl | −0.213 | −0.141 | 0.449 | −0.300 | 0.042 | - |
| (Fe-O2)TPPCl | −0.219, −0.269 | −0.149, −0.156 | 0.449 | −0.283 | 0.040, 0.046 | 0.025 |
| FeTC4PCl | −0.220 | −0.141 | 0.455 | −0.298 | 0.033 | - |
| (Fe-O2)TC4PCl | −0.175, −0.210 | −0.168, −0.186 | 0.326 | −0.349 | 0.003, 0.024, 0.028 | 0.045 |
| Complexes | Eele | U | H | G |
|---|---|---|---|---|
| FeTPPCl (a.u.) | −3937.66 | −3937.01 | −3937.01 | −3937.12 |
| (Fe-O2)TPPCl (a.u.) | −4088.04 | −4087.38 | −4087.38 | −4087.60 |
| O2 (a.u.) | −150.34 | −150.34 | −150.34 | −150.36 |
| Δ (kcal/mol) | −25.10 | −18.82 | −18.82 | −75.30 |
| FeTC4PCl (a.u.) | −9814.08 | −9812.08 | −9812.08 | −9812.36 |
| (Fe-O2)TC4PCl (a.u.) | −9964.51 | −9962.50 | −9962.50 | −9962.78 |
| O2 (a.u.) | −150.34 | −150.34 | −150.34 | −150.36 |
| Δ (kcal/mol) | −56.48 | −45.5 | −50.20 | −37.65 |
Disclaimer/Publisher’s Note: The statements, opinions and data contained in all publications are solely those of the individual author(s) and contributor(s) and not of MDPI and/or the editor(s). MDPI and/or the editor(s) disclaim responsibility for any injury to people or property resulting from any ideas, methods, instructions or products referred to in the content. |
© 2023 by the authors. Licensee MDPI, Basel, Switzerland. This article is an open access article distributed under the terms and conditions of the Creative Commons Attribution (CC BY) license (https://creativecommons.org/licenses/by/4.0/).
Share and Cite
Li, X.; Feng, A.; Zu, Y.; Liu, P.; Han, F. Experimental and Theoretical Study on Crown Ether-Appended-Fe(III) Porphyrin Complexes and Catalytic Oxidation Cyclohexene with O2. Molecules 2023, 28, 3452. https://doi.org/10.3390/molecules28083452
Li X, Feng A, Zu Y, Liu P, Han F. Experimental and Theoretical Study on Crown Ether-Appended-Fe(III) Porphyrin Complexes and Catalytic Oxidation Cyclohexene with O2. Molecules. 2023; 28(8):3452. https://doi.org/10.3390/molecules28083452
Chicago/Turabian StyleLi, Xiaodong, Ailing Feng, Yanqing Zu, Peitao Liu, and Fengbo Han. 2023. "Experimental and Theoretical Study on Crown Ether-Appended-Fe(III) Porphyrin Complexes and Catalytic Oxidation Cyclohexene with O2" Molecules 28, no. 8: 3452. https://doi.org/10.3390/molecules28083452
APA StyleLi, X., Feng, A., Zu, Y., Liu, P., & Han, F. (2023). Experimental and Theoretical Study on Crown Ether-Appended-Fe(III) Porphyrin Complexes and Catalytic Oxidation Cyclohexene with O2. Molecules, 28(8), 3452. https://doi.org/10.3390/molecules28083452

