Abstract
Exfoliated g-C3N4 is a well-known semiconductor utilized in heterogenous photocatalysis and water splitting. An improvement in light harvesting and separation of photogenerated charge carriers may be obtained by polymer doping with sulfur. In this work, we incorporate sulfur into the polymer chain by chemical polymerization of trithiocyanuric acid (C3N3S3H3) to obtain C3N3S3. The XRD measurements and TEM images indicated that C3N3S3, in contrast to g-C3N4, does not exist in the form of a graphitic structure and is not exfoliated into thin lamellas. However, both polymers have similar optical properties and positions of the conduction and valence bands. The comparative studies of electrochemical oxygen reduction and hydrogen evolution indicated that the overpotentials for the two processes were smaller for C3N3S3 than for g-C3N4. The RDE experiments in the oxygen-saturated solutions of 0.1 M NaOH have shown that O2 is electrochemically reduced via the serial pathway with two electrons involved in the first step. The spectroscopic experiments using NBT demonstrated that both polymers reveal high activity in the photocatalytic reduction of oxygen to superoxide anion radical by the photogenerated electrons.
1. Introduction
Graphitic carbon nitride (g-C3N4) is one of the most popular organic semiconductors utilized in heterogeneous photocatalysis [1,2,3]. It may be synthesized by thermal condensation of cyanamide, dicyandiamide, melamine, thiourea, and urea ([4] and the references therein). The band gap of g-C3N4, 2.7 eV, is small enough to absorb the photons from the visible light but sufficiently large to fulfill the thermodynamic requirements for water splitting. Namely, the bottom of the conduction band is located above the redox potential of the H+/H2 couple, while the edge of the valence band is more positive than the oxidation potential of water to O2 [5]. Moreover, the microstructure of g-C3N4 with a large number of termination atoms and defects is beneficial for anchoring the active sites. Therefore, the bulk g-C3N4 is exfoliated in aqueous (acidic or basic solutions) or organic solvents to obtain ultrathin or monolayer nanosheets of more abundant surface active sites [6,7] and very high specific surface area.
Using g-C3N4 as a metal-free photocatalyst for water splitting to H2 under visible light, with triethanolamine as the hole scavenger, has been first reported by Wang et al. [8]. However, an efficient and stable hydrogen evolution was possible after modification of g-C3N4 with a small amount (3 wt%) of Pt co-catalyst. It was also found that some improvement in the photocatalytic properties of g-C3N4 could be achieved by molecular doping. For example, the band gap energy of sulfur-doped g-C3N4 (S-g-C3N4) is reduced to 2.63 eV [9], which allows better utilization of the solar spectrum. The theoretical calculations predicted equal band gaps of g-C3N4 and S-g-C3N4, but the S-doped polymer has the impurity level located in the band gap. This ensures easy excitation of electrons from the valence band to the impurity level. Launching sulfur into the g-C3N4 structure also improves the charge carrier separation and prevents recombination. The electrons from sulfur-doped g-C3N4 have been utilized to reduce CO2 to obtain CH3OH, while the holes from the valence band were involved in water oxidation [9]. The hybrid system of TiO2/S-g-C3N4 was used in the photocatalytic degradation of Congo Red [10]. The significant enhancement of photocatalytic activity was ascribed to the S-scheme mechanism and well-distributed 1D nanostructure of doped polymer.
Another possibility of sufur incorporation into the polymer chain is the synthesis from the monomer containing sulfur in the molecular structure. Therefore, in this work, we synthesized C3N3S3 by chemical polymerization of trithiocyanuric acid (C3N3S3H3) and compared the properties of the obtained organic semiconductor with those of g-C3N4 formed by thermal condensation of urea. It has been shown that both polymers reveal ambipolar properties, i.e., behave as n-type or p-type semiconductors, depending on the polarization range. The band diagrams of both semiconductors were constructed taking into account the position of the Fermi level determined from photocurrent onset potential, and the valence band position was verified by VB X-ray photoelectron spectra. The formation of superoxide anion radicals by the electrons photogenerated in the conduction bands of both semiconductors was confirmed by the Nitro Blue Tetrazolium chloride (NBT) experiments. Finally, both polymers were used in the reactions of oxygen reduction and electrocatalytic hydrogen generation.
2. Results
2.1. Characterization of C3N3S3
The successful synthesis of C3N3S3 polymer by chemical oxidation of C3N3S3H3 with I2 has been confirmed by FTIR spectra presented in Figure 1.
Figure 1.
