Abstract
A general visible light-induced sulfonylation/cyclization to produce quinoline-2,4-diones was achieved under photocatalyst-free conditions. The reactions were performed at room temperature, and various substituents (halogen, alkyl, aryl) and substituted products were obtained with 29 examples within 2 h. Large-scale synthesis and derivatization study via carbonyl reduction to produce easily modified hydroxyl groups and convenient N-Ts deprotection showed the potential utility of this strategy.
1. Introduction
The derivatives of quinoline-2,4-diones have shown unique biological activities in natural products and medicine [1,2]. They can be used as crucial precursors for constructing novel biomolecules [3,4]. Over the past few decades, many studies have been devoted to these molecular skeletons [5,6,7]. However, most of these conditions are relatively complicated or unfavorable for product purification. Therefore, there is an urgent need to develop a simple, efficient, and straightforward strategy to construct quinoline-2,4-diones. Intramolecular cyclization based on N-(2-cyanophenyl)-N-methyl-methacrylamide is a very practical idea [8]. According to different mechanisms of the addition to nitriles, it mainly involves two types: (i) nucleophilic addition of metal nucleophiles, such as Grignard reagents [9], lithium reagents [10], and transition metal complexes [11,12] to the cyano group and (ii) radical addition. After continuous research and reports, the cascade/cyclization reaction initiated by radicals has become one of the most effective strategies for constructing the derivatives of quinoline-2,4-diones. Radical addition to highly polar cyano groups are generally not well controlled, due to the generation of unstable imino radicals [13,14]. However, this pathway can become feasible once the unstable imino radical intermediate can be efficiently trapped [15,16]. Usually, such radical reaction conditions still require transition metal catalysts/additives [17,18], such as copper-mediated radical oxidation addition [19,20] and Ag-catalyzed oxidative radical decarboxylation cycloaddition [21].
Visible light-promoted reactions, which typically proceed under mild reaction conditions and offer high efficiency and selectivity, are increasingly gaining enormous attention [22,23]. Light can be considered an ideal reagent for environmentally friendly “green” chemical synthesis; unlike many conventional reagents, light is non-toxic and can be obtained from renewable resources. Generally, visible light-mediated radical addition usually requires the presence of both metal catalysts/additives and photocatalysts [24]. Such reactions require at least one metal catalyst or photocatalyst [25,26,27,28]. Up until now, there is only one report on the cascade cyclization reaction of radical addition under metal-free and photocatalyst-free conditions for the addition to nitriles, and a high temperature (up to 130 °C) was required to generate methyl radicals [29]. Therefore, it is very attractive to develop a transition metal-free and photocatalyst-free photocatalytic method for cascade/cyclization reactions at room temperature, which can simplify the reaction conditions and facilitate subsequent product purification. Based on previous reports [30], we developed a new method to achieve the synthesis of quinoline-2,4-dione derivatives. The general process is that TsSePh generates a sulfonyl-centered radical after light irradiation, which attacks the double bond of N-(2-cyanophenyl)-N-methyl-methacrylamide to obtain a carbon-centered radical intermediate, and the subsequent cyclization through the intramolecular addition of carbon radicals to nitriles deliver the final quinoline-2,4-diones. When it comes to the synthesis of bioactive molecules, this synthetic strategy can effectively avoid the toxic effects of adding transition metals.
2. Results and Discussion
As shown in Table 1, the reaction of N-(2-cyanophenyl)-N-methylmethacrylamide (1a) and TsSePh (2a), as the model substrates, was used to optimize the reaction conditions. In the initial reactions, Product 3a was obtained with a yield of 56% after 2 hours under blue LED irradiation with 10 mmol% Eosin Y as the photocatalysts of CH3CN (Entry 1, Table 1). Further optimization showed that with other photocatalysts such as Acid Red, Ru(bpy)2Cl2·6H2O, and 4CZIPN, the corresponding yields for 3a (Entries 2–4) decreased respectively. As a contrast, when the reaction was conducted without the participation of photocatalysts, the yield of 3a was about 50% (Entry 5), indicating that the photocatalysts were not integral to this process. When DMSO, DCM, and THF were used as reaction solvents, the corresponding yields for 3a were not as efficient as those with CH3CN (Entries 6–8). Considering the necessity of water to produce carbonyl groups in 3a, mixed solvents were tested. To our delight, mixed solvents with water such as CH3CN/H2O and DMSO/H2O effectively increased the yield of the reaction, and CH3CN/H2O (2/1) was found to be the best, wherein the yield of 3a unexpectedly reached up to 80%, which indicates that the addition of water can effectively increase the reaction yield (Entries 9–11). If the reaction was only carried out for one hour, the results showed that it had obviously not completed with a low yield of 3a obtained (55%) (Entry 12).
Table 1.
Optimization of reaction conditions a.
With optimal conditions in hand, we subsequently investigated the substrate scope of anthranilonitrile derivatives 1 under the conditions of this photocatalytic system for cascade sulfonylation/cyclization reactions. As shown in Table 2, moderate yields (3b–3d) were obtained when substrate 1 contained an electron-withdrawing group on the benzene ring ortho to the cyano group. The meta-position of the cyano group on the benzene ring showed good tolerance, regardless of the introduction of electron-donating groups or electron-withdrawing groups, and the corresponding products 3e–3i were also obtained with moderate to good yields (61–79%). Similarly, more diverse electron-donating and electron-withdrawing groups at the related para-positions produced the corresponding products 3j–3q in satisfactory yields (61–81%). Moreover, for substrate 1r (both the meta-position and the para-position contain -OMe groups) and substrate 1s (a benzyl group attached to the N atom), the corresponding products for 3r and 3s were obtained as 58% and 55%, respectively. These results indicate that the mild reaction conditions are compatible with a wide range of functional groups.
Table 2.
Substrate scope of 1 a,b.
In view of the previous report on the visible light-induced tandem reaction of allene and selensulfonate24, the process is mainly due to photoinduced radical addition through energy transfer. Therefore, we tried to introduce different derivatives of TsSePh into our reaction system as the radical sources. As shown in Table 3, the corresponding target molecules 3t–3y were obtained in good yields (51–81%), indicating a wide functional group tolerance. Specifically, for the p-toluenesulfonyl part of 2, when methyl was replaced by -H, -OMe or halogen atom (-F, -Cl, -Br), the reaction proceeded smoothly in good yields (74–81%). Notably, derivatives of 2 bearing cyclopropyl or naphthalene were also compatible with this cascade reaction, affording the desired products 3w and 3x with 71% and 75% yields, respectively.
Table 3.
Synthesis of sulfone-containing quinoline-2,4(1H,3H)-diones a,b.
In addition, we also expanded the reaction from 1a to 3a on the gram level, and the reaction time was extended to 5 h, which still maintained a high yield of 3a (76%) (Scheme 1a). By using 3a as a starting material, the target product 4 could be obtained after sodium borohydride reduction (Scheme 1b) [31]. By using the Cu/NFSI system [32], efficient conversion of 3a from the tertiary amine to the secondary amine 5 was achieved (Scheme 1c). Both 4 with -OH and 5 with -NH can be used as very useful intermediates, as then other different functionalized molecules can be synthesized from 4 and 5.
