Organophosphate Esters (OPEs) Flame Retardants in Water: A Review of Photocatalysis, Adsorption, and Biological Degradation
Abstract
1. Introduction
2. Photocatalysis Method
2.1. UV Conditions
2.2. Visible Light Conditions
2.3. UV-Vis Conditions
3. Adsorption Method
3.1. Carbon Materials
3.2. Carbon—Metal Composites
3.3. Other Adsorbents
4. Biological Methods and Other Methods
4.1. Biological Enzymolysis
4.2. Other Methods
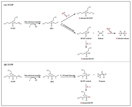
5. Degradation Mechanism and Products
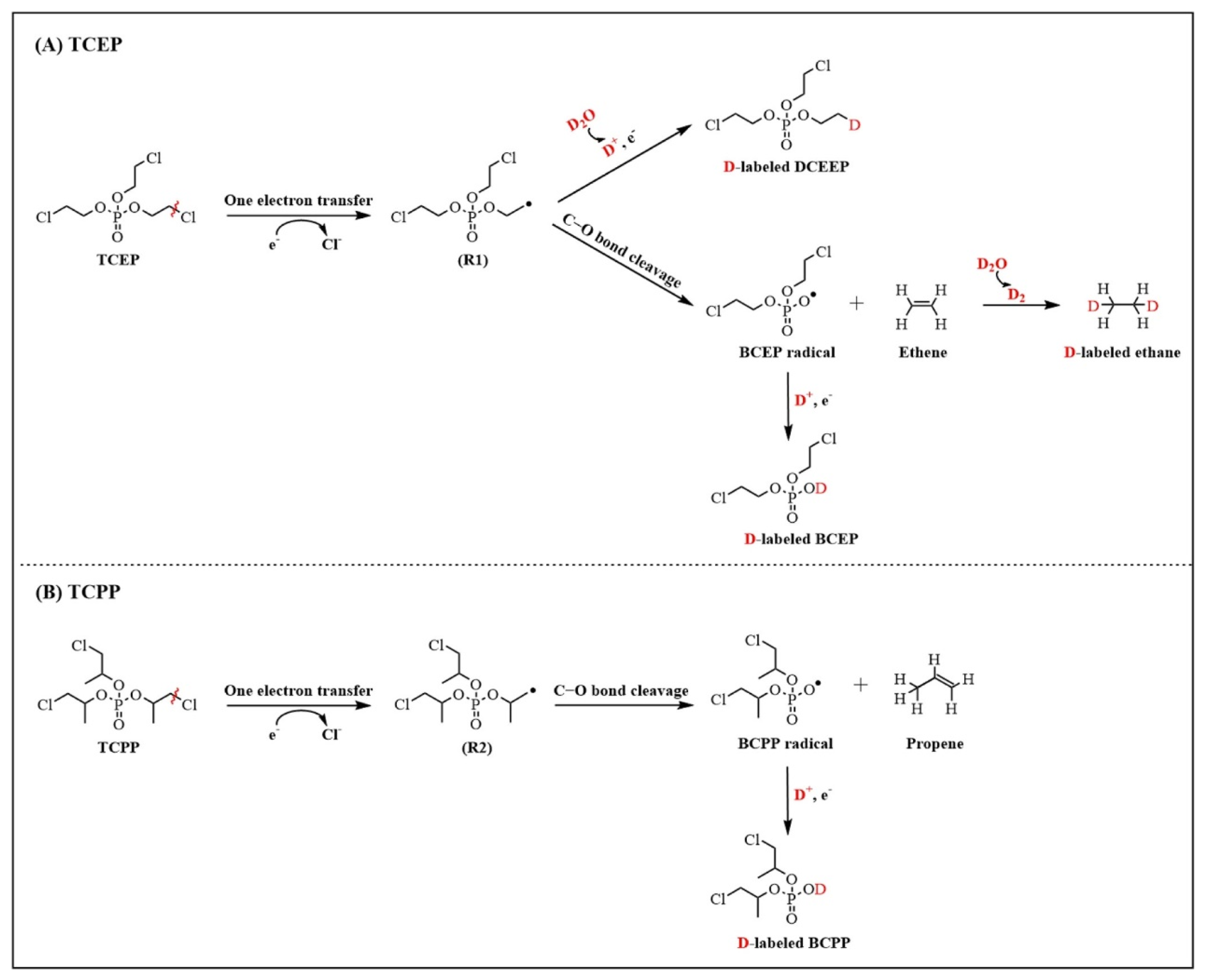
5.1. Photocatalysis Degradation Mechanism and Products
5.2. Adsorption Degradation Mechanism and Products
5.3. Biological Degradation Mechanism and Products
6. Conclusions and Outlook
- (1)
- In photocatalysis, •OH played a major role, but the common problem was that the composite of photogenerated electrons and holes affected the performance of the photocatalyst. Therefore, improving the photoresponse of the photocatalyst was an important challenge to improving the photocatalytic degradation of OPEs;
- (2)
- The degradation mechanism of the adsorption method mainly involved van der Waals forces, hydrophobic interaction, electrostatic attraction, the hydrogen bond, and π-π interaction. The biological method had a long treatment cycle and the lowest treatment efficiency, so there were few studies on this aspect;
- (3)
- In general, all three methods were affected by catalysts/adsorbents activity, substrate properties, temperature, pH, inorganic anions, and HA. The degradation rate of OPEs was related to their structure; alkyl-OPEs were easier to degrade than halogenated-OPEs and aryl-OPEs, and triester OPEs could be degraded to phosphoric acid diesters and monoesters. Toxicity analysis showed that the toxicity of the degradation intermediates produced by the three methods decreased.
