Abstract
This review focuses on some interesting and recent applications of transition metals towards the complexation of thiosemicarbazides, thiocarbohydrazides, and their corresponding carbazones. We started the review with a description of the chosen five metals, including Cu[Cu(I), Cu(II], Co(II), Ni(II), Pd(II), and Ag(I) and their electronic configurations. The stability of the assigned complexes was also discussed. We shed light on different routes describing the synthesis of these ligands. We also reported on different examples of the synthesis of Cu(I), Cu(II), Co(II), Ni(II), Ag(I), and Pd(II) of thiosemicarbazide and thiocarbohydrazide complexes (until 2022). This review also deals with a summary of the fruitful use of metal complexes of thiosemicarbazones and thiocarbazones ligands in the field of catalysis. Finally, this recent review focuses on the applications of these complexes related to their biological importance.
1. Introduction
Metals complexes have been proven beneficial in drug development and medicinal chemistry [1,2]. Transition metals have partially filled d-orbitals and show variable oxidation states. Elements such as Cu(I), Cu(II], Co(II), Ni(II), Pd(II), and Ag(I) constitute transition metals or d-block elements. Their comparative stability in different oxidation states renders the metals a significant role in biological redox reactions [3]. Moreover, transition metal catalysts have become widely adopted as useful tools in modern synthetic organic chemistry because of their diverse reactivity in enabling various molecular transformations [4]. The chemistry has grown with the development of supporting ligands, which significantly affect the reactivity and stability of the metal complexes in the primary coordination sphere [4]. On the other side, thiosemicarbazones and thiocarbazones act as active ligands because of the following:
- i.
- They have better coordination tendencies.
- ii.
- They form more stable complexes.
- iii.
- They have better selectivity.
- iv.
- They may form macrocyclic ligands.
The Schiff bases of thiosemicarbazone and thiocarbazones display a wide range of coordination modes with transition metals; the number and the type of substituents affect the coordination mode [5,6].
1.1. Electronic Configuration of the Assigned Metals
The electronic configuration of transition metals shows them in many oxidation states. Although the elements can display many different oxidation states, they usually exhibit a common oxidation state depending on their most stable forms. In this study, we choose some selective metal ions named Cu(I), Cu(II), Co(II), Ni(II), Pd(II), and Ag(I) (Figure 1) that work only with the first row of transition metals.
Figure 1.
Electronic configurations of Cu(I), Co(II), Ni(II), Pd(II) and Ag (I).
Transition metal ions usually increase the biological activity of many ligands, and in certain cases, the activity has been attributed entirely to the corresponding metal ions [7]. Studies have proven that metal complexes exhibit a wide range of biological and chemical characteristics when bound with organic moieties [8,9]. Due to the change in the geometric properties of the organic molecule–metal binding compared with organic moiety itself, the structural and electronic properties of transition metals would consequently be changed [10,11]. Transition metals react with various negatively charged molecules due to their various oxidation states [12]. The combination between these transition metals and organic moieties can be directed towards a certain geometry for interactions with biological targets [10]. That combination can also occur between metals and organic compounds containing nitrogen heteroatoms, which are electronically shown in Figure 2.
Figure 2.
Schematic representation behind the formation of metal complexes.
1.2. Stability of Transition Metal Complexes
The stability of the transition metal complexes depends on various factors, such as the crystal field stabilization energy (CFSE), the attainment of effective atomic number, and the chelation/denticity of the ligands. The CFSE is the difference in energy gap between the eg (the upper part with higher energy) and the t2g (the lower part with lower energy) orbitals. The octahedral complexes are more stable than tetrahedral complexes because they are surrounded by six ligands causing more electronic repulsion and hence high splitting energy. As the CFSE increases, the thermodynamic stability, especially of the octahedral complexes, increases [13].
1.3. Metal Complexes of Copper (Cu)
Copper is an important micronutrient for all species that live in oxygen-rich environments. It is a redox-active metal that rapidly transitions from the reduced Cu(I) oxidation state to the oxidized Cu(II) oxidation state or vice versa in both traditional bench chemical processes and physiological settings [14]. The Cu(I) ions have a d10 configuration in compounds, and therefore, they become diamagnetic [15]. The oxidation state of the d elements has been linked to a considerable increase or decrease in the stability of their corresponding complexes [14]. All copper (II) complexes are paramagnetic by nature due to unpaired electrons [16,17].
1.4. Metal Complexes of Cobalt (II)
There are 27 essential elements for maintaining and growing the human body, out of which cobalt(II) is one of the most important and essential elements [18]. Co(II) complexes have been studied and synthesized widely because of their various properties [19]. Cobalt is an essential trace element found in all animals and is employed as a cofactor of vitamin B12; consequently, it can regulate the synthesis of DNA and maintain the normal functioning of the nervous system and brain [20]. The synthesis and reactivity of cobalt complexes of Schiff base ligands have always attracted the attention of inorganic chemists [21,22]. For instance, the cobalt complexes of tetradentate Schiff base ligands have been extensively used to mimic cobalamin (B12) coenzymes [23,24], dioxygen carriers, and oxygen activators [25,26,27]. They are also used for enantioselective reduction [28] and as antimicrobial agents [29].
1.5. Metal Complexes of Nickel(II)
Nickel plays an important role in the biology of microorganisms and plants [30]. One of the carbon monoxide dehydrogenase enzymes consists of the Fe-Ni-S cluster [31]. Another nickel-containing enzyme found in the rare bacterial class is superoxide dismutase [32]. Nickel(II) Schiff base complexes containing sulphur donors have received attention due to identifying a sulphur-rich coordination environment in biological nickel centres, such as the active sites of certain ureases, methyl-S-coenzyme-M-methyl reductase, and hydrogenases [33,34].
1.6. Metal Complexes of Palladium(II)
Palladium is a d-block element having atomic number 46. The group number and period numbers of palladium are 10 and 5, respectively. Therefore, the electronic configuration is [Kr] 4d10. Palladium is also an alternative that has shown considerable promise in developing metal-based anti-cancer drugs [35,36,37]. Several similar results have been observed between platinum (II) and palladium (II) complexes, which were thought to be anti-cancer agent candidates [38,39]. Therefore, researchers have focused on synthesizing new palladium complexes to treat several cancer types [40]. The thiosemicarbazone and thiocarbazone derivatives of Pd(II) have proven to be more effective as anti-cancer or antimicrobial agents than the ligand, probably due to the increased lipophilicity of the complexes compared to the free ligands alone [41].
1.7. Metal Complexes of Silver (I)
Silver-based compounds have been explored as drug candidates for cancer chemotherapy [42]. Structural membrane alteration, enzyme inactivation by interaction with nucleic acids, and induction of oxidative stress have been frequently associated with their toxic effects. The cytotoxicity of silver complexes to cancer cells strongly depends on lipophilicity, solubility, and stability in aqueous media [42,43]. Chelation is a well-known strategy to modulate the physicochemical properties of silver compounds and to incorporate ligands that are biologically active by themselves [40,42]. Metal complexes of silver (Ag) have good antibacterial activity, and silver-based antimicrobials are attractive in terms of their effectiveness and non-toxic behaviour to human cells [3].
Silver is one of the biological metals found in our bodies in trace amounts [44]. Notably, the binuclear silver(I) complexes exhibited a more significant antiproliferation activity in cancer cells than the normal cells and exhibited low toxicity [44]. The closed d10 valence shell of silver(I) tolerates various coordination geometries [45]. Silver(I) complexes can be either two-coordinate and approximately linear or three- or four-coordinate [46], but the use of chelating ligands often leads to polymeric species or multinuclear clusters [47]. The coordination chemistry of transition Ag with thiosemicarbazones is broadly investigated [48], but within this realm, only a few compounds of silver(I) thiosemicarbazone complexes have been reported [49].
Based upon those above, this review showed some representative examples of recent synthetic tools of thiosemicarbazones. We also illustrated some spots on the ligation of the assigned metals towards thiosemicarbazones and thiocarbazones. Moreover, we gave brief notes about the utility of the assigned metal-thiosemicarbazones in the field of catalysis. Then, we dealt with the biological activities of the formed metal complexes.
2. Synthesis of Thiosemicarbazide Derivatives
The synthesis of thiosemicarbazides and/or thiocarbazones may be carried out in several ways.
2.1. Using Carbon Disulphide
The reaction of arylamines with carbon disulphide (CS2) in the presence of KOH gave potassium arylcarbamodithioates 1, which when treated with methyl iodide, the reaction produced N-arylmethyl-carbamodithioates 2. The target 4-arylthiosemicarbazides 3a–e were obtained during the reaction of 2 with hydrazine, as shown in Scheme 1 [50].
Scheme 1.
Synthesis of 4-arylthiosemicarbazides 3a–e.
2.2. Using Ammonium Thiocyanate
1-Aroylthiosemicarbazides 5a–f were obtained via the reaction of aroyl hydrazines 4a–f with ammonium thiocyanate in acetone (Scheme 2) [51].
Scheme 2.
Synthesis of 1-aroylthiosemicarbazides 5a–f.
2.3. Reactions of Hydrazines with Substituted Isothiocyanate
Recently, Aly et al. reported that 2-(4′-[2.2]paracyclophanyl-4H-N-substituted-hydrazine-carbothioamides 7a–f were prepared in 80–88% yields by refluxing compound 6 with the isothiocyanates in EtOH for 6–8 h (Scheme 3) [52].
Scheme 3.
Synthesis of 2-(4′-[2.2]paracyclophanyl-4H-hydrazinecarbothioamides 7a–f.
Previously, it was reported that treatment of ethyl benzoate (8) with hydrazine, the corresponding benzoyl hydrazine (9), obtained an 85% yield (Scheme 4). Subsequently, on subjecting 9 with ammonium thiocyanate in an acidic medium, N-benzoylthiosemicarbazide (10) was formed in 75% yield (Scheme 4) [53].
Scheme 4.
Synthesis of the N-benzoylthiosemicarbazide (10).
2.4. Representative Examples of Synthesized Thiosemicarbazones
The reaction of 2-hydroxy benzaldehyde with thiosemicarbazide (11a) in refluxing EtOH and in the presence of Na2CO3 afforded 2-hydroxybenzaldehyde thiosemicarbazone (12) in 40% yield (Scheme 5) [54], whereas when refluxing 5-hydroxy-2-nitrobenzaldehyde (13b) with thiosemicarbazide (11a) in ethanol, the reaction afforded (E)-2-(5-hydroxy-2-nitrobenzylidene)-hydrazine-1-carbothioamide (14) in 84% yield (Scheme 5) [55].
Scheme 5.
Synthesis of benzaldehyde thiosemicarbazones 12 and 14.
Tada et al. reported that thiosemicarbazone 15 was obtained, in 80% yield, during the reaction of 3-bromo-4-hydroxy-5-methoxybenzaldehyde with 4-(4-bromophenyl)-thiosemicarbazide (11b) in MeOH and catalysed with few drops of glacial acetic acid (Scheme 6) [56].
Scheme 6.
Synthesis of 1-(3-bromo-4-hydroxy-5-methoxybenzylidene)-4-(4-bromophenyl)-thiosemicarbazide (15).
An interesting approach reported that (E)-2-((4-chlorophenyl)(2-hydroxy-phenyl)methylene)-hydrazine-carbothioamide (16) was obtained, in 70% yield, via a three-component one-pot reaction between phenol, 4-chlorobenzaldehyde, and 11a (Scheme 7). The reaction was performed in refluxing EtOH for 6 h (Scheme 7) [57]. All the test compounds were screened for in vitro antibacterial activity against B. subtilis, S. aureus, and S. Typhi and showed significant antibacterial activity against the bacterial strains used. The values compare well with the potency of Ampicillin in the respective assay [57].
Scheme 7.
One-pot synthesis of thiosemicarbazone 16.
When 1-(4-hydroxy-6-methyl-4H-pyran-2-yl)ethan-1-one (17) was led to react with phenyl-thiosemicarbazide (11c) in refluxing methanol for 3 h, the reaction yielded the corresponding thiosemicarbazone having pyrano group 18 in 78% yield (Scheme 8) [58].
Scheme 8.
Synthesis of thiosemicarbazones 18.
In the same manner, the reaction of 4-(3′,4′-benzaldehyldene)-2,3-dimethyl-1-phenyl-3-pyrazolin-5-ones 19a,b with 11a in refluxed EtOH for 4–5 h afforded the corresponding Schiff bases 20a,b in 65–80% yield (Scheme 9) [59].
Scheme 9.
Synthesis of thiosemicarbazones 20a,b.
Bis-thiosemicarbazone derived by benzil 22 was prepared, in 65% yield, during the reaction of two equivalents of thiosemicarbazide 11a with one equivalent of benzil (21) in EtOH and an acidic medium (Scheme 10) [60]. Compound 22 was tested in vitro against several microorganisms to assess their antimicrobial properties and showed moderate activity [60].
Scheme 10.
Synthesis of benzil thiosemicarbazone 22.
The isatin-based thiosemicarbazones 24a–c were synthesized in 85–90% yields by the condensation between substituted isatin derivatives 23a–c and 4-phenyl thiosemicarbazide (11c) in the presence of acetic acid under heating at 70 °C (Scheme 11) [61].
Scheme 11.
Synthetic route of isatin-based thiosemicarbazones 24.
The synthetic approach of thiosemicarbazones containing [2.2] paracyclophane moiety was described during the condensation reactions between 25a–c and thiosemicarbazides 11a,c,d to yield 26a–e (Scheme 12). The reaction proceeded in refluxing EtOH and in the presence of a few drops of conc HCl. Treatment of two equivalents of 4-formyl-[2.2]paracyclophane (25a) with one equivalent of thiocarbohydrazide (11d) in ethanol and catalysed with Et3N, gave bis-thiocarbohydrazone 27 in 90% yield (Scheme 12) [62].
Scheme 12.
Synthesis of carbazones 26 and 27 containing paracyclophanyl group.
Thiosemicarbazones derived by 1,4-naphthoquinone 29a–f were established upon mixing equimolar amounts of thiosemicarbazides 11e–j with 2,3-dichloro-1,4-naphthoquinone (28), Ph3P and in the presence of Et3N as a catalyst and acetonitrile as a solvent. Triphenylphosphine-ylidene)-3,4-dihydronaphthalen-2(1H)-ylidene)-N-substituted-hydrazine-1-carbothioamides 29a–f were obtained in 72–82% yield (Scheme 13) [63].
Scheme 13.
Synthesis of thiosemicarbazones containing naphthoquinone moiety 29a–f.
3. Metal Complexes of Thiosemicarbazones and Thiocarbazones
Thiosemicarbazones and thiocarbazones usually bind to a metal ion as bidentate N,S-donor ligands, forming five-membered chelate rings [64]. When a third donor site (D) is incorporated into the ligands, normally D,N,S–tri-coordination occurs [65]. They are used as chelating ligands for forming metal complexes because of the various flexible donor sets of sulphur and nitrogen [66,67]. Coordination chemistry of Schiff base ligands is a promising research area in modern chemistry, as metal complexes play important roles in biological systems. The chemical and biological importance of metal complexes containing a Schiff base depends on the presence of an azomethine (C = N) linkage [68].
Further, the sulphur-containing ligands are known for their biocidal activities, owing to their ability to chelate with the soft acidic metal ions at the tracer level. Among organic reagents containing S and N as donor atoms, thiosemicarbazones and their aromatic derivatives occupy a unique place [69]. Thiosemicarbazones and thiocarbazones can coordinate as a neutral, bidentate NS chelate or, more commonly, as an anionic bidentate NS chelate upon deprotonation of the azomethine nitrogen [70].