Scheme 1.
Large-scale synthesis and derivatization study (a–c).
In the radical-trapping experiment, by adding the radical scavenger 2,2,6,6-tetramethylpiperidinyl-1-oxyl (TEMPO) to the cascade reaction, the target product 3a was only detected in trace amounts, and the adduct 6 was detected by NMR analysis (Scheme 2a). Likewise, this cascade was also inhibited when two other radical inhibitors 3,5-di-tert-butyl-4-hydroxytoluene (BHT) or 1,1-diphenylethylene were used, with the adducts 7 and 8 detected by NMR analysis (Scheme 2b,c). All these results indicate that this photocatalytic reaction had undergone a radical pathway, and sulfonyl-centered radical was involved during the transformation.
Scheme 2.
Radical-trapping experiment (a–c).
Based on the above results and previous reports [11], a plausible mechanism was proposed. As described in Scheme 3, Ts and SePh radicals were generated initially under visible irradiation. Subsequently, the addition of sulfonyl-centered radical to the double bond of 1a yielded the alkyl radical intermediate A, which then underwent intramolecular addition to polar cyano groups and gave the imino radical intermediate B. The intermediate imine C was obtained after the H-absorption of radical B. Finally, imine C was hydrolyzed by H2O to yield the target product 3a. Therefore, this mechanism shows that mixed solvent with water can significantly increase the yield.
Scheme 3.
Proposed reaction mechanism.
3. Materials and Methods
3.1. Materials and Instruments
All reagents were purchased from commercial sources and used without further purification. 1H-NMR, 13C-NMR, and 19F-NMR spectra were recorded on a Bruker Ascend™ 500 spectrometer in deuterated solvents containing TMS as an internal reference standard. All high-resolution mass spectra (HRMS) were measured on a mass spectrometer by using electrospray ionization orthogonal acceleration time-of-flight (ESI-OA-TOF), and the purity of all samples used for HRMS (>95%) was confirmed by 1H-NMR and 13C-NMR spectroscopic analysis. Melting points were measured on a melting point apparatus equipped with a thermometer and were uncorrected.
In these photochemical experiments, we used a 30-W blue LED (455–460 nm), with the reaction bottle 2 cm from the light source. All the reactions were monitored by thin-layer chromatography (TLC) using GF254 silica gel-coated TLC plates. Purification by flash column chromatography was performed over SiO2 (silica gel 200–300 mesh).
3.2. The General Procedure for the Synthesis of 3
In a reaction tube, acrylamides 1 (0.5 mmol) and PhSeSO2R 2 (1.2 equiv, 0.6 mmol) were mixed in CH3CN/H2O (2:1, 3 mL) and irradiated for 2 h until complete consumption of starting material, as monitored by TLC analysis. After the completion of the reaction, the mixture was quenched by NaHCO3 (sat. aq. 10 mL) and extracted with CH2Cl2 (3 × 10 mL). Then the organic solvent was concentrated in vacuo. The residue was purified by flash column chromatography with ethyl acetate and petroleum ether as eluent to product 3.
1,3-dimethyl-3-(tosylmethyl)quinoline-2,4(1H,3H)-dione (3a). The product was purified by column chromatography on silica gel (petroleum ether/ethyl acetate = 5:1, Rf = 0.25), white solid (95 mg, 89%): mp: 161–162 °C. 1H-NMR (500 MHz, CDCl3) δ 8.09 (dd, J = 7.7, 1.5 Hz, 1H), 7.84–7.61 (m, 3H), 7.41–7.18 (m, 4H), 4.22 (s, 2H), 3.54 (s, 3H), 2.43 (s, 3H), 1.41 (s, 3H). 13C-NMR (126 MHz, CDCl3) δ 194.28, 171.69, 144.52, 143.15, 138.64, 136.50, 129.63, 128.66, 127.83, 123.29, 119.23, 115.16, 62.40, 55.25, 30.14, 25.91, 21.65. HRMS (ESI) calculated for C19H20NO4S [M+H]+: 358.1108, found: 358.1103.
5-fluoro-1,3-dimethyl-3-(tosylmethyl)quinoline-2,4(1H,3H)-dione (3b). The product was purified by column chromatography on silica gel (petroleum ether/ethyl acetate = 5:1, Rf = 0.23), white solid (52 mg, 49%): mp: 206–207 °C. 1H-NMR (500 MHz, CDCl3) δ 7.74 (d, J = 8.3 Hz, 2H), 7.61 (td, J = 8.4, 5.8 Hz, 1H), 7.33 (d, J = 8.1 Hz, 2H), 7.05 (d, J = 8.5 Hz, 1H), 6.91 (dd, J = 9.9, 8.7 Hz, 1H), 4.19 (d, J = 17.0 Hz, 2H), 3.55 (s, 3H), 2.44 (s, 3H), 1.43 (s, 3H). 13C-NMR (126 MHz, CDCl3) δ 191.50, 171.31, 162.74 (d, J = 267.2 Hz), 144.53, 144.29 (d, J = 2.8 Hz), 138.79, 136.69 (d, J = 11.9 Hz), 129.68, 127.83, 111.46 (d, J = 21.3 Hz), 111.02 (d, J = 3.5 Hz), 109.09 (d, J = 9.0 Hz), 61.93, 56.31, 30.97, 25.43, 21.65. 19F-NMR (471 MHz, CDCl3) δ -109.25. HRMS (ESI) calculated for C19H19FNO4S [M+H]+: 376.1013, found: 376.1009.
5-chloro-1,3-dimethyl-3-(tosylmethyl)quinoline-2,4(1H,3H)-dione (3c). The product was purified by column chromatography on silica gel (petroleum ether/ethyl acetate = 5:1, Rf = 0.30), white solid (62 mg, 53%): mp: 182–183 °C. 1H-NMR (500 MHz, CDCl3) δ 7.79–7.67 (m, 2H), 7.46–7.41 (m, 1H), 7.32–7.25 (m, 2H), 7.20–7.17 (m, 1H), 7.12 (t, J = 9.1 Hz, 1H), 4.11 (d, J = 7.7 Hz, 2H), 3.49 (s, 3H), 2.37 (s, 3H), 1.34 (s, 3H). 13C-NMR (126 MHz, CDCl3) δ 190.97, 169.97, 143.88, 143.43, 138.00, 135.40, 133.79, 128.61, 126.86, 125.75, 116.13, 113.02, 60.77, 55.72, 30.06, 23.67, 20.62. HRMS (ESI) calculated for C19H19ClNO4S [M+H]+: 392.0718, found: 392.0710.
5-bromo-1,3-dimethyl-3-(tosylmethyl)quinoline-2,4(1H,3H)-dione (3d). The product was purified by column chromatography on silica gel (petroleum ether/ethyl acetate = 5:1, Rf = 0.30), white solid (67 mg, 51%): mp: 140–141 °C. 1H-NMR (500 MHz, CDCl3) δ 7.76 (d, J = 8.2 Hz, 2H), 7.48–7.40 (m, 2H), 7.34 (d, J = 8.1 Hz, 2H), 7.25–7.22 (m, 1H), 4.19 (d, J = 4.7 Hz, 2H), 3.55 (s, 3H), 2.44 (s, 3H), 1.40 (s, 3H). 13C-NMR (126 MHz, CDCl3) δ 192.19, 170.87, 145.01, 144.47, 139.04, 135.07, 130.43, 129.84, 129.65, 127.88, 123.89, 114.84, 61.80, 56.52, 31.03, 24.57, 21.66. HRMS (ESI) calculated for C19H19BrNO4S [M+H]+: 436.0213, found: 436.0200.
