Synthesis, X-ray Crystal Structure, Anticancer, Hirshfeld Surface Analysis, DFT, TD-DFT, ADMET, and Molecular Docking of 3-Phenyl-1,2,4-triazolo[3,4-h]-13,4-thiaza-11-crown-4
Abstract
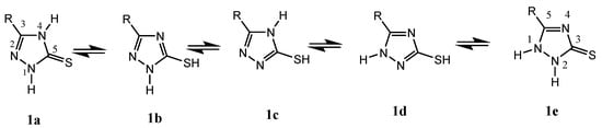
1. Introduction
2. Results and Discussion
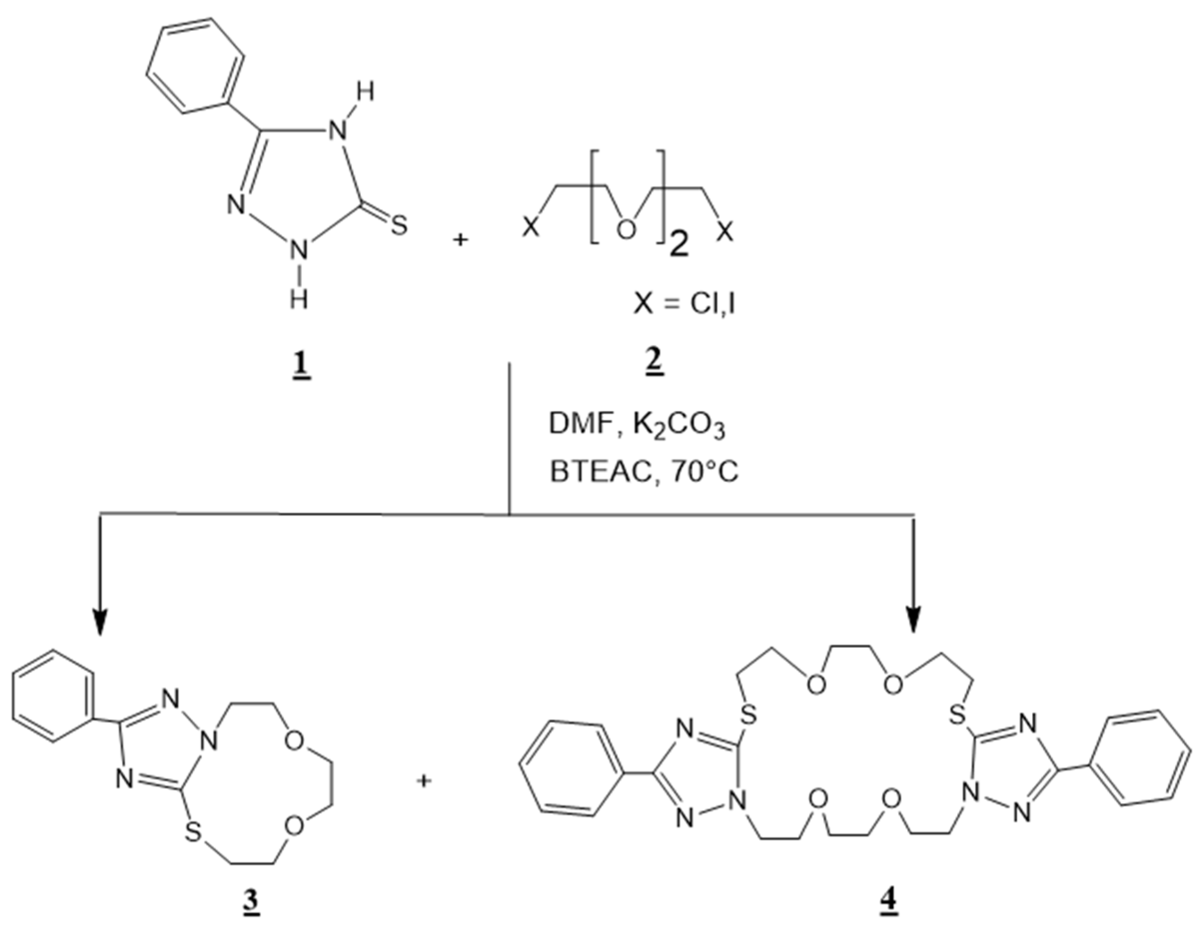
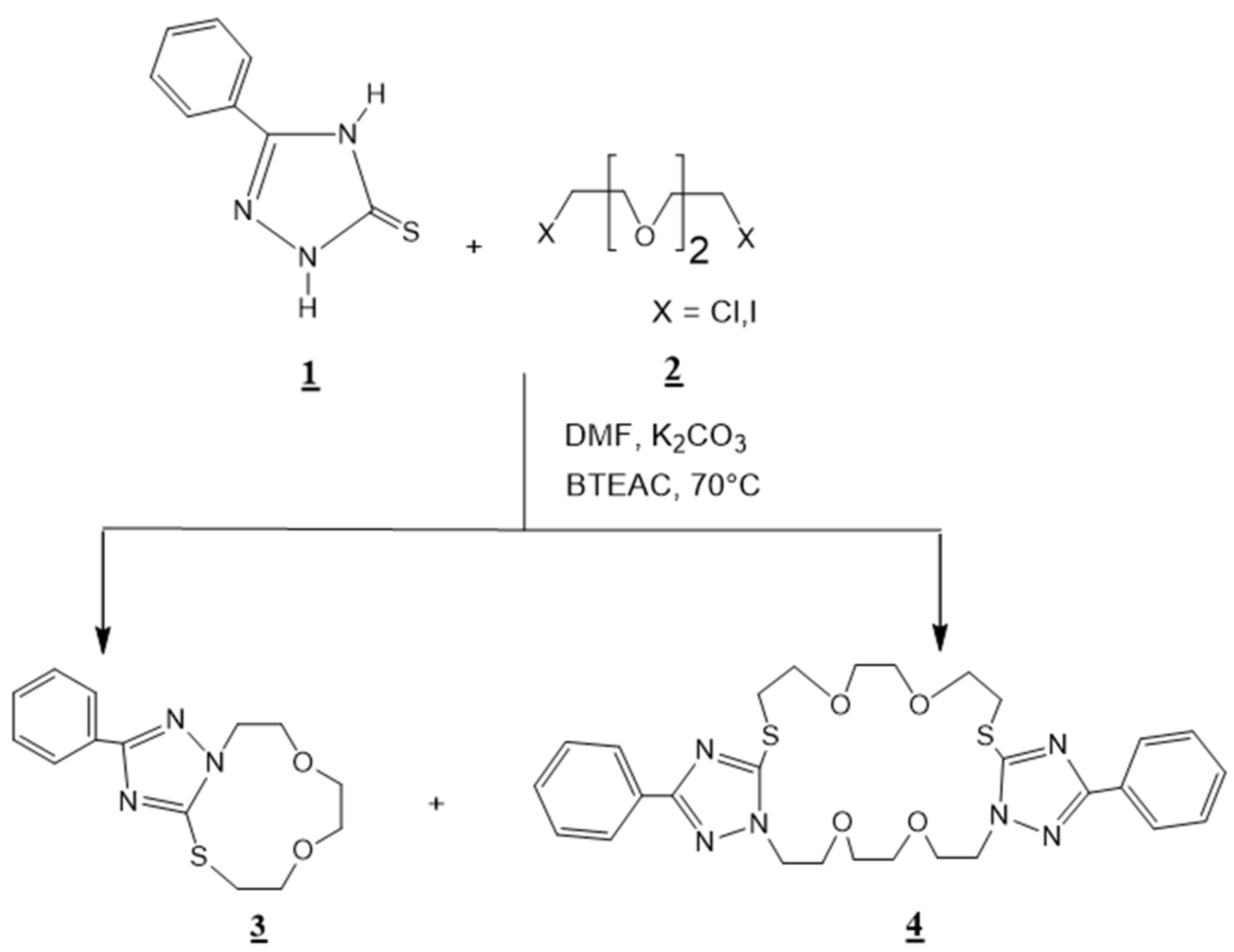
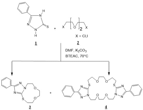
2.1. Synthesis of 3-Phenyl-1,2,4-triazolo [3,4-h]-13,4-thiaza-11-crown-4: 3, and 3,14-diphenyl-bis-1,2,4-triazolo [3,4-s][4,3-g]-17,26,16,4-dithiadiaza-22-crown-8 4
2.1.1. 3-Phenyl-1,2,4-triazolo [3,4-h]-13,4-thiaza-11-crown-4 (3)
2.1.2. 3,14-Diphenyl-bis-1,2,4-triazolo [3,4-s][4,3-g]-17,26,16,4-dithiadiaza-22-crown-8 (4)
2.2. X-ray Crystallography
2.3. DFT Results
2.4. NMR Analysis
2.5. UV/Vis Spectrum
2.6. Hirshfeld Surface Analysis
2.7. ADMET and Drug-Likeness Prediction of the Synthesized Compound
2.8. Molecular Molecular Docking Study
2.9. Anticancer Activity against A459 Cell Line
3. Materials and Methods
3.1. General Procedure
3.2. X-ray Crystallography
3.3. Hirshfeld Surface Analysis
3.4. DFT Calculations
3.5. In Silico ADMET and Drug-Likeness Properties
3.6. Molecular Docking Study
3.7. Cytotoxicity Assay
4. Conclusions
Supplementary Materials
Author Contributions
Funding
Conflicts of Interest
References
- Kaur, P.; Chawla, A. 1, 2, 4-Triazole: A review of pharmacological activities. Int. Res. J. Pharm 2017, 8, 10–29. [Google Scholar] [CrossRef]
- Namratha, B.; Gaonkar, S.L. 1, 2, 4-Triazoles: Synthetic strategies and pharmacological profiles. Int. J. Pharm. Pharm. Sci. 2014, 6, 73–80. [Google Scholar]
- Jiang, L.; Wang, M.-Y.; Wan, F.-X.; Qu, Z.-Q. Synthesis and biological activity of tri-substituted 1, 2, 4-triazoles bearing benzimidazole moiety. Phosphorus Sulfur Silicon Relat. Elem. 2015, 190, 1599–1605. [Google Scholar] [CrossRef]
- Xue, J.; Li, H.; Liu, F.; Jiang, W.; Hou, F. Vortex-assisted matrix solid–liquid dispersive microextraction for the analysis of triazole fungicides in cotton seed and honeysuckle by gas chromatography. Food Chem. 2016, 196, 867–876. [Google Scholar] [CrossRef]
- Alafeefy, A.M.; Abdel-Aziz, H.A.; Vullo, D.; Al-Tamimi, A.-M.S.; Al-Jaber, N.A.; Capasso, C.; Supuran, C.T. Inhibition of carbonic anhydrases from the extremophilic bacteria Sulfurihydrogenibium yellostonense (SspCA) and S. azorense (SazCA) with a new series of sulfonamides incorporating aroylhydrazone-,[1, 2, 4] triazolo [3, 4-b][1, 3, 4] thiadiazinyl-or 2-(cyanophenylmethylene)-1, 3, 4-thiadiazol-3 (2H)-yl moieties. Bioorganic Med. Chem. 2014, 22, 141–147. [Google Scholar]
