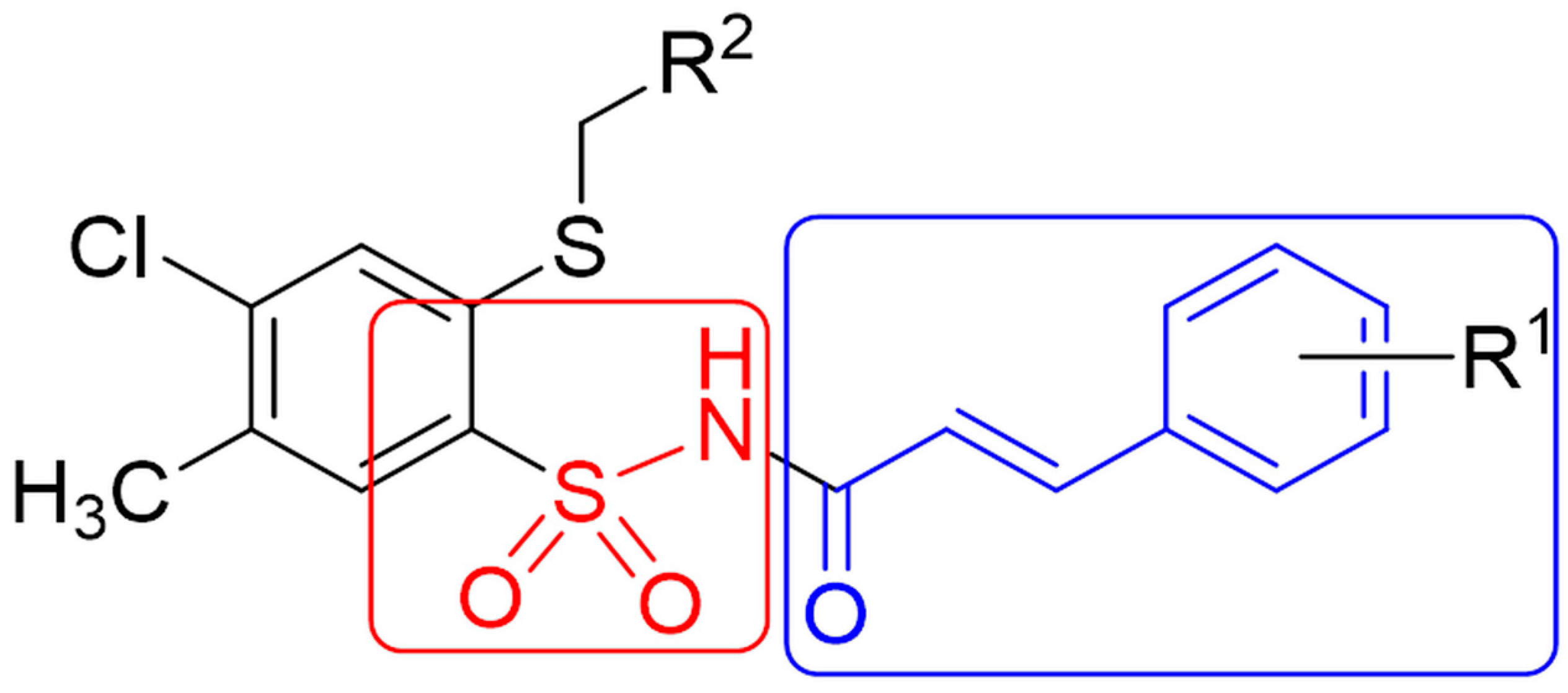
An In Vitro Antimicrobial, Anticancer and Antioxidant Activity of N–[(2–Arylmethylthio)phenylsulfonyl]cinnamamide Derivatives
Abstract
1. Introduction
2. Results and Discussions
2.1. Chemistry
2.2. Biological Studies
2.2.1. Antimicrobial Activity
Minimum Inhibitory Concentration Determination
Inhibition of Biofilm Formation by Cinnamic Acid Derivatives
Blood Bacteriostatic Activity Tests
2.2.2. Cytotoxic Activity
Hemolysis Assay
Anticancer Activity
2.2.3. Antiradical Activity
3. Materials and Methods
3.1. Antimicrobial Study
3.1.1. Materials
3.1.2. Minimum Inhibitory Concentration Determination
3.1.3. Inhibition of Biofilm Formation by the Cinnamic Acid Derivatives
3.1.4. Blood Bacteriostatic Activity Tests
3.2. In Vitro Cytotoxicity Studies
3.2.1. Hemolysis Assay
3.2.2. Cell Culture
3.2.3. MTT Assay
3.3. Antioxidant
3.3.1. Materials
3.3.2. DPPH Assay
3.3.3. ABTS Assay
3.4. Synthesis
3.4.1. 4–Chloro–5–methyl–2–[(naphthalen–1–yl)methylthio]benzenesulfonamide (2)
3.4.2. 4–Chloro–2-[(6–chlorobenzo[d][1,3]dioxol–5–yl)methylthio]–5–methylbenzenesulfonamide (3)
3.4.3. Synthesis of N–{[4–chloro–5–methyl–2–(naphthalen–1–ylmethylthio)phenyl]sulfonyl}cinnamamide derivatives (16a–16f)
N–[4–Chloro–5–methyl–2–(naphthalen–1–ylmethylthio)benzenesulfonyl]cinnamamide (16a) [29,30]
(E)–3–(4–Bromophenyl)–N–{[4–chloro–5–methyl–2–(naphthalen–1–yl)methylthio]phenylsulfonyl}acrylamide (16b)
(E)–N–{4–Chloro–5–methyl–2–[(naphthalen–1–yl)methylthio]phenylsulfonyl}–3–(4–fluorophenyl)acrylamide (16c)
(E)–N–{4–Chloro–5–methyl–2–[(naphthalen–1–yl)methylthio]phenylsulfonyl}–3–(4–chlorophenyl)acrylamide (16d)
(E)–N–{4–Chloro–5–methyl–2–[(naphthalen–1–yl)methylthio]phenylsulfonyl}–3–(3–fluoro–4–methoxyphenyl)acrylamide (16e)
(E)–N–{4–Chloro–5–methyl–2–[(naphthalen–1–yl)methylthio]phenylsulfonyl}–3–(4–nitrophenyl)acrylamide (16f)
3.4.4. Synthesis of N–{[4–chloro–2–(6–chlorobenzo[d][1,3]dioxol–5–yl)methylthio-5–methylphenyl]sulfonyl}cinnamamide derivatives (17a–17d)
(E)-3-(4-Bromophenyl)-N-{4-chloro-2-[(6-chlorobenzo[d][1,3]dioxol-5-yl)methylthio]-5-methylphenylsulfonyl}acrylamide (17a)
(E)–N–{4–Chloro–2–[(6–chlorobenzo[d][1,3]dioxol–5–yl)methylthio]–5–methylphenylsulfonyl}–3–(4–fluorophenyl)acrylamide (17b)
(E)–N–{4–Chloro–2–[(6–chlorobenzo[d][1,3]dioxol–5–yl)methylthio]–5–methylphenylsulfonyl}–3–(4–chlorophenyl)acrylamide (17c)
(E)–N–{4–Chloro–2–[(6–chlorobenzo[d][1,3]dioxol–5–yl)methylthio]–5–methylphenylsulfonyl}–3–(4–nitrophenyl)acrylamide (17d)
3.5. Evaluation of Maximum Absorbance of the Compounds
4. Conclusions
Supplementary Materials
Author Contributions
Funding
