Abstract
The dried bulbs of Allii Macrostemonis Bulbus (AMB) are called “薤白” in China and are mainly distributed in Asia. The plant species included in the 2020 Edition of the Chinese Pharmacopoeia (ChP) are Allium macrostemon Bunge (called xiaogensuan in Chinese, A. macrostemon) and Allium chinense G. Don (called xie in Chinese, A. chinense), respectively. In the traditional Chinese medicine (TCM) theoretical system, AMB is warm in nature, acrid-bitter taste, and attributive to the heart, lung, stomach, large intestine meridian. AMB has the function of activating Yang and removing stasis, regulating Qi and eliminating stagnation. Modern pharmacological studies have shown that AMB has anti-platelet aggregation, hypolipidemic, anti-atherosclerotic, cardiomyocyte, vascular endothelial cell protection, anti-cancer, anti-bacterial, anti-asthmatic, and anti-oxidant effects. In some Asian countries, AMB is often used to treat coronary heart disease (CHD), angina pectoris (AP), asthma, and diarrhea. This review collates the botanical background, ethnopharmacology, phytochemistry, pharmacological activities, quality control, and toxicological studies of AMB, and provides an outlook on the current research deficiencies and future research priorities of AMB, intending to provide ideas for future research directions and commercial development.
1. Introduction
AMB is a traditional Chinese herb with homology of medicine and food, named “薤白” in China. The 2020 edition of the ChP includes two basal plants of AMB, A. macrostemon and A. chinense, with Chinese herb names of “XiaoGenSuan” and “Xie”, respectively [1].
The effect of AMB in traditional Chinese medicine (TCM) is to activate Yang and remove stasis, regulate Qi and eliminate stagnation. It is used to treat chest stuffiness and pains, distention and fullness, stomachache, diarrhea with rectal heaviness, headache, toothache and blood stasis. The mainly components in AMB include steroidal saponins, flavonoids, phenylpropanoids, alkaloids, amino acids, volatile oils, polysaccharides, organic acids and inorganic elements. Modern pharmacological studies show that AMB has effects including anti-platelet aggregation, hypolipidemic, hypoglycemic, antioxidant, cough and asthma, antibacterial, antitumor, antidepressant, etc. [2].
At present, there are many studies on the effects of crude extracts or components of AMB on the treatment of chest pain and diarrhea, but there are few studies on its monomeric activity, quality and safety evaluation, which need to be further studied. Therefore, the literature on AMB should be reviewed and summarized to provide a theoretical basis for further research, expand its application and give full play to its therapeutic effects, so as to better serve human health.
2. Method
We conducted literature retrieval of AMB using electronic databases, including PubMed, CNKI, Web of Science, SpecialSciDBS, GBIF, Elsevier, and used national pharmaceutical standards, ancient Chinese medical classics, monographs on TCM, and academic papers to conduct a comprehensive analysis and summary. We used Allii Macrostemonis Bulbus, Allium macrostemon Bunge, Allium chinense G. Don, phytochemistry, steroidal saponins, pharmacological activity, anti-platelet aggregation, anti-atherosclerosis, cardiomyocytes, CHD, anti-cancer, antioxidant and antibacterial as keywords to review the information about botany, ethnopharmacology, phytochemistry, pharmacology, quality control and toxicology studies of AMB.
3. Geographical Distribution and Botany
Most of the Allium spp. of the family Liliaceae are distributed in the Northern Hemisphere, mainly in the Asia region, with about 660 species. Of these, 138 species grow in China, including 50 endemic varieties and 5 introduced varieties. Most varieties grow in arid areas, but a few species grow in ditch-side forests or watery meadows. A. macrostemon is distributed in all provinces and regions of China (except Xinjiang and Qinghai), mainly on mountain slopes, hills, valleys or grasslands at altitudes below 1500 m, and a few on mountain slopes at altitudes up to 3000 m (Yunnan and Tibet), and also in Russia, Korea and Japan. A. chinense is widely cultivated in the Yangtze River basin and provinces and regions south of China. It is also cultivated in Japan, Vietnam, Laos, Norway, and the United States [3,4]. A. macrostemon and A. chinense are seasonal wild vegetables; their leaves are typically eaten in late spring and early summer, while the bulbs hidden underground are savored in late summer and early autumn. They are very similar in appearance and morphology. Both of them usually have 2–5 hollow leaves and cylindrical scapes; the involucre is 2-lobed, with umbels. Both have depressed nectaries and are covered at the base by cap-like projections; the styles extend beyond the perianth. The differences between the two in terms of plant appearance and morphology are shown in Table 1 and Figure 1.
Table 1.
Main differences between A. macrostemon and A. chinense in terms of plant morphology.
Figure 1.
Plants form of A. macrostemon (A) and A. chinense (B) (www.gbif.org, accessed on 18 April 2022.).
4. Ethnopharmacology
AMB was first recorded as a medicinal herb to treat weapon injuries and anti-fatigue in Shennong Bencao Jing compiled in the Eastern Han Dynasty; in the Tang Dynasty’s Qianjin Yi Fang and Bencao Shiyi, AMB was used to treat chest paralysis and heart pain, and to stop diarrhea and remove dysentery. With the development of the times and the advancement of science, AMB is also considered to be useful in the treatment of CHD, sudden death, nodules, stroke, burns, diarrhea, dysentery, cough and asthma, calming the fetus, and detoxification. From ancient times to the present, the concoction of AMB has also undergone a process from simple to complex (Table 2).
Table 2.
Different processing methods of AMB in different periods.
Since ancient times, AMB has been used in several formulas, as shown in Table 3, the most famous of which are the classical formulas mentioned in Zhang Zhongjing’s “Jin Gui Yao Lue” during the Eastern Han Dynasty, including Gualuo Xiebai Baijiu Decoction, Gualou Xiebai Banxia Decoction and Zhishi Xiebai Guizhi Decoction. Nowadays, these classical formulas of AMB as the “monarch drug” have been developed into proprietary Chinese patent medicines for clinical application. In addition, many proprietary Chinese patent medicines containing AMB have been developed in different dosage forms, such as Xuezhitong-capsules (XZT), Xiebai-powder, Tongxiening -granules, Dan-Lou-tablets, and Zhenxintong-oral liquid.
Table 3.
Traditional uses of AMB in China.
5. Phytochemistry
AMB is extremely rich in phytochemicals and has been shown to contain steroidal saponins, flavonoids, phenylpropanoids, alkaloids, volatile oils, polysaccharides, organic acids, amino acids, etc. Different methods of preparation and extraction have a great influence on the content of active ingredients in AMB, and can even change its physicochemical properties, thus affecting the therapeutic effect [2].
5.1. Steroids and Steroidal Saponins
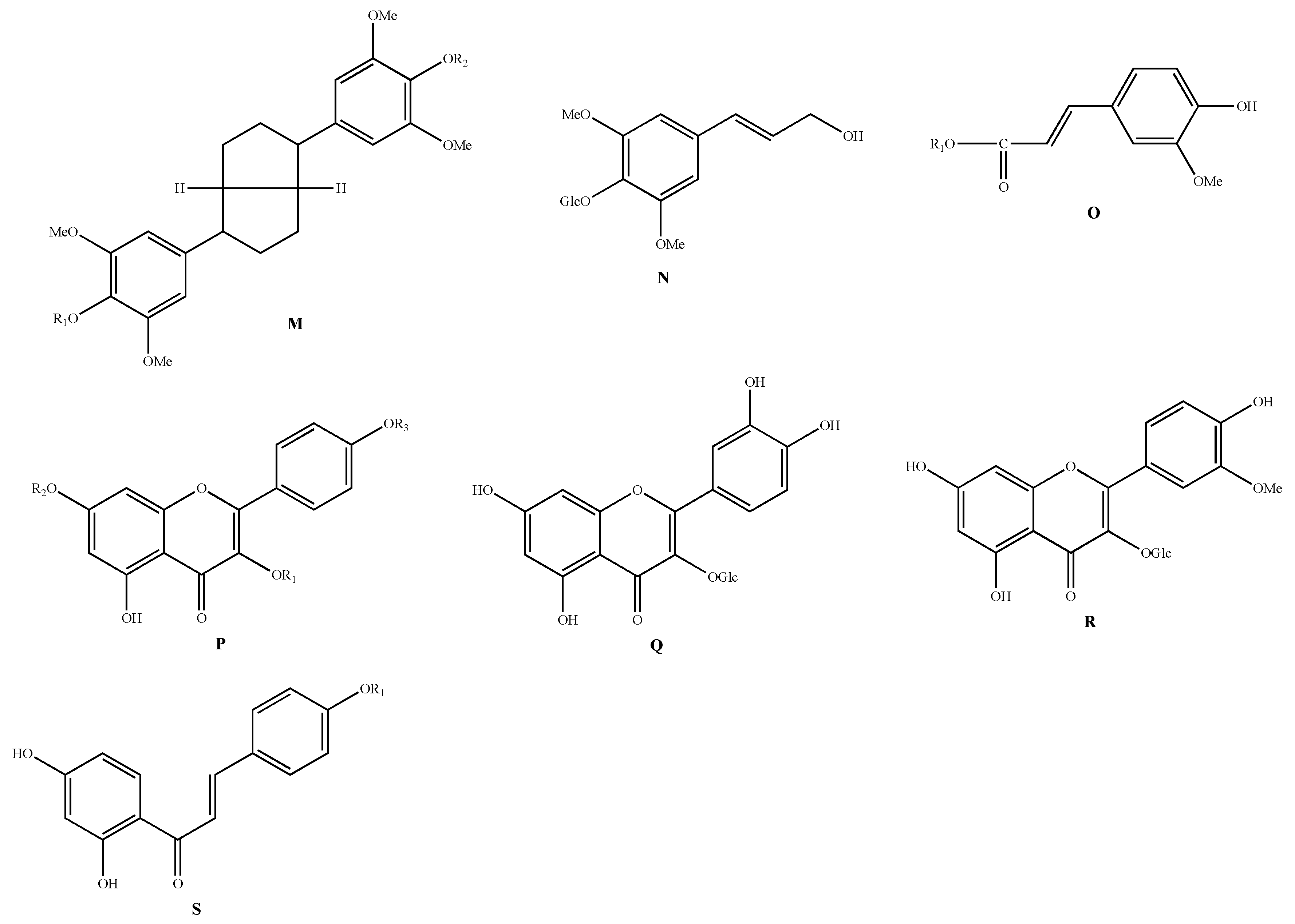
Steroids are a general term for compounds with a steroid parent nucleus, i.e., a cyclopentanoperhydrophenanthrene carbon skeleton. The physiological function of steroid compounds depends on the type and number of functional groups attached to the core ring and the configuration of the positions [5,6]. Steroid saponins are one of the main active substances in AMB; the parent nucleus is mainly of two types, spirostanol and furostanol, and the sugar part is mainly glucose, galactose, xylose, arabinose, and other monosaccharides. The sugar chain is usually attached to the C-3 position of spirostanol saponins, C-3 and C-6 positions of furostanol saponins, and to the C-1, C-6, C-12, and C-24 positions of steroid saponins; their structural diversity contributes to their wide range of pharmacological activities. Since the isolation of furostanoside and chinenoside I (54) [7] from A. chinense in 1989, a total of 89 steroidal saponins have been isolated and obtained, including spirostanosides (1–28) and furostanosides (29–89), in addition to pregnane glycoside (90) and cholestane glycosides (91–92), sitosterol (93), stigmasterol (94), daucosterol (95), sitosteryl-6’-O-undecane-β-D-glucoside (96), etc. The structures are shown in Table 4 and Figure 2.
Table 4.
List of steroids and steroidal saponins isolated from AMB.
Figure 2.
Structure of steroids and steroidal saponins isolated from AMB.
5.2. Volatile Oils and Sulfur-Containing Components
The special odor of AMB originates from the sulfur-containing compounds in the volatile oil, which constitute over 50% [28]. Most of the sulfur-containing compounds contain 1–5 S atoms in their molecules, characterized by the combination of different aliphatic side chains or rings on the sulfur skeleton. Some scholars used GC-MS to analyze the volatile oil of AMB and identified 14 chemical components, of which sulfur-containing compounds accounted for 93.46% [33]. Interestingly, the composition and proportion of sulfur-containing compounds identified in the volatile oil of AMB from different origins varied considerably, which may be related to the origin of AMB, but all contained methyl allyl trisulfide (139) [34]. In addition, there were differences in the chemical composition of volatile oils and their relative contents before and after AMB concoction. A total of 13 and 20 compounds were identified in the bulbs and leaves of fresh AMB, accounting for 62.5% and 59.63% of the total volatile oils, respectively; a total of 9 and 13 compounds were identified in the bulbs and leaves of AMB dried in an oven at 50 °C after steaming, accounting for 74.89% and 87.66% of the total, respectively [35]. The structures of the sulfur-containing compounds are shown in Table 5 and Figure 3.
Table 5.
List of sulfur-containing compounds previously identified from AMB.
