Mutated Isocitrate Dehydrogenase (mIDH) as Target for PET Imaging in Gliomas
Abstract
1. Introduction
2. Oncogenic IDH Mutations and Their Implications for Gliomagenesis
3. Role of IDH Mutations for Glioma Classification
4. Current Approaches for Assessment of the IDH Status in Glioma
5. PET Imaging and Rationale for Development of mIDH-Selective Tracers
6. Considerations for the Development of mIDH-Selective PET-Tracers
6.1. General Considerations for Development of PET Neurotracers
6.2. Specific Considerations for Tracer Development from Existing mIDH Inhibitors
7. mIDH-Selective Inhibitors as Potential Leads for PET-Tracer Development
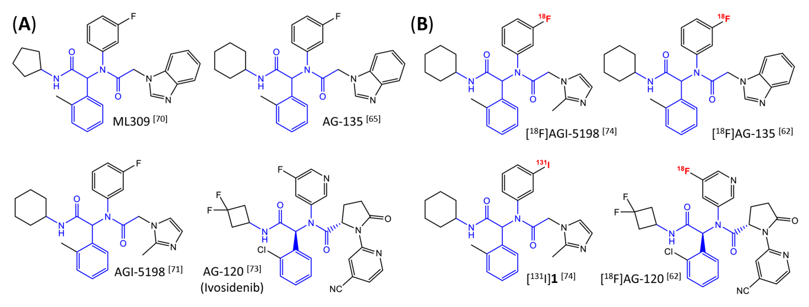
7.1. Phenylglycine-Derived mIDH1-Inhibitors
7.2. Pyrimidinyl-Oxazolidinone-Based mIDH1-Inhibitors
7.3. Aminobenzimidazole-Derived mIDH1-Inhibitors
7.4. Quinolinone-Based mIDH1-Inhibitors
7.5. Tetrahydropyrazolopyridine-Based mIDH1-Inhibitors
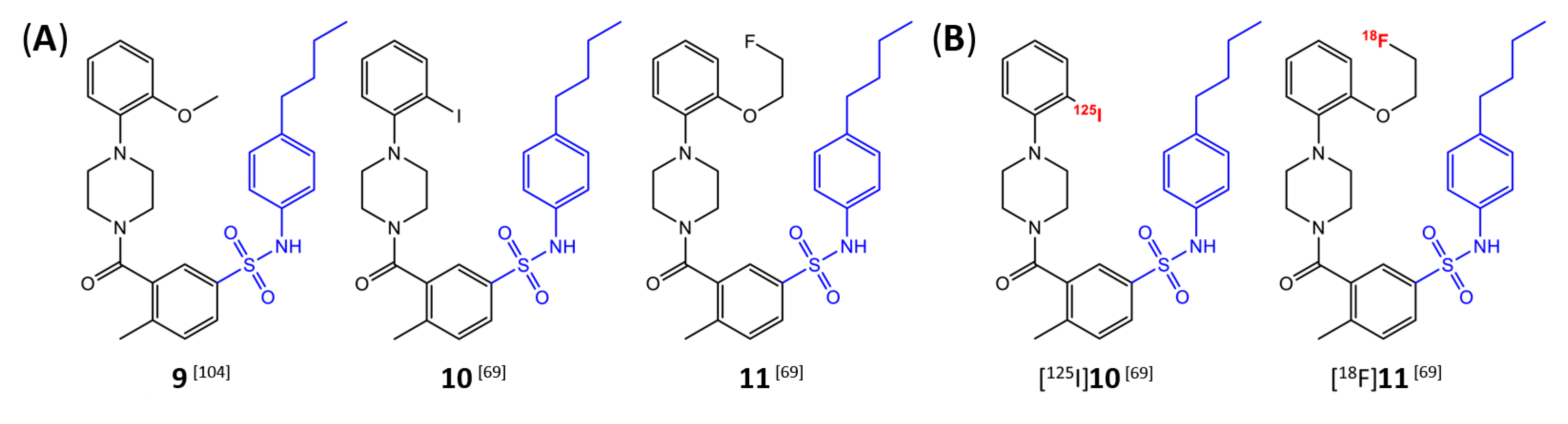
7.6. Butyl-Phenyl Sulfonamide-Based mIDH1-Inhibitors
7.7. Aminotriazine-Based mIDH2- and mIDH1/2-Inhibitors
8. Summary and Concluding Remarks
Author Contributions
Funding
Institutional Review Board Statement
Informed Consent Statement
Data Availability Statement
Conflicts of Interest
References
- Ostrom, Q.T.; Gittleman, H.; Truitt, G.; Boscia, A.; Kruchko, C.; Barnholtz-Sloan, J.S. CBTRUS Statistical Report: Primary Brain and Other Central Nervous System Tumors Diagnosed in the United States in 2011–2015. Neuro. Oncol. 2018, 20, iv1–iv86. [Google Scholar] [CrossRef] [PubMed]
- Reitman, Z.J.; Yan, H. Isocitrate Dehydrogenase 1 and 2 Mutations in Cancer: Alterations at a Crossroads of Cellular Metabolism. JNCI J. Natl. Cancer Inst. 2010, 102, 932–941. [Google Scholar] [CrossRef] [PubMed]
- Horbinski, C. What Do We Know about IDH1/2 Mutations so Far, and How Do We Use It? Acta Neuropathol. 2013, 125, 621–636. [Google Scholar] [CrossRef]
- Han, S.; Liu, Y.; Cai, S.J.; Qian, M.; Ding, J.; Larion, M.; Gilbert, M.R.; Yang, C. IDH Mutation in Glioma: Molecular Mechanisms and Potential Therapeutic Targets. Br. J. Cancer 2020, 122, 1580–1589. [Google Scholar] [CrossRef]
- Dang, L.; White, D.W.; Gross, S.; Bennett, B.D.; Bittinger, M.A.; Driggers, E.M.; Fantin, V.R.; Jang, H.G.; Jin, S.; Keenan, M.C.; et al. Cancer-Associated IDH1 Mutations Produce 2-Hydroxyglutarate. Nature 2009, 462, 739–744. [Google Scholar] [CrossRef]
- Cohen, A.L.; Holmen, S.L.; Colman, H. IDH1 and IDH2 Mutations in Gliomas. Curr. Neurol. Neurosci. Rep. 2013, 13, 345. [Google Scholar] [CrossRef]
- Jin, G.; Reitman, Z.J.; Spasojevic, I.; Batinic-Haberle, I.; Yang, J.; Schmidt-Kittler, O.; Bigner, D.D.; Yan, H. 2-Hydroxyglutarate Production, but Not Dominant Negative Function, Is Conferred by Glioma-Derived NADP+-Dependent Isocitrate Dehydrogenase Mutations. PLoS ONE 2011, 6, e16812. [Google Scholar] [CrossRef]
- Xu, W.; Yang, H.; Liu, Y.; Yang, Y.; Wang, P.; Kim, S.-H.; Ito, S.; Yang, C.; Wang, P.; Xiao, M.-T.; et al. Oncometabolite 2-Hydroxyglutarate Is a Competitive Inhibitor of α-Ketoglutarate-Dependent Dioxygenases. Cancer Cell 2011, 19, 17–30. [Google Scholar] [CrossRef] [PubMed]
- Yan, H.; Parsons, D.W.; Jin, G.; McLendon, R.; Rasheed, B.A.; Yuan, W.; Kos, I.; Batinic-Haberle, I.; Jones, S.; Riggins, G.J.; et al. IDH1 and IDH2 Mutations in Gliomas. N. Engl. J. Med. 2009, 360, 765–773. [Google Scholar] [CrossRef]
- Labussiere, M.; Idbaih, A.; Wang, X.-W.; Marie, Y.; Boisselier, B.; Falet, C.; Paris, S.; Laffaire, J.; Carpentier, C.; Criniere, E.; et al. All the 1p19q Codeleted Gliomas Are Mutated on IDH1 or IDH2. Neurology 2010, 74, 1886–1890. [Google Scholar] [CrossRef] [PubMed]
- Watanabe, T.; Nobusawa, S.; Kleihues, P.; Ohgaki, H. IDH1 Mutations Are Early Events in the Development of Astrocytomas and Oligodendrogliomas. Am. J. Pathol. 2009, 174, 1149–1153. [Google Scholar] [CrossRef] [PubMed]
- Yan, H.; Bigner, D.D.; Velculescu, V.; Parsons, D.W. Mutant Metabolic Enzymes Are at the Origin of Gliomas. Cancer Res. 2009, 69, 9157–9159. [Google Scholar] [CrossRef] [PubMed]
- Johannessen, T.-C.A.; Mukherjee, J.; Viswanath, P.; Ohba, S.; Ronen, S.M.; Bjerkvig, R.; Pieper, R.O. Rapid Conversion of Mutant IDH1 from Driver to Passenger in a Model of Human Gliomagenesis. Mol. Cancer Res. 2016, 14, 976–983. [Google Scholar] [CrossRef] [PubMed]
- Kayabolen, A.; Yilmaz, E.; Bagci-Onder, T. IDH Mutations in Glioma: Double-Edged Sword in Clinical Applications? Biomedicines 2021, 9, 799. [Google Scholar] [CrossRef] [PubMed]
- Ma, T.; Zou, F.; Pusch, S.; Xu, Y.; von Deimling, A.; Zha, X. Inhibitors of Mutant Isocitrate Dehydrogenases 1 and 2 (MIDH1/2): An Update and Perspective. J. Med. Chem. 2018, 61, 8981–9003. [Google Scholar] [CrossRef]
- Ohgaki, H.; Kleihues, P. The Definition of Primary and Secondary Glioblastoma. Clin. Cancer Res. 2013, 19, 764–772. [Google Scholar] [CrossRef] [PubMed]
- Brat, D.J.; Aldape, K.; Colman, H.; Figrarella-Branger, D.; Fuller, G.N.; Giannini, C.; Holland, E.C.; Jenkins, R.B.; Kleinschmidt-DeMasters, B.; Komori, T.; et al. CIMPACT-NOW Update 5: Recommended Grading Criteria and Terminologies for IDH-Mutant Astrocytomas. Acta Neuropathol. 2020, 139, 603–608. [Google Scholar] [CrossRef] [PubMed]
- Weller, M.; van den Bent, M.; Preusser, M.; Le Rhun, E.; Tonn, J.C.; Minniti, G.; Bendszus, M.; Balana, C.; Chinot, O.; Dirven, L.; et al. EANO Guidelines on the Diagnosis and Treatment of Diffuse Gliomas of Adulthood. Nat. Rev. Clin. Oncol. 2021, 18, 170–186. [Google Scholar] [CrossRef]
- Balss, J.; Meyer, J.; Mueller, W.; Korshunov, A.; Hartmann, C.; von Deimling, A. Analysis of the IDH1 Codon 132 Mutation in Brain Tumors. Acta Neuropathol. 2008, 116, 597–602. [Google Scholar] [CrossRef]
