Luminescence and Palladium: The Odd Couple
Abstract
1. Introduction
2. Orthopalladated Ligands
2.1. Monodentate Ligands
2.2. Bidentate Ligands
2.3. Tridentate Ligands
2.4. Tetradentate Ligands
3. Palladium Coordination Complexes
3.1. Monodentate Ligands
3.2. Bidentate Ligands
3.3. Tetradentate Ligands
4. Systems Composed by Metallacages PdxLy and Other Supramolecular Coordination Complexes
5. Porphyrins and Porphyrin-like Ligands
6. Conclusions
Author Contributions
Funding
Institutional Review Board Statement
Informed Consent Statement
Data Availability Statement
Acknowledgments
Conflicts of Interest
Abbreviations
References
- Gomollón-Bel, F. Ten Chemical Innovations That Will Change Our World. The developing science that will fight the pandemic and reshape the chemical landscape. Chem. Int. 2020, 42, 3–9. [Google Scholar] [CrossRef]
- Gomollón-Bel, F.; García-Martínez, J. Emerging chemistry technologies for a better world. Nat. Chem. 2022, 14, 113–114. [Google Scholar] [CrossRef] [PubMed]
- Gomollón-Bel, F. IUPAC Top Ten Emerging Technologies in Chemistry 2022. Discover the innovations that will transform energy, health, and materials science, to tackle the most urgent societal challenges and catalyse sustainable development. Chem. Int. 2022, 44, 4–13. [Google Scholar] [CrossRef]
- Pal, T.K. Metal–organic framework (MOF)-based fluorescence ‘‘turn-on’’ sensors. Mater. Chem. Front. 2023, 7, 405–441. [Google Scholar] [CrossRef]
- Gupta, G.; You, Y.; Hadiputra, R.; Jung, J.; Kang, D.-K.; Lee, C.Y. Heterometallic BODIPY-Based Molecular Squares Obtained by Self-Assembly: Synthesis and Biological Activities. ACS Omega 2019, 4, 13200–13208. [Google Scholar] [CrossRef] [PubMed]
- Zhang, X.; Yao, B.; Hu, Q.; Hong, Y.; Wallace, A.; Reynolds, K.; Ramsey, C.; Maeder, A.; Reed, R.; Tang, Y. Detection of biomarkers in body fluids using bioprobes based on aggregation-induced emission fluorogens. Mater. Chem. Front. 2020, 4, 2548–2570. [Google Scholar] [CrossRef]
- Yao, B.; Giel, M.-C.; Hong, Y. Detection of kidney disease biomarkers based on fluorescence technology. Mater. Chem. Front. 2021, 4, 2124–2142. [Google Scholar] [CrossRef]
- Qi, Y.-L.; Wang, H.-R.; Chen, L.-L.; Duan, Y.-T.; Yang, S.-Y.; Zhu, H.-L. Recent advances in small-molecule fluorescent probes for studying ferroptosis. Chem. Soc. Rev. 2022, 51, 7752–7778. [Google Scholar] [CrossRef] [PubMed]
- Jun, J.V.; Chenoweth, D.M.; Petersson, E.J. Rational design of small molecule fluorescent probes for biological applications. Org. Biomol. Chem. 2020, 18, 5747–5763. [Google Scholar] [CrossRef]
- Jin, G.-Q.; Guo, L.-J.; Zhang, J.; Gao, S.; Zhang, J.-L. Luminescent Metal Complexes for Bioassays in the Near-Infrared (NIR) Region. Top. Curr. Chem. 2022, 380, 31. [Google Scholar] [CrossRef] [PubMed]
- Salehi, A.; Fu, X.; Shin, D.-H.; So, F. Recent Advances in OLED Optical Design. Adv. Funct. Mater. 2019, 29, 1808803. [Google Scholar] [CrossRef]
- Zou, S.J.; Shen, Y.; Xie, F.-M.; Chen, J.-D.; Li, Y.-Q.; Tang, J.-X. Recent advances in organic light-emitting diodes: Towards smart lighting and displays. Mater. Chem. Front. 2020, 4, 788–820. [Google Scholar] [CrossRef]
- Bauri, J.; Choudhary, R.B.; Mandal, G. Recent advances in efficient emissive materials-based OLED applications: A review. J. Mater. Sci. 2021, 56, 18837–18866. [Google Scholar] [CrossRef]
- Hong, G.; Gan, X.; Leonhardt, C.; Zhang, Z.; Seibert, J.; Busch, J.M.; Brase, S. A Brief History of OLEDs-Emitter Development and Industry Milestones. Adv. Mater. 2021, 33, 2005630. [Google Scholar] [CrossRef]
- Pham, T.C.; Nguyen, V.N.; Choi, Y.; Lee, S.; Yoon, J. Recent Strategies to Develop Innovative Photosensitizers for Enhanced Photodynamic Therapy. Chem. Rev. 2021, 121, 13454–13619. [Google Scholar] [CrossRef] [PubMed]
- Lee, L.C.-C.; Lo, K.K.-W. Luminescent and Photofunctional Transition Metal Complexes: From Molecular Design to Diagnostic and Therapeutic Applications. J. Am. Chem. Soc. 2022, 144, 14420–14440. [Google Scholar] [CrossRef]
- Hu, R.; Yang, X.; Qin, A.; Zhong, B. AIE polymers in sensing, imaging and theranostic applications. Mater. Chem. Front. 2021, 5, 4073–4088. [Google Scholar] [CrossRef]
- Zhao, E.; Chen, S. Materials with aggregation-induced emission characteristics for applications in diagnosis, theragnosis, disease mechanism study and personalized medicine. Mater. Chem. Front. 2021, 5, 3322–3343. [Google Scholar] [CrossRef]
- Qi, C.; Wang, X.; Chen, Z.; Xiang, S.; Wang, T.; Feng, H.-T.; Tang, B.Z. Organometallic AIEgens for biological theranostics. Mater. Chem. Front. 2021, 5, 3281–3297. [Google Scholar] [CrossRef]
- Wu, W.; Li, Z. Nanoprobes with aggregation-induced emission for theranostics. Mater. Chem. Front. 2021, 5, 603–626. [Google Scholar] [CrossRef]
- Tsutsui, T.; Kusaba, S.; Yamshina, M.; Akita, M.; Yoshizawa, M. Open versus Closed Polyaromatic Nanocavity: Enhanced Host Abilities toward Large Dyes and Pigments. Chem. Eur. J. 2019, 25, 4320–4324. [Google Scholar] [CrossRef] [PubMed]