Institutional Review Board Statement
Informed Consent Statement
Data Availability Statement
Acknowledgments
Conflicts of Interest
Sample Availability
References
- Bhatt, A. Evolution of clinical research: A history before and beyond James Lind. Perspect. Clin. Res. 2010, 1, 6–10. [Google Scholar]
- Chandra, S.; Roy, A.; Jana, M.; Pahan, K. Cinnamic acid activates PPARα to stimulate Lysosomal biogenesis and lower Amyloid plaque pathology in an Alzheimer’s disease mouse model. Neurobiol. Dis. 2019, 124, 379–395. [Google Scholar] [CrossRef]
- Altomare, A.; Fiore, M.; D’Ercole, G.; Imperia, E.; Nicolosi, R.M.; Della Posta, S.; Pasqua, G.; Cicala, M.; De Gara, L.; Ramella, S.; et al. Protective Role of Natural Compounds under Radiation-Induced Injury. Nutrients 2022, 14, 5374. [Google Scholar] [CrossRef] [PubMed]
- Guzman, J.D. Natural cinnamic acids, synthetic derivatives and hybrids with antimicrobial activity. Molecules 2014, 19, 19292–19349. [Google Scholar] [CrossRef] [PubMed]
- Malheiro, J.F.; Maillard, J.Y.; Borges, F.; Simoes, M. Evaluation of cinnamaldehyde and cinnamic acid derivatives in microbial growth control. Int. Biodeterior. Biodegrad. 2019, 141, 71–78. [Google Scholar] [CrossRef]
- Pontiki, E.; Hadjipavlou-Litina, D.; Litinas, K.; Geromichalos, G. Novel Cinnamic Acid Derivatives as Antioxidant and Anticancer Agents: Design, Synthesis and Modeling Studies. Molecules 2014, 19, 9655–9674. [Google Scholar] [CrossRef]
- Reddy, N.D.; Shoja, M.H.; Biswas, S.; Nayak, P.G.; Kumar, N.; Rao, C.M. An appraisal of cinnamyl sulfonamide hydroxamate derivatives (HDAC inhibitors) for anti-cancer, anti-angiogenic and anti-metastatic activities in human cancer cells. Chem. Biol. Interact. 2016, 253, 112–124. [Google Scholar] [CrossRef]
- Foti, M.; Piattelli, M.; Baratta, M.T.; Ruberto, G. Flavonoids, Coumarins, and Cinnamic Acids as Antioxidants in a Micellar System. Structure− Activity Relationship. J. Agric. Food Chem. 1996, 44, 497–501. [Google Scholar] [CrossRef]
- Sova, M. Antioxidant and antimicrobial activities of cinnamic acid derivatives. Mini Rev. Med. Chem. 2012, 12, 749–767. [Google Scholar] [CrossRef]
- Wang, R.; Yang, W.; Fan, Y.; Dehaen, W.; Li, Y.; Li, H.; Wang, W.; Zheng, Q.; Huai, Q. Design and synthesis of the novel oleanolic acid-cinnamic acid ester derivatives and glycyrrhetinic acid-cinnamic acid ester derivatives with cytotoxic properties. Bioorg. Chem. 2019, 88, 102951. [Google Scholar] [CrossRef]
- Feng, L.S.; Cheng, J.B.; Su, W.Q.; Li, H.Z.; Xiao, T.; Chen, D.A.; Zhang, Z.L. Cinnamic acid hybrids as anticancer agents: A mini-review. Arch. Pharm. 2022, 355, 2200052. [Google Scholar] [CrossRef]