- Parsons, D.W.; Jones, S.; Zhang, X.; Lin, J.C.-H.; Leary, R.J.; Angenendt, P.; Mankoo, P.; Carter, H.; Siu, I.-M.; Gallia, G.L.; et al. An Integrated Genomic Analysis of Human Glioblastoma Multiforme. Science 2008, 321, 1807–1812. [Google Scholar] [CrossRef]
- The Cancer Genome Atlas Research Network Comprehensive, Integrative Genomic Analysis of Diffuse Lower-Grade Gliomas. N. Engl. J. Med. 2015, 372, 2481–2498. [CrossRef] [PubMed]
- Sanson, M.; Marie, Y.; Paris, S.; Idbaih, A.; Laffaire, J.; Ducray, F.; El Hallani, S.; Boisselier, B.; Mokhtari, K.; Hoang-Xuan, K.; et al. Isocitrate Dehydrogenase 1 Codon 132 Mutation Is an Important Prognostic Biomarker in Gliomas. J. Clin. Oncol. 2009, 27, 4150–4154. [Google Scholar] [CrossRef] [PubMed]
- Louis, D.N.; Perry, A.; Reifenberger, G.; von Deimling, A.; Figarella-Branger, D.; Cavenee, W.K.; Ohgaki, H.; Wiestler, O.D.; Kleihues, P.; Ellison, D.W. The 2016 World Health Organization Classification of Tumors of the Central Nervous System: A Summary. Acta Neuropathol. 2016, 131, 803–820. [Google Scholar] [CrossRef] [PubMed]
- Osborn, A.G.; Louis, D.N.; Poussaint, T.Y.; Linscott, L.L.; Salzman, K.L. The 2021 World Health Organization Classification of Tumors of the Central Nervous System: What Neuroradiologists Need to Know. Am. J. Neuroradiol. 2022, 43, 928–937. [Google Scholar] [CrossRef]
- Berger, T.R.; Wen, P.Y.; Lang-Orsini, M.; Chukwueke, U.N. World Health Organization 2021 Classification of Central Nervous System Tumors and Implications for Therapy for Adult-Type Gliomas. JAMA Oncol. 2022, 8, 1493. [Google Scholar] [CrossRef]
- Whitfield, B.T.; Huse, J.T. Classification of Adult-type Diffuse Gliomas: Impact of the World Health Organization 2021 Update. Brain Pathol. 2022, 32, e13062. [Google Scholar] [CrossRef]
- Choi, C.; Ganji, S.K.; DeBerardinis, R.J.; Hatanpaa, K.J.; Rakheja, D.; Kovacs, Z.; Yang, X.-L.; Mashimo, T.; Raisanen, J.M.; Marin-Valencia, I.; et al. 2-Hydroxyglutarate Detection by Magnetic Resonance Spectroscopy in IDH-Mutated Patients with Gliomas. Nat. Med. 2012, 18, 624–629. [Google Scholar] [CrossRef]
- Suh, C.H.; Kim, H.S.; Jung, S.C.; Choi, C.G.; Kim, S.J. 2-Hydroxyglutarate MR Spectroscopy for Prediction of Isocitrate Dehydrogenase Mutant Glioma: A Systemic Review and Meta-Analysis Using Individual Patient Data. Neuro. Oncol. 2018, 20, 1573–1583. [Google Scholar] [CrossRef]
- Suh, C.H.; Kim, H.S.; Paik, W.; Choi, C.; Ryu, K.H.; Kim, D.; Woo, D.-C.; Park, J.E.; Jung, S.C.; Choi, C.G.; et al. False-Positive Measurement at 2-Hydroxyglutarate MR Spectroscopy in Isocitrate Dehydrogenase Wild-Type Glioblastoma: A Multifactorial Analysis. Radiology 2019, 291, 752–762. [Google Scholar] [CrossRef]
- Biller, A.; Badde, S.; Nagel, A.; Neumann, J.-O.; Wick, W.; Hertenstein, A.; Bendszus, M.; Sahm, F.; Benkhedah, N.; Kleesiek, J. Improved Brain Tumor Classification by Sodium MR Imaging: Prediction of IDH Mutation Status and Tumor Progression. Am. J. Neuroradiol. 2016, 37, 66–73. [Google Scholar] [CrossRef]
- Shymanskaya, A.; Worthoff, W.A.; Stoffels, G.; Lindemeyer, J.; Neumaier, B.; Lohmann, P.; Galldiks, N.; Langen, K.-J.; Shah, N.J. Comparison of [18F]Fluoroethyltyrosine PET and Sodium MRI in Cerebral Gliomas: A Pilot Study. Mol. Imaging Biol. 2020, 22, 198–207. [Google Scholar] [CrossRef] [PubMed]
- Lohmann, P.; Lerche, C.; Bauer, E.K.; Steger, J.; Stoffels, G.; Blau, T.; Dunkl, V.; Kocher, M.; Viswanathan, S.; Filss, C.P.; et al. Predicting IDH Genotype in Gliomas Using FET PET Radiomics. Sci. Rep. 2018, 8, 13328. [Google Scholar] [CrossRef] [PubMed]
- Unterrainer, M.; Winkelmann, I.; Suchorska, B.; Giese, A.; Wenter, V.; Kreth, F.W.; Herms, J.; Bartenstein, P.; Tonn, J.C.; Albert, N.L. Biological Tumour Volumes of Gliomas in Early and Standard 20–40 Min 18F-FET PET Images Differ According to IDH Mutation Status. Eur. J. Nucl. Med. Mol. Imaging 2018, 45, 1242–1249. [Google Scholar] [CrossRef] [PubMed]
- Verger, A.; Stoffels, G.; Bauer, E.K.; Lohmann, P.; Blau, T.; Fink, G.R.; Neumaier, B.; Shah, N.J.; Langen, K.-J.; Galldiks, N. Static and Dynamic 18F–FET PET for the Characterization of Gliomas Defined by IDH and 1p/19q Status. Eur. J. Nucl. Med. Mol. Imaging 2018, 45, 443–451. [Google Scholar] [CrossRef] [PubMed]
- Vettermann, F.; Suchorska, B.; Unterrainer, M.; Nelwan, D.; Forbrig, R.; Ruf, V.; Wenter, V.; Kreth, F.-W.; Herms, J.; Bartenstein, P.; et al. Non-Invasive Prediction of IDH-Wildtype Genotype in Gliomas Using Dynamic 18F-FET PET. Eur. J. Nucl. Med. Mol. Imaging 2019, 46, 2581–2589. [Google Scholar] [CrossRef]
- Kong, Z.; Zhang, Y.; Liu, D.; Liu, P.; Shi, Y.; Wang, Y.; Zhao, D.; Cheng, X.; Wang, Y.; Ma, W. Role of Traditional CHO PET Parameters in Distinguishing IDH, TERT and MGMT Alterations in Primary Diffuse Gliomas. Ann. Nucl. Med. 2021, 35, 493–503. [Google Scholar] [CrossRef]
- Clément, A.; Zaragori, T.; Filosa, R.; Ovdiichuk, O.; Beaumont, M.; Collet, C.; Roeder, E.; Martin, B.; Maskali, F.; Barberi-Heyob, M.; et al. Multi-Tracer and Multiparametric PET Imaging to Detect the IDH Mutation in Glioma: A Preclinical Translational in Vitro, in Vivo, and Ex Vivo Study. Cancer Imaging 2022, 22, 16. [Google Scholar] [CrossRef]
- Ametamey, S.M.; Honer, M.; Schubiger, P.A. Molecular Imaging with PET. Chem. Rev. 2008, 108, 1501–1516. [Google Scholar] [CrossRef]
- Kostelnik, T.I.; Orvig, C. Radioactive Main Group and Rare Earth Metals for Imaging and Therapy. Chem. Rev. 2019, 119, 902–956. [Google Scholar] [CrossRef]
- Herzog, H. In Vivo Functional Imaging with SPECT and PET. Radiochim. Acta 2001, 89, 203–214. [Google Scholar] [CrossRef]
- Wollring, M.M.; Werner, J.-M.; Ceccon, G.; Lohmann, P.; Filss, C.P.; Fink, G.R.; Langen, K.-J.; Galldiks, N. Clinical Applications and Prospects of PET Imaging in Patients with IDH-Mutant Gliomas. J. Neurooncol. 2022; ahead of print. [Google Scholar] [CrossRef] [PubMed]
