Next Article in Journal
Residues and Dietary Risk Assessment of Prohexadione-Ca and Uniconazole in Oryza sativa L. and Citrus reticulata Blanco by Liquid Chromatography-Tandem Mass Spectrometry
Next Article in Special Issue
Regio- and Stereoselective Switchable Synthesis of (E)- and (Z)-N-Carbonylvinylated Pyrazoles
Previous Article in Journal
Design, Synthesis, In Silico and POM Studies for the Identification of the Pharmacophore Sites of Benzylidene Derivatives
Previous Article in Special Issue
2-Phenylpyridine Derivatives: Synthesis and Insecticidal Activity against Mythimna separata, Aphis craccivora, and Tetranychus cinnabarinus
 
 
Font Type:
Arial Georgia Verdana
Font Size:
Aa Aa Aa
Line Spacing:
Column Width:
Background:
Article

Synthesis and Structure–Activity Analysis of Novel Potential Antifungal Cyclotryptamine Alkaloid Derivatives

School of Environmental and Chemical Engineering, Jiangsu University of Science and Technology, Zhenjiang 212003, China
*
Author to whom correspondence should be addressed.
These authors contributed equally to this work.
Molecules 2023, 28(6), 2617; https://doi.org/10.3390/molecules28062617
Submission received: 6 February 2023 / Revised: 28 February 2023 / Accepted: 7 March 2023 / Published: 13 March 2023

Abstract

A total of 39 novel cyclotryptamine alkaloid derivatives were prepared from 2-(1H-indol-3-yl) acetonitrile. The prepared compounds were evaluated against six plant pathogen fungi. Bioassay results revealed that most of the compounds displayed higher in vitro antifungal activities than the positive control. Notably, compound b2 displayed the broadest and most effective activity among the tested cyclotryptamine alkaloid derivatives and might be a novel potential leading compound for further development as an antifungal agent.

1. Introduction

The abuse of chemical pesticides has had a serious impact on the environment and caused great harm to the survival of human beings and other organisms. Therefore, it is urgent to develop an efficient, low toxicity and environment-friendly pesticide [1,2].
Cyclotryptamine alkaloids (Figure 1), which can be isolated from plants, microorganisms and marine organisms, are a class of natural products with specific structural units of hexahydropyrrolo[2,3-b]indole [3]. The family is large and has a rich and important biological activity. One example is (-)-physistigmine, an alkaloid derived from the seeds of lentils grown in Africa, which now can be artificially synthesized and has an inhibitory effect on cholinesterase. It can shrink pupils and reduce intraocular pressure clinically. (-)-Folicanthine has very good biological activity. (-)-Win-64745 is a good neurokinin antagonist. (-)-Asperdimin has antiviral activity [4,5,6,7,8]. Cyclotryptamine alkaloids have unique structures and various medicinal values, which have attracted great interest among many synthetic chemists [8,9,10,11,12,13,14].
Research on the synthesis and activity of cyclotryptamine alkaloids mainly focuses more on the research and development of medicine, but less on the antifungal activity of agriculture. Pesticide research and pharmaceutical research have been learning from each other, and they have many similarities. Pesticide scientists have studied the agricultural antifungal activity of cyclotryptamine alkaloid compounds in recent years. The research shows that monomer cyclotryptamine alkaloids also have a strong inhibitory effect on many agricultural pathogenic fungi; (+)-D calycanthine has significant antibacterial activity against Watermelon Fusarium Wilt and other pathogens. Compound c2 showed strong activity against acetylcholinesterase; the IC50 value was 0.01 ng mL−1 [15]. In addition, our group has reported the synthesis and biological profiling of a wide variety of half-cyclotryptamine alkaloid derivatives. It showed that changing substituents on heterocycles can affect biological activity [16,17,18].
Therefore, we put emphasis on the structural optimization of cyclotryptamine alkaloids. The aim is that compounds with better activity could be obtained. Herein, 39 cyclotryptamine alkaloid analogs were synthesized in good yield.

2. Results and Discussion

2.1. Synthesis of Cyclotryptamine Alkaloids

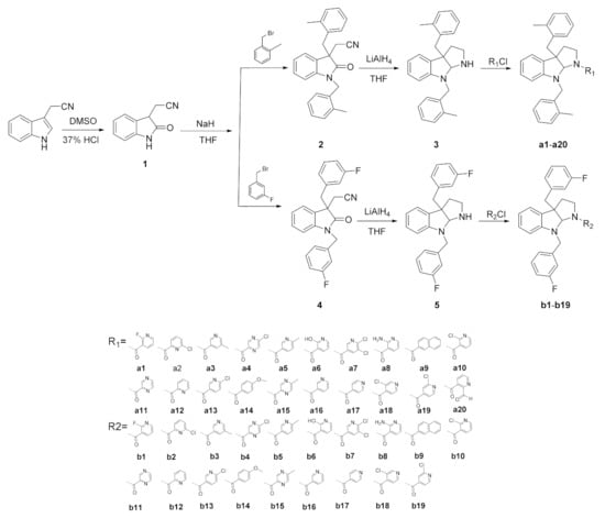
Cyclotryptamine alkaloids were synthesized as depicted in Scheme 1. The target compounds were prepared starting from the inexpensive and readily obtainable 2-(1H-indol-3-yl) acetonitrile according to the route development in our group [19]. A total of 39 derivatives of cyclotryptamine alkaloids were prepared and characterized by 1H-NMR, 13C-NMR and ESI-MS. (1H and 13C NMR Spectra could be found in the Supplementary Materials).

2.2. Antifungal Acitivity

Antifungal activity tests of the target compounds are shown in Table 1. We use carbendazim and amphotericin B as positive controls, and MIC values were determined to evaluate the biological activities of cyclotryptamine alkaloids against Sclerotinia sclerotiorum, Altenaria solani, Verticillium dahliae, Fusarium oxysporum, Walnut pythium and Curvularia lunata.
It is observed that most of the compounds generally exhibited more effective antifungal activity than the positive controls. Compounds b2, b4, b6, b10, b13 and b15 showed significant antifungal activity against Sclerotinia sclerotiorum, of which b2 and b6 were the most effective compared with carbendazim and amphotericin B, with the same MIC values of 1.90 µg/mL. Compounds b2, b4, b6, b10, b15 and b17 revealed improved activity against Altenaria solani compared with the positive controls carbendazim and amphotericin B, with the same MIC value of 1.90 µg mL−1. Compounds b2, b10 and b17 manifested much more activity against Verticillium dahliae than carbendazim; b10 and b17 were the most effective, with a MIC value of 1.9 µg mL−1. The activity of compounds b4, b5 and b15 was more potent than carbendazim and amphotericin B against Fusarium oxysporum, all with the same MIC value of 3.90 µg mL−1. The activity of compound b13 is more potent than carbendazim and amphotericin B against Walnut pythium, with a MIC value of 7.80 µg mL−1. Compounds a2, a9, a11, a12, b3, b4, b8, b9, b11, b13, b16 and b18 manifested much more activity against Curvularia lunata than carbendazim and amphotericin B, with MIC values between 7.8 and 31.3 µg mL−1. Compound b4 in particular exhibited significant antifungal activity against Curvularia lunata, with a MIC value of 7.80 µg mL−1.
Although it is difficult to extract clear structure–activity relationships from the biological data, some conclusions can still be drawn. Firstly, when the position of two, five or six in the substituent is a Cl atom, such as in compounds a13, b2, b4, b10 and b13, excellent antifungal effects are displayed. Secondly, when the position in the substituent is methyl group, such as in compounds a3, a5, a15, b3, b5 and b15, an improved antifungal effect was shown. Thirdly, from compounds a11, a12, b11 and b12, it can be seen that when the compound contains pyrazine, the increase of the number of N atoms in the compound has a promoting effect on the antibacterial activity. Finally, as far as the parent structure is concerned, when the compound contains 3-F benzyl bromide, it is less active than compounds containing methyl bromide.

3. Materials and Methods

3.1. Instruments and Chemicals

All solvents and substances used were commercially purchased and not further purified. The reactions were monitored by thin-layer chromatography (TLC) with silica gel plates using silica gel 60 GF254 (Qingdao Haiyang Chemical Co., Ltd., Qingdao, China). 1H−NMR (400 MHz) and 13C−NMR (100 MHz) were measured by an AM−500 FT−NMR spectrometer (Bruker Corporation, Fällanden, Switzerland) with CDCl3, acetone-d6 or DMSO-d6 as the solvent and TMS as the internal standard. MS was recorded under ESI conditions using LCQ Fleet instruments (Thermo Fisher, Waltham, MA, USA). The yields of the reactions were measured before optimization.

3.2. Synthesis

The general synthesis method of compounds a1a20 and b1b19 is shown in Scheme 1.

3.2.1. General Procedures for the Synthesis of Target Compound 1

Concentrated hydrochloric acid (37%, 100 mL) was added slowly to a stirred solution of 3-Indoleacetonitrile (3.12 g, 20 mmol) in dimethyl sulfoxide (25 mL) at 0 °C. The resulting mixture was allowed to warm to room temperature for 1 h. The solvents were removed to obtain crude compound 1 (3.20 g) with a yield of 93%.

3.2.2. General Procedures for the Synthesis of Target Compound 2

Under a N2 atmosphere, NaH (1.8 g, 75 mmol) was added portionwise to a stirred solution of compound 1 (2.58 g, 15 mmol) in dry THF through an injector. 2-methylbenzyl bromide (6.45 g, 37.5 mmol) was added dropwise into the flask in an ice bath. The resulting solution was stirred for 11 h at room temperature. Then, it was quenched with ammonium chloride (3 mL) and stirred for 10 min. The reaction mixture was continuously extracted with acetic ether (3 × 50 mL), and the combined organic layer was washed with saturated salt water. The organic extracts were combined, washed with brine, dried over Na2SO4 and concentrated. The residue was purified by flash column chromatography (VPE: VEA = 6:1) to obtain compound 2 (4.28 g, 75%).

3.2.3. General Procedures for the Synthesis of Target Compound 3

LiAlH4 (60 mmol, 7.5 eq) was added to compound 2 (3.52 g, 10 mmol) in anhydrous THF (25 mL) at −78 °C by a low temperature reactor under a nitrogen and anhydrous atmosphere. After stirring at room temperature for 1 h, the reaction mixture was heated to 75 °C for 4 h. When TLC monitoring indicated that the starting material, compound 2, had disappeared, the mixture was cooled to room temperature and quenched by acetic ether and water dropwise in an ice bath. The resulting solution was filtered to remove the deposition, and the filtrate was extracted with acetic ether (3 × 50 mL). The combined organic layer was washed with saturate salt water and dried over Na2SO4. The residue was purified by flash column chromatography (VPE:VEA:VEt3N = 100:50:2) to obtain compound 3 (2.50 g, 68%).

3.2.4. General Procedures for the Synthesis of Target Compound 4

Under a N2 atmosphere, NaH (1.8 g, 75 mmol) was added portionwise to a stirred solution of compound 1 (2.58 g, 15 mmol) in dry THF through an injector. 3-fluorobenzyl bromide (7.05 g, 37.5 mmol) was added dropwise into the flask in an ice bath. The resulting solution was stirred for 11 h at room temperature. Then, it was quenched with ammonium chloride (3 mL) and stirred for 10 min. The reaction mixture was continuously extracted with acetic ether (3 × 50 mL), and the combined organic layer was washed with saturated salt water. The organic extracts were combined, washed with brine, dried over Na2SO4 and concentrated. The residue was purified by flash column chromatography (silica gel, 12.5% petroleum ether/acetic ether) to obtain compound 4 (4.13 g, 71%).

