The Influence of Pulsed Electric Field and Air Temperature on the Course of Hot-Air Drying and the Bioactive Compounds of Apple Tissue
Abstract
1. Introduction
2. Results
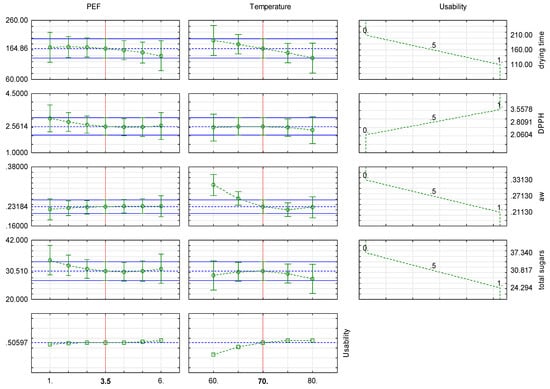
2.1. The Influence of PEF on the Kinetics of Drying Apple Tissue
2.2. Influence of PEF on Water Activity of Dried Apple Tissue
2.3. Influence of PEF on Total Polyphenol Content and Flavonoid Content in Dried Apple Tissue
2.4. The Influence of PEF on the Vitamin C Content in Dried Apple Tissue
2.5. The Influence of PEF on the Antioxidant Activity of Dried Apple Tissue
2.6. The Influence of PEF on the Content of Sugars in Dried Apple Tissue
2.7. The Influence of PEF on the Chemical Properties of Dried Apple Tissue (FTIR Method)
3. Discussion
4. Materials and Methods
4.1. Materials
4.2. Technological Methods
4.2.1. Pulsed Electric Field Application
4.2.2. Hot Air (Convective) Drying
4.3. Analytical Methods
4.3.1. Determination of the Kinetics of the Drying Process
4.3.2. Determination of the Water Content
4.3.3. Determination of Water Activity
4.3.4. Determination of Total Polyphenol Content (TPC)
4.3.5. Determination of Total Flavonoid Content
4.3.6. Determination of Antioxidant Capacity (AC) on the Basis of Free Radical Scavenging DPPH and Ferric Antioxidant Reducing Power (RP)
4.3.7. Determination of Vitamin C Content
4.3.8. Total Sugar Content (Sucrose, Glucose, Fructose, and Sorbitol)
4.3.9. Fourier Transform Infrared Spectroscopy (FTIR)
4.4. Statistical Methods
5. Conclusions
Author Contributions
Funding
Institutional Review Board Statement
Informed Consent Statement
Data Availability Statement
Conflicts of Interest
Sample Availability
References
- Vargas, L.; Kapoor, R.; Nemzer, B.; Feng, H. Application of different drying methods for evaluation of phytochemical content and physical properties of broccoli, kale, and spinach. LWT 2022, 155, 112892. [Google Scholar] [CrossRef]
- An, N.-N.; Sun, W.-H.; Li, B.-Z.; Wang, Y.; Shang, N.; Lv, W.-Q.; Li, D.; Wang, L.-J. Effect of different drying techniques on drying kinetics, nutritional components, antioxidant capacity, physical properties and microstructure of edamame. Food Chem. 2022, 373, 131412. [Google Scholar] [CrossRef] [PubMed]
- Janowicz, M.; Domian, E.; Lenart, A.; Pomarańska-Łazuka, W. Charakterystyka suszenia konwekcyjnego jabłek odwadnianych osmotycznie w roztworze sacharozy. Żywn. Nauka Technol. Jakość 2008, 4, 190–198. [Google Scholar]
- Kaur, M.; Modi, V.K.; Sharma, H.K. Effect of carbonation and ultrasonication assisted hybrid drying techniques on physical properties, sorption isotherms and glass transition temperature of banana (Musa) peel powder. Powder Technol. 2021, 396, 519–534. [Google Scholar] [CrossRef]
- Sagar, V.R.; Kumar, S.P. Recent advances in drying and dehydration of fruits and vegetables: A review. J. Food Sci. Technol. 2010, 47, 15–26. [Google Scholar] [CrossRef] [PubMed]
- Kouchakzadeh, A.; Shafeei, S. Modeling of microwave-convective drying of pistachios. Energy Convers. Manag. 2010, 51, 2012–2015. [Google Scholar] [CrossRef]
- Szadzińska, J.; Mierzwa, D. The influence of hybrid drying (microwave-convective) on drying kinetics and quality of white mushrooms. Chem. Eng. Process.-Process Intensif. 2010, 167, 108532. [Google Scholar] [CrossRef]