- Mansoor, N.M.; Thust, S.; Militano, V.; Fraioli, F. PET Imaging in Glioma. Nucl. Med. Commun. 2018, 39, 1064–1080. [Google Scholar] [CrossRef] [PubMed]
- Huang, L.E. Friend or Foe—IDH1 Mutations in Glioma 10 Years On. Carcinogenesis 2019, 40, 1299–1307. [Google Scholar] [CrossRef]
- Wick, A.; Bähr, O.; Schuler, M.; Rohrberg, K.; Chawla, S.P.; Janku, F.; Schiff, D.; Heinemann, V.; Narita, Y.; Lenz, H.-J.; et al. Phase I Assessment of Safety and Therapeutic Activity of BAY1436032 in Patients with IDH1-Mutant Solid Tumors. Clin. Cancer Res. 2021, 27, 2723–2733. [Google Scholar] [CrossRef]
- Neumaier, F.; Zlatopolskiy, B.D.; Neumaier, B. Nuclear Medicine in Times of COVID-19: How Radiopharmaceuticals Could Help to Fight the Current and Future Pandemics. Pharmaceutics 2020, 12, 1247. [Google Scholar] [CrossRef]
- Golub, D.; Iyengar, N.; Dogra, S.; Wong, T.; Bready, D.; Tang, K.; Modrek, A.S.; Placantonakis, D.G. Mutant Isocitrate Dehydrogenase Inhibitors as Targeted Cancer Therapeutics. Front. Oncol. 2019, 9, 417. [Google Scholar] [CrossRef] [PubMed]
- Tian, W.; Zhang, W.; Wang, Y.; Jin, R.; Wang, Y.; Guo, H.; Tang, Y.; Yao, X. Recent Advances of IDH1 Mutant Inhibitor in Cancer Therapy. Front. Pharmacol. 2022, 13, 982424. [Google Scholar] [CrossRef]
- Van de Bittner, G.C.; Ricq, E.L.; Hooker, J.M. A Philosophy for CNS Radiotracer Design. Acc. Chem. Res. 2014, 47, 3127–3134. [Google Scholar] [CrossRef]
- Pike, V.W. PET Radiotracers: Crossing the Blood–Brain Barrier and Surviving Metabolism. Trends Pharmacol. Sci. 2009, 30, 431–440. [Google Scholar] [CrossRef]
- Pike, V.W. Considerations in the Development of Reversibly Binding PET Radioligands for Brain Imaging. Curr. Med. Chem. 2016, 23, 1818–1869. [Google Scholar] [CrossRef]
- Shaw, R.C.; Tamagnan, G.D.; Tavares, A.A.S. Rapidly (and Successfully) Translating Novel Brain Radiotracers from Animal Research into Clinical Use. Front. Neurosci. 2020, 14, 871. [Google Scholar] [CrossRef] [PubMed]
- Wang, Y.; Zhang, F.; Xiong, N.; Xu, H.; Chai, S.; Wang, H.; Wang, J.; Zhao, H.; Jiang, X.; Fu, P.; et al. Remodelling and Treatment of the Blood-Brain Barrier in Glioma. Cancer Manag. Res. 2021, 13, 4217–4232. [Google Scholar] [CrossRef] [PubMed]
- Rathi, S.; Griffith, J.I.; Zhang, W.; Zhang, W.; Oh, J.; Talele, S.; Sarkaria, J.N.; Elmquist, W.F. The Influence of the Blood–Brain Barrier in the Treatment of Brain Tumours. J. Intern. Med. 2022, 292, 3–30. [Google Scholar] [CrossRef]
- Wager, T.T.; Hou, X.; Verhoest, P.R.; Villalobos, A. Moving beyond Rules: The Development of a Central Nervous System Multiparameter Optimization (CNS MPO) Approach to Enable Alignment of Druglike Properties. ACS Chem. Neurosci. 2010, 1, 435–449. [Google Scholar] [CrossRef]
- Zhang, L.; Villalobos, A.; Beck, E.M.; Bocan, T.; Chappie, T.A.; Chen, L.; Grimwood, S.; Heck, S.D.; Helal, C.J.; Hou, X.; et al. Design and Selection Parameters to Accelerate the Discovery of Novel Central Nervous System Positron Emission Tomography (PET) Ligands and Their Application in the Development of a Novel Phosphodiesterase 2A PET Ligand. J. Med. Chem. 2013, 56, 4568–4579. [Google Scholar] [CrossRef] [PubMed]
- Zhang, L.; Villalobos, A. Strategies to Facilitate the Discovery of Novel CNS PET Ligands. EJNMMI Radiopharm. Chem. 2016, 1, 13. [Google Scholar] [CrossRef]
- Neumaier, F.; Zlatopolskiy, B.D.; Neumaier, B. Drug Penetration into the Central Nervous System: Pharmacokinetic Concepts and In Vitro Model Systems. Pharmaceutics 2021, 13, 1542. [Google Scholar] [CrossRef]
- Ghosh, K.K.; Padmanabhan, P.; Yang, C.-T.; Mishra, S.; Halldin, C.; Gulyás, B. Dealing with PET Radiometabolites. EJNMMI Res. 2020, 10, 109. [Google Scholar] [CrossRef]
- Klenner, M.A.; Pascali, G.; Fraser, B.H.; Darwish, T.A. Kinetic Isotope Effects and Synthetic Strategies for Deuterated Carbon-11 and Fluorine-18 Labelled PET Radiopharmaceuticals. Nucl. Med. Biol. 2021, 96–97, 112–147. [Google Scholar] [CrossRef]
- Urban, D.J.; Martinez, N.J.; Davis, M.I.; Brimacombe, K.R.; Cheff, D.M.; Lee, T.D.; Henderson, M.J.; Titus, S.A.; Pragani, R.; Rohde, J.M.; et al. Assessing Inhibitors of Mutant Isocitrate Dehydrogenase Using a Suite of Pre-Clinical Discovery Assays. Sci. Rep. 2017, 7, 12758. [Google Scholar] [CrossRef]
- Chitneni, S.K.; Yan, H.; Zalutsky, M.R. Synthesis and Evaluation of a 18F-Labeled Triazinediamine Analogue for Imaging Mutant IDH1 Expression in Gliomas by PET. ACS Med. Chem. Lett. 2018, 9, 606–611. [Google Scholar] [CrossRef] [PubMed]
- Wang, T.; Lin, Q.; Zhang, Y.; Xu, Z.; Shi, D.; Cheng, Y.; Fu, Z.; Tan, H.; Cheng, D.; Shi, H. Synthesis and Biological Evaluation of Novel PET Tracers [18F]AG120 & [18F]AG135 for Imaging Mutant Isocitrate Dehydrogenase 1 Expression. Bioorg. Med. Chem. 2022, 53, 116525. [Google Scholar] [CrossRef] [PubMed]
- Salifu, E.Y.; Agoni, C.; Soliman, M.E.S. Highlighting the Mechanistic Role of Olutasidenib (FT-2102) in the Selective Inhibition of Mutated Isocitrate Dehydrogenase 1 (MIDH1) in Cancer Therapy. Informatics Med. Unlocked 2022, 28, 100829. [Google Scholar] [CrossRef]
- Liu, S.; Abboud, M.I.; John, T.; Mikhailov, V.; Hvinden, I.; Walsby-Tickle, J.; Liu, X.; Pettinati, I.; Cadoux-Hudson, T.; McCullagh, J.S.O.; et al. Roles of Metal Ions in the Selective Inhibition of Oncogenic Variants of Isocitrate Dehydrogenase 1. Commun. Biol. 2021, 4, 1243. [Google Scholar] [CrossRef]
- Deng, G.; Shen, J.; Yin, M.; McManus, J.; Mathieu, M.; Gee, P.; He, T.; Shi, C.; Bedel, O.; McLean, L.R.; et al. Selective Inhibition of Mutant Isocitrate Dehydrogenase 1 (IDH1) via Disruption of a Metal Binding Network by an Allosteric Small Molecule. J. Biol. Chem. 2015, 290, 762–774. [Google Scholar] [CrossRef] [PubMed]
