Abstract
Synthetic cathinones (SC) are drugs of abuse that have been reported in wastewaters and rivers raising concern about potential hazards to non-target organisms. In this work, 44 SC were selected for in silico studies, and a group of five emerging SC was prioritized for further in vivo ecotoxicity studies: buphedrone (BPD), 3,4-dimethylmethcathinone (3,4-DMMC), butylone (BTL), 3-methylmethcathinone (3-MMC), and 3,4-methylenedioxypyrovalerone (MDPV). In vivo short-term exposures were performed with the protozoan Tetrahymena thermophila (28 h growth inhibition assay) and the microcrustacean Daphnia magna by checking different indicators of toxicity across life stage (8 days sublethal assay at 10.00 µg L−1). The in silico approaches predicted a higher toxic potential of MDPV and lower toxicity of BTL to the model organisms (green algae, protozoan, daphnia, and fish), regarding the selected SC for the in vivo experiments. The in vivo assays showed protozoan growth inhibition with MDPV > BPD > 3,4-DMMC, whereas no effects were observed for BTL and stimulation of growth was observed for 3-MMC. For daphnia, the responses were dependent on the substance and life stage. Briefly, all five SC interfered with the morphophysiological parameters of juveniles and/or adults. Changes in swimming behavior were observed for BPD and 3,4-DMMC, and reproductive parameters were affected by MDPV. Oxidative stress and changes in enzymatic activities were noted except for 3-MMC. Overall, the in silico data agreed with the in vivo protozoan experiments except for 3-MMC, whereas daphnia in vivo experiments showed that at sublethal concentrations, all selected SC interfered with different endpoints. This study shows the importance to assess SC ecotoxicity as it can distress aquatic species and interfere with food web ecology and ecosystem balance.
1. Introduction
The aquatic environment is the destination for diverse classes of contaminants, including psychoactive recreational drugs [1,2]. Nevertheless, little is known about their impacts on wildlife and potential long-term effects at environmental concentrations on both non-target animals and humans. In the last two decades, new psychoactive substances (NPS) have emerged as a global threat to public health due to the increase in their consumption and the dynamics of the illicit market [3].
Recognizing which of these substances are truly a concern is a complex issue due to the lack of information about their pharmacology and potential toxicity because of the high number of new substances reported every year [4]. In 2020, the European Monitoring Centre for Drugs and Drug Addiction (EMCDDA) reported more than 820 NPS in the European drug market, and about 90 of them were detected for the first time between 2019 and 2020 [4]. The growing number of synthetic cathinones (SC) reflects the dynamic nature of the NPS market related to sales channels on the internet, social networks, and smartphone applications, leading to a fast and global phenomenon [5]. NPS are sold as an alternative to other recreational drugs such as cannabis, cocaine (COC), and 3,4-methylenedioxymethamphetamine (MDMA) [4,6,7]. The continued diversification and use across Europe remain a public health and legal challenge [8], with the expectation to increase the number of compounds and levels in water bodies.
Within the NPS, special attention has been given to SC such as mephedrone or 4-methylmethcathinone (4-MMC), methylone (bk-MAP), methcathinone or ephedrone (EPH), pentedrone (PTD), butylone (BTL), 3,4-dimethylmethcathinone (3,4-DMMC), buphedrone (BPD), 3,4-methylenedioxypyrovalerone (MDPV), and 3-methylmethcathinone (3-MMC) [6,7]. SC are β-keto analogs of commonly abused substances such as cathinone (CATH), isolated from the Khat plant (Catha edulis), which produce similar effects to their non-keto analogs’ amphetamine-type substances (indirect agonists of dopamine, serotonin, and noradrenaline receptors) [9]. Like other NPS, new SC emerge in the illicit market mainly in the internet market but also the dark web marketplace “Dream Market” [10], raising diverse concerns about toxicity and ecotoxicity.
Among the various sources of contamination, the discharge of treated wastewater is the major source of potential environmental contaminants. Indeed, after consumption or direct discharge, these substances reach the sewage systems and are carried through the sanitation networks to the wastewater treatment plants (WWTP). Although recent advances in wastewater treatment increased the removal efficiency of hazardous contaminants, some contaminants are still not eliminated or removal rates are low [11,12]. Regarding SC, some studies have already reported their presence in influent samples, but there is little information about their degradation rates, effluents, or environmental levels [13,14,15,16]. Toxicity effects of NPS, including some SC, have also been reported on aquatic organisms. For instance, exposure to pyrovalerone (MPP; ranging from 113.00 to 11,310.00 µg L−1) caused changes in the swimming behavior of zebrafish larvae (Danio rerio) [17] and changes in oxidative status and reproductive parameters were observed in microcrustacean Daphnia magna exposed to methamphetamine at 0.05 and 0.50 µg L−1 [18], and growth inhibition was observed and in protozoan Tetrahymena thermophila exposed to (S)-ketamine (>5000.00 µg L−1) [19]. Understanding the impact of NPS on ecosystems is crucial to provide essential data for establishing environmental safety levels, environmental policies, and mitigation actions. Regarding SC, as both physicochemical and biological properties change frequently due to specific structural modifications to circumvent legislation [20,21], the prediction of their potential ecotoxicity by in silico and in vivo evaluation are crucial tasks for ecological risk assessment. Today, in silico approaches are often used in combination with other toxicity tests to evaluate the environmental risk. Based on experimental data, structure–activity relationships, scientific knowledge, and specific software tools can be used to predict the potential toxicity and, in some situations, to quantitatively predict the toxic dose or potency. This avoids the realization of numerous in vivo assays, following European legislation, namely the Directive 2010/63/EU, firmly based on the principle of the three Rs: to replace, reduce, and refine the use of animals (vertebrates and cephalopods) used for scientific purposes. In this study, 44 SC were targeted for in silico approaches and a group of five emerging SC was prioritized for further in vivo ecotoxicity studies. Five SC were selected, namely 3,4-DMMC, BTL, 3-MMC, BPD, and MDPV based on consumption levels, EMCDDA reports [4,22], and recent reports in wastewaters [1]. An integrated approach based on in silico data and short-term exposure using the protozoan T. thermophila (28 h growth inhibition assay) and the microcrustacean D. magna checking different indicators of toxicity across life stage (8 days sublethal assay at 10.00 µg L−1) were accomplished.
D. magna and T. thermophila are widely distributed in freshwater systems displaying an important role in food chains [23,24,25]. Both organisms are used in ecotoxicological studies due to their short life cycle, high sensitivity to a variety of chemicals, and relatively easy maintenance and manipulation in the laboratory [23,26]. Both organisms are recommended by the Organization for Economic Cooperation and Development (OECD) to evaluate the toxicity of chemicals [27,28]. Two short-term exposure studies were performed to assess the sublethal effects of the five SC on protozoan and microcrustacean and compared with in silico data.
2. Results
2.1. In Silico Study
Based on the recent reports by EMCDDA [4,7,22], Bade et al. (2022) [1] and Almeida et al. (2022) [29], 44 emergent SC were selected for the in silico approaches (Figure 1). The results from the in silico studies obtained by the Estimation Program Interface (EPI) SuiteTM program are shown in Table 1, as well as the predicted toxicity for the Tetrahymena pyriformis protozoan using the Toxicity Estimation Software Tool (TESTTM) program. Chemical Abstracts Service (CAS) registry numbers and Simplified Molecular Input Line Entry System (SMILES) notations were required for both in silico programs (Table S1).
Figure 1.
Chemical structures of 44 emergent SC selected for in silico studies, namely: CATH: cathinone or norephedrone (1); BTL: butylone (2); MDPV: 3,4-methylenedioxypyrovalerone (3); 3,4-DMMC: 3,4-dimethylmethcathinone (4); 3-MMC: 3-methylmethcathinone (5); BPD: buphedrone (6); bk-MDEA: ethylone (7); bk-EBDB: eutylone (8); 4-MMC: mephedrone or 4-methylmethcathinone (9); EPH: methcathinone or ephedrone (10); bk-MAP: methylone (11); bk-EBDP: N-ethylpentylone (12); bk-MBDP: pentylone (13); (S)-MTFP: (S)-metamfepramone or N,N-dimethylcathinone (14); EPP: ethcathinone (15); MPP: pyrovalerone (16); 4-MPBP: 4-methyl-α-pyrrolizinobutyrophenone (17); NPP: naphthylpyrovalerone or naphyrone (18); α-PVP: α-pyrrolidinovalerophenone (19); MDPBP: 3,4-methylenedioxy-α-pyrrolidinobutyrophenone (20); TBCP: bupropion or amfebutamone (21); 4-MEC: 4-methylethcathinone (22); 4-FMC: 4-fluoromethcathinone or flephedrone (23); 3-FMC: 3-fluoromethcathinone or 3-flephedrone (24); 4-MPD: 4-methylpentedrone (25); MTP: thiothinone (26); 5-PPDI: indanyl-α-pyrrolidinobutiophenone (27); α-BHP: α-butylaminohexanophenone (28); 4-BMC: 4-bromomethcathinone or brephedrone (29); MPH: hexedrone (30); 2,4-DMEC: 2,4-dimethylethcathinone (31); 2,4-DMMC: 2,4-dimethylmethcathinone or 2-methylmephedrone (32); 3,4-DMPVP: 3,4-dimethoxy-α-pyrrolidinopentiophenone (33); 4-BrPVP: 4-bromo-α-pyrrolidinopentiophenone (34); 4-FPHP: 4-fluoro-α-pyrrolidinohexanophenone (35); 4-MeO-α-PHPP: 4-methoxy-α-pyrrolidinoheptanophenone (36); 4-MeO-α-POP: 4-methoxy-α-pyrrolidinooctanophenone (37); 4-MeO-α-PVP: 4-methoxy-α-pyrrolidinovalerophenone (38); BMAPN: 2-(methylamino)-1-(naphthalen-2-yl)propan-1-one (39); DMP: dimethylpentedrone (40); α-PPP: α-propyloaminopentiophenone or N-propylpentedrone (41); α-PHP: α-pyrrolidinohexanophenone (42); α-PIHP: α-pyrrolidinoisohexanophenone (43); PTD: pentedrone (44).