5-fluoro-1,3-dimethyl-3-(tosylmethyl)quinoline-2,4(1H,3H)-dione (3e). The product was purified by column chromatography on silica gel (petroleum ether/ethyl acetate = 5:1, Rf = 0.23), white solid (87 mg, 77%): mp: 135–136 °C. 1H-NMR (500 MHz, CDCl3) δ 7.69 (dd, J = 8.0, 3.1 Hz, 1H), 7.62 (d, J = 8.2 Hz, 2H), 7.31 (ddd, J = 9.2, 7.5, 3.1 Hz, 1H), 7.25 (d, J = 8.1 Hz, 2H), 7.15 (dd, J = 9.1, 4.0 Hz, 1H), 4.14 (d, J = 5.7 Hz, 2H), 3.46 (s, 3H), 2.36 (s, 3H), 1.34 (s, 3H). 13C-NMR (126 MHz, CDCl3) δ 193.60 (d, J = 1.6 Hz), 171.27, 158.58 (d, J = 245.4 Hz), 144.65, 139.61 (d, J = 1.9 Hz), 138.50, 129.69, 127.80, 123.49 (d, J = 23.3 Hz), 120.40 (d, J = 6.4 Hz), 117.06 (d, J = 7.2 Hz), 114.28 (d, J = 23.4 Hz), 62.54, 55.05, 30.41, 25.78, 21.65. 19F-NMR (471 MHz, CDCl3) δ −119.37. HRMS (ESI) calculated for C19H19FNO4S [M+H]+: 376.1013, found: 376.1009.
6-chloro-1,3-dimethyl-3-(tosylmethyl)quinoline-2,4(1H,3H)-dione (3f). The product was purified by column chromatography on silica gel (petroleum ether/ethyl acetate = 5:1, Rf = 0.23), white solid (93 mg, 79%): mp: 139–140 °C. 1H-NMR (500 MHz, CDCl3) δ 7.76 (d, J = 8.2 Hz, 2H), 7.49 (d, J = 7.8 Hz, 1H), 7.43 (d, J = 8.2 Hz, 1H), 7.34 (d, J = 8.1 Hz, 2H), 7.23 (d, J = 8.3 Hz, 1H), 4.19 (d, J = 4.8 Hz, 2H), 3.56 (s, 3H), 2.44 (s, 3H), 1.41 (s, 3H). 13C-NMR (126 MHz, CDCl3) δ 193.25, 171.76, 144.67, 142.85, 138.42, 130.05, 129.70, 127.77, 126.41, 123.59, 117.60, 115.53, 62.42, 55.21, 30.29, 25.82, 21.66. HRMS (ESI) calculated for C19H19ClNO4S [M+H]+: 392.0718, found: 392.0710.
5-bromo-1,3-dimethyl-3-(tosylmethyl)quinoline-2,4(1H,3H)-dione (3g). The product was purified by column chromatography on silica gel (petroleum ether/ethyl acetate = 5:1, Rf = 0.21), white solid (80 mg, 61%): mp: 148–149 °C. 1H-NMR (500 MHz, CDCl3) δ 8.00 (dd, J = 43.4, 8.3 Hz, 1H), 7.70 (d, J = 8.2 Hz, 2H), 7.44–7.20 (m, 4H), 4.20 (s, 2H), 3.53 (s, 3H), 2.44 (s, 3H), 1.41 (s, 3H). 13C-NMR (126 MHz, CDCl3) δ 193.22, 171.76, 144.63, 142.85, 138.49, 130.09, 129.69, 127.80, 126.55, 123.59, 118.42, 115.48, 62.51, 55.23, 30.28, 25.84, 21.66. HRMS (ESI) calculated for C19H19BrNO4S [M+H]+: 436.0213, found: 436.0200.
1,3,6-trimethyl-3-(tosylmethyl)quinoline-2,4(1H,3H)-dione (3h). The product was purified by column chromatography on silica gel (petroleum ether/ethyl acetate = 5:1, Rf = 0.23), white solid (80 mg, 72%): mp: 174–175 °C. 1H-NMR (500 MHz, CDCl3) δ 7.89 (d, J = 1.7 Hz, 1H), 7.71 (d, J = 8.3 Hz, 2H), 7.47 (dd, J = 8.4, 2.1 Hz, 1H), 7.31 (d, J = 8.2 Hz, 2H), 7.13 (d, J = 8.5 Hz, 1H), 4.21 (s, 2H), 3.51 (s, 3H), 2.43 (s, 3H), 2.38 (s, 3H), 1.40 (s, 3H). 13C-NMR (126 MHz, CDCl3) δ 194.48, 171.49, 144.45, 141.00, 138.68, 137.31, 133.01, 129.60, 128.53, 127.83, 119.02, 115.17, 62.42, 55.10, 30.09, 25.96, 21.65, 20.35. HRMS (ESI) calculated for C20H22NO4S [M+H]+: 372.1264, found: 372.1261.
6-methoxy-1,3-dimethyl-3-(tosylmethyl)quinoline-2,4(1H,3H)-dione (3i). The product was purified by column chromatography on silica gel (petroleum ether/ethyl acetate = 5:1, Rf = 0.24), yellow solid (82 mg, 71%): mp: 87–88 °C. 1H-NMR (500 MHz, CDCl3) δ 7.72 (d, J = 8.3 Hz, 2H), 7.57 (d, J = 3.1 Hz, 1H), 7.32 (d, J = 8.0 Hz, 2H), 7.28–7.24 (m, 1H), 7.17 (d, J = 9.0 Hz, 1H), 4.21 (d, J = 2.5 Hz, 2H), 3.87 (s, 3H), 3.52 (s, 3H), 2.44 (s, 3H), 1.41 (s, 3H). 13C-NMR (126 MHz, CDCl3) δ 194.39, 171.18, 155.59, 144.48, 138.63, 137.34, 129.62, 127.85, 124.52, 119.86, 116.70, 110.19, 62.50, 55.83, 54.94, 30.21, 26.05, 21.65. HRMS (ESI) calculated for C20H22NO5S [M+H]+: 383.1213, found: 383.1234.