- Xie, X.; Baird, D.; Bowen, K.; Capka, V.; Chen, J.; Chenail, G.; Cho, Y.; Dooley, J.; Farsidjani, A.; Fortin, P.; et al. Allosteric Mutant IDH1 Inhibitors Reveal Mechanisms for IDH1 Mutant and Isoform Selectivity. Structure 2017, 25, 506–513. [Google Scholar] [CrossRef] [PubMed]
- Juritz, E.I.; Bascur, J.P.; Almonacid, D.E.; González-Nilo, F.D. Novel Insights for Inhibiting Mutant Heterodimer IDH1wt-R132H in Cancer: An In-Silico Approach. Mol. Diagn. Ther. 2018, 22, 369–380. [Google Scholar] [CrossRef] [PubMed]
- Xu, X.; Zhao, J.; Xu, Z.; Peng, B.; Huang, Q.; Arnold, E.; Ding, J. Structures of Human Cytosolic NADP-Dependent Isocitrate Dehydrogenase Reveal a Novel Self-Regulatory Mechanism of Activity. J. Biol. Chem. 2004, 279, 33946–33957. [Google Scholar] [CrossRef]
- Chitneni, S.K.; Reitman, Z.J.; Gooden, D.M.; Yan, H.; Zalutsky, M.R. Radiolabeled Inhibitors as Probes for Imaging Mutant IDH1 Expression in Gliomas: Synthesis and Preliminary Evaluation of Labeled Butyl-Phenyl Sulfonamide Analogs. Eur. J. Med. Chem. 2016, 119, 218–230. [Google Scholar] [CrossRef]
- Davis, M.I.; Gross, S.; Shen, M.; Straley, K.S.; Pragani, R.; Lea, W.A.; Popovici-Muller, J.; DeLaBarre, B.; Artin, E.; Thorne, N.; et al. Biochemical, Cellular, and Biophysical Characterization of a Potent Inhibitor of Mutant Isocitrate Dehydrogenase IDH1. J. Biol. Chem. 2014, 289, 13717–13725. [Google Scholar] [CrossRef]
- Popovici-Muller, J.; Saunders, J.O.; Salituro, F.G.; Travins, J.M.; Yan, S.; Zhao, F.; Gross, S.; Dang, L.; Yen, K.E.; Yang, H.; et al. Discovery of the First Potent Inhibitors of Mutant IDH1 That Lower Tumor 2-HG in Vivo. ACS Med. Chem. Lett. 2012, 3, 850–855. [Google Scholar] [CrossRef]
- Rohle, D.; Popovici-Muller, J.; Palaskas, N.; Turcan, S.; Grommes, C.; Campos, C.; Tsoi, J.; Clark, O.; Oldrini, B.; Komisopoulou, E.; et al. An Inhibitor of Mutant IDH1 Delays Growth and Promotes Differentiation of Glioma Cells. Science 2013, 340, 626–630. [Google Scholar] [CrossRef] [PubMed]
- Popovici-Muller, J.; Lemieux, R.M.; Artin, E.; Saunders, J.O.; Salituro, F.G.; Travins, J.; Cianchetta, G.; Cai, Z.; Zhou, D.; Cui, D.; et al. Discovery of AG-120 (Ivosidenib): A First-in-Class Mutant IDH1 Inhibitor for the Treatment of IDH1 Mutant Cancers. ACS Med. Chem. Lett. 2018, 9, 300–305. [Google Scholar] [CrossRef] [PubMed]
- Chitneni, S.K.; Reitman, Z.J.; Spicehandler, R.; Gooden, D.M.; Yan, H.; Zalutsky, M.R. Synthesis and Evaluation of Radiolabeled AGI-5198 Analogues as Candidate Radiotracers for Imaging Mutant IDH1 Expression in Tumors. Bioorg. Med. Chem. Lett. 2018, 28, 694–699. [Google Scholar] [CrossRef]
- Cao, H.; Zhu, G.; Sun, L.; Chen, G.; Ma, X.; Luo, X.; Zhu, J. Discovery of New Small Molecule Inhibitors Targeting Isocitrate Dehydrogenase 1 (IDH1) with Blood-Brain Barrier Penetration. Eur. J. Med. Chem. 2019, 183, 111694. [Google Scholar] [CrossRef]
- Levell, J.R.; Caferro, T.; Chenail, G.; Dix, I.; Dooley, J.; Firestone, B.; Fortin, P.D.; Giraldes, J.; Gould, T.; Growney, J.D.; et al. Optimization of 3-Pyrimidin-4-Yl-Oxazolidin-2-Ones as Allosteric and Mutant Specific Inhibitors of IDH1. ACS Med. Chem. Lett. 2017, 8, 151–156. [Google Scholar] [CrossRef]
- Cho, Y.S.; Levell, J.R.; Liu, G.; Caferro, T.; Sutton, J.; Shafer, C.M.; Costales, A.; Manning, J.R.; Zhao, Q.; Sendzik, M.; et al. Discovery and Evaluation of Clinical Candidate IDH305, a Brain Penetrant Mutant IDH1 Inhibitor. ACS Med. Chem. Lett. 2017, 8, 1116–1121. [Google Scholar] [CrossRef]
- DiNardo, C.D.; Hochhaus, A.; Frattini, M.G.; Yee, K.; Zander, T.; Krämer, A.; Chen, X.; Ji, Y.; Parikh, N.S.; Choi, J.; et al. A Phase 1 Study of IDH305 in Patients with IDH1R132-Mutant Acute Myeloid Leukemia or Myelodysplastic Syndrome. J. Cancer Res. Clin. Oncol. 2022, 149, 1145–1158. [Google Scholar] [CrossRef] [PubMed]
- Cho, Y.S.; Levell, J.R.; Toure, B.-B.; Yang, F.; Caferro, T.; Lei, H.; Lenoir, F.; Liu, G.; Palermo, M.G.; Schultz, M.D.; et al. 3-Pyrimidin-4-Yl-Oxazolidin-2-Ones as Inhibitors of Mutant IDH. WO/2013/046136, 4 April 2013. [Google Scholar]
- Pusch, S.; Krausert, S.; Fischer, V.; Balss, J.; Ott, M.; Schrimpf, D.; Capper, D.; Sahm, F.; Eisel, J.; Beck, A.-C.; et al. Pan-Mutant IDH1 Inhibitor BAY 1436032 for Effective Treatment of IDH1 Mutant Astrocytoma in Vivo. Acta Neuropathol. 2017, 133, 629–644. [Google Scholar] [CrossRef]
- Heuser, M.; Palmisiano, N.; Mantzaris, I.; Mims, A.; DiNardo, C.; Silverman, L.R.; Wang, E.S.; Fiedler, W.; Baldus, C.; Schwind, S.; et al. Safety and Efficacy of BAY1436032 in IDH1-Mutant AML: Phase I Study Results. Leukemia 2020, 34, 2903–2913. [Google Scholar] [CrossRef]
- Chaturvedi, A.; Herbst, L.; Pusch, S.; Klett, L.; Goparaju, R.; Stichel, D.; Kaulfuss, S.; Panknin, O.; Zimmermann, K.; Toschi, L.; et al. Pan-Mutant-IDH1 Inhibitor BAY1436032 Is Highly Effective against Human IDH1 Mutant Acute Myeloid Leukemia in Vivo. Leukemia 2017, 31, 2020–2028. [Google Scholar] [CrossRef]
- Lin, J.; Lu, W.; Caravella, J.A.; Campbell, A.M.; Diebold, R.B.; Ericsson, A.; Fritzen, E.; Gustafson, G.R.; Lancia, D.R.; Shelekhin, T.; et al. Discovery and Optimization of Quinolinone Derivatives as Potent, Selective, and Orally Bioavailable Mutant Isocitrate Dehydrogenase 1 (MIDH1) Inhibitors. J. Med. Chem. 2019, 62, 6575–6596. [Google Scholar] [CrossRef] [PubMed]
- Caravella, J.A.; Lin, J.; Diebold, R.B.; Campbell, A.-M.; Ericsson, A.; Gustafson, G.; Wang, Z.; Castro, J.; Clarke, A.; Gotur, D.; et al. Structure-Based Design and Identification of FT-2102 (Olutasidenib), a Potent Mutant-Selective IDH1 Inhibitor. J. Med. Chem. 2020, 63, 1612–1623. [Google Scholar] [CrossRef] [PubMed]