Figure 3.
Structure of sulfur-containing compounds identified in AMB.
5.3. Nitrogen-Containing Components
Nitrogen-containing compounds are also one of the main active substances in AMB. Adenosine (155) has been developed as an antiarrhythmic drug and was approved for use by the FDA in 1989. Adenosine (155) is present in large amounts in AMB and has strong platelet inhibitory activity [42]; therefore, the development of anti-arrhythmic drugs that are associated with AMB can be considered. In addition, endogenous nucleosides similar to adenosine (155) were identified, including thymidine (156) and guanosine (157), and other active ingredients were N-trans-feruloyltyramine (161), N-(p-cis-coumaroyl)-tyramine (163) and its trans-enantiomer (162), 2,3,4,9-tetrahydro-1H-pyrido [3, 4-b]indole-3-carboxylic acid (158) and its 1-methylated product (159) and tryptophan (160), etc. [43,44,45]. In addition, AMB is rich in many free amino acids, including 19 common protein amino acids such as arginine, threonine, serine, and 4 non-protein amino acids [46]. The structures of the nitrogen-containing compounds are shown in Table 6 and Figure 4.
Table 6.
List of nitrogen-containing compounds previously identified from AMB.
Figure 4.
Structure of nitrogen-containing components isolated from AMB.
5.4. Phenylpropanoids
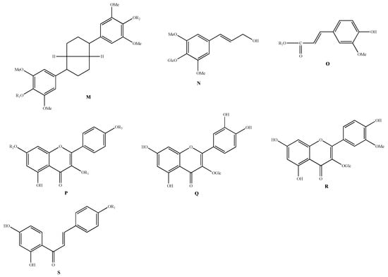
Phenylpropanoids are a naturally occurring class of compounds consisting of a benzene ring linked to three straight chain carbons (C6–C3 groups). In biosynthesis, most of these compounds are formed from anthranilic acid through a series of reactions such as deamination and hydroxylation by aromatic amino acids such as phenylalanine and tyrosine. Phenylpropanoids found in AMB include acanthoside D (164) [48], syringin (165) [42], In the leaves of AMB allimacronoid A (166) allimacronoid B (167), allimacronoid C (168), allimacronoid D (169), tuberonoid A (170), 1-O-(E)-feruloyl-β-D gentiobioside (171), 1-O-(E)-feruloyl-β-D-glucopyranoside (172), and trans-ferulic acid (173) [49,50]. The structures of phenylpropanoid compounds are shown in Table 7 and Figure 5.
Table 7.
List of phenylpropanoid and flavonoid components isolated from AMB.
Figure 5.
Structure of phenylpropanoids and flavonoids isolated from AMB.
5.5. Flavonoids
Flavonoids are a general term for a class of compounds derived from 2-phenylchromone as a backbone. Flavonoids in AMB are mainly flavonol glycosides and chalcones, including kaempferol-3-O-β-D-glucoside (174), kaempferol-3,7-O-β-D-diglucoside (175), kaempferol-3,4’-O-β-D-diglucoside (176), quercetin-3-O-β-D-glucoside (177), isorhamnetin-3-O-β-D-glucoside (178), isoliquiritigenin (179) and isoliquiritigenin-4-O-glucoside (180) [14,51]. The structures of the flavonoids are shown in Table 7 and Figure 5.
5.6. Polysaccharides
Polysaccharides are polymers of multiple monosaccharides linked by glycosidic bonds and are classified as homopolysaccharides and heteropolysaccharides. AMB contains a large number of polysaccharides. One study conducted acid hydrolysis tests on the three refined polysaccharides PAM-Ib, PAM-IIa and PAM-III’ from AMB and showed that all three polysaccharides contained galactose and glucose [52]. Another study used enzymatic hydrolysis of AMB polysaccharides, and the results showed that the monosaccharides included arabinose, glucose, rhamnose, and galactose [53]. Both AMP40N and AMP40S are polysaccharides isolated from AMB; AMP40N consists of arabinose and glucose, while AMP40S consists of rhamnose, arabinose, glucose and galactose and a certain amount of uridine monophosphate [54]. It can be seen that there are great differences in the monosaccharide composition, glycosidic bond type, uronic acid content and properties of AMB polysaccharides obtained by different extraction methods, but most of them are polymerized with glucose, galactose, rhamnose and arabinose. Due to the complexity of polysaccharide structure and the limitation of research means, the research into polysaccharides lags far behind other types of compounds, and only some of the fungus polysaccharides are used in clinical practice. Therefore, the research on polysaccharide components in AMB should be increased, and the relationship between structure and function of AMB polysaccharides and their mechanism of action in vivo should be dissected.
5.7. Other Components
Other compounds isolated from AMB include (3β, 4α)-Olean-12-en-28-oic acid-3-O-β-D-galactopyranosyloxy-23-hydroxy-6-O-β-D-xylopyranosyl-β-D-galactopyranosyl ester (181), prostaglandin A1 (182), prostaglandin B1 (183), 2-ene-butanol (184), ethyl acetate (185), limonene (186) [36,41,55,56] and several fatty acid analogues, including succinic acid ( 187), tetradecanoic acid (188), oleic acid (189), palmitoleic acid (190), palmitic acid (191) and linoleic acid (192) [37,40,57], whose structures are shown in Table 8 and Figure 6.
Table 8.
List of other compounds isolated from AMB.
Figure 6.
Structure of miscellaneous compounds isolated from AMB.
6. Pharmacological Activities
Studies have shown that crude extracts of AMB, monomeric components (e.g., macrostemonosides), and their compound preparations exert various pharmacological activities. Some of the pharmacological mechanisms are shown in Figure 7.
Figure 7.
The pharmacological mechanism of AMB (Partial): A. macrostemon (A) and A. chinense (B). (www.figdraw.com, accessed on 28 February 2023).
6.1. Anti-Platelet Aggregation Effect
Adhesion, aggregation and secretion are the three basic functions of platelets. Excessive platelet activation caused by pathological factors can promote platelet aggregation, which can cause thrombotic disease [58]. In recent years, much attention has been paid to the role of platelet-associated inflammation in the pathogenesis of coronary artery disease. The release of CD40L after platelet activation and adhesion between platelets and neutrophils is one of the initiating links of thrombosis [59]. Recent studies have suggested that platelets are involved in hemostasis and thrombosis, but also secrete various inflammatory factors such as adhesion molecules (Intercellular adhesion molecule-2), P-selectin and its ligand (P-selectin glycoprotein ligand-1), which have a direct chemotactic effect on leukocytes in blood vessels and regulate the development of inflammation [60]. Inflammation contributes to vulnerable plaque thrombosis and plays an important role in the pathogenesis of acute coronary syndrome (ACS). It was found that steroidal saponins in AMB inhibit platelet CD40L expression and platelet neutrophil adhesion [23]. AMB saponins inhibit arachidonic acid (AA), adenosine diphosphate (ADP) and platelet activation factor (PAF) induced platelet aggregation in a concentration-dependent manner in vitro and in vivo, reduce intra-platelet calcium ion concentration and adhesion between neutrophils and thrombin-activated platelets, and inhibit platelet aggregation induced by neutrophil supernatant [61]. N-trans-feruloyltyramine (158), isolated from AMB, showed significant inhibition of both the first and second phases of ADP-induced human platelet aggregation, whereas N-(p-cis-coumaroyl)-tyramine (160) inhibited only the first phase of aggregation [62]. Furosterosides in AMB reduce cardiomyocyte injury in SD rats both in vitro and in vivo by inhibiting platelet phosphatidylinositol 3-kinase/proteinserine-threonine kinase (PI3K/Akt) signaling pathway and thereby inhibiting ADP-induced platelet aggregation [63]. Methyl allyl trisulfide (136), a sulfur-containing compound in AMB, showed strong inhibition of platelet aggregation activity [37,41]. Given the relationship between platelets and inflammatory factors, it is suggested that the relationship between the pharmacological effects of AMB and inflammation is also one of the directions worth investigating.
6.2. Hypolipidemic and Anti-Atherosclerotic Effects
Atherosclerosis (AS) is a chronic inflammatory disease caused by impaired lipid metabolism, usually forming plaques in medium and large arteries [64], and is a major cause of the development of CHD and cerebral vascular accident (CVA) [65]. The accumulation of macrophages under the endothelium is thought to be the first step in the formation of AS, and over time, atherosclerotic plaques become more fibrotic and cause calcium deposits, which can eventually invade the lumen and lead to the development of ischemic disease [66].
Mammalian target of rapamycin (m TOR) is a serine/threonine protein kinase found in mammals and has important roles in cell proliferation, survival, metabolism, autophagy, apoptosis, migration, and other biological processes. Several studies have shown that m TOR activation triggers endothelial dysfunction, foam cell formation, and vascular smooth muscle cell proliferation, thereby promoting the development and progression of AS [67,68]. Furthermore, in the early stages of atherosclerosis, low-density lipoprotein (LDL) is retained in the intima and is modified to form multiple danger-associated molecular patterns (DAMP), mediated by oxidases, lipolytic enzymes, protein hydrolases, and reactive oxygen species, thereby acquiring immunogenicity [69], and immunogenic LDL activates vascular endothelial cells. Vascular endothelial cells regulate the structure and function of blood vessels by releasing biochemical factors such as nitric oxide (NO) and prostaglandin I2 (PGI2) [70].
It was found that AMB total saponin and volatile oil extract could significantly reduce serum and liver total cholesterol (TC), triglyceride (TG), and LDL levels, and increase serum high-density lipoprotein (HDL) levels in rats on a high-fat diet, thus exerting a hypolipidemic effect [71,72]. One of the possible mechanisms for AMB to lower lipids and prevent atherosclerosis is to increase the levels of PGI2 and PGE1 on the one hand and to interfere with AA metabolism and inhibit thromboxane A2 (TXA2) synthesis, on the other hand, thus changing the PGI2/TXA2 ratio and relieving the hypercoagulable state of blood [73,74]. Another study showed that 10% AMB powder added to the high-fat diet of an animal with hyperlipidemia could upregulate the mRNA expression levels of low-density lipoprotein receptor (LDLR) and liver X receptor alpha (LXRα) in liver tissue, thus exerting its hypolipidemic effect [75]. Macrostemonoside A (1) is a steroidal saponin isolated from AMB, which can reduce TC, TG, and LDL levels in mice serum and blood glucose levels in mice, and increase visfatin protein expression in 3T3-L1 cells [76,77]. XZT is a proprietary Chinese patent medicine made from AMB extract. Studies have shown that XZT reduces fatty acid synthase (FAS) and LDL levels in the serum of ApoE−/− mice by activating reverse cholesterol transport (RCT) and increasing HDL levels, and that XZT reduces TG levels in patients with hyperlipidemia [78,79]. The m TOR signaling pathway plays an important role in the progression and treatment of CHD. m TOR is mostly associated with cellular autophagy and apoptosis, and previous studies have demonstrated that autophagy has a dual role in atherosclerosis. The body needs moderate autophagy to stabilize plaque and inhibit excessive autophagy during cardiac I/R injury to reduce myocardial infarct size. Most of the monomeric components of TCM for the treatment of CHD are purified from blood-stasis-activating and qi-supplementing drugs, but the mechanisms of pharmacological effects of qi-activating drugs (e.g., AMB) and expectorants (e.g., Fructus Trichosanthis and Pinellia Tuber), which are commonly used in the clinical treatment of CHD, have been less studied, and research on the mechanisms of active components of these herbs should be strengthened.