7-fluoro-1,3-dimethyl-3-(tosylmethyl)quinoline-2,4(1H,3H)-dione (3j). The product was purified by column chromatography on silica gel (petroleum ether/ethyl acetate = 5:1, Rf = 0.21), yellow solid (86 mg, 76%): mp: 114–115 °C. 1H-NMR (500 MHz, CDCl3) δ 8.24–8.08 (m, 1H), 7.70 (d, J = 8.3 Hz, 2H), 7.32 (d, J = 8.2 Hz, 2H), 6.92 (d, J = 9.2 Hz, 2H), 4.20 (s, 2H), 3.52 (s, 3H), 2.44 (s, 3H), 1.41 (s, 3H). 13C-NMR (126 MHz, CDCl3) δ 192.79, 171.87, 167.81 (d, J = 256.5 Hz), 145.48 (d, J = 11.8 Hz), 144.62, 138.50, 131.67 (d, J = 11.4 Hz), 129.68, 127.79, 115.88 (d, J = 2.5 Hz), 110.75 (d, J = 22.4 Hz), 102.79 (d, J = 27.6 Hz), 62.44, 55.07, 30.32, 25.91, 21.66. 19F-NMR (471 MHz, CDCl3) δ −98.47. HRMS (ESI) calculated for C19H19FNO4S [M+H]+: 376.1013, found: 376.1008.
7-chloro-1,3-dimethyl-3-(tosylmethyl)quinoline-2,4(1H,3H)-dione (3k). The product was purified by column chromatography on silica gel (petroleum ether/ethyl acetate = 5:1, Rf = 0.23), yellow solid (84 mg, 71%): mp: 132–133 °C. 1H-NMR (500 MHz, CDCl3) δ 8.03 (d, J = 2.5 Hz, 1H), 7.69 (d, J = 8.2 Hz, 2H), 7.60 (dd, J = 8.8, 2.6 Hz, 1H), 7.33 (d, J = 8.3 Hz, 2H), 7.20 (d, J = 8.9 Hz, 1H), 4.21 (d, J = 2.3 Hz, 2H), 3.52 (s, 3H), 2.44 (s, 3H), 1.41 (s, 3H). 13C-NMR (126 MHz, CDCl3) δ 193.36, 171.35, 144.68, 141.69, 138.45, 136.11, 129.70, 129.06, 127.96, 127.77, 120.19, 116.96, 62.51, 55.21, 30.32, 25.73, 21.66. HRMS (ESI) calculated for C19H19ClNO4S [M+H]+: 392.0718, found: 392.0712.
7-bromo-1,3-dimethyl-3-(tosylmethyl)quinoline-2,4(1H,3H)-dione (3l). The product was purified by column chromatography on silica gel (petroleum ether/ethyl acetate = 5:1, Rf = 0.23), white solid (95 mg, 81%): mp: 174–175 °C. 1H-NMR (500 MHz, CDCl3) δ 7.95 (d, J = 8.3 Hz, 1H), 7.69 (d, J = 8.2 Hz, 2H), 7.41 (d, J = 0.8 Hz, 1H), 7.32 (d, J = 8.1 Hz, 3H), 4.20 (s, 2H), 3.53 (s, 3H), 2.43 (s, 3H), 1.40 (s, 3H). 13C-NMR (126 MHz, CDCl3) δ 193.42, 171.69, 144.63, 143.97, 138.48, 131.60, 129.97, 129.68, 127.79, 126.53, 118.43, 117.97, 62.49, 55.23, 30.28, 25.80, 21.66. HRMS (ESI) calculated for C19H19BrNO4S [M+H]+: 392.0718, found: 392.0710.
1,3,7-trimethyl-3-(tosylmethyl)quinoline-2,4(1H,3H)-dione (3m). The product was purified by column chromatography on silica gel (petroleum ether/ethyl acetate = 5:1, Rf = 0.22), white solid (83 mg, 74%): mp: 137–138 °C. 1H-NMR (500 MHz, CDCl3) δ 8.03–7.95 (m, 1H), 7.70 (d, J = 8.3 Hz, 2H), 7.31 (d, J = 8.2 Hz, 2H), 7.03 (s, 2H), 4.20 (s, 2H), 3.53 (s, 3H), 2.47 (s, 3H), 2.43 (s, 3H), 1.40 (s, 3H). 13C-NMR (126 MHz, CDCl3) δ 193.80, 171.94, 147.98, 144.44, 143.21, 138.68, 129.60, 128.71, 127.84, 124.34, 117.11, 115.60, 62.43, 54.98, 30.07, 26.08, 22.49, 21.65. HRMS (ESI) calculated for C20H22NO4S [M+H]+: 372.1264, found: 372.1261.
7-methoxy-1,3-dimethyl-3-(tosylmethyl)quinoline-2,4(1H,3H)-dione (3n). The product was purified by column chromatography on silica gel (petroleum ether/ethyl acetate = 5:1, Rf = 0.23), yellow solid (83 mg, 71%): mp: 192–193 °C. 1H-NMR (500 MHz, CDCl3) δ 7.72 (d, J = 8.3 Hz, 2H), 7.57 (d, J = 3.1 Hz, 1H), 7.32 (d, J = 8.0 Hz, 2H), 7.29–7.24 (m, 1H), 7.17 (d, J = 9.0 Hz, 1H), 4.21 (d, J = 2.4 Hz, 2H), 3.87 (s, 3H), 3.52 (s, 3H), 2.43 (s, 3H), 1.41 (s, 3H). 13C-NMR (126 MHz, CDCl3) δ 194.39, 171.17, 155.58, 144.48, 138.62, 137.33, 129.62, 127.85, 124.51, 119.85, 116.72, 110.20, 62.49, 55.83, 54.94, 30.20, 26.04, 21.65. HRMS (ESI) calculated for C20H22NO4S [M+H]+: 388.1213, found: 383.1235.
1,3-dimethyl-7-phenyl-3-(tosylmethyl)quinoline-2,4(1H,3H)-dione (3o). The product was purified by column chromatography on silica gel (petroleum ether/ethyl acetate = 5:1, Rf = 0.23), white solid (83 mg, 64%): mp: 100–101 °C. 1H-NMR (500 MHz, CDCl3) δ 8.16 (d, J = 8.0 Hz, 1H), 7.72 (d, J = 8.2 Hz, 2H), 7.64 (d, J = 7.3 Hz, 2H), 7.54–7.38 (m, 5H), 7.32 (d, J = 8.1 Hz, 2H), 4.23 (s, 2H), 3.62 (s, 3H), 2.44 (s, 3H), 1.45 (s, 3H). 13C-NMR (126 MHz, CDCl3) δ 193.94, 171.94, 149.61, 144.53, 143.54, 139.81, 138.63, 129.66, 129.28, 129.13, 128.92, 127.85, 127.44, 126.46, 122.34, 118.00, 113.87, 62.50, 55.16, 30.23, 26.04, 21.67. HRMS (ESI) calculated for C25H24NO4S [M+H]+: 434.1421, found: 434.1410.
7-(4-acetylphenyl)-1,3-dimethyl-3-(tosylmethyl)quinoline-2,4(1H,3H)-dione (3p). The product was purified by column chromatography on silica gel (petroleum ether/ethyl acetate = 5:1, Rf = 0.23), yellow solid (101 mg, 88%): mp: 192–193 °C. 1H-NMR (500 MHz, CDCl3) δ 8.19 (d, J = 8.0 Hz, 1H), 8.09 (d, J = 8.3 Hz, 2H), 7.73 (t, J = 8.0 Hz, 4H), 7.48–7.41 (m, 2H), 7.33 (d, J = 8.1 Hz, 2H), 4.24 (s, 2H), 3.63 (s, 3H), 2.66 (s, 3H), 2.44 (s, 3H), 1.45 (s, 3H). 13C-NMR (126 MHz, CDCl3) δ 197.54, 193.88, 171.85, 148.08, 144.59, 144.15, 143.62, 138.60, 137.06, 129.68, 129.42, 129.11, 127.81, 127.68, 122.35, 118.56, 114.03, 62.55, 55.22, 30.27, 26.77, 25.94, 21.67. HRMS (ESI) calculated for C27H26NO5S [M+H]+: 476.1526, found: 476.1520.