3.1. Cu Complexes of Thiosemicarbazides and Thiosemicarbazones
Tetradentate Cu complexes 31a–f were obtained in good yields by adding N-substituted thiosemicarbazones 30 with copper(I)salts in acetonitrile (CH3CN). When the reaction was continued with stirring for 3 h, a yellow precipitate was formed. The subsequent addition of triphenylphosphine (Ph3P) yielded the corresponding 31a–f (Scheme 14) [71].
Scheme 14.
Synthesis of N-substituted thiosemicarbazone-copper(I) complexes 31a–f.
In the same manner, bidentate copper(I)-9-anthraldehyde thiosemicarbazone complexes 33a,b were obtained by refluxing of 9-anthraldehyde thiosemicarbazone (32) with Ph3P and CuX in a (1:1:1) molar ratio using acetonitrile as a solvent under reflux for 24 h. The reaction gave metal complexes good yields (Scheme 15) [72]. The interactions of the ligands and their Cu(I) complexes with calf thymus DNA (ct-DNA) and human serum albumin (HSA) were examined through UV–visible and fluorescence spectroscopy. Results showed that one copper(I) complex displayed strong interactions with ct-DNA and HSA, having binding constant values of 6.66 × 104 and 3.28 × 104 M−1, respectively. The complexes also showed good interactions with DNA in docking studies [72].
Scheme 15.
Synthesis of Cu(X) 9-anthraldehyde thiosemicarbazone- PPh3 complexes 33a,b.
The Cu–S bond distance of 2.3942 Å in 33a is close to those of other monomeric complexes of copper(i) with thiosemicarbazones. The Cu–Cl bond distance of 2.3754(6) Å is smaller than the sum of ionic radii of Cu+ and Cl− (2.58 Å). The other bond distances are Cu–S (2.3942(5) Å) and Cu–P (2.2732(4), 2.2839(4) Å). The C−S distance of 1.694(2) Å is longer than C = S (1.62 Å) and smaller than a C−S single bond (1.81 Å), indicating its partial double bond character in the metal complex [72]. The bond angles around the copper atom in the range of ca. 102.06(2)°–109.65(2)° reveal a distorted tetrahedral geometry with maximum distortion in the P–Cu–P bond angle (124.99(2)°) [72].
Similarly, the reaction of N-substituted 2-tosyl-diazane-1-carbothioamides 34a,b with the [CuCl(PPh3)3] in a 1:1 ratio in ethanol under reflux for 2 h afforded 74–87% of N-substituted-2-tosyl-diazane-1-carbothioamide copper complexes (cyclohexyl and phenyl) 35a,b (Scheme 16) [73]. The crystal structures confirmed the tetrahedral geometry for the Cu(I) metal centre, coordinated by one chlorine atom, two triphenylphosphane, and by the thiosemicarbazide as a neutral S-donor monodentate ligand [73].
Scheme 16.
Synthesis of Cu(I) N-substituted-2-tosyl-diazane-1-carbothioamide complexes 35a,b.
Photophysical studies revealed that the complexes exhibit emission at room temperature with maxima around 480 nm. At 77 K, the emission is shifted to higher energy, a characteristic behaviour of MLCT (metal-to-ligand charge transfer) emitters. The experimental and theoretical analyses suggest 3MLCT (triplet state of metal-to-ligand charge transfer, d-π∗ character) radiative decay occurrence for the complexes. Furthermore, biological assays showed that the complexes are active on the intracellular amastigote form of Trypanosoma cruzi (Tulahuen Lac-Z strain) and present a significant cytotoxic effect against metastatic melanoma cells [73].
It was reported that (E)-2-(tert-butyl)-N,N-diethyldiazene-1-carbothioamide (36) formed with monovalent copper salt in THF under reflux, the tetradentate copper complexes 37a,b in 55–62%, whereas with [(CH3CN)4Cu]BF4 salt, Cu(I)-complex 38 was obtained in 69% yield (Scheme 17) [74].
Scheme 17.
Synthesis of (E)-2-(t-butyl)-N,N-diethyldiazene-1-carbothioamide Cu(I) complexes 37a,b, and 38.
Another bidentate metal complex structure of Cu(II) was found during the reaction of (E)-2-(3,4-disubstituted-benzylidene)-N-methylhydrazine-1-carbothioamides 39a,b with copper(II) chloride in EtOH under reflux to give the bidentate copper complexes 40a,b in good yields (Scheme 18) [75]. The structure–activity relationship indicated that one complex exhibited a significant effect against E. faecalis and A. baumanii, but others acted only against E. faecalis. In addition, all the complexes showed significant antimicrobial activities against Gram-positive and Gram-negative bacteria and two human fungal pathogens [75]. The ligands 39a,b and their complexes 40a,b revealed greater and more specific activities against the studied bacterial and fungal strains. Therefore, it was indicated that the complexes of thiosemicarbazones and their derivatives are the most extensively considered compounds due to their potential therapeutic use as antifungal, antiviral, or antibacterial agents [75].
Scheme 18.
Formation of bidentate copper-thiosemicarbazone complexes 40a,b.
Moreover, when an ethanolic solution of CuCl2.2H2O was added to an ethanolic solution of (E)-2-(2,4-dihydroxybenzylidene)-N-methyl-N-phenylhydrazine-1-carbothioamide (41) and the reaction was heated under reflux for 4 h, the reaction proceeded to give tetradentate complexes 42a,b in 61 and 63% yield, respectively (Scheme 19) [76].
Scheme 19.
Synthesis of tetradentate (E)-2-(2,4-dihydroxybenzylidene)-N-methyl-N-phenylhydrazine-1-carbothioamide Cu(II) and Ni(II) complexes 42a,b.
Electronic and vibrational absorption spectra of the nickel complex were found to be of square-planar geometry. The thermogravimetric analyses of these complexes confirmed the presence of water molecules in their structures, and thermal decomposition led to the formation of metal oxides as the latest residues. The Ni(II) complex’s voltammogram suggests a quasi-reversible redox system in DMSO solution [76].
The reaction of equivalent amounts of 2-(thiophen-2-ylmethylene)hydrazine-1-carbothioamide (43) with an ethanolic solution CuCl2.2H2O was stirred and heated under reflux for 3 h (Scheme 20) and produced pale-yellow powder of metal tetradentate complexes 44 in nearly 60% yield [77]. The as-prepared complex was used as single-source precursors for the synthesis of oleylamine-capped (OLA@CuxSy), hexadecyl amine-capped (HDA@CuxSy), and dodecylamine-capped (DDA@CuxSy) copper sulphide nanoparticles (NPs). This study confirmed the potential of synthesized copper sulphide nano photo-catalysts in treating water contaminated with organic pollutants [77].
Scheme 20.
Synthesis of tetradentate 2-thiophenehydrazine-carbothioamide copper complex 44.
Copper (II) thiosemicarbazones 46 (known as 5-nitroisatin-4-(1-(2-pyridyl)piperazinyl)-3-thiosemicarbazones (Nitistpyrdlpz) and their Cu(II) complex) were prepared by mixing CuCl2.2H2O and thiosemicarbazones 45 in absolute ethanol at 80 °C for 6 h. The reaction afforded 46 good yields (Scheme 21) [78]. The synthesized compounds were tested against breast cancer cell lines, MCF-7, MDA-MB-231, and epidermoid carcinoma; A431 showed that the complex reduced cell viability percentage towards all the tested cell lines but made a remarkable contribution towards the MDA-MB-231 cell line. The IC50 of the complex and free ligand was found in the range of IC50 0.85–1.24 μM and IC50 3.28–3.53 μM, respectively. Among those cell lines, the complex may be the better anti-cancer agent for MDA-MB-231 because of its action at a micromolar concentration (IC50 0.85 μM) [78].
Scheme 21.
Synthesis of nitroisatinthiosemicarbazone-copper (II) thiosemicarbazones 46.
The tetradentate complexes of Cu-thiosemicarbazones were formed during the reaction of thiosemicarbazones 47a–k with CuCl2·2H2O in refluxing EtOH. The reaction afforded the copper complexes 48a–k in 70–83% yields (Scheme 22) [79]. All copper complexes were characterized by similar TGA thermograms exhibiting thermal stability up to ca 170 °C and decomposition pattern in five steps. For example, the TGA curve of Cu-Ligand·H2O demonstrated the first step in the range of 180–195 °C (mass loss 3.3%), indicating water elimination. The second step in the range of 196–275 °C (12.1%) could be due to the breakdown of the methoxy moieties. In the third step, phenyl azo moiety was lost at 275–446 °C (19.5%). The fourth step, recorded at 450–650 °C (48.8%), was attributed to the complete decomposition of the remaining organic components. The final step at ca. 650 °C indicated the decomposition of CuO [79].
Scheme 22.
Synthesis of copper thiosemicarbazone complexes 48a–k.
A similar observation was found in the case of the formation of tetradentate Cu metal complex during the reaction of 2,4-pentanedione bis-thiosemicarbazone 49 with Cu(II) acetate under aerobic conditions to yield the mononuclear Cu-complex 50 (Scheme 23) [80]. The methodology was established via stirring of Cu(CH3COO)2·H2O to the title thiosemicarbazone in acetone for 15 min at room temperature. The reaction produced dark brown crystals of copper complex 50 in 65% yield (Scheme 23) [80].
Scheme 23.
Complexation reaction of 2,4-pentanedione bis-(thiosemicarbazone) 50 with Cu(CH3COO)2·H2O.
Similarly, nonsymmetric tetradentate copper bis-thiosemicarbazone complexes 52a,b were obtained by refluxing equimolar amounts of ligands 51a,b with copper acetate hydrate in refluxing ethanol (Scheme 24) [81].
Scheme 24.
Synthesis of non-symmetric bis(thiosemicarbazone)copper(II) complexes 52a,b.
Copper(I) formed complexes formed the tetradentate 52 and hexadentate 53 structures with thiosemicarbazones derived by [2.2] paracyclophane 25a,b, as shown in Scheme 25 [62].
Scheme 25.
Cu(I) complexes of thiosemicarbazones derived by [2.2]paracyclophane 52 and 53.
Recently Aly et al. [63] reported that the reaction of equal equivalents of compounds 29a–f with Ph3P and CuCl2.2H2O in ethanol at rt and for 1–3 d produced the bidentate Cu-complexes 54a–f in 80–93% yields as indicated in Scheme 26.
Scheme 26.
Mixed Cu(II) and Ph3P complexes of thiosemicarbazones derived by 1,4-naph-thoquinone 54a–f.
Another recent approach has dealt with the complexation of thiosemicarbazones 55a–k with Cu(I) (Scheme 26). The mixture was stirred in DMF for 2d, and bidentate metal complexes 56a–k were obtained in 64–80% yields (Scheme 27) [82].
Scheme 27.
Synthesis of hydrazinecarbothioamides Cu(I) metal complexes 56a–k.
Differently, the tridentate metal complexes 58a–c were formed by mixing equimolar amounts of 57a,b with Cu(I) salts (Br and I) in CH3CN. As the mixture was stirred for 24 h, metal complexes 58a–c were obtained in 45–60% yields (Scheme 28) [83].
Scheme 28.
Synthesis of 2-quinolonylthiosemicarbazones-Cu(I) complexes 58a–c.
3.2. Co(II) Complexes of Thiosemicarbazides and Thiosemicarbazones
The reaction of cobalt (II) chlorides and bromides with 3-thiophene aldehyde thiosemicarbazone 43 leads to the formation of complex 59 in 44% yield (Scheme 27). The structure of 59 was elucidated as bis-(bi-dentate) of Co(II) with two molecules of the thiosemicarbazone 43 (Scheme 29) [84].
Scheme 29.
Synthesis of cobalt (II) thiosemicarbazone complex 59.
The tetradentate Co-complex 61 was obtained by mixing an equivalent amount of (Z)-N-(4-methoxyphenyl)-N’-((Z)-propylidene)carbamoydrazonothioic acid (59) with Co(NO3)2.6H2O in ethanol under reflux for 3 h. After adding 30% of NH3 and stirring the mixture for 16 h, brown crystals of cobalt complex 61 were obtained in 53% yield (Scheme 30) [85]. Compound 60 was suggested as the intermediate step before adding NH3 (Scheme 30). Compound 61 was utilized as an electrocatalyst for the oxidation of hydrazine using a modified electrode approach [85].
Scheme 30.
Synthesis of cobalt thiosemicarbazone-NH3 complex 61.
Electrochemical studies such as cyclic voltammetry, linear sweep voltammetry, and chronoamperometry demonstrate superior electrocatalytic behaviour of the prepared complex compared to bare electrodes. Based on Tafel plot analysis, for the electrooxidation of hydrazine, the initial one electron transfer is found to be the rate-limiting step followed by fast three-electron transfers for complete oxidation to nitrogen. The chronoamperometry technique shows a selective response towards hydrazine electrooxidation in the presence of interfering agents and is sensitive with a detection limit of 1.7 μM. Accordingly, a cobalt complex-modified electrode could be used as an alternative electrocatalyst compared to a precious-metal-based electrocatalyst for hydrazine oxidation [85].
Surprisingly, adding an ethanolic solution of sodium acetate to an ethanolic solution of CoCl2.6H2O and thiosemicarbazone 62, under refluxing conditions, gave hexadentate metal complexes 63 (Scheme 31) [86].
Scheme 31.
Synthesis of Co(II) thiosemicarbazone complex 63.
3.3. Ni (II) Complexes of Thiosemicarbazides and Thiosemicarbazones
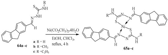
Ni(II) salts have shown that complexation of fluorene-2-carboxaldehyde thiosemicarbazides 64a–c with Ni(OCOCH3)2 in refluxing ethanol for 4 h produced yellow crystals of tetradentate (bis-bidentate) nickel complexes 65a–c in 40%, 49% and 50% yields (Scheme 32) [87]. The results suggested that the thiosemicarbazone ligands behaved as bidentate ligands coordinated to the Ni(II) ion via their N and S atoms. Among the six tested compounds, two nickel complexes, 62b and 62c, exhibited moderate in vitro antimalarial activity with IC50 of 23.79 and 2.29 μM, respectively. As the size of the substituent group increases, the antimalarial activity of the compound increases. Complex 62c exhibited the highest antimalarial activity. In addition, ligands 61c and complex 62a showed higher cytotoxic activity against HCT 116 human colorectal carcinoma cell line than cisplatin with IC50 of 0.69 and 3.36 μM, respectively [87].
Scheme 32.
Synthesis of Ni(II)thiosemicarbazone complexes 65a–c.
Mixed complexation was established when an ethanolic solution of thiosemicarbazone ligand 66a–d was added to nickel(II)chloride hexahydrate and PPh3 and then the mixture was refluxed for 6 h to produce tetradentate Ni(II) thiosemicarbazone complexes 67a–d in 63–71% as illustrated in Scheme 33 [88]. The complexes were further characterized with single crystal X-ray diffraction. The complexes are four-coordinated and adopt a square planar geometry, in which the Schiff base ligands bind to the metal centre via their tridentate O, N, and S atoms. Complexes 67b and 67c showed moderate in vitro antimalarial activity with IC50 9.88 ± 0.23 and 1.06 ± 0.01 μM, respectively. Remarkably, the antimalarial activity increases as the hydrophobicity of the substituent group attached at the N(3) position increases [88].
