Biodegradable Nanofibrillated Cellulose/Poly-(butylene adipate-co-terephthalate) Composite Film with Enhanced Barrier Properties for Food Packaging
Abstract
1. Introduction
2. Results and Discussion
2.1. FT-IR Spectroscopy of PBAT-HMNC
2.2. SEM Images of PBAT-HMNC
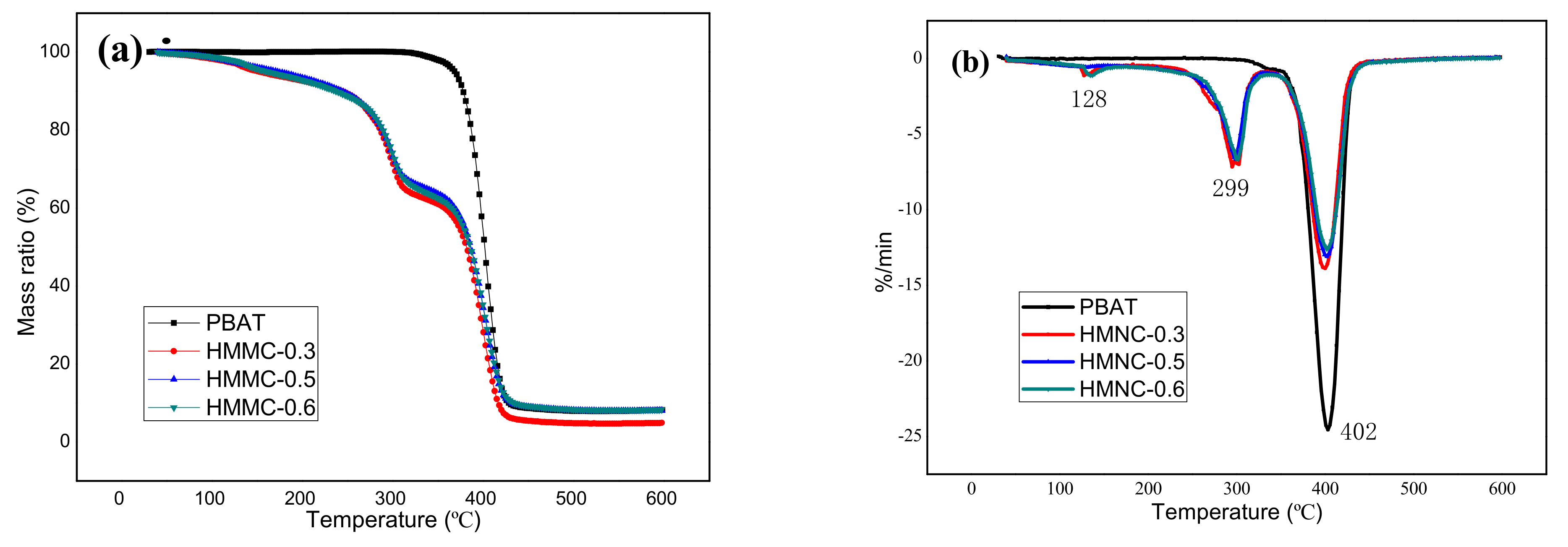
2.3. The Thermal Stability of the Composites (TG and DTG)
2.4. The Mechanical Properties of PBAT-HMNC Composites
2.5. The Barrier Properties of PBAT-HMNC Composites
2.6. The Freshness Preservation Evaluation
3. Materials and Methods
3.1. Materials
3.2. Preparation of the Palm Wax Emulsion
3.3. Preparation of the Hydrophobically Modified Nanofibrillated Cellulose (HMNC)
3.4. Preparation of PBAT- HMNC Composite Films
3.5. Characterization
3.6. The Measurement of the Oxygen and Water Vapor Barrier Properties
4. Conclusions
Author Contributions
Funding
Institutional Review Board Statement
Informed Consent Statement
Data Availability Statement
Conflicts of Interest
Sample Availability
References
- Dupont, H.; Laurichesse, E.; Héroguez, V.; Schmitt, V. Green Hydrophilic Capsules from Cellulose Nanocrystal-Stabilized Pickering Emulsion Polymerization: Morphology Control and Spongelike Behavior. Biomacromolecules 2021, 22, 3497–3509. [Google Scholar] [CrossRef] [PubMed]
- Li, Y.; Chen, M.D.; Wan, X.; Zhang, L.; Wang, X.; Xiao, H. Solvent-free synthesis of the cellulose-based hybrid beads for adsorption of lead ions in aqueous solutions. RSC Adv. 2017, 7, 53899–53906. [Google Scholar] [CrossRef]
- Lu, P.; Zhao, H.; Zheng, L.; Duan, Y.; Wu, M.; Yu, X.; Yang, Y. Nanocellulose/Nisin Hydrogel Microparticles as Sustained Antimicrobial Coatings for Paper Packaging. ACS Appl. Polym. Mater. 2022, 4, 2664–2673. [Google Scholar] [CrossRef]
- Huang, X.; Wang, Y.; Wang, Y.; Yang, L. A Facile One-Pot Preparation and Properties of Nanocellulose-Reinforced Ionic Conductive Hydrogels. Molecules 2023, 28, 1301. [Google Scholar] [CrossRef] [PubMed]
- Poulose, A.; Parameswaranpillai, J.; George, J.J.; Gopi, J.A.; Krishnasamy, S.; Dominic, C.D.M.; Hameed, N.; Salim, N.V.; Radoor, S.; Sienkiewicz, N. Nanocellulose: A Fundamental Material for Science and Technology Applications. Molecules 2022, 27, 8032. [Google Scholar] [CrossRef]
- Ahankari, S.S.; Subhedar, A.R.; Bhadauria, S.S.; Dufresne, A. Nanocellulose in food packaging: A review. Carbohyd. Polym. 2021, 255, 117479. [Google Scholar] [CrossRef]
- Shankar, S.; Rhim, J.W. Tocopherol-mediated synthesis of silver nanoparticles and preparation of antimicrobial PBAT/silver nanoparticles composite films. LWT-Food Sci. Technol. 2016, 72, 149–152. [Google Scholar] [CrossRef]
- Ren, P.G.; Liu, X.H.; Ren, F.; Zhong, G.J.; Ji, X.; Xu, L. Biodegradable graphene oxide nanosheets/poly-(butylene adipate-co-terephthalate) nanocomposite film with enhanced gas and water vapor barrier properties. Polym. Test. 2017, 58, 173–180. [Google Scholar] [CrossRef]
- Shankar, S.; Rhim, J.W. Effect of types of zinc oxide nanoparticles on structural, mechanical and antibacterial properties of poly(lactide)/poly (butylene adipate-co-terephthalate) composite films. Food Packag. Shelf Life 2019, 21, 100327. [Google Scholar] [CrossRef]