Table 1.
Predicted physical-chemical properties (i.e., WSol and log KOW) and toxicity data for 44 SC using EPI SuiteTM program (green algae, daphnia, and fish) and TESTTM program (protozoan, Tetrahymena pyriformis).
Both computational programs are quantitative structure–activity relationships (QSAR) models for toxicological predictions used to determine the potential adverse effects of chemical entities for environmental risk assessment. The toxicity of contaminants and their environmental fate are related to their chemical structure and intrinsic physical/chemical properties (e.g., polar surface area (PSA), water solubility (WSol), and log KOW). These properties affect transport, permeability, bioavailability, bioconcentration, and bioaccumulation [30,31]. Information about data such as log KOW and bioconcentration factor (BCF) are required by international regulations such as the OECD guidelines [32], the United States Environmental Protection Agency (USEPA) criteria [33], and the Registration, Evaluation, Authorisation and Restriction of Chemicals (REACH) criteria [34]. Indeed, log KOW is a very important parameter for predicting the distribution of a substance in environmental compartments (water, soil, air, and biota). If log KOW is lower than 3, the substance has no potential to bioconcentrate in living organisms.
In Table S2, a summary of the in silico data obtained for the 44 SC is available. For each parameter, the 44 SC are organized in increasing order of selected parameters (Table S2). The current study prioritized five SC for the in vivo ecotoxicity studies, namely 3,4-DMMC, BTL, 3-MMC, BPD, and MDPV, based on in silico approach data, consumption levels, EMCDDA reports [4,22], and recent reports in wastewaters [1].
WSol predicted values for the 44 SC varied between 2.57 mg L−1 (4-MeO-α-POP) and 51,470.00 mg L−1 (CATH). For the five SC prioritized, the order of solubility ranged from 70.24 to 5819.00 mg L−1 with the following order: MDPV < 3,4-DMMC < BTL < 3-MMC < BPD (Table 1).
Log KOW values were also very different among SC, ranging from 1.38 for CATH to 5.47 for 4-MeO-α-POP. The order of SC with log KOW values ≥ 3.00 was: 4-MeO-α-POP > NPP > 4-MeO-α-PHPP ≈ 5-PPDI > α-BHP > 4-BrPVP > 4-FPHP > MPP > α-PHP > α-PIHP > 4-MPBP > 4-MeO-α-PVP ≈ α-PVP > MDPV ≈ α-PPP. Regarding SC selected for in vivo experiments predicted log KOW values were similar showing the following order: 3,4-DMMC > BTL > 3-MMC > BPD, ranging from 2.34 to 2.94, except for MDPV with a log KOW value of 3.97 (Table 1).
PSA values obtained ranged between 29.1 and 47.6 Å2 and the order for selected in vivo experiments was: 3,4-DMMC, 3-MMC, and BPD < MDPV < BTL (Table S2). In addition, prediction of the half maximal effective concentration (EC50), the median lethal concentration (LC50), and the chronic effect values (ChV) can be scrutinized through in silico computational models contributing to the reduction of animal experiments and allowing us to prioritize chemicals for toxicity tests [31,35,36].
Overall, 4-MeO-α-POP > NPP > 4-MeO-α-PHPP ≈ 5-PPDI showed the highest predicted acute and chronic toxicity for the fish, daphnia, and green algae, while EPH > bk-MAP > MTP > CATH exhibited the lower toxicity for the same organisms (Table 1). Regarding predicted acute toxicity for the five SC used for the in vivo experiments, for fish and daphnia the following order was found: MDPV > 3,4-DMMC > 3-MMC > BPD > BTL, whereas for green algae, the order was MDPV > 3,4-DMMC > BPD > 3-MMC > BTL. LC50 values ranged between 2.675 (MDPV) and 23.181 mg L−1 (BTL) for fish and 0.401 (MDPV) to 2.895 mg L−1 (BTL) for daphnia (Table 1). For green algae, the EC50 values ranged between 0.210 (MDPV) and 2.178 mg L−1 (BTL). Predicted chronic toxicity the order of toxicity was the following for the three organisms MDPV > 3,4-DMMC > 3-MMC > BPD > BTL and values ranged from 0.077 (MDPV) to 1.171 mg L−1 (BTL) for fish, from 0.041 (MDPV) to 0.249 mg L−1 (BTL) for daphnia, and from 0.082 (MDPV) to 0.748 mg L−1 (BTL) for green algae (Table 1). These results showed the higher toxicity of MDPV and the lower toxicity of BTL for the three organisms (green algae, daphnia, and fish).
Predicted BCF and BAF values for the 44 SC were very different according to the trophic level and the Arnot-Gobas method (no. 1 or 2). In general, considering the Arnot-Gobas method no. 1 and the three trophic levels of fish, the higher BCF and BAF predicted values were obtained for α-BHP (ranged from 793.200 to 1263.000 L Kg−1 wet wt−1), while the lower values were obtained for CATH (ranged between 2.257 and 2.947 L Kg−1 wet wt−1). On the other hand, in the Arnot-Gobas method no. 2 for the upper trophic level, BCF and BAF ranged from 15,020.000 to 568,100.000 L Kg−1 wet wt−1 for 4-MeO-α-POP (highest values) and between 3.469 and 3.510 L Kg−1 wet wt−1 for CATH (lowest values). For the in vivo selected five SC, predicted BCF values considering biotransformation rate ranged between 20.170 (BPD) and 83.320 L Kg−1 wet wt−1 (MDPV) for the upper trophic level, between 14.540 (BPD) and 104.500 L Kg−1 wet wt−1 (MDPV) for the mid trophic level, and between 13.040 (BPD) and 110.500 L Kg−1 wet wt−1 (MDPV) for the lower trophic level. Also, reflecting the biotransformation rate, predicted bioaccumulation factor (BAF) values ranged from 20.170 (BPD) to 83.320 L Kg−1 wet wt−1 (MDPV) for the upper trophic level, from 14.540 (BPD) to 104.600 L Kg−1 wet wt−1 (MDPV) for the mid trophic level, and from 13.050 (BPD) to 111.900 L Kg−1 wet wt−1 (MDPV) for the lower trophic level (Table 1).
Predicted BCF and BAF values assuming a biotransformation rate of zero ranged between 24.210 (BPD) and 973.500 L Kg−1 wet wt−1 (MDPV) and between 25.150 (BPD) and 2146.000 L Kg−1 wet wt−1 (MDPV), respectively (Table 1). For both Arnot-Gobas methods, BCF and BAF values order were the same for all trophic levels, namely MDPV > 3,4-DMMC > BTL > 3-MMC > BPD. Also, both BCF and BAF values were higher in the Arnot-Gobas method which assumes a biotransformation rate of zero. MDPV is the SC that presents higher BAF and BCF values. This result is expected since MDPV shows a log KOW greater than 3, and consequently, displays higher lipophilicity. Therefore, is expected to bioaccumulate in fish tissues.
For the protozoan T. pyriformis, NPP showed the highest predicted toxicity (1.11 mg L−1) whereas CATH showed the lowest predicted toxicity (148.21 mg L−1). Toxicity estimation order for the selected SC used for the in vivo experiments is MDPV > 3,4-DMMC > 3-MMC > BPD > BTL, ranging from 6.50 to 51.80 mg L−1 (Table 1). Similar to the other organisms, for the protozoan, MDPV showed the highest toxicity and BTL the lowest toxicity.