Scheme 33.
Schematic representation of mixed metal complexation of Ni-thiosemicarbazones-PPh3 complexes 67a–d.
An interesting approach described the reaction of pyridine-2-carbaldehyde thiosemicarbazone (68) with Ni(NO3)2⋅6(H2O). Two isolated structures of hexadentate Ni(II) complexes 69a,b were formed. The procedure depending upon mixing an equal equivalent of 68 and Ni(II) salt in EtOH at 50 °C for 1 h led to the formation of ethanol soluble red complex 69a and water-soluble brownish complex 69b (Scheme 34) [89]. X-ray structure analysis showed that the packing structure of all Ni(II) cationic complexes, nitrates anions, and water molecules are linked to each other via N–H⋯O and O–H⋯O hydrogen bonds into a three-dimensional supramolecular network [89].
Scheme 34.
Synthesis of Ni(II) pyridine-2-carbaldehyde thiosemicarbazone complexes 69a,b.
Hosseini-Yazdi et al. [90] prepared Ni(II), Cu(II) complexes 71a,b by mixing equimolar amounts of Ni(COOCH3)2 with thiosemicarbazone 70a,b under methanolic reflux for 4 h (Scheme 35). The reaction gave complex 71a,b in 72–79% yields, as shown in .
Scheme 35.
Synthesis of Ni(II) tetradentate thiosemicarbazone complexes 68a,b.
Ni-thiosemicarbazone complex 73 was obtained during heating of (E)-2-(1-(4-hydroxyphenyl)ethylidene)-N-(pyridin-2-yl)hydrazinecarbothioamide (72) with Ni(II) chloride under refluxing ethanol for 2 h. The naming complex was identified as (E)-2-(1-(4-hydroxyphenyl)ethylidene)-N-(pyridin-2-yl)hydrazinecarbothioamide Ni-complex 73 and was obtained in 85% yield as shown in Scheme 36 [91]. The ligand behaves as NS-monodentate proposed square planner geometry with the most fitted one for the metal complex motif [91].
Scheme 36.
Synthesis of Ni complex of (E)-2-(1-(4-hydroxyphenyl)ethylidene)-N-(pyridin-2-yl) hydrazinecarbothioamide 73.
The most indicative appeared in the syntheses and characterization of some mixed-ligand nickel(II) complexes 75a–c and 76a–c of three selected thiosemicarbazones 74a–c (Scheme 37), which was previously reported [92]. The complexes have been screened for their antibacterial activity against Escherichia coli and Bacillus [92]. The results indicated that the corresponding nickel(II) complexes showed much better antibacterial activity concerning the individual ligands against the same microorganism under identical experimental conditions.
Scheme 37.
Synthesis of Ni(II) thiosemicarbazone complexes 75a–c and 76a–c.
Selvamurugan et al. [93] synthesized three Ni(II) complexes of 4-chromone-4-substituted-thiosemicarbazone 78a–c by refluxing ethanolic solution of 4-chromone-N(4)-substituted thiosemicarbazone 77a–c with [Ni(NO3)2·6H2O] for 6h. A dark-green-coloured crystalline powder was obtained on slow evaporation (Scheme 38). The complex’s single crystal X-ray diffraction study revealed a distorted octahedral geometry around the metal centre. The assigned complexes were subjected to biological investigations such as DNA/protein interaction studies and in vitro cytotoxic studies against human breast cancer cell lines (MCF-7). The DNA binding by fluorescence spectral study showed that the complexes bind to DNA via intercalation binding mode. Protein binding studies using fluorescence spectroscopy showed that the new complexes could bind strongly with bovine serum albumin (BSA). Due to the terminal substituted thiosemicarbazones, the complexes have good anti-cancer activity against the MCF-7 cancer cell line [93].
Scheme 38.
Synthesis of Ni(II) complexes of 4-chromone-thiosemicarbazones 78a–c.
Bis-bidentate of Ni(II) complexes 80a–c were synthesized in 67–83% yields by refluxing a mixture of hot ethanolic solutions of NiCl2.2H2O and appropriate ligands 79a–f for 2 h (Scheme 39) [94].
Scheme 39.
Synthesis of Ni(II)-thiosemicarbazone complexes 80a–f.
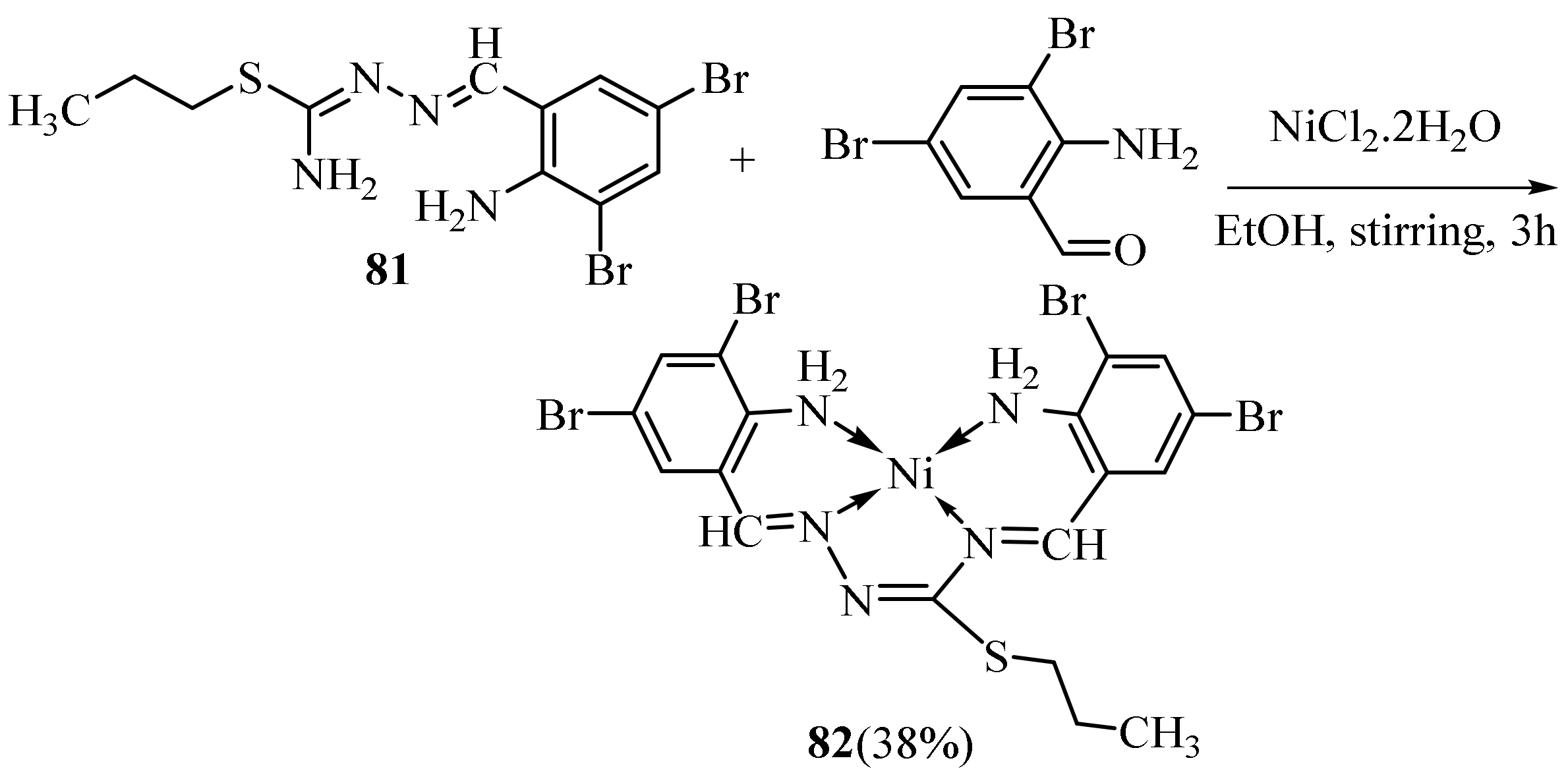
The addition of S-propyl-N-amino-3,5-dibromobenzylidene thiosemicarbazone (81) to 2-amino-3,5-dibromo benzaldehyde with NiCl2·6H2O in EtOH was achieved (Scheme 40), to give brown crystals of complex 82 in 38% yield [95].
Scheme 40.
Formation of binary Ni-complexes 82.
During heating, a methanolic solution of nickel(II) acetate tetrahydrate salt with (E)-N-methyl-2-(quinolin-2-ylmethylene)hydrazine-1-carbothioamide (83) dissolved in hot acetonitrile under stirring for 24 h at room temperature led to the formation of compounds bis-tridentate (hexadentate) nickel complex 84 in 84% yield (Scheme 41) [96].
Scheme 41.
Synthesis of (E)-N-methyl-2-(quinolin-2-ylmethylene)hydrazine-1-car-bothioamide Ni(II) complex 84.
A report above [82] described the complexation of Cu(II) complexes with compounds 55a–k, Ni(II) salts reacted with 55a–k in refluxing CH3OH to undergo similar coordination, and the corresponding bidentate metal complexes 85a–k were formed (Scheme 42) in good to excellent yields [82].
Scheme 42.
Synthesis of hydrazinecarbothioamides Ni(II) complexes 85a–k.
3.4. Cu(II), Co(II) and Ni (II) Complexes of Thiosemicarbazides and Thiosemicarbazones
2-butyl thioquinazoline-4-(3H)-thiosemicarbazone (86) was added to Co(II), Ni(II), and Cu(II) salts in refluxing ethanol reflux for 3–4 h, and the reaction afforded 2-butyl thioquinazoline-4-(3H)-thiosemicarbazone complexes 87a–h in 60–65% yields [97] (Scheme 43). These complexes were also subjected to study their antimicrobial screening against, Gram-positive bacteria Candida albicans and Gram-negative bacteria Escherichia coli by disc diffusion technique [97].
Scheme 43.
Synthesis of some metal complexes of 2-butyl thioquinazoline-4-(3H)-thiosemicarbazones 87a–h.
However, the hexadentate metal complexes 88a–h were formed during the mixing of two equivalents of 57a–f with one equivalent of Cu(I) and Ni salts in refluxing CH3OH (Scheme 44) [83]. Docking results supported the tested complexes’ ability to potentially inhibit the RdRp of SARS-COV-2 from showing binding energy higher than their corresponding ligands. Additionally, ADMET prediction revealed that some compounds stratify to Lipinski’s rule, indicating good oral absorption, high bioavailability, permeability, and transport via biological membranes. Therefore, these metal-based complexes are suggested to be potentially good candidates as anti-COVID-19 agents [83].
Scheme 44.
Synthesis of 2-quinolonylthiosemicarbazones-Ni (II) and Cu (II) complexes 88a–h.
3-Chlorovanillin thiosemicarbazone metal complexes 90a–c were synthesized by stirring metal acetates (Cu(II), Co(II), and Ni(II)) with the ligand of 3-chlorovanilin thiosemicarbazone (89) in dioxane resulting in good yields (72–76%) as illustrated in Scheme 45 [98].
Scheme 45.
Synthesis of metal complexes of 3-chlorovanillins thiosemicarbazones 90a–c.
It was reported that some Schiff base ligand 2,6-pyridinedicarboxaldehyde-thiosemicarbazone (91) metal-complexes of Cu(II) 92a, Co(II) 92b, and Ni(II) 92c had been synthesized using conventional as well as microwave methods (Scheme 46) [99]. Microwave-assisted synthesis proved more efficient in terms of reaction time and availability of the product with better yield than conventional synthesis. Moreover, all the complexes were found to be semiconductors as per electrical conductivity data. Schiff base ligands and their complexes were also evaluated for their antimicrobial activity on selected bacteria, E. coli and S. aureus, and two fungi, Aspergillus niger and Candida albicans. Metal complexes were found to be more potent than the parent ligand molecule due to chelation, which makes the ligand act as a more powerful and potent bactericidal agent [99].
Scheme 46.
Synthesis of metal complexes of 2,6-pyridinedicarboxaldehyde-thiosemicarbazones 92a–c using conditional and MW technique.
Transition metal complexes of Cu(II), Co(II), and Ni(II) 94a–c were prepared by refluxing an ethanolic solution of the thiosemicarbazone ligand 93 with 1,10-phenanthroline heterocyclic base with the metal salts (Scheme 4). The reaction mixtures were refluxed on a water bath for 4 h and gave 85, 82, and 79% for Cu(II), Ni(II), and Co(II) complexes, respectively (Scheme 47) [100]. The magnetic and spectral data indicate octahedral structures for all complexes. Moreover, the free ligand and its M(II)-chelates have been screened for antimicrobial activity. The antibacterial screening demonstrated that the Cu(II) complex has the maximum as well as broad activities among the investigated complexes [100]. The comparison of the antimicrobial activities of the compounds against the selected types of microorganisms indicates that Cu(II) > Ni(II) > Co(II) [100].
Scheme 47.
Synthesis of metal complexes of N-ethyl-2-picolinoylhydrazinecarbothio-amides 94a–c.
The reaction of (Z)-2-(pyrrolidin-2-ylidene)hydrazine-1-carbothioamide (95) with metal salts in refluxing ethanol for 4 h gave (Z)-2-(pyrrolidin-2-ylidene)hydrazine-1-carbothioamide complexes 96a–c in 75%, 60% and 77% yields for Co(II), Ni(II) and Cu(II) complexes, respectively (Scheme 48) [101]. All complexes were found to be superior antioxidants compared to ascorbic acid. In addition, in vitro antifungal effects of the investigated compounds were tested against two fungal species (Aspergillus niger and Candida albicans). The results showed that the ligand does not exhibit antifungal activity, but all metal–ligand complexes exhibit good activities [101].
Scheme 48.
Synthesis of 2-(pyrrolidin-2-ylidene)hydrazine-1-carbothioamide complexes 96a–c.
When vitamin K3 thiosemicarbazone 97 was dissolved in aqueous EtOH, and the solution was slowly added with stirring into a freshly prepared solution of the metal chloride (Cu(II), Co(II), and Ni(II) in EtOH, the reaction proceeded to give thiosemicarbazone metal complexes 98a–c as illustrated in Scheme 49 [102]. All of the complexes possess strong inhibitory action against G(+) Staphylococcus aureus, G(−) Hay bacillus, and G(−) Escherichia coli. The antibacterial activities of the complexes are stronger than those of the thiosemicarbazone itself. The antibacterial effect of the nickel(II) complex was similar to that of penicillin against the two G(+) strains [102].
Scheme 49.
Synthesis of complexes 98a–c derived thiosemicarbazone of vitamin K3.
Additionally, cobalt and nickel nitrates formed with thiosemicarbazone of glyoxylic acid 99 metal complexes 100a,b via stirring a mixture of an aqueous solution of thiosemicarbazone ligand with either NiCl2 or Co(NO3)2·4H2O for 5 min at room temperature, resulting in 82 and 86% yields for Ni(II) and Co(II) complexes, respectively (Scheme 50) [103]. It was shown that the thiosemicarbazone of glyoxylic acid metal derivatives had effective inhibition against α-glycosidase, cytosolic carbonic anhydrase I and II isoenzymes, butyrylcholinesterase, and acetylcholinesterase. Ki values were 26.12–36.58 nM for hCA I, 20.73–40.78 nM for hCA II, 184.30–642.18 nM for AChE, 123.67–342.37 nM for BChE, and 14.66–45.62 nM for α-glycosidase [103].