- Muthuraj, R.; Misra, M.; Mohanty, A.K. Biodegradable compatibilized polymer blends for packaging applications: A literature review. J. Appl. Polym. Sci. 2018, 135, 45726. [Google Scholar] [CrossRef]
- Ludwiczak, J.; Frąckowiak, S.; Leluk, K. Study of Thermal, Mechanical and Barrier Properties of Biodegradable PLA/PBAT Films with Highly Oriented MMT. Materials 2021, 14, 7189. [Google Scholar] [CrossRef] [PubMed]
- Li, Y.; Xiao, H.; Pan, Y.; Wang, L. Novel Composite Adsorbent Consisting of Dissolved Cellulose Fiber/Microfibrillated Cellulose for Dye Removal from Aqueous Solution. ACS Sustain. Chem. Eng. 2018, 6, 6994–7002. [Google Scholar] [CrossRef]
- Saremi, R.; Borodinov, N.; Laradji, A.M.; Sharma, S.; Luzinov, I.; Minko, S. Adhesion and Stability of Nanocellulose Coatings on Flat Polymer Films and Textiles. Molecules 2020, 25, 3238. [Google Scholar] [CrossRef]
- Perumal, A.B.; Nambiar, R.B.; Moses, J.A.; Anandharamakrishnan, C. Nanocellulose: Recent trends and applications in the food industry. Food Hydrocoll. 2022, 127, 107484. [Google Scholar] [CrossRef]
- Oyeoka, H.C.; Ewulonu, C.M.; Nwuzor, I.C.; Obele, C.M.; Nwabanne, J.T. Packaging and degradability properties of polyvinyl alcohol/gelatin nanocomposite films filled water hyacinth cellulose nanocrystals. J. Bioresour. Bioprod. 2021, 6, 168–185. [Google Scholar] [CrossRef]
- Wang, W.; Gu, F.; Deng, Z.; Zhu, Y.; Zhu, J.; Guo, T.; Song, J.; Xiao, H. Multilayer surface construction for enhancing barrier properties of cellulose-based packaging. Carbohyd. Polym. 2021, 255, 117431. [Google Scholar] [CrossRef] [PubMed]
- Li, Y.; Xie, D.; Xiao, J.; Wu, W.; Zhang, L.; Xiao, H.; Chen, J. Dual responsive copolymers-grafted microfibrillated cellulose composites for removing lead ions from aqueous solution. J. Clean. Prod. 2020, 258, 120867. [Google Scholar] [CrossRef]
- Moustafa, H.; Guizani, C.; Dupont, C.; Martin, V.; Jeguirim, M.; Dufresne, A. Utilization of Torrefied Coffee Grounds as Reinforcing Agent to Produce High-Quality Biodegradable PBAT Composites for Food Packaging Applications. ACS Sustain. Chem. Eng. 2017, 5, 1906–1916. [Google Scholar] [CrossRef]
- Xiong, S.J.; Pang, B.; Zhou, S.J.; Li, M.K.; Yang, S.; Wang, Y.Y.; Shi, Q.; Wang, S.F.; Yuan, T.Q.; Sun, R.C. Economically Competitive Biodegradable PBAT/Lignin Composites: Effect of Lignin Methylation and Compatibilizer. ACS Sustain. Chem. Eng. 2020, 8, 5338–5346. [Google Scholar] [CrossRef]
- Wei, X.Y.; Ren, L.; Sun, Y.N.; Zhang, X.Y.; Guan, X.F.; Zhang, M.Y.; Zhang, H.X. Sustainable composites from biodegradable poly(butylene succinate) modified with thermoplastic starch and poly(butylene adipate-co-terephthalate): Preparation and performance. New J. Chem. 2021, 45, 17384–17397. [Google Scholar] [CrossRef]
- Perumal, A.B.; Nambiar, R.B.; Sellamuthu, P.S.; Sadiku, E.R.; Li, X.; He, Y. Extraction of cellulose nanocrystals from areca waste and its application in eco-friendly biocomposite film. Chemosphere 2022, 287, 132084. [Google Scholar] [CrossRef] [PubMed]
- Perumal, A.B.; Sellamuthu, P.S.; Nambiar, R.B.; Sadiku, E.R. Development of polyvinyl alcohol/chitosan bio-nanocomposite films reinforced with cellulose nanocrystals isolated from rice straw. Appl. Surf. Sci. 2018, 449, 591–602. [Google Scholar] [CrossRef]