- Yu, Y.; Jin, T.Z.; Xiao, G. Effects of pulsed electric fields pretreatment and drying method on drying characteristics and nutritive quality of blueberries. J. Food Process. Preserv. 2017, 41, 13303. [Google Scholar] [CrossRef]
- Mello, R.E.; Fontana, A.; Mulet, A.; Correa, J.L.G.; Caler, J.A. PEF as pretreatment to ultrasound-assisted convective drying: Influence on quality parameters of orange peel. Innov. Food Sci. Emerg. Technol. 2021, 72, 102753. [Google Scholar] [CrossRef]
- Wiktor, A.; Witrowa-Rajchert, D. Zastosowanie pulsacyjnego pola elektrycznego do wspomagania procesów usuwania wody z tkanek roślinnych. Żywn. Nauka Technol. Jakość 2012, 2, 22–32. [Google Scholar]
- Thamkaew, G.; Gómez Galindo, F. Influence of pulsed and moderate electric field protocol on the reversible permeabilization and drying of Thai basil leaves. Innov. Food Sci. Emerg. Technol. 2020, 64, 102430. [Google Scholar] [CrossRef]
- Rahamana, A.; Siddeeg, A.; Manzoor, M.F.; Zeng, X.-A.; Ali, S.; Baloch, Z.; Li, J.; Wen, Q.-H. Impact of pulsed eletric field treatment on drying kinetics, mass transfer, colour parameters and microstructure of pulm. J. Food Sci. Technol. 2019, 56, 2670–2678. [Google Scholar] [CrossRef] [PubMed]
- Mirzaei-Baktash, H.; Hamdami, N.; Torabi, P.; Fallah-Joshaqani, S.; Dalvi-Isfahan, M. Impact of different pretreatments on drying kinetics and quality of buttom mushroom slices dried by hot-air or electrohydrodynamic drying. Food Sci. Technol. 2022, 155, 112894. [Google Scholar]
- Yamakage, K.; Yamada, T.; Takahashi, K.; Takaki, K.; Komuro, M.; Sasaki, K.; Aoki, H.; Kamagata, J.; Koide, S.; Orikasa, T. Impact of pre-treatment with pulsed electric field on drying rate and changes in spinach quality during hot air drying. Innov. Food Sci. Emerg. Technol. 2021, 68, 102615. [Google Scholar] [CrossRef]
- Lammerskitten, A.; Shrstkii, I.; Parniakov, O.; Mykhailyk, V.; Toepfl, S.; Rybak, K.; Dadan, M.; Nowacka, M.; Wiktor, A. The effect of different methods of mango drying assisted by a pulsed electric field on chemical and physical properties. J. Food Process. Preserv. 2020, 44, 14973. [Google Scholar] [CrossRef]
- Wiktor, A.; Iwaniuk, M.; Śledź, M.; Nowacka, M.; Chudoba, T.; Witrowa-Rajchert, D. Drying kinetics of apple tissue treated by pulsed electric field. Dry. Technol. 2013, 31, 112–119. [Google Scholar] [CrossRef]
- Ostermeier, R.; Parniakov, O.; Töpfl, S.; Jäger, H. Applicability of Pulsed Electric Field (PEF) Pre-Treatment for a Convective Two-Step Drying Process. Foods 2020, 9, 512. [Google Scholar] [CrossRef]
- Chauhan, O.P.; Sayanfar, S.; Teopfl, S. Effect of pulsed electric field on texture and drying time of apple slices. J. Food Sci. Technol. 2018, 55, 2251–2258. [Google Scholar] [CrossRef]
- Skorupska, E. Badanie procesu suszenia konwekcyjnego pietruszki korzeniowej. Inż. Rol. 2005, 9, 313–320. [Google Scholar]
- Pałacha, Z. Aktywność wody ważny parametr trwałości żywności. Przem. Spoż. 2008, 4, 22–26. [Google Scholar]
- Sadowska, A.; Świderski, F.; Kromołowska, R. Polifenole-źródło naturalnych przeciwutleniaczy. Postępy Tech. Przetw. Spoż. 2011, 1, 108–111. [Google Scholar]