Scheme 50.
Synthesis of Ni(II) and Co(II) glyoxylic acid derived by thiosemicarbazone complexes 100a,b.
In 2021, V. K. Revankar et al. [104] reported that 8-hydroxyquinoline derived p-halo N4-phenyl substituted thiosemicarbazones 101a–c (i.e., prepared from a reaction of 2-formyl-8-hydroxyquinolines 102 with aryl thiosemicarbazides 11b,k,l) formed various structures of metal complexes 103a–c and 104a–c with Cu(III), Ni(II) and Co(II), respectively (Scheme 51). The various physicochemical investigations of the synthesized complexes reveal metal to ligand stoichiometry to be 1:2 in Co(III) complexes and 1:1 in Ni(II) and Cu(II) complexes. The ligands coordinate in a tridentate NNS fashion around Co(III) centres to form an octahedral geometry and square planar geometry around Ni(II) and Cu(II) metal centres. Co(II) oxidation to Co(III) was also observed during complexation. The synthesized compounds are subjected to in vitro cytotoxicity studies. Compared to bare ligands, the complexes showed enhanced antiproliferative activity against MCF-7 breast cancer cell lines. The Co(III) complexes of fluoro and bromo derivatives of ligands have displayed remarkable results with a roughly two-fold increase in their activity in correlation to the standard drug, Paclitaxel. Moreover, the fluorescence microscopy images of cells stained with acridine orange-ethidium bromide suggest an apoptotic mode of cell death [104].
Scheme 51.
Synthesis of Cu(II), Ni(II), and Co(II) metal complexes 103 and 104a–c with thiosemicarbazones 102a–c.
3.5. Pd(II) Complexes of Thiosemicarbazides and Thiosemicarbazones
When a mixture of (Z)-2-(4-methoxybenzylidene)-N-phenylhydrazine-1-carbothioamide (105) with PdCl2 was refluxed in acetonitrile for 3 h, an orange precipitate of Pd-thiosemicarbazone complex 106 was formed in 75% yield (Scheme 52) [105]. With Suzuki–Miyaura reactions under room temperature, via the addition of KPF6 and N-methylimidazole to acetonitrile and refluxing for 1.5 h, a yellow precipitate of complex 107 was obtained in 60% yield (Scheme 52) [105]. The in vitro antioxidant activity showed that the Pd(II) complexes have effective antioxidant activities. According to the enzyme activity analyses, one complex (IC50 value 69.3 ± 5.2 μM) showed the most effective pancreatic lipase inhibition, whereas the other complex (IC50 value 25.7 ± 3.2 μM) had the most effective tyrosinase inhibition among the synthesized compounds [105].
Scheme 52.
Suzuki cross-coupling of palladium thiosemicarbazone complexes 107 and their utility in cross-coupling reaction.
The coordination geometry around the palladium is distorted square planar, with N(4)–Pd(1)–Cl(1), N(4)– Pd(1)–S(1), N(1)–Pd(1)–S(1) and N(1)–Pd(1)–Cl(1) bond angles at 87.72(15), 91.21(15), 84.11(15) and 97.18(14), respectively. The Pd1–N1, Pd1–N4, Pd1–S1 and Pd1–Cl1 bond distances are 2.015 A° (5), 2.019 A° (5), 2.2260 A° (18) and 2.3407 A° (18), respectively [105].
Utility of 107 in Cross-Coupling Reaction
To determine the catalytic activity of the precursor complex 107, a model cross-coupling reaction was investigated at room temperature between 4-bromoanisole and phenylboronic acid. Screening various solvents using K2CO3 as the base in the presence of 106 showed that ethanol was the most effective solvent. The yield of 4-methoxy-1,1′-biphenyl under the condition described in Scheme 52 was 93% yield [105].
Four Pd(II) complexes have been synthesized by reacting equimolar ratio of [PdCl2(PPh3)2] and 4(N)-substituted 4,6-dimethoxysalicylaldehyde thiosemicarbazone ligands 108 in toluene for 5 h (Scheme 53) [106]. The orange crystals of palladium complexes 109a,b, and 110a,b were obtained in 63–72% yields (Scheme 53) [106]. The substituents appear to affect the type of product formed to give either 109 or 110 (Scheme 53). All the complexes’ antioxidant properties showed moderate activity compared to standard BHT. The cytotoxicity of the Pd(II) complexes was investigated in vitro against both lung cancer (A549) and human breast cancer (MCF-7) cell lines by using MTT assay and by using (AO/EB and DAPI) staining method for cytological changes in cell lines [106]. All the complexes inhibit the growth of the cancer cells significantly when compared to the standard. IC50 values of 109a,b, and 110a,b against breast cancer cells were calculated as 18 ± 1, 33 ± 1, 24 ± 1, and 28 ± 1 μM/mL for 109a,b, and 110a,b in MCF-7 cell lines, respectively. For A549, lung cancer cells, IC50 values were 22 ± 2, 25 ± 1, 15 ± 1, and 30 ± 2 μM/mL for 109a,b, and 110a,b, respectively. The observed IC50 values of the complexes prove moderate activity compared to the standard Cisplatin [106].
Scheme 53.
Synthesis of palladium thiosemicarbazone complexes 109a,b and 110a,b.
Fluorescence spectral studies. Fluorescence spectral studies have been widely used to study the interaction of small molecules with protein molecules. The interactions of BSA with 109a,b, and 110a,b were studied by fluorescence measurements at room temperature. The intensity of the fluorescence band of BSA at 349 nm was quenched to the extent of 69.6%, 75.7%, 40.9%, and 72.1% from its initial intensity upon the addition of 109a,b, and 110a,b with a hypsochromic shift of 5, 3, 5 and 3 nm due to formation of a palladium-thiosemicarbazide–BSA complex [106].
Similarly, the thiosemicarbazones of 4(N)-substituted 4,6-dimethoxysalicylaldehyde 111a–d reacted with [PdCl2(AsPh3)2] with Pd(AsPh3)2, and two structures of palladium thiosemicarbazones 112a,b and 113a,b were obtained depending upon the type of substituent (Scheme 54) [107]. All the complexes indicated their DNA/protein binding ability by using absorption and emission titrations. Investigations of antioxidant properties showed that all the complexes have significant radical scavenging properties. The anti-cancer activity of Pd(II) complexes was probed in vitro cytotoxicity against human breast (MCF7) and lung (A549) cancer cell lines by MTT assay. Further, AO/EB and DAPI staining methods were carried out to detect the cell death induced by the complexes. Complex 112a exhibited better cytotoxic activity [107]. The palladium complexes 111a–d were analysed using cell inhibition expressed in IC50 values and were found as 36 ± 1.0, 27 ± 1.0, 35 ± 1.0 and 29 ± 1.0 for MCF-7 cell lines. In the case of the A-549 cell line, the IC50 values were found to be 20 ± 1.5, 23 ± 1.5, 24 ± 1.5, and 23 ± 1 for complexes 1–4, respectively. All complexes showed moderate activity compared to the standard cisplatin. In addition, the coordination of the ligands to the Pd(II) ion enhances the antiproliferative activity of the complexes against both cell lines [107].
Scheme 54.
Synthesis of palladium thiosemicarbazone complexes 112a,b and 113a,b.
Crystallographic studies showed that complexes 112b and 113a distorted square planar geometry around palladium metal ions [107]. In complex 113a, the palladium (II) ion is coordinated through the thiolate sulphur atom with Pd(1)-S(1) bond distance of 2.246 (5) Å and the nitrogen atom with a Pd(1)-N(1) bond distance of 2.063 (12) Å. The remaining sites are occupied by a chlorine atom with Pd(1)- Cl(1) bond distance of 2.337 (4) Å and triphenylarsine with a Pd(1)-As(1) bond distance of 2.355 (2) Å, respectively. The triphenylarsine in the complex N(1) nitrogen atom and thiolate sulphur (S1) chlorine atom (Cl) are mutually trans to each other. The trans angles (S(1)- Pd(1)-Cl(1) is 173.29 (17)° and N(1)-Pd(1)-As(1) is 175.8 (4)°) deviate considerably from the ideal angle of 180°, distorting the square planar geometry of the complex. The bond distances and angles between palladium and the coordinated atoms are similar to the reported Pd(II) complexes. In complex 113a, a hydrogen bonding interaction is found with the donor-acceptor distance of 2.580 (17)° corresponding to the N(2)-O(1) [107].
The reaction of PdCl2 appended thiosemicarbazone ligands 114a–c with PdCl2 (where X = 5-chloro (114a), 5-bromo (114b), and 5-nitro (114c)), and the palladium (II) complexes 115a–c were obtained (Scheme 55) [61]. The antimicrobial activity results observed that complexes 114a and 114b registered potent antibacterial activity against B. subtilis and K. pneumoniae, and complex 114b showed good antifungal activity against the microorganisms. The antioxidant activity analysis revealed that complex 114c showed significant activity with IC50 values 7.24 ± 0.09 µM. Moreover, the in vitro antiproliferative activity results suggested that complex 114c exhibited high activity against the HeLa cell line compared with the standard with the IC50 value 16.52 ± 1.08 µM. The docking results correlate well [61].
Scheme 55.
Synthetic route of pincer palladium (II) complexes 115a–c.
Investigation of the antibacterial activity of steroidal thiosemicarbazone 116 and its tetradentate Pd(II) metal complex 117 was established by the reaction of the thiosemicarbazones with PdCl2 (Scheme 56) [108]. The antibacterial activity of 117 was tested in vitro by the disk diffusion assay against two Gram-positive and two Gram-negative bacteria using cultures of S. aureus, S. pyogenes, S. typhimurium, and E. coli. Amoxicillin (30 μg) was used as the standard drug, whereas a DMSO-wetted disk was used as the negative control. The results showed that steroidal 116 is a better inhibitor of both types of bacteria (Gram-positive and Gram-negative) than steroidal thiosemicarbazone [108].
Scheme 56.
Structure of palladium (II) steroidal thiosemicarbazone complex 117.
The reaction of formylferrocene thiosemicarbazone 118 with Pd(AcO)2 in an ethanol solution with a 1:2 ratio, and stirring for 24 h gave rise to heterometallic trinuclear complex 119 in 68% yield (Scheme 57) [109]. Among other complexes (e.g., Ni and Zn), the Pd complex showed higher photocatalytic activity than the formylferrocene thiosemicarbazone free ligand 118. Theoretical studies were used to characterize the compounds’ geometry and electronic structure and to provide a rational explanation for the measured [109]. The molecular structure of 119 displays a square planar geometry with a palladium (II) centre and two bidentate ligands, each of which coordinates to Pd (II) via the imine nitrogen atom and the thioamide sulphur atom of the deprotonated ferrocenyl thiosemicarbazone ligand. Moreover, both ferrocenyl groups in the complex are anti to each other, thus minimizing steric repulsion between them [109].
Scheme 57.
Synthesis of formylferrocene thiosemicarbazone Pd(II) complexes 119.
The palladium(II) complexes of indole-3-carbaldehyde thiosemicarbazones 121a–e have been obtained by combining the ligands 120a–e with [PdCl2(PPh3)2] in a 1:1 molar ratio (Scheme 58) [36]. The reaction mixture was stirred for 4 h at room temperature to give the complexes 79–81% yields (Scheme 58) [36]. X-ray structure analysis of the obtained complexes showed that the coordination geometry around palladium(II) could be described as distorted square planar; the palladium ion was bonded to the monobasic bidentate NS-donor ligand in such a way that a five-membered ring was formed, and the remaining sites were occupied by one chlorine and one triphenylphosphine [36]. The anti-cancer activity of the complexes was compared with that of the well-known anti-cancer drug cisplatin, and it was inferred that complex 121d exhibited comparable activity. All the complexes displayed moderate anti-cancer activity against A549 and MCF7 cancer cell lines and less toxicity towards the normal cell line. The morphological changes assessed by staining methods and DNA fragmentation revealed that cell death occurred by apoptosis [36].
Scheme 58.
The synthetic route describes the formation of palladium (II) com-plexes 121a–e.
It has been reported that design and structure–activity studies using mononuclear palladium (II) complexes 123a–e on a patient isolate of Trichomonas vaginalis are highly resistant to the FDA-approved drug metronidazole [110]. The synthetic approach was established by the addition of the appropriate thiosemicarbazone ligands 122a–e, which were added to dry EtOH, under argon gas, to a mixture of triethylamine and Pd(PPh3)2Cl2 (Scheme 59) [110]. Two compounds had similar IC50 values between the resistant strain and a previously analysed sensitive line. The most potent compound had an IC50 value of 15 μM on parasite growth and showed no effects on common normal flora bacteria or morphological effects when tested on cultured mammalian cells. The formed metal complex 123c has been evaluated as catalyst precursors for the Mizoroki–Heck coupling reaction between a variety of electron-rich and electron-poor aryl halides and olefins to form the corresponding Chalcone (Scheme 59) [110]. The palladium complexes (1 mol% loading) were found to catalyse these reactions effectively, with high yields obtained when aryl iodides and aryl bromides were utilized. The effects of the base, catalyst loading, reaction temperature, and reaction time on the catalytic activity of the most active complex were also investigated [110].
Scheme 59.
Synthetic route of potentially anti-malaria thiosemicarbazone palladium(II) complexes 123a–e. The utility of the formed complex 123c in the Mizoroki–Heck coupling reaction.
Palladium (II) complexes 125a–g were prepared from the reaction of thiosemicarbazones (TSCN) 124a–g with PdCl2, as shown in Scheme 60 [111]. Coordination via the thionic sulphur and the azomethine nitrogen atom of the thiosemicarbazones to the metal ion was confirmed by spectral data. The TGA (under nitrogen, rate 10/min) profiles of complexes and the % weight at different temperatures were recorded. These complexes do not lose weight up to 245 °C. Further increments in temperature cause the decomposition of the complexes in two steps. The temperature range for the first step was 245–395 °C, where the loss of mixed fragments was observed. The second step starts immediately after the first one and continues until the complete decomposition of the ligand and formation of MS [M = Pd(II)] as the end product. The total% weight loss corresponds to the loss of the respective ligand after considering the transfer of one sulphur atom to the metal ion, and the residue corresponds to the metal sulphide [111].
Scheme 60.
Synthesis of Pd(II) thiosemicarbazone complexes 125a–g.
Compounds 125a–g were screened in vitro against the HK-9 strain of Entamoeba histolytica, which possesses amoebicidal properties. With enhancement of anti-amoebic activity, they showed fewer IC50 values than metronidazole. That resulted from the introduction of palladium metal in the thiosemicarbazone moiety [111]. All the complexes are more active than their respective ligands, indicating that the complexation to metal enhances the activity of the ligand. This may be explained by Tweedy’s theory [112], according to which chelation reduces the polarity of the central metal atom because of the partial sharing of its positive charge with the ligand, which favours the permeation of the complexes through the lipid layer of the cell membrane. The most active compounds in this class were again those thiosemicarbazone Pd(II) complexes which have cyclooctyl amine (125f, IC50 = 0.81 μM) [111].
Similarly, thiosemicarbazones were derived by thiophene 126a,b formed with PdCl2(PPh3)2 in toluene followed by the addition of Et3N base, the corresponding tetradentate Pd complexes 127a,b (Scheme 61) [113]. The bond parameters illustrated by X-ray structure analysis confirmed the distorted square planar geometry around the palladium centre [113].
Scheme 61.