6.3. Protection of Cardiomyocytes and Vascular Endothelial Cells
Myocardial ischemia is the result of an imbalance in oxygen supply and demand to myocardial cells, and early hemodialysis is the most effective way to reduce post-ischemic myocardial injury [80]. With the development of the application of interventions such as percutaneous coronary intervention, coronary artery bypass grafting, and thrombolysis, the myocardium can be resupplied with blood after ischemia, but the ensuing myocardial ischemia-reperfusion injury is a complex pathophysiological process involving multiple factors. The mechanism is currently believed to be closely related to inflammation, oxidative stress, vascular endothelial cell damage, platelet aggregation, and other factors, which can eventually lead to irreversible apoptosis or necrosis [81,82,83]. Early reperfusion therapy can aggravate the myocardial injury and become an important factor affecting the outcome of ischemic therapy. The assessment and treatment of reperfusion injury remain a clinical challenge, and the causal mechanism is still unclear. One mechanism that has been identified is that ischemia-reperfusion triggers endothelial cell dysfunction and disrupts the endothelial structure of the blood vessels, thereby impeding blood circulation within the microvasculature. Endothelial cells are not only found in the lining of blood vessels but also cover the heart and lymphatic lumen longitudinally in a single layer, playing an important role in normal cardiac physiology and cardiac response to injury. Endothelial cells also act as secretory cells, secreting vasoactive substances, such as the vasoconstrictors endothelin (ET) and angiotensin, and vasodilators such as NO and endothelial-dependent hyperpolarizing factor (EDHF). They play an important role in regulating the tone of blood vessels, especially microcirculatory vessels; they can also synthesize and secrete relevant coagulation factors and fibrinolytic substances to maintain a dynamic balance between coagulation and fibrinolysis and influence the coagulation and fibrinolysis process, thus maintaining normal blood flow and circulation [84]. It was found that AMB extract reduced the gene expression of inflammation-related cyclooxygenase-2 (COX-2), cyclooxygenase-1 (COX-1), inducible nitric oxide synthase (iNOS), and vasodilation-related endothelin-converting enzyme (ECE), and endothelial nitric oxide synthase (eNOS), but increased the gene expression of antioxidant superoxide dismutase (SOD) in a model of air-stressed vascular endothelial injury, thereby reducing endothelial vascular damage in model rats [85,86]. At the same time, AMB extract also significantly reduced plasma ET level, increased serum NO level, and inhibited glucose-regulated protein 78 (GRP78) protein expression in aortic tissue to improve vascular endothelial function in model rats by suppressing endoplasmic reticulum stress [87]. In a rat model of acute myocardial ischemia caused by open-chest ligation of the anterior descending branch of the rats’ left coronary artery, ethanolic extract of AMB can regulate the balance of lipid and protein metabolism and reduce the damage caused by acute myocardial ischemia in the rat organism [88]. AMB extract also significantly increased serum glutathione peroxidase (GSH-Px) activity; it decreased acetylcholinesterase (TChE) activity, non-esterified fatty acid (NEFA), and malondialdehyde (MDA) content, and reduced the extent of myocardial injury in rats [89]. In addition, AMB extracts could protect vascular endothelial function in depressed rats by enhancing 5-hydroxytryptamine 1D (5-HT1D) mRNA and protein expression, which mediates the diastolic effect, and inhibiting 5-hydroxytryptamine 2A (5-HT2A) mRNA and protein expression, which mediates the vasoconstrictive effect [90].
6.4. Anti-Cancer Effect
In medicine, cancer is defined as a malignant tumor often originating from epithelial tissue, which is the most common type of malignancy. Globally, cancer has become the leading cause of human death and a serious obstacle to increasing human life expectancy [91]. Today, global cancer incidence and mortality rates are increasing every year, with 28.4 million cancer cases expected in 2040 [92]. The anti-cancer activity of AMB is mainly related to the water-soluble saponins, polysaccharides, and fat-soluble volatile oils contained in it. Reports have illustrated that the active components in AMB have been effective against human non-small cell lung cancer A549 [13,30], human lung cancer cells PC-9 [13], mice sarcoma cells S180 [93,94], mice liver cancer cells H22 [94], human gastric cancer cell SGC-7901 [95], human breast cancer MCF-7 [21], human neural cancer cell SF-268 [21,25,96], human lung cancer cells NCI-H460 [21,25,96], human cervical cancer HeLa cells [14,97,98], human colon cancer cells SW-480 [99], mice melanoma cells B16 [100], mice breast cancer cells 4T1 [100], human hepatoma cells Hep-3B [101], human hepatoma cells HepG2 [21,30,97], human lung adenocarcinoma cell SPC-A-1 [30], human gastric cancer cell MGC80-3 [30], human breast cancer cell MDA-MB-231 [30], human colon cancer cell SW620 [30] and human nasopharyngeal carcinoma cells CNE-1 [30], which were inhibited in vivo or in vitro. Possible mechanisms of action include: regulation of EGFR/PI3K/m TOR and RAF/MAPK signaling pathways [13]; inhibition of tumor cell membrane phospholipid synthesis [14]; enhancement of immune function in mice, especially cellular immune function, which is dominant in tumor immunity, and thus suppression of tumor cells [93,100]; directly killing tumor cells by destroying nuclei and organelles [94]; altering the G2/M cell cycle of tumor cells [30,97]; promoting the expression of P53 protein to induce apoptosis [94,95]; decreasing mitochondrial membrane potential; up-regulating Bax mRNA expression, down-regulating Bcl-2 mRNA expression, and Bcl-2/Bax ratio; enhanceing Caspase-9 and Caspase-3 activity; inducing reactive oxygen species (ROS) production, and promoting apoptosis of tumor cells [98,99,101].
6.5. Antibacterial Effect
The extracts of AMB have inhibitory effects on a variety of bacteria and fungi. It was found that the aqueous extract of AMB had a wide range of antibacterial abilities, and the antibacterial ability varied at different dilutions of the extracts, with a more desirable effect at higher concentrations, and weaker effect at higher dilutions [102]. In addition, the ethanol extract of AMB also has an inhibitory effect on most bacteria, and the inhibition ability is influenced by temperature and pH. The strongest inhibition activity is at 50–60 °C and the activity decreases when the temperature is greater than 100 °C. The inhibition activity is stronger when the pH is neutral or nearly neutral, and the inhibition activity gradually decreases with the enhancement of acidity or alkalinity [103]. AMB may exert its bacterial inhibitory effect by inhibiting the synthesis of bacterial-associated proteins, inhibiting the activity of related enzymes, or changing their cell structure [104,105]. The material basis of these mechanisms may be related to the sulfur-containing compounds in AMB, and the specific mechanism of action needs to be investigated in depth.
6.6. Anti-Asthmatic Effect
Asthma, as a chronic inflammatory disease of the respiratory tract, is one of the most common non-communicable diseases of the respiratory system in children and adults, often caused by allergic reactions. Stimuli such as histamine, acetylcholine, or cold air can cause airway hyperreactivity and produce airway obstruction, which can clinically cause recurrent episodes of wheezing, chest tightness, or coughing [106]. Typical asthma pathology is characterized by airway inflammation, smooth muscle contraction, epithelial cell shedding, excessive mucus secretion, bronchial hyperresponsiveness, and mucosal edema [107]. Standard therapies for asthma are mainly based on bronchodilators and immunosuppressive drugs, which provide short-term relief but not a cure. Chinese medicine has played an important role in the treatment of various respiratory diseases, including asthma, and has a history of more than 2000 years in the treatment of asthma. In recent years, more and more researchers have focused on the effects of Chinese medicine on asthma, and have achieved remarkable results in clinical trials or basic experimental models [108,109]. Clinically, AMB can be used alone for the treatment of asthma, and in recent years, many studies have been conducted on the pharmacodynamic material basis of AMB for the treatment of asthma. It has been reported that in animal experiments, IL-6 mRNA content in the bronchial tissues of asthmatic guinea pigs was significantly increased [110,111]. In clinical practice, serum levels of IL-6 are also significantly higher in asthmatics than in normal subjects [112,113,114]. In addition, the balance of TXA2 and PGI2 is an important regulatory mechanism in the pathophysiological mechanism of asthma, and if the ratio of TXA2/PGI2 is increased, it causes bronchial smooth muscle contraction leading to asthma; however, because of the instability of TXA2 and PGI2, the corresponding metabolites of both, thromboxane B2 (TXB2) and 6-keto-prostaglandin F1α (6-Keto-PGF1α) are often measured [115,116,117]. Studies have shown that AMB extract can reduce the expression levels of IL-6 and TXB2 and up-regulate the expression level of 6-Keto-PGF1α in the serum of asthmatic guinea pigs, thus achieving a panting effect [118]. In vivo and in vitro, the active ingredients in AMB effectively diastole bronchial smooth muscle in a guinea pig model of histamine-induced asthma [119,120]. In summary, we deduce that the mechanism by which AMB exerts its effect on wheezing may be through the inhibition of inflammatory response, alleviating chronic inflammation and thus relieving the spastic state of bronchial smooth muscle.
6.7. Antioxidant Effect
ROS are oxygen-containing radicals with high oxidative capacity and high activity generated during metabolism, mainly including superoxide anion radical (O2−), hydrogen peroxide (H2O2), hydroxyl radical (·OH), etc. ROS are a double-edged sword for cellular life activities: on the one hand, ROS are important tools or signaling molecules in specific cells (such as macrophages, etc.) and play an important role in removing pathogenic microorganisms, maintaining the normal vascular function, and regulating intracellular homeostasis. On the other hand, when the excessive production of intracellular ROS exceeds the scavenging capacity of the antioxidant system in the body, they will attack proteins, DNA and lipids, causing oxidative stress, which is one of the important factors in the occurrence of cell damage, inflammation, and metabolic disorders [121,122,123,124]. Antioxidant enzymes in the body mainly include SOD, GSH-Px, glutathione S-transferase (GST), catalase (CAT), etc. Non-enzyme antioxidants include glutathione, vitamin E, vitamin C, etc. SOD can effectively scavenge O2−, protect cells from oxidative damage, and also provide hydrogen atom ligands for the reduction of ROS to produce hydrogen peroxide, which in turn can be catalyzed by GSH-Px and CAT to produce water and oxygen to reduce oxidative stress damage [125,126,127]. Oxidative stress is associated with multiple signaling pathway molecules. Nuclear factor erythroid 2-related factor 2 (Nrf2) is a basic leucine zipper transcription factor, and cytoplasmic Nrf2 is normally bound to Kelch-like ECH-associated protein-1. The free Nrf2 is able to translocate from the cytoplasm to the nucleus, where it forms a heterodimer with Maf family proteins and then binds to antioxidant response element sequences to induce the expression of downstream antioxidant enzymes, thereby scavenging ROS, inhibiting oxidative stress, maintaining the structural integrity and normal metabolic function of the cell, and exerting its transcriptional regulatory role [128,129,130,131]. Nuclear factor kappa-B (NF-κB) is a dimeric protein of the Rel family. The heterodimer composed of p65 and p50 is a common activated form of NF-κB. NF-κB can promote the infiltration of neutrophils and macrophages and the release of cytokines, chemokines, adhesion molecules, etc., stimulate the expression and secretion of matrix metalloproteinases, activate nicotinamide adenine dinucleotide phosphate oxidase to produce large amounts of ROS, and trigger oxidative stress-related inflammatory diseases [132,133,134]. Silent information regulator 1 (Sirt1) is a nicotinamide adenine dinucleotide-dependent deacetylase. Activated Sirt1 inhibits p66shc expression and reduces mitochondrial ROS production by regulating p66shc, which deacetylates histone H3 bound to the p66shc promoter [135,136,137]. It is found that AMB extract alleviates liquor-induced oxidative stress in rats by increasing serum SOD and CAT activities and protecting T lymphocytes, and significantly inhibiting serum lipid peroxide formation [138]. AMB polysaccharide, AMB saponin, and some sulfur-containing compounds can effectively scavenge DPPH, O2− and ·OH in vitro and inhibit the oxidation of Fe2+ to a certain extent, and their antioxidant ability can be enhanced after modification with chlorosulfate-pyridine or α-amylase for AMB polysaccharide [139,140,141,142,143]. Although there are many experimental studies on the antioxidant activity of various extracts of AMB, most of them are limited to in vitro experiments and the specific mechanism is not yet clear. The research efforts on oxidative stress signaling molecules should be deepened to elucidate the antioxidant mechanism of AMB at the molecular level.
6.8. Antidepressant Effect
Depression is an affective disorder characterized by persistent mood abnormalities, mainly manifested as depressed mood, lack of pleasure, difficulty concentrating, fatigue, physical pain, and other symptoms, with a high disability rate and high patient suicide rate, which brings a serious economic burden to the patient’s family and society [144,145]. The pathogenesis of depression has not yet been fully investigated and researchers have proposed various hypotheses, among which the monoamine transmitter theory suggests that the development of depression is mainly due to the reduction of 5-hydroxytryptamine (5-HT) and norepinephrine (NE) in the brain; therefore, inhibiting the degradation and reuptake of these two monoamines is beneficial to improve depressive symptoms [144]. The neurotrophic factor hypothesis focuses on the brain-derived neurotrophic factor (BDNF) and suggests that an imbalance of brain derived neurotrophic factor precursor (proBDNF) and mature form of brain-derived neurotrophic factor (mBDNF) is closely related to the development of depression [146]. The neurogenesis hypothesis suggests that downregulation of hippocampal neurogenesis is the cause of depression and that antidepressants work based on promoting neurogenesis [147,148]. In addition, possible mechanisms such as the hypothalamic-pituitary-adrenal (HPA) axis dysregulation hypothesis, inflammation hypothesis, and genetic hypothesis have also been proposed to explain the development of depression [149]. Depression is gradually becoming an important health problem faced by all human beings today, and its pathogenesis is complex. Although antidepressant western drugs are effective for patients with critical symptoms, they have more side effects in terms of mental and emotional effects when taken for a long time. Therefore, people gradually turn their horizons to Chinese medicine, but the composition of Chinese medicines is complex. It can be difficult to find the best component with significant efficacy among the complex and numerous components of compound medicines and single component treatments. The mechanism by which AMB exerts antidepressant effects on various animal models of depression (including rats and mice) may be through regulating the balance of the internal environment of depression model animals, promoting neurogenesis and BDNF production; at the same time, AMB can significantly improve the pathological changes of organ tissues in the relevant animal models [150,151]. In addition, the analysis of lipids and acylcarnitine in the plasma of depressed rats by liquid chromatography/ion trap time of flight mass spectrometry and ultra-performance liquid chromatography/triple quadrupole mass spectrometry, respectively, showed that the AMB aqueous extract was able to restore the normal levels of these abnormally altered indicators [152]. Although there are numerous studies on depression, the relevant mechanisms are still under-explained, and more rigorous experimental design is needed in the future, together with modern technology to reduce complex Chinese medicine into simpler groupings, purify components, or increase the study of mechanisms at the cellular-molecular level. It cannot be ignored, however, that Chinese medicine mostly follows a certain idea of combination, and it is necessary to maintain a cautious attitude whether the antidepressant components derived from the reductionist ideas of modern medicine can stand up to clinical tests.