3.2.5. General Procedures for the Synthesis of Target Compound 5

LiAlH4 (60 mmol, 7.5 eq) was added to compound 4 (3.88 g, 10 mmol) in anhydrous THF (25 mL) at −78 °C by a low temperature reactor under a nitrogen and anhydrous atmosphere. After stirring at room temperature for 1 h, the reaction mixture was heated to 75 °C for 4 h. When TLC monitoring indicated that the starting material, compound 4, had disappeared, the mixture was cooled to room temperature and quenched by acetic ether and water dropwise in an ice bath. The resulting solution was filtered to remove the deposition, and the filtrate was extracted with acetic ether (3 × 50 mL). The combined organic layer was washed with saturate salt water and dried over Na2SO4. The residue was purified by flash column chromatography (VPE:VEA:VEt3N = 100:50:2) to obtain compound 5 (2.74 g, 73%).

3.2.6. General Procedure for the Synthesis of a1a20 and b1b19

The corresponding desired reagent (2.5 eq) was dissolved in dry CH2Cl2 (10 mL). Then, sulfoxide chloride (4 eq) was added to the solution, and the solution was refluxed at 55 °C for 2 h. After the solvent had been evaporated under reduced pressure, the reagent of sulfonyl chlorination was afforded.
To a stirred solution of compound 3 or 5 in anhydrous CH2Cl2 (10 mL) was added Et3N (1.5 eq) and the corresponding desired reagent of sulfonyl chlorination successively in an ice bath. The reaction mixture was transferred to room temperature and stirred for 2 h (monitored by TLC). The resulting solution was quenched by NaHCO3 (3 mL) and then extracted with dichloromethane (3 × 30 mL), washed with saturate salt water and dried over anhydrous Na2SO4. After the removal of the solvent, the residue was purified by flash chromatography using a mixture of acetic ether and petroleum ether as an eluent to afford the target products a1a20 and b1b19.
(3a,8-bis(2-methylbenzyl)-3,3a,8,8a-tetrahydropyrrolo[2,3-b]indol-1(2H)-yl)(2-fluoropyridin-3-yl) methanone(a1): Yield: 89%. White solid. Melting point: 128–130 °C. Rf = 0.24 (PE/EA 4:1). 1H-NMR (400 MHz, Acetone-d6) δ 8.30–8.27 (m, 1H), 7.85 (ddd, J = 9.3, 7.4, 2.0 Hz, 1H), 7.38 (ddd, J = 7.2, 4.9, 2.1 Hz, 1H), 7.16–7.12 (m, 3H), 7.11 (d, J = 2.0 Hz, 1H), 7.08 (dd, J = 4.2, 2.7 Hz, 2H), 7.07–7.02 (m, 2H), 7.00 (d, J = 7.8, 1.2 Hz, 2H), 6.76–6.72 (m, 1H), 6.59 (t, J = 7.4 Hz, 1H), 6.22 (d, J = 7.9 Hz, 1H), 5.95 (s, 1H), 4.77 (d, J = 17.0 Hz, 1H), 4.60 (d, J = 16.9 Hz, 1H), 3.47 (d, J = 10.8, 6.4 Hz, 1H), 3.31–3.23 (m, 2H), 3.11 (d, J = 13.7 Hz, 1H), 2.37–2.26 (m, 4H), 2.01 (s, 3H). 13C-NMR (100 MHz Acetone-d6) δ 164.04 (d, J = 4.7 Hz), 158.82 (d, J = 237.0 Hz), 150.71, 149.03 (d, J = 14.9 Hz), 140.53, 140.51, 137.28, 137.00, 136.08, 135.32, 131.40, 130.40 (d, J = 3.7 Hz), 130.02, 128.55, 126.69, 126.38, 125.76, 125.61, 123.47, 122.04 (d, J = 4.1 Hz), 119.61 (d, J = 33.3 Hz), 117.35, 106.01, 83.23, 57.32, 48.21, 47.28, 39.87, 37.24, 19.33, 18.56. MS (ESI(+)) calcd for C32H30FN3O+ [M + H]+: 492.2; found: 492.2.
(3a,8-bis(2-methylbenzyl)-3,3a,8,8a-tetrahydropyrrolo[2,3-b]indol-1(2H)-yl)(6-chloropyridin-2-yl) methanone(a2): Yield: 84%. White solid. Melting point: 140–142 °C. Rf = 0.23 (PE/EA 1:1). 1H NMR (400 MHz, Acetone-d6) δ 8.65 (s, 2H), 7.08 (ddd, J = 21.8, 14.8, 5.8 Hz, 10H), 6.60 (t, J = 7.4 Hz, 1H), 6.24 (d, J = 7.8 Hz, 1H), 5.98 (s, 1H), 4.80 (d, J = 16.8 Hz, 1H), 4.59 (d, J = 16.8 Hz, 1H), 3.91 (dd, J = 11.5, 6.9 Hz, 1H), 3.37–3.21 (m, 2H), 3.05 (d, J = 13.7 Hz, 1H), 2.31 (s, 3H), 2.22 (s, 1H), 2.09 (s, 2H), 2.01 (s, 3H). 13C NMR (100 MHz, Acetone-d6) δ 165.99, 154.50, 150.53, 149.23, 140.27, 137.28, 137.00, 136.06, 135.31, 131.60, 130.51, 130.31, 129.96, 129.52, 128.43, 126.62, 126.32, 125.72, 125.67, 125.55, 123.33, 122.81, 117.26, 106.12, 83.52, 56.70, 49.21, 47.14, 39.64, 36.85, 19.23, 18.57. MS (ESI(+)) calcd for C32H30CN3O+ [M + H]+: 508.2; found: 508.3.
(3a,8-bis(2-methylbenzyl)-3,3a,8,8a-tetrahydropyrrolo[2,3-b]indol-1(2H)-yl)(5-methylpyridin-3-yl) methanone(a3): Yield: 91%. White solid. Melting point: 162–164 °C. Rf = 0.23 (PE/EA 4:1). 1H NMR (400 MHz, Acetone-d6) δ 8.43 (d, J = 16.2 Hz, 2H), 7.58 (s, 1H), 7.26–6.93 (m, 10H), 6.72 (d, J = 7.2 Hz, 1H), 6.58 (t, J = 7.3 Hz, 1H), 6.22 (d, J = 7.8 Hz, 1H), 6.03 (s, 1H), 4.76 (d, J = 16.9 Hz, 1H), 4.59 (d, J = 17.0 Hz, 1H), 3.64–2.83 (m, 6H), 2.31 (d, J = 13.8 Hz, 8H). 13C NMR (100 MHz, Acetone-d6) δ 168.02, 151.38, 150.68, 145.63, 137.29, 137.09, 136.11, 135.28, 135.16, 132.73, 131.71, 131.45, 130.41, 130.32, 129.98, 128.47, 126.63, 126.30, 125.69, 125.56, 123.41, 117.12, 105.87, 83.13, 70.34, 56.91, 49.52, 46.96, 39.78, 37.22, 19.26, 18.51, 17.24. MS (ESI(+)) calcd for C33H33N2O+ [M + H]+: 488.2; found: 488.2.
(3a,8-bis(2-methylbenzyl)-3,3a,8,8a-tetrahydropyrrolo[2,3-b]indol-1(2H)-yl)(5-chloropyrazin-2-yl) methanone(a4): Yield: 84%. Light yellow solid. Melting point: 134–136 °C. Rf = 0.23 (PE/EA 8:1). 1H NMR (400 MHz, Acetone-d6) δ 8.65 (s, 1H), 8.20 (d, J = 35.3 Hz, 1H), 7.16–6.89 (m, 12H), 6.76 (d, J = 7.3 Hz, 1H), 6.60 (t, J = 7.4 Hz, 1H), 6.24 (d, J = 7.8 Hz, 1H), 5.98 (s, 1H), 4.80 (d, J = 16.8 Hz, 1H), 4.59 (d, J = 16.8 Hz, 1H), 3.91 (dd, J = 11.5, 6.9 Hz, 1H), 3.47–3.21 (m, 3H), 3.05 (d, J = 13.7 Hz, 1H), 2.31 (s, 3H), 1.88 (s, 1H). 13C NMR (100 MHz, Acetone-d6) δ 164.85, 147.71, 144.99, 142.38, 137.27, 136.95, 135.99, 135.33, 130.51, 130.33, 129.99, 128.46, 126.65, 126.55, 126.36, 125.69, 125.56, 123.32, 117.36, 106.15, 83.53, 56.73, 49.06, 47.22, 39.60, 36.78, 31.42, 22.40, 19.21, 18.54, 13.47. MS (ESI(+)) calcd for C31H29ClN4O+ [M + H]+: 509.2; found: 509.2.
(3a,8-bis(2-methylbenzyl)-3,3a,8,8a-tetrahydropyrrolo[2,3-b]indol-1(2H)-yl)(6-methylpyridin-3-yl) methanone(a5): Yield: 89%. White solid. Melting point: 187–189 °C. Rf = 0.32 (PE/EA 8:1). 1H NMR (400 MHz, DMSO-d6) δ 8.45 (s, 1H), 7.71 (dd, J = 8.0, 2.1 Hz, 1H), 7.26 (d, J = 8.0 Hz, 1H), 7.13–6.96 (m, 9H), 6.71 (d, J = 7.1 Hz, 1H), 6.56 (d, J = 7.3 Hz, 1H), 6.17 (d, J = 7.8 Hz, 1H), 5.90 (s, 1H), 4.57 (d, J = 8.6 Hz, 2H), 3.54–3.44 (m, 1H), 3.13 (d, J = 13.6 Hz, 1H), 3.02 (d, J = 13.6 Hz, 1H), 2.47 (s, 3H), 2.24–2.19 (m, 4H), 2.09 (d, J = 1.1 Hz, 2H), 1.93 (s, 3H). 13C NMR (100 MHz, DMSO-d6) δ 168.12, 160.39, 150.58, 148.17, 137.45, 137.16, 136.36, 136.06, 135.50, 131.68, 130.70, 130.42, 129.22, 128.91, 127.08, 126.73, 126.29, 126.13, 126.02, 123.83, 122.99, 117.43, 106.10, 83.09, 56.96, 49.82, 47.20, 37.54, 31.26, 24.53, 20.07, 19.37. MS (ESI(+)) calcd for C33H33N3O+ [M + H]+: 488.3; found: 488.3.
(3a,8-bis(2-methylbenzyl)-3,3a,8,8a-tetrahydropyrrolo[2,3-b]indol-1(2H)-yl)(2-hydroxypyridin-3-yl) methanone(a6): Yield: 90%. White solid. Melting point: 248–250 °C. Rf = 0.25 (PE/EA 4:1). 1H NMR (400 MHz, DMSO-d6) δ 12.41 (s, 1H), 9.79 (t, J = 5.8 Hz, 1H), 8.26 (dd, J = 7.2, 2.1 Hz, 1H), 7.75–7.55 (m, 2H), 7.24–7.17 (m, 1H), 7.09 (d, J = 7.5 Hz, 2H), 7.04–6.98 (m, 4H), 6.92 (t, J = 7.2 Hz, 1H), 6.85 (t, J = 7.4 Hz, 1H), 6.58 (d, J = 7.5 Hz, 1H), 6.43–6.37 (m, 1H), 5.95 (d, J = 7.6 Hz, 1H), 5.01 (s, 2H), 3.87 (s, 2H), 3.50 (dd, J = 13.1, 6.8 Hz, 2H), 2.93 (t, J = 7.1 Hz, 2H), 2.13 (s, 3H), 2.09 (s, 3H). 13C NMR (100 MHz, DMSO-d6) δ 163.80, 162.68, 144.22, 139.71, 137.45, 137.09, 136.76, 136.07, 135.63, 134.93, 130.29, 127.95, 127.51, 127.12, 126.66, 126.62, 126.55, 124.82, 121.47, 120.96, 119.40, 118.82, 110.98, 110.15, 106.65, 44.49, 27.59, 24.90, 19.61, 19.06. MS (ESI(+)) calcd for C32H31N3O2+ [M + H]+: 490.3; found: 490.3.