- Szwajgier, D.; Borowiec, K.; Pustelniak, K. The Neuroprotective Effects of Phenolic Acids: Molecular Mechanism of Action. Nutrients 2017, 10, 477. [Google Scholar] [CrossRef] [PubMed]
- Lee, A.G.; Kang, S.; Im, S.; Pak, Y.K. Cinnamic acid attenuates peripheral and hypothalamic inflammation in high-fat diet-induced obese mice. Pharmaceutics 2022, 14, 1675. [Google Scholar] [CrossRef] [PubMed]
- Mnafgui, K.; Derbali, A.; Sayadi, S.; Gharsallah, N.; Elfeki, A.S.; Allouche, N. Anti-obesity and cardioprotective effects of cinnamic acid in high fat diet- induced obese rats. J. Food Sci. Technol. 2015, 52, 4369–4377. [Google Scholar] [CrossRef] [PubMed]
- Adisakwattana, S. Cinnamic acid and its derivatives: Mechanisms for prevention and management of diabetes and its complications. Nutrients 2017, 9, 163. [Google Scholar] [CrossRef] [PubMed]
- Hafizur, R.M.; Hameed, A.; Shukrana, M.; Raza, S.A.; Chishti, S.; Kabir, N.; Siddiqui, R.A. Cinnamic acid exerts anti-diabetic activity by improving glucose tolerance in vivo and by stimulating insulin secretion in vitro. Phytomedicine 2015, 22, 297–300. [Google Scholar] [CrossRef]
- Azevedo-Barbosa, H.; Dias, D.F.; Lopardi, F.L.; Hawkes, J.A.; Carvalho, D.T. From Antibacterial to Antitumour Agents: A Brief Review on The Chemical and Medicinal Aspects of Sulfonamides. Mini Rev. Med. Chem. 2020, 20, 2052–2066. [Google Scholar] [CrossRef] [PubMed]
- Carta, F.; Scozzafava, A.; Supuran, C.T. Sulfonamides: A patent review (2008–2012). Expert Opin. Ther. Pat. 2012, 22, 747–758. [Google Scholar] [CrossRef]
- Romagnoli, R.; Baraldi, P.G.; Salvador, M.K.; Chayah, M.; Camacho, M.E.; Prencipe, F.; Hamel, E.; Consolaro, F.; Basso, G.; Viola, G. Design, synthesis and biological evaluation of arylcinnamide hybrid derivatives as novel anticancer agents. Eur. J. Med. Chem. 2014, 81, 394–407. [Google Scholar] [CrossRef]
- Luo, Y.; Zhou, Y.; Song, Y.; Chen, G.; Wang, Y.X.; Tian, Y.; Fan, W.W.; Yang, Y.S.; Cheng, T.; Zhu, H.L. Optimization of substituted cinnamic acyl sulfonamide derivatives as tubulin polymerization inhibitors with anticancer activity. Bioorg. Med. Chem. 2018, 28, 3634–3638. [Google Scholar] [CrossRef]
- Peperidou, A.; Pontiki, E.; Hadjipavlou-Litina, D.; Voulgari, E.; Avgoustakis, K. Multifunctional Cinnamic Acid Derivatives. Molecules 2017, 22, 1247. [Google Scholar] [CrossRef] [PubMed]
- Clinical Trials. Available online: http://clinicaltrials.gov (accessed on 20 March 2023).