2.2. In Vivo Studies
2.2.1. Short-Term Exposure Assays with T. thermophila
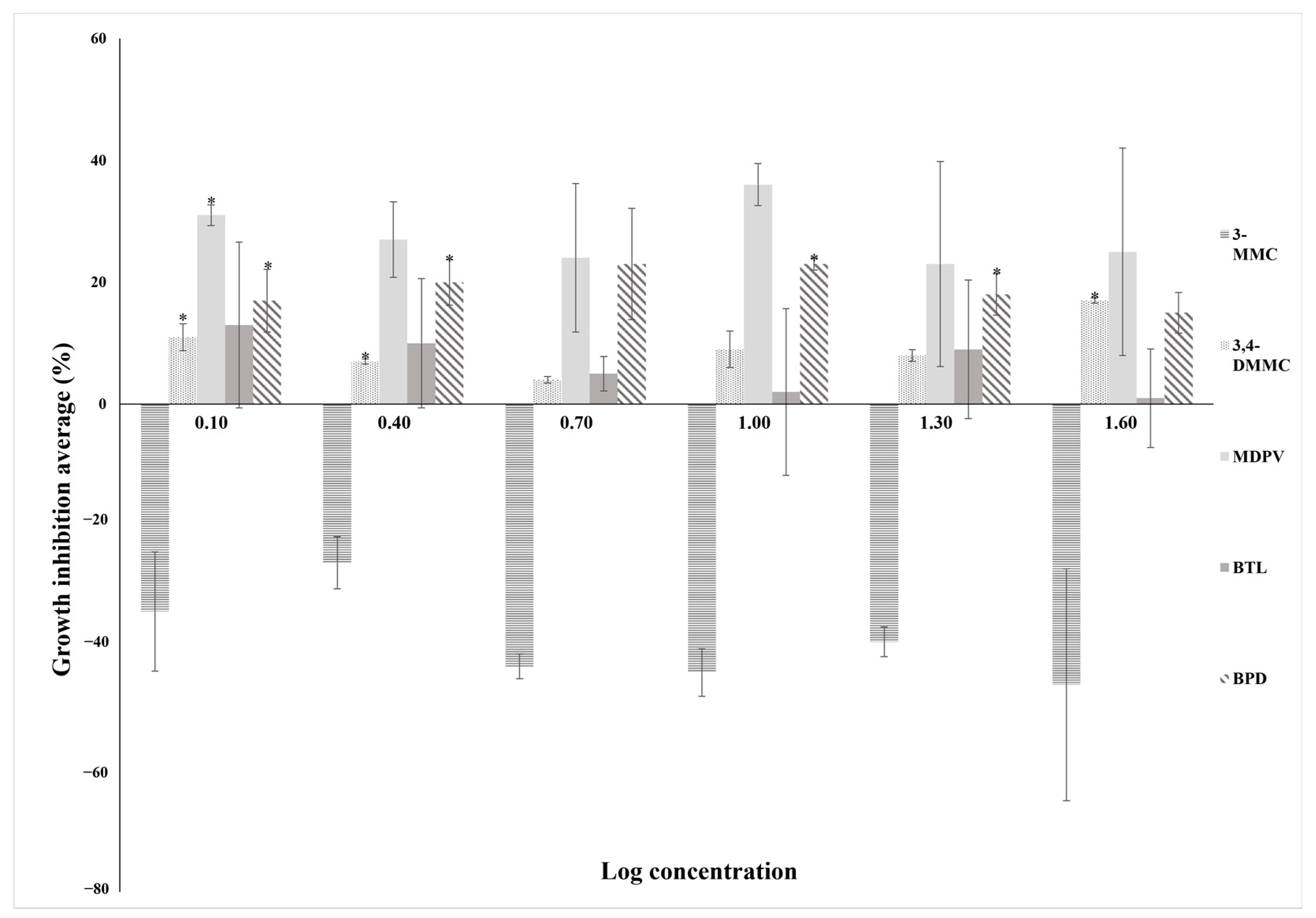
Figure 2.
Percentage of growth inhibition vs log concentration in Tetrahymena thermophila after 28 h of exposure to the five SC (BPD, 3-MMC, 3,4-DMMC, MDPV and BTL) at the six concentrations tested. The results are expressed as the mean ± standard deviation (SD) obtained from three independent experiments. (Asterisks (*) represent significant differences compared to the control).
Table 2.
Percentage of growth inhibition on Tetrahymena thermophila after 28 h of exposure to BPD, 3-MMC, 3,4-DMMC, MDPV, and BTL.
Controls showed an OD decreases greater than 60% and the reference test with K2Cr2O7 showed the reliability of the assay (Table S3). Determination of EC50 or EC20 was not possible as no relation between response and concentration was observed. Consequently, it was not feasible to determine the dose–response curves for T. thermophila. However, a growth inhibition effect was observed for MDPV, BPD, and 3,4-DMMC. No changes in growth inhibition were observed in organisms exposed to BTL whereas an increase in growth was noted for organisms exposed to 3-MMC (Figure 2, Table 2).
2.2.2. Short-Term and Sublethal Exposure Assay with D. magna
No significant differences were found in mortality (<10%) for any of the SC. In fact, the results obtained for the daphnia mortality agree with the in silico data since all SC showed LC50 values greater than 401.00 µg L−1 (MDPV) for daphnia, and the concentration studied in our in vivo study was considerably lower (10.00 µg L−1). Effects of SC on the morphophysiological parameters of D. magna are shown in Figure 3 and summarized in Table 3.
Figure 3.
Morphophysiological effects (body size, heart size, heart area, and heart rate) on Daphnia magna at days 3 and 8 of exposure to BTL, 3,4-DMMC, 3-MMC, MDPV, and BPD. (Asterisks (*) represent significant differences compared to the control).
Table 3.
Morphophysiological effects (body size, heart size, heart area, and heart rate) on Daphnia magna at days 3 and 8 of exposure to BPD, BTL, 3,4-DMMC, 3-MMC, MDPV.
BTL caused a significant increase in body size in both juveniles and adults (days 3 and 8, respectively). Different responses were found for juveniles and adults exposed to 3-MMC. Indeed, a significant increase in body size was observed for the juveniles at day 3, whereas a significant reduction of body size was observed in adults at day 8 (Figure 3, Table 3). A significant decrease in body size was also noted for MDPV in adults. No changes in body size were observed on both days for BPD and 3,4-DMMC (Figure 3, Table 3). SC also showed to interfere with heart area and size. Indeed, at day 3, a significant increase in heart area (except for BPD) and size of juveniles were observed for all SC. However, on day 8, only BTL, BPD, and 3,4-DMMC continued to stimulate heart area and size growth, whereas MDPV and 3-MMC caused a significant decrease in heart area and size (Figure 3, Table 3). Regarding heart rate, at days 3 and 8, a significant increase was observed for all SC except at day 3 in the organisms exposed to 3-MMC (Figure 3, Table 3).
No significant differences were observed in swimming speed and active time for all SC. However, total distance traveled was significantly increased in the organisms exposed to BPD and 3,4-DMMC (Figure 4, Table 4).
Figure 4.
Behavioral effects (swimming speed, total distance travelled and active time) on Daphnia magna at day 5 of exposure to BTL, 3,4-DMMC, 3-MMC, MDPV, and BPD. (Asterisks (*) represent significant differences compared to the control).
Table 4.
Behavioral effects (swimming speed, total distance traveled and active time) on Daphnia magna at day 5 of exposure to BTL, 3,4-DMMC, 3-MMC, MDPV, and BPD.
Regarding reproductive parameters, although a tendency to the increase in the number of eggs per daphnia was observed for all SC (except for 3-MMC), only exposure to MDPV showed a significant increase (Figure 5, Table 5).
Figure 5.
Reproductive effects (number of eggs per daphnia) on Daphnia magna at day 8 of exposure to BTL, 3,4-DMMC, 3-MMC, MDPV, and BPD. (Asterisks (*) represent significant differences compared to the control).
Table 5.
Reproductive effects (number of eggs per daphnia) on Daphnia magna at day 8 of exposure to BTL, 3,4-DMMC, 3-MMC, MDPV, and BPD.
A significant increase in reactive oxygen species (ROS) levels was verified for BTL and 3,4-DMMC exposures, but no changes were found for other 3-MMC, MDPV, and BPD (Figure 6, Table 6). A significant increase in thiobarbituric-acid-reactive substances (TBARS) levels was observed for MDPV and 3,4-DMMC (Figure 6, Table 6). No changes in catalase (CAT) and acetylcholinesterase (AChE) enzymatic activity were observed except for BPD, which caused a significant stimulation of AChE activity.
Figure 6.
Biochemical effects (ROS, TBARS, CAT, and AChE) on Daphnia magna at day 8 of exposure to BTL, 3,4-DMMC, 3-MMC, MDPV, and BPD. (Asterisks (*) represent significant differences compared to the control).
Table 6.
Biochemical effects (ROS, TBARS, CAT, and AChE) on Daphnia magna at day 8 of exposure to BTL, 3,4-DMMC, 3-MMC, MDPV, and BPD.
3. Discussion
Some studies reported the occurrence of SC in wastewaters as influents and effluents, but information about surface waters is scarce [13,14,37,38]. For instance, 4-MMC (up to 106.00 ng L−1), bk-MAP (up to 12.00 ng L−1), and MDPV (up to 6.00 ng L−1) were measured in influent wastewater samples from eight European countries [15]. Another study reported the presence of BTL, MDPV, BPD, and 3,4-DMMC in a low range (1.00 to 20.00 ng L−1) in urban wastewaters from WWTP from different European cities [12]. The occurrence of BPD and 3,4-DMMC in Portuguese surface waters and effluent samples was reported though below their limit of quantification of 125.00 and 250.00 ng L−1, respectively [16]. Therefore, in addition to the significant human health risks, assessment of their toxic effects on aquatic organisms has become important to provide scientific evidence about their ecotoxicity. In this study, 44 SC were selected for in silico studies, and a group of five emerging SC was prioritized for further in vivo ecotoxicity studies.
In silico tests were applied to predict the physicochemical properties (WSol and log KOW), the BCF, BAF and potential toxicity for diverse organisms from different trophic levels. The 3,4-DMMC, BTL, 3-MMC, BPD, and MDPV were selected for the further in vivo experiments based on in silico approaches data, consumption levels, EMCDDA reports [4,22], and recent reports in wastewaters [1].