- Weber, V.; Arnaud, L.; Dukic-Stefanovic, S.; Wenzel, B.; Roux, V.; Chezal, J.-M.; Lai, T.-H.; Teodoro, R.; Kopka, K.; Miot-Noirault, E.; et al. Novel Radioiodinated and Radiofluorinated Analogues of FT-2102 for SPECT or PET Imaging of MIDH1 Mutant Tumours. Molecules 2022, 27, 3766. [Google Scholar] [CrossRef] [PubMed]
- Okoye-Okafor, U.C.; Bartholdy, B.; Cartier, J.; Gao, E.N.; Pietrak, B.; Rendina, A.R.; Rominger, C.; Quinn, C.; Smallwood, A.; Wiggall, K.J.; et al. New IDH1 Mutant Inhibitors for Treatment of Acute Myeloid Leukemia. Nat. Chem. Biol. 2015, 11, 878–886. [Google Scholar] [CrossRef] [PubMed]
- Konteatis, Z.; Artin, E.; Nicolay, B.; Straley, K.; Padyana, A.K.; Jin, L.; Chen, Y.; Narayaraswamy, R.; Tong, S.; Wang, F.; et al. Vorasidenib (AG-881): A First-in-Class, Brain-Penetrant Dual Inhibitor of Mutant IDH1 and 2 for Treatment of Glioma. ACS Med. Chem. Lett. 2020, 11, 101–107. [Google Scholar] [CrossRef]
- Yen, K.; Travins, J.; Wang, F.; David, M.D.; Artin, E.; Straley, K.; Padyana, A.; Gross, S.; DeLaBarre, B.; Tobin, E.; et al. AG-221, a First-in-Class Therapy Targeting Acute Myeloid Leukemia Harboring Oncogenic IDH2 Mutations. Cancer Discov. 2017, 7, 478–493. [Google Scholar] [CrossRef]
- Merk, A.; Bartesaghi, A.; Banerjee, S.; Falconieri, V.; Rao, P.; Davis, M.I.; Pragani, R.; Boxer, M.B.; Earl, L.A.; Milne, J.L.S.; et al. Breaking Cryo-EM Resolution Barriers to Facilitate Drug Discovery. Cell 2016, 165, 1698–1707. [Google Scholar] [CrossRef]
- Wang, Y.; Tang, S.; Lai, H.; Jin, R.; Long, X.; Li, N.; Tang, Y.; Guo, H.; Yao, X.; Leung, E.L.-H. Discovery of Novel IDH1 Inhibitor Through Comparative Structure-Based Virtual Screening. Front. Pharmacol. 2020, 11, 579768. [Google Scholar] [CrossRef]
- Mellinghoff, I.K.; Ellingson, B.M.; Touat, M.; Maher, E.; De La Fuente, M.I.; Holdhoff, M.; Cote, G.M.; Burris, H.; Janku, F.; Young, R.J.; et al. Ivosidenib in Isocitrate Dehydrogenase 1–Mutated Advanced Glioma. J. Clin. Oncol. 2020, 38, 3398–3406. [Google Scholar] [CrossRef]
- Mellinghoff, I.K.; Touat, M.; Maher, E.; De La Fuente, M.; Cloughesy, T.F.; Holdhoff, M.; Cote, G.M.; Burris, H.; Janku, F.; Huang, R.; et al. ACTR-46. AG-120, a First-in-Class Mutant IDH1 Inhibitor in Patients with Recurrent or Progressive IDH1 Mutant Glioma: Updated Results from the Phase 1 Non-Enhancing Glioma Population. Neuro. Oncol. 2017, 19, vi10–vi11. [Google Scholar] [CrossRef]
- Mellinghoff, I.K.; Wen, P.Y.; Taylor, J.W.; Maher, E.A.; Arrillaga-Romany, I.; Peters, K.B.; Le, K.; Tai, F.; Steelman, L.; Cloughesy, T.F. PL3.1 A Phase 1, Open-Label, Perioperative Study of Ivosidenib (AG-120) and Vorasidenib (AG-881) in Recurrent, IDH1-Mutant, Low-Grade Glioma: Results from Cohort 1. Neuro. Oncol. 2019, 21, iii2. [Google Scholar] [CrossRef]
- Tejera, D.; Kushnirsky, M.; Gultekin, S.H.; Lu, M.; Steelman, L.; de la Fuente, M.I. Ivosidenib, an IDH1 Inhibitor, in a Patient with Recurrent, IDH1-Mutant Glioblastoma: A Case Report from a Phase I Study. CNS Oncol. 2020, 9, CNS62. [Google Scholar] [CrossRef] [PubMed]
- Mellinghoff, I.K.; Cloughesy, T.F.; Wen, P.Y.; Taylor, J.W.; Maher, E.A.; Arrillaga, I.; Peters, K.B.; Choi, C.; Ellingson, B.M.; Lin, A.P.; et al. A Phase I, Open Label, Perioperative Study of AG-120 and AG-881 in Recurrent IDH1 Mutant, Low-Grade Glioma: Results from Cohort 1. J. Clin. Oncol. 2019, 37, 2003. [Google Scholar] [CrossRef]
- Gottesman, M.M.; Lavi, O.; Hall, M.D.; Gillet, J.-P. Toward a Better Understanding of the Complexity of Cancer Drug Resistance. Annu. Rev. Pharmacol. Toxicol. 2016, 56, 85–102. [Google Scholar] [CrossRef]
- Li, J.; Xie, Y.; Wang, X.; Li, F.; Li, S.; Li, M.; Peng, H.; Yang, L.; Liu, C.; Pang, L.; et al. Prognostic Impact of Tumor-Associated Macrophage Infiltration in Esophageal Cancer: A Meta-Analysis. Futur. Oncol. 2019, 15, 2303–2317. [Google Scholar] [CrossRef]
- Rehwinkel, H.; Panknin, O.; Ring, S.; Anlauf, S.; Siebeneicher, H.; Nguyen, D.; Schwede, W.; Bauser, M.; Zimmermann, K.; Kaulfuss, S.; et al. Benzimidazol-2-Amines as MIDH1 Inhibitors. WO/2015/121209, 20 August 2015. [Google Scholar]
- Khanapur, S.; Lye, K.; Mandal, D.; Jie Wee, X.; Robins, E.G.; Young, R.D. Fluorine-18 Labeling of Difluoromethyl and Trifluoromethyl Groups via Monoselective C−F Bond Activation. Angew. Chem. Int. Ed. 2022, 61, e202210917. [Google Scholar] [CrossRef] [PubMed]
- Khotavivattana, T.; Verhoog, S.; Tredwell, M.; Pfeifer, L.; Calderwood, S.; Wheelhouse, K.; Lee Collier, T.; Gouverneur, V. 18F-Labeling of Aryl-SCF3, -OCF3 and -OCHF2 with [18F]Fluoride. Angew. Chem. Int. Ed. 2015, 54, 9991–9995. [Google Scholar] [CrossRef]
- Hoffmann, C.; Evcüman, S.; Neumaier, F.; Zlatopolskiy, B.D.; Humpert, S.; Bier, D.; Holschbach, M.; Schulze, A.; Endepols, H.; Neumaier, B. [18F]ALX5406: A Brain-Penetrating Prodrug for GlyT1-Specific PET Imaging. ACS Chem. Neurosci. 2021, 12, 3335–3346. [Google Scholar] [CrossRef]
- Hitchcock, S.A.; Pennington, L.D. Structure−Brain Exposure Relationships. J. Med. Chem. 2006, 49, 7559–7583. [Google Scholar] [CrossRef]
- De la Fuente, M.I.; Colman, H.; Rosenthal, M.; Van Tine, B.A.; Levacic, D.; Walbert, T.; Gan, H.K.; Vieito, M.; Milhem, M.M.; Lipford, K.; et al. Olutasidenib (FT-2102) in Patients with Relapsed or Refractory IDH1-Mutant Glioma: A Multicenter, Open-Label, Phase Ib/II Trial. Neuro. Oncol. 2023, 25, 146–156. [Google Scholar] [CrossRef] [PubMed]
- Salituro, F.G.; Saunders, J.O. Therapeutically Active Compounds for Use in Treatment of Cancer Characterized by Having IDH Mutation. WO/2011/072174, 16 June 2011. [Google Scholar]
- Mellinghoff, I.K.; Penas-Prado, M.; Peters, K.B.; Burris, H.A.; Maher, E.A.; Janku, F.; Cote, G.M.; de la Fuente, M.I.; Clarke, J.L.; Ellingson, B.M.; et al. Vorasidenib, a Dual Inhibitor of Mutant IDH1/2, in Recurrent or Progressive Glioma; Results of a First-in-Human Phase I Trial. Clin. Cancer Res. 2021, 27, 4491–4499. [Google Scholar] [CrossRef] [PubMed]