- Nowacka, M.; Witrowa-Rajchert, D.; Ruła, J. Wpływ procesów technologicznych na aktywność przeciwutleniającą i zawartość polifenoli w tkance jabłka. Postępy Tech. Przetw. Spoż. 2011, 2, 12–15. [Google Scholar]
- Lammerskitten, A.; Wiktor, A.; Siemer, C.; Toepfl, S.; Mykhailyk, V.; Gondek, E.; Rybak, K.; Witrowa-Rajchert, D.; Parniakov, O. The effects of pulsed electric fields on the quality parameters of freeze-dried apples. J. Food Eng. 2019, 252, 36–43. [Google Scholar] [CrossRef]
- Wang, L.; Boussetta, N.; Lebovka, N.; Vorobiev, E. Cell disintegration of apple peels induced by pulsed electric field and efficiency of bio-compound extraction. Food Bioprod. Process. 2020, 122, 13–21. [Google Scholar] [CrossRef]
- Janda, K.; Kasprzak, M.; Wolska, J. Witamina C—Budowa, właściwości, funkcje i występowanie. Pom. J. Life Sci. 2015, 61, 419–425. [Google Scholar] [CrossRef]
- Zawada, K. Znaczenie witaminy C dla organizmu człowieka. Herbalism 2016, 1, 22–34. [Google Scholar] [CrossRef]
- Morales-de la Peña, M.; Salvia-Trujillo, L.; Rojas-Graü, M.A.; Martín-Belloso, O. Impact of high intensity pulsed electric field on antioxidant properties and quality parameters of a fruit juice–soymilk beverage in chilled storage. LWT 2010, 43, 872–881. [Google Scholar] [CrossRef]
- Olędzki, R. Potencjał antyoksydacyjny owoców i warzyw oraz jego wpływ na zdrowie człowieka. Nauk. Inż. Technol. 2012, 1, 44–54. [Google Scholar]
- Zych, I.; Krzepiłko, A. Pomiar całkowitej zdolności antyoksydacyjnej wybranych antyoksydantów i naparów metodą redukcji rodnika DPPH. Chem. Dydakt. Ekol. Metrol. 2010, 15, 51–54. [Google Scholar]
- Huang, W.; Feng, Z.; Aila, R.; Hou, Y.; Carne, A.; Ahmed Bekhit, A.E.-D. Effect of pulsed electric fields (PEF) on physico-chemical properties, β-carotene and antioxidant activity of air-dried apricots. Food Chem. 2019, 291, 253–262. [Google Scholar] [CrossRef]
- Yakubu, N.; Amuzat, A.O.; Hamza, R.U. Effect of processing methods on the nutritional contents of bitter leaf (Vernonia amygdalina). Am. J. Food Nutr. 2012, 2, 26–30. [Google Scholar] [CrossRef]
- Adefegha, S.A.; Oboh, G. Enhancement of total phenolics and antioxidant properties of some tropical green leafy vegetables by steam cooking. J. Food Process. Preserv. 2011, 35, 615–622. [Google Scholar] [CrossRef]
- Edwards, C.H.; Rossi, M.; Corpe, C.P.; Butterworth, P.J.; Ellis, P.R. The role of sugars and sweeteners in food, diet and health: Alternatives for the future. Trends Food Sci. Technol. 2016, 56, 158–166. [Google Scholar] [CrossRef]
- Misra, V.; Shrivastava, A.K.; Shukla, S.P.; Ansari, M.I. Effect of sugar intake towards human health. Saudi J. Med. 2016, 1, 29–36. [Google Scholar]
- Begić-Akagić, A.; Spaho, N.; Gaši, F.; Drkenda, P.; Vranac, A.; Meland, M.; Salkić, B. Sugar and organic acid profiles of the traditional and international apple cultivars for processing. J. Hyg. Eng. Des. 2014, 7, 190–196. [Google Scholar] [CrossRef]
- Ticha, A.; Salejda, A.M.; Hyšpler, R.; Matejicek, A.; Paprstein, F.; Zadak, Z. Sugar composition of apple cultivars and its relationship to sensory evaluation. Żywn. Nauka Technol. Jakość 2015, 22, 137–150. [Google Scholar] [CrossRef]
- Fang, T.; Cai, Y.; Yang, Q.; Ogutu, C.O.; Liao, L.; Han, Y. Analysis of sorbitol content variation in wild and cultivated apples. J. Sci. Food Agric. 2020, 100, 139–144. [Google Scholar] [CrossRef]