The log KOW is important to identify potential contaminants of concern according to OECD guidelines and USEPA criteria [32,33]. Predicted log KOW values were very different among SC ranging from 1.38 for CATH to 5.47 for 4-MeO-α-POP. The order of SC with log KOW values ≥ 3.00 was 4-MeO-α-POP > NPP > 4-MeO-α-PHPP ≈ 5-PPDI > α-BHP > 4-BrPVP > 4-FPHP > MPP > α-PHP > α-PIHP > 4-MPBP > 4-MeO-α-PVP ≈ α-PVP > MDPV ≈ α-PPP, showing the higher potential for bioconcentration and bioaccumulation. Predicted log KOW values for SC selected for the in vivo assays were similar for all SC (< 3.00) except for MDPV, which showed the highest value (3.97) indicating a higher potential for bioaccumulation. The WSol values for the 44 SC varied between 2.57 for 4-MeO-α-POP, which showed the lower WSol, and 51,470.00 mg L−1 for CATH, with the higher WSol. Considering the five SC prioritized, values ranged from 70.24 to 5819.00 mg L−1 in the following order MDPV < 3,4-DMMC < BTL < 3-MMC < BPD, i.e., MDPV showing the lower WSol.
The 44 SC order of toxicity was similar for the three model organisms (fish, daphnid, and green algae). In general, the higher acute and chronic toxicity were obtained for 4-MeO-α-POP > NPP > 4-MeO-α-PHPP ≈ 5-PPDI, whereas the lower toxicity values were found for EPH > bk-MAP > MTP > CATH for the three organisms (green algae, daphnia, and fish). For the SC selected for the in vivo assays, the acute and chronic toxicity showed the highest toxicity of MDPV towards fish, daphnia, and green algae, whereas BTL showed the lowest toxicity. The susceptibility of organisms was different with green algae showing higher sensitivity to SC in comparison to fish and daphnia. Regarding chronic toxicity, daphnia showed higher vulnerability. Overall, T. pyriformis ICG50 predicted values showed higher toxicity for NPP (1.11 mg L−1) and the lower toxicity for CATH (148.21 mg L−1), whereas for the prioritized five SC, the predicted toxicity values ranged between 6.50 and 51.80 mg L−1 in the following order: MDPV > 3,4-DMMC > 3-MMC > BPD > BTL.
BCF and BAF values for the 44 SC varied according to the trophic level and the Arnot-Gobas method. Considering the Arnot-Gobas method no. 1 (three trophic levels of fish), the higher BCF and BAF predicted values were obtained for α-BHP, whereas the lowest were predicted for CATH. Regarding the Arnot-Gobas method no. 2 for the upper trophic level, the highest BCF and BAF predicted values were obtained for 4-MeO-α-POP, while the lower values were found for CATH. In the five SC selected for the in vivo ecotoxicity tests, and the predicted BCF and BAF values estimated the same order of potential for bioaccumulation for three trophic levels (MDPV > 3,4-DMMC > BTL > 3-MMC > BPD). According to the REACH criteria, substances can be categorized as very bioaccumulative (>5000 L Kg−1 wet wt−1), bioaccumulative (5000 ≥ 2000 L Kg−1 wet wt−1), or not bioaccumulative (<2000 L Kg−1 wet wt−1) [34]. Considering these criteria, SC are not considered bioaccumulative except MDPV (2146 L Kg−1 wet wt−1), which is categorized as a bioaccumulative substance. These results are in concordance with predicted log KOW values and the chemical structures.
For a comprehensive study regarding the prioritization of the five SC’ short-term exposure, tests were performed with protozoan and daphnia and compared with in silico SC toxicity prediction.
Protozoan growth inhibition assay was accomplished from 1.25 to 40.00 mg L−1 to estimate EC50 values. Within this range of concentrations, no EC50 values were possible to be determined. Higher concentrations were not tested as they are not expected to be measured in environmental aquatic ecosystems. Nevertheless, protozoan growth response depended on the SC showing different susceptibilities to the substances. The highest growth inhibition was observed for MDPV followed by BPD and 3,4-DMMC. No toxicity was found for BTL and 3-MMC caused an increase in protozoan growth. The protozoan is not included in the ECOSARTM model organisms; however, toxicity was possible to obtain using TESTTM program. Data showed higher toxicity of MDPV and lower toxicity of BTL. These models have been pointing out that toxicity increases with the increase in the number of atoms and degree of methylation per compound and that toxicity decreases with an increase in nitrogen substitution [39]. In vivo experiments with protozoan are in accordance with the in silico data that showed higher toxicity of MDPV and lower toxicity of BTL. However, 3-MMC showed to stimulate protozoan growth, whereas in silico predictive data indicated toxicity of this substance after 48 h of exposure. Similar results, i.e., growth increase instead of growth inhibition, have been reported for other organisms as bacteria exposed to environmental contaminants. These organisms may use the contaminants as sources of carbon that causes stimulation of growth. Mennillo et al. (2018) reported a growth increase at the highest concentration of ketoprofen on the bacteria Vibrio fischeri [40]. Differences between the in silico data and in vivo experiments can also be related to the time of exposure (28 h in the in vivo studies whereas 48 h for the in silico study).
Regarding daphnia, in silico data showed toxicity at high concentrations (mg L−1), with MDPV showing the higher toxicity and BTL the lower toxicity. As these concentrations are not expected to occur in the environment, a sublethal concentration, 10.00 μg L−1, was selected and different parameters as checkpoints of toxicity were evaluated. Indeed, in silico tests are based on acute immobilization and daphnia reproductive assays that can be insufficient to evaluate toxicity as other endpoints can be affected at lower concentrations and affect the survival of the organisms. Thus, morphophysiological, behavioral, reproductive, and biochemical parameters were evaluated as biomarkers of toxicity [41,42,43].
Morphophysiological parameters showed to be affected in a substance and daphnia life cycle dependent manner. BTL affected all morphophysiological parameters causing a significant increase in body size, heart area, heart size, and heart rate in both juveniles and adults. All other SC also stimulated heart rates in both juveniles (except 3-MMC) and adults. Regarding heart area and size, different responses were observed among SC. All SC affected heart size and area in juveniles, causing an increase except BPD in juveniles, but at day 8 a decrease in heart area and size was observed for both MDPV and 3-MMC. Studies of the effects of SC on the morphophysiological parameters of this microcrustacean are non-existent so far; however, interferences in morphophysiological parameters such as heart rate, thoracic limb activity, and mandible movements have been reported for other chemicals including psychoactive substances [43,44].
Behavioral parameters, such as swimming speed, distance traveled and active time, gained special attention since SC are NPS acting at the level of the central nervous system that directly affects the locomotive abilities of daphnia [41,42,43,45]. Although a tendency to the increase in swimming speed was observed for some SC (BTL, BPD, and 3,4-DMMC) no significant effects were noted. Additionally, no changes in active time were observed for any of the SC. Regarding total distance traveled, an increase was observed for BPD and 3,4-DMMC. Changes in swimming activity (distance moved and swimming speed) were observed in D. magna after 21 days of exposure to COC at 0.05 and 0.50 µg L−1 [45].
Only MDPV showed to interfere with first reproductive events causing a significant increase in the number of eggs per daphnid. Changes in reproduction events have been reported for other psychoactive drugs (namely, methamphetamine and COC) after 21 days of exposure [18,45], but the 21-day reproductive assay was not performed in our current work.
SC also exhibited distinct effects on biochemical parameters. Although BTL and 3,4-DMMC caused an increase in ROS levels, no changes were observed in CAT activity. Additionally, no changes were noted in TBARS levels for BTL, but 3,4-DMMC caused an increase in its levels corroborating the increase in ROS levels. Parolini et al. (2018) reported that benzoylecgonine induces oxidative stress on D. magna after 48 h of exposure at environmental concentrations (0.50 and 1.00 µg L−1) [46]. A tendency to increase in TBARS levels was also observed for all SC; however, significant changes were noticed for 3,4-DMMC and for MDPV. CAT is a relevant antioxidant enzyme, which acts in the protection of cells from ROS species, transforming hydrogen peroxide in oxygen and water. Although an increase was observed for ROS and TBARS, no changes in CAT activity were noted. Changes in CAT activity have been reported in daphnia exposed to psychoactive substances [18,47]. AChE is an enzyme that plays an important role in the normal regulation of the central nervous system, being an important biomarker [46]. Only organisms exposed to BPD showed significant alterations (increase) in AChE levels.
In vivo experiments with daphnia, at sublethal concentrations, showed that all SC can interfere with different endpoints, and therefore, it was not possible to observe a distinct SC toxicity. BTL interfered with all morphophysiological parameters in contrast to the lower in silico data toxicity potential, and thus toxicity can be underestimated. Therefore, care should be taken when using in silico data as contaminants can interfere with endpoints not considered in these programs.