- Salgın-Gökşen, U.; Gökhan-Kelekçi, N.; Göktaş, Ö.; Köysal, Y.; Kılıç, E.; Işık, Ş.; Aktay, G.; Özalp, M. 1-Acylthiosemicarbazides, 1, 2, 4-triazole-5 (4H)-thiones, 1, 3, 4-thiadiazoles and hydrazones containing 5-methyl-2-benzoxazolinones: Synthesis, analgesic-anti-inflammatory and antimicrobial activities. Bioorganic Med. Chem. 2007, 15, 5738–5751. [Google Scholar] [CrossRef]
- El Sayed, H.; El Sayed, H.; Abd El Fattah, M.E.D.; Boraei, A.T.; Abd El-Nabi, H.M. Regioselective synthesis, characterization and antimicrobial evaluation of S-glycosides and S, N-diglycosides of 1,2-Dihydro-5-(1H-indol-2-yl)-1,2,4-triazole-3-thione. Eur. J. Med. Chem. 2013, 66, 106–113. [Google Scholar]
- Luszczki, J.J.; Plech, T.; Wujec, M. Effect of 4-(4-bromophenyl)-5-(3-chlorophenyl)-2,4-dihydro-3H-1,2,4-triazole-3-thione on the anticonvulsant action of different classical antiepileptic drugs in the mouse maximal electroshock-induced seizure model. Eur. J. Pharmacol. 2012, 690, 99–106. [Google Scholar] [CrossRef]
- Kathiravan, M.K.; Salake, A.B.; Chothe, A.S.; Dudhe, P.B.; Watode, R.P.; Mukta, M.S.; Gadhwe, S. The biology and chemistry of antifungal agents: A review. Bioorganic Med. Chem. 2012, 20, 5678–5698. [Google Scholar] [CrossRef]
- Wang, B.-L.; Zhan, Y.-Z.; Zhang, L.-Y.; Zhang, Y.; Zhang, X.; Li, Z.-M. Synthesis and fungicidal activities of novel 1, 2, 4-triazole thione derivatives containing 1, 2, 3-triazole and substituted piperazine moieties. Phosphorus Sulfur Silicon Relat. Elem. 2016, 191, 1–7. [Google Scholar] [CrossRef]
- Reddy, T.R.; Li, C.; Guo, X.; Fischer, P.M.; Dekker, L.V. Design, synthesis and SAR exploration of tri-substituted 1, 2, 4-triazoles as inhibitors of the annexin A2–S100A10 protein interaction. Bioorganic Med. Chem. 2014, 22, 5378–5391. [Google Scholar] [CrossRef] [PubMed]
- Kulabaş, N.; Tatar, E.; Özakpınar, Ö.B.; Özsavcı, D.; Pannecouque, C.; De Clercq, E.; Küçükgüzel, İ. Synthesis and antiproliferative evaluation of novel 2-(4H-1, 2, 4-triazole-3-ylthio) acetamide derivatives as inducers of apoptosis in cancer cells. Eur. J. Med. Chem. 2016, 121, 58–70. [Google Scholar] [CrossRef] [PubMed]
- Kuş, C.; Ayhan-Kılcıgil, G.; Özbey, S.; Kaynak, F.B.; Kaya, M.; Çoban, T.; Can-Eke, B. Synthesis and antioxidant properties of novel N-methyl-1, 3, 4-thiadiazol-2-amine and 4-methyl-2H-1, 2, 4-triazole-3 (4H)-thione derivatives of benzimidazole class. Bioorganic Med. Chem. 2008, 16, 4294–4303. [Google Scholar] [CrossRef]