(3a,8-bis(2-methylbenzyl)-3,3a,8,8a-tetrahydropyrrolo[2,3-b]indol-1(2H)-yl)(5,6-dichloropyridin-3-yl) methanone(a7): Yield: 83%. White solid. Melting point: 162–164 °C. Rf = 0.34 (PE/EA 8:1). 1H NMR (400 MHz, Acetone-d6) δ 8.33 (d, J = 1.8 Hz, 1H), 7.95 (d, J = 1.8 Hz, 1H), 7.04 (d, J = 16.6, Hz, 9H), 6.71 (d, J = 7.2 Hz, 1H), 6.56 (t, J = 7.4 Hz, 1H), 6.21 (d, J = 7.8 Hz, 1H), 5.97 (s, 1H), 4.70 (d, J = 17.0 Hz, 1H), 4.57 (d, J = 17.0 Hz, 1H), 3.73–3.58 (m, 1H), 3.42 (td, J = 10.5, 6.8 Hz, 1H), 3.23 (d, J = 13.7 Hz, 1H), 3.05 (d, J = 13.7 Hz, 1H), 2.33–2.23 (m, 5H), 1.98 (s, 3H). 13C NMR (100 MHz, Acetone-d6) δ 165.35, 150.65, 149.38, 146.35, 138.09, 137.31, 137.11, 136.05, 135.36, 132.92, 131.39, 130.44, 130.05, 129.65, 128.56, 126.70, 126.39, 125.71, 123.46, 117.28, 105.97, 83.44, 57.05, 49.42, 47.06, 39.89, 37.32, 31.50, 22.50, 19.32, 18.56, 13.57. MS (ESI(+)) calcd for C32H29Cl2N3O+ [M + H]+: 543.2; found: 543.2.
(2-aminopyridin-3-yl)(3a,8-bis(2-methylbenzyl)-3,3a,8,8a-tetrahydropyrrolo[2,3-b]indol-1(2H)-yl) methanone(a8): Yield: 89%. White solid. Melting point: 157–159 °C. Rf = 0.24 (PE/EA 3:1). 1H NMR (400 MHz, DMSO-d6) δ 7.97 (d, J = 4.0 Hz, 1H), 7.30 (s, 1H), 7.15–6.91 (m, 9H), 6.64 (d, J = 7.1 Hz, 1H), 6.52 (t, J = 7.4 Hz, 1H), 6.11 (s, 3H), 4.52 (s, 1H), 3.14 (d, J = 13.6 Hz, 1H), 3.05 (d, J = 13.6 Hz, 1H), 2.17 (dd, J = 16.9, 11.7 Hz, 5H), 2.07 (s, 5H), 1.90 (s, 3H). 13C NMR (100 MHz, DMSO-d6) δ 157.02, 150.26, 149.87, 137.01, 136.74, 136.02, 135.03, 131.17, 130.22, 130.16, 129.98, 128.42, 126.59, 126.28, 125.69, 125.54, 123.43, 116.95, 112.94, 112.67, 111.46, 105.57, 104.71, 89.84, 82.62, 46.69, 37.36, 30.80, 19.62, 18.88, 14.09. MS (ESI(+)) calcd for C32H32N4O+ [M + H]+: 489.2; found: 489.2.
(3a,8-bis(2-methylbenzyl)-3,3a,8,8a-tetrahydropyrrolo[2,3-b]indol-1(2H)-yl)(naphthalen-2-yl) methanone(a9): Yield: 91%. White solid. Melting point: 177–179 °C. Rf = 0.21 (PE/EA 10:1). 1H NMR (400 MHz, Acetone-d6) δ 7.91 (d, J = 8.2 Hz, 2H), 7.59–7.37 (m, 4H), 7.29–7.09 (m, 9H), 7.03 (t, J = 7.7 Hz, 1H), 6.82 (d, J = 7.3 Hz, 1H), 6.59 (t, J = 7.4 Hz, 1H), 6.30–6.15 (m, 2H), 4.89 (d, J = 17.0 Hz, 1H), 4.78 (d, J = 17.0 Hz, 1H), 3.32 (d, J = 13.7 Hz, 1H), 3.21–2.98 (m, 3H), 2.36 (s, 3H), 2.27–2.07 (m, 5H). 13C NMR (100 MHz, Acetone-d6) δ 169.23, 150.83, 137.32, 136.16, 135.38, 135.25, 133.46, 131.92, 130.47, 130.42, 130.05, 129.34, 128.97, 128.47, 128.31, 126.89, 126.68, 126.37, 126.27, 126.24, 125.77, 125.65, 125.11, 124.79, 123.85, 123.37, 117.19, 105.67, 57.29, 48.22, 39.76, 37.45, 19.39, 18.51. MS (ESI(+)) calcd for C37H34N2O+ [M + H]+: 523.3; found: 523.3.
(3a,8-bis(2-methylbenzyl)-3,3a,8,8a-tetrahydropyrrolo[2,3-b]indol-1(2H)-yl)(2-chloropyridin-3-yl) methanone(a10): Yield: 78%. White solid. Melting point: 123–125 °C. Rf = 0.24 (PE/EA 2:1). 1H NMR (400 MHz, Acetone-d6) δ 8.40 (dd, J = 4.6, 1.8 Hz, 1H), 7.40 (s, 1H), 7.16–6.97 (m, 10H), 6.79 (d, J = 7.2 Hz, 1H), 6.58 (t, J = 7.4 Hz, 1H), 6.20 (d, J = 7.9 Hz, 1H), 5.94 (s, 1H), 4.80 (d, J = 16.9 Hz, 1H), 4.61 (s, 1H), 3.33–3.23 (m, 2H), 3.13 (d, J = 13.8 Hz, 2H), 2.36–2.22 (m, 5H), 2.05 (d, J = 3.4 Hz, 3H). 13C NMR (100 MHz, Acetone-d6) δ 166.46, 151.03, 150.90, 150.55, 147.25, 137.42, 137.21, 136.30, 135.56, 131.56, 130.73, 130.68, 130.46, 128.95, 127.11, 126.77, 126.27, 126.15, 126.05, 123.85, 122.46, 121.34, 117.53, 106.14, 83.22, 57.13, 49.33, 47.17, 37.57, 20.09, 19.39. C32H30ClN3O+ [M + H]+: 508.2; found: 508.2.
(3a,8-bis(2-methylbenzyl)-3,3a,8,8a-tetrahydropyrrolo[2,3-b]indol-1(2H)-yl)(pyrazin-2-yl) methanone (a11): Yield: 83%. Light yellow solid. Melting point: 140–142 °C. Rf = 0.23 (PE/EA 4:1). 1H NMR (400 MHz, DMSO-d6) δ 8.55–8.52 (m, 1H), 7.89 (td, J = 7.7, 1.7 Hz, 1H), 7.61–7.58 (m, 1H), 7.46 (d, J = 7.6, 4.8, 1.1 Hz, 1H), 7.12–7.06 (m, 5H), 7.00–6.93 (m, 5H), 6.76–6.71 (m, 1H), 6.56 (t, J = 7.3 Hz, 1H), 6.18 (d, J = 7.8 Hz, 1H), 5.84 (s, 1H), 4.66 (d, J = 16.8 Hz, 1H), 4.51 (d, J = 16.8 Hz, 1H), 3.11 (d, J = 13.6 Hz, 1H), 2.99 (d, J = 13.6 Hz, 1H), 2.23 (s, 3H), 2.08 (s, 1H), 1.94 (s, 3H), 1.81 (s, 1H). 13C NMR (100 MHz, DMSO-d6) δ 167.97, 154.11, 150.55, 148.67, 147.44, 137.75, 137.42, 137.17, 136.34, 135.62, 131.93, 130.72, 130.45, 128.84, 127.07, 126.81, 126.64, 126.03, 125.75, 124.62, 124.05, 123.75, 117.57, 106.28, 83.13, 56.84, 49.46, 47.19, 37.29, 20.05, 19.44. MS (ESI(+)) calcd for C31H30N4O+ [M + H]+: 475.2; found: 475.2.
(3a,8-bis(2-methylbenzyl)-3,3a,8,8a-tetrahydropyrrolo[2,3-b]indol-1(2H)-yl)(pyridin-2-yl) methanone(a12): Yield: 87%. White solid. Melting point: 182–184 °C. Rf = 0.23 (PE/EA 6:1). 1H NMR (400 MHz, DMSO-d6) δ 8.57–8.51 (m, 1H), 7.89 (ddd, J = 7.8, 1.7, 0.8 Hz, 1H), 7.60 (d, J = 7.8 Hz, 1H), 7.51–7.45 (m, 1H), 7.14–7.07 (m, 5H), 7.00–6.94 (m, 5H), 6.74 (d, J = 7.2 Hz, 1H), 6.56 (t, J = 7.4 Hz, 1H), 6.18 (d, J = 7.8 Hz, 1H), 5.85 (s, 1H), 4.67 (d, J = 16.8 Hz, 1H), 4.51 (d, J = 16.8 Hz, 1H), 3.75–3.64 (m, 1H), 3.12 (d, J = 13.6 Hz, 1H), 3.00 (d, J = 13.5 Hz, 1H), 2.24 (s, 3H), 2.10–2.08 (m, 1H), 1.94 (s, 3H), 1.82 (s, 1H). 13C NMR (100 MHz, DMSO-d6) δ 167.97, 154.12, 150.55, 148.68, 147.44, 137.75, 137.42, 137.17, 136.34, 135.62, 131.93, 130.72, 130.45, 128.84, 127.07, 126.80, 126.65, 126.18, 126.02, 125.75, 124.63, 124.05, 123.75, 117.57, 106.28, 83.14, 56.84, 49.45, 47.19, 37.30, 20.04, 19.44. MS (ESI(+)) calcd for C32H31N3O+ [M + H]+: 474.2; found: 474.2.
(3a,8-bis(2-methylbenzyl)-3,3a,8,8a-tetrahydropyrrolo[2,3-b]indol-1(2H)-yl)(6-chloropyridin-3-yl) methanone(a13): Yield: 84%. White solid. Melting point: 180–182 °C. Rf = 0.31 (PE/EA 6:1). 1H NMR (400 MHz, DMSO-d6) δ 8.39 (s, 1H), 7.86 (d, J = 6.6 Hz, 1H), 7.50 (d, J = 7.2 Hz, 1H), 7.12–6.92 (m, 9H), 6.70 (d, J = 6.1 Hz, 1H), 6.53 (s, 1H), 6.16 (d, J = 6.0 Hz, 1H), 5.84 (s, 1H), 4.54 (s, 2H), 3.10 (d, J = 13.1 Hz, 1H), 2.99 (d, J = 12.7 Hz, 1H), 2.20 (s, 4H), 2.06 (s, 4H), 1.91 (s, 2H). 13C NMR (100 MHz, Chloroform-d) δ 167.02, 153.08, 150.32, 148.64, 138.18, 137.57, 136.73, 135.61, 135.57, 130.76, 130.71, 130.66, 130.40, 128.95, 126.95, 126.67, 126.14, 125.84, 125.75, 124.07, 123.55, 117.54, 106.41, 83.91, 57.03, 49.89, 47.51, 40.17, 37.15, 31.09, 20.01, 19.49. MS (ESI(+)) calcd for C32H30ClN3O+ [M + H]+: 508.2; found: 508.2.
(3a,8-bis(2-methylbenzyl)-3,3a,8,8a-tetrahydropyrrolo[2,3-b]indol-1(2H)-yl)(4-methoxyphenyl) methanone(a14): Yield: 90%. White solid. Melting point: 144–146 °C. Rf = 0.26 (PE/EA 6:1). 1H NMR (400 MHz, Acetone-d6) δ 7.45 (d, J = 5.6 Hz, 2H), 7.18–7.01 (m, 9H), 6.91 (d, J = 7.2 Hz, 2H), 6.60 (dd, J = 31.2, 24.0 Hz, 2H), 6.22–5.97 (m, 2H), 4.77 (d, J = 16.4 Hz, 1H), 4.52 (d, J = 16.3 Hz, 1H), 3.81 (s, 3H), 3.62 (d, J = 25.1 Hz, 1H), 3.30 (d, J = 13.6 Hz, 1H), 3.06 (d, J = 13.6 Hz, 1H), 2.27 (s, 5H), 2.07–2.03 (m, 4H). 13C NMR (100 MHz, Acetone-d6) δ 169.76, 161.28, 150.78, 137.29, 137.03, 136.20, 135.24, 131.59, 130.46, 130.30, 129.92, 129.70, 128.47, 128.39, 126.59, 126.42, 126.28, 125.71, 125.54, 123.36, 117.04, 113.17, 105.89, 83.00, 70.34, 56.76, 54.83, 49.99, 46.86, 39.80, 37.14, 19.25, 18.51. MS (ESI(+)) calcd for C34H34N2O2+ [M + H]+: 502.2; found: 502.2.