- Harriman, A. Luminescence of Porphyrins and Metalloporphyrins. J. Chem. Soc. Faraday Trans. 2 1981, 77, 1281–1291. [Google Scholar] [CrossRef]
- DeArmond, K.; Hillis, J.E. Luminescence of Transition Metal d6 Chelates. J. Chem. Phys. 1971, 54, 2247–2253. [Google Scholar] [CrossRef]
- Yersin, H.; Rausch, A.F.; Czerwieniec, R.; Hofbeck, T.; Fischer, T. The Triplet State of Organo-Transition Metal Compounds. Triplet Harvesting and Singlet Harvesting for Efficient OLEDs. Coord. Chem. Rev. 2011, 255, 2622–2652. [Google Scholar] [CrossRef]
- Adachi, C.; Baldo, M.A.; Thompson, M.E.; Forrest, S.R. Nearly 100% internal phosphorescence efficiency in an organic light-emitting device. J. Appl. Phys. 2001, 90, 5048–5051. [Google Scholar] [CrossRef]
- Minaev, B.; Baryshnikov, G.; Agren, H. Principles of phosphorescent organic light emitting devices. Phys. Chem. Chem. Phys. 2014, 16, 1719–1758. [Google Scholar] [CrossRef]
- Steffen, A.; Hupp, B. Comprehensive Coordination Chemistry III; Constable, E.C., Parkin, G., Que, L., Eds.; Elsevier: Oxford, UK, 2021; pp. 466–502. [Google Scholar]
- Wegeberg, C.; Wenger, O.S. Luminescent First-Row Transition Metal Complexes. JACS Au 2021, 1, 1860–1876. [Google Scholar] [CrossRef]
- Tang, M.-C.; Chan, M.-Y.; Yam, V.W.-W. Molecular Design of Luminescent Gold(III) Emitters as Thermally Evaporable and Solution-Processable Organic Light-Emitting Device (OLED) Materials. Chem. Rev. 2021, 121, 7249–7279. [Google Scholar] [CrossRef] [PubMed]
- Fleetham, T.; Li, G.; Li, J. Phosphorescent Pt(II) and Pd(II) Complexes for Efficient, High-Color-Quality, and Stable OLEDs. Adv. Mater. 2017, 29, 1601861. [Google Scholar] [CrossRef]
- Puttock, E.V.; Walden, M.T.; Williams, J.A.G. The luminescence properties of multinuclear platinum complexes. Coord. Chem. Rev. 2018, 367, 127–162. [Google Scholar] [CrossRef]
- Sadeghian, M.; Haghighi, M.G.; Lalinde, E.; Moreno, M.T. Group 10 metal-cyanide scaffolds in complexes and extended frameworks: Properties and applications. Coord. Chem. Rev. 2022, 452, 214310–214369. [Google Scholar] [CrossRef]
- Schreier, M.R.; Guo, X.; Pfund, B.; Okamoto, Y.; Ward, T.R.; Kerzig, C.; Wenger, O.S. Water-Soluble Tris(cyclometalated) Iridium(III) Complexes for Aqueous Electron and Energy Transfer Photochemistry. Acc. Chem. Res. 2022, 55, 1290–1300. [Google Scholar] [CrossRef]
- Salthouse, R.J.; Pander, P.; Yufit, D.S.; Dias, F.B.; Williams, J.A.G. Near-infrared electroluminescence beyond 940 nm in Pt(N^C^N)X complexes: Influencing aggregation with the ancillary ligand X. Chem. Sci. 2022, 13, 13600–13610. [Google Scholar] [CrossRef] [PubMed]
- Wei, F.; Lai, S.-L.; Zhao, S.; Ng, M.; Chan, M.-Y.; Yam, V.W.-W.; Wong, K.M.-C. Ligand Mediated Luminescence Enhancement in Cyclometalated Rhodium(III) Complexes and Their Applications in Efficient Organic Light-Emitting Devices. J. Am. Chem. Soc. 2019, 141, 12863–12871. [Google Scholar] [CrossRef] [PubMed]
- Tu, Y.; Zhao, Z.; Lam, J.W.Y.; Tang, B.Z. Mechanistic connotations of restriction of intramolecular motions (RIM). Natl. Sci. Rev. 2021, 8, nwaa260. [Google Scholar] [CrossRef] [PubMed]
- Uebe, M.; Ito, A.; Kameoka, Y.; Sato, T.; Tanaka, K. Fluorescence enhancement of non-fluorescent triphenylamine: A recipe to utilize carborane cluster substituents. Chem. Phys. Lett. 2015, 633, 190–194. [Google Scholar] [CrossRef]
- Tang, Y.; Tang, B.Z. (Eds.) Principles and Applications of Aggregation-Induced Emission; Springer Nature: Cham, Switzerland, 2019. [Google Scholar]
- Asad, M.; Anwar, M.I.; Abbas, A.; Younas, A.; Hussain, S.; Gao, R.; Li, L.-K.; Shahid, M.; Khan, S. AIE-based luminescent porous materials as cutting-edge tool for environmental monitoring: State of the art advances and perspectives. Coord. Chem. Rev. 2022, 463, 214539–214564. [Google Scholar] [CrossRef]
- Ball, P. More is different: How aggregation turns on the light. Natl. Sci. Rev. 2021, 8, nwaa266. [Google Scholar] [CrossRef]
- Uoyama, H.; Goushi, K.; Shizu, K.; Nomura, H.; Adachi, C. Highly efficient organic light-emitting diodes from delayed fluorescence. Nature 2012, 492, 234–238. [Google Scholar] [CrossRef]
- Adachi, C.; Zysman-Colman, E. Thermally Activated Delayed Fluorescence Organic Light-Emitting Diodes. J. Photon. Energy 2018, 8, 032101. [Google Scholar] [CrossRef]
- Wong, M.Y.; Zysman-Colman, E. Purely Organic Thermally Activated Delayed Fluorescence Materials for Organic Light-Emitting Diodes. Adv. Mater. 2017, 29, 1605444. [Google Scholar] [CrossRef]
- Tao, Y.; Yuan, K.; Chen, T.; Xu, P.; Li, H.; Chen, R.; Zheng, C.; Zhang, L.; Huang, W. Thermally Activated Delayed Fluorescence Materials Towards the Breakthrough of Organoelectronics. Adv. Mater. 2014, 26, 7931–7958. [Google Scholar] [CrossRef]
- Balamurugan, R.; Liu, J.-H.; Liu, B.-T. A review of recent developments in fluorescent sensors for the selective detection of palladium ions. Coord. Chem. Rev. 2018, 376, 196–224. [Google Scholar] [CrossRef]