Author Contributions
Funding
Data Availability Statement
Conflicts of Interest
Sample Availability
References
- Bi, R.F.; Su, G.Y. Dietary intake assessment of known and unknown organophosphate esters (OPEs) in foodstuffs via high-resolution mass spectrometry. Sci. Total Environ. 2023, 854, 158452. [Google Scholar] [CrossRef] [PubMed]
- Pantelaki, I.; Voutsa, D. Occurrence, analysis and risk assessment of organophosphate esters (OPEs) in biota: A review. Mar. Pollut. Bull. 2020, 160, 111547. [Google Scholar] [CrossRef] [PubMed]
- Lin, J.N.; Zhang, L.T.; Guo, C.S.; Feng, S.; Gao, T. Inter-annual variation and comprehensive evaluation of organophosphate esters (OPEs) in the Yellow Sea, China. Mar. Pollut. Bull. 2022, 176, 113440. [Google Scholar] [CrossRef] [PubMed]
- Zhang, S.W.; Li, Y.X.; Yang, C.; Meng, X.Z.; Zheng, H.Y.; Gao, Y.; Cai, M.H. Application of Hi-throat/Hi-volume SPE technique in analyzing occurrence, influencing factors and human health risk of organophosphate esters (OPEs) in drinking water of China. J. Environ. Manag. 2021, 291, 112714. [Google Scholar] [CrossRef] [PubMed]
- Pantelaki, I.; Voutsa, D. Organophosphate flame retardants (OPFRs): A review on analytical methods and occurrence in wastewater and aquatic environment. Sci. Total Environ. 2019, 649, 247–263. [Google Scholar] [CrossRef]
- Ye, L.J.; Su, G.Y. Elevated concentration and high diversity of organophosphate esters (OPEs) were discovered in sediment from industrial, and e-waste recycling areas. Water Res. 2022, 217, 118362. [Google Scholar] [CrossRef]
- Zeng, Y.; Chen, S.J.; Liang, Y.H.; Zhu, C.Y.; Liu, Z.; Guan, Y.F.; Ma, H.M.; Mai, B.X. Traditional and novel organophosphate esters (OPEs) in PM2.5 of a megacity, southern China: Spatioseasonal variations, sources, and influencing factors. Environ. Pollut. 2021, 284, 117208. [Google Scholar] [CrossRef]
- Kim, S.D.; Cho, J.; Kim, I.S.; Vanderford, B.J.; Snyder, S.A. Occurrence and removal of pharmaceuticals and endocrine disruptors in South Korean surface, drinking, and waste waters. Water Res. 2007, 41, 1013–1021. [Google Scholar] [CrossRef]
- Fauvelle, V.; Garel, M.; Tamburini, C.; Nerini, D.; Castro-Jimenez, J.; Schmidt, N.; Paluselli, A.; Fahs, A.; Papillon, L.; Booth, A.M.; et al. Organic additive release from plastic to seawater is lower under deep-sea conditions. Nat. Commun. 2021, 12, 4426. [Google Scholar] [CrossRef]
- Chen, D.; Letcher, R.J.; Chu, S.G. Determination of non-halogenated, chlorinated and brominated organophosphate flame retardants in herring gull eggs based on liquid chromatography-tandem quadrupole mass spectrometry. J. Chromatogr. A 2012, 1220, 169–174. [Google Scholar] [CrossRef]
- Yue, C.C.; Ma, S.T.; Liu, R.R.; Yang, Y.; Li, G.Y.; Yu, Y.X.; An, T.C. Pollution profiles and human health risk assessment of atmospheric organophosphorus esters in an e-waste dismantling park and its surrounding area. Sci. Total Environ. 2022, 806, 151206. [Google Scholar] [CrossRef] [PubMed]
- de la Torre, A.; Navarro, I.; Sanz, P.; de los Angeles Martinez, M. Organophosphate compounds, polybrominated diphenyl ethers and novel brominated flame retardants in European indoor house dust: Use, evidence for replacements and assessment of human exposure. J. Hazard. Mater. 2020, 382, 121009. [Google Scholar] [CrossRef] [PubMed]
- Li, Y.; Huang, K.; Jiang, J.Q.; Xiao, Y.; An, L.H.; Zhang, S.Y.; Kang, Q.Y.; Chen, R.C.; Jia, Y.T.; Zhang, X.H.; et al. Tris(1,3-dichloro-2-propyl) phosphate induces mass mortality of crucian carp (carassius carassius) embryos in Taihu Lake. Environ. Sci. Technol. 2021, 55, 15980–15988. [Google Scholar] [CrossRef] [PubMed]
- Sud, D.; Kaur, P. Heterogeneous photocatalytic degradation of selected organophosphate pesticides: A review. Critical Rev. Environ. Sci. Technol. 2012, 42, 2365–2407. [Google Scholar] [CrossRef]
- van der Veen, I.; de Boer, J. Phosphorus flame retardants: Properties, production, environmental occurrence, toxicity and analysis. Chemosphere 2012, 88, 1119–1153. [Google Scholar] [CrossRef]
- Carpenter, S.R.; Caraco, N.F.; Correll, D.L.; Howarth, R.W.; Smith, A.N. Nonpoint pollution of surface waters with phosphorus and nitrogen. Ecol. Appl. 1998, 8, 559–568. [Google Scholar] [CrossRef]
- Zhang, Z.G.; Lin, G.L.; Lin, T.; Zhang, R.J.; Jin, L.S.; Di, Y.L. Occurrence, behavior, and fate of organophosphate esters (OPEs) in subtropical paddy field environment: A case study in Nanning city of south China. Environ. Pollut. 2020, 267, 115675. [Google Scholar] [CrossRef]
- Chandra Yadav, I.; Devi, N.L. Data relating to fate and transport of organophosphate ester flame retardants in indoor air and dust from Nepal. Data Brief 2019, 25, 104287. [Google Scholar] [CrossRef]
- Salthammer, T.; Fuhrmann, F.; Uhde, E. Flame retardants in the indoor environment—Part II: Release of VOCs (triethylphosphate and halogenated degradation products) from polyurethane. Indoor Air 2003, 13, 49–52. [Google Scholar] [CrossRef]