4. Materials and Methods
4.1. Chemicals and Reagents
Purity of all SC standards was >98.5% and in the form of racemates (50.0% of each enantiomer). The 3-MMC and 3,4-DMMC were acquired from LGC Standards GmbH (Wesel, Germany); BPD was obtained from Cayman Chemical (Ann Arbor, MI, United States of America (USA)); BTL was purchased from Cerilliant (Round Rock, TX, USA), and MDPV was acquired from Lipomed AG (Arlesheim, Switzerland). Individual stock solutions of each SC for the in vivo assays were prepared at 1.00 mg mL−1 in 10 mL of ultrapure water (UPW; Ultrapure Water System (SG Ultra Clear UV plus)) and stored in amber bottles at −20 °C. Potassium dichromate (K2Cr2O7; ~98.0%) was obtained from José Manuel Gomes dos Santos, LDA (Portugal). For biochemical assays, bovine serum albumin (BSA; ≥96.0%) at 0.10 mg mL−1 in UPW, CAT from Aspergillus niger (≥4.00 units mg−1 protein) at 69,629.00 U mL−1, 2′,7′-dichlorofluorescein (DCF; ~90.0%) at 10.00 mM in dimethyl sulfoxide (DMSO; ≥99.9%) and malondialdehyde (MDA; ≥96.0%) at 5.00 mM in UPW were obtained from Sigma-Aldrich (St. Louis, MO, USA or Steinheim, Germany).
4.2. In Silico Study
For in silico studies, the EPI SuiteTM program (version 4.11, November 2012) [48] developed by the USEPA with KOWWINTM, WSKOWWINTM, ECOSARTM, and BCFBAFTM programs were used. The EPI SuiteTM program uses a single input to run diverse validated estimation programs allowing to predict log KOW, WSol, bioaccumulation, and estimate toxicity for fish (96 h and 14 days) [31,49,50], daphnia (48 h and 21 days) [31], and green algae (48 h) [51], and ChV for fish, daphnia, and green algae (Chlorophyta). ChV is defined as the geometric mean by the following equation:
where the NOEC is the no-observed-effect concentration and the LOEC is the lowest-observed-effect concentration.
For estimation of these parameters, the chemical names, CAS registry numbers, and SMILES notations were introduced on in silico computational programs. These parameters as well as PSA values and IUPAC (International Union of Pure and Applied Chemistry) names were obtained from PubChem website searches (https://pubchem.ncbi.nlm.nih.gov, accessed on 21 December 2022 and on 8 March 2023). For more detailed information, please see the Supplementary Materials (Table S1). Table S1 provides the acronyms, IUPAC names, CAS numbers, chemical structures, SMILES notations, and PSA values of the 44 SC selected for in silico studies.
The KOWWINTM program (version 1.68, September 2010) was used to estimate the log KOW (log octanol-water partition coefficient) of chemicals using an atom/fragment contribution method [33,52]. The WSKOWWINTM program (version 1.42, September 2010) estimates the WSol of an organic compound using the log KOW previously estimated by KOWWIN™ program and then applicable correction factors if needed [53,54,55]. The ECOSARTM (version 1.11, July 2012) estimates the aquatic toxicity of chemicals, namely acute toxicity and chronic toxicity to aquatic organisms such as fish, aquatic invertebrates, and green algae. BCFBAF™ program (version 3.01, September 2012) provides screening levels of BCF and BAF prediction by regression model based on log KOW values and includes correction factors for biotransformation and ionization. The Arnot-Gobas method [56] was considered (including biotransformation rate estimates and assuming a biotransformation rate of zero) to calculate BCF and BAF for three trophic positions of fish. As no information for protozoan is possible to obtain using EPI SuiteTM program, the TESTTM program (version 5.1.2, October 2022) was used [57]. This application was developed by USEPA to estimate toxicity values for several endpoints including the 48 h assay on the protozoan T. pyriformis by accessing the 50% of the growth inhibition concentration (IGC50).
4.3. Ecotoxicity Assays
4.3.1. Sub-Chronic Assay with T. thermophila
Protozoan growth inhibition toxicity assay was performed based on the procedures described in the Standard Operating Procedures for Toxkit tests (Protoxkit FTM, MicroBioTests Inc., Gent, Belgium) and in accordance with OECD Guideline no. 244 [28]. The SC solutions and reference test with K2Cr2O7 were prepared in standard freshwater medium (SFM; 96 mg of NaHCO3, 120 mg of CaSO42H2O, 123 mg of MgSO47H2O and 4 mg of KCl in 1 L of distilled water). Individual SC stock solutions were prepared at 1.00 mg mL−1 in UPW and exposure solutions by dilution of the stock solution with SFM. The concentrations used were 1.25, 2.50, 5.00, 10.00, 20.00, and 40.00 mg L−1 for each SC. For the reference test, a stock solution of K2Cr2O7 at 100.00 mg L−1 in SFM was prepared and exposure concentrations by dilution with SFM. The reference test was performed at 5.60, 10.00, 18.00, 32.00, and 56.00 mg L−1. More details can be found in Supplementary Materials (Table S3). Each concentration was performed in triplicate.
4.3.2. Sublethal Assay with D. magna
D. magna Culture Maintenance
Monoclonal cultures of D. magna were maintained under laboratory controlled conditions of light intensity (6000 lux), photoperiod (16:8 h light: dark), temperature (20 ± 2 °C) and kept in moderately hard reconstituted water (MHRW) [27]. Daphnia were maintained in groups of 30 individuals per 800 mL of MHRW, supplemented with a vitamin mixture (biotin, thiamine, and cyanocobalamin), algae extract (Ascophyllum nodosum, Extract Sol-Plex Sierra acquired from Alltech Naturally (Sintra, Portugal)) and Saccharomyces cerevisiae yeast acquired from Pura Vida (Lisbon, Portugal). Organisms were fed with a microalgae suspension of Raphidocelis subcapitata at 3.0 × 105 cells mL−1 day−1 (neonates/juveniles) or 6.0 × 105 cells mL−1 day−1 (adults). The culture media was renewed every 2 days. Microalgae were cultured in Woods Hole MBL medium, in a semicontinuous 4 L batch culture at a 16:8 h light: dark cycle (20 ± 2 °C) [58]. Culture maintenance details can be found in Supplementary Material (Section S2.1.2.1). Individuals born between the 3rd and 5th brood with less than 24 h were used to start new cultures and to perform the experimental assays.
Experimental Design
Five replicates were used for the control and for each compound experiment. Each experimental unit contained 15 neonates per 250 mL of culture medium. From the individual SC stock solutions prepared at 1.00 mg mL−1 in UPW, individual intermediate solutions were prepared at 1.00 mg L−1 (in 100 mL of UPW) and stored at 4 °C, and used to prepare the concentration of 10.00 µg L−1 with MHRW for the exposure experiments. Every 2 days, the culture medium was renewed, and organisms were fed with a microalgae suspension.
Mortality was monitored over the exposure time. On days 3 and 8, the morphophysiological parameters were determined using a Zeiss Axiostar plus optical microscope (Carl Zeiss, Jena, Germany) coupled to a PowerShot G9 digital video camera (Canon, Tokyo, Japan). Three organisms were randomly collected from each replicate, photographed and video recorded for 1 min (min), and later analyzed to determine the body size, heart size and area, and heart rate. To assess morphometric parameters free image measurement software was used and DaVinci Resolve software (version 17.2 Build 11) was used to change clip speed (to 25% frame reduction) for heart rate determination. From day 8, photographs were taken and used for the determination of the number of eggs per daphnia.
On day 5, five individuals were randomly collected from each experimental replicate and placed into a 6-well plate with ~5 mL of the respective exposure medium, and video was recorded for 1 min with a digital video camcorder (Canon Legria HF R506, Japan). Each well was previously filled with 5 mL of melted 1% agarose and once solidified a circular swimming area of 27 mm was created using a plastic cylinder. These holes provide a swimming area with excellent optics and visibility for video recording. The clips were analyzed with TheRealFishTracker program to obtain swimming speed, active time, and total distance travelled [59,60].
After 8 days of exposure, the survival individuals were collected into an Eppendorf tube, washed twice with phosphate buffer solution (PBS; 0.800 g of NaCl; 0.020 g of KCl; 0.144 g of Na2HPO4 and 0.024 g of KH2PO4 in 100 mL of UPW, pH adjusted to 7.4), and then stored on 250 µL of PBS at −80 °C. Samples were homogenized using an ultrasonicate (Vibra-CellTM model VCX750 with a tip diameter of 3 mm, both from Sonics & Materials, Inc.), and then centrifuged at 15,000× g for 10 min at 4 °C (Heraeus Biofuge 1.0R refrigerated centrifuge (Hanau, Germany) for protein quantification and determination of AChE, CAT, TBARS, and ROS [44,45,46,61,62,63,64,65,66,67,68,69]. Oxidative stress and enzymatic activity were determined spectrophotometrically (each sample in duplicate) using a microplate BioTek Synergy plate reader 2 (Vermont, USA). More details are present in Supplementary Materials (Section S2.1.2.2).
4.4. Statistical Analysis
Protozoan growth inhibition assay data were analyzed in GraphPad (Version 8.0.1.244) using nonlinear regression with variable slope (four parameters) and least-squares fit method. To assess which concentrations caused significant growth inhibition, one-sample unidirectional t-tests (% growth inhibition > 0) were performed for each concentration and all substances (a total of 35 one-sample t-tests were performed); to overcome the multiplicity problem (testing related multiple hypotheses; [70]), p-values were adjusted by controlling the false discovery rate [71] using the p.adjust() function in R [72].