- Shi, G.; Yoon, T.; Cha, S.; Kim, S.; Yousuf, M.; Ahmed, N.; Kim, D.; Kang, H.-W.; Kim, K.S. Turn-on and Turn-off Fluorescent Probes for Carbon Monoxide Detection and Blood Carboxyhemoglobin Determination. ACS Sens. 2018, 3, 1102–1108. [Google Scholar] [CrossRef] [PubMed]
- Lu, Y.; Liang, Y.; Zhao, Y.; Xia, M.; Liu, X.; Shen, T.; Feng, L.; Yuan, N.; Chen, Q. Fluorescent Test Paper via the In Situ Growth of COFs for Rapid and Convenient Detection of Pd(II) Ions. ACS Appl. Mater. Interfaces 2021, 13, 1644–1650. [Google Scholar] [CrossRef] [PubMed]
- Liu, K.; Kong, X.; Ma, Y.; Lin, W. Preparation of a Nile Red–Pd-based fluorescent CO probe and its imaging applications in vitro and in vivo. Nature Protocols 2018, 13, 1020–1033. [Google Scholar] [CrossRef] [PubMed]
- Jiang, L.; Mak, H.-N.; Walter, E.R.H.; Wong, W.-T.; Wong, K.-L.; Long, N.J. A fluorescent probe for the discrimination of oxidation states of palladium. Chem. Sci. 2021, 12, 9977–9982. [Google Scholar] [CrossRef] [PubMed]
- Morstein, J.; Höfler, D.; Ueno, K.; Jurss, J.W.; Walvoord, R.R.; Bruemmer, K.J.; Rezgui, S.P.; Brewer, T.F.; Saitoe, M.; Michel, B.W.; et al. Ligand-Directed Approach to Activity-Based Sensing: Developing Palladacycle Fluorescent Probes That Enable Endogenous Carbon Monoxide Detection. J. Am. Chem. Soc. 2020, 142, 15917–15930. [Google Scholar] [CrossRef]
- Zafar, M.N.; Masood, S.; Chaudhry, G.-S.; Muhammad, T.S.T.; Dalebrook, A.F.; Nazar, M.F.; Malik, F.P.; Mughal, E.U.; Wright, L.J. Synthesis, characterization and anti-cancer properties of water-soluble bis(PYE) pro-ligands and derived palladium(II) complexes. Dalton Trans. 2019, 48, 15408–15418. [Google Scholar] [CrossRef] [PubMed]
- Elsayed, S.A.; Badr, H.E.; di Biase, A.; El-Hendawy, A.M. Synthesis, characterization of ruthenium(II), nickel(II), palladium(II), and platinum(II) triphenylphosphine-based complexes bearing an ONS-donor chelating agent: Interaction with biomolecules, antioxidant, in vitro cytotoxic, apoptotic activity and cell cycle analysis. J. Inorg. Biochem. 2021, 223, 111549. [Google Scholar]
- Thakor, K.P.; Lunagariya, M.V.; Bhatt, B.S.; Patel, M.N. Fluorescence and absorption studies of DNA–Pd(II) complex interaction: Synthesis, spectroanalytical investigations and biological activities. Luminescence 2019, 34, 113–124. [Google Scholar] [CrossRef] [PubMed]
- Bischoff, L.; Baudequin, C.; Hoarau, C.; Urriolabeitia, E.P. Organometallic Fluorophores of d8 Metals (Pd, Pt, Au). Adv. Organomet. Chem. 2018, 69, 73–134. [Google Scholar]
- Zhao, J.; Zhou, Z.; Li, G.; Stang, P.J.; Yan, X. Light-emitting self-assembled metallacages. Natl. Sci. Rev. 2021, 8, nwab045. [Google Scholar] [CrossRef]
- Wang, X.-Q.; Ling, Q.-H.; Wang, W.; Xu, L. Pyrene-based metallocycles and metallocages: More than fluorophores. Mater. Chem. Front. 2020, 4, 3190–3200. [Google Scholar] [CrossRef]
- Li, G.; Zhu, Z.-Q.; Chen, Q.; Li, J. Metal Complex Based Delayed Fluorescence Materials. Org. Electron. 2019, 69, 135–152. [Google Scholar] [CrossRef]
- Chow, P.K.; Ma, C.; To, W.-P.; Tong, G.S.M.; Lai, S.-L.; Kui, S.C.F.; Kwok, W.-M.; Che, C.-M. Strongly Phosphorescent Palladium(II) Complexes of Tetradentate Ligands with Mixed Oxygen, Carbon, and Nitrogen Donor Atoms: Photophysics, Photochemistry, and Applications. Angew. Chem. Int. Ed. 2013, 52, 11775–11779. [Google Scholar] [CrossRef]
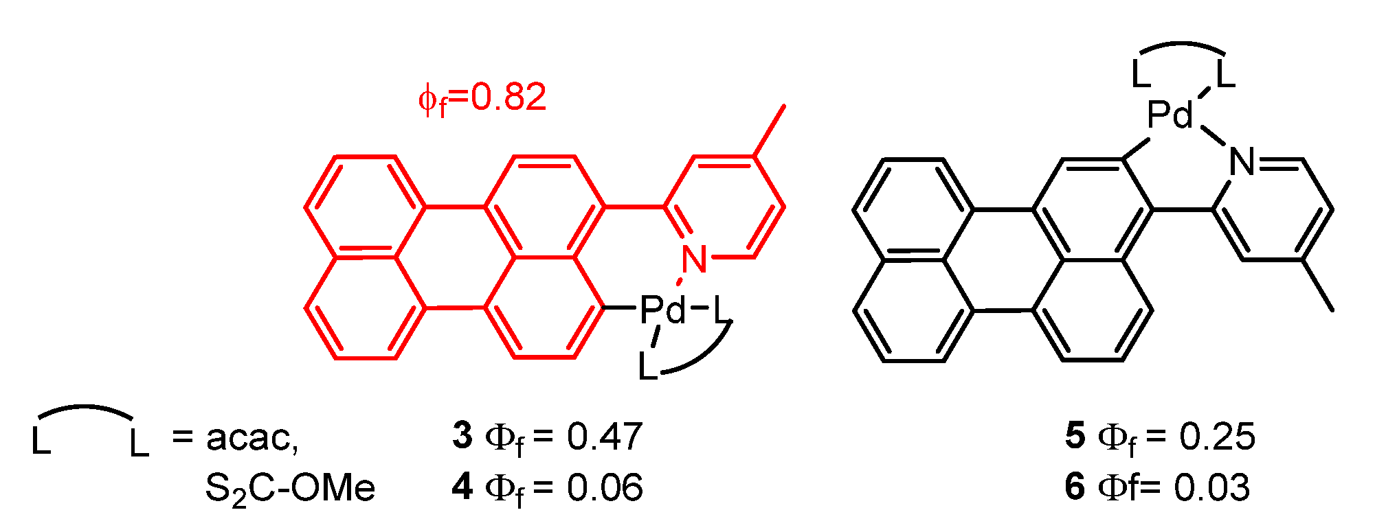
- Philip, A.M.; Sebastian, E.; Gopan, G.; Ramakrishnan, R.; Hariharan, M. Viable Access to the Triplet Excited State in Peryleneimide Based Palladium Complex. J. Chem. Sci. 2018, 130, 137. [Google Scholar] [CrossRef]
- Expósito, J.E.; Aullón, G.; Bardají, M.; Miguel, J.A.; Espinet, P. Fluorescent Perylenylpyridine Complexes: An Experimental and Theoretical Study. Dalton Trans. 2020, 49, 13326–13338. [Google Scholar] [CrossRef]
- Föller, J.; Friese, D.H.; Riese, S.; Kaminski, J.M.; Metz, S.; Schmidt, D.; Würthner, F.; Lambert, C.; Marian, C.M. On the Photophysical Properties of IrIII, PtII, and PdII (Phenylpyrazole) (Phenyldipyrrin) Complexes. Phys. Chem. Chem. Phys. 2020, 22, 3217–3233. [Google Scholar] [CrossRef]
- Collado, S.; Pueyo, A.; Baudequin, C.; Bischoff, L.; Jiménez, A.I.; Cativiela, C.; Hoarau, C.; Urriolabeitia, E.P. Orthopalladation of GFP-Like Fluorophores Through C-H Bond Activation: Scope and Photophysical Properties: Orthopalladation of GFP-Like Fluorophores Through C-H Bond Activation: Scope and Photophysical Properties. Eur. J. Org. Chem. 2018, 2018, 6158–6166. [Google Scholar] [CrossRef]
- Laga, E.; Dalmau, D.; Arregui, S.; Crespo, O.; Jimenez, A.I.; Pop, A.; Silvestru, C.; Urriolabeitia, E.P. Fluorescent Orthopalladated Complexes of 4-Aryliden-5(4H)-Oxazolones from the Kaede Protein: Synthesis and Characterization. Molecules 2021, 26, 1238. [Google Scholar] [CrossRef]