- Sarigol, D.; Uzgoren-Baran, A.; Tel, B.C.; Somuncuoglu, E.I.; Kazkayasi, I.; Ozadali-Sari, K.; Unsal-Tan, O.; Okay, G.; Ertan, M.; Tozkoparan, B. Novel thiazolo [3, 2-b]-1, 2, 4-triazoles derived from naproxen with analgesic/anti-inflammatory properties: Synthesis, biological evaluation and molecular modeling studies. Bioorganic Med. Chem. 2015, 23, 2518–2528. [Google Scholar] [CrossRef]
- Farajzadeh, M.A.; Khoshmaram, L. Air-assisted liquid–liquid microextraction-gas chromatography-flame ionisation detection: A fast and simple method for the assessment of triazole pesticides residues in surface water, cucumber, tomato and grape juices samples. Food Chem. 2013, 141, 1881–1887. [Google Scholar] [CrossRef] [PubMed]
- Naciri, M.; El Aoufir, Y.; Lgaz, H.; Lazrak, F.; Ghanimi, A.; Guenbour, A.; El Moudane, M.; Taoufik, J.; Chung, I.-M. Exploring the potential of a new 1, 2, 4-triazole derivative for corrosion protection of carbon steel in HCl: A computational and experimental evaluation. Colloids Surf. A: Physicochem. Eng. Asp. 2020, 597, 124604. [Google Scholar] [CrossRef]
- El Aoufir, Y.; Aslam, R.; Lazrak, F.; Marzouki, R.; Kaya, S.; Skal, S.; Ghanimi, A.; Ali, I.; Guenbour, A.; Lgaz, H. The effect of the alkyl chain length on corrosion inhibition performances of 1, 2, 4-triazole-based compounds for mild steel in 1.0 M HCl: Insights from experimental and theoretical studies. J. Mol. Liq. 2020, 303, 112631. [Google Scholar] [CrossRef]
- Keita, A.; Lazrak, F.; Essassi, E.; Alaoui, I.C.; Rodi, Y.K.; Bellan, J.; Pierrot, M. 2, 4-Dioxo (dimercapto)-1, 5-benzodiazepino-13-couronne-2, Nouveau Macrocycle Complexant de L’ion Ag+. Phosphorus Sulfur Silicon Relat. Elem. 2003, 178, 1541–1548. [Google Scholar] [CrossRef]
- Lazrak, F.; Essassi, E.; Rodi, Y.K.; Bellan, J. Synthese Et Proprietes Complexantes de La 2-(8,-chlorotriethyleneglycolmercapto) imidazo [4, 5-b] pyridine. Sci. Study Res. 2007, 3, 61–68. [Google Scholar]
- Dietrich, B.; Viout, P.; Lehn, J. Aspect de la Chimie des Composés Macrocycliques, InterEditions; Editions du CNRS: Paris, France, 1991. [Google Scholar]
- Starks, C.M.; Halper, M. Phase-Transfer Catalysis: Fundamentals, Applications, and Industrial Perspectives; Springer Science & Business Media: Berlin/Heidelberg, Germany, 2012. [Google Scholar]