Data from sublethal assay on daphnia were obtained using Jamovi program (version 2.2.5), a free statistical software application [73]. To evaluate the five SC data effects, both general linear models (one-way ANOVA) and generalized linear models were applied [74,75]. General linear model fit by OLS was employed for survival, morphophysiological, behavioral, and biochemical parameters, while negative binomial generalized linear models (model for count data) were applied for reproductive events (number of eggs per daphnia). In both cases, the occurrence of a significant effect of SC was additionally examined with Dunnett contrasts to evaluate significant differences between treatment and control. The differences were considered statistically significant if the p < 0.05.
5. Conclusions
The presence of SC at a low ng L−1 range has been reported in WWTP effluents. However, the information available concerning the ecotoxicological effects on aquatic model species is still poorly explored.
For that, 44 SC were selected for the in silico studies and a group of five SC prioritized based on consumption and recent reports in wastewaters for an integrative in vivo study using two ecologically relevant organisms belonging to different trophic levels (protozoan and microcrustacean), namely BTL, BPD, MDPV, 3-MMC, and 3,4-DMMC. The in silico data revealed that MDPV is the SC with the most potential for fish bioaccumulation and also the most toxic (at acute and chronic levels) for the three organisms (fish, daphnia, and green algae). Additionally, different organism susceptibilities were obtained regarding both acute (green algae) and chronic (daphnia) evaluation. For T. pyriformis, MDPV showed the highest toxicity, while BTL showed the lowest toxicity.
Similar results were found for the in vivo experiments using the T. thermophila, namely increasing growth inhibition (MDPV > BPD > 3,4-DMMC), whereas no effects were observed for BTL. However, a stimulatory effect was observed for 3-MMC. Considering the sublethal ecotoxicity assays in the microcrustacean, different susceptibilities were noted depending on the type of SC and endpoints study.
Our work shows that SC do not affect mortality at the concentrations studied; however, they interfered at sublethal levels with several endpoints in D. magna (precisely, morphophysiology (BTL significantly increases the body size, heart size, heart area and heart rate in juveniles and adults daphnia), swimming behavior (BPD and 3,4-DMMC significantly raise the total distance traveled), reproduction (MDPV significantly increase the number of eggs per daphnia), and oxidative stress and biochemical activity (3,4-DMMC and MDPV significantly increase the TBARS levels)).
These results emphasize that, although in silico programs provide important data about the toxicity potential of diverse substances, in vivo experiments at sublethal or environmental reported levels focusing on other endpoints demonstrate that contaminant toxicity can be underestimated.
In this sense, further in vivo experimental studies should be conducted to extend the current knowledge about SC ecotoxicity effects on non-target aquatic organisms and to expand to other organisms belonging to different trophic levels, such as fish, improving ecotoxicological testing in risk assessment procedures. Additionally, the potential of mixtures should be considered as additive or synergistic effects can occur.
Supplementary Materials
The following supporting information can be downloaded at: https://www.mdpi.com/article/10.3390/molecules28072899/s1, Table S1: Acronyms, International Union of Pure and Applied Chemistry (IUPAC) name, Chemical Abstracts Service (CAS) number, chemical structure, Simplified Molecular Input Line Entry System (SMILES) notation, and polar surface area (PSA) value of 44 SC for in silico studies; Table S2: Summary of predicted data (physical/chemical properties (i.e., WSol and log KOW) and toxicity) for 44 SC using EPI SuiteTM program (green algae, daphnia, and fish) and TESTTM program (protozoan, Tetrahymena pyriformis); Table S3: Percentage of growth inhibition vs. log concentration of Tetrahymena thermophila after 28 h of exposure to K2Cr2O7 at five concentrations tested.
Author Contributions
Conceptualization, C.R., M.E.T. and J.S.C.; methodology, C.R., M.E.T. and J.S.C.; software, A.P.-P., C.R., M.E.T. and J.S.C.; validation, A.P.-P., C.R., J.S.C. and M.E.T.; formal analysis, A.P.-P., C.R., J.S.C. and M.E.T.; investigation, A.P.-P., A.R.C. and C.R.; resources, C.R., J.S.C. and M.E.T.; data curation, A.P.-P. and C.R.; writing—original draft preparation, A.P.-P.; writing—review and editing, C.R., M.E.T. and J.S.C.; supervision, C.R., J.S.C. and M.E.T.; project administration, C.R., M.E.T. and J.S.C.; funding acquisition, C.R., M.E.T. and J.S.C. All authors have read and agreed to the published version of the manuscript.
Funding
This work is financed by portuguese national funds through the FCT/MCTES (PIDDAC), under the project PTDC/CTA-AMB/6686/2020. Partially supported by FCT—Foundation for Science and Technology through the projects UIDB/04033/2020 (CITAB), UIDB/04423/2020 and UIDP/04423/2020 (Group of Marine Natural Products and Medicinal Chemistry—CIIMAR).
Institutional Review Board Statement
Not applicable.
Informed Consent Statement
Not applicable.
Data Availability Statement
Data are available from the corresponding author upon request.
Acknowledgments
Ariana Pérez-Pereira acknowledges the PhD grant BD/CBAS/CESPU/04/2020, BD/CBAS/CESPU/04/2021 and BD/CBAS/CESPU/04/2022 (from 1 February 2020 to 31 January 2023), and FCT PhD grant 2022.09843.BD (since 1 February 2023).
Conflicts of Interest
The authors declare no conflict of interest.
References
- Bade, R.; White, J.M.; Ghetia, M.; Adiraju, S.; Adhikari, S.; Bijlsma, L.; Boogaerts, T.; Burgard, D.A.; Castiglioni, S.; Celma, A.; et al. A Taste for New Psychoactive Substances: Wastewater Analysis Study of 10 Countries. Environ. Sci. Technol. Lett. 2021, 9, 57–63. [Google Scholar] [CrossRef]
- Langa, I.; Gonçalves, R.; Tiritan, M.E.; Ribeiro, C. Wastewater analysis of psychoactive drugs: Non-enantioselective vs enantioselective methods for estimation of consumption. Forensic Sci. Int. 2021, 325, 110873. [Google Scholar] [CrossRef] [PubMed]
- Peacock, A.; Bruno, R.; Gisev, N.; Degenhardt, L.; Hall, W.; Sedefov, R.; White, J.; Thomas, K.V.; Farrell, M.; Griffiths, P. New psychoactive substances: Challenges for drug surveillance, control, and public health responses. Lancet 2019, 394, 1668–1684. [Google Scholar] [CrossRef] [PubMed]
- European Monitoring Centre for Drugs and Drug Addiction. In New Psychoactive Substances: Global Markets, Glocal Threats and the COVID-19 Pandemic; An Update from the EU Early Warning System (December 2020); Publications Office of the European Union: Luxembourg, 2020.