- Wang, L.; Wu, Z.; Xia, Y.; Lu, X.; Li, J.; Fan, L.; Qiao, C.; Qiu, H.; Gu, D.; Xu, W.; et al. Single-cell profiling-guided combination therapy of c-Fos and histone deacetylase inhibitors in diffuse large B-cell lymphoma. Clin. Transl. Med. 2022, 12, 798. [Google Scholar] [CrossRef]
- Niu, Z.; Jin, R.; Zhang, Y.; Li, H. Signaling pathways and targeted therapies in lung squamous cell carcinoma: Mechanisms and clinical trials. Signal Transduct. Target Ther. 2022, 7, 98. [Google Scholar] [CrossRef]
- Duval, R.E.; Grare, M.; Demoré, B. Fight Against Antimicrobial Resistance: We Always Need New Antibacterials but for Right Bacteria. Molecules 2019, 24, 3152. [Google Scholar] [CrossRef] [PubMed]
- Liu, S.; Fang, R.; Zhang, Y.; Chen, L.; Huang, N.; Yu, K.; Zhou, C.; Cao, J.; Zhou, T. Characterization of resistance mechanisms of Enterobacter cloacae Complex co-resistant to carbapenem and colistin. BMC Microbiol. 2021, 21, 208. [Google Scholar] [CrossRef] [PubMed]
- Eger, E.; Schwabe, M.; Schulig, L.; Hübner, N.-O.; Bohnert, J.A.; Bornscheuer, U.T.; Heiden, S.H.; Müller, J.U.; Adnan, F.; Becker, K.; et al. Extensively Drug-Resistant Klebsiella pneumoniae Counteracts Fitness and Virulence Costs That Accompanied Ceftazidime-Avibactam Resistance Acquisition. Microbiol. Spectr. 2022, 29, 3. [Google Scholar] [CrossRef]
- Liu, W.T.; Chen, E.Z.; Yang, L.; Peng, C.; Wang, Q.; Xu, Z.; Chen, D.Q. Emerging resistance mechanisms for 4 types of common anti-MRSA antibiotics in Staphylococcus aureus: A comprehensive review. Microb. Pathog. 2021, 156, 104915. [Google Scholar] [CrossRef]
- Żołnowska, B.; Sławiński, J.; Belka, M.; Bączek, T.; Kawiak, A.; Chojnacki, J.; Pogorzelska, A.; Szafrański, K. Synthesis, molecular structure, metabolic stability and QSAR studies of a novel series of anticancer N-acylbenzenesulfonamides. Molecules 2015, 20, 19101–19129. [Google Scholar] [CrossRef]
- Żołnowska, B.; Sławiński, J.; Garbacz, K.; Jarosiewicz, M.; Kawiak, A. N-(2-Arylmethylthio-4-Chloro-5-Methylbenzenesulfonyl)amide derivatives as potential antimicrobial agents—Synthesis and biological studies. Int. J. Mol. Sci. 2020, 21, 210. [Google Scholar] [CrossRef]
- Sławiński, J.; Żołnowska, B.; Orlewska, C.; Chojnacki, J. Synthesis and molecular structure of novel 2-(alkylthio)-4-chloro-N-(4,5-dihydro-5-oxo-1H-1,2,4-triazol-3-yl)-5-methylbenzenesulfonamides with potential anticancer activity. Monatsh. Chem. 2012, 143, 1705–1718. [Google Scholar] [CrossRef]
- Żołnowska, B.; Sławiński, J.; Szafrański, K.; Angeli, A.; Supuran, C.; Kawiak, A.; Wieczór, M.; Zielińska, J.; Bączek, T.; Bartoszewska, S. Novel 2-(2-arylmethylthio-4-chloro-5-methylbenzenesulfonyl)-1-(1,3,5-triazin-2-ylamino)guanidine derivatives: Inhibition of human carbonic anhydrase cytosolic isozymes I and II and the transmembrane tumor-associated isozymes IX and XII, anticancer activity, and molecular modeling studies. Eur. J. Med. Chem. 2018, 143, 1931–1941. [Google Scholar] [PubMed]