- Cichowska, J.; Woźniak, Ł.; Figiel, A.; Witrowa-Rajchert, D. The influence of osmotic dehydration in polyols solutions on sugar profiles and color changes of apple tissue. Period. Polytech. Chem. Eng. 2020, 64, 530–538. [Google Scholar] [CrossRef]
- Wojdyło, A.; Lech, K.; Nowicka, P. Effects of Different Drying Methods on the Retention of Bioactive Compounds, On-Line Antioxidant Capacity and Color of the Novel Snack from Red-Fleshed Apples. Molecules 2020, 25, 5521. [Google Scholar] [CrossRef]
- Delgado, T.; Pereira, J.A.; Ramalhosa, E.; Casal, S. Effect of hot air convective drying on sugar composition of chestnut (Castanea sativa Mill.) slices. J. Food Process. Preserv. 2018, 42, e13567. [Google Scholar] [CrossRef]
- Mitrović, O.; Popović, B.; Miletić, N.; Leposavić, A.; Korićanac, A. Effect of drying on the change of sugar content in plum fruits. In Proceedings of the X International Scientific Agriculture Symposium AGROSYM, Jahorina, Bosnia and Herzegovina, 3–6 October 2019; pp. 372–378. [Google Scholar]
- Macedo, L.L.; Vimercati, W.C.; da Silva Araújo, C.; Saraiva, S.H.; Teixeira, L.J.Q. Effect of drying air temperature on drying kinetics and physicochemical characteristics of dried banana. J. Food Process Eng. 2020, 43, e13451. [Google Scholar] [CrossRef]
- Rybak, K.; Wiktor, A.; Witrowa-Rajchert, D.; Parniakov, O.; Nowacka, M. The effect of traditional and non-thermal treatments on the bioactive compounds and sugars content of red bell pepper. Molecules 2020, 25, 4287. [Google Scholar] [CrossRef] [PubMed]
- Oziembłowski, M.; Trenka, M.; Czaplicka, M.; Maksimowski, D.; Nawirska-Olszańska, A. Selected Properties of Juices from Black Chokeberry (Aronia melanocarpa L.) Fruits Preserved Using the PEF Method. Appl. Sci. 2022, 12, 7008. [Google Scholar] [CrossRef]
- Rybak, K.; Wiktor, A.; Kaveh, M.; Dadan, M.; Witrowa-Rajchert, D.; Nowacka, M. Effect of Thermal and Non-Thermal Technologies on Kinetics and the Main Quality Parameters of Red Bell Pepper Dried with Convective and Microwave–Convective Methods. Molecules 2022, 27, 2164. [Google Scholar] [CrossRef]
- Bureau, S.; Cozzolino, D.; Clark, C.J. Contributions of Fourier-transform mid infrared (FT-MIR) spectroscopy to the study of fruit and vegetables: A review. Postharvest Biol. Technol. 2019, 148, 1–14. [Google Scholar] [CrossRef]
- Lan, W.; Renard, C.M.G.C.; Jaillais, B.; Leca, A.; Bureau, S. Fresh, freeze-dried or cell wall samples: Which is the most appropriate to determine chemical, structural and rheological variations during apple processing using ATR-FTIR spectroscopy. Food Chem. 2020, 330, 127357. [Google Scholar] [CrossRef]
- Nizamlioglu, N.M.; Yasar, S.; Bulut, Y. Chemical versus infrared spectroscopic measurements of quality attributes of sun or oven dried fruit leathers from apple, plum and apple-plum mixture. LWT-Food Sci. Technol. 2022, 153, 112420. [Google Scholar] [CrossRef]
- Iskandar, W.M.E.; Ong, H.R.; Khan, M.R.; Ramli, R. Effect of ultrasonication on alkaline treatment of empty fruit bunch fibre: Fourier Transform Infrared Spectroscopy (FTIR) and morphology study. Mater. Today Proc. 2022, 1092, 2840–2843. [Google Scholar] [CrossRef]