- Mellinghoff, I.K.; Lu, M.; Wen, P.Y.; Taylor, J.W.; Maher, E.A.; Arrillaga-Romany, I.; Peters, K.B.; Ellingson, B.M.; Rosenblum, M.K.; Chun, S.; et al. Vorasidenib and Ivosidenib in IDH1-Mutant Low-Grade Glioma: A Randomized, Perioperative Phase 1 Trial. Nat. Med. 2023; ahead of print. [Google Scholar] [CrossRef]
- Ma, R.; Yun, C.-H. Crystal Structures of Pan-IDH Inhibitor AG-881 in Complex with Mutant Human IDH1 and IDH2. Biochem. Biophys. Res. Commun. 2018, 503, 2912–2917. [Google Scholar] [CrossRef] [PubMed]
- Robinson, G.; Philip, B.; Guthrie, M.; Cox, J.; Robinson, J.; VanBrocklin, M.; Holmen, S. In Vitro Visualization and Characterization of Wild Type and Mutant IDH Homo- and Heterodimers Using Bimolecular Fluorescence Complementation. Cancer Res. Front. 2016, 2, 311–329. [Google Scholar] [CrossRef] [PubMed]
- Harding, J.J.; Lowery, M.A.; Shih, A.H.; Schvartzman, J.M.; Hou, S.; Famulare, C.; Patel, M.; Roshal, M.; Do, R.K.; Zehir, A.; et al. Isoform Switching as a Mechanism of Acquired Resistance to Mutant Isocitrate Dehydrogenase Inhibition. Cancer Discov. 2018, 8, 1540–1547. [Google Scholar] [CrossRef]
- Choe, S.; Wang, H.; DiNardo, C.D.; Stein, E.M.; de Botton, S.; Roboz, G.J.; Altman, J.K.; Mims, A.S.; Watts, J.M.; Pollyea, D.A.; et al. Molecular Mechanisms Mediating Relapse Following Ivosidenib Monotherapy in IDH1-Mutant Relapsed or Refractory AML. Blood Adv. 2020, 4, 1894–1905. [Google Scholar] [CrossRef]
- Francis, F.; Wuest, F. Advances in [18F]Trifluoromethylation Chemistry for PET Imaging. Molecules 2021, 26, 6478. [Google Scholar] [CrossRef]
- Pauton, M.; Aubert, C.; Bluet, G.; Gruss-Leleu, F.; Roy, S.; Perrio, C. Development, Optimization, and Scope of the Radiosynthesis of 3/5-[18F]Fluoropyridines from Readily Prepared Aryl(Pyridinyl) Iodonium Salts: The Importance of TEMPO and K2CO3. Org. Process Res. Dev. 2019, 23, 900–911. [Google Scholar] [CrossRef]
- Chun, J.-H.; Pike, V.W. Selective Syntheses of No-Carrier-Added 2- and 3-[18F]Fluorohalopyridines through the Radiofluorination of Halopyridinyl(4′-Methoxyphenyl)Iodonium Tosylates. Chem. Commun. 2012, 48, 9921. [Google Scholar] [CrossRef]
- Wahl, D.R.; Dresser, J.; Wilder-Romans, K.; Parsels, J.D.; Zhao, S.G.; Davis, M.; Zhao, L.; Kachman, M.; Wernisch, S.; Burant, C.F.; et al. Glioblastoma Therapy Can Be Augmented by Targeting IDH1-Mediated NADPH Biosynthesis. Cancer Res. 2017, 77, 960–970. [Google Scholar] [CrossRef] [PubMed]
- Calvert, A.E.; Chalastanis, A.; Wu, Y.; Hurley, L.A.; Kouri, F.M.; Bi, Y.; Kachman, M.; May, J.L.; Bartom, E.; Hua, Y.; et al. Cancer-Associated IDH1 Promotes Growth and Resistance to Targeted Therapies in the Absence of Mutation. Cell Rep. 2017, 19, 1858–1873. [Google Scholar] [CrossRef] [PubMed]












| Compound | Biochemical IC50 | Cellular IC50 | Preclinical PK Properties |
|---|---|---|---|
| ML309 [60,70] | IDH1R132H: 96–335 nm IDH1R132C: 62–622 nm a IDH1WT: 21–36 µm IDH2R172Q: >30 µm IDH2WT: >30 µm | IDH1R132H: 150–248 nm IDH1R132S: 970 nm IDH1R132G: 711 nm IDH1R132C: 541–623 nm |
|
| AG-135 [60,65] | IDH1R132H: 42–375 nm IDH1R132H/WT: 80 nm b IDH1R132C: 4–182 nm a IDH1WT: 2–15 µm IDH2R172K: >10 µm IDH2R172Q: >30 µm IDH2R140Q: >10 µm IDH2WT: >10–30 µm | IDH1R132H: 81–217 nm IDH1R132S: 810 nm IDH1R132G: 681 nm IDH1R132C: 480–530 nm |
|
| AGI-5198 [60,64,71,72,73,74] | IDH1R132H: 17–385 nm IDH1R132C: 0.2–13.3 µm a IDH1WT: >30–100 µm IDH2R140Q: >100 µm IDH2R172Q: >30 µm IDH2R172K: >100 µm IDH2WT: >30–100 µm | IDH1R132H: 43–70 nm IDH1R132S: 2 µm IDH1R132G: 1.6 µm IDH1R132C: 0.5–1.5 µm |
|
| AG-120 (Ivosidenib) [60,73,75] | IDH1R132H: 12–40 nm IDH1R132H/WT: 5–12 nm b IDH1R132C: 13–205 nm a IDH1R132G: 8 nm IDH1R132L: 13 nm IDH1R132S: 12 nm IDH1WT: 0.024–4.3 µm IDH2R172Q: >30 µm IDH2WT: >30 µm | IDH1R132H: 19–50 nm IDH1R132S: 12–220 nm IDH1R132G: 16 nm IDH1R132C: 8–46 nm |
|
| IDH889 [76] | IDH1R132H: 20 nm IDH1R132C: 72 nm IDH1WT: 1.38 µm | IDH1R132H: 14 nm |
|
| IDH305 [75,77,78] | IDH1R132H: 27–50 nm IDH1R132C: 28–50 nm IDH1WT: 6.14 µm | IDH1R132H: 24 nm IDH1R132C: 53 nm IDH2R140Q: 3.8 µm IDH2R172K: 10 µm |
|
| Novartis 224 [60,79] | IDH1R132H: 17–130 nm IDH1R132C: 84–552 nm a IDH1WT: 3.9 µm IDH2R172Q: >30 µm IDH2WT: >30 µm | IDH1R132H: 52–92 nm IDH1R132S: 221 nm IDH1R132G: 121 nm IDH1R132C: 83–195 nm |
|
| Novartis 530 [60,79] | IDH1R132H: 8.3–51 nm IDH1R132C: 32–98 nm a IDH1WT: 3.5 µm IDH2R172Q: >30 µm IDH2WT: >30 µm | IDH1R132H: 34–54 nm IDH1R132S: 78 nm IDH1R132G: 76 nm IDH1R132C: 49–52 nm |
|
| Novartis 556 [60,79] | IDH1R132H: <72–141 nm IDH1R132C: 189–875 nm a IDH1WT: 10.5 µm IDH2R172Q: >30 µm IDH2WT: >30 µm | IDH1R132H: 186–334 nm IDH1R132S: 912 nm IDH1R132G: 1.1 µm IDH1R132C: 582 nm IDH1R132C: 686 nm |
|
| 2 (see Section 7.2) [75] | IDH1R132H: 4.0 nm IDH1R132C: 8.2 nm | IDH1R132C: 15.9 nm |
|
| BAY1436032 [44,80,81,82] | IDH1R132H: 15 nm IDH1R132C: 15 nm IDH1WT: 20 µm IDH2WT: >100 µm | IDH1R132H: 5–73 nm IDH1R132C: 5–135 nm IDH1R132G: 4 nm IDH1R132L: 3 nm IDH1R132S: 16 nm |
|
| 4 (see Section 7.4) [83] | IDH1R132H: 127 nm IDH1R132C: 2.25 µm IDH1WT: 100 µm | IDH1R132H: 266–316 nm IDH1R132C: 1.2–1.9 µm |
|
| 5 (see Section 7.4) [83] | IDH1R132H: 18 nm IDH1R132C: 130 nm IDH1WT: 35 µm IDH2R140Q: 76.6 µm IDH2R172K: 33.8 µm | IDH1R132H: 18–45 nm IDH1R132C: 130–233 nm IDH1R132G: 120 nm IDH1R132L: 60 nm IDH1R132S: 1.5 µm |
|
| 6 (see Section 7.4) [83] | IDH1R132H: 9 nm IDH1R132C: 36 nm | IDH1R132H: 1–11 nm IDH1R132C: 4–40 nm IDH1R132G: 3 nm IDH1R132L: 5 nm IDH1R132S: 129 nm |
|
| FT-2102 (Olutasidenib) [84,85] | IDH1R132H: 4.9–21 nm IDH1R132C: 114–178 nm IDH1WT: 22.4–>100 µm IDH2R140Q: >100 µm IDH2R172K: 27.3 µm IDH2WT: >100 µm | IDH1R132H: 9–21 nm IDH1R132C: 39–94 nm IDH1R132L: 42 nm IDH1R132G: 6 nm IDH1R132S: 9 nm |