- Ullah, F.; Khan, T.A.; Iltaf, J.; Anwar, S.; Khan, M.F.A.; Khan, M.R.; Ullah, S.; Fayyaz ur Rehman, M.; Mustaqeem, M.; Kotwica-Mojzych, K. Heterocyclic crown ethers with potential biological and pharmacological properties: From synthesis to applications. Appl. Sci. 2022, 12, 1102. [Google Scholar] [CrossRef]
- Czech, B.P.; Chapoteau, E.; Zazulak, W.; Gebauer, C.R.; Kumar, A. Chromogenic cryptahemispheraplexes for the determination of potassium in aqueous solutions. Anal. Chim. Acta 1990, 241, 127–136. [Google Scholar] [CrossRef]
- Costero, A.M.; Rodriguez, S. Bis-cyclohexyl-crown-ethers as allosteric carriers. Tetrahedron 1992, 48, 6265–6272. [Google Scholar] [CrossRef]
- El Ashry, E.S.H.; Awad, L.F.; Soliman, S.M.; Abd Al Moaty, M.N.; Ghabbour, H.A.; Barakat, A. Tautomerism aspect of thione-thiol combined with spectral investigation of some 4-amino-5-methyl-1, 2, 4-triazole-3-thione Schiff’s bases. J. Mol. Struct. 2017, 1146, 432–440. [Google Scholar] [CrossRef]
- Lazrak, F.; Essassi, E.-M.; El-Bali, B.; Bolte, M. 1,2,4-Triazolo [2, 3-h]-7,9-thiaza-11-crown-4. Acta Crystallogr. Sect. C Cryst. Struct. Commun. 2000, 56, iuc0000067-e164. [Google Scholar] [CrossRef] [PubMed]
- Ferfra, S.; Ahabchane, N.; Mustaphi, N.; Essassi, E.; Bellan, J.; Pierrot, M. Synthese De Nouveaux Macrocycles Derives De La Quinoxaline-2 3-Dithione Synthesis of New Macrocycles From Quinoxaline-2,3-Dithione Derivative. Phosphorus Sulfur Silicon Relat. Elem. 2001, 175, 169–181. [Google Scholar] [CrossRef]
- Ferfra, S.; Ahabchane, N.; Essassi, E.; Bellan, J.; Pierrot, M. Synthese Et Complexation De Nouveaux Macrocycles Derives De La Quinoxaline-2,3-Dione. Moroc. J. Heterocycl. Chem. 2005, 4, 49–50. [Google Scholar]
- Ahabchane, N.H.; Essassi, E.; Bellan, J.; Lopez, L.; Lamande, L. Synthese de nouveaux macrocycles dérivés de la 1-pyrazolylbenzimidazole-2-thione. Phosphorus Sulfur Silicon Relat. Elem. 2001, 173, 175–192. [Google Scholar] [CrossRef]
- Ghomsi, J.N.; Ahabchane, N.H.; Bouhfid, R.; Essassi, E.M.; Ng, S.W. 4-Phenyl-9, 12, 15-trioxa-1, 5, 6, 18-tetraazatetracyclo [16.6. 1.02, 6.019, 24] pentaconta-2, 4, 19, 21, 23-pentaen-25-one. Acta Crystallogr. Sect. E: Struct. Rep. Online 2009, 65, o2493. [Google Scholar] [CrossRef]
- Barascut, J.; Daunis, J.; Jacquier, R. Studies in azole series-solvent effects during methylation of 3-methyl 1, 2, 4-triazole-5-thiones. Bull. De La Soc. Chim. De Fr. 1973, 1, 323–326. [Google Scholar]
- Potts, K.; Husain, S. Mesoionic compounds. XIV. Mesoionic compounds of the imidazole series. J. Org. Chem. 1971, 36, 3368–3372. [Google Scholar] [CrossRef]