- Sławiński, J.; Brzozowski, Z. 1,1-Dioxo-1,4,2-benzodithiazine derivatives. II Synthesis of some 3-mercapto-1,1-dioxo-1,4,2-benzodithiazine derivatives. Acta Pol. Pharm. 1984, 41, 133–139. [Google Scholar]
- Luo, L.Y.Y.; Zhu, Y.; Ran, K.; Liu, Z.; Wang, N.; Feng, Q.; Zeng, J.; Zhang, L.; He, B.; Ye, T.; et al. Synthesis and biological evaluation of N-(4-phenylthiazol-2-yl)cinnamamide derivatives as novel potential anti-tumor agents. Med. Chem. Commun. 2015, 6, 1036. [Google Scholar] [CrossRef]
- Zhang, D.Y.P.; Hu, H.; Bian, S.; Huang, Z.; Chu, Y. Design, synthesis and biological evaluation of benzothiazepinones (BTZs) as novel non-ATP competitive inhibitors of glycogen synthase kinase-3β (GSK-3β). Eur. J. Med. Chem. 2013, 368, 95. [Google Scholar] [CrossRef]
- Fiorito, F.E.S.; Taddeo, V.A.; Genovese, S. A green chemical synthesis of coumarin-3-carboxylic and cinnamic acids using crop-derived products and waste waters as solvents. Tetrahedron Lett. 2016, 53, 4795. [Google Scholar] [CrossRef]
- Luo, Y.; Qiu, K.M.; Lu, X.; Liu, K.; Fu, J.; Zhu, H.L. Synthesis, biological evaluation, and molecular modeling of cinnamic acyl sulfonamide derivatives as novel antitubulin agents. Bioorg. Med. Chem. 2011, 19, 4730–4738. [Google Scholar] [CrossRef]
- Huang, Q.-S.; Zhu, Y.-J.; Li, H.-L.; Zhuang, J.-X.; Zhang, C.-L.; Zhou, J.-J.; Li, W.-G.; Chen, Q.-X. Inhibitory effects of methyl trans-cinnamate on mushroom tyrosinase and its antimicrobial activities. J. Agric. Food Chem. 2009, 57, 2565–2569. [Google Scholar] [CrossRef]
- Narasimhan, B.; Belsare, D.; Pharande, D.; Mourya, V.; Dhake, A. Esters, amides and substituted derivatives of cinnamic acid: Synthesis, antimicrobial activity and QSAR investigations. Eur. J. Med. Chem. 2004, 39, 827–834. [Google Scholar] [CrossRef]
- Georgiev, L.; Chochkova, M.; Ivanova, G.; Najdenski, H.; Ninova, M.; Milkova, T. Radical scavenging and antimicrobial activities of cinnamoyl amides of biogenic monoamines. Riv. Ital. Sost. Grasse 2012, 89, 91–102. [Google Scholar]
- Springer, D.M.; Luh, B.-Y.; Goodrich, J.; Bronson, J.J. Anti-MRSA cephems. Part 2: C-7 cinnamic acid derivatives. Bioorg. Med. Chem. 2003, 11, 265–279. [Google Scholar] [CrossRef]
- Otto, M. Staphylococcal biofilms. Microbiol. Spectr. 2018, 6, 207–228. [Google Scholar] [CrossRef]
- Manaargadoo-Catin, M.; Ali-Cherif, A.; Pougnas, J.L.; Perrin, C. Hemolysis by surfactants—A review. Adv. Colloid Interface Sci. 2016, 228, 1–16. [Google Scholar] [CrossRef]