(3a,8-bis(2-methylbenzyl)-3,3a,8,8a-tetrahydropyrrolo[2,3-b]indol-1(2H)-yl)(5-methylpyrazin-2-yl) methanone(a15): Yield: 82%. Light yellow solid. Melting point: 116–118 °C. Rf = 0.21 (PE/EA 5:1). 1H NMR (400 MHz, Acetone-d6) δ 8.72 (s, 1H), 8.46 (s, 1H), 7.08 (ddd, J = 25.4, 12.0, 6.1 Hz, 10H), 6.74 (t, J = 6.6 Hz, 1H), 6.60 (dd, J = 13.2, 5.7 Hz, 1H), 6.23 (d, J = 7.8 Hz, 1H), 5.99 (s, 1H), 4.82 (d, J = 16.8 Hz, 1H), 4.58 (d, J = 16.8 Hz, 1H), 3.94–3.85 (m, 1H), 3.59 (s, 1H), 3.25 (dd, J = 13.8, 4.8 Hz, 1H), 3.05 (d, J = 13.6 Hz, 1H), 2.55 (s, 3H), 2.36 (s, 1H), 2.30 (d, J = 6.2 Hz, 4H), 2.23 (s, 1H), 1.84 (s, 1H). 13C NMR (100 MHz, Acetone-d6) δ 166.05, 155.36, 150.55, 144.38, 142.07, 140.46, 137.28, 137.01, 136.07, 135.32, 131.64, 130.51, 130.32, 129.97, 128.42, 126.63, 126.54, 126.33, 125.71, 125.56, 123.32, 117.25, 106.08, 83.42, 56.65, 49.11, 47.16, 39.61, 36.87, 20.76, 19.25, 18.58. MS (ESI(+)) calcd for C32H32N4O+ [M + H]+: 489.2; found: 489.2.
(3a,8-bis(2-methylbenzyl)-3,3a,8,8a-tetrahydropyrrolo[2,3-b]indol-1(2H)-yl)(pyridin-3-yl) methanone(a16): Yield: 87%. White solid. Melting point: 159–161 °C. Rf = 0.23 (PE/EA 3:1). 1H NMR (400 MHz, Acetone-d6) δ 8.60 (s, 2H), 7.79 (d, J = 7.6 Hz, 1H), 7.43–7.31 (m, 1H), 7.23–6.91 (m, 10H), 6.72 (d, J = 7.2 Hz, 1H), 6.57 (t, J = 7.3 Hz, 1H), 6.21 (d, J = 7.8 Hz, 1H), 6.03 (s, 1H), 4.75 (d, J = 16.9 Hz, 1H), 4.59 (d, J = 17.0 Hz, 1H), 3.64–3.54 (m, 1H), 3.40 (dd, J = 17.3, 10.4 Hz, 1H), 3.26 (d, J = 13.6 Hz, 1H), 3.08 (d, J = 13.6 Hz, 1H), 2.38–2.19 (m, 5H), 2.00 (s, 2H). 13C NMR (100 MHz, Acetone-d6) δ 167.87, 150.96, 150.69, 148.49, 137.28, 137.06, 136.10, 135.27, 134.91, 132.21, 131.46, 130.41, 130.31, 129.97, 128.46, 126.62, 126.29, 125.68, 125.54, 123.40, 123.00, 117.15, 105.91, 83.24, 56.92, 49.50, 47.03, 39.80, 37.26, 19.23, 18.47. MS (ESI(+)) calcd for C32H31N3O+ [M + H]+: 474.2; found: 474.2.
(3a,8-bis(2-methylbenzyl)-3,3a,8,8a-tetrahydropyrrolo[2,3-b]indol-1(2H)-yl)(pyridin-4-yl) methanone(a17): Yield: 90%. White solid. Melting point: 144–146 °C. Rf = 0.24 (PE/EA 3:1). 1H NMR (400 MHz, DMSO-d6) δ 8.63 (d, J = 4.4 Hz, 2H), 7.22 (d, J = 5.9 Hz, 2H), 7.17–7.03 (m, 9H), 6.64–6.55 (m, 2H), 6.27 (d, J = 7.9 Hz, 1H), 5.97 (s, 1H), 4.80 (d, J = 16.9 Hz, 1H), 4.63 (d, J = 16.9 Hz, 1H), 3.45–3.29 (m, 2H), 3.22 (d, J = 13.7 Hz, 1H), 3.00 (d, J = 13.7 Hz, 1H), 2.33 (s, 3H), 2.25–2.14 (m, 2H), 1.97 (s, 3H). 13C NMR (100 MHz, DMSO-d6) δ 168.16, 150.35, 149.95, 143.80, 137.57, 136.79, 135.66, 135.59, 130.80, 130.66, 130.40, 128.93, 126.95, 126.66, 126.23, 125.85, 125.77, 123.54, 121.56, 117.53, 106.42, 83.84, 57.13, 49.62, 47.53, 40.16, 37.10, 20.02, 19.51. MS (ESI(+)) calcd for C32H31N3O+ [M + H]+: 474.2; found: 474.2.
(3a,8-bis(2-methylbenzyl)-3,3a,8,8a-tetrahydropyrrolo[2,3-b]indol-1(2H)-yl)(3-chloropyridin-4-yl) methanone(a18): Yield: 91%. Yellow oily liquid. Rf = 0.24 (PE/EA 3:1). 1H NMR (400 MHz, Acetone-d6) δ 8.65 (s, 1H), 8.55 (d, J = 4.5 Hz, 1H), 7.30–6.95 (m, 11H), 6.84 (d, J = 7.3 Hz, 1H), 6.63 (t, J = 7.4 Hz, 1H), 6.26 (d, J = 7.8 Hz, 1H), 5.97 (s, 1H), 4.88–4.78 (m, 1H), 4.64 (d, J = 16.9 Hz, 1H), 3.36–3.26 (m, 2H), 3.20–3.10 (m, 2H), 2.39–2.29 (m, 6H), 2.19–2.10 (m, 1H). 13C NMR (100 MHz, Acetone-d6) δ 164.61, 150.71, 149.51, 143.58, 137.20, 137.01, 135.99, 135.34, 131.44, 130.38, 130.02, 129.46, 128.56, 127.07, 126.68, 126.36, 126.19, 125.75, 125.63, 123.43, 121.80, 120.85, 117.37, 105.77, 82.80, 57.42, 47.59, 47.08, 39.73, 37.62, 19.36, 18.49. MS (ESI(+)) calcd for C32H30ClN3O+ [M + H]+: 508.2; found: 508.2.
(3a,8-bis(2-methylbenzyl)-3,3a,8,8a-tetrahydropyrrolo[2,3-b]indol-1(2H)-yl)(2-chloropyridin-4-yl) methanone(a19): Yield: 73%. White solid. Melting point: 147–149 °C. Rf = 0.26 (PE/EA 6:1). 1H NMR (400 MHz, DMSO-d6) δ 8.43 (d, J = 5.0 Hz, 1H), 7.41 (s, 1H), 7.36 (d, J = 4.8 Hz, 1H), 7.14–6.92 (m, 10H), 6.72 (d, J = 7.2 Hz, 1H), 6.56 (t, J = 7.4 Hz, 1H), 6.19 (d, J = 7.8 Hz, 1H), 5.81 (s, 1H), 4.57 (d, J = 4.9 Hz, 2H), 3.25 (dd, J = 11.0, 5.8 Hz, 1H), 3.14 (d, J = 13.6 Hz, 1H), 3.03 (d, J = 13.7 Hz, 1H), 2.29–2.17 (m, 5H), 1.94 (s, 3H). 13C NMR (100 MHz, DMSO-d6) δ 166.46, 151.03, 150.90, 150.55, 147.25, 137.42, 137.21, 136.30, 135.56, 131.56, 130.73, 130.68, 130.46, 128.95, 127.11, 126.77, 126.27, 126.15, 126.05, 123.85, 122.46, 121.34, 117.53, 106.14, 83.22, 57.13, 49.33, 47.17, 37.57, 20.09, 19.39. MS (ESI(+)) calcd for C32H30ClN3O+ [M + H]+: 508.2; found: 508.2.
(3a,8-bis(2-methylbenzyl)-1,2,3,3a,8,8a-hexahydropyrrolo[2,3-b]indole-1-carbonyl) benzaldehyde(a20): Yield: 87%. White solid. Melting point: 158–160 °C. Rf = 0.24 (PE/EA 5:1). 1 H NMR (400 MHz, Acetone-d6) δ 7.72–7.65 (m, 3H), 7.59–7.54 (m, 1H), 7.28–7.20 (m, 4H), 7.10 (td, J = 7.3, 1.3 Hz, 2H), 7.02–6.93 (m, 3H), 6.45 (dd, J = 16.3, 7.7 Hz, 2H), 6.11 (d, J = 7.1 Hz, 1H), 6.06 (s, 1H), 5.19 (s, 1H), 4.52 (d, J = 9.7 Hz, 1H), 3.01 (s, 1H), 2.87 (d, J = 13.3 Hz, 1H), 2.39 (s, 3H), 2.09 (s, 5H), 1.51 (s, 3H). 13C NMR (100 MHz, Acetone-d6) δ 169.23, 150.83, 137.32, 136.16, 135.38, 135.25, 133.46, 131.92, 130.47, 130.05, 129.34, 128.97, 128.47, 128.31, 126.89, 126.68, 126.37, 126.27, 126.24, 125.77, 125.65, 125.11, 124.79, 123.85, 123.37, 117.19, 105.67, 57.29, 48.22, 39.76, 37.45, 19.39, 18.51. MS(ESI(+)) calcd for C33H32N3O2+ [M + H]+: 502.2; found: 502.2.
(3a,8-bis(3-fluorobenzyl)-3,3a,8,8a-tetrahydropyrrolo[2,3-b]indol-1(2H)-yl)(2-fluoropyridin-3-yl) methanone(b1): White solid. Yield: 89%. Melting point: 92–94 °C. Rf = 0.24 (PE/EA 4:1). 1H NMR (400 MHz, Acetone-d6) δ 8.31 (ddd, J = 4.8, 1.8, 1.1 Hz, 1H), 7.93 (ddd, J = 9.3, 7.4, 2.0 Hz, 1H), 7.41 (ddd, J = 7.2, 4.9, 2.1 Hz, 1H), 7.28–7.16 (m, 3H), 7.05–6.92 (m, 3H), 6.88–6.80 (m, 3H), 6.76–6.66 (m, 2H), 6.14 (d, J = 7.9 Hz, 1H), 6.00 (s, 1H), 4.55 (s, 2H), 3.48 (ddd, J = 5.7, 5.2, 4.1 Hz, 1H), 3.35–3.26 (m, 2H), 3.10 (d, J = 13.3 Hz, 1H), 2.36–2.28 (m, 2H). 13C NMR (100 MHz, Acetone-d6) δ 163.97 (d, J = 4.6 Hz), 162.98 (d, J = 243.5 Hz), 162.38 (d, J = 243.1 Hz), 158.85 (d, J = 236.8 Hz), 150.74, 149.13 (d, J = 15.1 Hz), 142.53 (d, J = 6.6 Hz), 140.52 (d, J = 10.4 Hz), 131.26, 130.06 (d, J = 8.1 Hz), 129.58 (d, J = 8.1 Hz), 128.70, 125.94, 123.54, 122.46, 122.09 (d, J = 4.1 Hz), 119.52 (d, J = 33.4 Hz), 117.85, 116.55 (d, J = 21.2 Hz), 113.37 (d, J = 21.3 Hz), 113.25 (d, J = 21.2 Hz), 106.20, 82.56, 57.08, 49.29, 47.82, 44.21 (d, J = 12.2 Hz), 38.02. MS (ESI(+)) calcd for C30H24F3N3O+ [M + H]+: 500.2; found: 500.2.
(3a,8-bis(3-fluorobenzyl)-3,3a,8,8a-tetrahydropyrrolo[2,3-b]indol-1(2H)-yl)(6-chloropyridin-2-yl) methanone(b2): Yield: 83%. Yellow oily liquid. Rf = 0.23 (PE/EA 1:1). 1H NMR (400 MHz, Acetone-d6) δ 7.99–7.91 (m, 1H), 7.81–7.67 (m, 1H), 7.61–7.50 (m, 1H), 7.24–7.15 (m, 3H), 6.98 (ddd, J = 23.4, 14.7, 8.8 Hz, 3H), 6.87–6.80 (m, 3H), 6.71 (dd, J = 9.8, 6.8 Hz, 2H), 6.13 (dd, J = 7.4, 3.0 Hz, 1H), 6.06–5.98 (m, 1H), 4.63–4.46 (m, 2H), 3.88 (t, J = 7.9 Hz, 1H), 3.47–3.40 (m, 1H), 3.26 (dd, J = 13.2, 3.4 Hz, 1H), 3.12–3.07 (m, 1H), 2.37–2.26 (m, 2H). 13C NMR (100 MHz, Acetone-d6) δ 165.85, 163.59, 161.17, 154.41, 150.60, 149.33, 142.60, 140.39, 131.53, 130.09, 129.61, 128.62, 126.01, 125.82, 123.48, 122.84, 122.55, 117.78, 116.71, 116.50, 113.47, 113.33, 113.11, 106.31, 82.99, 56.44, 49.29, 48.82, 44.05, 38.02. MS (ESI(+)) calcd for C30H24ClF2N3O+ [M + H]+: 516.2; found: 516.2.
(3a,8-bis(3-fluorobenzyl)-3,3a,8,8a-tetrahydropyrrolo[2,3-b]indol-1(2H)-yl)(5-methylpyridin-3-yl) methanone(b3): Yield: 89%. White solid. Melting point: 163–165 °C. Rf = 0.23 (PE/EA 4:1). 1H NMR (400 MHz, DMSO-d6) δ 8.51 (d, J = 1.3 Hz, 1H), 8.43 (d, J = 1.5 Hz, 1H), 7.67 (s, 1H), 7.27–6.67 (m, 12H), 6.12 (d, J = 7.8 Hz, 1H), 5.98 (s, 1H), 4.48 (s, 2H), 3.48 (d, J = 6.1 Hz, 1H), 3.24 (d, J = 13.1 Hz, 1H), 3.06 (d, J = 13.2 Hz, 1H), 2.33 (s, 3H), 2.26–2.19 (m, 2H). 13C NMR (100 MHz, DMSO-d6) δ 167.99, 162.72 (d, J = 243.1 Hz), 162.17 (d, J = 242.5 Hz), 151.83, 150.69, 145.72, 142.72 (d, J = 6.6 Hz), 140.92 (d, J = 7.4 Hz), 135.70, 133.24, 131.63 (d, J = 5.8 Hz), 130.63 (d, J = 8.2 Hz), 130.05 (d, J = 8.3 Hz), 129.03, 126.35, 124.00, 122.72, 117.89, 116.88, 113.81 (d, J = 21.7 Hz), 113.79 (d, J = 19.1 Hz), 113.56, 113.35, 106.15, 82.34, 56.76, 49.38, 48.91, 44.01, 38.63, 18.18. MS (ESI(+)) calcd for C31H27F2N3O+ [M + H]+: 496.2; found: 496.2.