- Garcia-Sanz, C.; Andreu, A.; de las Rivas, B.; Jimenez, A.I.; Pop, A.; Silvestru, C.; Urriolabeitia, E.P.; Palomo, J.M. Pd-Oxazolone Complexes Conjugated to an Engineered Enzyme: Improving Fluorescence and Catalytic Properties. Org. Biomol. Chem. 2021, 19, 2773–2783. [Google Scholar] [CrossRef]
- Chakraborty, A.; Yarnell, J.E.; Sommer, R.D.; Roy, S.; Castellano, F.N. Excited-State Processes of Cyclometalated Platinum(II) Charge-Transfer Dimers Bridged by Hydroxypyridines. Inorg. Chem. 2018, 57, 1298–1310. [Google Scholar] [CrossRef] [PubMed]
- Wan, Q.; To, W.-P.; Yang, C.; Che, C.-M. The Metal-Metal-to-Ligand Charge Transfer Excited State and Supramolecular Polymerization of Luminescent Pincer Pd(II)-Isocyanide Complexes. Angew. Chem. Int. Ed. 2018, 57, 3089–3093. [Google Scholar] [CrossRef] [PubMed]
- Wan, Q.; To, W.-P.; Chang, X.; Che, C.-M. Controlled Synthesis of Pd(II) and Pt(II) Supramolecular Copolymer with Sequential Multiblock and Amplified Phosphorescence. Chem 2020, 6, 945–967. [Google Scholar] [CrossRef]
- Kletsch, L.; Jordan, R.; Köcher, A.S.; Buss, S.; Strassert, C.A.; Klein, A. Photoluminescence of Ni(II), Pd(II), and Pt(II) Complexes [M(Me2dpb)Cl] Obtained from C−H Activation of 1,5-Di(2-Pyridyl)-2,4-Dimethylbenzene (Me2dpbH). Molecules 2021, 26, 5051. [Google Scholar] [CrossRef]
- Eskelinen, T.; Buss, S.; Petrovskii, S.K.; Grachova, E.V.; Krause, M.; Kletsch, L.; Klein, A.; Strassert, C.A.; Koshevoy, I.O.; Hirva, P. Photophysics and Excited State Dynamics of Cyclometalated [M(Phbpy)(CN)] (M = Ni, Pd, Pt) Complexes: A Theoretical and Experimental Study. Inorg. Chem. 2021, 60, 8777–8789. [Google Scholar] [CrossRef]
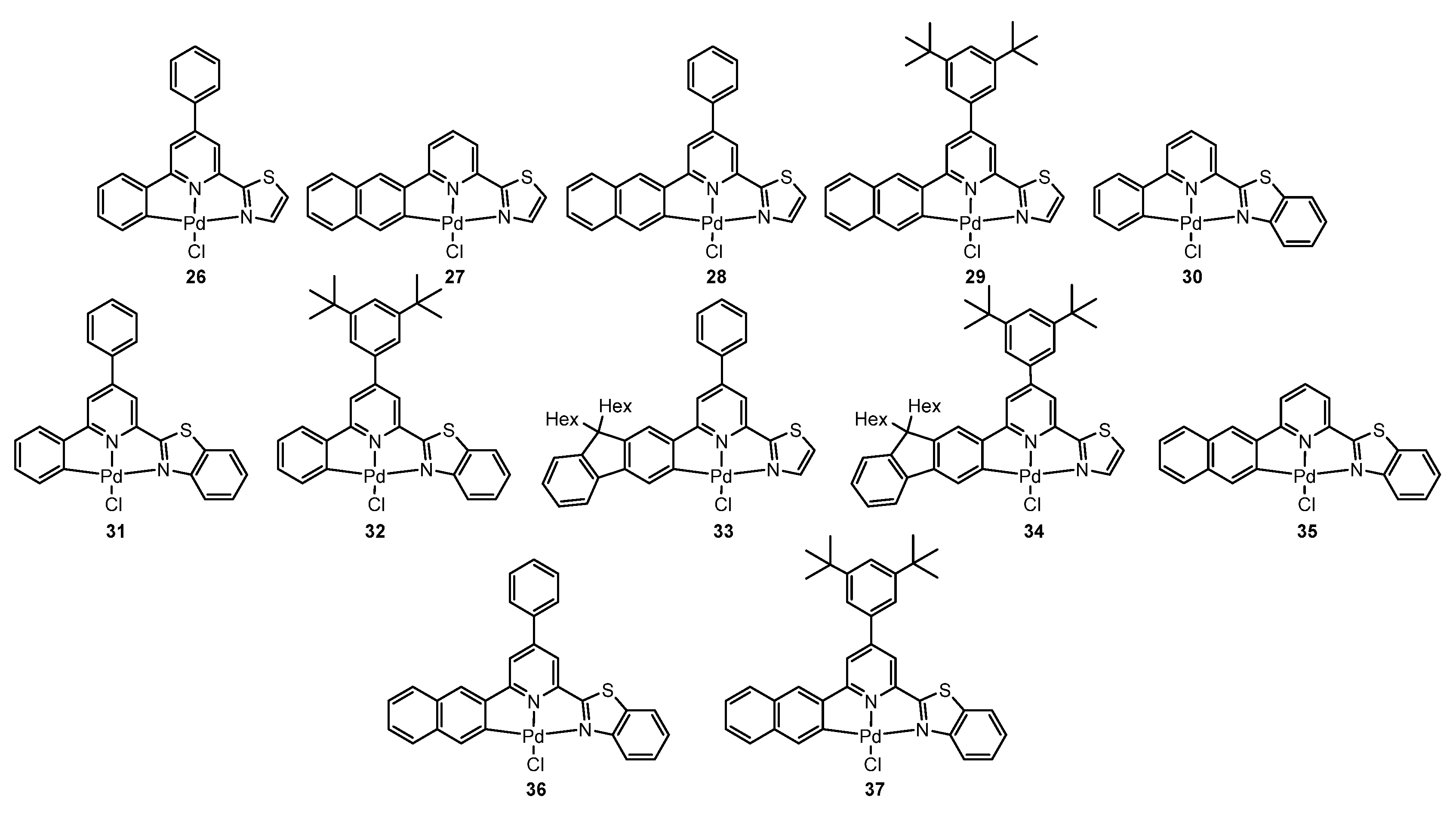
- Krause, M.; von der Stück, R.; Brünink, D.; Buss, S.; Doltsinis, N.L.; Strassert, C.A.; Klein, A. Platinum and Palladium Complexes of Tridentate −C^N^N (Phen-Ide)-Pyridine-Thiazol Ligands—A Case Study Involving Spectroelectrochemistry, Photoluminescence Spectroscopy and TD-DFT Calculations. Inorg. Chim. Acta 2021, 518, 120093. [Google Scholar] [CrossRef]
- Stück, R.; Krause, M.; Brünink, D.; Buss, S.; Doltsinis, N.L.; Strassert, C.A.; Klein, A. Luminescent Pd(II) Complexes with Tridentate−Aryl-pyridine-(Benzo)Thiazole Ligands. Z. Anorg. Allg. Chem. 2022, 648, e202100278. [Google Scholar] [CrossRef]
- Zou, C.; Lin, J.; Suo, S.; Xie, M.; Chang, X.; Lu, W. Palladium(II) N-Heterocyclic Allenylidene Complexes with Extended Intercationic Pd⋯Pd Interactions and MMLCT Phosphorescence. Chem. Commun. 2018, 54, 5319–5322. [Google Scholar] [CrossRef]
- Lin, J.; Zou, C.; Zhang, X.; Gao, Q.; Suo, S.; Zhuo, Q.; Chang, X.; Xie, M.; Lu, W. Highly Phosphorescent Organopalladium(II) Complexes with Metal–Metal-to-Ligand Charge-Transfer Excited States in Fluid Solutions. Dalton Trans. 2019, 48, 10417–10421. [Google Scholar] [CrossRef] [PubMed]
- Feuerstein, W.; Breher, F. Synthetic Access to a Phosphorescent Non-Palindromic Pincer Complex of Palladium by a Double Oxidative Addition—Comproportionation Sequence. Chem. Commun. 2020, 56, 12589–12592. [Google Scholar] [CrossRef]
- Cornioley-Deuschel, C.; Ward, T.; Von Zelewsky, A. Complexes with a Pincers. 2,6-Diphenylpyridine as Twofold-Deprotonated (C^N^C) terdentate ligand in C,C-trans-, and as mono-deprotonated (C^N) chelate ligand in chiral C,C-cis-complexes of platinum(II) and palladium(II). Helv. Chim. Acta 1988, 71, 130–133. [Google Scholar] [CrossRef]
- Saini, R.; Rao, C.; Maji, A.; Mishra, P.M.; Yadav, A.; Nandi, C.K.; Ghosh, K. Design and Synthesis of Novel Palladium Cyclometallate-Based Fluorescent Probe: Studies on Interaction with Cell Membrane by Confocal and Fluorescence Lifetime Imaging. J. Inorg. Biochem. 2022, 237, 112019. [Google Scholar] [CrossRef] [PubMed]
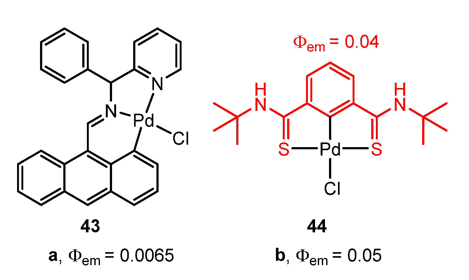
- Das, D.; Kannan, S.; Kumar, M.; Sadhu, B.; Kumbhare, L.B. Synthesis, Photophysical Properties and Catalytic Activity of Ƙ3-SCS Pincer Palladium (II) Complex of N,N’-Di-Tert-Butylbenzene-1,3-Dicarbothioamide Supported by DFT Analysis. Inorg. Chim. Acta 2022, 531, 120704. [Google Scholar] [CrossRef]
- Zhu, Z.-Q.; Fleetham, T.; Turner, E.; Li, J. Harvesting All Electrogenerated Excitons through Metal Assisted Delayed Fluorescent Materials. Adv. Mater. 2015, 27, 2533–2537. [Google Scholar] [CrossRef]
- Li, Z.-W.; Peng, L.-Y.; Song, X.-F.; Chen, W.-K.; Gao, Y.-J.; Fang, W.-H.; Cui, G. Room-Temperature Phosphorescence and Thermally Activated Delayed Fluorescence in the Pd Complex: Mechanism and Dual Upconversion Channels. J. Phys. Chem. Lett. 2021, 12, 5944–5950. [Google Scholar] [CrossRef] [PubMed]
- Zhu, Z.; Park, C.; Klimes, K.; Li, J. Highly Efficient Blue OLEDs Based on Metal-Assisted Delayed Fluorescence Pd(II) Complexes. Adv. Opt. Mater. 2019, 7, 1801518. [Google Scholar] [CrossRef]
- Cao, L.; Klimes, K.; Ji, Y.; Fleetham, T.; Li, J. Efficient and Stable Organic Light-Emitting Devices Employing Phosphorescent Molecular Aggregates. Nat. Photonics 2021, 15, 230–237. [Google Scholar] [CrossRef]