FTIR spectra of the monomer C3N3S3H3 (lines 1) and the polymer C3N3S3 (lines 2) in the wavenumber range 3800 cm−1–600 cm−1 (a) and 600 cm−1–350 cm−1 (b); the chemical structures of the monomer in the tautomeric form of thiol (I) and thione (II) (c), and probable structure of the polymer C3N3S3 (d).
In the spectrum of the monomer (line 1), one can observe several sharp peaks in the range 3160–2900 cm−1, characteristic for N-H stretching vibrations in triazine groups in the monomer [11] (Figure 1c), which are not visible in the spectrum of the polymer (line 2). The peaks at 1514, 1346, 1105, and 721 cm−1 in the monomer spectrum are ascribed to the stretching vibrations of non-aromatic heterocycle thione (tautomeric structure II in Figure 1c). Specifically, the bands at 1514 and 1346 cm−1 may be ascribed to C=N and C-N stretching vibrations [12] in the triazine ring, while that at 1105 cm−1 is assigned to C=S stretching vibrations [13]. In the polymer, the peaks at 1514, 1346, and 720 cm−1 are shifted to 1460, 1220, and 821 cm−1, respectively, while the trace of the C=S peak is observed in the band shoulder at about 1140 cm−1. It likely origins from the thione groups in the external, terminal units of the polymer network. The formation of the polymer is supported by the presence of new peaks in the range 560–400 cm−1 (Figure 1b), ascribed to disulfide S-S linkages, and the disappearance of two weak peaks at 2518 and 2646 cm−1 corresponding to S-H stretching. The peak at about 450 cm−1 observed both in the spectrum of the monomer and polymer originates from NCN bending vibration [14].
The successful polymerization of thiocyanuric acid to C3N3S3 has also been confirmed by XPS measurements. The main peaks in the survey spectrum presented in Figure S1 originate from C 1s, N 1s, and S 2p. Two additional peaks of very small intensities were detected at the binding energies 621.2 eV and 632.5 eV (Figure S2a), corresponding to I 3d5/2 and I 3d3/2, originate from the traces of I2 oxidant (about 0.2 at.%) used for polymerization. The formation of S-S bonds in the polymer is manifested in the high-resolution XPS spectrum (Figure 2a) by two peaks at the binding energies 164.7 eV and 165.9 eV, ascribed to S 2p3/2 and S 2p1/2, respectively [15,16].
Figure 2.
High-resolution XPS spectrum of S 2p of C3N3S3 (a), and comparison of HR-XPS spectra of C 1s (b), N 1s (c) of C3N3S3 and g-C3N4.
In the deconvoluted spectrum of C3N3S3, the main C 1s peak at the binding energy 287.9 eV, corresponding to N-C=N and C-S bonds (Figure 2b), is shifted by about 0.2 eV towards lower energies with respect to the C 1s peak ascribed to sp2-bonded carbon in N-C=N, in the spectrum of g-C3N4, due to the presence of sulfur in the chemical environment of carbon. There is also a small component of C 1s peak in the spectra of both polymers at about 289 eV, which may be ascribed to sp2 C bonded to the NH group (sp2 C-NH) [17]. On the other hand, the signal at this binding energy may also originate from oxygen-carbon functional groups (C=O and C-O) due to the presence of surface carboxylic groups. However, the O 1s peaks of very small intensity were detected only in the spectrum of C3N3S3 (see the survey and high-resolution spectra in Figures S1a and S2b) but not for g-C3N4 (Figure S1b).
The significant differences in the spectra of the two polymers are observed for the peak N 1s (Figure 2c). The peak N 1s for C3N3S3 is narrow because it has only two components: the peak at 399.6 eV corresponding to sp2-hybridized nitrogen in C-N=C, and a small peak at about 400.7 eV corresponding to C-NHx, due to the presence of the external nitrogen atoms in the polymer network (Figure 1d). In contrast, the N 1s peak in the spectrum of g-C3N4, with a broad shoulder on the higher energy side, can be deconvoluted in three components. The main peak located at about 398.6 eV corresponds to sp2-hybridized nitrogen (C-N=C), while the component at about 400 eV is ascribed to sp3 tertiary/bridging N-(C)3 nitrogens [18] (not present in the case of C3N3S3). A weak peak at the binding energy ~401.0 eV is attributed to the nitrogen in terminal amino groups, C-NHx. In the spectra of both polymers, there are also very small peaks at the binding energy of about 404.0 and 407.0 eV, which correspond to shake-up satellite peaks of N 1s. These data are in good agreement with the XPS observations and DFT calculations of Zhang and co-authors for different g-C3N4 models [19]. Such satellite signals can also be observed for carbon C 1s.