|
| GSK321 [86] | IDH1R132H: 4.6 nm IDH1R132C: 3.8 nm IDH1R132G: 2.9 nm IDH1WT: 46 nm IDH2R140Q: 1.4 µm IDH2R172S: 1.0 µm IDH2WT: 496 nm | IDH1R132C: 85 nm |
|
| GSK864 [60,86] | IDH1R132H: 15–162 nm IDH1R132C: 8.8–668 nm a IDH1R132G: 16.6 nm IDH1WT: 0.5–2.7 µm IDH2R140Q: 1.9 µm IDH2R172Q: 22 nm IDH2R172S: 997 nm IDH2WT: >30 µm | IDH1R132H: 120–191 nm IDH1R132S: 532 nm IDH1R132G: 519 nm IDH1R132C: 299–341 nm |
|
| AG-221 (Enasidenib) [60,87,88] | IDH1R132H: 5–>30 µm IDH1R132H/WT: 677 nm b IDH1R132C: 13–>30 µm a IDH1WT: 0.5–15.1 µm IDH2R140Q: 9–100 nm IDH2R140Q/WT: 40–380 nm b IDH2R172Q: 44 nm IDH2R172K: 200–400 nm IDH2R172K/WT: 30–180 nm b IDH2WT: 18–>30 µm | IDH2R140Q: 10–20 nm IDH2R172K: 0.5–1.6 µm |
|
| IDH2-C100 [60,88] | IDH1R132H: 9.4 µm IDH1R132C: 16–>30 µm a IDH1WT: >30 µm IDH2R140Q: 7 nm IDH2R172Q: 343 nm IDH2WT: 6.6 µm | IDH2R140Q: 30 nm |
|
| AG-881 (Vorasidenib) [87] | IDH1R132H: 6–8 nm IDH1R132H/WT: 0.6–4 nm b IDH1R132C: 19 nm IDH1R132G: 17 nm IDH1R132L: 34 nm IDH1R132S: 6 nm IDH1WT: 4–190 nm IDH2R140Q: 12–118 nm IDH2R140Q/WT: 32–251 nm b IDH2R172K: 32–94 nm IDH2R172K/WT: 8–49 nm b IDH2WT: 31–374 nm | IDH1R132H: 3–3.2 nm IDH1R132C: 3.8–22 nm IDH1R132S: 0.8 nm IDH1R132G: 6.6 nm IDH2R140Q: 7.1–14 nm IDH2R172K: 130 nm |
|
| AGI-12026 [87] | IDH1R132H: 78 nm IDH1R132H/WT: 20 nm b IDH2R140Q: 19 nm |
| |
| AGI-15056 [87] | IDH1R132H: 48 nm IDH1R132H/WT: 6 nm b IDH2R140Q: 22 nm | IDH1R132H: 2 nm IDH2R140Q: 14 nm |
|
![]() | |||||
|---|---|---|---|---|---|
| R1 | R2 | R3 | R4 | R5 | IC50 a |
![]() | ![]() | H | H | H | 1 nm |
![]() | ![]() | H Cl | F H | H H | 2 nm 2 nm |
![]() | ![]() | H | H | H | 2 nm |
![]() | ![]() | H | H | H | 2 nm |
![]() | ![]() | H | H | H | 3 nm |
![]() | ![]() | H | H | H | 4 nm b |
![]() | ![]() | H | H | H | 4 nm |
![]() | ![]() | H | H | H | 8 nm c |
![]() | ![]() | H | H | H | 10 nm |
![]() | ![]() | H | H | H | 13 nm |
![]() | ![]() | H | H | H | 15 nm |
![]() | ![]() | H | H | H | 15 nm |
![]() | ![]() | H | H | H | 17 nm d |
![]() | ![]() | H | H | H | 18 nm e |
![]() | ![]() | H | H | H | 18 nm |
![]() | ![]() | H | H | H | 19 nm |
![]() | ![]() | H | H | H | 20 nm f |
![]() | ![]() | H | H | H | 24 nm |
![]() | ![]() | H | H | H | 24 nm |
![]() | ![]() | H | H | H | 28 nm |
![]() | ![]() | H | H | H | 33 nm |
![]() | ![]() | H | H | H | 33 nm |
![]() | ![]() | H | H | ![]() | 34 nm |
![]() | ![]() | H | H | H | 35 nm |
![]() | ![]() | H | H | ![]() | 42 nm |
![]() | ![]() | H | H | H | 43 nm |
![]() | ![]() | H | H | H | 44 nm |
![]() | ![]() | H | H | H | 48 nm |
![]() | ![]() | H | H | ![]() | 51 nm |
![]() | ![]() | H | H | H | 62 nm |
![]() | ![]() | H | H | H | 62 nm |
![]() | ![]() | H | H | H | 72 nm g |
![]() | ![]() | H | H | H | 73 nm |
![]() | ![]() | H | H | H | 77 nm |
![]() | ![]() | H | H | H | 81 nm |
![]() | ![]() | H | H | H | 84 nm |
![]() | Me | H | H | H | 116 nm |
![]() | ![]() | H | H | H | 120 nm |
![]() | ![]() | H | H | H | 128 nm |
![]() | ![]() | H | H | H | 220 nm |
![]() | ![]() | H | H | H | 339 nm |
![]() | ![]() | H | H | H | 340 nm |
![]() | ![]() | H | H | H | 478 nm |
![]() | H | H | H | ![]() | >10,000 nm |
![]() | |||||
|---|---|---|---|---|---|
| R1 | R2 | R3 | R4 | R5 | IC50 a |
![]() | OMe | ![]() | ![]() | H | 3 nm |
![]() | H | ![]() | ![]() | H | 4 nm |
![]() | Me | ![]() | ![]() | H | 4 nm |
![]() | Cl | ![]() | ![]() | H | 6 nm |
![]() | OMe | ![]() | ![]() | H | 6 nm |
![]() | Me | ![]() | ![]() | H | 7 nm |
![]() | OMe | ![]() | ![]() | H | 8 nm |
![]() | H | ![]() | ![]() | F | 9 nm |
![]() | OMe | ![]() | ![]() | H | 9 nm |
![]() | OMe | ![]() | ![]() | H | 9 nm |
![]() | H | ![]() | ![]() | H | 10 nm |
| H | OEt | ![]() | ![]() | H | 10 nm |
![]() | H | ![]() | ![]() | H | 15 nm b |
![]() | Me | ![]() | ![]() | H | 20 nm |
![]() | OMe | ![]() | ![]() | H | 20 nm |
![]() | Me | ![]() | ![]() | H | 20 nm |
![]() | H | ![]() | ![]() | F | 20 nm |
![]() | Me | ![]() | ![]() | H | 20 nm |
![]() | H | ![]() | ![]() | H | 20 nm |
![]() | OMe | ![]() | ![]() | H | 20 nm |
![]() | F | ![]() | ![]() | H | 20 nm |
| H | Me | ![]() | ![]() | H | 20 nm |
![]() | ![]() | ![]() | ![]() | H | 20 nm |
| H | Me | ![]() | ![]() | F | 20 nm |
![]() | OMe | ![]() | ![]() | H | 30 nm |
![]() | Me | ![]() | ![]() | H | 30 nm |
![]() | Me | ![]() | ![]() | H | 30 nm |
![]() | H | ![]() | ![]() | F | 30 nm |
| H | H | ![]() | ![]() | H | 30 nm |
![]() | H | ![]() | ![]() | H | 30 nm |
![]() | Cl | ![]() | ![]() | H | 30 nm |
![]() | H | ![]() | ![]() | H | 30 nm |
![]() | OMe | ![]() | ![]() | H | 30 nm |
| OMe | H | ![]() | ![]() | H | 30 nm |
![]() | Cl | ![]() | ![]() | H | 30 nm |
![]() | Me | ![]() | ![]() | H | 30 nm |
![]() | ![]() | ![]() | ![]() | H | 30 nm |
| H | H | ![]() | ![]() | OMe | 30 nm |
| H | Me | ![]() | ![]() | Me | 40 nm |
![]() | H | ![]() | ![]() | H | 40 nm |
![]() | Me | ![]() | ![]() | H | 40 nm |
![]() | H | ![]() | ![]() | H | 40 nm |
| H | OEt | ![]() | ![]() | H | 40 nm |
| H | OMe | ![]() | ![]() | H | 40 nm |
![]() | H | ![]() | ![]() | H | 50 nm |
![]() | H | ![]() | ![]() | H | 50 nm |
![]() | Cl | ![]() | ![]() | H | 60 nm |
![]() | Me | ![]() | ![]() | H | 60 nm |
| H | OMe | ![]() | ![]() | H | 60 nm |
![]() | H | ![]() | ![]() | OMe | 70 nm |
![]() | H | ![]() | ![]() | OMe | 70 nm |
| H | H | ![]() | ![]() | H | 70 nm |
| H | H | ![]() | ![]() | F | 70 nm |
| H | H | ![]() | ![]() | F | 70 nm |
![]() | H | ![]() | ![]() | H | 70 nm |
![]() | OMe | ![]() | ![]() | H | 70 nm |
| H2N | H | ![]() | ![]() | H | 70 nm |
![]() | H | ![]() | ![]() | OMe | 70 nm |
| OMe | H | ![]() | ![]() | H | 70 nm |
| H | Me | ![]() | ![]() | F | 70 nm |
| H2N | H | ![]() | ![]() | H | 80 nm |
| CN | H | ![]() | ![]() | H | 80 nm |