Synthesis of Pd(II) thiosemicarbazone complexes 127a,b.
A series of 6-methoxy-2-oxo-1,2-dihydroquinoline-3-carbaldehyde 4N-substituted thiosemicarbazone ligands 128a–d and their corresponding tetradentate palladium(II) complexes (i.e., PdCl2(PPh3)2) 129a–d (Scheme 62), was synthesized to evaluate the effect of terminal N-substitution in thiosemicarbazone moiety on coordination behaviour and biological activity [114]. The interactions of the new complexes with calf thymus DNA (CT-DNA) have been evaluated by absorption and ethidium bromide (EB) competitive studies, which revealed that complexes 129a–d could interact with CT-DNA through intercalation. Further, the interactions of the complexes with bovine serum albumin (BSA) were also investigated using UV–visible, fluorescence, and synchronous fluorescence spectroscopic methods, which showed that the new complexes could bind strongly with BSA. Antioxidant studies showed that all the complexes have strong antioxidant activity against 2-2′-diphenyl-1-picrylhydrazyl (DPPH) radical and 2,2′-azino-3-ethylbenzthiazoline-6-sulfonic acid diammonium salt (ABTS) cation radical. In addition, in vitro cytotoxicity of the complexes against human lung cancer (A549) cell line was assayed, which showed that 129d has higher cytotoxic activity than the rest of the complexes and cisplatin [114].
Scheme 62.
The synthetic routes of palladium (II) complex 129a–d.
3.6. Ag(I) Complexes of Thiosemicarbazides and Thiosemicarbazones
4-Hydroxybenzaldehyde-thiosemicarbazone 130 reacted with AgNO3 and Ph3P in a molar ratio of 1:1:1, and the tetradentate silver(I) complex 131 was synthesized (Scheme 63) [115]. The thermal behaviour of the complex was studied using thermogravimetry to evaluate its thermal stability and decomposition pathway [115].
Scheme 63.
Synthesis of Ag(I) thiosemicarbazone complex 131.
The tetradentate silver(I) complexes 134a–c containing 2-formylpyridine-N(4)-R-thiosemicarbazones 132 and 1,10-phenanthroline (phen) (133) were synthesized (Scheme 64) [116]. In these complexes, phen and thiosemicarbazone ligands are coordinated in a chelating bidentate fashion. Compounds 134a–c not only showed well in vitro antiproliferative activity against human lung (A549) and breast tumour cells (MDA-MB-231 and MCF-7), with IC50 values ranging from 1.49 to 20.90 μM but were also demonstrated to be less toxic towards human breast non-tumour cells (MCF-10A) [116]. X-ray structure analysis showed that compound 134a contains a mononuclear Cu(II) centre, two bidentate bpy moieties, and a bidentate NO3− anion, resulting in distorted octahedral geometry [116].
Scheme 64.
Synthesis of Ag(I) thiosemicarbazone complexes 134a–c.
Heteroleptic silver(I) complexes 137a–d were synthesized in good yields via the aerobic reaction of sodium naproxen 135 (1 mmol) with 2-(1-(4-substituted phenyl)ethylidene)hydrazinecarbothioamide (136a–d, 1 mmol) together with AgNO3 (1 mmol) in methanol as a solvent (Scheme 65) [117]. The structure of the obtained complexes 137a–d showed an asymmetric bidentate coordination mode of carboxyl oxygen atoms of naproxen with a silver(I) ion. The complexes are stable for 72 h, and biocompatibility was analysed towards normal human dermal fibroblast cells, which showed a non-toxic nature up to 100 ng/mL. In vitro antiproliferative activity of the complexes by MTT assay was tested against three human cancer cell lines and one non-tumorigenic human breast epithelial cell line (MCF-10a) in which the complex 137a–d exhibited enhanced activity [117]. The cell viability decreased with increasing complex concentrations, showing the concentration-dependent nature and IC 50 values. Complex 137c exhibits weak cell growth inhibition activity against all three cancer cell lines, and complex 137d shows moderate activity towards the MCF-7 cell line compared to the standard drugs. The selectivity of complex 137d towards MCF-7 compared to MDA-MB-231 and PANC-1 cell lines may be due to the electron-releasing substituent [117].
Scheme 65.
Synthesis of heteroleptic silver(I) complexes 137a–d.
The approach dealt with the formation of six sulphur-bridged dinuclear silver(I) thiosemicarbazone complexes 138 (Figure 3) [118], which were synthesized through the reaction of silver(I) nitrate with 4-phenyl-3-thiosemicarbazone derivatives together with PPh3 in a 1:1:2 molar ratio. It was found that the thiosemicarbazone ligand exists as a thione rather than as a thiol tautomer. Subsequently, MDA-MB-231 and MCF-7 breast cancer cell lines and the HT-29 colon cancer cell lines were used to investigate these complexes’ in vitro antiproliferative activities. In all cases, the IC50 values were in the full micromolar range. Furthermore, the complexes had good anti-plasmodial activity against chloroquine-resistant P. falciparum, as per the results of histidine-rich protein 2 (HRP2) assays and cytotoxicity evaluations of MDBK cells [118].
Figure 3.
Structures of the silver complexes 138.
Similarly, when Ph3P was replaced by diphenyl(p-tolyl)phosphine, the same structure of silver complexes 138 (Figure 4) was obtained and assigned as 139 [119]. The in vitro antiproliferative activity of these complexes was investigated towards the MDA-MB-231 and MCF-7 breast cancer cell lines, as well as the HT-29 colon cancer cell line, which yielded IC50 values in the low micromolar range. The antiplasmodial activity of these complexes was also examined against chloroquine-resistant P. falciparum parasite, which demonstrated good activity and was further tested for their selectivity index [119].
Figure 4.
Structures of the silver complexes 139.
It was reported on the synthesis, characterization, and crystal structure of a mononuclear silver(I) tetradentate complex, [Ag(3-phenylpropenal-thiosemicarbazone)(PPh3)2]NO3 141 (Scheme 66) [120]. The complex was prepared by the reaction of thiosemicarbazone 140 and AgNO3 in the presence of PPh3. The ligand 140 was added to an acetonitrile suspension of AgNO3 and PPh3 (molar ratio, 1:2) and stirred for 0.5 h until a clear yellow solution was obtained. The solution was left at 4 °C for several days and then slowly evaporated at room temperature [120]. The minimum inhibitory concentrations (MICs) of the ligand 140 and its silver(I) complex 141 against two standard strains of Gram-positive (S. aureus ATCC-25923 and E. faecalis ATCC-29212) and Gram-negative (E. coli ATCC 25922 and P. aeruginosa ATCC-27853) bacteria showed that at 500 mg/mL, catsc has no antibacterial activity against any of the tested bacteria. The complex is inactive against P. aeruginosa at the 500 mg/mL concentration, but it is active against S. aureus, E. faecalis, and E. coli, with better activity against S. aureus than against E. faecalis. The considerably higher antibacterial activity of the complex compared with the free ligand, especially towards Gram-positive bacteria, has also been observed for the similar copper(I) thiosemicarbazone complex [120]. The differences in MICs found for the ligand and the complex are due to its ability to penetrate cell walls, which is structure dependent [120].
Scheme 66.
Synthesis of [Ag(thiosemicarbazone)(PPh3)2]NO3 141.
Silver(I) bromide complexes 143 containing triphenylphosphine (PPh3) and 4-phenyl-thiosemicarbazide (142) were prepared and structurally analysed, namely [AgCl(thiosemicarbazide)-(PPh3)2]CH3CN (Scheme 67) [121]. Complex 143 exhibits a distorted tetrahedral metal coordination environment with two P atoms from two PPh3 ligands, one terminal S atom from the 142 ligands, and a chloride ion. The resulting reaction mixture was heated under reflux for 7 h. The resulting Ag complex 143 was obtained in 66% yield [121]. X-ray structure analysis showed the distorted tetrahedral metal coordination environment with two P atoms from two PPh3 ligands, one terminal S atom from the 4-PTSC ligand, and a chloride ion [121].
Scheme 67.
Synthesis of Ag(I) thiosemicarbazone complex 143.
Silver(I) complexes 145a,b were formed by the reaction of thiosemicarbazones derived by imidazole moiety 144a,b with AgNO3. The reaction was carried out by stirring a methanol solution of the desired ligand 144a,b with an aqueous solution of AgNO3. The reaction mixture was kept under stirring for 24 h. Silver complexes were obtained in 69 and 89% yields (Scheme 68) [122]. The silver(I) complexes 145a,b showed antifungal activity against Candida fungal strains, while the un-complexed 144a,b ligands were inactive, suggesting that the antifungal effects are probably due to the presence of silver. All compounds exhibited potent antimicrobial effects against several aerobic bacterial strains, indicating that their mode of action probably involves an aerobic bio-reduction of the nitro group, with the formation of toxic metabolites [122].
Scheme 68.
Synthesis of Ag(I) nitro-imidazole-thiosemicarbazone complexes 145a,b.
4. Application of Thiosemicarbazone and Thiocarbazones Complexes of Transition Metals
4.1. Catalytic Applications
The use of thiosemicarbazones and other closely related chalcogen compounds as ligands in metal complexes has been a fruitful field of study for many years. However, initial reports on their application in catalysis did not appear until the 1990s [123], while their use in coupling reactions was only first reported several years later [124]. The versatility of metal complexes with compounds having hydrazinocarbothioamido groups can be exploited to develop new catalysts. Reactions that have been studied using these systems include oxidation [125], transfer hydrogenation [126], reduction [127], and various known reactions [128].
4.2. Biological Applications
As previously mentioned, thiosemicarbazones and thiocarbazones have shown widespread applications in medicinal and pharmaceutical fields. It was reported on the relationship between metal complexes in cancer therapy, highlighting some of these d-block properties of the corresponding metals [129]. The coordination of compounds with bonds between a central metal atom and surrounding ligands plays critical roles in biology, biochemistry, and medicine, controlling the structure and function of many enzymes and their metabolism [130].
The required general properties for metal complexes to exhibit potentially biological properties are:
- Adequately high thermodynamic stability to transport the metal to the active site;
- A good hydrolytically stability;
- A proper molecular weight. Low molecular weight compounds with no charge and very low water solubility have the advantage of being able to cross biological membranes by passive diffusion [130].
An interest in metals as antimicrobial and biocidal agents is reflected in hopes that they may prevent resistance [131,132]. Generally, various metal complexes have indicated greater biological activity than free organic compounds [133].
Metal ions’ biological activity depends on their concentration; they can either enhance or harm the organism’s health [134]. Metal chelate has been investigated to have several biological actions, including antibacterial, anti-fungicidal, antiviral, and anti-cancer activity [135,136]. The biological activities of metal complexes differed from those of free ligands or metal ions, and increased or decreased activities with the non-complexed semicarbazones/thiosemicarbazones have been reported for several transition metal complexes [137]. Thiosemicarbazones usually act as chelating agents with transition and non-transition metal ions connected through sulphur and nitrogen atoms and have immense pharmaceutical applications [138].
Lack of effective metal ions can cause many diseases, such as heart disease in very young children due to the deficiency of copper and pernicious anaemia due to cobalt deficiency. Natural detoxication is a mechanism of medicinal or physiological eradication of toxic substances from the human body, performed by the liver [139]. The latest research confirmed the upper anti-cancer effect of a thiosemicarbazone (TSC)–metal compound compared to TSC alone [140]. Some experimental evidence supported that the metal complexes of thiosemicarbazones usually show a higher bioactivity and lower side effects than free ligands [141].
5. Conclusions
In summary, it was here reported on the complexation of Cu(I), Cu(II), Co(II), Ni(II), Ag(I), and Pd(II) with ligands described as compounds containing a hydrazinocarbothioamido group. We also described the synthesis of these ligands. We also reported on different examples of synthesizing the formed complexes of the chosen metals with both thiosemicarbazides and thiosemicarbazones. Various modes of chelation occurred. Bidentate, tridentate and tetradentate complexes predominated. The metal complexes’ biological activities have shown to be more effective than the corresponding ligands, especially as antimicrobial agents. Since the ligation process of thiosemicarbazones and thiocarbazones ligands towards the assigned metals depends upon the type and structure of the ligands, different metal complexes with different coordination modes would be obtained. From the former point of view, studying the metal complexation of thiosemicarbazones and thiocarbazones would be valuable and would be chosen in various biological applications. Moreover, the metal complexes would increase the vitality of the field of catalysis.
Author Contributions
Conceptualization, A.A.A.; writing, editing, and submitting, E.M.A. and S.A.A.: Conceptualization. M.M.R.: writing—draft; S.B.: editing. All authors have read and agreed to the published version of the manuscript.
Funding
This research received no external funding.
Institutional Review Board Statement
Not applicable.
Informed Consent Statement
Not applicable.
Data Availability Statement
Not applicable.
Acknowledgments
We also acknowledge support from the KIT-Publication Fund of the Karlsruhe Institute of Technology. The authors thank the Human Resources department for providing Ashraf A. Aly with a two-month contract at the Karlsruhe Institute of Technology, Karlsruhe, Germany, from 2 August to 26 September 2022.
Conflicts of Interest
The authors declare no conflict of interest.