- Lazrak, F.; Essassi, E.; Rodi, Y.K.; Misbahi, K.; Pierrot, M. Synthese de nouveaux systemes condenses renfermant le 1, 2, 4-triazole, la 1, 3-thiazine, la 1, 3-thiazepine et la 1, 3, 5, 7-dithiadiazocine. Phosphorus Sulfur Silicon 2004, 179, 1799–1808. [Google Scholar] [CrossRef]
- Lazrak, F.; Ahabchane, N.; Keita, A.; Essassi, E.; Pierrot, M. Synthesis and Crystal Structure of 3-methoxycarbonyl-5-methyl-1-p-tolyl-1, 2, 4-triazolo [3, 4-c]-1, 2, 4-triazole. Indian J. Chem. 2002, 41, 821–825. [Google Scholar] [CrossRef]
- Cremer, D.T.; Pople, J. General definition of ring puckering coordinates. J. Am. Chem. Soc. 1975, 97, 1354–1358. [Google Scholar] [CrossRef]
- Kumar, A.; Sahoo, P.R.; Kathuria, I.; Prakash, K.; Kumar, S. Oxazine as an efficient precursor for the development of photochromic spiropyrans. J. Photochem. Photobiol. A Chem. 2023, 438, 114541. [Google Scholar] [CrossRef]
- Sahoo, P.; Prakash, K.; Kumar, S. Experimental and theoretical investigations of cyanide detection using a photochromic naphthopyran. Supramol. Chem. 2017, 29, 183–192. [Google Scholar] [CrossRef]
- Sahoo, P.R.; Kumar, S. Synthesis of an optically switchable salicylaldimine substituted naphthopyran for selective and reversible Cu 2+ recognition in aqueous solution. RSC Adv. 2016, 6, 20145–20154. [Google Scholar] [CrossRef]
- Sahoo, P.R.; Kathuria, I.; Kumar, S. The structural arrangement of the ligand-metal complex with centered zinc and nickel atoms and their optical features. J. Mol. Struct. 2022, 1262, 133010. [Google Scholar] [CrossRef]
- Sahoo, P.R.; Kumar, A.; Kumar, A.; Kumar, S. Experimental and computational investigation of polymorphism in methyl 3-hydroxy-4-(piperidin-1-ylmethyl)-2-naphthoate. J. Mol. Struct. 2020, 1219, 128619. [Google Scholar] [CrossRef]
- Sahoo, P.R.; Kumar, A.; Kumar, A.; Kumar, S. Synthesis and optical properties of copper (II) and nickel (II) complexes of a highly fluorescent morpholine-derivative. Polyhedron 2019, 171, 559–570. [Google Scholar] [CrossRef]
- Turner, M.; McKinnon, J.; Wolff, S.; Grimwood, D.; Spackman, P.; Jayatilaka, D.; Spackman, M. CrystalExplorer17; University of Western Australia: Perth, Australia, 2017. [Google Scholar]
- Saint. Data Reduction and Correction Program, v. 8.27B; Bruker AXS Inc.: Madison, WI, USA, 2012.
- Sheldrick, G. Cell_Now; University of Göttingen: Göttingen, Germany, 2008. [Google Scholar]
- Sheldrick, G. Twinabs; University of Göttingen: Göttingen, Germany, 2009; Volume 20. [Google Scholar]