- Li, G.; Chen, Q.; Zheng, J.; Wang, Q.; Zhan, F.; Lou, W.; Yang, Y.-F.; She, Y. Metal-Assisted Delayed Fluorescent Pd(II) Complexes and Phosphorescent Pt(II) Complex Based on [1,2,4]Triazolo [4,3-a ]Pyridine-Containing Ligands: Synthesis, Characterization, Electrochemistry, Photophysical Studies, and Application. Inorg. Chem. 2019, 58, 14349–14360. [Google Scholar] [CrossRef] [PubMed]
- She, Y.; Xu, K.; Fang, X.; Yang, Y.-F.; Lou, W.; Hu, Y.; Zhang, Q.; Li, G. Tetradentate Platinum(II) and Palladium(II) Complexes Containing Fused 6/6/6 or 6/6/5 Metallocycles with Azacarbazolylcarbazole-Based Ligands. Inorg. Chem. 2021, 60, 12972–12983. [Google Scholar] [CrossRef]
- Li, G.; Zheng, J.; Zhao, X.; Fleetham, T.; Yang, Y.-F.; Wang, Q.; Zhan, F.; Zhang, W.; Fang, K.; Zhang, Q.; et al. Tuning the Excited State of Tetradentate Pd(II) Complexes for Highly Efficient Deep-Blue Phosphorescent Materials. Inorg. Chem. 2020, 59, 13502–13516. [Google Scholar] [CrossRef] [PubMed]
- Li, G.; Guo, H.; Fang, X.; Yang, Y.; Sun, Y.; Lou, W.; Zhang, Q.; She, Y. Tuning the Excited State of Tetradentate Pd(II) and Pt(II) Complexes through Benzannulated N-Heteroaromatic Ring and Central Metal. Chin. J. Chem. 2022, 40, 223–234. [Google Scholar] [CrossRef]
- Li, G.; Zheng, J.; Fang, X.; Xu, K.; Yang, Y.-F.; Wu, J.; Cao, L.; Li, J.; She, Y. N -Heterocyclic Carbene-Based Tetradentate Pd(II) Complexes for Deep-Blue Phosphorescent Materials. Organometallics 2021, 40, 472–481. [Google Scholar] [CrossRef]
- Schlagintweit, J.F.; Jakob, C.H.G.; Meighen-Berger, K.; Gronauer, T.F.; Weigert Muñoz, A.; Weiß, V.; Feige, M.J.; Sieber, S.A.; Correia, J.D.G.; Kühn, F.E. Fluorescent Palladium(II) and Platinum(II) NHC/1,2,3-Triazole Complexes: Antiproliferative Activity and Selectivity against Cancer Cells. Dalton Trans. 2021, 50, 2158–2166. [Google Scholar] [CrossRef] [PubMed]
- Maisuls, I.; Wang, C.; Gutierrez Suburu, M.E.; Wilde, S.; Daniliuc, C.-G.; Brünink, D.; Doltsinis, N.L.; Ostendorp, S.; Wilde, G.; Kösters, J.; et al. Ligand-Controlled and Nanoconfinement-Boosted Luminescence Employing Pt(II) and Pd(II) Complexes: From Color-Tunable Aggregation-Enhanced Dual Emitters towards Self-Referenced Oxygen Reporters. Chem. Sci. 2021, 12, 3270–3281. [Google Scholar] [CrossRef] [PubMed]
- Gangadharappa, S.C.; Maisuls, I.; Gutierrez Suburu, M.E.; Strassert, C.A. Enhanced Phosphorescence of Pd(II) and Pt(II) Complexes Adsorbed onto Laponite for Optical Sensing of Triplet Molecular Dioxygen in Water. Z. Naturforsch. B 2021, 76, 811–818. [Google Scholar] [CrossRef]
- Gutierrez Suburu, M.E.; Maisuls, I.; Kösters, J.; Strassert, C.A. Room-Temperature Luminescence from Pd(II) and Pt(II) Complexes: From Mechanochromic Crystals to Flexible Polymer Matrices. Dalton Trans. 2022, 51, 13342–13350. [Google Scholar] [CrossRef]
- Yao, Y.; Hou, C.-L.; Yang, Z.-S.; Ran, G.; Kang, L.; Li, C.; Zhang, W.; Zhang, J.; Zhang, J.-L. Unusual near Infrared (NIR) Fluorescent Palladium(II) Macrocyclic Complexes Containing M–C Bonds with Bioimaging Capability. Chem. Sci. 2019, 10, 10170–10178. [Google Scholar] [CrossRef]
- Wu, C.; Miao, J.; Wang, L.; Zhang, Y.; Li, K.; Zhu, W.; Yang, C. Red and Near-Infrared Emissive Palladium(II) Complexes with Tetradentate Coordination Framework and Their Application in OLEDs. Chem. Eng. J. 2022, 446, 136834. [Google Scholar] [CrossRef]
- Amoah, C.; Obuah, C.; Ainooson, M.K.; Muller, A. Synthesis, Characterization and Fluorescent Properties of Ferrocenyl Pyrazole and Triazole Ligands and Their Palladium Complexes. J. Organomet. Chem. 2021, 935, 121664. [Google Scholar] [CrossRef]
- Kakizoe, D.; Nishikawa, M.; Ohkubo, T.; Sanga, M.; Iwamura, M.; Nozaki, K.; Tsubomura, T. Photophysical Properties of Simple Palladium(0) Complexes Bearing Triphenylphosphine Derivatives. Inorg. Chem. 2021, 60, 9516–9528. [Google Scholar] [CrossRef] [PubMed]
- Işık Büyükekşi, S.; Şengül, A.; Erdönmez, S.; Altındal, A.; Orman, E.B.; Özkaya, A.R. Spectroscopic, Electrochemical and Photovoltaic Properties of Pt(II) and Pd(II) Complexes of a Chelating 1,10-Phenanthroline Appended Perylene Diimide. Dalton Trans. 2018, 47, 2549–2560. [Google Scholar] [CrossRef]
- de França, B.M.; Oliveira, S.S.C.; Souza, L.O.P.; Mello, T.P.; Santos, A.L.S.; Bello Forero, J.S. Synthesis and Photophysical Properties of Metal Complexes of Curcumin Dyes: Solvatochromism, Acidochromism, and Photoactivity. Dye. Pigment. 2022, 198, 110011. [Google Scholar] [CrossRef]
- Ramezani, S.; Nakhaei, A. Synthesis, Absorption, and Adsorption Properties, and DFT Calculations of Two New Palladium(II) Complexes of New Fluorescence Imidazo [4′,5′:3,4]Benzo [1,2-c ]Isoxazole-Based Schiff-Bases. Inorg. Nano-Met. Chem. 2021, 51, 560–568. [Google Scholar] [CrossRef]
- Nguyen, M.-H.; Khuat, T.-T.-H.; Nguyen, H.-H.; Phung, Q.-M.; Dinh, T.-H. Emissive Pd(II) Thiosemicarbazones Bearing Anthracene: New Complexes with Unusual Coordination Mode. Inorg. Chem. Commun. 2019, 102, 120–125. [Google Scholar] [CrossRef]