6.9. Other Pharmacological Effects
In addition to the above pharmacological effects, AMB and its compounds exhibit other activities such as analgesia, hypoxia tolerance, immunomodulation, promotion of osteogenesis, inhibition of hepatic drug enzymes, and mosquito control. Studies have shown that both the raw aqueous decoction of AMB and its fried aqueous decoction have strong analgesic effects and prolong the duration of hypoxia tolerance in mice with enhanced oxygen consumption induced by NaNO2 intoxication and isoproterenol (ISO) under normoxic conditions. The mechanism of analgesia of AMB may be through the inhibition of voltage-sensitive Nav1.7 channels, thus reducing the excitability of peripheral neurons and exerting analgesic effects [153,154]. AMB can increase the weight of mice’s immune organs, the spleen and thymus, and can increase carbon particle contouring index K and phagocytosis index α; that is, it can promote the phagocytosis of mononuclear macrophages and improve the specific immune function of the body. AMB volatile oil can increase the spleen index, macrophage phagocytosis rate and splenocyte proliferation index. The regulatory ability of AMB on the immune system may be one of the mechanisms of its anti-tumor effect [93,155]. AMB alcohol extract can increase the expression of insulin-like growth factor-1 and bone morphogenetic protein-2, thus regulating the formation and resorption of bones and achieving the purpose of promoting bone growth [156]. AMB aqueous extract can significantly reduce the content of cytochrome P450 in mice and has a significant inhibitory effect on hepatic drug enzymes [157]. In addition, the volatile oil of AMB and its two main components (compounds 113 and 135) exhibited strong larvicidal effects against Aedes albopictus larvae, suggesting the existence of a basis for the development of mosquito control agents [158]. The modern pharmacological studies on AMB are summarized in Table 9.
Table 9.
Reported pharmacological activities of AMB extract or isolated compounds.
7. Quality Control
The quality control of Chinese medicine is a prerequisite to ensuring the safe and effective clinical application of Chinese medicine. Standardized research on the quality of Chinese medicine is the top priority to achieve the sustainable development of Chinese medicine in recent years, and strengthening the quality control of Chinese medicine is of great significance to ensure the safety of people’s medicine and promote the development of the Chinese medicine industry. In the 2020 Edition of the ChP, the quality control of AMB mainly includes microscopic identification, thin-layer chromatography (TLC), moisture, total ash, and ethanol leachate detection, and states that the moisture content of AMB shall not exceed 10.0% by the toluene method, the total ash content should not exceed 5.0% by constant weight method, and the leachate content obtained by heating extraction with 75% ethanol shall not be less than 30.0% [1]. It was reported that the surface-enhanced Raman scattering (SERS) spectra of AMB volatiles of different species from different production areas were tested with nano-silver sol as the substrate. The results showed that the SERS spectra of these batches of AMB volatiles were very similar; the intensity of the characteristic peaks varied somewhat, but the peak positions were basically unchanged, and the reproducibility was good, indicating that nano-silver sol could be used as the substrate of SERS for the determination of AMB volatiles [34]. Other scholars have used chromatographic methods to study the content of each component in AMB. This includes the quantitative analysis of furostanol saponins in AMB using high performance liquid chromatography [171] and determination of adenosine (155) in AMB by reversed-phase high performance liquid chromatography [172]. Gas chromatography-mass spectrometry was used to qualitatively and quantitatively analyze the volatile oil of AMB, and the main components were identified as sulfur-containing compounds and their mass fractions [38]. High performance liquid chromatography-mass spectrometry was used to determine the concentration of AMB saponins in rat plasma and tissues; the experimental results showed that AMB saponins were high in rat liver and kidney, and no such components were detected in brain and lung tissues. This method provides theoretical guidance for AMB quality control and drug use, but there are shortcomings, since the experimental detection of AMB saponins monomers only selected the highest plasma exposure monomers, leaving a future need to study other monomers with high relative exposure [173]. Another study used chemometric methods to select the main components and major absorbed components in rats as their representative components. It then established ultra performance liquid chromatography coupled with quadrupole time-of-flight tandem mass spectrometry for the simultaneous determination of 54 components (15 components were quantitative and 39 components were semi-quantitative), which facilitated the screening of AMB quality markers [174]. In addition, the determination of furostanol saponins content in AMB by colorimetric method with Ehrlich reagent can also be used as one of the methods to evaluate the quality standard of AMB [175]. The main active ingredients in AMB are steroidal saponins, sulfur-containing, and nitrogen-containing compounds. So far, the quality markers of AMB are still unclear, and the current ChP does not have its quantitative standards, so deepening the screening of AMB quality markers is one of the efforts to optimize the quality control of AMB. Further research and development by scholars in this industry are needed to ensure its quality assurance and medication safety.
8. Toxicology
The ancient Chinese medical classics, “Mingyi Bielu”, states that AMB is “bitter in taste and non-toxic”, and the same is true of “Bencao Gangmu”, which also states that it is non-toxic. In the 2020 Edition of the ChP, the recommended daily dose of AMB for adults is 5–10 g. To date, there have been very few reports of toxicity or side effects of AMB. After reviewing the relevant literature, only one case of intestinal rumbling and diarrhea with yellow watery stools after taking AMB was found, but the specific mechanism is unclear. It is speculated that the components contained in AMB may act as antigens or semi-antigens when they enter the body to cause metabolic diseases in the body, or the components in AMB may directly stimulate mast cells or basophils to release allergic mediators (such as histamine, 5-HT, etc.) or there could be direct activation of the complement system, direct or indirect action on target organs or organs in shock [176]. The oral median lethal dose (LD50) of AMB and its compounds were greater be more than 100 times of their respective clinical doses, and the toxicity was very low. The LD50 of AMB (70.12 ± 3.49 g/kg) and the compounds (48.72 ± 1.79 g/kg) were administered intraperitoneally to mice, and the symptoms of toxicity were similar, including reduced activity, weakness of limbs, flaccidity, and convulsions [177]. In addition, AMB should be used with caution in patients with Yin deficiency and fever and Qi deficiency, and it is said that AMB should not be consumed with beef. In summary, AMB can be considered non-toxic, with the possibility of toxic reactions only in rare cases or in very large doses for long-term use.
9. Conclusions and Outlook
AMB has a long history of use. As a special herbal medicine for the treatment of “obstruction of Qi in the chest”, AMB has the efficacy of activating Yang and removing stasis, regulating Qi and eliminating stagnation, and is abundant, inexpensive, and of high medicinal value. This review systematically summarizes botany, ethnopharmacology, phytochemistry, pharmacological effects, quality control, and toxicology of AMB. Botanically, AMB has two sources, A. macrostemon and A. chinense, which are very similar and can be distinguished in the intact plant by the shape and color of the bulb, the length of the scape and pedicel. However, the dried product is difficult to distinguish from its appearance and can be distinguished by microscopic identification. The origin of the two is also different (see Figure 1). In traditional applications, AMB is often used in combination with Fructus Trichosanthis, Pinellia Tuber, Cassia Twig, etc., and is clinically effective in the treatment of CHD, AP, and other diseases. However, the efficacy of AMB in ancient Chinese medical books is not limited to this, but also includes anti-fatigue, promotion of wound healing, treatment of CVA, etc. The research into how AMB achieves such effects should be broadened, to expand its medicinal scope and give greater play to its medicinal value. In addition to its medicinal use, AMB is also included as food in the Health Law of the People’s Republic of China, and this medicinal food homologation also provides a favorable condition for further development of AMB in the future.
In recent years, the research results on AMB in phytochemistry and pharmacological effects have been remarkable. In phytochemistry, so far, more than 190 kinds of compounds have been extracted and isolated from AMB, with as many as 96 steroidal components, including 89 steroidal saponins, and also some sulfur-containing compounds, nitrogen-containing compounds, phenylpropanoids, and flavonoids. Modern pharmacological studies have shown that AMB has pharmacological activities in areas such as anti-platelet aggregation, hypolipidemia, anti-atherosclerosis, protection of cardiomyocytes and vascular endothelial cells, anticancer, antibacterial, anti-asthma, antioxidants, and antidepressant effects. According to the previous review, its importance may be summarized as follows. AMB may be used in the treatment of atherosclerosis, thrombosis, and hypertension caused by vascular endothelial cell injury and apoptosis. AMB exhibits protective effects on vascular endothelial cells along with antithrombotic and antihypertensive effects; endothelial cell injury is closely related to inflammatory response invasion and antioxidant effects, so the mechanism of endothelial cell protection by AMB may also be closely related to its anti-inflammatory and antioxidant effects. In addition, AMB can inhibit the invasion and migration of tumor cells to varying degrees, thus exerting its anti-tumor effects, and the mechanism is also related to the inhibition of platelet aggregation by AMB.
Behind the above research results, there are still deficiencies in the research on AMB: (1) Despite the large number of compounds isolated from AMB, the 2020 Edition of the ChP still only has microscopic identification and TLC, and no quality markers for AMB have been identified; therefore, there is a need to strengthen the screening of quality markers for AMB in combination with relevant studies on chemical composition and pharmacological activity, so as to ensure herb quality and drug safety. (2) Due to the still large technical difficulties in the isolation and purification of a large number of monomeric compounds, most of the current pharmacodynamic studies on AMB saponins have used the total extracts of AMB saponins, while lacking in-depth molecular mechanism studies. Therefore, obtaining sufficient monomeric compounds of AMB saponins and their modification products by chemical synthesis can provide in-depth studies on the pharmacodynamic effects and molecular mechanisms of the monomeric components and provide a theoretical basis for clinical exploration of potential precursor drugs. (3) Using histological and other techniques, and linking the material reflecting the diversity of chemical components with transcriptomics, proteomics or metabolomics reflecting the pharmacological mechanisms, can further elucidate the modern pharmacological mechanism of TCM by modern scientific means under the premise of multi-component drug incorporation and provide new scientific ideas for the modernization of Chinese medicine. Therefore, it is urgent to further investigate and confirm the various activities of AMB using new pharmacological models, and to clarify the corresponding active sites and active components. (4) The toxicological studies of AMB are relatively few, and such studies should be deepened. The corresponding toxicological studies should be conducted under the guidance of TCM theory.
In general, despite the many research findings on AMB, there are still many gaps. The top priority is the study of pharmacological activity of the monomeric components of AMB and the screening of quality markers. The information provided in this paper can help set targets for future research directions and commercial development of AMB.
Author Contributions
J.W. and L.W. were the first authors and were responsible for collecting literature in online databases and writing the paper. Y.C. and F.L. helped to organize the information and edit the article tables. J.Z. was the corresponding author of this study and was responsible for improvements in the final presentation of the paper. All authors have read and agreed to the published version of the manuscript.
Funding
This work was funded by the Jilin Science and Technology Development Program Project (20200404023YY) and the Jilin Agricultural University Graduate Teaching Case Library Construction Project (2021).
Institutional Review Board Statement
Not applicable.
Informed Consent Statement
Not applicable.
Data Availability Statement
Data sharing not applicable to this article as no datasets were generated or analysed during the current study. Our manuscript does not produce new data; all available data are contained in the non published material.
Conflicts of Interest
The authors declare that there are no conflicts of interest regarding the publication of this paper.
References
- Chinese Pharmacopoeia Commission. Pharmacopoeia of People’s Republic of China; 2020 Edition; China Medical Science Press: Beijing, China, 2020; Part 1; pp. 392–393. [Google Scholar]
- Yao, Z.H.; Qin, Z.F.; Dai, Y.; Yao, X.S. Phytochemistry and pharmacology of Allii Macrostemonis Bulbus, a traditional Chinese medicine. Chin. J. Nat. Med. 2016, 14, 481–498. [Google Scholar] [CrossRef] [PubMed]
- Editorial Committee of the Flora of China. Liliaceae. In Flora of China; Science Press: Beijing, China, 2004; Volume 14, pp. 259–260. Available online: http://www.efloras.org/volume_page.aspx?volume_id=2014&flora_id=2 (accessed on 18 April 2022).
- Editorial Committee of the Flora of China. Liliaceae. In Flora of China; Science Press: Beijing, China, 2004; Volume 14, pp. 265–266. Available online: http://flora.huh.harvard.edu/china/mss/volume14/index.htm (accessed on 18 April 2022).