- Greaves, A.K.; Letcher, R.J. A review of organophosphate esters in the environment from biological effects to distribution and fate. Bull Environ. Contam. Toxicol. 2017, 98, 2–7. [Google Scholar] [CrossRef]
- Wang, X.; Zhu, Q.Q.; Liao, C.Y.; Jiang, G.B. Human internal exposure to organophosphate esters: A short review of urinary monitoring on the basis of biological metabolism research. J. Hazard. Mater. 2021, 418, 126279. [Google Scholar] [CrossRef] [PubMed]
- Reemtsma, T.; Quintana, J.B.; Rodil, R.; Garcı’a-López, M.; Rodrı´guez, I. Organophosphorus flame retardants and plasticizers in water and air I. Occurrence and fate. Trends Anal. Chem. 2008, 27, 727–737. [Google Scholar] [CrossRef]
- Liu, M.; Peng, B.; Su, G.Y.; Fang, M.L. Reactive flame retardants: Are they safer replacements? Environ. Sci. Technol. 2021, 55, 14477–14479. [Google Scholar] [CrossRef] [PubMed]
- Silva Thomsen, L.B.; Carvalho, P.N.; dos Passos, J.S.; Anastasakis, K.; Bester, K.; Biller, P. Hydrothermal liquefaction of sewage sludge; energy considerations and fate of micropollutants during pilot scale processing. Water Res. 2020, 183, 116101. [Google Scholar] [CrossRef]
- Zhu, K.R.; Sarvajayakesavalu, S.; Han, Y.N.; Zhang, H.F.; Gao, J.M.; Li, X.Y.; Ma, M. Occurrence, distribution and risk assessment of organophosphate esters (OPEs) in water sources from northeast to southeast China. Environ. Pollut. 2022, 307, 119461. [Google Scholar] [CrossRef]
- Woudneh, M.B.; Benskin, J.P.; Wang, G.H.; Grace, R.; Hamilton, M.C.; Cosgrove, J.R. Quantitative determination of 13 organophosphorous flame retardants and plasticizers in a wastewater treatment system by high performance liquid chromatography tandem mass spectrometry. J. Chromatogr. A 2015, 1400, 149–155. [Google Scholar] [CrossRef]
- Abdullah, A.M.; O’Shea, K.E. TiO2 photocatalytic degradation of the flame retardant tris (2-chloroethyl) phosphate (TCEP) in aqueous solution: A detailed kinetic and mechanistic study. J. Photochem. Photobiol. A Chem. 2019, 377, 130–137. [Google Scholar] [CrossRef]
- Liu, N.; Dai, W.X.; Fei, F.H.; Xu, H.; Lei, J.Q.; Quan, G.X.; Zheng, Y.J.; Zhang, X.D.; Tang, L. Insights into the photocatalytic activation persulfate by visible light over ReS2/MIL-88B(Fe) for highly efficient degradation of ibuprofen: Combination of experimental and theoretical study. Sep. Purif. Technol. 2022, 297, 121545. [Google Scholar] [CrossRef]
- Zhang, X.D.; Zhao, Z.Y.; Zhao, S.H.; Xiang, S.; Gao, W.K.; Wang, L.; Xu, J.C.; Wang, Y.X. The promoting effect of alkali metal and H2O on Mn-MOF derivatives for toluene oxidation: A combined experimental and theoretical investigation. J. Catal. 2022, 415, 218–235. [Google Scholar] [CrossRef]
- Bi, F.K.; Zhao, Z.Y.; Yang, Y.; Liu, Q.; Huang, W.Y.; Huang, Y.D.; Zhang, X.D. AOP Efficient degradation of toluene over ultra-low Pd supported on UiO-66 and its functional materials: Reaction mechanism, water-resistance, and influence of SO2. Sep. Purif. Technol. 2023, 314, 123510. [Google Scholar]
- Bi, F.K.; Ma, S.T.; Gao, B.; Yang, Y.; Wang, L.; Fei, F.; Xu, J.; Huang, Y.; Wu, M.; Zhang, X. Non-oxide supported Pt-metal-group catalysts for efficiently CO and toluene co-oxidation: Difference in water resistance and degradation intermediates. Fuel 2023, 344, 128147. [Google Scholar] [CrossRef]
- Jie, B.R.; Lin, H.D.; Zhai, Y.X.; Ye, J.Y.; Zhang, D.Y.; Xie, Y.F.; Zhang, X.D.; Yang, Y.Q. Mechanism, design and application of fluorescent recognition based on metal organic frameworks in pollutant detection. Chem. Eng. J. 2023, 454, 139931. [Google Scholar] [CrossRef]
- Rao, R.Z.; Ma, S.T.; Gao, B.; Bi, F.K.; Chen, Y.F.; Yang, Y.; Liu, N.; Wu, M.H.; Zhang, X.D. Recent advances of metal-organic framework-based and derivative materials in the heterogeneous catalytic removal of volatile organic compounds. J. Colloid Interface Sci. 2023, 636, 55–72. [Google Scholar] [CrossRef] [PubMed]
- Liu, H.; Yin, H.; Tang, S.Y.; Peng, H.; Yu, X.L.; Lu, G.N.; Dang, Z. Simultaneous adsorption of Cd2+ and photocatalytic degradation of tris-(2-chloroisopropyl) phosphate (TCPP) by mesoporous TiO2. Chemosphere 2021, 267, 129238. [Google Scholar] [CrossRef]
- Hou, R.; Wang, Y.; Zhou, S.F.; Zhou, L.H.; Yuan, Y.; Xu, Y.P. Aerobic degradation of nonhalogenated organophosphate flame esters (OPEs) by enriched cultures from sludge: Kinetics, pathways, bacterial community evolution, and toxicity evaluation. Sci. Total Environ. 2021, 760, 143385. [Google Scholar] [CrossRef]
- Yan, Z.F.; Feng, C.L.; Leung, K.M.Y.; Luo, Y.; Wang, J.D.; Jin, X.W.; Wu, F.C. Insights into the geographical distribution, bioaccumulation characteristics, and ecological risks of organophosphate esters. J. Hazard. Mater. 2023, 445, 130517. [Google Scholar] [CrossRef]
- Zhang, Y.; Chen, Y.; Chen, H.J.; Zhang, Y.F.; Yang, L.P.; Zhong, W.J.; Zhu, L.Y. Direct evidence of the important role of proteins in bioconcentration and biomagnification of PFASs in benthic organisms based on comparison with OPEs. Sci. Total Environ. 2023, 863, 161012. [Google Scholar] [CrossRef]