3a,8-bis(3-fluorobenzyl)-3,3a,8,8a-tetrahydropyrrolo[2,3-b]indol-1(2H)-yl)(5-chloropyrazin-2-yl) methanone(b4): Yield: 84%. Yellow solid. Melting point: 168–170 °C. Rf = 0.23 (PE/EA 8:1). 1H NMR (400 MHz, Acetone-d6) δ 8.73–8.71 (m, 1H), 8.69–8.67 (m, 1H), 7.22 (ddd, J = 8.1, 5.0, 2.1 Hz, 2H), 7.17 (dd, J = 7.3, 0.8 Hz, 1H), 7.02–6.97 (m, 2H), 6.90–6.78 (m, 4H), 6.75–6.67 (m, 2H), 6.34–6.24 (m, 1H), 6.16 (d, J = 7.8 Hz, 1H), 6.04 (s, 1H), 4.58 (d, J = 17.2 Hz, 2H), 3.48–3.41 (m, 1H), 3.26 (d, J = 13.3 Hz, 1H), 3.09 (d, J = 13.3 Hz, 1H), 2.35–2.27 (m, 2H). 13C NMR (100 MHz, Acetone-d6) δ 164.70, 162.94 (d, J = 243.7 Hz), 150.54, 149.83, 147.64, 146.04, 142.47, 141.34, 140.52 (d, J = 7.5 Hz), 131.49, 130.06 (d, J = 8.1 Hz), 129.59 (d, J = 8.2 Hz), 128.65, 126.02, 123.49, 122.56, 118.04 (d, J = 34.2 Hz), 116.60 (d, J = 21.3 Hz), 113.41 (d, J = 27.9 Hz), 113.31 (d, J = 33.7 Hz), 113.14, 106.34, 83.08, 56.46, 49.36, 48.66, 43.99, 38.67, 37.96. MS (ESI(+)) calcd for C29H23ClF2N4O+ [M + H]+: 518.2; found: 518.2.
(3a,8-bis(3-fluorobenzyl)-3,3a,8,8a-tetrahydropyrrolo[2,3-b]indol-1(2H)-yl)(6-methylpyridin-3-yl) methanone(b5): Yield: 86%. White solid. Melting point: 180–182 °C. Rf = 0.32 (PE/EA 8:1). 1H NMR (400 MHz, Acetone-d6) δ 8.54 (s, 1H), 7.73 (d, J = 6.3 Hz, 1H), 7.31–7.12 (m, 4H), 7.11–6.77 (m, 6H), 6.77–6.64 (m, 2H), 6.21–6.03 (m, 2H), 4.63–4.40 (m, 2H), 3.70–3.51 (m, 1H), 3.50–3.36 (m, 1H), 3.28 (dd, J = 13.2, 3.3 Hz, 1H), 3.09 (d, J = 11.3 Hz, 1H), 2.55–2.43 (m, 3H), 2.37–2.24 (m, 2H). 13C NMR (100 MHz, Acetone-d6) δ 168.01, 163.58, 161.16, 160.31, 150.78, 148.06, 142.72, 140.69, 135.40, 131.36, 130.02, 129.59, 129.26, 128.66, 126.00, 123.55, 122.31, 117.65, 116.67, 116.46, 113.45, 113.24, 113.09, 106.10, 82.50, 56.67, 49.22, 48.96, 44.18, 38.25, 23.67. MS (ESI(+)) calcd for C31H27F2N3O+ [M + H]+: 496.2; found: 496.2.
(3a,8-bis(3-fluorobenzyl)-3,3a,8,8a-tetrahydropyrrolo[2,3-b]indol-1(2H)-yl)(2-hydroxypyridin-3-yl) methanone(b6): Yield: 84%. Yellow oily liquid. Rf = 0.25 (PE/EA 4:1). 1H NMR (400 MHz, Acetone-d6) δ 7.61–7.52 (m, 2H), 7.26–7.18 (m, 2H), 7.15 (d, J = 7.3 Hz, 1H), 7.00–6.78 (m, 7H), 6.71–6.64 (m, 2H), 6.31 (t, J = 6.6 Hz, 1H), 6.06 (d, J = 7.9 Hz, 1H), 5.94 (s, 1H), 4.53 (q, J = 16.7 Hz, 2H), 3.58–3.51 (m, 2H), 3.31–3.26 (m, 1H), 3.06 (d, J = 13.2 Hz, 1H), 2.31–2.20 (m, 2H). 13C NMR (100 MHz, Acetone-d6) δ 171.51, 166.53, 163.55, 161.13, 159.50, 150.88, 142.74, 141.09, 140.73, 137.05, 131.45, 130.02, 129.54, 128.48, 125.98, 123.41, 122.61, 117.46, 116.64, 113.56, 113.34, 112.98, 105.98, 105.09, 82.33, 56.97, 49.24, 47.31, 44.21, 38.49. MS (ESI (+)) calcd for C30H25F2N3O2+ [M + H]+: 498.2; found: 498.
(3a,8-bis(3-fluorobenzyl)-3,3a,8,8a-tetrahydropyrrolo[2,3-b]indol-1(2H)-yl)(5,6-dichloropyridin-3-yl) methanone(b7): Yield: 89%. White solid. Melting point: 126–128 °C. Rf = 0.34 (PE/EA 8:1). 1H NMR (400 MHz, DMSO-d6) δ 8.40 (d, J = 2.1 Hz, 1H), 8.15 (d, J = 1.9 Hz, 1H), 7.22–6.88 (m, 7H), 6.75–6.59 (m, 5H), 6.07 (d, J = 7.8 Hz, 1H), 5.85 (s, 1H), 4.40 (s, 2H), 3.49 (dt, J = 15.1, 7.5 Hz, 1H), 3.17 (d, J = 13.2 Hz, 1H), 2.97 (d, J = 13.2 Hz, 1H), 2.19 (d, J = 4.6 Hz, 2H). 13C NMR (100 MHz, DMSO-d6) δ 165.45, 163.93, 161.50, 150.71, 149.36, 146.88, 142.61, 140.80, 138.75, 132.92, 131.49, 130.68, 130.12, 129.68, 129.05, 126.34, 124.01, 122.74, 117.96, 116.85, 116.64, 113.90, 113.69, 113.39, 106.24, 82.39, 56.87, 49.15, 48.86, 44.01. MS (ESI(+)) calcd for C30H23Cl2F2N3O+ [M + H]+: 550.1; found: 550.1.
(2-aminopyridin-3-yl)(3a,8-bis(3-fluorobenzyl)-3,3a,8,8a-tetrahydropyrrolo[2,3-b]indol-1(2H)-yl) methanone(b8): Yield: 85%. White solid. Melting point: 181–183 °C. Rf = 0.24 (PE/EA 3:1). 1H NMR (400 MHz, DMSO-d6) δ 7.95 (d, J = 3.5 Hz, 1H), 7.37–6.83 (m, 8H), 6.79–6.42 (m, 6H), 6.22–5.82 (m, 4H), 4.37 (s, 2H), 3.45 (s, 1H), 3.18 (d, J = 13.0 Hz, 1H), 3.00 (d, J = 13.1 Hz, 1H), 2.16 (s, 2H). 13C NMR (100 MHz, DMSO-d6) δ 162.15 (d, J = 242.7 Hz), 161.48, 157.30, 150.83, 150.30, 141.04 (d, J = 6.9 Hz), 137.04, 131.51, 130.59 (d, J = 8.4 Hz), 130.02 (d, J = 8.3 Hz), 128.99, 126.30, 124.07, 122.60, 117.84, 116.75 (d, J = 20.8 Hz), 113.88, 113.67, 113.40 (d, J = 21.4 Hz), 111.95, 105.98, 82.04, 56.89, 48.78, 44.09, 38.99. MS (ESI(+)) calcd for C30H26F2N4O+ [M + H]+: 497.2; found: 497.2.
(3a,8-bis(3-fluorobenzyl)-3,3a,8,8a-tetrahydropyrrolo[2,3-b]indol-1(2H)-yl)(naphthalen-2-yl) methanone(b9): Yield: 87%. White solid. Melting point: 96–98 °C. Rf = 0.21 (PE/EA 10:1). 1H NMR (400 MHz, Acetone-d6) δ 7.99–7.88 (m, 2H), 7.69 (d, J = 8.2 Hz, 1H), 7.49 (tt, J = 11.0, 7.1 Hz, 3H), 7.36–7.21 (m, 3H), 7.15 (d, J = 7.3 Hz, 1H), 7.09–6.89 (m, 6H), 6.80 (d, J = 10.3 Hz, 1H), 6.74–6.67 (m, 1H), 6.28–6.18 (m, 2H), 4.81–4.66 (m, 2H), 3.28 (t, J = 11.2 Hz, 1H), 3.23–3.12 (m, 2H), 3.12–3.00 (m, 1H), 2.43–2.14 (m, 2H). 13C NMR (100 MHz, DMSO-d6),) δ 169.20, 163.03 (d, J = 243.7 Hz), 162.47 (d, J = 243.5 Hz), 150.83, 142.88 (d, J = 6.8 Hz), 140.64 (d, J = 7.0 Hz), 135.19, 133.57, 131.69, 130.16 (d, J = 8.2 Hz), 129.68 (d, J = 8.2 Hz), 129.43, 129.16, 128.66, 128.44, 126.95, 126.40, 126.17, 125.19, 124.86, 123.98, 123.53, 122.65, 117.73, 116.87, 113.46 (d, J = 31.3 Hz), 113.40, 113.36 (d, J = 29.8 Hz), 106.01, 82.30, 57.12, 49.41, 48.05, 44.07, 38.19. MS (ESI(+)) calcd for C35H28F2N2O+ [M + H]+: 531.3; found: 531.3.
(3a,8-bis(3-fluorobenzyl)-3,3a,8,8a-tetrahydropyrrolo[2,3-b]indol-1(2H)-yl)(2-chloropyridin-3-yl) methanone(b10): Yield: 91%. White solid. Melting point: 180–182 °C. Rf = 0.24 (PE/EA 2:1). 1H NMR (400 MHz, Acetone-d6) δ 8.45 (dd, J = 4.1, 1.9 Hz, 1H), 7.70 (s, 1H), 7.52–7.42 (m, 1H), 7.30–7.17 (m, 3H), 7.02–6.85 (m, 5H), 6.72 (ddd, J = 7.3, 3.7, 0.8 Hz, 2H), 6.17 (d, J = 7.5 Hz, 1H), 5.99 (s, 1H), 4.61 (dd, J = 38.0, 16.7 Hz, 2H), 3.38–3.28 (m, 2H), 3.15 (t, J = 21.4 Hz, 2H), 2.37–2.26 (m, 2H), 2.10–2.08 (m, 1H). 13C NMR (100 MHz, Acetone-d6) δ 165.42, 164.18, 161.76, 150.76, 150.24, 146.36, 142.56, 140.53, 137.14, 133.03, 131.36, 130.06, 129.61, 128.69, 126.04, 123.52, 123.20, 122.57, 117.85, 116.53, 113.59, 113.40, 113.19, 106.12, 82.29, 57.28, 49.21, 47.45, 44.00, 38.22. MS (ESI(+)) calcd for C30H24ClF2N3O+ [M + H]+: 516.2; found: 516.2.
(3a,8-bis(3-fluorobenzyl)-3,3a,8,8a-tetrahydropyrrolo[2,3-b]indol-1(2H)-yl)(pyrazin-2-yl) methanone(b11): Yield: 82%. Light yellow solid. Melting point: 142–144 °C. Rf = 0.23 (PE/EA 4:1). 1H NMR (400 MHz, DMSO-d6) δ 8.87 (d, J = 1.5 Hz, 1H), 8.75 (d, J = 2.6 Hz, 1H), 8.64 (dd, J = 2.5, 1.5 Hz, 1H), 7.22–7.17 (m, 3H), 7.02–6.96 (m, 2H), 6.81–6.65 (m, 6H), 6.08 (d, J = 7.8 Hz, 1H), 5.94 (s, 1H), 4.46 (s, 2H), 3.76–3.67 (m, 1H), 3.33–3.25 (m, 1H), 3.18 (s, 1H), 3.04 (s, 1H), 2.23–2.14 (m, 2H). 13C NMR (100 MHz, DMSO-d6) δ 166.00, 163.94, 160.98, 150.47, 149.25, 146.56, 145.29, 143.54, 142.47, 140.87, 131.71, 130.59, 130.14, 129.02, 126.40, 123.97, 122.84, 118.08, 116.92, 116.71, 113.95, 113.75, 113.49, 106.34, 82.68, 56.55, 49.14, 48.96, 43.82. MS (ESI(+)) calcd for C29H24F2N4O + [M + H]+: 482.2; found: 482.2.