- Donova, M.V.; Egorova, O.V. Microbial steroid transformations: Current state and prospects. Appl. Microbiol. Biotechnol. 2012, 94, 1423–1447. [Google Scholar] [CrossRef] [PubMed]
- Fragkaki, A.G.; Angelis, Y.S.; Koupparis, M.; Tsantili-Kakoulidou, A.; Kokotos, G.; Georgakopoulos, C. Structural characteristics of anabolic androgenic steroids contributing to binding to the androgen receptor and to their anabolic and androgenic activities. Applied modifications in the steroidal structure. Steroids 2009, 74, 172–197. [Google Scholar] [CrossRef] [PubMed]
- Matsuura, H.; Ushiroguchi, T.; Itakura, Y.; Fuwa, T. A furostanol glycoside from Allium chinense G. DON. Chem. Pharm. Bull. 1989, 37, 1390–1391. [Google Scholar] [CrossRef]
- Peng, J.P.; Wu, Y.; Yao, X.S.; Okuyama, T.; Narui, T. Two new steroidal saponins from Allium macrostemon. Acta Pharm. Sin. 1992, 27, 918–922. [Google Scholar]
- Ren, G.; Qiao, H.X.; Yang, J.; Zhou, C.X. Protective effects of steroids from Allium chinense against H2O2-induced oxidative stress in rat cardiac H9C2 cells. Phytother. Res. 2010, 24, 404–409. [Google Scholar] [CrossRef]
- Jiang, Y.W.; Wang, N.L.; Yao, X.S.; Kitanaka, S. Steroidal saponins from the bulbs of Allium chinense. Stud. Plant. Sci. 1999, 6, 212–219. [Google Scholar]
- Cheng, S.B. Study on steroidal from the bulbs of Allium macrostemon. Masters Thesis, Zhejiang University, Zhejiang, China, 2013. [Google Scholar]
- He, X.J.; Wang, N.L.; Qiu, F.; Yao, X.S. Study on the active spirostanol saponins of Gualou xiebai baijiutang. Acta Pharm. Sin. 2003, 38, 433–437. [Google Scholar]
- Peng, J.P.; Wang, X.; Yao, X.S. Studies on two new furostanol glycosides from Allium macrostemon Bunge. Acta Pharm. Sin. 1993, 28, 526–531. [Google Scholar]
- Baba, M.; Ohmura, M.; Kishi, N.; Okada, Y.; Shibata, S.; Peng, J.; Yao, S.S.; Nishino, H.; Okuyama, T. Saponins isolated from Allium chinense G. Don and antitumor-promoting activities of isoliquiritigenin and laxogenin from the same drug. Bio. Pharm. Bull. 2000, 23, 660–662. [Google Scholar] [CrossRef]
- Kuroda, M.; Mimaki, Y.; Kameyama, A.; Sashida, Y.; Nikaido, T. Steroidal saponins from Allium chinense and their inhibitory activities on cyclic AMP phosphodiesterase and Na+/K+ ATPase. Phytochemistry 1995, 40, 1071–1076. [Google Scholar] [CrossRef] [PubMed]
- Jiang, Y.; Wang, N.; Yao, X.; Kitanaka, S. A new spirostanol saponin from Allium Chinense. Chin. Chem. Tetters 1997, 8, 965–966. [Google Scholar]
- Kim, Y.S.; Suh, W.S.; Park, K.J.; Choi, S.U.; Lee, K.R. Allimacrosides A-E, new steroidal glycosides from Allium macrostemon Bunge. Steroids 2017, 118, 41–46. [Google Scholar] [CrossRef] [PubMed]
- Yang, Y.R. Study on chemical constituents and biological activity of Allium chinense G. Don. Masters Thesis, Jilin Unversity, Changchun, China, 2021. [Google Scholar]
- Chen, H.F. Further Research of Active Components from a Chinese Medicine Allium macrostemon Bunge. Ph.D. Thesis, Shenyang Pharmaceutical University, Shenyang, China, 2005. [Google Scholar]
- Peng, J.; Yao, X.; Kobayashi, H.; Ma, C. Novel furostanol glycosides from Allium macrostemon. Planta Med. 1995, 61, 58–61. [Google Scholar] [CrossRef]
- Chen, H.; Wang, G.; Wang, N.; Yang, M.; Wang, Z.; Wang, X.; Yao, X. New furostanol saponins from the bulbs of Allium macrostemon Bunge and their cytotoxic activity. Pharmazie 2007, 62, 544–548. [Google Scholar]
- Peng, J.; Yao, X.; Okada, Y.; Okuyama, T. Further studies on new furostanol saponins from the bulbs of Allium macrostemon. Chem. Pharm. Bull. 1994, 42, 2180–2182. [Google Scholar] [CrossRef] [PubMed]
- Ou, W.C.; Zhong, Y.; Liu, B.R.; Liu, S.M. Furostanol saponins from Allium Macrostemon Bunge Bulbs inhibit platelet CD40L expression and leukocyte - platelet adhesion. Guangdong Med. J. 2011, 32, 833–835. [Google Scholar]
- He, X.J.; Qiu, F.; Shoyama, Y.; Tanaka, H.; Yao, X.S. Two new steroidal saponins from “Gualou - xiebai - baijiu - tang” consisting of fructus trichosanthis and bulbus allii macrostemi. Chem. Pharm. Bull. 2002, 50, 653–655. [Google Scholar] [CrossRef]
- Chen, H.F.; Wang, N.L.; Yao, X.S. Study on bioactive steroidal saponins of Allium macrostemon Bunge. Chin. J. Med. Chem. 2005, 15, 142–147. [Google Scholar]
- Peng, J.P.; Yao, X.S.; Tezuka, Y.; Kikuchi, T. Furostanol glycosides from bulbs of Allium chinense. Phytochemistry 1996, 41, 283–285. [Google Scholar] [CrossRef]
- Ou, W.C.; Chen, H.F.; Zhong, Y.; Liu, B.R.; Liu, S.M.; Chen, K.J. Inhibition of platelet activation and aggregation by furostanol saponins isolated from the bulbs of Allium macrostemon Bunge. Am. J. Med. Sci. 2012, 344, 261–267. [Google Scholar] [CrossRef] [PubMed]
- Wang, T. Study on Chemical Constituents from Allii Macrostemonis Bulbus. Masters Thesis, Jilin University, Changchun, China, 2017. [Google Scholar]
- Peng, J.; Yao, X.; Tezuka, Y.; Kikuchi, T.; Narui, T. New furostanol glycosides, chinenoside IV and V, from Allium chinense. Planta Med. 1996, 62, 465–468. [Google Scholar] [CrossRef] [PubMed]
- Wang, Y.; Yi, X.; Xiang, L.; Huang, Y.; Wang, Z.; He, X. Furostanol saponins from Chinese onion induce G2/M cell-cycle arrest and apoptosis through mitochondria-mediate pathway in HepG2 cells. Steroids 2019, 148, 11–18. [Google Scholar] [CrossRef] [PubMed]
- Yang, Y.R.; Yao, H.; Yan, J.H.; Sun, Z.H.; Zhang, Y.; Fang, X.Q.; Li, X.W.; Jin, Y.R. Chemical constituents of new steroidal saponins from Allium chinense G. Don. Chem. J. Chin. Univ. 2021, 42, 1742–1753. [Google Scholar]
- He, J.X. The Research on Metabolites of Andrographolide in Rats and Active Constituents of Gualou Xiebai Baijiu Decoction. Ph.D. Thesis, Shenyang Pharmaceutical University, Shenyang, China, 2002. [Google Scholar]
- Kang, X.D.; Wu, X.Q.; Zhang, P. Chemical constituents in Allii Macrostemonis Bulbus. Drugs Clin. 2012, 27, 97–99. [Google Scholar]
- Zhang, C.Y.; Si, M.Z.; Li, L.; Zhang, D.Q. Research on volatiles of bulbus Allii Macrostemonis from different areas and different original plants based on headspace and SERS. Spectrosc. Spectral. Anal. 2015, 35, 395–401. [Google Scholar]
- Han, C.H.; Gao, S.N.; Bai, Y.H.; Ma, Y.; Li, C.X. Gas chromatography-mass spectrometry (GC-MS) analysis of volatile oils from bulbs and leaves before and after Allium macrostemon Bge. processing. Lishizhen Med. Mater. Medica. Res. 2017, 28, 111–113. [Google Scholar]
- Pino, J.A.; Fuentes, V.; Correa, M.T. Volatile constituents of Chinese chive (Allium tuberosum Rottl. ex Sprengel) and rakkyo (Allium chinense G. Don). J. Agric. Food Chem. 2001, 49, 1328–1330. [Google Scholar] [CrossRef]
- Wu, Y.; Peng, J.P.; Yao, L.Q.; Yao, X.S. A study on the volatile oils of Allium macrostemon Bunge. J. Shenyang Pharm. Univ. 1993, 10, 45–46+62. [Google Scholar]
- Lin, L.; Jiang, H.Z.; Luo, L.L.; Xu, H.G.; Hu, K.; Geng, Y. GC-MS analysis of the volatile oil from bulbus Allii Macrostemonis extracted by supercritical carbon dioxide. Chin. J. Anal. Lab. 2008, 27, 115–118. [Google Scholar] [CrossRef]
- Sun, Y.; Chen, Y.Y.; Ding, Q.; Zhao, J.; Zhang, Y.Y.; Sun, B.G.; Chen, H.T. Analysis of volatile aroma compounds in Allium macrostemon Bunge. Food Sci. 2015, 36, 117–121. [Google Scholar]
- Huang, F.; Zhou, H.; Yu, S.S. Optimization of extraction of volatile oil from Allium macrostemon Bunge and chemical composition analysis by gas chromatography-mass spectrometry. Food Sci. 2014, 271, 504–522. [Google Scholar]
- Peng, J.P.; Qiao, Y.Q.; Xiao, K.Y.; Yao, X.S. Further study on the volatile oil of Allium chinense G. Don. Chin. J. Med. Chem. 1994, 4, 282–283+288. [Google Scholar]
- Peng, J.P.; Qiao, Y.Q.; Yao, X.S. Nitrogen-containing compounds from Allium macrostemon Bunge and Allium chinense G. Don. Chin. J. Med. Chem. 1995, 5, 134–139. [Google Scholar]
- Okuyama, T.; Shibata, S.; Hoson, M.; Kawada, T.; Osada, H.; Noguchi, T. Effect of oriental plant drugs on platelet aggregation; III. Effect of Chinese drug “xiebai” on human platelet aggregation. Planta Med. 1986, 52, 171–175. [Google Scholar] [CrossRef]
- Goda, Y.; Shibuya, M.; Sankawa, U. Inhibitors of the arachidonate cascade from Allium chinense and their effect on in vitro platelet aggregation. Chem. Pharm. Bull. 1987, 35, 2668–2674. [Google Scholar] [CrossRef]
- Okuyama, T.; Fujita, K.; Shibata, S.; Hoson, M.; Kawada, T.; Masaki, M.; Yamate, N. Effects of Chinese drugs “xiebai” and “dasuan” on human platelet aggregation (Allium bakeri, A. sativum). Planta Med. 1989, 55, 242–244. [Google Scholar] [CrossRef]
- He, Q.; Huang, S.; Wu, Y.; Zhang, W.; Wang, F.; Cao, J.; Sheng, Q.; Liang, Z.; Liu, L.; Ou, W.B. Comparative study on the composition of free amino acids and derivatives in the two botanical origins of an edible Chinese herb “Xiebai”, i.e., Allium chinense G. Don and Allium macrostemon Bunge species. Food Res. Int. 2018, 106, 446–457. [Google Scholar] [CrossRef]
- He, X.J.; Qiu, F.; Yao, X.S. The active constituents research of Gualou xiebai baijiutang (IV): Nitrogen-containing compounds and others. Nat. Prod. Res. Dev. 2003, 15, 9–12. [Google Scholar]
- Wang, Y.H.; Yi, X.M.; Rao, Z.H.; He, X.J. Study on chemical constituents from the bulbs of Allium chinense G. Don. J. Guangdong Pharm. Univ. 2017, 33, 453–456. [Google Scholar]
- Usui, A.; Matsuo, Y.; Tanaka, T.; Ohshima, K.; Fukuda, S.; Mine, T.; Nakayama, H.; Ishimaru, K. Ferulic Acid Esters of Oligo-glucose from Allium macrostemon. Nat. Prod. Commun. 2017, 12, 89–91. [Google Scholar] [CrossRef]
- Usui, A.; Matsuo, Y.; Tanaka, T.; Ohshima, K.; Fukuda, S.; Mine, T.; Yakashiro, I.; Ishimaru, K. Ferulic acid esters of glucosylglucose from Allium macrostemon Bunge. J. Asian Nat. Prod. Res. 2017, 19, 215–221. [Google Scholar] [CrossRef] [PubMed]
- Nakane, R.; Iwashina, T. Flavonol Glycosides from the Leaves of Allium macrostemon. Nat. Prod. Commun. 2015, 10, 1381–1382. [Google Scholar] [CrossRef]