- Yu, X.L.; Yin, H.; Ye, J.S.; Peng, H.; Lu, G.N.; Dang, Z. Degradation of tris-(2-chloroisopropyl) phosphate via UV/TiO2 photocatalysis: Kinetic, pathway, and security risk assessment of degradation intermediates using proteomic analyses. Chem. Eng. J. 2019, 374, 263–273. [Google Scholar] [CrossRef]
- Antonopoulou, M.; Giannakas, A.; Bairamis, F.; Papadaki, M.; Konstantinou, I. Degradation of organophosphorus flame retardant tris (1-chloro-2-propyl) phosphate (TCPP) by visible light N,S-codoped TiO2 photocatalysts. Chem. Eng. J. 2017, 318, 231–239. [Google Scholar] [CrossRef]
- Yan, W.; Yan, L.; Duan, J.M.; Jing, C.Y. Sorption of organophosphate esters by carbon nanotubes. J. Hazard. Mater. 2014, 273, 53–60. [Google Scholar] [CrossRef]
- Liu, B.M.; Liu, Z.X.; Yu, P.; Pan, S.L.; Xu, Y.H.; Sun, Y.J.; Pan, S.Y.; Yu, Y.; Zheng, H. Enhanced removal of tris(2-chloroethyl) phosphate using a resin-based nanocomposite hydrated iron oxide through a Fenton-like process: Capacity evaluation and pathways. Water Res. 2020, 175, 115655. [Google Scholar] [CrossRef] [PubMed]
- Choi, Y.; Jeon, J.; Kim, S.D. Identification of biotransformation products of organophosphate ester from various aquatic species by suspect and non-target screening approach. Water Res. 2021, 200, 117201. [Google Scholar] [CrossRef] [PubMed]
- Antonopoulou, M.; Karagianni, P.; Konstantinou, I.K. Kinetic and mechanistic study of photocatalytic degradation of flame-retardant tris (1-chloro-2-propyl) phosphate (TCPP). Appl. Catal. B 2016, 192, 152–160. [Google Scholar] [CrossRef]
- Zhu, X.F.; Deng, S.F.; Fang, Y.; Yang, S.; Zhong, Y.; Li, D.; Wang, H.L.; Wu, J.H.; Peng, P.A. Dehalococcoides-containing enrichment cultures transform two chlorinated organophosphate esters. Environ. Sci. Technol. 2022, 56, 1951–1962. [Google Scholar] [CrossRef]
- Liu, N.; Fei, F.H.; Dai, W.X.; Lei, J.Q.; Bi, F.K.; Wang, B.T.; Quan, G.X.; Zhang, X.D.; Tang, L. Visible-light-assisted persulfate activation by SnS2/MIL-88B(Fe) Z-scheme heterojunction for enhanced degradation of ibuprofen. J. Colloid Interface Sci. 2022, 625, 965–977. [Google Scholar] [CrossRef]
- Zhao, S.H.; Yang, Y.; Bi, F.K.; Chen, Y.F.; Wu, M.H.; Zhang, X.D.; Wang, G. Oxygen vacancies in the catalyst: Efficient degradation of gaseous pollutants. Chem. Eng. J. 2023, 454, 140376. [Google Scholar] [CrossRef]
- Li, W.J.; Li, Y.; Ning, D.; Liu, Q.; Chang, L.; Ruan, W.J. An Fe(ii) metal–organic framework as a visible responsive photo-Fenton catalyst for the degradation of organophosphates. New J. Chem. 2018, 42, 29–33. [Google Scholar] [CrossRef]
- Li, H.H.; Yu, J.Y.; Gong, Y.S.; Lin, N.P.; Yang, Q.L.; Zhang, X.D.; Wang, Y. Perovskite catalysts with different dimensionalities for environmental and energy applications: A review. Sep. Purif. Technol. 2023, 307, 122716. [Google Scholar] [CrossRef]
- Li, J.X.; Singh, V.V.; Sattayasamitsathit, S.; Orozco, J.; Kaufmann, K.; Dong, R.F.; Gao, W.; Jurado-Sanchez, B.; Fedorak, Y.; Wang, J. Water-driven micromotors for rapid photocatalytic degradation of biological and chemical warfare agents. ACS Nano 2014, 8, 11118–11125. [Google Scholar] [CrossRef]
- Yang, Y.; Zhao, S.H.; Bi, F.K.; Chen, J.F.; Li, Y.T.; Cui, L.F.; Xu, J.C.; Zhang, X.D. Oxygen-vacancy-induced O2 activation and electron-hole migration enhance photothermal catalytic toluene oxidation. Cell Rep. Phys. Sci. 2022, 3, 101011. [Google Scholar] [CrossRef]
- He, H.; Ji, Q.Y.; Gao, Z.Q.; Yang, S.G.; Sun, C.; Li, S.Y.; Zhang, L.M. Degradation of tri(2-chloroisopropyl) phosphate by the UV/H2O2 system: Kinetics, mechanisms and toxicity evaluation. Chemosphere 2019, 236, 124388. [Google Scholar] [CrossRef] [PubMed]
- Wang, Y.F.; Zhao, W.; Qi, Z.Y.; Zhang, L.; Peng, Y.Z. Phosphate removal by ZIF-8@MWCNT hybrids in presence of effluent organic matter: Adsorbent structure, wastewater quality, and DFT analysis. Sci. Total Environ. 2020, 745, 141054. [Google Scholar] [CrossRef]
- Hu, B.B.; Jiang, L.F.; Zheng, Q.; Luo, C.L.; Zhang, D.Y.; Wang, S.R.; Xie, Y.C.; Zhang, G. Uptake and translocation of organophosphate esters by plants: Impacts of chemical structure, plant cultivar and copper. Environ. Int. 2021, 155, 106591. [Google Scholar] [CrossRef] [PubMed]
- Chen, Y.J.; Ye, J.S.; Chen, Y.; Hu, H.; Zhang, H.L.; Ou, H. Degradation kinetics, mechanism and toxicology of tris(2-chloroethyl) phosphate with 185 nm vacuum ultraviolet. Chem. Eng. J. 2019, 356, 98–106. [Google Scholar] [CrossRef]
- Wang, X.L.; Sun, Y.Y.; Xiao, Y.H.; Chen, X.X.; Huang, X.C.; Zhou, H.L. Facile solution-refluxing synthesis and photocatalytic dye degradation of a dynamic covalent organic framework. Molecules 2022, 27, 8002. [Google Scholar] [CrossRef]
- Huang, W.G.; Wang, X.Z.; Zhang, W.T.; Zhang, S.J.; Tian, Y.X.; Chen, Z.H.; Fang, W.H.; Ma, J. Intraligand charge transfer boosts visible-light-driven generation of singlet oxygen by metal-organic frameworks. Appl. Catal. B 2020, 273, 119087. [Google Scholar] [CrossRef]