7-cyclopropyl-1,3-dimethyl-3-(tosylmethyl)quinoline-2,4(1H,3H)-dione (3q). The product was purified by column chromatography on silica gel (petroleum ether/ethyl acetate = 5:1, Rf = 0.22), white solid (73 mg, 61%): mp: 151–152 °C. 1H-NMR (500 MHz, CDCl3) δ 7.97 (d, J = 8.1 Hz, 1H), 7.70 (d, J = 8.3 Hz, 2H), 7.29 (t, J = 10.3 Hz, 2H), 6.93 (d, J = 0.7 Hz, 1H), 6.82 (dd, J = 8.1, 1.1 Hz, 1H), 4.19 (s, 2H), 3.54 (s, 3H), 2.43 (s, 3H), 2.04–1.95 (m, 1H), 1.40 (s, 3H), 1.19–1.10 (m, 2H), 0.91–0.82 (m, 2H). 13C-NMR (126 MHz, CDCl3) δ 193.58, 172.02, 154.61, 144.43, 143.24, 138.67, 129.59, 128.82, 127.84, 119.83, 116.96, 112.53, 62.42, 54.90, 30.05, 26.12, 21.65, 16.62, 10.77, 10.75. HRMS (ESI) calculated for C22H24NO4S [M+H]+: 398.1421, found: 398.1420.
1-benzyl-3-methyl-3-(tosylmethyl)quinoline-2,4(1H,3H)-dione (3r). The product was purified by column chromatography on silica gel (petroleum ether/ethyl acetate = 5:1, Rf = 0.21), white solid (72 mg, 55%): mp: 166–167 °C. 1H-NMR (500 MHz, CDCl3) δ 8.11 (dd, J = 7.8, 1.6 Hz, 1H), 7.74 (d, J = 8.3 Hz, 2H), 7.49 (s, 1H), 7.33 (ddd, J = 18.7, 10.8, 7.7 Hz, 6H), 7.25 (d, J = 4.6 Hz, 1H), 7.16 (d, J = 7.5 Hz, 1H), 7.08 (d, J = 8.4 Hz, 1H), 5.53–5.23 (m, 2H), 4.30 (s, 2H), 2.42 (s, 3H), 1.50 (s, 3H). 13C-NMR (126 MHz, CDCl3) δ 194.15, 172.30, 144.47, 142.28, 138.94, 136.33, 135.88, 129.65, 128.99, 128.81, 127.84, 127.41, 126.38, 123.37, 119.43, 116.15, 62.28, 55.78, 46.44, 25.92, 21.66. HRMS (ESI) calculated for C25H24NO4S [M+H]+: 434.1421, found: 434.1414.
6,7-dimethoxy-1,3-dimethyl-3-(tosylmethyl)quinoline-2,4(1H,3H)-dione (3s). The product was purified by column chromatography on silica gel (petroleum ether/ethyl acetate = 5:1, Rf = 0.23), yellow liquid (73 mg, 58%): mp: 180–181 °C. 1H-NMR (500 MHz, CDCl3) δ 7.71 (d, J = 8.3 Hz, 2H), 7.53 (s, 1H), 7.31 (d, J = 8.1 Hz, 2H), 6.67 (s, 1H), 4.19 (d, J = 6.5 Hz, 2H), 4.02 (s, 3H), 3.94 (s, 3H), 3.55 (s, 3H), 2.43 (s, 3H), 1.41 (s, 3H). 13C-NMR (126 MHz, CDCl3) δ 192.79, 172.08, 156.01, 145.42, 144.45, 139.45, 138.57, 129.61, 127.82, 111.92, 109.19, 98.39, 62.52, 56.41, 56.25, 54.40, 30.17, 26.49, 21.64. HRMS (ESI) calculated for C21H24NO6S [M+H]+: 418.1319, found: 418.1315.
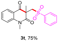
1,3-dimethyl-3-((phenylsulfonyl)methyl)quinoline-2,4(1H,3H)-dione (3t). The product was purified by column chromatography on silica gel (petroleum ether/ethyl acetate = 5:1, Rf = 0.23), white solid (77 mg, 75%): mp: 118–119 °C. 1H-NMR (500 MHz, CDCl3) δ 8.10 (dd, J = 7.7, 1.4 Hz, 1H), 7.85 (d, J = 7.4 Hz, 2H), 7.71–7.51 (m, 4H), 7.24 (dt, J = 9.8, 8.9 Hz, 2H), 4.24 (s, 2H), 3.55 (s, 3H), 1.43 (s, 3H). 13C-NMR (126 MHz, CDCl3) δ 194.26, 171.67, 143.15, 141.55, 136.53, 133.58, 129.03, 128.70, 127.81, 123.34, 119.23, 115.17, 62.21, 55.32, 30.16, 25.91. HRMS (ESI) calculated for C18H18NO4S [M+H]+: 344.0951, found: 344.0947.
3-(((4-bromophenyl)sulfonyl)methyl)-1,3-dimethylquinoline-2,4(1H,3H)-dione (3u). The product was purified by column chromatography on silica gel (petroleum ether/ethyl acetate = 5:1, Rf = 0.23), white solid (102 mg, 81%): mp: 174–175 °C. 1H-NMR (500 MHz, CDCl3) δ 8.09 (dd, J = 7.7, 1.5 Hz, 1H), 8.00 (d, J = 8.2 Hz, 2H), 7.82 (d, J = 8.3 Hz, 2H), 7.70 (s, 1H), 7.26 (dd, J = 8.0, 2.6 Hz, 2H), 4.27 (s, 2H), 3.56 (s, 3H), 1.43 (s, 3H). 13C-NMR (126 MHz, CDCl3) δ 194.26, 171.63, 145.11, 143.05, 136.68, 128.69, 128.54, 126.18, 126.15, 123.49, 119.13, 115.24, 61.82, 55.78, 30.20, 25.75. HRMS (ESI) calculated for C18H17BrNO4S [M+H]+: 422.0056, found: 422.0051.
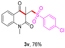
3-(((4-chlorophenyl)sulfonyl)methyl)-1,3-dimethylquinoline-2,4(1H,3H)-dione (3v). The product was purified by column chromatography on silica gel (petroleum ether/ethyl acetate = 5:1, Rf = 0.23), white solid (86 mg, 76%): mp: 180–181 °C. 1H-NMR (500 MHz, CDCl3) δ 8.08 (d, J = 7.6 Hz, 1H), 7.78 (d, J = 8.5 Hz, 2H), 7.68 (s, 1H), 7.50 (d, J = 8.5 Hz, 2H), 7.32–7.18 (m, 2H), 4.24 (s, 2H), 3.54 (s, 3H), 1.42 (s, 3H). 13C-NMR (126 MHz, CDCl3) δ 194.26, 171.63, 143.07, 140.25, 140.13, 136.64, 129.40, 129.31, 128.64, 123.41, 119.13, 115.24, 62.10, 55.60, 30.18, 25.82. HRMS (ESI) calculated for C18H16ClNNaO4S [M+H]+: 400.0381, found: 400.0411.