- Sheldrick, G. SHELXT—Integrated space-group and crystal-structure determination. Acta Crystallogr. Sect. A 2015, 71, 3–8. [Google Scholar] [CrossRef]
- Sheldrick, G. Crystal structure refinement with SHELXL. Acta Crystallogr. Sect. C 2015, 71, 3–8. [Google Scholar] [CrossRef]
- Frisch, M.; Trucks, G.; Schlegel, H.; Scuseria, G.; Robb, M.; Cheeseman, J.; Scalmani, G.; Barone, V.; Mennucci, B.; Petersson, G. Gaussian 09, revision D. 01; Gaussian, Inc.: Wallingford, CT, USA, 2009. [Google Scholar]
- Andersson, M.P.; Uvdal, P. New scale factors for harmonic vibrational frequencies using the B3LYP density functional method with the triple-ζ basis set 6-311+ G (d, p). J. Phys. Chem. A 2005, 109, 2937–2941. [Google Scholar] [CrossRef] [PubMed]
- Gauss, J. Effects of electron correlation in the calculation of nuclear magnetic resonance chemical shifts. J. Chem. Phys. 1993, 99, 3629–3643. [Google Scholar] [CrossRef]
- Tomasi, J.; Mennucci, B.; Cammi, R. Quantum Mechanical Continuum Solvation Models. Chem. Rev. 2005, 105, 2999–3093. [Google Scholar] [CrossRef] [PubMed]
- Morris, G.M.; Huey, R.; Lindstrom, W.; Sanner, M.F.; Belew, R.K.; Goodsell, D.S.; Olson, A.J. AutoDock4 and AutoDockTools4: Automated docking with selective receptor flexibility. J. Comput. Chem. 2009, 30, 2785–2791. [Google Scholar] [CrossRef] [PubMed]
- Liang, S.; Blundell, T.L. Human DNA-dependent protein kinase activation mechanism. Nat. Struct. Mol. Biol. 2023, 30, 140–147. [Google Scholar] [CrossRef] [PubMed]
- Taha, M.; Rahim, F.; Uddin, N.; Khan, I.U.; Iqbal, N.; Anouar, E.; Salahuddin, M.; Farooq, R.K.; Gollapalli, M.; Khan, K.M.; et al. Exploring indole-based-thiadiazole derivatives as potent acetylcholinesterase and butyrylcholinesterase enzyme inhibitors. Int. J. Biol. Macromol. 2021, 188, 1025–1036. [Google Scholar] [CrossRef]















| Bond Lengths (Å) | Bond Angles (°) | ||||||
|---|---|---|---|---|---|---|---|
| X-ray | Cal | ΔL(Å) | X-ray | Cal | ΔA(°) | ||
| S1-C8 | 1.753 | 1.7671 | 0.013 | C8-S1-C9 | 98.17 | 100.25 | 2.08 |
| S1-C9 | 1.8244 | 1.8489 | 0.024 | S1-C8-C5 | 123.32 | 123.99 | 0.67 |
| O2-C18 | 1.4288 | 1.4286 | 0.000 | C8-C5-C24 | 129.62 | 130.53 | 0.90 |
| O2-C21 | 1.4187 | 1.4208 | 0.002 | S1-C9-C12 | 113.69 | 114.59 | 0.90 |
| O3-O12 | 1.4204 | 1.4255 | 0.005 | C24-C21-O2 | 112.50 | 112.47 | 0.04 |
| O3-O15 | 1.4264 | 1.4249 | 0.001 | C21-O2-C18 | 114.85 | 114.88 | 0.03 |
| C4-C7 | 1.3653 | 1.3640 | 0.001 | C12-O3-C15 | 113.22 | 115.73 | 2.51 |
| C4-C8 | 1.3303 | 1.3255 | 0.005 | C6-C7-C27 | 121.86 | 122.93 | 1.08 |