- Hu, H.; Zhang, H.X.; Chen, Y.; Chen, Y.J.; Zhuang, L.; Ou, H. Enhanced photocatalysis degradation of organophosphorus flame retardant using MIL-101(Fe)/persulfate: Effect of irradiation wavelength and real water matrixes. Chem. Eng. J. 2019, 368, 273–284. [Google Scholar] [CrossRef]
- Liu, H.; Yin, H.; Zhu, M.H.; Dang, Z. Degradation of organophosphorus flame retardants in heterogeneous photo-Fenton system driven by Fe(III)-based metal organic framework: Intermediates and their potential interference on bacterial metabolism. Chemosphere 2022, 291, 133072. [Google Scholar] [CrossRef]
- Liu, N.; Dang, Y.; Hu, B.; Tian, M.; Jiang, H.; Quan, G.X.; Qiao, R.; Lei, J.Q.; Zhang, X.D. BN/Fe3O4/MIL-53(Fe) ternary nanocomposite for boosted ibuprofen degradation by visible light assisted photocatalytic activation of persulfate. Surf. Interfaces 2022, 35, 102472. [Google Scholar] [CrossRef]
- Zhang, X.D.; Shi, X.Y.; Zhao, Q.Y.; Li, Y.T.; Wang, J.F.; Yang, Y.; Bi, F.K.; Xu, J.C.; Liu, N. Defects controlled by acid-modulators and water molecules enabled UiO-67 for exceptional toluene uptakes: An experimental and theoretical study. Chem. Eng. J. 2022, 427, 131573. [Google Scholar] [CrossRef]
- Liu, H.; Yin, H.; Yu, X.L.; Zhu, M.H.; Dang, Z. Amino-functionalized MIL-88B as heterogeneous photo-Fenton catalysts for enhancing tris-(2-chloroisopropyl) phosphate (TCPP) degradation: Dual excitation pathways accelerate the conversion of Fe(III) to Fe(II) under visible light irradiation. J. Hazard. Mater. 2022, 425, 127782. [Google Scholar] [CrossRef] [PubMed]
- Lin, J.L.; Hu, H.; Gao, N.Y.; Ye, J.S.; Chen, Y.J.; Ou, H. Fabrication of GO@MIL-101(Fe) for enhanced visible-light photocatalysis degradation of organophosphorus contaminant. J. Water Process Eng. 2020, 33, 101010. [Google Scholar] [CrossRef]
- Li, X.Y.; Jie, B.R.; Lin, H.D.; Deng, Z.P.; Qian, J.Y.; Yang, Y.Q.; Zhang, X.D. Application of sulfate radicals-based advanced oxidation technology in degradation of trace organic contaminants (TrOCs): Recent advances and prospects. J. Environ. Manage. 2022, 308, 114664. [Google Scholar] [CrossRef]
- Zheng, Y.Z.; Xie, H.J.; Sun, B.; Zhang, J.; Wang, W.X. The altered effects of chloride on the treatment efficiency of SO4·−-based AOPs by other background water constituents. Chem. Eng. J. 2022, 441, 135914. [Google Scholar] [CrossRef]
- Shi, J.B.; Zhang, J.L.; Liang, T.L.; Tan, D.X.; Tan, X.N.; Wan, Q.; Cheng, X.Y.; Zhang, B.X.; Han, B.X.; Liu, L.F.; et al. Bipyridyl-containing cadmium-organic frameworks for efficient photocatalytic oxidation of benzylamine. ACS Appl. Mater. Interfaces 2019, 11, 30953–30958. [Google Scholar] [CrossRef] [PubMed]
- Zhao, Z.Y.; Ma, S.T.; Gao, B.; Bi, F.K.; Qiao, R.; Yang, Y.; Wu, M.H.; Zhang, X.D. A systematic review of intermediates and their characterization methods in VOCs degradation by different catalytic technologies. Sep. Purif. Technol. 2023, 314, 123510. [Google Scholar] [CrossRef]
- Oliveros, A.N.; Pimentel, J.A.I.; de Luna, M.D.G.; Garcia-Segura, S.; Abarca, R.R.M.; Doong, R.A. Visible-light photocatalytic diclofenac removal by tunable vanadium pentoxide/boron-doped graphitic carbon nitride composite. Chem. Eng. J. 2021, 403, 126213. [Google Scholar] [CrossRef]
- Rengaraj, S.; Li, X.Z.; Tanner, P.A.; Pan, Z.F.; Pang, G.K.H. Photocatalytic degradation of methylparathion—An endocrine disruptor by Bi3+-doped TiO2. J. Mol. Catal. A Chem. 2006, 247, 36–43. [Google Scholar] [CrossRef]
- Konstas, P.S.; Hela, D.; Giannakas, A.; Triantafyllos, A.; Konstantinou, I. Photocatalytic degradation of organophosphate flame retardant TBEP: Kinetics and identification of transformation products by orbitrap mass spectrometry. Int. J. Environ. Anal. Chem. 2019, 99, 297–309. [Google Scholar] [CrossRef]
- Xiao, W.; Jiang, X.P.; Liu, X.; Zhou, W.M.; Garba, Z.N.; Lawan, I.; Wang, L.W.; Yuan, Z.H. Adsorption of organic dyes from wastewater by metal-doped porous carbon materials. J. Clean. Prod. 2021, 284, 124773. [Google Scholar] [CrossRef]
- Wang, W.; Zhou, S.X.; Li, R.; Peng, Y.J.; Sun, C.; Vakili, M.; Yu, G.; Deng, S.B. Preparation of magnetic powdered carbon/nano-Fe3O4 composite for efficient adsorption and degradation of trichloropropyl phosphate from water. J. Hazard. Mater. 2021, 416, 125765. [Google Scholar] [CrossRef] [PubMed]
- Wang, W.; Deng, S.B.; Li, D.Y.; Ren, L.; Wang, B.; Huang, J.; Wang, Y.J.; Yu, G. Adsorptive removal of organophosphate flame retardants from water by non-ionic resins. Chem. Eng. J. 2018, 354, 105–112. [Google Scholar] [CrossRef]
- Chen, S.P.; Tan, Z.R.; Qi, Y.S.; Ouyang, C.C. Sorption of tri-n-butyl phosphate and tris(2-chloroethyl) phosphate on polyethylene and polyvinyl chloride microplastics in seawater. Mar. Pollut. Bull. 2019, 149, 110490. [Google Scholar] [CrossRef] [PubMed]