- Sen, P.; Nyokong, T. A Novel Axially Palladium(II)-Schiff Base Complex Substituted Silicon(IV) Phthalocyanine: Synthesis, Characterization, Photophysicochemical Properties and Photodynamic Antimicrobial Chemotherapy Activity against Staphylococcus Aureus. Polyhedron 2019, 173, 114135. [Google Scholar] [CrossRef]
- Miroslaw, B.; Cristóvão, B.; Hnatejko, Z. Structural, Luminescent and Thermal Properties of Heteronuclear PdII–LnIII–PdII Complexes of Hexadentate N2O4 Schiff Base Ligand. Molecules 2018, 23, 2423. [Google Scholar] [CrossRef] [PubMed]
- Borisov, S.M.; Pommer, R.; Svec, J.; Peters, S.; Novakova, V.; Klimant, I. New Red-Emitting Schiff Base Chelates: Promising Dyes for Sensing and Imaging of Temperature and Oxygen via Phosphorescence Decay Time. J. Mater. Chem. C 2018, 6, 8999–9009. [Google Scholar] [CrossRef]
- Zhao, Z.; Zhang, H.; Lam, J.W.Y.; Tang, B.Z. Aggregation-Induced Emission: New Vistas at the Aggregate Level. Angew. Chem. Int. Ed. 2020, 59, 9888–9907. [Google Scholar] [CrossRef]
- Zhang, H.; Zhao, Z.; Turley, A.T.; Wang, L.; McGonigal, P.R.; Tu, Y.; Li, Y.; Wang, Z.; Kwok, R.T.K.; Lam, J.W.Y.; et al. Aggregate Science: From Structures to Properties. Adv. Mater. 2020, 32, 2001457. [Google Scholar] [CrossRef]
- Yan, X.; Wei, P.; Liu, Y.; Wang, M.; Chen, C.; Zhao, J.; Li, G.; Saha, M.L.; Zhou, Z.; An, Z.; et al. Endo- and Exo-Functionalizated Tetraphenylethylene M12L24 Nanospheres: Fluorescence Emission inside a Confined Space. J. Am. Chem. Soc. 2019, 141, 9673–9679. [Google Scholar] [CrossRef]
- Zeng, L.; Xiao, Y.; Jiang, J.; Fang, H.; Ke, Z.; Chen, L.; Zhang, J. Hierarchical Gelation of a Pd12L24 Metal-Organic Cage Regulated by Cholesteryl Groups. Inorg. Chem. 2019, 58, 10019–10027. [Google Scholar] [CrossRef]
- Li, C.; Zhang, B.; Dong, Y.; Li, Y.; Wang, P.; Yu, Y.; Cheng, L.; Cao, L. A tetraphenylethene-based Pd2L4 metallacage with aggregation-induced emission and stimuli-responsive behavior. Dalton Trans. 2020, 49, 8051–8055. [Google Scholar] [CrossRef] [PubMed]
- Zhang, T.; Zhang, G.L.; Yan, Q.-Q.; Zhou, L.-P.; Cai, L.-X.; Guo, X.-Q.; Sun, Q.-F. Self-Assembly of a Tetraphenylethylene-Based Capsule Showing Both Aggregation- and Encapsulation-Induced Emission Properties. Inorg. Chem. 2018, 57, 3596–3601. [Google Scholar] [CrossRef]
- Yan, Q.-Q.; Hu, S.-J.; Zhang, G.-L.; Zhang, T.; Zhou, L.-P.; Sun, Q.-F. Coordination-Enhanced Luminescence on Tetra-Phenylethylene-Based Supramolecular Assemblies. Molecules 2018, 23, 363. [Google Scholar] [CrossRef]
- Evariste, S.; Khalil, A.M.; Moussa, M.E.; Chan, A.K.-W.; Hong, E.Y.-H.; Wong, H.-L.; Le Guennic, B.; Calvez, G.; Costuas, K.; Yam, V.W.-W.; et al. Adaptive Coordination-Driven Supramolecular Syntheses toward New Polymetallic Cu(I) Luminescent Assemblies. J. Am. Chem. Soc. 2018, 140, 12521–12526. [Google Scholar] [CrossRef] [PubMed]
- Moutier, F.; Schiller, J.; Lecourt, C.; Khalil, A.M.; Delmas, V.; Calvez, G.; Costuas, K.; Lescop, C. Impact of Intermolecular Non-Covalent Interactions in a CuI8PdII1 Discrete Assembly: Conformers’ Geometries and Stimuli-Sensitive Luminescence Properties. Chem. Eur. J. 2022, 28, e202104497. [Google Scholar] [CrossRef]
- Rota Martir, D.; Pizzolante, A.; Escudero, D.; Jacquemin, D.; Warriner, S.L.; Zysman-Colman, E. Photoinduced Energy and Electron Transfer Between a Photoactive Cage Based on a Thermally Activate Delayed Fluorescence Ligand and Encapsulated Fluorescent Dyes. ACS Appl. Energy Mater. 2018, 1, 2971–2978. [Google Scholar] [CrossRef]
- Elliot, A.B.S.; Lewis, J.E.M.; van der Salm, H.; McAdam, C.J.; Crowley, J.D.; Gordon, K.C. Luminescent Cages: Pendant Emissive Units on [Pd2L4]4+ “Click” Cages. Inorg. Chem. 2016, 55, 3440–3447. [Google Scholar] [CrossRef]
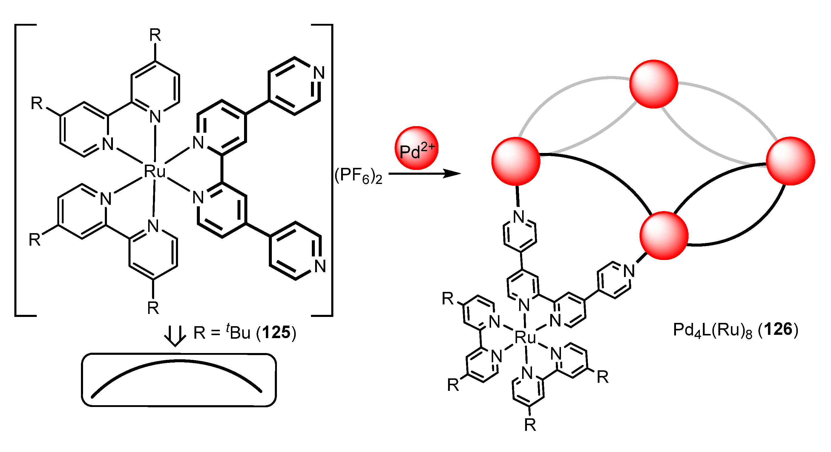
- Rota Martir, D.; Cordes, D.B.; Slawin, A.M.Z.; Escudero, D.; Jacquemin, D.; Warriner, S.L.; Zysman-Colman, E. A luminescent [Pd4Ru8]24+ supramolecular cage. Chem. Commun. 2018, 54, 6016–6019. [Google Scholar] [CrossRef] [PubMed]
- Tessarolo, J.; Lee, H.; Sakuda, E.; Umakoshi, K.; Clever, G.H. Integrative Assembly of Heteroleptic Tetrahedra Controlled by Backbone Steric Bulk. J. Am. Chem. Soc. 2021, 143, 6339–6344. [Google Scholar] [CrossRef] [PubMed]
- Aikman, B.; Bonsignore, R.; Woods, B.; Doellerer, D.; Scotti, R.; Schmidt, C.; Heidecker, A.A.; Pöthig, A.; Sayers, E.J.; Jones, A.T.; et al. Highly-fluorescent BODIPY-functionalised metallacages as drug delivery systems: Synthesis, characterisation and cellular accumulation studies. Dalton Trans. 2022, 51, 7476–7490. [Google Scholar] [CrossRef] [PubMed]
- Pang, Y.; Li, C.; Deng, H.; Sun, Y. Recent advances in luminescent metallacycles/metallacages for biomedical imaging and cancer therapy. Dalton Trans. 2022, 51, 16428–16438. [Google Scholar] [CrossRef] [PubMed]
- Martínez-Agramunt, V.; Peris, E. Photocatalytic Properties of a Palladium Metallosquare with Encapsulated Fullerenes via Singlet Oxygen Generation. Inorg. Chem. 2019, 58, 11836–11842. [Google Scholar] [CrossRef]