- Miliano, C.; Margiani, G.; Fattore, L.; De Luca, M. Sales and Advertising Channels of New Psychoactive Substances (NPS): Internet, Social Networks, and Smartphone Apps. Brain Sci. 2018, 8, 123. [Google Scholar] [CrossRef]
- Gore, S.; van Staaden, M.J.; Sprague, J.E.; Huber, R. Synthetic cathinones and their phenethylamine analogues produce distinct psychomotor and reward behavior in crayfish. Behav. Brain Res. 2019, 379, 112368. [Google Scholar] [CrossRef]
- European Monitoring Centre for Drugs and Drug Addiction. Risk assessment report on the new psychoactive substance 2-(methylamino)-1-(3-methylphenyl)propan-1-one (3methylmethcathinone, 3-MMC) in accordance with Article 5c of Regulation (EC) No 1920/2006 (as amended). In Risk Assessments; Publications Office of the European Union: Luxembourg, 2022. [Google Scholar]
- Reuter, P.; Pardo, B. New psychoactive substances: Are there any good options for regulating new psychoactive substances? Int. J. Drug Policy 2016, 40, 117–122. [Google Scholar] [CrossRef]
- Angoa-Pérez, M.; Anneken, J.H.; Kuhn, D.M. Neurotoxicology of synthetic cathinone analogs. Curr. Top. Behav. Neurosci. 2016, 32, 209–230. [Google Scholar] [CrossRef]
- Jurásek, B.; Čmelo, I.; Svoboda, J.; Čejka, J.; Svozil, D.; Kuchař, M. New psychoactive substances on dark web markets: From deal solicitation to forensic analysis of purchased substances. Drug Test. Anal. 2020, 13, 156–168. [Google Scholar] [CrossRef]
- Yao, B.; Yan, S.; Lian, L.; Liu, D.; Cui, J.; Song, W. Occurrence, distribution, and potential health risks of psychoactive substances in Chinese surface waters. J. Hazard. Mater. 2021, 407, 124851. [Google Scholar] [CrossRef]
- Castiglioni, S.; Salgueiro-González, N.; Bijlsma, L.; Celma, A.; Gracia-Lor, E.; Beldean-Galea, M.S.; Mackuľak, T.; Emke, E.; Heath, E.; Kasprzyk-Hordern, B.; et al. New psychoactive substances in several European populations assessed by wastewater-based epidemiology. Water Res. 2021, 195, 116983. [Google Scholar] [CrossRef]
- Bade, R.; Abbate, V.; Abdelaziz, A.; Nguyen, L.; Trobbiani, S.; Stockham, P.; Elliott, S.; White, J.M.; Gerber, C. The complexities associated with new psychoactive substances in influent wastewater: The case of 4-ethylmethcathinone. Drug Test. Anal. 2020, 12, 1494–1500. [Google Scholar] [CrossRef] [PubMed]
- Brandeburová, P.; Bodík, I.; Horáková, I.; Žabka, D.; Castiglioni, S.; Salgueiro-González, N.; Zuccato, E.; Špalková, V.; Mackuľak, T. Wastewater-based epidemiology to assess the occurrence of new psychoactive substances and alcohol consumption in Slovakia. Ecotoxicol. Environ. Saf. 2020, 200, 110762. [Google Scholar] [CrossRef]
- Bade, R.; Bijlsma, L.; Sancho, J.V.; Baz-Lomba, J.A.; Castiglioni, S.; Castrignanò, E.; Causanilles, A.; Gracia-Lor, E.; Kasprzyk-Hordern, B.; Kinyua, J.; et al. Liquid chromatography-tandem mass spectrometry determination of synthetic cathinones and phenethylamines in influent wastewater of eight European cities. Chemosphere 2017, 168, 1032–1041. [Google Scholar] [CrossRef]
- Langa, I.; Tiritan, M.E.; Silva, D.; Ribeiro, C. Gas Chromatography Multiresidue Method for Enantiomeric Fraction Determination of Psychoactive Substances in Effluents and River Surface Waters. Chemosensors 2021, 9, 224. [Google Scholar] [CrossRef]
- Souders, C., II; Davis, R.H.; Qing, H.; Liang, X.; Febo, M.; Martyniuk, C.J. The psychoactive cathinone derivative pyrovalerone alters locomotor activity and decreases dopamine receptor expression in zebrafish (Danio rerio). Brain Behav. 2019, 9, e01420. [Google Scholar] [CrossRef] [PubMed]
- De Felice, B.; Mondellini, S.; Salgueiro-González, N.; Castiglioni, S.; Parolini, M. Methamphetamine exposure modulated oxidative status and altered the reproductive output in Daphnia magna. Sci. Total Environ. 2020, 721, 137728. [Google Scholar] [CrossRef] [PubMed]
- Pérez-Pereira, A.; Ribeiro, C.; Teles, F.; Gonçalves, R.; Gonçalves, V.M.; Pereira, J.A.; Carrola, J.S.; Pires, C.A.; Tiritan, M.E. Ketamine and Norketamine: Enantioresolution and Enantioselective Aquatic Ecotoxicity Studies. Environ. Toxicol. Chem. 2020, 41, 569–579. [Google Scholar] [CrossRef]
- Kuropka, P.; Zawadzki, M.; Szpot, P. A review of synthetic cathinones emerging in recent years (2019–2022). Forensic Toxicol. 2022, 41, 25–46. [Google Scholar] [CrossRef]
- UNODC. World Drug Report 2022; United Nations Publication: Vienna, Austria, 2022. [Google Scholar]
- European Monitoring Centre for Drugs and Drug Addiction. European Drug Report 2021: Trends and Developments; Publications Office of the European Union: Luxembourg, 2021. [Google Scholar]
- Maurya, R.; Pandey, A.K. Importance of protozoa Tetrahymena in toxicological studies: A review. Sci. Total Environ. 2020, 741, 140058. [Google Scholar] [CrossRef]
- Bownik, A. Daphnia swimming behaviour as a biomarker in toxicity assessment: A review. Sci. Total Environ. 2017, 601–602, 194–205. [Google Scholar] [CrossRef]
- Ebert, D. Ecology, Epidemiology, and Evolution of Parasitism in Daphnia; National Center for Biotechnology Information: Bethesda, MD, USA, 2005.
- Castro, B.B.; Freches, A.R.; Rodrigues, M.; Nunes, B.; Antunes, S.C. Transgenerational Effects of Toxicants: An Extension of the Daphnia 21-day Chronic Assay? Arch. Environ. Contam. Toxicol. 2018, 74, 616–626. [Google Scholar] [CrossRef] [PubMed]
- OECD. Test No. 211: Daphnia magna reproduction test. In OECD Guidelines for Testing of Chemicals; OECD: Paris, France, 2012. [Google Scholar]
- OECD. Test No. 244: Protozoan activated sludge inhibition test. In OECD Guidelines for the Testing of Chemicals; OECD: Paris, France, 2017. [Google Scholar]
- Almeida, A.; Silva, B.; Pinho, P.; Remião, F.; Fernandes, C. Synthetic cathinones: Recent developments, enantioselectivity studies and enantioseparation methods. Molecules 2022, 27, 2057. [Google Scholar] [CrossRef] [PubMed]
- Toma, C.; Cappelli, C.I.; Manganaro, A.; Lombardo, A.; Arning, J.; Benfenati, E. New Models to Predict the Acute and Chronic Toxicities of Representative Species of the Main Trophic Levels of Aquatic Environments. Molecules 2021, 26, 6983. [Google Scholar] [CrossRef]
- Zhou, L.; Fan, D.; Yin, W.; Gu, W.; Wang, Z.; Liu, J.; Xu, Y.; Shi, L.; Liu, M.; Ji, G. Comparison of seven in silico tools for evaluating of daphnia and fish acute toxicity: Case study on Chinese Priority Controlled Chemicals and new chemicals. BMC Bioinform. 2021, 22, 151. [Google Scholar] [CrossRef]
- OECD. OECD Guidelines for the testing of chemicals bioaccumulation in sediment-dwelling benthic oligochaetes. In OECD Guideline; OECD: Paris, France, 2008; p. 315. [Google Scholar]
- U.S. EPA. Partition coefficient CG-1400. In Chemical Fate Test Guidelines; EPA 560/6-82-003; National Technical Information Services: Springfield, VA, USA, 1982. [Google Scholar]
- European Parliament and Council. Regulation (EC) No 1907/2006 of the European Parliament and of the Council of 18 December 2006 Concerning the Registration E., Authorisation and Restriction of Chemicals (REACH), Establishing a European Chemicals Agency, Amending Directive 1999/45/EC and Repealing Council Regulation (EEC) No 793/93 and Commission Regulation (EC) No 1488/94 as Well as Council Directive 76/769/EEC and Commission Directives 91/155/EEC, 93/67/EEC, 93/105/EC and 2000/21/EC. OJ L 396; Official Journal of the European Union, European Union: Brussels, Belgium, 2006; pp. 1–849. [Google Scholar]
- Rim, K. In silico prediction of toxicity and its applications for chemicals at work. Toxicol. Environ. Heal. Sci. 2020, 12, 191–202. [Google Scholar] [CrossRef] [PubMed]
- Massarsky, A.; Donnell, M.T.; de Gandiaga, E.; Kozal, J.S.; Garnick, L.; Kubitz, J.A.; Bartell, S.M.; Monnot, A.D. Critical evaluation of ECOSAR and E-FAST platforms to predict ecological risks of PFAS. Environ. Adv. 2022, 8, 100221. [Google Scholar] [CrossRef]
- Bade, R.; White, J.M.; Nguyen, L.; Tscharke, B.J.; Mueller, J.F.; O′Brien, J.W.; Thomas, K.V.; Gerber, C. Determining changes in new psychoactive substance use in Australia by wastewater analysis. Sci. Total Environ. 2020, 731, 139209. [Google Scholar] [CrossRef]
- Bade, R.; Eaglesham, G.; Shimko, K.M.; Mueller, J. Quantification of new psychoactive substances in Australian wastewater utilising direct injection liquid chromatography coupled to tandem mass spectrometry. Talanta 2023, 251, 123767. [Google Scholar] [CrossRef]
- Luan, F.; Wang, T.; Tang, L.; Zhang, S.; Cordeiro, M.N.D.S. Estimation of the Toxicity of Different Substituted Aromatic Compounds to the Aquatic Ciliate Tetrahymena pyriformis by QSAR Approach. Molecules 2018, 23, 1002. [Google Scholar] [CrossRef]
- Mennillo, E.; Arukwe, A.; Monni, G.; Meucci, V.; Intorre, L.; Pretti, C. Ecotoxicological properties of ketoprofen and the S(+)-enantiomer (dexketoprofen): Bioassays in freshwater model species and biomarkers in fish PLHC-1 cell line. Environ. Toxicol. Chem. 2017, 37, 201–212. [Google Scholar] [CrossRef]
- Jeong, T.-Y.; Yoon, D.; Kim, S.; Kim, H.Y.; Kim, S.D. Mode of action characterization for adverse effect of propranolol in Daphnia magna based on behavior and physiology monitoring and metabolite profiling. Environ. Pollut. 2018, 233, 99–108. [Google Scholar] [CrossRef]
- Szabelak, A.; Bownik, A. Behavioral and physiological responses of Daphnia magna to salicylic acid. Chemosphere 2020, 270, 128660. [Google Scholar] [CrossRef] [PubMed]
- Bownik, A.; Ślaska, B.; Dudka, J. Cisplatin affects locomotor activity and physiological endpoints of Daphnia magna. J. Hazard. Mater. 2019, 384, 121259. [Google Scholar] [CrossRef] [PubMed]
- Bownik, A.; Stępniewska, Z. Protective effects of ectoine on behavioral, physiological and biochemical parameters of Daphnia magna subjected to hydrogen peroxide. Comp. Biochem. Physiol. Part C Toxicol. Pharmacol. 2015, 170, 38–49. [Google Scholar] [CrossRef]
- De Felice, B.; Salgueiro-González, N.; Castiglioni, S.; Saino, N.; Parolini, M. Biochemical and behavioral effects induced by cocaine exposure to Daphnia magna. Sci. Total Environ. 2019, 689, 141–148. [Google Scholar] [CrossRef] [PubMed]
- Parolini, M.; De Felice, B.; Ferrario, C.; Salgueiro-González, N.; Castiglioni, S.; Finizio, A.; Tremolada, P. Benzoylecgonine exposure induced oxidative stress and altered swimming behavior and reproduction in Daphnia magna. Environ. Pollut. 2017, 232, 236–244. [Google Scholar] [CrossRef]
- Duan, S.; Fu, Y.; Dong, S.; Ma, Y.; Meng, H.; Guo, R.; Chen, J.; Liu, Y.; Li, Y. Psychoactive drugs citalopram and mirtazapine caused oxidative stress and damage of feeding behavior in Daphnia magna. Ecotoxicol. Environ. Saf. 2021, 230, 113147. [Google Scholar] [CrossRef]
- US EPA. Estimation Programs Interface Suite™ for Microsoft® Windows v 4.11; US EPA: Washington, DC, USA, 2012.