3-((cyclopropylsulfonyl)methyl)-1,3-dimethylquinoline-2,4(1H,3H)-dione (3w). The product was purified by column chromatography on silica gel (petroleum ether/ethyl acetate = 5:1, Rf = 0.25), yellow liquid (66 mg, 71%): mp: 153–155 °C. 1H-NMR (500 MHz, CDCl3) δ 8.08 (dd, J = 8.1, 1.7 Hz, 1H), 7.72–7.62 (m, 1H), 7.28–7.17 (m, 2H), 4.21 (d, J = 1.3 Hz, 2H), 3.53 (s, 3H), 2.70–2.58 (m, 1H), 1.46 (s, 3H), 1.24–1.15 (m, 2H), 1.00 (dd, J = 8.0, 2.0 Hz, 2H). 13C-NMR (126 MHz, CDCl3) δ 194.82, 172.13, 143.04, 136.48, 128.63, 123.33, 119.14, 115.14, 59.87, 55.72, 33.32, 30.14, 25.64, 5.13, 5.02. HRMS (ESI) calculated for C15H18NO4S [M+H]+: 308.0951, found: 308.0947.
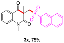
1,3-dimethyl-3-((naphthalen-2-ylsulfonyl)methyl)quinoline-2,4(1H,3H)-dione (3x). The product was purified by column chromatography on silica gel (petroleum ether/ethyl acetate = 5:1, Rf = 0.24), white solid (89 mg, 75%): mp: 135–136 °C. 1H-NMR (500 MHz, CDCl3) δ 8.35 (s, 1H), 8.08 (d, J = 7.3 Hz, 1H), 7.98 (d, J = 8.7 Hz, 1H), 7.91 (t, J = 7.3 Hz, 2H), 7.85 (dd, J = 8.6, 1.4 Hz, 1H), 7.72–7.53 (m, 3H), 7.21 (dd, J = 12.2, 5.4 Hz, 2H), 4.30 (s, 2H), 3.51 (s, 3H), 1.43 (s, 3H). 13C-NMR (126 MHz, CDCl3) δ 194.19, 171.61, 143.14, 138.20, 136.58, 135.30, 131.99, 129.66, 129.53, 129.42, 129.21, 128.67, 127.98, 127.53, 123.34, 122.63, 119.25, 115.20, 62.30, 55.17, 30.14, 26.09. HRMS (ESI) calculated for C22H20NO4S [M+H]+: 394.1180, found: 394.1094.
3-(((4-(tert-butyl)phenyl)sulfonyl)methyl)-1,3-dimethylquinoline-2,4(1H,3H)-dione (3y). The product was purified by column chromatography on silica gel (petroleum ether/ethyl acetate = 5:1, Rf = 0.25), white liquid (61 mg, 51%): mp: 95–96 °C. 1H-NMR (500 MHz, CDCl3) δ 8.11 (dd, J = 7.7, 1.6 Hz, 1H), 7.80–7.75 (m, 2H), 7.76–7.68 (m, 1H), 7.56–7.50 (m, 2H), 7.27–7.21 (m, 2H), 4.23 (s, 2H), 3.55 (s, 3H), 1.42 (s, 3H), 1.35 (s, 9H). 13C-NMR (126 MHz, CDCl3) δ 194.31, 171.73, 157.40, 143.17, 138.50, 136.47, 128.70, 127.69, 126.05, 123.29, 119.26, 115.15, 62.36, 55.26, 35.24, 31.09, 30.16, 25.89. HRMS (ESI) calculated for C22H26NO4S [M+H]+: 400.1577, found: 400.1572.
3-(((4-methoxyphenyl)sulfonyl)methyl)-1,3-dimethylquinoline-2,4(1H,3H)-dione (3z). The product was purified by column chromatography on silica gel (petroleum ether/ethyl acetate = 5:1, Rf = 0.25), white solid (83 mg, 74%): mp: 145–146 °C. 1H-NMR (500 MHz, CDCl3) δ 7.99 (dd, J = 7.7, 1.4 Hz, 1H), 7.66 (d, J = 8.9 Hz, 2H), 7.58 (s, 1H), 7.18–7.09 (m, 2H), 6.89 (d, J = 8.9 Hz, 2H), 4.13 (s, 2H), 3.77 (s, 3H), 3.44 (s, 3H), 1.33 (s, 3H). 13C-NMR (126 MHz, CDCl3) δ 194.33, 171.73, 163.63, 143.16, 136.49, 133.15, 130.05, 128.66, 123.28, 119.25, 115.15, 114.16, 62.63, 55.67, 55.26, 30.14, 25.92. HRMS (ESI) calculated for C19H19NO5S [M+H]+: 374.1057, found: 374.1052.
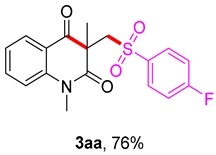
3-(((4-fluorophenyl)sulfonyl)methyl)-1,3-dimethylquinoline-2,4(1H,3H)-dione (3aa). The product was purified by column chromatography on silica gel (petroleum ether/ethyl acetate = 5:1, Rf = 0.21), white solid (83 mg, 76%): mp: 147-148 °C. 1H-NMR (500 MHz, CDCl3) δ 8.09 (dd, J = 7.7, 1.5 Hz, 1H), 7.92–7.79 (m, 2H), 7.72–7.64 (m, 1H), 7.29–7.16 (m, 4H), 4.25 (s, 2H), 3.55 (s, 3H), 1.42 (s, 3H). 13C-NMR (126 MHz, CDCl3) δ 194.30, 171.67, 165.73 (d, J = 255.8 Hz), 143.09, 137.69, 136.61, 130.78, 128.65, 123.40, 119.16, 116.27, 115.22, 62.21, 55.56, 30.17, 25.82. 19F-NMR (471 MHz, CDCl3) δ -103.92. HRMS (ESI) calculated for C18H17FNO5S [M+H]+: 362.0857, found: 362.0852.
4-hydroxy-1,3-dimethyl-3-(tosylmethyl)-3,4-dihydroquinolin-2(1H)-one (4). The product was purified by column chromatography on silica gel (petroleum ether/ethyl acetate = 5:1, Rf = 0.23), white solid (55 mg, 51%): mp: 96–97 °C. 1H-NMR (500 MHz, CDCl3) δ 7.85 (d, J = 8.3 Hz, 2H), 7.40 (ddd, J = 14.9, 7.3, 1.4 Hz, 4H), 7.14 (td, J = 7.5, 0.7 Hz, 1H), 7.02 (d, J = 8.1 Hz, 1H), 5.20 (d, J = 3.0 Hz, 1H), 3.79 (dd, J = 14.4, 9.6 Hz, 1H), 3.66 (d, J = 14.5 Hz, 2H), 3.35 (s, 3H), 2.47 (s, 3H), 1.41 (s, 3H). 13C-NMR (126 MHz, CDCl3) δ 171.34, 145.14, 138.50, 137.84, 130.04, 130.00, 129.82, 127.70, 124.55, 123.75, 114.70, 72.01, 58.52, 47.95, 30.14, 21.69, 20.59. HRMS (ESI) calculated for C19H22NO4S [M+H]+: 360.1264, found: 360.1259.