(3a,8-bis(3-fluorobenzyl)-3,3a,8,8a-tetrahydropyrrolo[2,3-b]indol-1(2H)-yl)(pyridin-2-yl) methanone(b12): Yield: 84%. White solid. Melting point: 137–139 °C. Rf = 0.23 (PE/EA 6:1). 1H NMR (400 MHz, DMSO-d6) δ 8.53 (d, J = 4.7 Hz, 1H), 7.88 (td, J = 7.8, 1.3 Hz, 1H), 7.62 (d, J = 7.8 Hz, 1H), 7.49–7.42 (m, 1H), 7.17 (dd, J = 14.8, 7.9 Hz, 3H), 7.01–6.88 (m, 4H), 6.76–6.63 (m, 5H), 6.02 (d, J = 7.9 Hz, 1H), 5.91 (s, 1H), 4.43 (s, 2H), 3.65 (dd, J = 11.4, 6.9 Hz, 1H), 3.16 (d, J = 13.2 Hz, 1H), 3.02–2.96 (m, 1H), 2.14 (ddd, J = 20.1, 10.6, 5.2 Hz, 2H). 13C NMR (100 MHz, DMSO-d6) δ 167.79, 162.75 (d, J = 243.4 Hz), 162.19 (d, J = 242.7 Hz), 154.05, 150.58, 148.70, 142.60 (d, J = 6.7 Hz), 140.91 (d, J = 7.3 Hz), 137.79, 131.79, 130.64, 130.60 (d, J = 8.0 Hz), 130.06 (d, J = 8.8 Hz), 128.96, 126.38, 125.80, 123.99 (d, J = 11.0 Hz), 122.84, 121.98, 117.97, 116.81 (d, J = 20.9 Hz), 113.82 (d, J = 19.1 Hz), 113.62 (d, J = 21.0 Hz), 112.99 (d, J = 21.4 Hz), 106.27, 82.60, 56.52, 49.09 (d, J = 8.6 Hz), 43.93, 38.50. MS (ESI(+)) calcd for C30H25F2N3O+ [M + H]+: 482.2; found: 482.2.
(3a,8-bis(3-fluorobenzyl)-3,3a,8,8a-tetrahydropyrrolo[2,3-b]indol-1(2H)-yl)(6-chloropyridin-3-yl) methanone(b13): Yield: 87%. White solid. Melting point: 119–121 °C. Rf = 0.31 (PE/EA 6:1). 1H NMR (400 MHz, DMSO-d6) δ 8.46 (d, J = 2.2 Hz, 1H), 7.92 (dd, J = 8.3, 2.4 Hz, 1H), 7.56 (d, J = 8.3 Hz, 1H), 7.25–6.61 (m, 12H), 6.09 (d, J = 7.8 Hz, 1H), 5.92 (s, 1H), 4.43 (s, 2H), 3.53–3.45 (m, 1H), 3.20 (d, J = 13.1 Hz, 1H), 3.01 (d, J = 13.2 Hz, 1H), 2.21 (dt, J = 13.5, 6.8 Hz, 2H). 13C NMR (100 MHz, DMSO-d6) δ 166.79, 162.71 (d, J = 243.5 Hz), 162.16 (d, J = 242.7 Hz), 152.11, 150.68, 149.13, 142.65 (d, J = 6.6 Hz), 140.87 (d, J = 7.6 Hz), 139.34, 131.53, 130.63 (d, J = 8.2 Hz), 130.06 (d, J = 8.5 Hz), 129.05, 126.33, 124.55, 124.01, 122.69, 117.95, 116.75 (d, J = 20.7 Hz), 113.74 (d, J = 31.5 Hz), 113.54 (d, J = 33.6 Hz), 106.22, 82.43, 56.80, 49.30, 48.92, 44.02, 38.60. MS (ESI(+)) calcd for C30H24ClF2N3O+ [M + H]+: 516.2; found: 516.2.
(3a,8-bis(3-fluorobenzyl)-3,3a,8,8a-tetrahydropyrrolo[2,3-b]indol-1(2H)-yl)(4-methoxyphenyl) methanone(b14): Yield: 89%. White solid. Melting point: 204–206 °C. Rf = 0.26 (PE/EA 6:1). 1H NMR (400 MHz, Acetone-d6) δ 7.44 (d, J = 7.4 Hz, 2H), 7.18 (ddd, J = 18.5, 10.8, 9.3 Hz, 3H), 7.01–6.79 (m, 8H), 6.71–6.64 (m, 2H), 6.12–6.02 (m, 2H), 4.54 (d, J = 16.2 Hz, 1H), 4.41 (d, J = 16.2 Hz, 1H), 3.80 (s, 3H), 3.72–3.56 (m, 1H), 3.36 (s, 1H), 3.23 (d, J = 13.2 Hz, 1H), 3.05 (d, J = 13.3 Hz, 1H), 2.30–2.17 (m, 2H). 13C NMR (100 MHz, Acetone-d6) δ 169.59, 162.92 (d, J = 244.0 Hz), 162.38 (d, J = 243.2 Hz), 161.38, 150.86, 140.76, 140.69, 130.01 (d, J = 8.3 Hz), 129.68, 129.52 (d, J = 8.3 Hz), 128.58, 128.45, 126.01, 123.52, 122.42, 117.56, 116.58 (d, J = 21.2 Hz), 113.32 (d, J = 21.6 Hz), 113.31, 113.05, 106.06, 82.42, 54.91, 48.83, 44.24, 38.29. MS (ESI(+)) calcd for C32H28F2N2O2+ [M + H]+: 511.2; found: 511.2.
(3a,8-bis(3-fluorobenzyl)-3,3a,8,8a-tetrahydropyrrolo[2,3-b]indol-1(2H)-yl)(5-methylpyrazin-2-yl) methanone(b15): Yield: 82%. Light yellow solid. Melting point: 147–149 °C. Rf = 0.21 (PE/EA 5:1). 1H NMR (400 MHz, DMSO-d6) δ 8.74 (d, J = 1.2 Hz, 1H), 8.54–8.50 (m, 1H), 7.19 (dd, J = 14.6, 7.0 Hz, 3H), 7.04–6.93 (m, 4H), 6.79 (d, J = 7.7 Hz, 1H), 6.75–6.65 (m, 4H), 6.07 (t, J = 6.1 Hz, 1H), 5.95 (s, 1H), 4.46 (s, 2H), 3.78–3.70 (m, 1H), 3.18 (d, J = 13.2 Hz, 1H), 3.02 (d, J = 13.1 Hz, 1H), 2.54 (s, 3H), 2.26–2.16 (m, 2H). 13C NMR (100 MHz, DMSO-d6) δ 166.18, 163.39, 160.98, 155.80, 150.48, 146.34, 145.17, 144.28, 142.92, 142.57, 141.60, 140.88, 131.74, 130.57, 130.12, 129.00, 126.39, 123.95, 122.84, 118.04, 116.92, 113.93, 113.71, 113.49, 106.33, 82.69, 56.49, 48.99, 43.85, 21.80. MS (ESI(+)) calcd for C30H26F2N4O+ [M + H]+: 497.2; found: 497.2.
(3a,8-bis(3-fluorobenzyl)-3,3a,8,8a-tetrahydropyrrolo[2,3-b]indol-1(2H)-yl)(pyridin-3-yl) methanone(b16): Yield: 90%. White solid. Melting point: 146–148 °C. Rf = 0.23 (PE/EA 3:1). 1H NMR (400 MHz, Acetone-d6) δ 8.48 (d, J = 2.0 Hz, 1H), 7.91 (dd, J = 8.2, 2.3 Hz, 1H), 7.50 (d, J = 8.2 Hz, 1H), 7.27–7.15 (m, 3H), 7.07–6.65 (m, 9H), 6.16 (d, J = 7.8 Hz, 1H), 6.06 (s, 1H), 4.57 (d, J = 16.8 Hz, 1H), 4.49 (d, J = 16.8 Hz, 1H), 3.72–3.61 (m, 1H), 3.46 (td, J = 10.9, 6.4 Hz, 1H), 3.32–3.23 (m, 1H), 3.12–3.05 (m, 1H), 2.38–2.27 (m, 2H). 13C NMR (100 MHz, Acetone-d6) δ 166.68, 164.12, 161.16, 152.28, 150.73, 148.82, 142.60, 140.61, 138.51, 131.44, 131.28, 130.12, 129.53, 128.69, 125.98, 123.91, 123.55, 122.42, 117.74, 116.66, 116.45, 113.47, 113.26, 113.12, 106.15, 82.62, 56.74, 49.13, 44.13, 38.19. MS (ESI(+)) calcd for C30H25F2N3O+ [M + H]+: 482.2; found: 482.2.
(3a,8-bis(3-fluorobenzyl)-3,3a,8,8a-tetrahydropyrrolo[2,3-b]indol-1(2H)-yl)(pyridin-4-yl) methanone(b17): Yield: 87%. White solid. Melting point: 176–178 °C. Rf = 0.24 (PE/EA 3:1). 1H NMR (400 MHz, DMSO-d6) δ 8.64 (dd, J = 4.4, 1.5 Hz, 2H), 7.37 (dd, J = 4.4, 1.6 Hz, 2H), 7.28–6.91 (m, 7H), 6.72 (ddd, J = 26.3, 18.9, 9.7 Hz, 5H), 6.09 (d, J = 7.8 Hz, 1H), 5.91 (s, 1H), 4.45 (s, 2H), 3.45–3.37 (m, 1H), 3.20 (d, J = 13.1 Hz, 1H), 3.03 (d, J = 13.2 Hz, 1H), 2.20 (dd, J = 10.5, 6.2 Hz, 2H). 13C NMR (100 MHz, DMSO-d6) δ 167.93, 162.75 (d, J = 243.4 Hz, 15C), 150.68, 150.51, 143.66, 142.71, 142.65, 140.86, 131.56, 130.70, 130.62, 130.11, 130.03, 129.07, 126.36, 124.02, 122.73, 121.89, 118.00, 116.81 (d, J = 20.9 Hz, 14C), 113.94, 113.70, 113.60, 113.38, 106.22, 82.47, 56.84, 49.07, 43.95. MS (ESI (+)) calcd for C30H25F2N3O+ [M + H]+: 482.2; found: 482.2.
(3a,8-bis(3-fluorobenzyl)-3,3a,8,8a-tetrahydropyrrolo[2,3-b]indol-1(2H)-yl)(3-chloropyridin-4-yl) methanone(b18): Yield: 91%. White solid. Melting point: 154–156 °C. Rf = 0.24 (PE/EA 3:1). 1H NMR (400 MHz, Acetone-d6) δ 8.65 (s, 1H), 8.57 (d, J = 4.8 Hz, 1H), 7.29–7.18 (m, 4H), 7.04–6.93 (m, 3H), 6.86 (dd, J = 15.6, 9.7 Hz, 3H), 6.75–6.70 (m, 2H), 6.18 (d, J = 7.9 Hz, 1H), 5.99 (s, 1H), 4.60 (q, J = 16.7 Hz, 2H), 3.34–3.28 (m, 2H), 3.21–3.09 (m, 2H), 2.38–2.28 (m, 2H). 13C NMR (100 MHz, Acetone-d6) δ 164.64, 162.98 (d, J = 244.3 Hz), 162.43 (d, J = 243.6 Hz), 150.69, 149.62, 148.58, 143.54, 142.51 (d, J = 6.8 Hz), 140.45 (d, J = 7.6 Hz), 131.32, 130.11 (d, J = 8.4 Hz), 129.66 (d, J = 8.5 Hz), 128.71, 127.16, 126.05, 123.52, 122.57, 121.83, 117.92, 116.64 (d, J = 21.3 Hz), 113.48 (d, J = 21.9 Hz), 113.42 (d, J = 21.2 Hz), 113.32 (d, J = 21.3 Hz), 106.18, 82.35, 57.26, 49.28, 47.31, 43.94, 38.20. MS (ESI(+)) calcd for C30H24ClF2N3O+ [M + H]+: 516.2; found: 516.2.
(3a,8-bis(3-fluorobenzyl)-3,3a,8,8a-tetrahydropyrrolo[2,3-b]indol-1(2H)-yl)(2-chloropyridin-4-yl) methanone(b19): Yield: 79%. White solid. Melting point: 134–136 °C. Rf = 0.26 (PE/EA 6:1). 1H NMR (400 MHz, Acetone-d6) δ 8.69–8.60 (m, 2H), 7.84 (d, J = 7.9 Hz, 1H), 7.41 (dd, J = 7.7, 4.9 Hz, 1H), 7.21 (ddd, J = 21.1, 11.4, 4.7 Hz, 3H), 7.05–6.97 (m, 2H), 6.86 (dd, J = 12.1, 4.9 Hz, 2H), 6.80 (d, J = 10.1 Hz, 1H), 6.75–6.67 (m, 2H), 6.15 (d, J = 7.9 Hz, 1H), 6.08 (s, 1H), 4.59 (d, J = 16.8 Hz, 1H), 4.50 (d, J = 16.8 Hz, 1H), 3.66–3.57 (m, 1H), 3.44 (td, J = 10.8, 6.5 Hz, 1H), 3.28 (d, J = 13.2 Hz, 1H), 3.14–3.04 (m, 1H), 2.35–2.27 (m, 2H). 13C NMR (100 MHz, Acetone-d6) δ 166.33, 163.58, 161.16, 151.31, 150.69, 150.30, 147.24, 142.60, 140.56, 131.23, 130.13, 129.55, 128.70, 125.95, 123.54, 122.44, 122.09, 120.67, 117.79, 116.65, 116.44, 113.41, 113.28, 113.15, 106.16, 82.69, 56.85, 48.77, 44.07, 38.16. MS (ESI (+)) calcd for C30H24ClF2N3O+ [M + H]+: 516.2; found: 516.2.