- Xia, X.K. The Study on Extraction, Purification and Antioxidative Activity of Polysaccharides From Allium macrosttemon Bge. Masters Thesis, Northwest A&F University, Shaanxi, China, 2007. [Google Scholar]
- Gan, Y.Z.; Zhong, K.Y.; Huang, L. Study on extraction, isolation and purification of polysaccharides from Allium macrostemon Bunge and its interaction with DNA. Bio. Chem. Eng. 2019, 5, 82–84. [Google Scholar]
- Zhang, Z.J.; Wang, F.H.; Wang, M.C.; Ma, L.P.; Ye, H.; Zeng, X.X. A comparative study of the neutral and acidic polysaccharides from Allium macrostemon Bunge. Carbohydr. Polym. 2015, 117, 980–987. [Google Scholar] [CrossRef]
- Sun, Q.L. Study on prostaglandins in plants III. Isolation and identification of prostaglandin A1 and B1 from Longstamen Onion (Allium Macrostemon). Chin. Tradit. Herb. Drugs. 1991, 22, 150–152+191. [Google Scholar]
- He, X.J.; Qiu, F.; Shoyama, Y.; Tanaka, H.; Yao, X.S. The active constituents from Gualou-xiebai-baijiu-tang part I: Active saponins. J. Asian Nat. Prod. Res. 2002, 4, 189–196. [Google Scholar] [CrossRef]
- Xia, X.K.; Yang, H.X.; Chen, L.J. Analysis of fatty acids composition of Allium macrostemon Bge. by GC-MS. Food Sci. Technol. 2010, 35, 279–280+283. [Google Scholar]
- Jin, R.; Xiao, A.Y.; Song, Z.; Yu, S.; Li, J.; Cui, M.Z.; Li, G. Platelet CD40 mediates leukocyte recruitment and neointima formation after arterial denudation injury in atherosclerosis-prone mice. Am. J. Pathol. 2018, 188, 252–263. [Google Scholar] [CrossRef]
- Lievens, D.; Zernecke, A.; Seijkens, T.; Soehnlein, O.; Beckers, L.; Munnix, I.C.; Wijnands, E.; Goossens, P.; van Kruchten, R.; Thevissen, L.; et al. Platelet CD40L mediates thrombotic and inflammatory processes in atherosclerosis. Blood 2010, 116, 4317–4327. [Google Scholar] [CrossRef]
- Aslam, R.; Speck, E.R.; Kim, M.; Crow, A.R.; Bang, K.W.; Nestel, F.P.; Ni, H.; Lazarus, A.H.; Freedman, J.; Semple, J.W. Platelet Toll-like receptor expression modulates lipopolysaccharide-induced thrombocytopenia and tumor necrosis factor-alpha production in vivo. Blood 2006, 107, 637–641. [Google Scholar] [CrossRef]
- Wang, Z.P.; Feng, H.; Guo, M.; Wang, C.S. Effects of saponins from Allium Macrostemon Bunge bulbs on platelet aggregation and interactions between platelets and neutrophils. Chin. J. Inf. Tradit. Chin. Med. 2018, 25, 33–37. [Google Scholar]
- Chen, G.R. Effect of Chinese botanical Allium macrostemon Bunge on human platelet aggregation. Chin. Tradit. Herb. Drugs 1987, 18, 12. [Google Scholar]
- Feng, H.; Wang, Z.; Wang, C.; Zhu, X.; Liu, Z.; Liu, H.; Guo, M.; Hou, Q.; Chu, Z. Effect of furostanol saponins from Allium Macrostemon Bunge bulbs on platelet aggregation rate and PI3K/Akt pathway in the rat model of coronary heart disease. J. Evidence-Based Complementary Altern. Med. 2019, 2019. [Google Scholar] [CrossRef] [PubMed]
- Libby, P. The changing landscape of atherosclerosis. Nature 2021, 592, 524–533. [Google Scholar] [CrossRef]
- Soehnlein, O.; Libby, P. Targeting inflammation in atherosclerosis—From experimental insights to the clinic. Nat. Rev. Drug. Discov. 2021, 20, 589–610. [Google Scholar] [CrossRef]
- Libby, P.; Buring, J.E.; Badimon, L.; Hansson, G.K.; Deanfield, J.; Bittencourt, M.S.; Tokgözoğlu, L.; Lewis, E.F. Atherosclerosis. Nat. Rev. Dis. Primers. 2019, 5, 56. [Google Scholar] [CrossRef]
- Zhou, M.; Ren, P.; Zhang, Y.; Li, S.; Li, M.; Li, P.; Shang, J.; Liu, W.; Liu, H. Shen-Yuan-Dan capsule attenuates atherosclerosis and foam cell formation by enhancing autophagy and inhibiting the PI3K/Akt/mTORC1 signaling pathway. Front. Pharmacol. 2019, 10, 603. [Google Scholar] [CrossRef]
- Li, G.; Wang, M.; Caulk, A.W.; Cilfone, N.A.; Gujja, S.; Qin, L.; Chen, P.Y.; Chen, Z.; Yousef, S.; Jiao, Y.; et al. Chronic mTOR activation induces a degradative smooth muscle cell phenotype. J. Clin. Invest. 2020, 130, 1233–1251. [Google Scholar] [CrossRef]
- Gisterå, A.; Hansson, G.K. The immunology of atherosclerosis. Nat. Rev. Nephrol. 2017, 13, 368–380. [Google Scholar] [CrossRef]
- Tousoulis, D.; Simopoulou, C.; Papageorgiou, N.; Oikonomou, E.; Hatzis, G.; Siasos, G.; Tsiamis, E.; Stefanadis, C. Endothelial dysfunction in conduit arteries and in microcirculation. Novel therapeutic approaches. Pharmacol. Ther. 2014, 144, 253–267. [Google Scholar] [CrossRef]
- Lei, R.J.; Li, J.; Jin, S.X.; Xu, S.Y.; Yan, G.M.; He, Q.J. Hyperlipidemic effect of total steroidal saponins extracted from Allium chinense G. Don in high-fat diet-induced hyperlipidemia rats. Chin. Tradit. Patent. Med. 2013, 35, 1615–1619. [Google Scholar]
- Lin, Y.P.; Lin, L.Y.; Yeh, H.Y.; Chuang, C.H.; Tseng, S.W.; Yen, Y.H. Antihyperlipidemic activity of Allium chinense bulbs. J. Food Drug Anal. 2016, 24, 516–526. [Google Scholar] [CrossRef]
- Gu, Y.Q.; Liu, Y.Y.; Yang, X.H.; Chen, D.; Fu, F.H. Effect of Allium cepa L. var. agrogatum Don and Allium macrostemon Bunge on arachidonic acid metabolism. Acta Pharm. Sin. 1988, 23, 8–11. [Google Scholar]
- Chen, D.; Liu, Y.Y. Effects of Allium macrostemon Bunge on prostaglandin E1 in rabbits. J. Jilin Univ., Med. Ed. 1989, 15, 91. [Google Scholar]
- Ju, K.; Wan, Y.Y.; Zhang, K.L. Study on the effect and mechanism of Allii Macrostemonis Bulbus on blood lipid levels in hyperlipi- demia model rats. China Pharm. 2018, 29, 976–979. [Google Scholar]
- Zhou, H.; Yang, X.; Wang, N.L.; Zhang, Y.O.; Cai, G.P. Macrostemonoside A promotes visfatin expression in 3T3-L1 cells. Biol. Pharm. Bull. 2007, 30, 279–283. [Google Scholar] [CrossRef]
- Xie, W.; Zhang, Y.; Wang, N.; Zhou, H.; Du, L.; Ma, X.; Shi, X.; Cai, G. Novel effects of macrostemonoside A, a compound from Allium macrostemon Bung, on hyperglycemia, hyperlipidemia, and visceral obesity in high-fat diet-fed C57BL/6 mice. Eur. J. Pharm. 2008, 599, 159–165. [Google Scholar] [CrossRef]
- Jia, W.; Li, Y.; Wan, J.; Cui, X.; Lu, J.; Liu, J.; Li, D.; Li, L.; Zou, T.; Ding, J.; et al. Effects of Xuezhitong in patients with hypertriglyceridemia: A multicentre, randomized, double-blind, double simulation, positive drug and placebo parallel control study. Cardiovasc. Drugs Ther. 2020, 34, 525–534. [Google Scholar] [CrossRef]
- Meng, X.B.; Zhu, T.; Yang, D.H.; Liang, W.; Sun, G.B.; Sun, X.B. Xuezhitong capsule, an extract of Allium macrostemon Bunge, exhibits reverse cholesterol transport and accompanies high-density lipoprotein levels to protect against hyperlipidemia in ApoE(-/-) mice. Ann. Transl. Med. 2019, 7, 239. [Google Scholar] [CrossRef]
- Arslan, F.; Bongartz, L.; Ten Berg, J.M.; Jukema, J.W.; Appelman, Y.; Liem, A.H.; de Winter, R.J.; van ’t Hof, A.W.J.; Damman, P. 2017 ESC guidelines for the management of acute myocardial infarction in patients presenting with ST-segment elevation: Comments from the Dutch ACS working group. Neth. Heart J. 2018, 26, 417–421. [Google Scholar] [CrossRef]
- Heusch, G. Molecular basis of cardioprotection: Signal transduction in ischemic pre-, post-, and remote conditioning. Circ. Res. 2015, 116, 674–699. [Google Scholar] [CrossRef]
- Neri, M.; Riezzo, I.; Pascale, N.; Pomara, C.; Turillazzi, E. Ischemia/reperfusion injury following acute myocardial infarction: A critical issue for clinicians and forensic pathologists. Mediators. Inflamm. 2017, 2017, 7018393. [Google Scholar] [CrossRef]
- González-Montero, J.; Brito, R.; Gajardo, A.I.; Rodrigo, R. Myocardial reperfusion injury and oxidative stress: Therapeutic opportunities. World J. Cardiol. 2018, 10, 74–86. [Google Scholar] [CrossRef]
- Koller, A.; Balasko, M.; Bagi, Z. Endothelial regulation of coronary microcirculation in health and cardiometabolic diseases. Intern. Emerg. Med. 2013, 8, S51–S54. [Google Scholar] [CrossRef]
- Wu, Y.L.; Liu, K.; Qi, J.S.; Jia, Z.H.; Li, Y.N. Effect of bulbus Allii Macrostemi on gene expression profile asociated with vascular endothelium injure of qi stagnation rats. J. Chin. Med. Mater. 2007, 30, 1266–1270. [Google Scholar]
- Ji, Z.S.; Wu, Y.L.; Jia, Z.H.; Qi, J.S. Influence of bulbus Allii Macrostemi on contents and interaction of COX-2 and iNOS in vascular endothelial injury of qi-stagnation type. J. Beijing Univ. Tradit. Chin. Med. 2008, 31, 835–838+867–868. [Google Scholar]
- Wu, X.F.; Li, Z.; Lai, J.; Wu, X.C.; Jia, Z.H.; Wang, H.T.; Wang, L.L. Study on the effect and mechanism of Bulbus Allium Macrostemi on vascular endothelial dysfunction in rats with stagnant energy. J. Basic. Chin. Med. 2013, 19, 505–506+528. [Google Scholar]
- Li, F.; Xu, Q.; Zheng, T.; Huang, F.; Han, L. Metabonomic analysis of Allium macrostemon Bunge as a treatment for acute myocardial ischemia in rats. J. Pharm. Bio. Anal. 2014, 88, 225–234. [Google Scholar] [CrossRef]
- Lei, J.; Duan, G.F. Protective effect of Allium macrostemon extract on acute myocardial ischemia injury in rats. J. Jianghan Univ. Nat. Sci. Ed. 2018, 46, 67–71. [Google Scholar]
- Wei, C.; Zhang, Y.F.; Jia, Z.H.; Yuan, G.Q.; Zhang, Z.H.; Wu, Y.L. The effects of restraint stress on the expression of 5-HT1D and5-HT2A receptors in aorta of rats and the intervention effect of Tongxinluo and Allium extract. Chin. J. Gerontol. 2010, 30, 3668–3671. [Google Scholar]
- Bray, F.; Laversanne, M.; Weiderpass, E.; Soerjomataram, I. The ever-increasing importance of cancer as a leading cause of premature death worldwide. Cancer 2021, 127, 3029–3030. [Google Scholar] [CrossRef]
- Sung, H.; Ferlay, J.; Siegel, R.L.; Laversanne, M.; Soerjomataram, I.; Jemal, A.; Bray, F. Global Cancer Statistics 2020: GLOBOCAN estimates of incidence and mortality worldwide for 36 cancers in 185 countries. CA Cancer J. Clin. 2021, 71, 209–249. [Google Scholar] [CrossRef] [PubMed]
- Zhang, Q.; Gao, E.; Hou, Q.; Chen, W.N.; Zhang, Y.J.; Han, H.R. Influence of the volatile oil extracted from Allium Macrostemon Bunge on immune function of mice bearing S180. Acta Acad. Med. Weifang 2002, 24, 94–95. [Google Scholar]