- Ani, J.U.; Akpomie, K.G.; Okoro, U.C.; Aneke, L.E.; Onukwuli, O.D.; Ujam, O.T. Potentials of activated carbon produced from biomass materials for sequestration of dyes, heavy metals, and crude oil components from aqueous environment. Appl. Water Sci. 2020, 10, 69. [Google Scholar] [CrossRef]
- Isaeva, V.I.; Vedenyapina, M.D.; Kurmysheva, A.Y.; Weichgrebe, D.; Nair, R.R.; Nguyen, N.P.T.; Kustov, L.M. Modern carbon-based materials for adsorptive removal of organic and inorganic pollutants from water and wastewater. Molecules 2021, 26, 6628. [Google Scholar] [CrossRef]
- Wang, W.; Deng, S.B.; Li, D.Y.; Ren, L.; Shan, D.N.; Wang, B.; Huang, J.; Wang, Y.J.; Yu, G. Sorption behavior and mechanism of organophosphate flame retardants on activated carbons. Chem. Eng. J. 2018, 332, 286–292. [Google Scholar] [CrossRef]
- Zhang, W.X.; Wang, H.O.; Bai, Q.; Li, X.T. Lipocalin-mediated organophosphate esters (OPEs) active uptake and accumulation in rice (Oryza sativa L.). Environ. Exp. Bot. 2022, 200, 104910. [Google Scholar] [CrossRef]
- Cheng, Z.W.; Chen, Q.C.; Cervantes, S.L.; Tang, Q.L.; Gao, X.P.; Tan, Y.J.; Liu, S.Q.; Ma, Y.N.; Shen, Z.M. Two-dimensional and three-dimensional quantitative structure-activity relationship models for the degradation of organophosphate flame retardants during supercritical Water oxidation. J. Hazard. Mater. 2020, 394, 121811. [Google Scholar] [CrossRef] [PubMed]
- Li, Q.J.; Wang, D.D.; Fang, X.; Wang, X.Y.; Mao, S.; Ostrikov, K. Function-targeted lanthanide-anchored polyoxometalate–cyclodextrin assembly: Discriminative sensing of inorganic phosphate and organophosphate. Adv. Funct. Mater. 2021, 31, 2104572. [Google Scholar] [CrossRef]
- Chen, M.L.; Huo, C.B.; Li, Y.K.; Wang, J.H. Selective adsorption and efficient removal of phosphate from aqueous medium with graphene–lanthanum composite. ACS Sustain. Chem. Eng. 2016, 4, 1296–1302. [Google Scholar] [CrossRef]
- Wu, B.L.; Wan, J.; Zhang, Y.Y.; Pan, B.C.; Lo, I.M.C. Selective phosphate removal from water and wastewater using sorption: Process fundamentals and removal mechanisms. Environ. Sci. Technol. 2020, 54, 50–66. [Google Scholar] [CrossRef] [PubMed]
- Gong, S.; Ren, K.F.; Ye, L.J.; Deng, Y.R.; Su, G.Y. Suspect and nontarget screening of known and unknown organophosphate esters (OPEs) in soil samples. J. Hazard. Mater. 2022, 436, 129273. [Google Scholar] [CrossRef] [PubMed]
- Wang, L.; Liu, Y.; Lu, H.S.; Huang, Z.Y. Recycling of phosphorus-containing plastic based on the dual effects of switchable hydrophilicity solvents. Chemosphere 2020, 259, 127402. [Google Scholar] [CrossRef] [PubMed]
- Liang, C.; Mo, X.J.; Xie, J.F.; Wei, G.L.; Liu, L.Y. Organophosphate tri-esters and di-esters in drinking water and surface water from the Pearl River Delta, South China: Implications for human exposure. Environ. Pollut. 2022, 313, 120150. [Google Scholar] [CrossRef]
- Zhang, Y.Y.; Zhang, X.Y.; Cheng, H.; Nina, M.R.H.; Ge, J.; Bai, Y.P. Reshaping the active pocket of promiscuous lactonases for degrading bulky organophosphate flame retardants. Chem. Commun. 2021, 57, 6475–6478. [Google Scholar] [CrossRef]
- Qin, P.; Lu, S.Y.; Liu, X.H.; Wang, G.Q.; Zhang, Y.X.; Li, D.L.; Wan, Z.F. Removal of tri-(2-chloroisopropyl) phosphate (TCPP) by three types of constructed wetlands. Sci. Total Environ. 2020, 749, 141668. [Google Scholar] [CrossRef]
- Wang, Q.Z.; Zhao, H.X.; Bekele, T.G.; Qu, B.C.; Chen, J.W. Citric acid can enhance the uptake and accumulation of organophosphate esters (OPEs) in Suaeda salsa rhizosphere: Potential for phytoremediation. J. Hazard. Mater. 2023, 443, 130169. [Google Scholar] [CrossRef]
- Wysocka, A.; Łezniak, Ł.; Jagielska, E.; Sabała, I. Electrostatic interaction with the bacterial cell envelope tunes the lytic activity of two novel peptidoglycan hydrolases. Microbiol. Spectr. 2022, 10, e00455-22. [Google Scholar] [CrossRef]
- Kim, U.J.; Oh, J.K.; Kannan, K. Occurrence, removal, and environmental emission of organophosphate flame retardants/plasticizers in a wastewater treatment plant in New York State. Environ. Sci. Technol. 2017, 51, 7872–7880. [Google Scholar] [CrossRef]
- Jung, S.; Lee, J.; Park, Y.K.; Kwon, E.E. Bioelectrochemical systems for a circular bioeconomy. Bioresour. Technol. 2020, 300, 122748. [Google Scholar] [CrossRef]
- Hou, R.; Luo, X.S.; Liu, C.C.; Zhou, L.H.; Wen, J.L.; Yuan, Y. Enhanced degradation of triphenyl phosphate (TPHP) in bioelectrochemical systems: Kinetics, pathway and degradation mechanisms. Environ. Pollut. 2019, 254, 113040. [Google Scholar] [CrossRef]
- Abdullah, A.M.; Quinete, N.S.; Gardinali, P.; O’Shea, K. Investigation of ultrasonically induced degradation of tris(2-chloroethyl) phosphate in water. J. Environ. Eng. 2020, 146, 04020117. [Google Scholar] [CrossRef]
- Alvarez Corena, J.R.; Bergendahl, J.A. Effect of pH, temperature, and use of synergistic oxidative agents on the ultrasonic degradation of tris-2-chloroethyl phosphate, gemfibrozil, and 17β estradiol in water. J. Environ. Eng. 2021, 9, 105005. [Google Scholar] [CrossRef]