- Martínez-Agramunt, V.; Eder, T.; Darmandeh, H.; Guisado-Barrios, G.; Peris, E. A size flexible organometallic box for the encapsulation of fullerenes. Angew. Chem. Int. Ed. 2019, 58, 5682–5686. [Google Scholar] [CrossRef] [PubMed]
- Pullen, S.; Löffler, S.; Platzek, A.; Holstein, J.J.; Clever, G.H. Substrate and product binding inside a stimuli-responsive coordination cage acting as a singlet oxygen photosensitizer. Dalton Trans. 2020, 49, 9404–9410. [Google Scholar] [CrossRef]
- Milgrom, L.R. The Colours of Life: An Introduction to the Chemistry of Porphyrins and Related Compounds, 1st ed.; Oxford University Press: Oxford, UK, 1997. [Google Scholar]
- Nguyen, V.-N.; Yan, Y.; Zhao, J.; Yoon, J. Heavy-Atom-Free Photosensitizers: From Molecular Design to Applications in the Photodynamic Therapy of Cancer. Acc. Chem. Res. 2021, 54, 207–220. [Google Scholar] [CrossRef]
- Zhao, X.; Liu, J.; Fan, J.; Chao, H.; Peng, X. Recent progress in photosensitizers for overcoming the challenges of photodynamic therapy: From molecular design to application. Chem. Soc. Rev. 2021, 50, 4185–4219. [Google Scholar] [CrossRef]
- Alemayehu, A.B.; Thomas, K.E.; Einrem, R.F.; Ghosh, A. The Story of 5d Metallocorroles: From Metal-Ligand Misfits to New Building Blocks for Cancer Phototherapeutics. Acc. Chem. Res. 2021, 54, 3095–3107. [Google Scholar] [CrossRef]
- Chen, Q.-C.; Fridman, N.; Diskin-Posner, Y.; Gross, Z. Palladium Corrole and Sapphyrin. Chem. Eur. J. 2020, 26, 9481–9485. [Google Scholar] [CrossRef]
- Novakova, V.; Donzello, M.P.; Ercolani, C.; Zimcik, P.; Stuzhin, P.A. Tetrapyrazinoporphyrazines and their metal derivatives. Part II: Electronic structure, electrochemical, spectral, photophysical and other application related properties. Coord. Chem. Rev. 2018, 361, 1–73. [Google Scholar] [CrossRef]
- Umasekhar, B.; Shetti, V.S.; Ravikhant, M. Heterocorroles: Corrole analogues containing heteroatom(s) in the core or at a meso-position. RSC Adv. 2018, 8, 21100–21132. [Google Scholar] [CrossRef]
- Hiroto, S.; Miyake, Y.; Shinokubo, H. Synthesis and Functionalization of Porphyrins through Organometallic Methodologies. Chem. Rev. 2017, 117, 2910–3043. [Google Scholar] [CrossRef] [PubMed]
- Lash, T.D. Coordination Chemistry of Modified Porphyrinoid Systems (Editorial). Chem. Rev. 2022, 122, 7987–7989. [Google Scholar] [CrossRef]
- Zhang, K.Y.; Yu, Q.; Wei, H.; Liu, S.; Zhao, Q.; Huang, W. Long-Lived Emissive Probes for Time-Resolved Photoluminescence Bioimaging and Biosensing. Chem. Rev. 2018, 118, 1770–1839. [Google Scholar] [CrossRef] [PubMed]
- Paolesse, R.; Nardis, S.; Monti, D.; Stefanelli, M.; Di Natale, C. Porphyrinoids for Chemical Sensor Applications. Chem. Rev. 2017, 117, 2517–2583. [Google Scholar] [CrossRef]
- Quaranta, M.; Borisov, S.M.; Klimant, I. Indicators for optical oxygen sensors. Bioanal. Rev. 2012, 4, 115–157. [Google Scholar] [CrossRef] [PubMed]
- Wang, Y.; Ogasahara, K.; Tomihama, D.; Mysliborski, R.; Ishida, M.; Hong, Y.; Notsuka, Y.; Yamaoka, Y.; Murayama, T.; Muranaka, A.; et al. Near-Infrared-III-Absorbing and -Emitting Dyes: Energy-Gap Engineering of Expanded Porphyrinoids via Metallation. Angew. Chem. Int. Ed. 2020, 59, 16161–16166. [Google Scholar] [CrossRef]
- Takeshima, N.; Sugawa, K.; Tahara, H.; Jin, S.; Wakui, H.; Fukushima, M.; Tokuda, K.; Igari, S.; Kanakubo, K.; Hayakawa, Y.; et al. Plasmonic Silver Nanoprism-Induced Emissive Mode Control between Fluorescence and Phosphorescence of a Phosphorescent Palladium Porphyrin Derivative. ACSNano 2019, 13, 13244–13256. [Google Scholar] [CrossRef] [PubMed]
- Potocny, A.M.; Pistner, A.J.; Yap, G.P.A.; Rosenthal, J. Electrochemical, Spectroscopic, and 1O2 Sensitization Characteristics of Synthetically Accesible Linear Tetrapyrrole Complexes of Palladium and Platinum. Inorg. Chem. 2017, 56, 12703–12711. [Google Scholar] [CrossRef] [PubMed]
- Potocny, A.M.; Riley, R.S.; O’Sullivan, R.K.; Day, E.S.; Rosenthal, J. Photochemotherapeutic Properties of a Linear Tetrapyrrole Palladium Complex displaying an Exceptionally High Photoxicity Index. Inorg. Chem. 2018, 57, 10608–10615. [Google Scholar] [CrossRef] [PubMed]
- Martin, M.I.; Cai, Q.; Yap, G.P.A.; Rosenthal, J. Synthesis, Redox, and Spectroscopic Properties of Pd(II) 10,10-Dimethylisocorrole Complexes Prepared via Bromination of Dimethylbiladiene Oligotetrapyrroles. Inorg. Chem. 2020, 59, 18241–18252. [Google Scholar] [CrossRef] [PubMed]
- Rice, A.T.; Martin, M.I.; Warndorf, M.C.; Yap, G.P.A.; Rosenthal, J. Synthesis, Spectroscopic, and 1O2 Sensitization Characteristics of Extended Pd(II) 10,10-Dimethylbiladiene Complexes Bearing Alkynyl-Aryl Appendages. Inorg. Chem. 2021, 60, 11154–11163. [Google Scholar] [CrossRef] [PubMed]
- Cai, Q.; Rice, A.T.; Pointer, C.A.; Martin, M.I.; Davies, B.; Yu, A.; Ward, K.; Hertler, P.R.; Warndorf, M.C.; Yap, G.P.A.; et al. Synthesis, Electrochemistry, and Photophysics of Pd(II) Biladiene Complexes Bearing Varied Substituents at the sp3-Hybridized 10-position. Inorg. Chem. 2021, 60, 15797–15807. [Google Scholar] [CrossRef] [PubMed]