| CN | Me | ![]() | ![]() | H | 80 nm |
![]() | OMe | ![]() | ![]() | H | 80 nm |
| H | H | ![]() | ![]() | OMe | 80 nm |
![]() | H | ![]() | ![]() | H | 90 nm |
![]() | H | ![]() | ![]() | Me | 90 nm |
![]() | Cl | ![]() | ![]() | H | 90 nm |
![]() | Cl | ![]() | ![]() | H | 90 nm |
![]() | OMe | ![]() | ![]() | H | 90 nm |
![]() | H | ![]() | ![]() | H | 90 nm |
![]() | H | ![]() | ![]() | OMe | 100 nm |
![]() | |||||
|---|---|---|---|---|---|
| R1 | R2 | R3 | R4 | R5 | IC50 a |
| (S)-Me | ![]() | Cl | ![]() | H | 4 nm |
| (S)-Me | ![]() | I | H | H | 5 nm b |
| H | ![]() | Cl | ![]() | H | 6 nm |
| (S)-Me | ![]() | Cl | ![]() | H | 8 nm |
| (S)-Me | ![]() | Cl | ![]() | H | 8 nm |
| (S)-Me | ![]() | Cl | ![]() | H | 9 nm |
| (S)-Me | ![]() | Cl | OMe | H | 9 nm c |
| (S)-Me | ![]() | Cl | OMe | H | 11 nm |
| (S)-Me | ![]() | Cl | ![]() | H | 11 nm |
| (S)-Me | ![]() | Cl | ![]() | H | 11 nm |
| H | ![]() | Cl | ![]() | H | 13 nm |
| (S)-Me | ![]() | Cl | H | H | 14 nm |
| H | ![]() | Cl | ![]() | H | 16 nm |
| (S)-Me | ![]() | Cl | H | H | 17 nm |
| (S)-Me | ![]() | Cl | ![]() | H | 17 nm |
| (S)-Me | ![]() | Cl | H | H | 18 nm d |
| (S)-Me | ![]() | Cl | H | H | 20 nm |
| (S)-Me | ![]() | Cl | H | H | 21 nm e |
| H | ![]() | Cl | H | ![]() | 22 nm |
| H | ![]() | Cl | ![]() | H | 23 nm |
| (S)-Me | ![]() | F | H | H | 23 nm f |
| (S)-Me | ![]() | Cl | H | H | 24 nm |
| (S)-Me | ![]() | Cl | F | H | 25 nm |
| H | ![]() | Cl | ![]() | H | 32 nm |
| (S)-Me | ![]() | Cl | F | H | 36 nm |
| H | ![]() | Cl | H | H | 40 nm |
| (S)-Me | ![]() | Cl | H | H | 40 nm |
| (S)-Me | ![]() | Cl | H | H | 44 nm |
| H | ![]() | CF3 | H | H | 53 nm |
| H | ![]() | Br | H | H | 54 nm |
| H | ![]() | Cl | ![]() | H | 56 nm |
| H | ![]() | Cl | H | H | 65 nm |
| H | ![]() | Cl | ![]() | H | 69 nm |
| H | ![]() | Cl | H | H | 72 nm |
| H | ![]() | tBu | H | H | 76 nm |
| H | ![]() | Cl | ![]() | H | 77 nm |
![]() | ![]() | Cl | H | H | 100 nm |
| H | ![]() | Cl | H | H | 127 nm g |
| H | ![]() | Cl | OMe | H | 127 nm |
| H | ![]() | Me | H | H | 132 nm |
| H | ![]() | F | H | H | 138 nm |
| H | ![]() | OMe | H | H | 140 nm |
| H | ![]() | Cl | H | H | 147 nm |
| rac-Me | ![]() | Cl | H | H | 147 nm |
| H | ![]() | Cl | H | H | 160 nm |
| H | ![]() | Cl | H | H | 188 nm |
| H | ![]() | Cl | H | H | 223 nm |
| H | ![]() | Cl | H | H | 231 nm |
![]() | ![]() | Cl | H | H | 295 nm |
| (R)-Me | ![]() | I | H | H | 323 nm |
| H | ![]() | Cl | H | ![]() | 341 nm |
| H | ![]() | Cl | H | H | 358 nm |
| H | ![]() | Cl | H | H | 382 nm |
| H | ![]() | Cl | H | OMe | 455 nm |
| H | ![]() | Cl | H | H | 464 nm |
| H | ![]() | Cl | H | H | 487 nm |
| H | ![]() | Cl | H | H | 694 nm |
| (R)-Me | ![]() | F | H | H | 698 nm |
| H | ![]() | H | H | H | 913 nm |
| H | ![]() | Cl | H | H | 995 nm |
| H | ![]() | Cl | H | H | 1260 nm |
| H | ![]() | Cl | H | H | 25,000 nm |
| (R)-Me | ![]() | Cl | H | H | 19,300 nm |
| H | ![]() | Cl | H | H | 25,000 nm |
| H | ![]() | Cl | H | H | >25,000 nm |
![]() | |||
|---|---|---|---|
| R1 | R2 | R3 | IC50 a |
![]() | ![]() | ![]() | 0.6 nm b |
![]() | ![]() | ![]() | 6 nm |
![]() | ![]() | ![]() | 6 nm |
![]() | ![]() | ![]() | 6 nm c |
![]() | ![]() | ![]() | 6 nm |
![]() | ![]() | ![]() | 7 nm |
![]() | ![]() | ![]() | 9 nm |
![]() | ![]() | ![]() | 9 nm d |
![]() | ![]() | ![]() | 20 nm e |
![]() | ![]() | ![]() | 22 nm |
![]() | ![]() | ![]() | 27 nm |
![]() | ![]() | ![]() | 32 nm |
![]() | ![]() | ![]() | 60 nm |
![]() | ![]() | ![]() | 83 nm |
![]() | ![]() | ![]() | 140 nm |
![]() | ![]() | ![]() | 185 nm |
![]() | ![]() | ![]() | 201 nm |
![]() | ![]() | ![]() | 394 nm |
![]() | ![]() | ![]() | 677 nm |
![]() | ![]() | ![]() | 677 nm f |
![]() | ![]() | ![]() | 1566 nm |
![]() | ![]() | ![]() | 1749 nm |
![]() | ![]() | ![]() | No fit |
![]() | ![]() | ![]() | No fit |
Disclaimer/Publisher’s Note: The statements, opinions and data contained in all publications are solely those of the individual author(s) and contributor(s) and not of MDPI and/or the editor(s). MDPI and/or the editor(s) disclaim responsibility for any injury to people or property resulting from any ideas, methods, instructions or products referred to in the content. |
© 2023 by the authors. Licensee MDPI, Basel, Switzerland. This article is an open access article distributed under the terms and conditions of the Creative Commons Attribution (CC BY) license (https://creativecommons.org/licenses/by/4.0/).
Share and Cite
Neumaier, F.; Zlatopolskiy, B.D.; Neumaier, B. Mutated Isocitrate Dehydrogenase (mIDH) as Target for PET Imaging in Gliomas. Molecules 2023, 28, 2890. https://doi.org/10.3390/molecules28072890
Neumaier F, Zlatopolskiy BD, Neumaier B. Mutated Isocitrate Dehydrogenase (mIDH) as Target for PET Imaging in Gliomas. Molecules. 2023; 28(7):2890. https://doi.org/10.3390/molecules28072890
Chicago/Turabian StyleNeumaier, Felix, Boris D. Zlatopolskiy, and Bernd Neumaier. 2023. "Mutated Isocitrate Dehydrogenase (mIDH) as Target for PET Imaging in Gliomas" Molecules 28, no. 7: 2890. https://doi.org/10.3390/molecules28072890
APA StyleNeumaier, F., Zlatopolskiy, B. D., & Neumaier, B. (2023). Mutated Isocitrate Dehydrogenase (mIDH) as Target for PET Imaging in Gliomas. Molecules, 28(7), 2890. https://doi.org/10.3390/molecules28072890

































































































































































































































































































































































































































