- Ahmed, Z.; Manzoor, M.F.; Hussain, A.; Hanif, M.; Din, Z.u.; Zeng, X.-A. -A. Study the impact of ultra-sonication and pulsed electric field on the quality of wheat plantlet juice through FTIR and SERS. Ultrason. Sonochem. 2021, 76, 105648. [Google Scholar] [CrossRef]
- Niu, D.; Ren, E.-F.; Li, J.; Zeng, X.-A.; Li, S.-L. Effects of pulsed electric field-assisted treatment on the extraction, antioxidant activity and structure of naringin. Sep. Purif. Technol. 2021, 265, 118480. [Google Scholar] [CrossRef]
- Seremet, L.; Botez, E.; Nistor, O.-V.; Andronoiu, D.G.; Mocanu, G.-D. Effect of different drying methods on moisture ratio and rehydration of pumpkin slices. Food Chem. 2016, 195, 104–109. [Google Scholar] [CrossRef]
- AOAC International. Official Methods of Analysis of AOAC International, 17th ed.; The Association of Official Analytical Chemists: Gaithersburg, MD, USA, 2002. [Google Scholar]
- Kahraman, O.; Malvandi, A.; Vargas, L.; Feng, H. Drying characteristics and quality attributes of apple slices dried by a non-thermal ultrasonic contact drying method. Ultrason. Sonochem. 2021, 73, 105510. [Google Scholar] [CrossRef]
- Vidal-Gutiérrez, M.; Robles-Zepeda, R.E.; Vilegas, W.; Gonzalez-Aguilar, G.A.; Torres-Moreno, H.; López-Romero, J.C. Phenolic composition and antioxidant activity of Bursera microphylla A. Gray. Ind. Crops Prod. 2020, 152, 112412. [Google Scholar] [CrossRef]
- Tian, W.; Chen, G.; Tilley, M.; Li, Y. Changes in phenolic profiles and antioxidant activities during the whole wheat bread-making process. Food Chem. 2021, 345, 128851. [Google Scholar] [CrossRef] [PubMed]
- Zhao, H.; Avena-Bustillos, R.J.; Wang, S.C. Extraction, purification and in vitro antioxidant activity evaluation of phenolic compounds in California Olive Pomace. Foods 2022, 11, 174. [Google Scholar] [CrossRef]
- Simonovska, J.; Škerget, M.; Knez, Ž.; Srbinoska, M.; Kavrakovski, Z.; Grozdanov, A.; Rafajlovsk, V. Physicochemical characterization and bioactive compounds of stalk from hot fruits of Capsicum annuum L. Maced. J. Chem. Chem. Eng. 2016, 35, 199–208. [Google Scholar] [CrossRef]
- Spínola, V.; Mendes, B.; Câmara, J.S.; Castilho, P.C. Effect of time and temperature on vitamin C stability in horticultural extracts. UHPLC-PDA vs iodometric titration as analytical methods. LWT-Food Sci. Technol. 2013, 50, 489–495. [Google Scholar] [CrossRef]
- El Kossori, R.L.; Villaume, C.; El Boustani, E.; Sauvaire, Y.; Méjean, L. Composition of pulp, skin and seeds of prickly pears fruit (Opuntia ficus indica sp.). Plant Foods Hum. Nutr. 1998, 52, 263–270. [Google Scholar] [CrossRef]












| Material | Fresh Apple |
|---|---|
| Water content (%) | 16 ± 0.01 |
| Water activity (-) | 0.986 ± 0.04 |
| Bioactive compounds | |
| TPC (mg ChlA/100 g d.m.) | 1683 ± 2 |
| TFC (mg QE/100 g d.m.) | 715 ± 8 |
| Vitamin C (mg/100 g d.m.) | 143.2 ± 5.0 |
| Antioxidant capacity | |
| AC (mg TE/100 g d.m.) | 4.33 ± 0.06 |
| RP (mg TE/100 g d.m.) | 20.48 ± 0.72 |
| Sugar content (g/100 g d.m.) | 36.71 ± 2.99 |
| Sucrose (g/100 g d.m.) | 4.94 ± 0.24 |
| Glucose (g/100 g d.m.) | 6.11 ± 0.68 |
| Fructose (g/100 g d.m.) | 24.8 ± 2.02 |
| Sorbitol (g/100 g d.m.) | 0.86 ± 0.06 |