References
- Franz, K.J.; Metzler-Nolte, N. Introduction: Metals in medicine. Chem. Rev. 2019, 119, 727–729. [Google Scholar] [CrossRef]
- Frei, A.; Elliott, A.G.; Kan, A.; Dinh, H.; Bräse, S.; Bruce, A.E.; Bruce, M.R.; Chen, F.; Humaidy, D.; Jung, N. Metal Complexes as Antifungals?–From a Crowd-Sourced Compound Library to First In Vivo Experiments. JACS 2022, 2, 2277–2294. [Google Scholar] [CrossRef]
- Bagchi, A.; Mukherjee, P.; Raha, A. A review on transition metal complex-modern weapon in medicine. Int. J. Recent Adv. Pharm. Res 2015, 5, 171–180. [Google Scholar]
- Takaya, J. Catalysis using transition metal complexes featuring main group metal and metalloid compounds as supporting ligands. Chem. Sci. 2021, 12, 1964–1981. [Google Scholar] [CrossRef] [PubMed]
- Metzler-Nolte, N.; Schatzschneider, U. Bioinorganic Chemistry. In Bioinorganic Chemistry; De Gruyter: Berlin, Germany, 2009. [Google Scholar] [CrossRef]
- Sahu, R.; Thakur, D. Schiff base: An overview of its medicinal chemistry potential for new drug molecules. Int. J. Pharm. Sci. Nanotechnol. 2012, 5, 1757–1764. [Google Scholar] [CrossRef]
- Golcu, A.; Tumer, M.; Demirelli, H.; Wheatley, R.A. Cd (II) and Cu (II) complexes of polydentate Schiff base ligands: Synthesis, characterization, properties and biological activity. Inorg. Chim. Acta 2005, 358, 1785–1797. [Google Scholar] [CrossRef]
- Padhye, S.; Afrasiabi, Z.; Sinn, E.; Fok, J.; Mehta, K.; Rath, N. Antitumor metallothiosemicarbazonates: Structure and antitumor activity of palladium complex of phenanthrenequinone thiosemicarbazone. Inorg. Chem. 2005, 44, 1154–1156. [Google Scholar] [CrossRef] [PubMed]
- Lainé, A.-L.; Passirani, C. Novel metal-based anticancer drugs: A new challenge in drug delivery. Curr. Opin. Pharm. 2012, 12, 420–426. [Google Scholar] [CrossRef] [PubMed]
- Zhang, P.; Sadler, P.J. Redox-active metal complexes for anticancer therapy. Eur. J. Inorg. Chem. 2017, 2017, 1541–1548. [Google Scholar] [CrossRef]
- Warra, A. Transition metal complexes and their application in drugs and cosmetics-a Review. J. Chem. Pharm. Res. 2011, 3, 951–958. [Google Scholar]
- Monro, S.; Colón, K.L.; Yin, H.; Roque III, J.; Konda, P.; Gujar, S.; Thummel, R.P.; Lilge, L.; Cameron, C.G.; McFarland, S.A. Transition metal complexes and photodynamic therapy from a tumor-centered approach: Challenges, opportunities, and highlights from the development of TLD1433. Chem. Rev. 2018, 119, 797–828. [Google Scholar] [CrossRef] [PubMed]
- Britz, A.; Gawelda, W.; Assefa, T.A.; Jamula, L.L.; Yarranton, J.T.; Galler, A.; Khakhulin, D.; Diez, M.; Harder, M.; Doumy, G. Using ultrafast X-ray spectroscopy to address questions in ligand-field theory: The excited state spin and structure of [Fe (dcpp) 2]2+. Inorg. Chem. 2019, 58, 9341–9350. [Google Scholar] [CrossRef] [PubMed]
- Tisato, F.; Marzano, C.; Porchia, M.; Pellei, M.; Santini, C. Copper in diseases and treatments, and copper-based anticancer strategies. Med. Res. Rev. 2010, 30, 708–749. [Google Scholar] [CrossRef]
- Greenwood, N.N.; Earnshaw, A. Chemistry of the Elements; Elsevier: Amsterdam, The Netherlands, 2012. [Google Scholar]
- Muleta, F.; Alansi, T.; Eswaramoorthy, R. A review on synthesis characterization methods and biological activities of semicarbazone thiosemi-carbazone and their transition metal complexes. J. Nat. Sci. Res. 2019, 9, 33–46. [Google Scholar]
- Caselli, A.; Cesana, F.; Gallo, E.; Casati, N.; Macchi, P.; Sisti, M.; Celentano, G.; Cenini, S. Designing new ligands: Asymmetric cyclopropanation by Cu (I) complexes based on functionalised pyridine-containing macrocyclic ligands. Dalton Trans. 2008, 4202–4205. [Google Scholar] [CrossRef] [PubMed]
- Kobayashi, Y.; Suzuki, H. Cobalt: Occurrence, Uses and Properties; Nova Publishers: Hauppauge, NY, USA, 2013. [Google Scholar]
- Pahonţu, E.; Julea, F.; Chumakov, Y.; Petrenco, P.; Roşu, T.; Gulea, A. Synthesis, characterization, crystal structure and antiproliferative activity studies of Cu (II), Ni (II) and Co (II) complexes with 4-benzoyl-5-pyrazolones derived compounds. J. Organomet. Chem. 2017, 836, 44–55. [Google Scholar] [CrossRef]
- Heffern, M.C.; Yamamoto, N.; Holbrook, R.J.; Eckermann, A.L.; Meade, T.J. Cobalt derivatives as promising therapeutic agents. Curr.Opin. Chem. Biol. 2013, 17, 189–196. [Google Scholar] [CrossRef]
- Yamada, S. Advancement in stereochemical aspects of Schiff base metal complexes. Coord. Chem. Rev. 1999, 190, 537–555. [Google Scholar] [CrossRef]
- Amirnasr, M.; Schenk, K.J.; Gorji, A.; Vafazadeh, R. Synthesis and spectroscopic characterization of [CoIII (salophen)(amine) 2] ClO4 (amine= morpholine, pyrrolidine, and piperidine) complexes. The crystal structures of [CoIII (salophen)(morpholine)2]ClO4 and [CoIII (salophen)(pyrrolidine) 2] ClO4. Polyhedron 2001, 20, 695–702. [Google Scholar] [CrossRef]
- Aly, M.M. Recent developments in the metallosupramolecular and molecular structures of the cobalt, iron and vanadium complexes of the dianionic tetradentate Schiff base ligands of salicylideneimine and acetylacetoneimine. J. Coord. Chem. 1998, 43, 89–113. [Google Scholar] [CrossRef]
- Hirota, S.; Kosugi, E.; Marzilli, L.G.; Yamauchi, O. The Co-CH3 bond in Shiff base B12 models: Influence of the trans and equatorial ligands as assessed by Fourier transform Raman spectroscopy. Inorg. Chim. Acta 1998, 275, 90–97. [Google Scholar] [CrossRef]
- Sawyer, D.T. The Chemistry and Activation of Dioxygen Species (O2, O2−. and HOOH) in Biology. In Oxygen Complexes and Oxygen Activation by Transition Metals; Springer: Boston, MA, USA, 1988; pp. 131–148. [Google Scholar]
- Henson, N.J.; Hay, P.J.; Redondo, A. Density functional theory studies of the binding of molecular oxygen with Schiff’s base complexes of cobalt. Inorg. Chem. 1999, 38, 1618–1626. [Google Scholar] [CrossRef]
- Bianchini, C.; Zoellner, R.W. Activation of dioxygen by cobalt group metal complexes. Adv. Inorg. Chem. 1996, 44, 263–339. [Google Scholar]
- Nagata, T.; Yorozu, K.; Yamada, T.; Mukaiyama, T. Enantioselective reduction of ketones with sodium borohydride, catalyzed by optically active (β-oxoaldiminato) cobalt (II) complexes. Angew. Chem. Int. Ed. Engl. 1995, 34, 2145–2147. [Google Scholar] [CrossRef]
- Böttcher, A.; Takeuchi, T.; Hardcastle, K.I.; Meade, T.J.; Gray, H.B.; Cwikel, D.; Kapon, M.; Dori, Z. Spectroscopy and electrochemistry of cobalt (III) Schiff base complexes. Inorg. Chem. 1997, 36, 2498–2504. [Google Scholar] [CrossRef]
- Sakiyama, H.; Kato, M.; Sasaki, S.; Tasaki, M.; Asato, E.; Koikawa, M. Synthesis and magnetic properties of a dinuclear manganese (II) complex with two manganese (II) ions of C2-twisted octahedral geometry. Polyhedron 2016, 111, 32–37. [Google Scholar] [CrossRef]
- Mahmoudi, G.; Zangrando, E.; Kaminsky, W.; Garczarek, P.; Frontera, A. Solvent dependent nuclearity of manganese complexes with a polydentate hydrazone-based ligand and thiocyanate anions. Inorg. Chim. Acta 2017, 455, 204–212. [Google Scholar] [CrossRef]
- Nandi, S.; Das, K.; Datta, A.; Banerjee, D.; Roy, S.; Mondal, T.K.; Mandal, D.; Nanda, P.K.; Akitsu, T.; Tanaka, S. Synthesis, spectral elucidation, electrochemistry and DFT interpretation of manganese (II)-thioalkyl-arylazoimidazole complex. J. Mol. Struct. 2017, 1133, 574–579. [Google Scholar] [CrossRef]
- Ibrahim, O.B.; Mohamed, M.A.; Refat, M.S. Nano sized schiff base complexes with Mn (II), Co (II), Cu (II), Ni (II) and Zn (II) metals: Synthesis, spectroscopic and medicinal studies. Can. Chem. Trans 2014, 2, 108–121. [Google Scholar]
- Shafaatian, B.; Soleymanpour, A.; Oskouei, N.K.; Notash, B.; Rezvani, S.A. Synthesis, crystal structure, fluorescence and electrochemical studies of a new tridentate Schiff base ligand and its nickel (II) and palladium (II) complexes. Spectrochim. Acta Part A Mol. Biomol. Spectrosc. 2014, 128, 363–369. [Google Scholar] [CrossRef] [PubMed]
- Cullinane, C.; Deacon, G.B.; Drago, P.R.; Erven, A.P.; Junk, P.C.; Luu, J.; Meyer, G.; Schmitz, S.; Ott, I.; Schur, J. Synthesis and antiproliferative activity of a series of new platinum and palladium diphosphane complexes. Dalton Trans. 2018, 47, 1918–1932. [Google Scholar] [CrossRef] [PubMed]
- Haribabu, J.; Tamizh, M.M.; Balachandran, C.; Arun, Y.; Bhuvanesh, N.S.; Endo, A.; Karvembu, R. Synthesis, structures and mechanistic pathways of anticancer activity of palladium (II) complexes with indole-3-carbaldehyde thiosemicarbazones. New J. Chem. 2018, 42, 10818–10832. [Google Scholar] [CrossRef]
- Lobana, T.S. Activation of C–H bonds of thiosemicarbazones by transition metals: Synthesis, structures and importance of cyclometallated compounds. RSC Adv. 2015, 5, 37231–37274. [Google Scholar] [CrossRef]
- Asiri, A.M.; Khan, S.A. Palladium (II) complexes of NS donor ligands derived from steroidal thiosemicarbazones as antibacterial agents. Molecules 2010, 15, 4784–4791. [Google Scholar] [CrossRef] [PubMed]
- Coskun, M.D.; Ari, F.; Oral, A.Y.; Sarimahmut, M.; Kutlu, H.M.; Yilmaz, V.T.; Ulukaya, E. Promising anti-growth effects of palladium (II) saccharinate complex of terpyridine by inducing apoptosis on transformed fibroblasts in vitro. Bioorg. Med. Chem. 2013, 21, 4698–4705. [Google Scholar] [CrossRef]
- Özerkan, D.; Ertik, O.; Kaya, B.; Kuruca, S.E.; Yanardag, R.; Ülküseven, B. Novel palladium (II) complexes with tetradentate thiosemicarbazones. Synthesis, characterization, in vitro cytotoxicity and xanthine oxidase inhibition. Investig. New Drugs 2019, 37, 1187–1197. [Google Scholar] [CrossRef] [PubMed]
- West, D.X.; Ives, J.S.; Krejci, J.; Salberg, M.M.; Zumbahlen, T.L.; Bain, G.A.; Liberta, A.E.; Valdes-Martinez, J.; Hernandez-Ortiz, S.; Toscano, R.A. Copper (II) complexes of 2-benzoylpyridine 4N-substituted thiosemicarbazones. Polyhedron 1995, 14, 2189–2200. [Google Scholar] [CrossRef]
- Medici, S.; Peana, M.; Crisponi, G.; Nurchi, V.M.; Lachowicz, J.I.; Remelli, M.; Zoroddu, M.A. Silver coordination compounds: A new horizon in medicine. Coord. Chem. Rev. 2016, 327, 349–359. [Google Scholar] [CrossRef]
- Medici, S.; Peana, M.; Nurchi, V.M.; Zoroddu, M.A. Medical uses of silver: History, myths, and scientific evidence. J. Med. Chem. 2019, 62, 5923–5943. [Google Scholar] [CrossRef]
- Raju, S.K.; Karunakaran, A.; Kumar, S.; Sekar, P.; Murugesan, M.; Karthikeyan, M. Silver Complexes as Anticancer Agents: A Perspective Review. Ger. J. Pharm. Biomater. 2022, 1, 6–28. [Google Scholar] [CrossRef]
- Paterson, B.M.; White, J.M.; Donnelly, P.S.; Koutsantonis, G. An icosanuclear silver (I) cluster supported by bis (thiosemicarbazonato) ligands. Aust. J. Chem. 2022, 75, 631–635. [Google Scholar] [CrossRef]
- Wilkinson, G.; Gillard, R.D. Comprehensive Coordination Chemistry The Synthesis, Reactions, Properties and Applications of Coordination Compounds V3 Main Group and Early Transition Elements; Pergamon Press: Oxford, UK, 1987. [Google Scholar]
- Lobana, T.S.; Khanna, S.; Sharma, R.; Hundal, G.; Sultana, R.; Chaudhary, M.; Butcher, R.; Castineiras, A. Versatility of thiosemicarbazones in the construction of monomers, dimers and hydrogen-bonded networks of silver (I) complexes. Cryst. Growth Des. 2008, 8, 1203–1212. [Google Scholar] [CrossRef]
- López-Torres, E.; Mendiola, M.A. Mercury complexes with the ligand benzaldehyde-N (4), N (4)-dimethylthiosemicarbazone. Inorg. Chim. Acta 2010, 363, 1275–1283. [Google Scholar] [CrossRef]
- Castineiras, A.; Pedrido, R. Novel fluorescent cationic silver thiosemicarbazone clusters containing different eight-membered Ag4S4 metallacycles. Inorg. Chem. 2009, 48, 4847–4855. [Google Scholar] [CrossRef]
- Metwally, M.A.; Bondock, S.; El-Azap, H.; Kandeel, E.-E.M. Thiosemicarbazides: Synthesis and reactions. J. Sulfur Chem. 2011, 32, 489–519. [Google Scholar] [CrossRef]
- Deng, J.; Yu, P.; Zhang, Z.; Wang, J.; Cai, J.; Wu, N.; Sun, H.; Liang, H.; Yang, F. Designing anticancer copper (II) complexes by optimizing 2-pyridine-thiosemicarbazone ligands. Eur. J. Med. Chem. 2018, 158, 442–452. [Google Scholar] [CrossRef]
- Alshammari, M.B.; Aly, A.A.; Bräse, S.; Nieger, M.; Abd El-Haleem, L.E. Efficient Synthesis of Various Substituted (Thio) Ureas, Semicarbazides, Thiosemicarbazides, Thiazolidones, and Oxadiazole Derived from [2.2] Paracyclophane. ACS Omega 2022, 7, 12879–12890. [Google Scholar] [CrossRef]
- Emara, A.A.; Seleem, H.; Madyan, A.M. Synthesis, spectroscopic investigations, and biological activity of metal complexes of N-benzoylthiosemicarbazide. J. Coord. Chem. 2009, 62, 2569–2582. [Google Scholar] [CrossRef]