- Rice, A.T.; Yap, G.P.A.; Rosenthal, J. A P-61 Black Widow Inspired Palladium Biladiene Complex for Efficient Sensitization of Singlet Oxygen Using Visible Light. Photochem 2022, 2, 58–68. [Google Scholar] [CrossRef]
- Kesavan, P.E.; Pandey, V.; Ishida, M.; Furuta, H.; Mori, S.; Gupta, I. Synthesis, Photophysical Properties and Computational Studies of beta-Substituted Porphyrin Dyads. Chem. Asian J. 2020, 15, 2015–2028. [Google Scholar] [CrossRef] [PubMed]
- Esemoto, N.N.; Satraitis, A.; Wiratan, L.; Ptaszek, M. Symmetrical and Nonsymmetrical Meso-Meso Directly Linked Hydroporphyrin Dyads: Synthesis and Photochemical Properties. Inorg. Chem. 2018, 57, 2977–2988. [Google Scholar] [CrossRef]
- Viola, E.; Donzello, M.P.; Testani, S.; Luccisano, G.; Astolfi, M.L.; Rizzoli, C.; Cong, L.; Mannina, L.; Ercolani, C.; Kadish, K.M. Tetra-2,3-pyrazinoporphyrazines with Peripherally Appended Pyridine Rings. 19. Pentanuclear Octa(2-pyridyl)tetrapyrazinoporphyrazines Carrying Externally Carboranthiolate Groups: Physicochemical Properties and Potentialities as Anticancer Drugs. Inorg. Chem. 2019, 58, 1120–1133. [Google Scholar] [CrossRef] [PubMed]
- Sen, P.; Soy, R.; Mgidlana, S.; Mack, J.; Nyokong, T. Light-driven antimicrobial therapy of palladium porphyrins and their chitosan immobilization derivatives and their photophysical-chemical properties. Dyes Pigments 2022, 203, 110313. [Google Scholar] [CrossRef]
- Sahoo, S.; Panda, P.K. In-Core N4-Coordination of Palladium(II) in Dinaphthoporphycene: Synthesis, Structure and Photophysical Studies. Inorg. Chem. 2022, 61, 2707–2712. [Google Scholar] [CrossRef] [PubMed]
- Volostnykh, M.V.; Borisov, S.M.; Konovalov, M.A.; Sinelshchikova, A.A.; Gorbunova, Y.G.; Tsivadze, A.Y.; Meyer, M.; Stern, C.; Bessmertnykh-Lemeune, A. Platinum(II) and palladium(II) complexes with electron-deficient meso-diethoxyphosphoryl-porphyrins: Synthesis, structure and tuning of photophysical properties by varying peripheral substituents. Dalton Trans. 2019, 48, 8882–8898. [Google Scholar] [CrossRef] [PubMed]
- Williams, A.K.; Davis, B.J.; Crater, E.R.; Lott, J.R.; Simon, Y.C.; Azoulay, J.D. Thiol-ene click chemistry: A modular approach to solid-state triplet-triplet annihilation upconversion. J. Mater. Chem. C 2018, 6, 3876–3881. [Google Scholar] [CrossRef]
- Lissau, J.S.; Khelfallah, M.; Madsen, M. Near-Infrared to Visible Photon Upconversion by Palladium(II) Octabutoxyphthalocyanine and Rubrene in the Solid State. J. Phys. Chem. C 2021, 125, 25643–25650. [Google Scholar] [CrossRef]
- Liu, S.; Wang, X.; Liu, H.; Shen, L.; Zhao, D.; Li, X. Enhancing triplet sensitization ability of donor-acceptor dyads via intramolecular triplet energy transfer. J. Mater. Chem. C 2020, 8, 3536–3544. [Google Scholar] [CrossRef]
- Radiunas, E.; Dapkevičius, M.; Raišys, S.; Juršėnas, S.; Jozeliūnaitė, A.; Javorskis, T.; Šinkevičiūtė, U.; Orentas, E.; Kazlauskas, K. Impact of t-butyl substitution in a rubrene emitter for solid state NIR-to-visible photon upconversion. Phys. Chem. Chem. Phys. 2020, 22, 7392–7403. [Google Scholar] [CrossRef]
- Mizokuro, T.; Kamada, K.; Sonoda, Y. Triplet-triplet annihilation photon upconversion from diphenylhexatriene and ring-substituted derivatives in solution. Phys. Chem. Chem. Phys. 2022, 24, 11520–11526. [Google Scholar] [CrossRef]
- Che, Y.; Yang, W.; Tang, G.; Dumoulin, F.; Zhao, J.; Liu, L.; Işci, U. Photophysical properties of palladium/platinum tetrasulfonyl phthalocyanines and their application in triplet-triplet annihilation upconversion. J. Mater. Chem. C 2018, 6, 5785–5793. [Google Scholar] [CrossRef]










































Disclaimer/Publisher’s Note: The statements, opinions and data contained in all publications are solely those of the individual author(s) and contributor(s) and not of MDPI and/or the editor(s). MDPI and/or the editor(s) disclaim responsibility for any injury to people or property resulting from any ideas, methods, instructions or products referred to in the content. |
© 2023 by the authors. Licensee MDPI, Basel, Switzerland. This article is an open access article distributed under the terms and conditions of the Creative Commons Attribution (CC BY) license (https://creativecommons.org/licenses/by/4.0/).
Share and Cite
Dalmau, D.; Urriolabeitia, E.P. Luminescence and Palladium: The Odd Couple. Molecules 2023, 28, 2663. https://doi.org/10.3390/molecules28062663
Dalmau D, Urriolabeitia EP. Luminescence and Palladium: The Odd Couple. Molecules. 2023; 28(6):2663. https://doi.org/10.3390/molecules28062663
Chicago/Turabian StyleDalmau, David, and Esteban P. Urriolabeitia. 2023. "Luminescence and Palladium: The Odd Couple" Molecules 28, no. 6: 2663. https://doi.org/10.3390/molecules28062663
APA StyleDalmau, D., & Urriolabeitia, E. P. (2023). Luminescence and Palladium: The Odd Couple. Molecules, 28(6), 2663. https://doi.org/10.3390/molecules28062663