3.3. Biological Activity

The antifungal activity of calycanthaceous alkaloid analogues was determined by the method previously reported [20]. Six kinds of plant phytopathogenic fungi (Verticillium dahliae-ACCC 36211; Colletotrichum orbiculare-SAUM 0321; Cytospora juglandis-ACCC36357; Curvularia lunata-SAUM 1373I; Sclerotinia sclerotiorum-ACCC34236; Altenaria solani-SAUM 1275) were provided by the School of Environmental and Chemical Engineering, Jiangsu University of Science and Technology.
The mics of 96-well plate compounds were used for testing. The antibacterial compounds were dissolved in 5% dimethyl sulfoxide (DMSO) at a concentration of 1.02 mg/mL. We added 100 μL of the solution to the first well, absorbed 100 μL from the first well and added it to the second well, and then absorbed 100 μL and added it to the third well and so on until the 10th column. We added 100 µL of prepared bacterial solution to each well. The 11th column of the plate was reserved for the negative control well (without inocula) and the 12th column for the positive control well (without antibacterial agents). Solutions of 500, 250, 125, 62.5, 31.3, 15.6, 7.8, 3.9 and 1.9 μg/mL were obtained by the microdilution method. The antibacterial test plates were incubated aerobically at 37 °C for 24 h, and the minimum sterilized concentration was recorded. The reference strains used were polygonum and amphotericin. Detection of MICs, MBC and MFC was determined by 10 μL plating on LB Agar and Sabouraud Dextrose Agar with negative and positive control wells, respectively. The above tests were repeated three times and were further repeated if the results were different.

4. Conclusions

A total of 39 novel cyclotryptamine alkaloid derivatives were prepared from 2-(1H-indol-3-yl) acetonitrile, and their antibacterial activities against six plant pathogenic fungi were tested. The results revealed that most of the target compounds had good antibacterial activity against plant pathogenic fungi, and a few compounds showed significant antibacterial activity. Among them, b2 displayed the broadest and most potent activity, which provides directions for further development of potential lead compounds for antifungal drugs.

Supplementary Materials

The following supporting information can be downloaded at: https://www.mdpi.com/article/10.3390/molecules28062617/s1, 1H and 13C NMR Spectra.

Author Contributions

S.Z. and Y.Y. designed research; Y.Y. and Y.Z. performed research; Y.T. and Q.J. performed statistical analysis; W.W. and R.Z. wrote the paper; S.Z. and K.H. reviewed the manuscript. All authors have read and agreed to the published version of the manuscript.