- Paul, U.C.; Fragouli, D.; Bayer, I.S.; Zych, A.; Athanassiou, A. Effect of Green Plasticizer on the Performance of Microcrystalline Cellulose/Polylactic Acid Biocomposites. ACS Appl. Polym. Mater. 2021, 3, 3071–3081. [Google Scholar] [CrossRef]
- Gregorich, N.; Kanhere, S.; Stutts, J.; Bethel, K.; Tindall, G.; Lynn, B.; Ogale, A.A.; Thies, M.C.; Davis, E.M. Enhanced Mechanical Properties of Composite Hydrogels Containing Fractionated and Purified Lignin. ACS Appl. Polym. Mater. 2023, 5, 201–213. [Google Scholar] [CrossRef]
- Santos, J.F.; Valls, C.; Cusola, O.; Roncero, M.B. Improving Filmogenic and Barrier Properties of Nanocellulose Films by Addition of Biodegradable Plasticizers. ACS Sustain. Chem. Eng. 2021, 9, 9647–9660. [Google Scholar] [CrossRef]
- Perumal, A.B.; Sellamuthu, P.S.; Nambiar, R.B.; Sadiku, E.R.; Phiri, G.; Jayaramudu, J. Effects of multiscale rice straw (Oryza sativa) as reinforcing filler in montmorillonite-polyvinyl alcohol biocomposite packaging film for enhancing the storability of postharvest mango fruit (Mangifera indica L.). Appl. Clay Sci. 2018, 158, 1–10. [Google Scholar] [CrossRef]
- Paula, G.S.; Lídia, E.M.; Lucia, F.; Izabel, D.J.; Silvia, G. Influence of incorporation of starch nanoparticles in PBAT/TPS composite films. Polym. Int. 2016, 65, 938–945. [Google Scholar] [CrossRef]






Disclaimer/Publisher’s Note: The statements, opinions and data contained in all publications are solely those of the individual author(s) and contributor(s) and not of MDPI and/or the editor(s). MDPI and/or the editor(s) disclaim responsibility for any injury to people or property resulting from any ideas, methods, instructions or products referred to in the content. |
© 2023 by the authors. Licensee MDPI, Basel, Switzerland. This article is an open access article distributed under the terms and conditions of the Creative Commons Attribution (CC BY) license (https://creativecommons.org/licenses/by/4.0/).
Share and Cite
Zhou, X.; Yin, G.; Huang, Y.; Li, Y.; Xie, D. Biodegradable Nanofibrillated Cellulose/Poly-(butylene adipate-co-terephthalate) Composite Film with Enhanced Barrier Properties for Food Packaging. Molecules 2023, 28, 2689. https://doi.org/10.3390/molecules28062689
Zhou X, Yin G, Huang Y, Li Y, Xie D. Biodegradable Nanofibrillated Cellulose/Poly-(butylene adipate-co-terephthalate) Composite Film with Enhanced Barrier Properties for Food Packaging. Molecules. 2023; 28(6):2689. https://doi.org/10.3390/molecules28062689
Chicago/Turabian StyleZhou, Xiangyang, Guoqiang Yin, Yunchao Huang, Yuan Li, and Dong Xie. 2023. "Biodegradable Nanofibrillated Cellulose/Poly-(butylene adipate-co-terephthalate) Composite Film with Enhanced Barrier Properties for Food Packaging" Molecules 28, no. 6: 2689. https://doi.org/10.3390/molecules28062689
APA StyleZhou, X., Yin, G., Huang, Y., Li, Y., & Xie, D. (2023). Biodegradable Nanofibrillated Cellulose/Poly-(butylene adipate-co-terephthalate) Composite Film with Enhanced Barrier Properties for Food Packaging. Molecules, 28(6), 2689. https://doi.org/10.3390/molecules28062689