- Yang, Y.Q.; Zheng, Z.H.; Yang, M.H.; Chen, J.F.; Li, C.; Zhang, C.H.; Zhang, X.D. In-situ fabrication of a spherical-shaped Zn-Al hydrotalcite with BiOCl and study on its enhanced photocatalytic mechanism for perfluorooctanoic acid removal performed with a response surface methodology. J. Hazard. Mater. 2020, 399, 123070. [Google Scholar] [CrossRef] [PubMed]
- Dhakshinamoorthy, A.; Asiri, A.M.; Garcia, H. Metal-organic framework (MOF) compounds: Photocatalysts for redox reactions and solar fuel production. Angew. Chem. Int. Ed. 2016, 55, 5414–5445. [Google Scholar] [CrossRef]
- Tang, T.; Lu, G.N.; Wang, R.; Qiu, Z.Y.; Huang, K.B.; Lian, W.J.; Tao, X.Q.; Dang, Z.; Yin, H. Rate constants for the reaction of hydroxyl and sulfate radicals with organophosphorus esters (OPEs) determined by competition method. Ecotoxicol. Environ. Saf. 2019, 170, 300–305. [Google Scholar] [CrossRef]
- Huang, J.N.; Gao, Z.Q.; Hu, G.J.; Su, G.Y. Non-target screening and risk assessment of organophosphate esters (OPEs) in drinking water resource water, surface water, groundwater, and seawater. Environ. Int. 2022, 168, 107443. [Google Scholar] [CrossRef]
- Yang, Y.Q.; Gu, Y.X.; Lin, H.D.; Jie, B.R.; Zheng, Z.H.; Zhang, X.D. Bicarbonate-enhanced iron-based Prussian blue analogues catalyze the Fenton-like degradation of p-nitrophenol. J. Colloid Interface Sci. 2022, 608, 2884–2895. [Google Scholar] [CrossRef]
- Awfa, D.; Ateia, M.; Fujii, M.; Yoshimura, C. Photocatalytic degradation of organic micropollutants: Inhibition mechanisms by different fractions of natural organic matter. Water Res. 2020, 174, 115643. [Google Scholar] [CrossRef]
- Ou, H.S.; Liu, J.; Ye, J.S.; Wang, L.L.; Gao, N.Y.; Ke, J. Degradation of tris(2-chloroethyl) phosphate by ultraviolet-persulfate: Kinetics, pathway and intermediate impact on proteome of Escherichia coli. Chem. Eng. J. 2017, 308, 386–395. [Google Scholar] [CrossRef]
- Wu, L.P.; Chladkova, B.; Lechtenfeld, O.J.; Lian, S.J.; Schindelka, J.; Herrmann, H.; Richnow, H.H. Characterizing chemical transformation of organophosphorus compounds by 13C and 2H stable isotope analysis. Sci. Total Environ. 2018, 615, 20–28. [Google Scholar] [CrossRef] [PubMed]
- Zhi, Y.; Zhang, C.H.; Hjorth, R.; Baun, A.; Duckworth, O.W.; Call, D.F.; Knappe, D.R.U.; Jones, J.L.; Grieger, K. Emerging lanthanum (III)-containing materials for phosphate removal from water: A review towards future developments. Environ. Int. 2020, 145, 106115. [Google Scholar] [CrossRef] [PubMed]
- Hu, H.; Zhang, H.X.; Chen, Y.J.; Ou, H. Enhanced photocatalysis using metal-organic framework MIL-101(Fe) for organophosphate degradation in water. Environ. Sci. Pollut. Res. Int. 2019, 26, 24720–24732. [Google Scholar] [CrossRef]
- Zhao, Q.Y.; Zhao, Z.Y.; Rao, R.Z.; Yang, Y.; Ling, S.Y.; Bi, F.K.; Shi, X.Y.; Xu, J.C.; Lu, G.; Zhang, X.D. Universitetet i Oslo-67 (UiO-67)/graphite oxide composites with high capacities of toluene: Synthesis strategy and adsorption mechanism insight. J. Colloid Interface Sci. 2022, 627, 385–397. [Google Scholar] [CrossRef] [PubMed]
- de Sousa Rios, M.A.; Mazzetto, S.E. Effect of organophosphate antioxidant on the thermo-oxidative degradation of a mineral oil. J. Therm. Anal. Calorim 2012, 111, 553–559. [Google Scholar] [CrossRef]
- Bazargan, G.; Schweigert, I.V.; Gunlycke, D. Adsorption of organophosphate nerve agent VX on the (101) surface of anatase titanium dioxide. Surf. Sci. 2022, 716, 121957. [Google Scholar] [CrossRef]
- Zheng, C.L.; Feng, S.S.; Liu, P.P.; Fries, E.; Wang, Q.R.; Shen, Z.X.; Liu, H.X.; Zhang, T.C. Sorption of organophosphate flame retardants on pahokee peat soil. Clean Soil Air Water 2016, 44, 1163–1173. [Google Scholar] [CrossRef]
- Almerindo, G.I.; Buratto, S.C.; Wanderlind, E.H.; Nicolazi, L.M.; Sangaletti, P.; Medeiros, M.; Schneider, F.S.S.; Caramori, G.F.; Parreira, R.L.T.; Micke, G.A.; et al. Kinetics and adsorption calculations: Insights into the MgO-catalyzed detoxification of simulants of organophosphorus biocides. J. Chem. A 2020, 8, 19011–19021. [Google Scholar] [CrossRef]
- Fan, S.; Lu, X.R.; Li, H.L.; Du, X.D.; Huang, X.Y.; Ma, Y.; Wang, J.; Tao, X.Q.; Dang, Z.; Lu, G. Efficient removal of organophosphate esters by ligand functionalized MIL-101 (Fe): Modulated adsorption and DFT calculations. Chemosphere 2022, 302, 134881. [Google Scholar] [CrossRef]
- Liu, T.; Lu, S.Y.; Wang, R.W.; Xu, S.R.; Qin, P.; Gao, Y.S. Behavior of selected organophosphate flame retardants (OPFRs) and their influence on rhizospheric microorganisms after short-term exposure in integrated vertical-flow constructed wetlands (IVCWs). Sci. Total Environ. 2020, 710, 136403. [Google Scholar] [CrossRef]
- Pang, L.; Ge, L.M.; Yang, P.J.; He, H.; Zhang, H.Z. Degradation of organophosphate esters in sewage sludge: Effects of aerobic/anaerobic treatments and bacterial community compositions. Bioresour. Technol. 2018, 255, 16–21. [Google Scholar] [CrossRef] [PubMed]