- Greco, I.; Molchanova, N.; Holmedal, E.; Jenssen, H.; Hummel, B.D.; Watts, J.L.; Håkansson, J.; Hansen, P.R.; Svenson, J. Correlation between haemolytic activity, cytotoxicity and systemic in vivo toxicity of synthetic antimicrobial peptides. Sci. Rep. 2020, 10, 13206. [Google Scholar] [CrossRef] [PubMed]
- Ruwizhi, N.; Aderibigbe, B.A. Cinnamic Acid Derivatives and Their Biological Efficacy. Int. J. Mol. Sci. 2020, 21, 5712. [Google Scholar] [CrossRef]
- Kula, M.; Majdan, M.; Radwańska, A.; Nasal, A.; Hałasa, R.; Głód, D.; Matkowski, A.; Krauze-Baranowska, M. Chemical composition and biological activity of the fruits from Lonicera caerulea var. edulis ‘Wojtek’. Acad. J. Med. Plants 2013, 1, 141–148. [Google Scholar]
- Hałasa, R.; Turecka, K.; Orlewska, C.; Werel, W. Comparison of fluorescence optical respirometry and microbroth dilution methods for testing antimicrobial compounds. J. Microbiol. Methods 2014, 107, 98–105. [Google Scholar] [CrossRef] [PubMed]
- Chaieb, K.; Zmantar, T.; Souiden, Y.; Mahdouani, K.; Bakhrouf, A. XTT assay for evaluating the effect of alcohols, hydrogen peroxide and benzalkonium chloride on biofilm formation of Staphylococcus epidermidis. Microb. Pathog. 2011, 50, 1–5. [Google Scholar] [CrossRef]
- Traub, W.H.; Leonhard, B.; Bauer, D. Enterococcus faecium: In vitro activity of antimicrobial drugs, singly and combined, with and without defibrinated duman dlood, against dultiple-dntibiotic-resistant strains. Chemotherapy 1993, 39, 254–264. [Google Scholar] [CrossRef]
- Chirayath, B.R.; Viswanathan, A.; Jayakumar, R.; Biswas, R.; Vijayachandran, L.S. Development of Mangifera indica leaf extract incorporated carbopol hydrogel and its antibacterial efficacy against Staphylococcus aureus. Colloids Surf. B Biointerfaces 2019, 178, 377–384. [Google Scholar] [CrossRef]
- Kwon, S.H.; Wang, Z.; Hwang, S.H.; Kang, Y.H.; Lee, J.Y.; Lim, S.S. Comprehensive evaluation of the antioxidant capacity of Perilla frutescens leaves extract and isolation of free radical scavengers using step-wise HSCCC guided by DPPH-HPLC. Int. J. Food Prop. 2017, 20, 921–934. [Google Scholar] [CrossRef]
- Olszowy, M.; Dawidowicz, A.L. Is it possible to use the DPPH and ABTS methods for reliable estimation of antioxidant power of colored compounds? Chem. Pap. 2018, 72, 393–400. [Google Scholar] [CrossRef]












| Compd | MIC [µg/mL] | |||||||
|---|---|---|---|---|---|---|---|---|
| S. aureus ATCC 6538 | S. epidermidis ATCC 14990 | E. hirae ATCC 10541 | E. faecalis ATCC 51299 | B. subtilis ATCC 6633 | C. diphtheriae | C. albicans ATCC 10231 | E. coli ATCC 8739 | |