- Joseph, J.; Mary, N.; Sidambaram, R. Synthesis, characterization, and antibacterial activity of the Schiff bases derived from thiosemicarbazide, Salicylaldehyde, 5-bromosalicylaldehyde and their copper (II) and nickel (II) complexes. Synth. React. Inorg. Met. -Org. Nano-Met. Chem. 2010, 40, 930–933. [Google Scholar] [CrossRef]
- Ferrari, M.B.; Capacchi, S.; Reffo, G.; Pelosi, G.; Tarasconi, P.; Albertini, R.; Pinelli, S.; Lunghi, P. Synthesis, structural characterization and biological activity of p-fluorobenzaldehyde thiosemicarbazones and of a nickel complex. J. Inorg. BioChem. 2000, 81, 89–97. [Google Scholar] [CrossRef]
- Tada, R. Synthesis and characterization of some new thiosemicarbazide. J. Chem. 2011, 3, 290–297. [Google Scholar]
- Umadevi, P.; Deepti, K.; Srinath, I.; Vijayalakshmi, G.; Tarakaramji, M. Synthesis and in-vitro antibacterial activity of some new urea, thiourea and thiosemicarbazide derivatives. Int. J. Pharm. Pharm. Sci 2012, 4, 379–383. [Google Scholar]
- Raja, M.U.; Gowri, N.; Ramesh, R. Synthesis, crystal structure and catalytic activity of ruthenium (II) carbonyl complexes containing ONO and ONS donor ligands. Polyhedron 2010, 29, 1175–1181. [Google Scholar] [CrossRef]
- Raman, N.; Selvan, A.; Manisankar, P. Spectral, magnetic, biocidal screening, DNA binding and photocleavage studies of mononuclear Cu (II) and Zn (II) metal complexes of tricoordinate heterocyclic Schiff base ligands of pyrazolone and semicarbazide/thiosemicarbazide based derivatives. Spectrochim. Acta Part A Mol. Biomol. Spectrosc. 2010, 76, 161–173. [Google Scholar] [CrossRef] [PubMed]
- Chandra, S.; Raizada, S.; Tyagi, M.; Gautam, A. Synthesis, spectroscopic, and antimicrobial studies on bivalent nickel and copper complexes of bis (thiosemicrbazone). Bioinorg. Chem. Appl. 2007, 2007, 051483. [Google Scholar] [CrossRef]
- Munikumari, G.; Konakanchi, R.; Nishtala, V.B.; Ramesh, G.; Kotha, L.R.; Chandrasekhar, K.; Ramachandraiah, C. Palladium (II) complexes of 5-substituted isatin thiosemicarbazones: Synthesis, spectroscopic characterization, biological evaluation and in silico docking studies. Synth. Commun. 2019, 49, 146–158. [Google Scholar] [CrossRef]
- Aly, A.A.; Bräse, S.; Weis, P. Tridentate and bidentate copper complexes of [2.2] paracyclophanyl-substituted thiosemicarbazones, thiocarbazones, hydrazones and thioureas. J. Mol. Struct. 2019, 1178, 311–326. [Google Scholar] [CrossRef]
- Alshammari, M.B.; Aly, A.A.; Bräse, S.; Nieger, M.; Ibrahim, M.A.; Abd El-Haleem, L.E. Copper Complexes of 1, 4-Naphthoquinone Containing Thiosemicarbazide and Triphenylphosphine Oxide Moieties; Synthesis and Identification by NMR, IR, Mass, UV Spectra, and DFT Calculations. ACS Omega 2022, 7, 34463–34475. [Google Scholar] [CrossRef]
- Tian, Y.-P.; Duan, C.-Y.; Lu, Z.-L.; You, X.-Z.; Fun, H.-K.; Kandasamy, S. Crystal structure and spectroscopic studies on metal complexes containing ns donor ligands derived from S-benzyldithiocarbazate andp-dimethylaminobenzaldehyde. Polyhedron 1996, 15, 2263–2271. [Google Scholar] [CrossRef]
- Basuli, F.; Peng, S.-M.; Bhattacharya, S. Steric control of the coordination mode of the salicylaldehyde thiosemicarbazone ligand. Syntheses, structures, and redox properties of ruthenium and osmium complexes. Inorg. Chem. 1997, 36, 5645–5647. [Google Scholar] [CrossRef]
- Khan, S.A.; Asiri, A.M.; Al-Amry, K.; Malik, M.A. Synthesis, characterization, electrochemical studies, and in vitro antibacterial activity of novel thiosemicarbazone and its Cu (II), Ni (II), and Co (II) complexes. Sci. World J. 2014, 2014, 592375. [Google Scholar]
- Venkatesh, K.; Banothu Venkanna, K.; Sekhar, C.; Mukkanti, K. Synthesis, characterization & biological activity of some new thiosemicarbazide derivatives and their transition metal complexes. J. Chem. Pharm. Res. 2015, 7, 437–445. [Google Scholar]
- Bursal, E.; Turkan, F.; Buldurun, K.; Turan, N.; Aras, A.; Çolak, N.; Murahari, M.; Yergeri, M.C. Transition metal complexes of a multidentate Schiff base ligand containing pyridine: Synthesis, characterization, enzyme inhibitions, antioxidant properties, and molecular docking studies. Biometals 2021, 34, 393–406. [Google Scholar] [CrossRef]
- Suvarapu, L.N.; Somala, A.R.; Koduru, J.R.; Baek, S.O.; Ammireddy, V.R. A Critical Review on Analytical and Biological Applications of Thio-and Phenylthiosemicarbazones. Asian J. Chem. 2012, 24, 1889–1898. [Google Scholar]
- Bajaj, K.; Buchanan, R.M.; Grapperhaus, C.A. Antifungal activity of thiosemicarbazones, bis (thiosemicarbazones), and their metal complexes. J. Inorg. Biochem. 2021, 225, 111620. [Google Scholar] [CrossRef]
- Lobana, T.S.; Sharma, R.; Castineiras, A.; Kim, S.; Akitsu, T. Synthesis, crystal structure and DFT study of a dinuclear CuI complex with (E)-2-benzylidene-N-methylhydrazinecarbothioamide: Role of halogen-hydrogen bonds in copper-copper bridge bonding. J. Coord. Chem. 2021, 74, 942–954. [Google Scholar] [CrossRef]
- Khan, A.; Paul, K.; Singh, I.; Jasinski, J.P.; Smolenski, V.A.; Hotchkiss, E.P.; Kelley, P.T.; Shalit, Z.A.; Kaur, M.; Banerjee, S. Copper (I) and silver (I) complexes of anthraldehyde thiosemicarbazone: Synthesis, structure elucidation, in vitro anti-tuberculosis/cytotoxic activity and interactions with DNA/HSA. Dalton Trans. 2020, 49, 17350–17367. [Google Scholar] [CrossRef]
- Borges, A.P.; Carneiro, Z.A.; Prado, F.S.; Souza, J.R.; e Silva, L.H.F.; Oliveira, C.G.; Deflon, V.M.; de Albuquerque, S.; Leite, N.B.; Machado, A.E. Cu (I) complexes with thiosemicarbazides derived from p-toluenesulfohydrazide: Structural, luminescence and biological studies. Polyhedron 2018, 155, 170–179. [Google Scholar] [CrossRef]
- Pradhan, R.; Groner, V.M.; Johnson, N.A.; Zhang, Q.; Roll, M.F.; Moberly, J.G.; Waynant, K.V. Synthesis of an N, N-diethyl-tert-butylazothioformamide ligand and coordination studies with Copper (I) salts. Inorg. Chem. Commun. 2021, 124, 108393. [Google Scholar] [CrossRef]
- Jaafar, A.; Mansour, N.; Fix-Tailler, A.; Allain, M.; Faour, W.H.; Shebaby, W.N.; Tokajian, S.; El-Ghayoury, A.; Naoufal, D.; Larcher, G. Synthesis, Characterization, Antibacterial and Antifungal Activities Evaluation of Metal Complexes With Benzaldehyde-4-methylthiosemicarbazone Derivatives. Chem. Sel. 2022, 7, e202104497. [Google Scholar] [CrossRef]
- Nibila, T.; Soufeena, P.; Periyat, P.; Aravindakshan, K. Synthesis, structural characterization and biological activities of transition metal complexes derived from 2, 4-dihydroxybenzaldehyde n(4)-methyl (phenyl) thiosemicarbazone. J. Mol. Struct. 2021, 1231, 129938. [Google Scholar] [CrossRef]
- Yepseu, A.P.; Girardet, T.; Nyamen, L.D.; Fleutot, S.; Ketchemen, K.I.; Cleymand, F.; Ndifon, P.T. Copper (II) Heterocyclic Thiosemicarbazone Complexes as Single-Source Precursors for the Preparation of Cu9S5 Nanoparticles: Application in Photocatalytic Degradation of Methylene Blue. Catalysts 2022, 12, 61. [Google Scholar] [CrossRef]
- Tiwari, D.; Basnet, K.; Lamichhane, J.; Niraula, P.; Bhandari, S.; Yadav, P.N. Copper Complexes of Imidazole-2-carbaldehyde N (4)-Substituted Thiosemicarbazones: Synthesis, Characterization and Antimicrobial Activity. Asian J. Chem. 2016, 28, 2793–2797. [Google Scholar] [CrossRef]
- Salem, M.; Abbas, S.; Darwish, S.; Helal, M.; Aish, E. Synthesis of Novel Tridentate 5-Arylazosalicylaldehyde Thiosemicarbazone Derivatives and Their Complexes with Copper (II). Russ. J. Gen. Chem. 2021, 91, 1578–1583. [Google Scholar] [CrossRef]
- Rhoufal, F.; Guesmi, S.; Jouffret, L.; Ketatni, E.M.; Sergent, N.; Obbade, S.; Bentiss, F. Novel copper (II) and nickel (II) coordination complexes of 2, 4-pentanedione bis-thiosemicarbazone: Synthesis, structural characterization, computational studies, and magnetic properties. Inorg. Chem. Commun. 2022, 141, 109574. [Google Scholar] [CrossRef]
- Lim, S.; Price, K.A.; Chong, S.-F.; Paterson, B.M.; Caragounis, A.; Barnham, K.J.; Crouch, P.J.; Peach, J.M.; Dilworth, J.R.; White, A.R. Copper and zinc bis (thiosemicarbazonato) complexes with a fluorescent tag: Synthesis, radiolabelling with copper-64, cell uptake and fluorescence studies. JBIC J. Biol. Inorg. Chem. 2010, 15, 225–235. [Google Scholar] [CrossRef]
- Aly, A.A.; Abdallah, E.M.; Ahmed, S.A.; Awad, M.K.; Rabee, M.M.; Mostafa, S.M.; Bräse, S. Metal complexes of new thiocarbohydrazones of Cu (I), Co (II), and Ni (II); identification by NMR, IR, mass, UV spectra, and DFT calculations. J. Sulfur Chem. 2023, in press. [Google Scholar] [CrossRef]
- Aly, A.A.; Abdallah, E.M.; Ahmed, S.A.; Rabee, M.M.; Abdelhafez, E.-S.M. Metal complexes of thiosemicarbazones derived by 2-quinolones with Cu (I), Cu (II) and Ni (II); Identification by NMR, IR, ESI mass spectra and in silico approach as potential tools against SARS-CoV-2. J. Mol. Struct. 2022, 1265, 133480. [Google Scholar] [CrossRef]
- Alomar, K.; Khan, M.A.; Allain, M.; Bouet, G. Synthesis, crystal structure and characterization of 3-thiophene aldehyde thiosemicarbazone and its complexes with cobalt (II), nickel (II) and copper (II). Polyhedron 2009, 28, 1273–1280. [Google Scholar] [CrossRef]
- Marichelvam, T.; Murugan, G.; Holla, H.; Naranammalpuram Sundaram, V.N.; Palanimuthu, D. Electrocatalytic Oxidation of Hydrazine Using a Cobalt Bis (thiosemicarbazone) Complex. Top. Catal. 2023, 1–11. [Google Scholar] [CrossRef]
- Gujarathi, J. Synthesis, spectral and biological evaluation of Co (II) complexes derived from N (4) thiosemicarbazone. IJRAR-Int.J. Res. Anal. Rev. 2018, 5, 710–716. [Google Scholar]
- Savir, S.; Wei, Z.J.; Liew, J.W.K.; Vythilingam, I.; Lim, Y.A.L.; Saad, H.M.; Sim, K.S.; Tan, K.W. Synthesis, cytotoxicity and antimalarial activities of thiosemicarbazones and their nickel (II) complexes. J. Mol. Struct. 2020, 1211, 128090. [Google Scholar] [CrossRef]
- Savir, S.; Liew, J.W.K.; Vythilingam, I.; Lim, Y.A.L.; Tan, C.H.; Sim, K.S.; Lee, V.S.; Maah, M.J.; Tan, K.W. Nickel (II) complexes with polyhydroxybenzaldehyde and O, N, S tridentate thiosemicarbazone ligands: Synthesis, cytotoxicity, antimalarial activity, and molecular docking studies. J. Mol. Struct. 2021, 1242, 130815. [Google Scholar] [CrossRef]
- Graiff, C.; Canossa, S.; Predieri, G. Coordinative properties of the pyridine-2-carbaldehyde thiosemicarbazone ligand towards Ni (II). J. Struct. Chem. 2014, 55, 493–497. [Google Scholar] [CrossRef]
- Hosseini-Yazdi, S.A.; Hosseinpour, S.; Khandar, A.A.; Kassel, W.S.; Piro, N.A. Copper (II) and nickel (II) complexes with two new bis (thiosemicarbazone) ligands: Synthesis, characterization, X-ray crystal structures and their electrochemistry behavior. Inorganica. Chim. Acta 2015, 427, 124–130. [Google Scholar] [CrossRef]
- Yousef, T.; El-Reash, G.A.; El-Rakhawy, E. Structural, spectral, thermal and biological studies on (E)-2-(1-(4-hydroxyphenyl) ethylidene)-N-(pyridin-2-yl) hydrazinecarbothioamide and its metal complexes. Spectrochim. Acta Part A Mol. Biomol. Spectrosc. 2014, 133, 568–578. [Google Scholar] [CrossRef] [PubMed]
- Dinda, R.; Schmiesing, C.S.; Sinn, E.; Patil, Y.P.; Nethaji, M.; Stoeckli-Evans, H.; Acharyya, R. Mixed-ligand nickel (II) thiosemicarbazone complexes: Synthesis, characterization and biological evaluation. Polyhedron 2013, 50, 354–363. [Google Scholar]
- Selvamurugan, S.; Ramachandran, R.; Vijayan, P.; Manikandan, R.; Prakash, G.; Viswanathamurthi, P.; Velmurugan, K.; Nandhakumar, R.; Endo, A. Synthesis, crystal structure and biological evaluation of Ni (II) complexes containing 4-chromone-N(4)-substituted thiosemicarbazone ligands. Polyhedron 2016, 107, 57–67. [Google Scholar] [CrossRef]
- Ali, A.Q.; Teoh, S.G.; Eltayeb, N.E.; Ahamed, M.B.K.; Majid, A.A. Synthesis of nickel (II) complexes of isatin thiosemicarbazone derivatives: In vitro anti-cancer, DNA binding, and cleavage activities. J. Coord. Chem. 2014, 67, 3380–3400. [Google Scholar] [CrossRef]
- Eğlence-Bakır, S.; Celik, S.; Şahin, M.; Ozel, A.E.; Akyuz, S.; Ülküseven, B. Synthesis, molecular modelling, FT-IR, Raman and NMR characterization, molecular docking and ADMET study of new nickel (II) complex with an N4-tetradentate thiosemicarbazone. J. Biomol. Struct. Dyn. 2021, 39, 4212–4224. [Google Scholar] [CrossRef]
- Rai, B.; Sinha, P.; Singh, V.; Vidhyarthi, S.; Pandey, A. Structural and Spectroscopic Aspects of Schiff Base Metal Complexes of Cobalt (II), Nickel (II) and Copper (II). Orient. J. Chem. 2014, 30, 1429. [Google Scholar] [CrossRef]
- Damit, N.S.H.H.; Hamid, M.H.S.A.; Rahman, N.S.R.H.A.; Ilias, S.N.H.H.; Keasberry, N.A. Synthesis, structural characterisation and antibacterial activities of lead (II) and some transition metal complexes derived from quinoline-2-carboxaldehyde 4-methyl-3-thiosemicarbazone. Inorg. Chim. Acta 2021, 527, 120557. [Google Scholar] [CrossRef]