3-methyl-3-(tosylmethyl)quinoline-2,4(1H,3H)-dione (5). The product was purified by column chromatography on silica gel (petroleum ether/ethyl acetate = 5:1, Rf = 0.24), white solid (51 mg, 49%): mp: 141–142 °C. 1H-NMR (500 MHz, CDCl3) δ 9.70 (s, 1H), 8.04–7.99 (m, 1H), 7.76 (d, J = 8.3 Hz, 2H), 7.56–7.52 (m, 1H), 7.29 (d, J = 8.1 Hz, 2H), 7.18 (t, J = 7.5 Hz, 1H), 6.98 (d, J = 8.0 Hz, 1H), 4.26 (dd, J = 29.7, 14.1 Hz, 2H), 2.36 (s, 3H), 1.48 (s, 3H). 13C-NMR (126 MHz, CDCl3) δ 194.31, 173.37, 144.65, 140.74, 138.52, 136.36, 129.72, 128.23, 127.84, 123.70, 117.99, 116.82, 61.91, 55.07, 25.58, 21.59. HRMS (ESI) calculated for C18H18NO4S [M+H]+: 344.0951, found: 344.0947.
4. Conclusions
In summary, we achieved a visible light-promoted cascade sulfonylation/cyclization reaction by using selenosulfonates as sulfonyl-centered radical sources. Various structurally diverse N-heterocycles quinoline-2,4-diones were obtained under metal-free/photocatalyst-free conditions. Large-scale synthesis and derivatization study via carbonyl reduction to produce easily modified hydroxyl groups and convenient N-Ts deprotection showed the potential utility of this strategy. Through radical-trapping experiments, the rational mechanism is proposed. It is envisaged that this reaction may be useful for the synthesis of more complicated sulfone-containing heterocyclic compounds.
Supplementary Materials
The following supporting information can be downloaded at: https://www.mdpi.com/article/10.3390/molecules28073137/s1, copies of 1H-NMR, 13C-NMR, and 19F-NMR spectra of the products are included in the Supporting Information.
Author Contributions
Y.Z. and F.L. contributed equally to this work. G.Q. and D.Z. performed the experiments, and M.T. prepared the supporting information. K.S. supervised the project, provided resources, and wrote the manuscript. All authors have read and agreed to the published version of the manuscript.
Funding
This work was supported by the National Natural Science Foundation of China (21801007).
Institutional Review Board Statement
Not applicable.
Informed Consent Statement
Not applicable.
Data Availability Statement
The data presented in this study are available in the article and Supplementary Material.
Conflicts of Interest
The authors declare no conflict of interest.
Sample Availability
Samples of the compounds 3a–3aa are available from the authors.
References
- Han, S.; Zhang, F.F.; Qian, H.Y.; Chen, L.L.; Pu, J.B.; Xie, X.; Chen, J.Z. Development of Quinoline-2,4(1H,3H)-diones as Potent and Selective Ligands of the Cannabinoid Type 2 Receptor. J. Med. Chem. 2015, 58, 5751–5769. [Google Scholar] [CrossRef] [PubMed]
- Liu, Y.X.; Zhao, H.P.; Wang, Z.W.; Li, Y.H.; Song, H.B.; Riches, H.; Beattie, D.; Gu, Y.C.; Wang, Q.M. The Discovery of 3-(1-aminoethylidene)quinoline-2,4(1H,3H)-dione Derivatives as Novel PSII Electron Transport Inhibitors. Mol. Divers. 2013, 17, 701–710. [Google Scholar] [CrossRef] [PubMed]
- Klásek, A.; Mrkvička, V.; Pevec, A.; Košmrlj, J. Novel Tandem Hydration/Cyclodehydration of α-Thiocyanatoketones to 2-Oxo-3-thiazolines. Application to Thiazolo[5,4-c]quinoline-2,4(3aH,5H)-dione Synthesis. J. Org. Chem. 2004, 69, 5646–5651. [Google Scholar] [CrossRef] [PubMed]
- Jung, E.J.; Park, B.H.; Lee, Y.R. Environmentally Benign, One-pot Synthesis of Pyrans by Domino Knoevenagel/6π-electrocyclization in Water and Application to Natural Products. Green Chem. 2010, 12, 2003–2011. [Google Scholar] [CrossRef]
- Antolak, S.A.; Yao, Z.K.; Richhoux, G.M.; Slebodnick, C.; Carlier, P.R. Enantioselective Deprotonative Ring Contraction of N1-Methyl-N4-Boc-benzo[e][1,4]diazepine-2,5-diones. Org. Lett. 2014, 16, 5204–5207. [Google Scholar] [CrossRef] [PubMed]
- Zografos, A.L.; Mitsos, C.A.; Igglessi-Markopoulou, O. One-Step Synthesis for the Preparation of Quinoline Alkaloid Analogues. Org. Lett. 1999, 1, 1953–1955. [Google Scholar] [CrossRef]
- Shin, Y.S.; Song, S.J.; Kang, S.U.; Hwang, H.S.; Jung, Y.S.; Kim, C.H. Novel Synthetic Protective Compound, KR-22335, Against Cisplatin-induced Auditory Cell Death. J. Appl. Toxicol. 2014, 34, 191–204. [Google Scholar] [CrossRef] [PubMed]
- Yang, T.; Xia, W.J.; Shang, J.Q.; Li, Y.; Wang, X.X.; Sun, M.; Li, Y.M. Metal-Free Radical [2+2+1] Cyclization of ortho-Cyanoarylacrylamides with Alkyl Nitriles: Synthesis of Pyrrolo[3,2-c]quinolines. Org. Lett. 2019, 21, 444–447. [Google Scholar] [CrossRef] [PubMed]
- Clegg, W.; Davies, R.P.; Dunbar, L.; Feeder, N.; Liddle, S.T.; Mulvey, R.E.; Snaith, R.; Wheatley, A.E.H. Lithiated Organophosphorus Enamines: A New Synthetic Approach and the First Crystal Structures. Chem. Commun. 1999, 1999, 1401–1402. [Google Scholar] [CrossRef]
- Malamas, M.S.; Erdei, J.; Gunawan, I.; Barnes, K.; Johnson, M.; Hui, Y.; Turner, J.; Hu, Y.; Wagner, E.; Fan, K.; et al. Aminoimidazoles as Potent and Selective Human β-Secretase (BACE1) Inhibitors. J. Med. Chem. 2009, 52, 6314–6323. [Google Scholar] [CrossRef]
- Zhou, C.; Larock, R.C. Synthesis of Aryl Ketones by the Pd-Catalyzed C−H Activation of Arenes and Intermolecular Carbopalladation of Nitriles. J. Am. Chem. Soc. 2004, 126, 2302–2303. [Google Scholar] [CrossRef] [PubMed]