- Chelcea, I.; Örn, S.; Hamers, T.; Koekkoek, J.; Legradi, J.; Vogs, C.; Andersson, P.L. Physiologically Based Toxicokinetic Modeling of Bisphenols in Zebrafish (Danio rerio) Accounting for Variations in Metabolic Rates, Brain Distribution, and Liver Accumulation. Environ. Sci. Technol. 2022, 56, 10216–10228. [Google Scholar] [CrossRef]
- Roveri, V.; Guimarães, L.L.; Toma, W.; Correia, A.T. Occurrence, ecological risk assessment and prioritization of pharmaceuticals and abuse drugs in estuarine waters along the São Paulo coast, Brazil. Environ. Sci. Pollut. Res. 2022, 29, 89712–89726. [Google Scholar] [CrossRef]
- Blázquez, M.; Andreu-Sánchez, O.; Ranero, I.; Fernández-Cruz, M.L.; Benfenati, E. Comparing in vivo data and in silico predictions for acute effects assessment of biocidal active substances and metabolites for aquatic organisms. Ecotoxicol. Environ. Saf. 2020, 205, 111291. [Google Scholar] [CrossRef]
- Meylan, W.M.; Howard, P.H. Atom/Fragment Contribution Method for Estimating Octanol–Water Partition Coefficients. J. Pharm. Sci. 1995, 84, 83–92. [Google Scholar] [CrossRef]
- Meylan, W.M.; Howard, P.H. Upgrade of PCGEMS Water Solubility Estimation Method (May 1994 Draft); Robert, S.B., Ed.; U.S. Environmental Protection Agency, Office of Pollution Prevention and Toxics: Washington, DC, USA; Syracuse Research Corporation, Environmental Science Center: Syracuse, NY, USA, 1994.
- Meylan, W.M.; Howard, P.H. Validation of Water Solubility Estimation Methods Using Log Kow for Application in PCGEMS & EPI (September 1994 Final Report); Robert, S.B., Ed.; U.S. Environmental Protection Agency, Office of Pollution Prevention and Toxics: Washington, DC, USA; Syracuse Research Corporation, Environmental Science Center: Syracuse, NY, USA, 1994.
- Meylan, W.M.; Howard, P.H.; Boethling, R.S. Improved method for estimating water solubility from octanol/water partition coefficient. Environ. Toxicol. Chem. 1996, 15, 100–106. [Google Scholar] [CrossRef]
- Arnot, J.; Gobas, F. A review of bioconcentration factor (BCF) and bioaccumulation factor (BAF) assessments for organic chemicals in aquatic organisms. Environ Rev 2006, 14, 257–297. [Google Scholar] [CrossRef]
- CCTE; EPA. Toxicity Estimation Software Tool (TEST); The United States Environmental Protection Agency’s Center for Computational Toxicology and Exposure: Durham, NC, USA, 2022. [CrossRef]
- OECD. Test No. 201: OECD Guidelines for testing of chemicals. In Freshwater Alga and Cyanobacteria, Growth Inhibition Test; OECD: Paris, France, 2011. [Google Scholar]
- Félix, L.M.; Serafim, C.; Martins, M.J.; Valentim, A.M.; Antunes, L.M.; Matos, M.; Coimbra, A.M. Morphological and behavioral responses of zebrafish after 24 h of ketamine embryonic exposure. Toxicol. Appl. Pharmacol. 2017, 321, 27–36. [Google Scholar] [CrossRef] [PubMed]
- Félix, L.M.; Antunes, L.M.; Coimbra, A.M. Ketamine NMDA receptor-independent toxicity during zebrafish (Danio rerio) embryonic development. Neurotoxicology Teratol. 2014, 41, 27–34. [Google Scholar] [CrossRef] [PubMed]
- Masteling, R.; Castro, B.; Antunes, S.; Nunes, B. Whole-organism and biomarker endpoints in Daphnia magna show uncoupling of oxidative stress and endocrine disruption in phenolic derivatives. Ecotoxicol. Environ. Saf. 2016, 134, 64–71. [Google Scholar] [CrossRef] [PubMed]
- Bownik, A.; Stepniewska, Z.; Skowronski, T. Protective effects of ectoine on heat-stressed Daphnia magna. J. Comp. Physiol. B 2014, 184, 961–976. [Google Scholar] [CrossRef]
- Bradford, M. A rapid and sensitive method for the quantitation of microgram quantities of protein utilizing the principle of protein-dye binding. Anal. Biochem. 1976, 72, 248–254. [Google Scholar] [CrossRef]
- Ding, J.; Zou, H.; Liu, Q.; Zhang, S.; Razanajatovo, R. Bioconcentration of the antidepressant fluoxetine and its effects on the physiological and biochemical status in Daphnia magna. Ecotoxicol. Environ. Saf. 2017, 142, 102–109. [Google Scholar] [CrossRef]
- Góth, L. A simple method for determination of serum catalase activity and revision of reference range. Clin. Chim. Acta 1991, 196, 143–152. [Google Scholar] [CrossRef]
- Deng, J.; Yu, L.; Liu, C.; Yu, K.; Shi, X.; Yeung, L.; Lam, P.; Wu, R.; Zhou, B. Hexabromocyclododecane-induced developmental toxicity and apoptosis in zebrafish embryos. Aquat. Toxicol. 2009, 93, 29–36. [Google Scholar] [CrossRef] [PubMed]
- Buege, J.; Aust, S. Microsomal lipid peroxidation. Microsomal Electron. Trans. CYT P-450 1978, 30, 302–306. [Google Scholar]
- Ohkawa, H.; Ohishi, N.; Yagi, K. Assay for lipid peroxides in animal tissues by thiobarbituric acid reaction. Anal. Biochem. 1979, 95, 351–358. [Google Scholar] [CrossRef] [PubMed]
- Jemec, A.; Drobne, D.; Tišler, T.; Trebše, P.; Roš, M.; Sepčić, K. The applicability of acetylcholinesterase and glutathione S-transferase in Daphnia magna toxicity test. Comp. Biochem. Physiol. C Toxicol. Pharmacol. 2007, 144, 303–309. [Google Scholar] [CrossRef] [PubMed]
- Verhoeven, K.J.; Simonsen, K.L.; McIntyre, L.M. Implementing false discovery rate control: Increasing your power. Oikos 2005, 108, 643–647. [Google Scholar] [CrossRef]
- Benjamini, Y.; Hochberg, Y. Controlling the False Discovery Rate: A Practical and Powerful Approach to Multiple Testing. J. R. Stat. Soc. Ser. B Methodol. 1995, 57, 289–300. [Google Scholar] [CrossRef]
- R Core Team. R: A Language and Environment for Statistical Computing; R Foundation for Statistical Computing: Vienna, Austria, 2022; Available online: https://www.R-project.org/ (accessed on 1 March 2023).
- The Jamovi Project. Jamovi. (Version 2.2) [Computer Software]. 2021. Available online: https://www.jamovi.org (accessed on 1 March 2023).
- R Core Team. R: A Language and Environment for Statistical Computing. (Version 4.0) [Computer Software]. R Packages Retrieved from MRAN Snapshot 2021-04-01. 2021. Available online: https://cran.r-project.org (accessed on 1 March 2023).
- Gallucci, M. GAMLj: General Analyses for Linear Models. [Jamovi Module]. 2019. Available online: https://gamlj.github.io/ (accessed on 1 March 2023).
Disclaimer/Publisher’s Note: The statements, opinions and data contained in all publications are solely those of the individual author(s) and contributor(s) and not of MDPI and/or the editor(s). MDPI and/or the editor(s) disclaim responsibility for any injury to people or property resulting from any ideas, methods, instructions or products referred to in the content. |
© 2023 by the authors. Licensee MDPI, Basel, Switzerland. This article is an open access article distributed under the terms and conditions of the Creative Commons Attribution (CC BY) license (https://creativecommons.org/licenses/by/4.0/).