- Zhang, Q.; Gao, E. The experimental study of the volatile oil extracted from Allium macrostemon Bunge on anti tumor effects. Tumor 2003, 23, 228–231. [Google Scholar]
- Wu, Z.M.; Zhang, Q.F.; Xue, Y.W.; Pang, D.; Zhang, Y.B. Apoptosis of human gastric cancer cells included by bulbus Allii Macrostemi volatile oil. Chin. J. Tissue. Eng. Res. 2006, 10, 115–117. [Google Scholar]
- Chen, H.F.; Wang, G.H.; Luo, Q.; Wang, N.L.; Yao, X.S. Two new steroidal saponins from Allium macrostemon Bunge and their cytotoxity on different cancer cell lines. Molecules 2009, 14, 2246. [Google Scholar] [CrossRef]
- Bai, J.S. Studies on the Isolation, Purification, Identification and Function of Antibacterial and Anticancer Active Components of Allium Plant-Allium chinense. Masters Thesis, Hunan Normal University, Changsha, China, 2004. [Google Scholar]
- Luo, T.; Shi, M.Q.; Liu, X.; Zhou, J.G.; Yang, W.Y.; Yang, H.M. Effect of total saponin from Allium macrostemon Bunge on proliferation and apoptosis of cervix cancer HeLa cells. Chin. J. Difficult Complicat. Cases 2012, 11, 762–765. [Google Scholar]
- Wang, Y.; Tang, Q.; Jiang, S.; Li, M.; Wang, X. Anti-colorectal cancer activity of macrostemonoside A mediated by reactive oxygen species. Biochem. Biophysi. Res. Commun. 2013, 441, 825–830. [Google Scholar] [CrossRef]
- Yu, Z.; Zhang, T.; Zhou, F.; Xiao, X.; Ding, X.; He, H.; Rang, J.; Quan, M.; Wang, T.; Zuo, M.; et al. Anticancer activity of saponins from Allium chinense against the B16 melanoma and 4T1 breast carcinoma cell. J. Evid.-Based Complement. Altern. Med. 2015, 2015, 725023. [Google Scholar]
- Xiao, X.; He, H.; Ding, X.; Yang, Q.; Liu, X.; Liu, S.; Rang, J.; Wang, T.; Zuo, M.; Xia, L. Purification and cloning of lectin that induce cell apoptosis from Allium chinense. Phytomedicine 2015, 22, 238–244. [Google Scholar] [CrossRef] [PubMed]
- Chen, X.X. A preliminary study on the bacteriostasis of Allium macrostemon. J. Hangzhou Norm. Univ. Nat. Sci. Ed. 2004, 3, 337–340. [Google Scholar]
- Zhang, C.J.; Liu, C.; Jiang, X.K. Antibacterial effect of ethanol extract from Allium macrostemon Bunge bulbs. Food Sci. 2011, 32, 119–122. [Google Scholar]
- Yu, Z.H.; Ding, X.Z.; Xia, L.Q.; Xiao, X.Q.; Cao, Z.P.; Xu, S.; Liu, S.; Liu, X.M. Antimicrobial activity and mechanism of total saponins from Allium chinense. Food Sci. 2013, 34, 75–80. [Google Scholar]
- Meng, S.; Hu, S.B.; Xie, W.A.; Ding, X.Z.; Sun, Y.J.; Xia, L.Q. Antifungal effects and mechanism of bioactive components of Allium chinense on candida albicans. Food Sci. 2005, 26, 101–105. [Google Scholar]
- Stern, J.; Pier, J.; Litonjua, A.A. Asthma epidemiology and risk factors. Semin. Immunopathol. 2020, 42, 5–15. [Google Scholar] [CrossRef]
- Sockrider, M.; Fussner, L. What Is Asthma? Am. J. Respir. Crit. Care. Med. 2020, 202, P25–P26. [Google Scholar] [CrossRef]
- Wang, Y.; Chen, Y.J.; Xiang, C.; Jiang, G.W.; Xu, Y.D.; Yin, L.M.; Zhou, D.D.; Liu, Y.Y.; Yang, Y.Q. Discovery of potential asthma targets based on the clinical efficacy of traditional Chinese medicine formulas. J. Ethnopharmacol. 2020, 252, 112635. [Google Scholar] [CrossRef]
- Yan, S.F.; Yu, T.; Li, F.S.; Huang, Y.; Wang, M.H. Effectiveness and safety of 3 different traditional Chinese therapies for asthma in minors: A protocol for systematic review and network meta-analysis. Medicine 2020, 99, e23021. [Google Scholar] [CrossRef]
- Doganci, A.; Sauer, K.; Karwot, R.; Finotto, S. Pathological role of IL-6 in the experimental allergic bronchial asthma in mice. Clin. Rev. Allergy. Immunol. 2005, 28, 257–270. [Google Scholar] [CrossRef]
- Tsuchiya, K.; Jo, T.; Takeda, N.; Al Heialy, S.; Siddiqui, S.; Shalaby, K.H.; Risse, P.A.; Maghni, K.; Martin, J.G. EGF receptor activation during allergic sensitization affects IL-6-induced T-cell influx to airways in a rat model of asthma. Eur. J. Immunol. 2010, 40, 1590–1602. [Google Scholar] [CrossRef] [PubMed]
- Morjaria, J.B.; Babu, K.S.; Vijayanand, P.; Chauhan, A.J.; Davies, D.E.; Holgate, S.T. Sputum IL-6 concentrations in severe asthma and its relationship with FEV1. Thorax 2011, 66, 537. [Google Scholar] [CrossRef] [PubMed]
- Wong, C.K.; Ho, C.Y.; Ko, F.W.; Chan, C.H.; Ho, A.S.; Hui, D.S.; Lam, C.W. Proinflammatory cytokines (IL-17, IL-6, IL-18 and IL-12) and Th cytokines (IFN-gamma, IL-4, IL-10 and IL-13) in patients with allergic asthma. Clin. Exp. Immunol. 2001, 125, 177–183. [Google Scholar] [CrossRef] [PubMed]
- Eldridge, M.W.; Peden, D.B. Allergen provocation augments endotoxin-induced nasal inflammation in subjects with atopic asthma. J. Allergy. Clin. Immunol. 2000, 105, 475–481. [Google Scholar] [CrossRef]
- Wang, L.; Xue, Y.W.; Li, Y.; Shi, Q.; Wang, S.Z. Release of TXA2, PGI2,,TNFα, IL-8, IL-10 by alveolar macrophages in patients with asthma and modulation of drugs. J. Shandong Univ. Health Sci. 1997, 35, 59–64. [Google Scholar]
- Wasserman, M.A.; Ducharme, D.W.; Wendling, M.G.; Griffin, R.L.; De Graaf, G.L. Bronchodilator effects of prostacyclin (PGI2) in dogs and guinea pigs. Eur. J. Pharm. 1980, 66, 53–63. [Google Scholar] [CrossRef]
- Hoshino, M. Effect of AA-2414, a thromboxane A2 receptor antagonist, on airway inflammation in subjects with asthma. J. Allergy Clin. Immunol. 1999, 103, 1054–1061. [Google Scholar] [CrossRef]
- Zhang, H.T.; Zhang, Y.M.; Wang, C.Y.; Fang, S.C. Effect of xiebai extracts on IL-6,TXB2 and 6-Keto-PGF1α in serum of guinea pig with asthma. J. Radioimmunol. 2012, 25, 154–156. [Google Scholar]
- Qin, L.R.; Wu, S.; Wei, J.B. Effect of extracts of Allium macrostemon bunge on antiasthmaticaction. Guangxi Med. J. 2008, 30, 1844–1845. [Google Scholar]
- Tan, Z.Y.; Zhang, J.H.; Liu, Y.X.; Pan, L.H.; Zhang, Y.Y.; Liu, X.Q. A screening of the effective fraction on antiasthmatic activity of Allii macrostemonis Bulbus. Mod. Chin. Med. 2011, 13, 40–41+47. [Google Scholar]
- Choi, H.Y.; Lee, J.H.; Jegal, K.H.; Cho, I.J.; Kim, Y.W.; Kim, S.C. Oxyresveratrol abrogates oxidative stress by activating ERK-Nrf2 pathway in the liver. Chem. Biol. Interact. 2016, 245, 110–121. [Google Scholar] [CrossRef] [PubMed]
- Cadet, J.; Davies, K.J.A. Oxidative DNA damage & repair: An introduction. Free Radic. Biol. Med. 2017, 107, 2–12. [Google Scholar] [PubMed]
- Chen, Q.; Wang, Q.; Zhu, J.; Xiao, Q.; Zhang, L. Reactive oxygen species: Key regulators in vascular health and diseases. Br. J. Pharmacol. 2018, 175, 1279–1292. [Google Scholar] [CrossRef] [PubMed]
- Taleb, A.; Ahmad, K.A.; Ihsan, A.U.; Qu, J.; Lin, N.; Hezam, K.; Koju, N.; Hui, L.; Qilong, D. Antioxidant effects and mechanism of silymarin in oxidative stress induced cardiovascular diseases. Biomed. Pharmacother. 2018, 102, 689–698. [Google Scholar] [CrossRef]
- Seyhan, N.; Canseven, A.G. In vivo effects of ELF MFs on collagen synthesis, free radical processes, natural antioxidant system, respiratory burst system, immune system activities, and electrolytes in the skin, plasma, spleen, lung, kidney, and brain tissues. Electromagn. Biol. Med. 2006, 25, 291–305. [Google Scholar] [CrossRef]
- Niki, E. Oxidant-specific biomarkers of oxidative stress. Association with atherosclerosis and implication for antioxidant effects. Free Radic. Biol. Med. 2018, 120, 425–440. [Google Scholar] [CrossRef]
- Yuhai, G.U.; Zhen, Z. Significance of the changes occurring in the levels of interleukins, SOD and MDA in rat pulmonary tissue following exposure to different altitudes and exposure times. Exp. Ther. Med. 2015, 10, 915–920. [Google Scholar] [CrossRef]
- Armagan, G.; Sevgili, E.; Gürkan, F.T.; Köse, F.A.; Bilgiç, T.; Dagcı, T.; Saso, L. Regulation of the Nrf2 pathway by glycogen synthase kinase-3β in MPP⁺-induced cell damage. Molecules. 2019, 24, 1377. [Google Scholar] [CrossRef]
- Ahmed, S.M.; Luo, L.; Namani, A.; Wang, X.J.; Tang, X. Nrf2 signaling pathway: Pivotal roles in inflammation. BBA Mol. Basis. Dis. 2017, 1863, 585–597. [Google Scholar] [CrossRef]
- Lv, H.; Liu, Q.; Zhou, J.; Tan, G.; Deng, X.; Ci, X. Daphnetin-mediated Nrf2 antioxidant signaling pathways ameliorate tert-butyl hydroperoxide (t-BHP)-induced mitochondrial dysfunction and cell death. Free Radic. Biol. Med. 2017, 106, 38–52. [Google Scholar] [CrossRef]
- Xiao, Q.; Piao, R.; Wang, H.; Li, C.; Song, L. Orientin-mediated Nrf2/HO-1 signal alleviates H2O2-induced oxidative damage via induction of JNK and PI3K/AKT activation. Int. J. Biol. Macromol. 2018, 118, 747–755. [Google Scholar] [CrossRef] [PubMed]
- Li, C.; Chen, T.; Zhou, H.; Zhang, C.; Feng, Y.; Tang, F.; Hoi, M.P.; He, C.; Zheng, Y.; Lee, S.M. Schisantherin A attenuates neuroinflammation in activated microglia: Role of Nrf2 activation through ERK phosphorylation. Cell Physiol. Biochem. 2018, 47, 1769–1784. [Google Scholar] [CrossRef] [PubMed]
- He, Y.; Feng, D.; Li, M.; Gao, Y.; Ramirez, T.; Cao, H.; Kim, S.J.; Yang, Y.; Cai, Y.; Ju, C.; et al. Hepatic mitochondrial DNA/Toll-like receptor 9/MicroRNA-223 forms a negative feedback loop to limit neutrophil overactivation and acetaminophen hepatotoxicity in mice. Hepatology 2017, 66, 220–234. [Google Scholar] [CrossRef]
- Chang, S.H.; Mori, D.; Kobayashi, H.; Mori, Y.; Nakamoto, H.; Okada, K.; Taniguchi, Y.; Sugita, S.; Yano, F.; Chung, U.I.; et al. Excessive mechanical loading promotes osteoarthritis through the gremlin-1-NF-κB pathway. Nat. Commun. 2019, 10, 1442. [Google Scholar] [CrossRef] [PubMed]
- Ding, M.; Hu, L.; Yang, H.; Gao, C.; Zeng, K.; Yu, M.; Feng, J.; Qiu, J.; Liu, C.; Fu, F.; et al. Reduction of SIRT1 blunts the protective effects of ischemic post-conditioning in diabetic mice by impairing the Akt signaling pathway. Biochim. Biophys. Acta Mol. Basis. Dis. 2019, 1865, 1677–1689. [Google Scholar] [CrossRef]