| C5-C6 | 1.3593 | 1.3529 | 0.006 | C7-C27-C28 | 120.29 | 120.81 | 0.52 |
| C5-C24 | 1.4611 | 1.4607 | 0.000 | C6-C7-C27-C28 | 21.08 | 1.20 | 19.88 |
| C7-C6 | 1.3330 | 1.3311 | 0.002 | S1-C8-C5-C24 | 2.46 | 6.40 | 3.94 |
| C7-C27 | 1.4713 | 1.4710 | 0.000 | C8-C5-C24-C21 | 124.68 | 107.04 | 17.64 |
| C27-C28 | 1.3989 | 1.4025 | 0.004 | S1-C9-C12-O3 | 60.54 | 65.69 | 5.15 |
| C27-C36 | 1.3948 | 1.4012 | 0.006 | C12-O3-C15-C18 | 108.85 | 88.46 | 20.39 |
| 13C-NMR | 1H-NMR | ||||||
|---|---|---|---|---|---|---|---|
| Cal | Exp | Δδ | Cal | Exp | Δδ | ||
| C7 | 176 | 162.9 | 12.76 | H9 | 2.80 | 3.22 | 0.42 |
| C8 | 169 | 151.8 | 17.22 | H12 | 3.73 | 3.54 | 0.19 |
| C9 | 57.8 | 37.49 | 20.28 | H15/H18 | 3.47 | 3.6 | 0.13 |
| C12 | 81.4 | 69.12 | 12.28 | H21 | 4.24 | 3.97 | 0.27 |
| C15 | 81 | 68.76 | 12.25 | H24 | 4.80 | 4.43 | 0.37 |
| C18 | 85.7 | 72.19 | 13.52 | H28/H36 | 8.12 | 8.1 | 0.02 |
| C21 | 82.4 | 72.19 | 10.2 | H30/H34 | 7.26 | 7.4 | 0.14 |
| C24 | 60 | 48.39 | 11.59 | H32 | 7.20 | 7.37 | 0.17 |
| C27 | 145 | 130.9 | 14.2 | ||||
| C28/C36 | 138 | 126.3 | 11.73 | ||||
| C30/34. | 141 | 129.4 | 11.9 | ||||
| C32 | 142 | 128.6 | 13.43 | ||||
| Free Binding Energy (kcal/mol) | H-Bonds (HBs) | Number of Closest Residues to the Docked Ligand in the Active Site 1 | |
|---|---|---|---|
| 3 | −6.98 | 0 | 9 |
| OLig | −10.92 | 3 | 17 |
| Identification Code | 3 | |
|---|---|---|
| Chemical formula | C14H17N3O2S | |
| Formula weight | 291.36 g/mol | |
| Temperature | 125(2) K | |
| Wavelength | 1.54178 Å | |
| Crystal size | 0.164 × 0.226 × 0.258 mm | |
| Crystal system | monoclinic | |
| Space group | P 1 21/c 1 | |
| Unit cell dimensions | a = 12.0933(5) Å | α = 90° |
| b = 10.8160(4) Å | β = 102.7080(10)° | |
| c = 10.7940(4) Å | γ = 90° | |
| Volume | 1377.28(9) Å3 | |
| Z | 4 | |
| Density (calculated) | 1.405 g/cm3 | |
| Absorption coefficient | 2.139 mm−1 | |
| F(000) | 616 | |
| Diffractometer | Bruker D8 VENTURE PHOTON 3 CPAD | |
| Radiation source | INCOATEC IμS micro--focus source (Cu-Kα, λ = 1.54178 Å) | |
| Theta range for data collection | 3.75 to 72.33° | |
| Index ranges | −14<=h<=14, −13<=k<=13, −13<=l<=13 | |
| Reflections collected | 2713 | |
| Absorption correction | multi-scan | |
| Max. and min. transmission | 0.7200 and 0.6080 | |
| Structure solution technique | direct methods | |
| Structure solution program | SHELXT | |
| Refinement method | Full-matrix least-squares on F2 | |
| Refinement program | SHELXL | |