| 16a | 1 ± 0.29 | 2 ± 0.58 | 4 ± 0.15 | 2 ± 0.58 | 62.5 ± 0.29 | 62.5 ± 0.29 | >125 | >125 |
| 16b | 1 ± 0.29 | 1 ± 0.29 | 2 ± 0.58 | 2 ± 0.58 | 62.5 ± 0.29 | 62.5 ± 0.29 | >125 | >125 |
| 16c | 1 ± 0.29 | 2 ± 0.58 | 2 ± 0.58 | 2 ± 0.58 | 62.5 ± 0.29 | >125 | >125 | >125 |
| 16d | 1 ± 0 | 1 ± 0.29 | 2 ± 0.58 | 2 ± 0.87 | 62.5 ± 0.29 | >125 | >125 | >125 |
| 16e | 2 ± 0.58 | 1 ± 0.29 | 4 ± 0.15 | 4 ± 0.15 | 62.5 ± 0.29 | 62.5 ± 0.29 | >125 | >125 |
| 16f | 1 ± 0.29 | 2 ± 0.58 | 4 ± 0.15 | 4 ± 0.15 | 62.5 ± 0.29 | 62.5 ± 0.29 | >125 | >125 |
| 17a | 1 ± 0.29 | 1 ± 0.58 | 2 ± 0.58 | 2 ± 0.58 | 62.5 ± 0.29 | >125 | >125 | >125 |
| 17b | 2 ± 0.29 | 2 ± 0.58 | 4 ± 0.15 | 4 ± 0.15 | 62.5 ± 0.29 | >125 | >125 | >125 |
| 17c | 1 ± 0.29 | 1 ± 0.29 | 2 ± 0.58 | 2 ± 0.58 | 62.5 ± 0.29 | >125 | >125 | >125 |
| 17d | 4 ± 0.16 | 2 ± 0.76 | 8 ± 0.15 | 8 ± 0.15 | 125 ± 0.29 | 62.5 ± 0.29 | >125 | >125 |
| Co-trimoxazole | <1/0.2 | 2/0.4 | 312.5/62.5 | 312.5/62.5 | <1/0.2 | 2/0.4 | N | 312.5/62.5 |
| Ketoconazole | N | N | N | N | N | N | >125 | N |
| Concentration [µg/mL] | 16a | 16d | 16e | 17c |
|---|---|---|---|---|
| 1 | 1.23 × 108 | 1.88 × 108 | 2.15 × 108 | 2.24 × 108 |
| 2 | 7.50 × 108 | 1.66 × 108 | 1.27 × 108 | 1.09 × 108 |
| 4 | 8.10 × 108 | 1.58 × 108 | 1.94 × 108 | 2.02 × 108 |
| 8 | 1.29 × 108 | 1.27 × 108 | 2.80 × 108 | 9.35 × 107 |
| Concentration [µg/mL] | 16a | 16d | 16e | 17c |
|---|---|---|---|---|
| 1 | 3.00 × 106 | 4.00 × 106 | 9.40 × 106 | 7.80 × 106 |
| 2 | 4.00 × 106 | 3.00 × 106 | 4.00 × 106 | 4.25 × 106 |
| 4 | 1.10 × 106 | 2.00 × 106 | 3.20 × 106 | 1.40 × 107 |
| 8 | 2.50 × 106 | 2.50 × 106 | 3.00 × 106 | 5.10 × 106 |
| Compd | IC50 [μg/mL] | |||
|---|---|---|---|---|
| HeLa | SKOV-3 | MCF-7 | HEK-293 | |
| 16a | 13.73 ± 1.12 | 11.83 ± 0.80 | 14.31 ± 0.28 | 13.55 ± 0.19 |
| 16b | 13.47 ± 0.13 | 16.60 ± 0.69 | 30.67 ± 2.49 | 15.65 ± 1.62 |
| 16c | 11.18 ± 0.20 | 9.28 ± 1.02 | 11.20 ± 0.08 | 7.67 ± 0.21 |
| 16d | 9.66 ± 0.75 | 7.87 ± 0.03 | 12.78 ± 0.29 | 10.81 ± 0.40 |
| 16e | 12.35 ± 0.20 | 12.19 ± 0.23 | 15.48 ± 0.82 | 10.01 ± 0.23 |
| 16f | 62.84 ± 3.75 | 70.53 ± 0.21 | 93.46 ± 4.71 | 94.46 ± 4.70 |
| 17a | 8.49 ± 0.49 | 13.15 ± 0.05 | 12.96 ± 0.66 | 6.49 ± 0.46 |
| 17b | 12.00 ± 0.44 | 11.00 ± 0.50 | 14.79 ± 0.66 | 7.17 ± 0.44 |
| 17c | 11.24 ± 0.70 | 11.96 ± 1.07 | 11.62 ± 0.91 | 14.58 ± 0.58 |
| 17d | 9.99 ± 0.08 | 15.33 ± 0.16 | 16.32 ± 0.27 | 15.37 ± 0.69 |
| V. sulphate * | 0.005 ± 0.0004 | 0.008 ± 0.0003 | 0.007 ± 0.0008 | n.t. |
| Compd | HeLa | SKOV-3 | MCF-7 |
|---|---|---|---|
| 16a | 1.0 | 1.1 | 0.9 |