- Kong, X.; Guan, J.; Li, J.; Wei, J.; Wang, R. P66(Shc)-SIRT1 regulation of oxidative stress protects against cardio-cerebral vascular disease. Mol. Neurobiol. 2017, 54, 5277–5285. [Google Scholar] [CrossRef] [PubMed]
- Yuan, Y.; Wang, H.; Wu, Y.; Zhang, B.; Wang, N.; Mao, H.; Xing, C. P53 contributes to cisplatin induced renal oxidative damage via regulating P66shc and MnSOD. Cell Physiol. Biochem. 2015, 37, 1240–1256. [Google Scholar] [CrossRef]
- Li, X.H.; Gu, L.Z.; Zhang, B.S.; Wang, A.H.; Duan, S.J. The antioxidation of effects from Allium macrostemon. J. Chin. Med. Mater. 1994, 17, 34–37+56. [Google Scholar]
- Guan, F.; Zhang, F.L.; Hao, L.Z.; Shi, B.; Yang, Z.R. Antioxidant activity of total spaonion of Allium macrostemon. Plant Physiology. J. 2014, 50, 382–388. [Google Scholar]
- Xia, X.K.; Dou, C.L. Sulfated modification of polysaccharides from Allium macrosttemon Bge. and in vitro antioxidant activity. Nat. Prod. Res. Dev. 2015, 27, 881–885. [Google Scholar]
- Xia, X.K.; Dou, C.L. Enzymatic modification and antioxidant activity of polysaccharides from Allium macrosttemon Bge. Food Ind. 2015, 36, 185–188. [Google Scholar]
- Han, Q.J.; Wang, X.L.; Wang, F.; Qi, J.H.; Li, H.Y.; Ran, L.H.; Wang, Z.Y. Extraction of polysaccharide from Allium macrostemon Bunge and their antioxidant activity in vitro. Appl. Chem. Ind. 2018, 47, 1680–1683. [Google Scholar]
- Wu, Z.Q.; Li, K.; Ma, J.K.; Huang, Q.; Tian, X.; Li, Z.J. Antioxidant activity of organic sulfides from fresh Allium macrostemon Bunge and their protective effects against oxidative stress in Caenorhabditis elegans. J. Food Biochem. 2020, 44, e13447. [Google Scholar] [CrossRef] [PubMed]
- Otte, C.; Gold, S.M.; Penninx, B.W.; Pariante, C.M.; Etkin, A.; Fava, M.; Mohr, D.C.; Schatzberg, A.F. Major depressive disorder. Nat. Rev. Dis. Primers. 2016, 2, 16065. [Google Scholar] [CrossRef]
- D’Elia, A.; Bawor, M.; Dennis, B.B.; Bhatt, M.; Litke, K.; McCabe, K.; Whattam, J.; Garrick, L.; O’Neill, L.; Simons, S.; et al. Feasibility of behavioral activation group therapy in reducing depressive symptoms and improving quality of life in patients with depression: The BRAVE pilot trial. Pilot Feasibility Stud. 2020, 6, 61. [Google Scholar] [CrossRef] [PubMed]
- Meng, F.; Liu, J.; Dai, J.; Wu, M.; Wang, W.; Liu, C.; Zhao, D.; Wang, H.; Zhang, J.; Li, M.; et al. Brain-derived neurotrophic factor in 5-HT neurons regulates susceptibility to depression-related behaviors induced by subchronic unpredictable stress. J. Psychiatr. Res. 2020, 126, 55–66. [Google Scholar] [CrossRef]
- Vega-Rivera, N.M.; Ortiz-López, L.; Granados-Juárez, A.; Estrada-Camarena, E.M.; Ramírez-Rodríguez, G.B. Melatonin reverses the depression-associated behaviour and regulates microglia, fractalkine expression and neurogenesis in adult mice exposed to chronic mild stress. Neuroscience 2020, 440, 316–336. [Google Scholar] [CrossRef]
- Boku, S.; Nakagawa, S.; Toda, H.; Hishimoto, A. Neural basis of major depressive disorder: Beyond monoamine hypothesis. Psychiatry Clin. Neurosci. 2018, 72, 3–12. [Google Scholar] [CrossRef]
- Malhi, G.S.; Mann, J.J. Depression. Lancet 2018, 392, 2299–2312. [Google Scholar] [CrossRef]
- Jiang, M.Q. Study on the Intervention Effect of Allium Macrostemon Saponin on Depression Models in Rats and Mice. Masters Thesis, Henan University of Chinese Medicine, Henan, China, 2014. [Google Scholar]
- Lee, S.; Kim, D.H.; Lee, C.H.; Jung, J.W.; Seo, Y.T.; Jang, Y.P.; Ryu, J.H. Antidepressant-like activity of the aqueous extract of Allium macrostemon in mice. J. Ethnopharmacol. 2010, 131, 386–395. [Google Scholar] [CrossRef]
- Chen, S.; Wei, C.; Gao, P.; Kong, H.; Jia, Z.; Hu, C.; Dai, W.; Wu, Y.; Xu, G. Effect of Allium macrostemon on a rat model of depression studied by using plasma lipid and acylcarnitine profiles from liquid chromatography/mass spectrometry. J. Pharm. Biomed. Anal. 2014, 89, 122–129. [Google Scholar] [CrossRef] [PubMed]
- Yang, X.; Dai, Y.; Ji, Z.; Zhang, X.; Fu, W.; Han, C.; Xu, Y. Allium macrostemon Bunge. exerts analgesic activity by inhibiting NaV1.7 channel. J. Ethnopharmacol. 2021, 281. [Google Scholar] [CrossRef] [PubMed]
- Wu, H.Y. Processing of Bulbus Allii Macrostemi. J. Chin. Med. Mater. 1995, 18, 192–194. [Google Scholar]
- Wan, J.H.; Zhang, X.L.; Xin, S.L. The influence of polymeric materials on mouse immunity function. J. Chengde Med. Univ. 2005, 22, 188–190. [Google Scholar]
- Kim, H.J.; Lee, S.H.; Lee, S.H.; Lee, J.; Kim, H.; Chang, G.T.; Lee, D. Longitudinal bone growth stimulating effect of Allium macrostemon in adolescent female rats. Molecules 2020, 25, 5449. [Google Scholar] [CrossRef]
- Wei, J.B.; Zang, L.Q.; Ning, Z.; Li, L.; Zhang, Y.M.; Huang, R.B.; Wang, N.P. Study the effect of aqueous extract of Allium macrostemon bunge on the content of cytchrome P450 of mice. J. Snake 2006, 18, 187–189. [Google Scholar]
- Liu, X.C.; Liu, Q.; Zhou, L.; Liu, Z.L. Evaluation of larvicidal activity of the essential oil of Allium macrostemon Bunge and its selected major constituent compounds against Aedes albopictus (Diptera: Culicidae). Parasites Vectors 2014, 7, 184. [Google Scholar] [CrossRef]
- Peng, J.; Narui, T.; Suzuki, H.; Ishii, R.; Abuki, H.; Okuyama, T. Anti-blood coagulation and cytotoxic effects of compounds from Chinese plants used for thrombosis-like diseases. Nat. Med. 1996, 50, 358–362. [Google Scholar]
- Chen, H.; Ou, W.; Wang, G.; Wang, N.; Zhang, L.; Yao, X. New steroidal glycosides isolated as CD40L inhibitors of activated platelets. Molecules 2010, 15, 4589. [Google Scholar] [CrossRef]
- Ling, S.S.; Zeng, Y.; Li, S.Z.; Ou, W.C. Effect of Allium macrostemon saponin on ADP-induced platelet-derived membrane vesicle inflammation. J. Chin. Med. Mater. 2019, 42, 2157–2162. [Google Scholar]
- Deng, K.; Feng, H.; Wang, Z.P.; Wang, C.S. Study on the effect and mechanism of Allium saponins on platelet aggregation rate in patients with coronary heart disease with cold phlegm blockade syndrome. J. Basic. Chin. Med. 2019, 25, 783–786. [Google Scholar]
- Liu, Z.J.; Wang, Z.P.; Wang, C.S.; Feng, H.; Guo, M.; Hou, Q.; Chu, Z.R. Effects of furostanol saponins from Allium macrostemon bunge on platelet aggregation and coagulation in rats with coronary heart disease. Mod. Med. J. 2019, 47, 381–384. [Google Scholar]
- He, L.H. Applying factorial design to research on the lipid-reducing efficacy of snake-gourd and Allium macrostemon. Guiding J. Tradit. Chin. Med. Pharm. 2002, 8, 205–207. [Google Scholar]
- Wu, B.; Cao, H.; Chen, S.W.; Wang, M.W.; Wang, N.L.; Yao, X.S. Effects of the extract of bulbus Allii Macrostemi on isolated rabbit aortic strips. J. Shenyang Pharm. Univ. 2000, 17, 447–449+455. [Google Scholar]
- Wu, B.; Chen, S.W.; Cao, H.; Wang, M.W. Effects of the extract of Bulbus Allii macrostemi on hypoxia and myocardial ischemia and reperfusion. J. Shenyang Pharm. Univ. 2001, 18, 131–133. [Google Scholar]
- Okuyama, T.; Matsuda, M.; Kishi, N.; Lee, S.N.; Nishino, H. Studies on the cancer chemoprevention of natural resources. XI anti-tumor promoting activities of crude drug ‘Xiebai’ and Kampo prescriptions composed of ‘Xiebai’. Nat. Med. 1995, 49, 261. [Google Scholar]
- Jiang, Y.; Wang, N.; Yao, X.; Susumu, K. Structural elucidation of the anticoagulation and anticancer constituents from Allium chinense. Acta Pharm. Sin. 1998, 33, 355–361. [Google Scholar]
- Bai, J.S.; Wu, Y.J.; Mo, X.T.; Zheng, S.H.; Chen, W.; Xia, L.Q. GC-MS analysis of the antibacterial active components from Allium Chinense and research of its mechanism. Food Sci. 2004, 25, 146–149. [Google Scholar]
- Zhang, X.M.; Liu, H.Y.; Wang, C.X.; Yu, J. Preliminary study on the anti-microbial activity of Allium macrostemon Bunge. J. Anhui Agricultural Sci. 2005, 33, 1676–1677. [Google Scholar]
- Chen, H.F.; Wang, N.L.; Dai, Y.; Yao, X.S. Determination of saponin I in extracts of Allium macrostemnon. China J. Chin. Mater. Med. 2006, 31, 990–992. [Google Scholar]
- Ma, J.; Wang, N.L.; Gao, P.H.; Yao, X.S. The quantitative determination of adenosine in Allium macrostemon Bunge by RP─HPLC. J. Shenyang Pharm. Univ. 1996, 13, 31–34+68. [Google Scholar]
- Ou, W.C.; Qi, L.J.; Feng, J.L.; Liu, N.N. Determination of Allium Mecrostemon saponins in rat plasma and tissues by HPLC-MS. J. Chin. Med. Mater. 2016, 39, 1104–1107. [Google Scholar]
- Qin, Z.; Lin, P.; Dai, Y.; Yao, Z.; Wang, L.; Yao, X.; Liu, L.; Chen, H. Quantification and semiquantification of multiple representative components for the holistic quality control of Allii Macrostemonis Bulbus by ultra high performance liquid chromatography with quadrupole time-of-flight tandem mass spectrometry. J. Sep. Sci. 2016, 39, 1834–1841. [Google Scholar] [CrossRef] [PubMed]
- Liu, D.L.; Ma, J.; Qu, G.X.; Wang, N.L.; Yao, X.S. Determination of furostanol saponins in bulbus Allii Macroste. China J. Chin. Mater. Med. 2000, 25, 37–39. [Google Scholar]
- Zhou, H.H. One case of severe diarrhea caused by taking Allium Macrostemon Bunge. China J. Chin. Mater. Med. 1998, 23, 58. [Google Scholar]
- Chao, Z.M.; He, B. Overview of the study of Gualou Xiebai Decoction. Chin. J. Exp. Tradit. Med. Formulae 1999, 5, 59–62. [Google Scholar]
Disclaimer/Publisher’s Note: The statements, opinions and data contained in all publications are solely those of the individual author(s) and contributor(s) and not of MDPI and/or the editor(s). MDPI and/or the editor(s) disclaim responsibility for any injury to people or property resulting from any ideas, methods, instructions or products referred to in the content. |
© 2023 by the authors. Licensee MDPI, Basel, Switzerland. This article is an open access article distributed under the terms and conditions of the Creative Commons Attribution (CC BY) license (https://creativecommons.org/licenses/by/4.0/).