- Mahetar, J.G.; Mamtora, M.J.; Gondaliya, M.B.; Manawar, R.B.; Shah, M.K. Synthesis, characterization and antimicrobial activity of transition metal complexes of thiosemicarbazone bearing vanillin moiety. World J. Pharm. Res. 2014, 3, 4383–4392. [Google Scholar]
- Ahmed, M.F.A.; Mahammadyunus, V. Microwave synthesis and antimicrobial activity of some Copper (II), Cobalt (II), Nickel (II) and Chromium (III) complexes with Schiff base 2, 6-pyridinedicarboxaldehyde-Thiosemicarbazone. Orient. J. Chem. 2014, 30, 111–117. [Google Scholar] [CrossRef]
- Mohamed, E.E.; AbedelKarim, A.T.; Elmalik, Y.H.; Mohamed, A.E.; Aljahdali, M.S. Characterization and biological activity studies on some transition metal complexes of thiosemicarbazide derived from 2-picolinic acid hydrazide. Eur. J. Chem. 2014, 5, 252–259. [Google Scholar] [CrossRef][Green Version]
- Al-Amiery, A.A.; Kadhum, A.A.H.; Mohamad, A.B. Antifungal and antioxidant activities of pyrrolidone thiosemicarbazone complexes. Bioinorg. Chem. Appl. 2012, 2012, 795812. [Google Scholar] [CrossRef] [PubMed]
- Tang, H.A.; Wang, L.F.; Yang, R.D. Synthesis, characterization and antibacterial activities of manganese (II), cobalt (II), nickel (II), copper (II) and zinc (II) complexes with soluble vitamin K3 thiosemicarbazone. Transit. Met. Chem. 2003, 28, 395–398. [Google Scholar] [CrossRef]
- Huseynova, M.; Taslimi, P.; Medjidov, A.; Farzaliyev, V.; Aliyeva, M.; Gondolova, G.; Şahin, O.; Yalçın, B.; Sujayev, A.; Orman, E.B. Synthesis, characterization, crystal structure, electrochemical studies and biological evaluation of metal complexes with thiosemicarbazone of glyoxylic acid. Polyhedron 2018, 155, 25–33. [Google Scholar] [CrossRef]
- Kotian, A.; Kamat, V.; Naik, K.; Kokare, D.G.; Kumara, K.; Neratur, K.L.; Kumbar, V.; Bhat, K.; Revankar, V.K. 8-Hydroxyquinoline derived p-halo N4-phenyl substituted thiosemicarbazones: Crystal structures, spectral characterization and in vitro cytotoxic studies of their Co (III), Ni (II) and Cu (II) complexes. Bioorg. Chem. 2021, 112, 104962. [Google Scholar] [CrossRef]
- Baruah, J.; Gogoi, R.; Gogoi, N.; Borah, G. A thiosemicarbazone–palladium (II)–imidazole complex as an efficient pre-catalyst for Suzuki–Miyaura cross-coupling reactions at room temperature in aqueous media. Transit. Met. Chem. 2017, 42, 683–692. [Google Scholar] [CrossRef]
- Anu, D.; Naveen, P.; Devendhiran, T.; Shyamsivappan, S.; Kumarasamy, K.; Lin, M.C.; Frampton, C.S.; Kaveri, M. Synthesis, spectral characterization, X-ray crystallography and biological evaluations of Pd (II) complexes containing 4 (N)-substituted thiosemicarbazone. J. Coord. Chem. 2021, 74, 3153–3169. [Google Scholar] [CrossRef]
- Anu, D.; Naveen, P.; Rath, N.P.; Kaveri, M. Palladium (II) complexes containing substituted thiosemicarbazones. Synthesis, spectral characterization, X-ray crystallography, biomolecular interactions and in vitro cytotoxicity. J. Mol. Struct. 2020, 1206, 127703. [Google Scholar] [CrossRef]
- Khan, S.A.; Yusuf, M. Synthesis, spectral studies and in vitro antibacterial activity of steroidal thiosemicarbazone and their palladium (Pd (II)) complexes. Eur. J. Med. Chem. 2009, 44, 2270–2274. [Google Scholar] [CrossRef] [PubMed]
- Chung, P.; Huentupil, Y.; Rabanal, W.; Cisterna, J.; Brito, I.; Arancibia, R. Synthesis, characterization, X-ray structure, electrochemistry, photocatalytic activity and DFT studies of heterotrinuclear Ni (II), Pd (II) and Zn (II) complexes containing a formylferrocene thiosemicarbazone ligand. App. Organomet. Chem. 2020, 34, e5974. [Google Scholar] [CrossRef]
- Chellan, P.; Stringer, T.; Shokar, A.; Au, A.; Tam, C.; Cheng, L.W.; Smith, G.S.; Land, K.M. Antiprotozoal activity of palladium (II) salicylaldiminato thiosemicarbazone complexes on metronidazole resistant Trichomonas vaginalis. Inorg. Chem. Commun. 2019, 102, 1–4. [Google Scholar] [CrossRef]
- Bharti, N.; Sharma, S.; Naqvi, F.; Azam, A. New palladium (II) complexes of 5-nitrothiophene-2-carboxaldehyde thiosemicarbazones: Synthesis, spectral studies and in vitro anti-amoebic activity. Bioorg. Med. Chem. 2003, 11, 2923–2929. [Google Scholar] [CrossRef]
- Tweedy, B.G. Plant Extracts with Metal Ions as Potential Antimicrobial Agents. Phytopathology 1964, 55, 910. [Google Scholar]
- Lobana, T.S.; Kumari, P.; Butcher, R.J.; Akitsu, T.; Aritake, Y.; Perles, J.; Fernandez, F.J.; Vega, M.C. Thiosemicarbazonates of palladium (II): The presence of methyl/phenyl substituents (R2) at C2 carbon atom induces C–H activation of R1 rings of thiosemicarbazones {R1R2C2N3–N2H–C1(S)–N1HR3}. J. Organomet. Chem. 2012, 701, 17–26. [Google Scholar] [CrossRef]
- Ramachandran, E.; Raja, D.S.; Bhuvanesh, N.S.; Natarajan, K. Mixed ligand palladium (II) complexes of 6-methoxy-2-oxo-1,2-dihydroquinoline-3-carbaldehyde-4-N-substituted thiosemicarbazones with triphenylphosphine co-ligand: Synthesis, crystal structure and biological properties. Dalton Trans. 2012, 41, 13308–13323. [Google Scholar] [CrossRef] [PubMed]
- Dehno Khalaji, A.A.; Shahsavani, E.; Dusek, M.; Kucerakova, M.; Eigner, V. Synthesis, Characterization, and Crystal Structures of a Thiosemicarbazone Ligand and Its Silver (I) Complex. Iran. J. Chem. Chem. Eng. 2020, 39, 23–28. [Google Scholar]
- Sharma, P.; Nath, H.; Frontera, A.; Barcelo-Oliver, M.; Verma, A.K.; Hussain, S.; Bhattacharyya, M.K. Biologically relevant unusual cooperative assemblies and fascinating infinite crown-like supramolecular nitrate–water hosts involving guest complex cations in bipyridine and phenanthroline-based Cu (ii) coordination compounds: Antiproliferative evaluation and theoretical studies. New J. Chem. 2021, 45, 8269–8282. [Google Scholar]
- Bharathi, S.; Mahendiran, D.; Kumar, R.S.; Choi, H.J.; Gajendiran, M.; Kim, K.; Rahiman, A.K. Silver (I) metallodrugs of thiosemicarbazones and naproxen: Biocompatibility, in vitro anti-proliferative activity and in silico interaction studies with EGFR, VEGFR2 and LOX receptors. Toxicol. Res. 2020, 9, 28–44. [Google Scholar] [CrossRef]
- Khir, N.A.F.M.; Razak, M.R.M.A.; Nordin, F.J.; Sofyan, N.R.F.M.; Rajab, N.F.; Sarip, R. Synthesis, Antiproliferative and Antimalarial Activities of Dinuclear Silver (I) Complexes with Triphenylphosphine and Thiosemicarbazones Ligands. Indones. J. Chem. 2021, 21, 575–587. [Google Scholar] [CrossRef]
- Abdul Halim, S.N.A.; Nordin, F.J.; Mohd Abd Razak, M.R.; Mohd Sofyan, N.R.F.; Abdul Halim, S.N.; Rajab, N.F.; Sarip, R. Synthesis, characterization, and evaluation of silver (I) complexes with mixed-ligands of thiosemicarbazones and diphenyl (p-tolyl) phosphine as biological agents. J. Coord. Chem. 2019, 72, 879–893. [Google Scholar] [CrossRef]
- Khalaji, A.D.; Shahsavani, E.; Feizi, N.; Kucerakova, M.; Dusek, M.; Mazandarani, R. Silver (I) thiosemicarbazone complex [Ag (catsc)(PPh3)2]NO3: Synthesis, characterization, crystal structure, and antibacterial study. C. R. Chim. 2017, 20, 534–539. [Google Scholar] [CrossRef]
- Wattanakanjana, Y.; Janwatthana, K.; Romyen, T.; Nimthong-Roldan, A. Crystal structures of copper (I) and silver (I) chloride complexes containing 4-phenylthiosemicarbazide and triphenylphosphine ligands. Asian J. Exp. Sci. 2021, 47, 28. [Google Scholar] [CrossRef]
- Oliveira, A.; Ferreira, J.F.; Farias, L.M.; Magalhães, P.P.; Teixeira, L.R.; Beraldo, H. Antimicrobial effects of silver (I) and bismuth (III) complexes with secnidazole-derived Schiff base ligands: The role of the nitro group reduction. J. Braz. Chem. Soc. 2019, 30, 2299–2307. [Google Scholar] [CrossRef]
- Schulte, G.; Luo, X.L.; Crabtree, R.H.; Zimmer, M. Functional Modeling of Ni, Fe Hydrogenases: A Nickel Complex in an N, O, S Environment. Angew. Chem. Int. Ed. 1991, 30, 193–194. [Google Scholar] [CrossRef]
- Kovala-Demertzi, D.; Yadav, P.N.; Demertzis, M.A.; Jasiski, J.P.; Andreadaki, F.J.; Kostas, I.D. First use of a palladium complex with a thiosemicarbazone ligand as catalyst precursor for the Heck reaction. Tetrahedron Lett. 2004, 45, 2923–2926. [Google Scholar] [CrossRef]
- Islam, M.; Hossain, D.; Mondal, P.; Tuhina, K.; Roy, A.S.; Mondal, S.; Mobarak, M. Synthesis, characterization, and catalytic activity of a polymer-supported copper (II) complex with a thiosemicarbazone ligand. Transit. Met. Chem. 2011, 36, 223–230. [Google Scholar] [CrossRef]
- Manikandan, R.; Anitha, P.; Prakash, G.; Vijayan, P.; Viswanathamurthi, P. Synthesis, spectral characterization and crystal structure of Ni (II) pyridoxal thiosemicarbazone complexes and their recyclable catalytic application in the nitroaldol (Henry) reaction in ionic liquid media. Polyhedron 2014, 81, 619–627. [Google Scholar] [CrossRef]
- Pelagatti, P.; Venturini, A.; Leporati, A.; Carcelli, M.; Costa, M.; Bacchi, A.; Pelizzi, G.; Pelizzi, C. Chemoselective homogeneous hydrogenation of phenylacetylene using thiosemicarbazone and thiobenzoylhydrazone palladium (II) complexes as catalysts. J. Chem. Soc. Dalton Trans. 1998, 2715–2722. [Google Scholar] [CrossRef]
- Kostas, I.D.; Steele, B.R. Thiosemicarbazone complexes of transition metals as catalysts for cross-coupling reactions. J. Catal. 2020, 10, 1107. [Google Scholar] [CrossRef]
- Ndagi, U.; Mhlongo, N.; Soliman, M.E. Metal complexes in cancer therapy–an update from drug design perspective. Drug Des. Dev. Ther. 2017, 11, 599. [Google Scholar] [CrossRef] [PubMed]
- Collins, M.S.; Carnes, M.E.; Nell, B.P.; Zakharov, L.N.; Johnson, D.W. A facile route to old and new cyclophanes via self-assembly and capture. Nat. Commun. 2016, 7, 1–7. [Google Scholar] [CrossRef]
- Reis, D.C.; Despaigne, A.A.R.; Silva, J.G.D.; Silva, N.F.; Vilela, C.F.; Mendes, I.C.; Takahashi, J.A.; Beraldo, H. Structural studies and investigation on the activity of imidazole-derived thiosemicarbazones and hydrazones against crop-related fungi. Molecules 2013, 18, 12645–12662. [Google Scholar] [CrossRef]
- Beraldo, H.; Gambino, D. The wide pharmacological versatility of semicarbazones, thiosemicarba-zones and their metal complexes. Mini Rev. Med. Chem. 2004, 4, 31–39. [Google Scholar]
- Chohan, Z.H.; Praveen, M.; Ghaffar, A. Structural and biological behaviour of Co (II), Cu (II) and Ni (II) metal complexes of some amino acid derived Schiff-bases. Met. Based Drugs 1997, 4, 267–272. [Google Scholar] [CrossRef]
- Khan, M.; Ali, M.; Juyal, D. Ciprofloxacin metal complexes and their biological activities: A review. Pharma Innov. 2017, 6, 73. [Google Scholar]
- Khan, T.; Raza, S.; Lawrence, A.J. Medicinal Utility of Thiosemicarbazones with Special Reference to Mixed Ligand and Mixed Metal Complexes: A Review. Russ. J. Coord. Chem. 2022, 48, 877–895. [Google Scholar] [CrossRef]
- Metzler-Nolte, N.; Kraatz, H. Concepts and Models in Bioinorganic Chemistry; Wiley-VCH: Weinheim, Germany, 2006. [Google Scholar]
- Liberta, A.E.; West, D.X. Antifungal and antitumor activity of heterocyclic thiosemicarbazones and their metal complexes: Current status. Biometals 1992, 5, 121–126. [Google Scholar] [CrossRef]
- Mathews, N.A.; Kurup, M.P. In vitro biomolecular interaction studies and cytotoxic activities of copper (II) and zinc (II) complexes bearing ONS donor thiosemicarbazones. Appl. Organomet. Chem. 2021, 35, e6056. [Google Scholar] [CrossRef]
- Singh, N.; Shrestha, S.; Shahi, N.; Choudhary, R.; Kumbhar, A.; Pokharel, Y.; Yadav, P. Anticancer potential of N (4) substituted 5-nitroisatin thiosemicarbazones and their copper (II) complexes. Rasayan J. Chem. 2021, 14, 1600–1610. [Google Scholar] [CrossRef]
- Akladios, F.N.; Andrew, S.D.; Parkinson, C.J. Cytotoxic activity of expanded coordination bis-thiosemicarbazones and copper complexes thereof. JBIC J. Biol. Inorg. Chem. 2016, 21, 931–944. [Google Scholar] [CrossRef]
- Khan, S.A.; Asiri, A.M. Multi-step synthesis, spectroscopic studies of biological active steroidal thiosemicarbazones and their palladium (II) complex as macromolecules. Int. J. Biol. Macromol. 2018, 107, 105–111. [Google Scholar] [CrossRef] [PubMed]
Disclaimer/Publisher’s Note: The statements, opinions and data contained in all publications are solely those of the individual author(s) and contributor(s) and not of MDPI and/or the editor(s). MDPI and/or the editor(s) disclaim responsibility for any injury to people or property resulting from any ideas, methods, instructions or products referred to in the content. |
© 2023 by the authors. Licensee MDPI, Basel, Switzerland. This article is an open access article distributed under the terms and conditions of the Creative Commons Attribution (CC BY) license (https://creativecommons.org/licenses/by/4.0/).







































