- Miura, T.; Nakazawa, H.; Murakami, M. Intramolecular Nucleophilic Addition of An Organorhodium(I) To A Nitrile. Chem. Commun. 2005, 2855–2856. [Google Scholar] [CrossRef] [PubMed]
- Fallis, A.G.; Brinza, I.M. Free Radical Cyclizations Involving Nitrogen. Tetrahedron 1997, 53, 17543–17594. [Google Scholar] [CrossRef]
- Kim, S. Free Radical-Mediated Acylation and Carboxylation Reactions. Adv. Synth. Catal. 2004, 346, 19–32. [Google Scholar] [CrossRef]
- Yamamoto, Y.; Matsumi, D.; Hattori, R.; Itoh, K. The Cp2TiPh-Mediated Reductive Radical Cyclization of Cyanoketones and Related Reactions. Efficient Trapping of Ketyl Radicals by Cp2TiPh-Coordinated Polar Multiple Bonds. J. Org. Chem. 1999, 64, 3224–3229. [Google Scholar] [CrossRef]
- Streuff, J.; Feurer, M.; Bichovski, P.; Frey, G.; Gellrich, U. Enantioselective Titanium(III)-Catalyzed Reductive Cyclization of Ketonitriles. Angew. Chem. Int. Ed. 2012, 51, 8661–8664. [Google Scholar] [CrossRef]
- Xiong, L.; Hu, H.; Wei, C.W.; Yu, B. Radical Reactions for the Synthesis of 3-Substituted Chroman-4-ones. Eur. J. Org. Chem. 2020, 2020, 1588–1597. [Google Scholar] [CrossRef]
- Ye, S.; Qiu, G.; Wu, J. Inorganic Sulfites As The Sulfur Dioxide Surrogates In Sulfonylation Reactions. Chem. Commun. 2019, 55, 1013–1019. [Google Scholar] [CrossRef]
- Hübner, S.; de Vries, J.G.; Farina, V. Why Does Industry Not Use Immobilized Transition Metal Complexes as Catalysts? Synth. Catal. 2016, 358, 3–25. [Google Scholar] [CrossRef]
- Wang, X.; Meng, J.P.; Zhao, D.Y.; Tang, S.; Sun, K. Synthesis and Applications of Thiosulfonates and Selenosulfonates as Free-Rradical Reagents. Chin. Chem. Lett. 2022, 34, 107736. [Google Scholar] [CrossRef]
- Wang, S.S.; Fu, H.; Shen, Y.H.; Sun, M.; Li, Y.M. Oxidative Radical Addition/Cyclization Cascade for the Construction of Carbonyl-Containing Quinoline-2,4(1H,3H)-Diones. J. Org. Chem. 2016, 81, 2920–2929. [Google Scholar] [CrossRef] [PubMed]
- Xie, L.Y.; Peng, S.; Yang, L.H.; Peng, C.; Lin, Y.W.; Yu, X.Y.; Cao, Z.; Peng, Y.Y.; He, W.M. Aryl Acyl Peroxides for Visible-light Induced Decarboxylative Arylation of Quinoxalin-2(1H)-ones under Additive-, External Photosensitizer-free and Ambient Conditions. Green Chem. 2021, 23, 374–378. [Google Scholar] [CrossRef]
- Yang, D.S.; Yan, Q.L.; Zhu, E.J.; Lv, J.; He, W.M. Carbon-sulfur bond formation via photochemical strategies: An efficient method for the synthesis of sulfur-containing compounds. Chin. Chem. Lett. 2022, 33, 1798–1816. [Google Scholar] [CrossRef]
- Fan, T.; Ma, X.; Liu, Y.; Jiang, C.; Xu, Y.; Chen, Y. Visible-Light-Induced Tandem Reaction of Allenes with Selenesulfonates Leading to (E)-2,3-Disulfonylpropene Derivatives. J. Org. Chem. 2022, 87, 5846–5855. [Google Scholar] [CrossRef] [PubMed]
- Li, R.; Chen, X.; Wei, S.; Sun, K.; Fan, L.; Liu, Y.; Qu, L.; Zhao, Y.; Yu, B. A Visible-Light-Promoted Metal-Free Strategy towards Arylphosphonates: Organic-Dye-Catalyzed Phosphorylation of Arylhydrazines with Trialkylphosphites. Adv. Synth. Catal. 2018, 360, 4807. [Google Scholar] [CrossRef]
- He, S.; Chen, X.; Zeng, F.; Lu, P.; Peng, Y.; Qu, L.; Yu, B. Visible-light-promoted Oxidative Decarboxylation of Arylacetic Acids in Air: Metal-free Synthesis of Aldehydes and Ketones at Room Temperature. Chin. Chem. Lett. 2020, 31, 1863–1867. [Google Scholar] [CrossRef]
- Jakubec, M.; Ghosh, I.; Storch, J.; König, B. Photochemical Functionalization of Helicenes. Chem. Eur. J. 2020, 26, 543–547. [Google Scholar] [CrossRef]
- Zhou, Q.Q.; Düsel, S.J.S.; Lu, L.Q.; König, B.; Xiao, W.J. Alkenylation Of Unactivated Alkyl Bromides Through Visible Light Photocatalysis. Chem. Commun. 2019, 55, 107–110. [Google Scholar] [CrossRef]
- Yang, T.; Xia, W.J.; Zhou, B.; Xin, Y.C.; Shen, Y.H.; Li, Y.M. The Cascade Methylation/Cyclization of ortho-Cyanoarylacrylamides with Dicumyl Peroxide. Eur. J. Org. Chem. 2019, 33, 5749–5755. [Google Scholar] [CrossRef]
- Lia, W.Y.; Zhou, L. Visible-light-driven Radical 1,3-addition Of Selenosulfonates To Vinyldiazo Compounds. Green Chem. 2021, 23, 6652–6658. [Google Scholar] [CrossRef]
- Basu, D.; Chandrasekharam, M.; Mainkar, P.S.; Chandrasekhar, S. A Synthetic Approach to Terpendoles: Decahydrobenzo[f]chromenes by an Intermolecular Diels-Alder Route. ARKIVOC 2011, 2, 355–362. [Google Scholar] [CrossRef]
- Yi, X.W.; Lei, S.Y.; Liu, W.S.; Che, F.R.; Yu, C.Z.; Liu, X.S.; Wang, Z.H.; Zhou, X.; Zhang, Y.X. Copper-Catalyzed Radical N-Demethylation of Amides Using N-Fluorobenzenesulfonimide as an Oxidant. Org. Lett. 2020, 22, 4583–4587. [Google Scholar] [CrossRef] [PubMed]
Disclaimer/Publisher’s Note: The statements, opinions and data contained in all publications are solely those of the individual author(s) and contributor(s) and not of MDPI and/or the editor(s). MDPI and/or the editor(s) disclaim responsibility for any injury to people or property resulting from any ideas, methods, instructions or products referred to in the content. |
© 2023 by the authors. Licensee MDPI, Basel, Switzerland. This article is an open access article distributed under the terms and conditions of the Creative Commons Attribution (CC BY) license (https://creativecommons.org/licenses/by/4.0/).



























