| Function minimized | Σ w(Fo2 − Fc2)2 | |
| Data/restraints/parameters | 2713/0/181 | |
| Goodness-of-fit on F2 | 1.078 | |
| Δ/σmax | 0.001 | |
| Final R indices | 2680 data; I>2σ(I) | R1 = 0.0291, wR2 = 0.0763 |
| all data | R1 = 0.0293, wR2 = 0.0764 | |
| Weighting scheme | w = 1/[σ2(Fo2) +(0.0387P)2 + 0.5487P] where P = (Fo2 + 2Fc2)/3 | |
| Largest diff. peak and hole | 0.242 and -0.291 eÅ−3 | |
| R.M.S. deviation from the mean | 0.039 eÅ−3 | |
Disclaimer/Publisher’s Note: The statements, opinions and data contained in all publications are solely those of the individual author(s) and contributor(s) and not of MDPI and/or the editor(s). MDPI and/or the editor(s) disclaim responsibility for any injury to people or property resulting from any ideas, methods, instructions or products referred to in the content. |
© 2023 by the authors. Licensee MDPI, Basel, Switzerland. This article is an open access article distributed under the terms and conditions of the Creative Commons Attribution (CC BY) license (https://creativecommons.org/licenses/by/4.0/).
Share and Cite
Lazrak, F.; Lahmidi, S.; Anouar, E.H.; Alanazi, M.M.; Alanazi, A.S.; Essassi, E.M.; Mague, J.T. Synthesis, X-ray Crystal Structure, Anticancer, Hirshfeld Surface Analysis, DFT, TD-DFT, ADMET, and Molecular Docking of 3-Phenyl-1,2,4-triazolo[3,4-h]-13,4-thiaza-11-crown-4. Molecules 2023, 28, 3166. https://doi.org/10.3390/molecules28073166
Lazrak F, Lahmidi S, Anouar EH, Alanazi MM, Alanazi AS, Essassi EM, Mague JT. Synthesis, X-ray Crystal Structure, Anticancer, Hirshfeld Surface Analysis, DFT, TD-DFT, ADMET, and Molecular Docking of 3-Phenyl-1,2,4-triazolo[3,4-h]-13,4-thiaza-11-crown-4. Molecules. 2023; 28(7):3166. https://doi.org/10.3390/molecules28073166
Chicago/Turabian StyleLazrak, Fatima, Sanae Lahmidi, El Hassane Anouar, Mohammed M. Alanazi, Ashwag S. Alanazi, El Mokhtar Essassi, and Joel T. Mague. 2023. "Synthesis, X-ray Crystal Structure, Anticancer, Hirshfeld Surface Analysis, DFT, TD-DFT, ADMET, and Molecular Docking of 3-Phenyl-1,2,4-triazolo[3,4-h]-13,4-thiaza-11-crown-4" Molecules 28, no. 7: 3166. https://doi.org/10.3390/molecules28073166
APA StyleLazrak, F., Lahmidi, S., Anouar, E. H., Alanazi, M. M., Alanazi, A. S., Essassi, E. M., & Mague, J. T. (2023). Synthesis, X-ray Crystal Structure, Anticancer, Hirshfeld Surface Analysis, DFT, TD-DFT, ADMET, and Molecular Docking of 3-Phenyl-1,2,4-triazolo[3,4-h]-13,4-thiaza-11-crown-4. Molecules, 28(7), 3166. https://doi.org/10.3390/molecules28073166