| 16b | 1.2 | 0.9 | 0.5 |
| 16c | 0.7 | 0.8 | 0.7 |
| 16d | 1.1 | 1.4 | 0.8 |
| 16e | 0.8 | 0.8 | 0.6 |
| 16f | 1.5 | 1.3 | 1.0 |
| 17a | 0.8 | 0.5 | 0.5 |
| 17b | 0.6 | 0.6 | 0.5 |
| 17c | 1.3 | 1.2 | 1.2 |
| 17d | 1.5 | 1.0 | 0.9 |
| Compd | IC50 [μg/mL] | |
|---|---|---|
| DPPH | ABTS | |
| 16a | 1048.33 ± 0.48 | 717.99 ± 1.01 |
| 16b | 945.37 ± 0.14 | 697.68 ± 1.26 |
| 16c | 620.47 ± 0.67 | 622.23 ± 2.25 |
| 16d | 348.21 ± 0.29 | 627.81 ± 2.29 |
| 16e | 539.30 ± 0.13 | 697.70 ± 0.43 |
| 16f | 310.50 ± 0.73 | 597.53 ± 1.3 |
| 17a | 790.52 ± 1.44 | 569.99 ± 7.9 |
| 17b | 652.93 ± 2.39 | 620.39 ± 1.29 |
| 17c | 1077.66 ± 0.42 | 496.63 ± 0.48 |
| 17d | 574.41 ± 1.34 | 419.18 ± 2.72 |
| Ascorbic acid | 10.78 ± 0.11 | 18.99 ± 0.03 |
Disclaimer/Publisher’s Note: The statements, opinions and data contained in all publications are solely those of the individual author(s) and contributor(s) and not of MDPI and/or the editor(s). MDPI and/or the editor(s) disclaim responsibility for any injury to people or property resulting from any ideas, methods, instructions or products referred to in the content. |
© 2023 by the authors. Licensee MDPI, Basel, Switzerland. This article is an open access article distributed under the terms and conditions of the Creative Commons Attribution (CC BY) license (https://creativecommons.org/licenses/by/4.0/).
Share and Cite
Bułakowska, A.; Sławiński, J.; Hałasa, R.; Hering, A.; Gucwa, M.; Ochocka, J.R.; Stefanowicz-Hajduk, J. An In Vitro Antimicrobial, Anticancer and Antioxidant Activity of N–[(2–Arylmethylthio)phenylsulfonyl]cinnamamide Derivatives. Molecules 2023, 28, 3087. https://doi.org/10.3390/molecules28073087
Bułakowska A, Sławiński J, Hałasa R, Hering A, Gucwa M, Ochocka JR, Stefanowicz-Hajduk J. An In Vitro Antimicrobial, Anticancer and Antioxidant Activity of N–[(2–Arylmethylthio)phenylsulfonyl]cinnamamide Derivatives. Molecules. 2023; 28(7):3087. https://doi.org/10.3390/molecules28073087
Chicago/Turabian StyleBułakowska, Anita, Jarosław Sławiński, Rafał Hałasa, Anna Hering, Magdalena Gucwa, J. Renata Ochocka, and Justyna Stefanowicz-Hajduk. 2023. "An In Vitro Antimicrobial, Anticancer and Antioxidant Activity of N–[(2–Arylmethylthio)phenylsulfonyl]cinnamamide Derivatives" Molecules 28, no. 7: 3087. https://doi.org/10.3390/molecules28073087
APA StyleBułakowska, A., Sławiński, J., Hałasa, R., Hering, A., Gucwa, M., Ochocka, J. R., & Stefanowicz-Hajduk, J. (2023). An In Vitro Antimicrobial, Anticancer and Antioxidant Activity of N–[(2–Arylmethylthio)phenylsulfonyl]cinnamamide Derivatives. Molecules, 28(7), 3087. https://doi.org/10.3390/molecules28073087