- Pang, L.; Huang, Z.L.; Yang, P.J.; Wu, M.K.; Zhang, Y.Y.; Pang, R.; Jin, B.D.; Zhang, R.M. Effects of biochar on the degradation of organophosphate esters in sewage sludge aerobic composting. J. Hazard. Mater. 2023, 442, 130047. [Google Scholar] [CrossRef] [PubMed]
- Yang, B.W.; Cheng, Z.W.; Shen, Z.M. Decomposition of 14 organophosphate flame retardants during supercritical water oxidation. J. Taiwan Inst. Chem. Eng. 2019, 95, 40–47. [Google Scholar] [CrossRef]
- Li, Y.; Yao, C.; Zheng, Q.X.; Yang, W.; Niu, X.M.; Zhang, Y.C.; Lu, G.H. Occurrence and ecological implications of organophosphate triesters and diester degradation products in wastewater, river water, and tap water. Environ. Pollut. 2020, 259, 113810. [Google Scholar] [CrossRef]
- Lao, Z.L.; Li, H.R.; Liao, Z.C.; Liu, Y.Y.; Ying, G.G.; Song, A.M.; Liu, M.Y.; Liu, H.H.; Hu, L.X. Spatiotemporal transitions of organophosphate esters (OPEs) and brominated flame retardants (BFRs) in sediments from the Pearl River Delta, China. Sci. Total Environ. 2023, 855, 158807. [Google Scholar] [CrossRef] [PubMed]




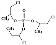
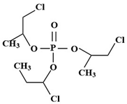
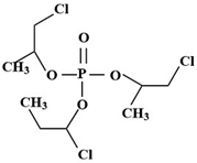
| Targets | Chemical Structures | Method | Light | Mechanism | Ref. |
|---|---|---|---|---|---|
| TBEP | ![]() | TiO2/V2O5 | Vis | •OH, carboxylation, hydroxylation, dechlorination | [69] |
| (N, F-doped)-TiO2/V2O5 | |||||
| N-doped-SrTiO3 | |||||
| TCEP | ![]() | 185 + 254 nm | UV | •OH attacked the center of phosphate and terminal Cl− | [54] |
| TCEP | ![]() | TiO2 + 350 nm | UV | •OH, initially oxidized to diesters, then to monoesters, and finally to phosphates | [27] |
| TCPP | ![]() | UV/H2O2 | UV | •OH | [51] |
| TCPP | ![]() | UV/TiO2 | UV | •OH | [38] |
| TCEP | ![]() | MIL-101(Fe) + PMS | 420 nm | SO4•− | [57] |
| TCPP | ![]() | MIL-88A + H2O2 | Vis | •OH | [58] |
| TCPP | ![]() | MIL-88B-NH2 + H2O2 | Vis | •OH, carboxylation, hydroxylation, dechlorination | [61] |
| TCEP | ![]() | GO@MIL-101(Fe) | Vis | •OH, hydroxylation, carbonylation, carboxylation | [62] |
| TCPP | ![]() | N/N, S doped-TiO2 | UV-vis | Under the simulated sunlight was •OH Under visible light was ROS | [39] |
| TBEP | ![]() | V2O5/TiO2 N-doped-SrTiO3 | UV-vis | •OH, multiple hydroxylation, and oxidation | [69] |
| Targets | Kinetics | Isotherms | Method | Mechanism | Ref. |
|---|---|---|---|---|---|
| TEP, TCEP, TCPP, TBP, TPhP | Pseudo-second | Langmuir/Freundlich | Four types AC (GAC) (PAC) (R-GAC) (O-GAC) | Hydrophobic effect, π-π interactions, electrostatic attraction, hydrogen bonding | [70] |
| TCEP, TCPP, TnBP, TBEP, TPhP | - | Dubinin–Ashtakhov | Four types carbon nanotubes (MWCNTs), (SWCNTs), (O-MWCNTs) (O-SWCNTs) | - | [40] |
| TCPP | Pseudo-second | Langmuir/Freundlich | PC/Nano-Fe3O4 composites | van der Waals forces, EDA interaction, hydrogen bonding | [71] |
| TCEP, TCPP, TBP, TPhP, TPPO | Pseudo-second | Langmuir | 2.5 mg resins (XAD4 and XAD7hP) | Monolayer adsorption, electrostatic and hydrogen bond interactions | [72] |
| TCEP | Pseudo-first | Langmuir/Freundlich | HD1/H2O2 | electrostatic adsorption and inner layer complexation | [41] |
| TnBP, TCEP | Pseudo-first order/pseudo-second | Langmuir/Freundlich | PE/PVC | pore-filling and monolayer coverage | [73] |
Disclaimer/Publisher’s Note: The statements, opinions and data contained in all publications are solely those of the individual author(s) and contributor(s) and not of MDPI and/or the editor(s). MDPI and/or the editor(s) disclaim responsibility for any injury to people or property resulting from any ideas, methods, instructions or products referred to in the content. |
© 2023 by the authors. Licensee MDPI, Basel, Switzerland. This article is an open access article distributed under the terms and conditions of the Creative Commons Attribution (CC BY) license (https://creativecommons.org/licenses/by/4.0/).
Share and Cite
Dang, Y.; Tang, K.; Wang, Z.; Cui, H.; Lei, J.; Wang, D.; Liu, N.; Zhang, X. Organophosphate Esters (OPEs) Flame Retardants in Water: A Review of Photocatalysis, Adsorption, and Biological Degradation. Molecules 2023, 28, 2983. https://doi.org/10.3390/molecules28072983
Dang Y, Tang K, Wang Z, Cui H, Lei J, Wang D, Liu N, Zhang X. Organophosphate Esters (OPEs) Flame Retardants in Water: A Review of Photocatalysis, Adsorption, and Biological Degradation. Molecules. 2023; 28(7):2983. https://doi.org/10.3390/molecules28072983
Chicago/Turabian StyleDang, Yi, Kexin Tang, Zhihao Wang, Haopeng Cui, Jianqiu Lei, Denghui Wang, Ning Liu, and Xiaodong Zhang. 2023. "Organophosphate Esters (OPEs) Flame Retardants in Water: A Review of Photocatalysis, Adsorption, and Biological Degradation" Molecules 28, no. 7: 2983. https://doi.org/10.3390/molecules28072983
APA StyleDang, Y., Tang, K., Wang, Z., Cui, H., Lei, J., Wang, D., Liu, N., & Zhang, X. (2023). Organophosphate Esters (OPEs) Flame Retardants in Water: A Review of Photocatalysis, Adsorption, and Biological Degradation. Molecules, 28(7), 2983. https://doi.org/10.3390/molecules28072983