| Symbol | Process Parameters | Antioxidant Capacity (AC) | ||
|---|---|---|---|---|
| Temperature (°C) | PEF (kJ/kg) | DPPH (mg TE/g d.m.) | RP (mg TE/g d.m.) | |
| Control 60 °C | 60 | - | 3.31 ± 0.12 abcd* | 14.34 ± 0.99 c |
| PEF 1, 60 °C | 60 | 1 | 2.61 ± 0.04 abc | 9.42 ± 0.44 b |
| PEF 3.5, 60 °C | 60 | 3.5 | 2.73 ± 0.13 abcd | 7.40 ± 0.26 ab |
| PEF 6, 60 °C | 60 | 6 | 2.61 ± 0.28 abc | 7.19 ± 0.17 ab |
| Control 70 °C | 70 | - | 3.80 ± 0.11 d | 17.72 ± 0.14 d |
| PEF 1, 70 °C | 70 | 1 | 3.56 ± 0.28 cd | 9.64 ± 0.20 b |
| PEF 3.5, 70 °C | 70 | 3.5 | 2.51 ± 0.55 ab | 6.36 ± 1.40 a |
| PEF 6, 70 °C | 70 | 6 | 2.26 ± 0.17a | 5.35 ± 0.19 a |
| Control 80 °C | 80 | - | 3.46 ± 0.09 bcd | 15.23 ± 0.71 cd |
| PEF 1, 80 °C | 80 | 1 | 2.63 ± 0.03 abcd | 7.96 ± 0.28 ab |
| PEF 3.5, 80 °C | 80 | 3.5 | 2.29 ± 0.15 ab | 6.67 ± 0.17 ab |
| PEF 6, 80 °C | 80 | 6 | 2.59 ± 0.14 abc | 8.06 ± 0.27 ab |
| Drying Parameters | |||
|---|---|---|---|
| Drying Number | Symbol | Temperature (°C) | Energy PEF (kJ/kg) |
| 1 | PEF 1, 60 °C | 1 | 60 |
| 2 | PEF 1, 80 °C | 1 | 80 |
| 3 | PEF 6, 60 °C | 6 | 60 |
| 4 | PEF 6, 80 °C | 6 | 80 |
| 5 | PEF 1, 70 °C | 1 | 70 |
| 6 | PEF 6, 70 °C | 6 | 70 |
| 7 | PEF 3.5, 60 °C | 3.5 | 60 |
| 8 | PEF 3.5, 80 °C | 3.5 | 80 |
| 9 (A) | PEF 3.5, 70 °C | 3.5 | 70 |
| 10 (B) | PEF 3.5, 70 °C | 3.5 | 70 |
| 11 (C) | PEF 3.5, 70 °C | 3.5 | 70 |
| 12 | Control 60 °C | - | 60 |
| 13 | Control 70 °C | - | 70 |
| 14 | Control 80 °C | - | 80 |
Disclaimer/Publisher’s Note: The statements, opinions and data contained in all publications are solely those of the individual author(s) and contributor(s) and not of MDPI and/or the editor(s). MDPI and/or the editor(s) disclaim responsibility for any injury to people or property resulting from any ideas, methods, instructions or products referred to in the content. |
© 2023 by the authors. Licensee MDPI, Basel, Switzerland. This article is an open access article distributed under the terms and conditions of the Creative Commons Attribution (CC BY) license (https://creativecommons.org/licenses/by/4.0/).
Share and Cite
Ciurzynska, A.; Trusinska, M.; Rybak, K.; Wiktor, A.; Nowacka, M. The Influence of Pulsed Electric Field and Air Temperature on the Course of Hot-Air Drying and the Bioactive Compounds of Apple Tissue. Molecules 2023, 28, 2970. https://doi.org/10.3390/molecules28072970
Ciurzynska A, Trusinska M, Rybak K, Wiktor A, Nowacka M. The Influence of Pulsed Electric Field and Air Temperature on the Course of Hot-Air Drying and the Bioactive Compounds of Apple Tissue. Molecules. 2023; 28(7):2970. https://doi.org/10.3390/molecules28072970
Chicago/Turabian StyleCiurzynska, Agnieszka, Magdalena Trusinska, Katarzyna Rybak, Artur Wiktor, and Malgorzata Nowacka. 2023. "The Influence of Pulsed Electric Field and Air Temperature on the Course of Hot-Air Drying and the Bioactive Compounds of Apple Tissue" Molecules 28, no. 7: 2970. https://doi.org/10.3390/molecules28072970
APA StyleCiurzynska, A., Trusinska, M., Rybak, K., Wiktor, A., & Nowacka, M. (2023). The Influence of Pulsed Electric Field and Air Temperature on the Course of Hot-Air Drying and the Bioactive Compounds of Apple Tissue. Molecules, 28(7), 2970. https://doi.org/10.3390/molecules28072970