Funding

This work was supported by the National Natural Science Foundation of China (32271543) and the Zhenjiang Industrial Prospect and Common Key Technology Project (GY2022026).

Institutional Review Board Statement

Not applicable.

Informed Consent Statement

Not applicable.

Data Availability Statement

Data is contained within the article or the Supplementary Materials file.

Acknowledgments

Not applicable.

Conflicts of Interest

The authors declare no conflict of interest.

Sample Availability

Samples of the compounds are available from the authors.

References

  1. Rani, L.; Thapa, K.; Kanojia, N.; Sharma, N.; Singh, S.; Grewal, A.S.; Srivastav, A.L.; Kaushal, J. An extensive review on the consequences of chemical pesticides on human health and environment. J. Clean. Prod. 2021, 283, 124657. [Google Scholar] [CrossRef]
  2. Nicolopoulou-Stamati, P.; Maipas, S.; Kotampasi, C.; Stamatis, P.; Hens, L. Chemical Pesticides and Human Health: The Urgent Need for a New Concept in Agriculture. Front. Public Health 2016, 4, 148. [Google Scholar] [CrossRef] [PubMed]
  3. Ou, W.; Zhang, G.; Wu, J.; Su, C. Photocatalytic Cascade Radical Cyclization Approach to Bioactive Indoline-Alkaloids over Donor–Acceptor Type Conjugated Microporous Polymer. ACS Catal. 2019, 9, 5178–5183. [Google Scholar] [CrossRef]
  4. Zhu, Y.; Zhao, J.; Luo, L.; Gao, Y.; Bao, H.; Li, P.; Zhang, H. Research progress of indole compounds with potential antidiabetic activity. Eur. J. Med. Chem. 2021, 223, 113665. [Google Scholar] [CrossRef] [PubMed]
  5. Hilgeroth, A.; Yasrebi, K.; Suzen, S.; Hertlein, T.; Ohlsen, K.; Lalk, M. Antibacterial Evaluation of Novel Substituted Cycloheptaindoles in Staphylococcus and Enterococcus Strains. Med. Chem. 2019, 15, 833–839. [Google Scholar] [CrossRef] [PubMed]
  6. Singh, T.P.; Singh, O.M. Recent Progress in Biological Activities of Indole and Indole Alkaloids. Mini Rev. Med. Chem. 2018, 18, 9–25. [Google Scholar] [CrossRef] [PubMed]
  7. Kim, J.; Movassaghi, M. Biogenetically-inspired total synthesis of epidithiodiketopiperazines and related alkaloids. Acc. Chem. Res. 2015, 48, 1159–1171. [Google Scholar] [CrossRef] [PubMed]
  8. Peng, Y.; Luo, L.; Yan, C.S.; Zhang, J.J.; Wang, Y.W. Ni-catalyzed reductive homocoupling of unactivated alkyl bromides at room temperature and its synthetic application. J. Org. Chem. 2013, 78, 10960–10967. [Google Scholar] [CrossRef] [PubMed]
  9. Zhang, L.; Li, W.; Xiao, T.; Song, Z.; Csuk, R.; Li, S. Design and Discovery of Novel Chiral Antifungal Amides with 2-(2-Oxazolinyl)aniline as a Promising Pharmacophore. J. Agric. Food Chem. 2018, 66, 8957–8965. [Google Scholar] [CrossRef] [PubMed]
  10. Araki, T.; Manabe, Y.; Fujioka, K.; Yokoe, H.; Kanematsu, M.; Yoshida, M.; Shishido, K. Total syntheses of (±)-folicanthine and (±)-chimonanthine via a double intramolecular carbamoylketene–alkene [2+2] cycloaddition. Tetrahedron Lett. 2013, 54, 1012–1014. [Google Scholar] [CrossRef]
  11. Ruiz-Sanchis, P.; Savina, S.A.; Albericio, F.; Alvarez, M. Structure, bioactivity and synthesis of natural products with hexahydropyrrolo[2,3-b]indole. Chemistry 2011, 17, 1388–1408. [Google Scholar] [CrossRef] [PubMed]
  12. Xu, J.B.; Cheng, K.J. Studies on the alkaloids of the calycanthaceae and their syntheses. Molecules 2015, 20, 6715–6738. [Google Scholar] [CrossRef] [PubMed]
  13. Movassaghi, M.; Schmidt, M.A. Concise total synthesis of (-)-calycanthine, (+)-chimonanthine, and (+)-folicanthine. Angew. Chem. Int. Ed. Engl. 2007, 46, 3725–3728. [Google Scholar] [CrossRef] [PubMed]
  14. Li, Y.X.; Wang, H.X.; Ali, S.; Xia, X.F.; Liang, Y.M. Iodine-mediated regioselective C2-amination of indoles and a concise total synthesis of (+/-)-folicanthine. Chem. Commun. 2012, 48, 2343–2345. [Google Scholar] [CrossRef] [PubMed]
  15. Zheng, S.; Zhu, R.; Zhou, X.; Chen, L.; Bai, H.; Zhang, J. Synthesis and biological evaluation of calycanthaceous alkaloid analogs. Bioorg. Med. Chem. 2019, 27, 115088. [Google Scholar] [CrossRef] [PubMed]
  16. Zhu, R.; Wei, Y.; Han, K.; Shi, X.W.; Gu, Y.D.; Bai, H.J.; Zheng, S.J. Synthesis and biological profiling of half-calycanthaceous alkaloid analogues. J. Asian Nat. Prod. Res. 2020, 23, 859–865. [Google Scholar] [CrossRef] [PubMed]
  17. Zheng, S.; Gu, Y.; Zhu, R.; Li, L.; Bai, H.; Zhang, J. Synthesis and Antibacterial Activity of Calycanthaceous Alkaloid Derivatives. Chem. Nat. Compd. 2018, 54, 127–130. [Google Scholar] [CrossRef]
  18. Zheng, S.; Li, L.; Wang, Y.; Zhu, R.; Baia, H.; Zhang, J. Synthesis and Antimicrobial Activity of Calycanthaceous Alkaloid Analogues. Nat. Prod. Commun. 2016, 11, 1429–1432. [Google Scholar] [CrossRef] [PubMed]
  19. Zheng, S.; Zhou, X.; Xu, S.; Zhu, R.; Bai, H.; Zhang, J. Synthesis and Antimicrobial Characterization of Half-Calycanthaceous Alkaloid Derivatives. Molecules 2016, 21, 1207. [Google Scholar] [CrossRef] [PubMed]
  20. Zhang, W.J.; Wei, S.P.; Zhang, J.W.; Wu, W.J. Antibacterial Activity Composition of the Fermentation Broth of Streptomyces djakartensis NW35. Molecules 2013, 18, 2763–2768. [Google Scholar] [CrossRef] [PubMed]
Figure 1. Structure of cyclotryptamine alkaloids.
Figure 1. Structure of cyclotryptamine alkaloids.
Molecules 28 02617 g001
Scheme 1. Synthesis route to the title compounds a1a20 and b1–b19.
Scheme 1. Synthesis route to the title compounds a1a20 and b1–b19.
Molecules 28 02617 sch001
Table 1. MIC values of compounds against plant pathogenic fungi.
Table 1. MIC values of compounds against plant pathogenic fungi.
Compd.MIC (µg mL−1)
S. s.A. s.V. d.F. o.W. p.C. l.
a1125.0062.50250.0125.00125.00125.00
a2125.0062.5062.50125.00-31.30
a331.3031.3062.5062.5062.5062.50
a431.3062.5031.30125.0031.30125.00
a562.5062.5015.6031.30125.0062.50
a6250.00250.0062.50-62.5062.50
a7125.00250.00--62.50125.00
a862.50125.00125.00250.00250.00-
a9125.0062.50125.0062.5062.5031.30
a1031.3062.50125.00-62.50125.00
a1162.50125.00125.0062.5031.3031.30
a12250.00125.0062.50125.0031.3031.30
a1362.5062.5031.3031.3015.60125.00
a14250.00---62.50-
a1531.3031.3062.5031.3062.50125.00
a1662.5062.5031.30250.00125.0062.50
a1762.5062.5031.30--125.00
a1831.30125.0015.60250.00125.0062.50
a1931.3062.50125.00-62.50125.00
a20250.00250.00125.00--62.50
b131.3015.6031.3031.3062.5062.50
b21.901.903.90-31.30250.00
b362.50125.0031.3015.6031.3031.3
b43.901.9062.503.9031.307.80
b515.607.8031.303.9031.3062.50
b61.901.90---500.00
b7125.0062.5062.50250.0031.3062.50
b862.50125.00125.0062.5031.3031.30
b9125.00125.0062.50--31.30
b107.801.901.90--125.00
b1131.3062.5031.3015.60-31.30
b1262.5062.50125.00250.00125.00-
b133.9015.6015.6031.307.8031.30
b14125.0062.5062.50250.00-125.00
b157.801.9062.503.9062.5015.60
b16125.0062.5062.5015.6031.3031.30
b17250.001.901.90--250.00
b1862.5062.50--125.0031.30
b1962.5031.30125.00125.0062.50250.00
C7.8062.5015.1662.5031.30125.00
A3.9015.60125.00125.00125.0062.50
Note: Carbendazim and amphotericin B were used as the positive controls; “-” means no inhibition effect. MIC: Minimal Inhibitory Concentration; S.s: Sclerotinia sclerotiorum; A.s: Altenaria solani; V.d: Verticillium dahliae; F. o.: Fusarium oxysporum; W. p.: Walnut pythium; C. l.: Curvularia lunata; C: Carbendazim; A: Amphotericin B.
Disclaimer/Publisher’s Note: The statements, opinions and data contained in all publications are solely those of the individual author(s) and contributor(s) and not of MDPI and/or the editor(s). MDPI and/or the editor(s) disclaim responsibility for any injury to people or property resulting from any ideas, methods, instructions or products referred to in the content.

Share and Cite

MDPI and ACS Style

Yang, Y.; Zhou, Y.; Jiang, Q.; Tan, Y.; Wu, W.; Han, K.; Zhu, R.; Zheng, S. Synthesis and Structure–Activity Analysis of Novel Potential Antifungal Cyclotryptamine Alkaloid Derivatives. Molecules 2023, 28, 2617. https://doi.org/10.3390/molecules28062617

AMA Style

Yang Y, Zhou Y, Jiang Q, Tan Y, Wu W, Han K, Zhu R, Zheng S. Synthesis and Structure–Activity Analysis of Novel Potential Antifungal Cyclotryptamine Alkaloid Derivatives. Molecules. 2023; 28(6):2617. https://doi.org/10.3390/molecules28062617

Chicago/Turabian Style

Yang, Yazhou, Yujie Zhou, Qiaoju Jiang, Yi Tan, Wenbin Wu, Ke Han, Rui Zhu, and Shaojun Zheng. 2023. "Synthesis and Structure–Activity Analysis of Novel Potential Antifungal Cyclotryptamine Alkaloid Derivatives" Molecules 28, no. 6: 2617. https://doi.org/10.3390/molecules28062617

APA Style

Yang, Y., Zhou, Y., Jiang, Q., Tan, Y., Wu, W., Han, K., Zhu, R., & Zheng, S. (2023). Synthesis and Structure–Activity Analysis of Novel Potential Antifungal Cyclotryptamine Alkaloid Derivatives. Molecules, 28(6), 2617. https://doi.org/10.3390/molecules28062617

Article Metrics

Back to TopTop