The atomic ratios obtained from XPS data are C:N = 1:1.27 for g-C3N4 (being very close to the theoretical ratio 1:1.3) and C:N:S = 1:0.84:1.1 for C3N3S3 (see details in Tables S1 and S2 in SM).
The XRD patterns presented in Figure 3a indicate the significant differences in the crystallographic structures of C3N3S3 and g-C3N4.

Figure 3.
The XRD patterns of C3N3S3 and g-C3N4 (a); TEM images of g-C3N4 (b) and C3N3S3 (c) after sonication in DMSO, and HAADF image of C3N3S3 with the indicated area of elemental analysis (d).
The XRD pattern of g-C3N4 is consistent with the reference diffractogram in the JCPDS (no. 87-1526) [20]. A high signal at 2θ of about 27° is indexed as (002) peak originating from the interplanar diffraction, confirming the graphitic-like structure of this polymer [8]. It corresponds to the interlayer distance of d = 3.36 Å, which is comparable to the packing in the crystalline graphite. The second peak at about 13° of markedly lower intensity, indexed as (100), is ascribed to in-planar repeated triazine units [21]. In contrast, the diffractogram of C3S3N3 with only one broad peak at about 23°, similar to that reported in the literature [16], is typical for amorphous material. Different morphology of C3S3N3 and g-C3N4 results in different behavior of the two polymers during sonication in DMSO used as the solvent. As visible in TEM images of the polymers sonicated for 10 h, the g-C3N4 underwent exfoliation into lamellas (Figure 3b), while C3S3N3 still existed in the form of thicker flakes of micrometer length and smooth surface. However, in the latter case, one can observe the thin flakes or aggregated particles attached to the large and flat elements (see inset in Figure 3c).
The atomic ratio C:N:S obtained for the area marked in Figure 3d is about 1:0.8:1.1, which is practically the same as the ratio obtained from XPS measurements (1:0.84:1:1), and in both cases, the amount of N in C3N3S3 is a little lower than the expected one, while the relative S content is a little too high. However, EDS elemental maps have shown that all elements are uniformly distributed over the whole sample (Figure S3).
2.2. Determination of the Band Diagrams of g-C3N4 and C3N3S3
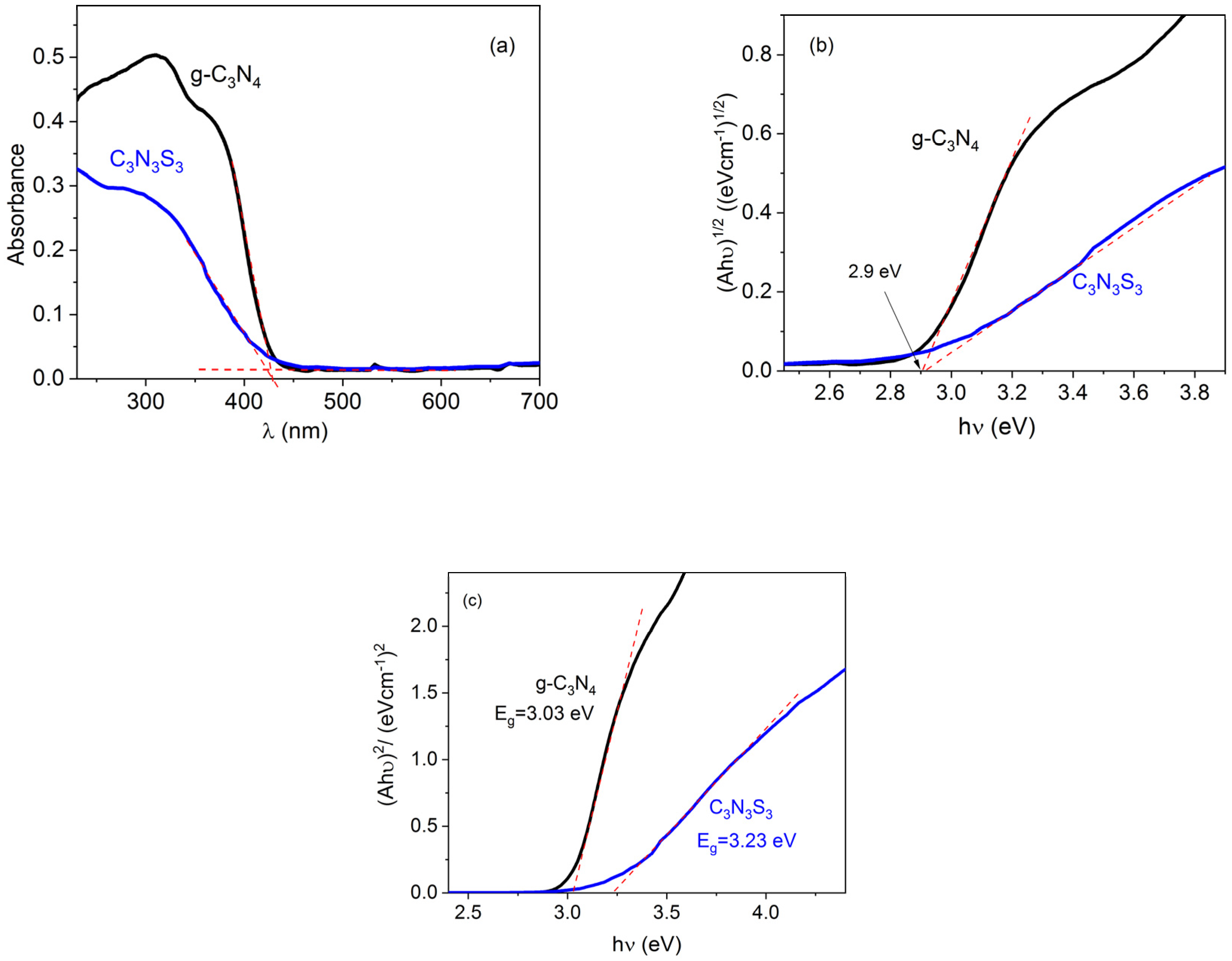
According to the UV-Vis absorption spectra presented in Figure 4a, the optical absorption edges of g-C3N4 and C3N3S3 are at the same wavelength, 430 nm. This wavelength corresponds to the band gap energy 2.88 eV calculated from the equation Eg (eV) = 1240/λ(nm).
Figure 4.
UV-Vis absorption spectra (a) and Tauc plots for C3N3S3 and g-C3N4 for indirect (b) and direct (c) band transitions.
The band gap of both materials was also determined from the Tauc plot:
where α is an absorption coefficient, h is the Planck constant, ν is the photon’s frequency, and A is a constant. The value of factor n is equal to 1/2 for direct band transition and 2 for indirect transition [22]. The g-C3N4 is reported in the literature as an indirect semiconductor [23,24,25], while no data on the type of transition is available for C3N3S3. Therefore, the Tauc plots were done for n = 2 (Figure 4b) as well as for n = 1/2 (Figure 4c). Since the value of Eg = 2.9 eV, obtained for both polymers from the plot , is close to band gap energy determined directly from UV-Vis spectrum (Figure 4a), one can conclude that the transition in the C3N3S3 is also indirect. The band gap energy obtained for g-C3N4 is a little higher than the values reported in the literature (2.6–2.85 eV) [6,8,26], which may be explained by lower temperature applied during the precursor condensation (500 °C) than most often applied in the literature (550–600 °C). It has been reported that the decrease of the band gap energy with the increase of the processing temperature is related to a gradual increase in the polymerization degree [27]. On the other hand, the increase of the synthesis temperature above 550 °C may lead to some distortion of the (100) crystal plane and a decrease in the photocatalytic ability of g-C3N4 [20].
The experimental data on C3N3S3 are very scarce, but according to DFT calculations, the band gap of this polymer may vary from 3.77 eV to 1.9, depending on the polymerization degree [16].
The edge of the conduction band of g-C3N4 is often estimated in the literature from the Butler and Ginley relationship [28]:
where Ee is the energy of free electrons with respect to SHE (0 V vs. SHE corresponds to 4.5 eV), Eg is the band energy, and χ is the semiconductor electronegativity, which is defined as the geometric mean of the electronegativities of the constituent neutral atoms χ(M). However, according to Praus [29], this method is not relevant for the determination of the band edges of g-C3N4 since this material is not characterized by a single value of electronegativity due to possible structural defects, layer distortions, and the presence of natural impurities, such as oxygen, etc. It has been shown that the χ obtained for g-C3N4 (6.91 eV) leads to the band edges ECB and EVB far from those obtained from experimental values [29]. Recently, we have reported the same problem with the application of the Butler and Ginley approach in the determination of correct potentials of the band edges of BiVO4 [30].
Experimentally, the conduction band of the semiconductors is most often determined from the flat band potential (Efb) obtained from the Mott–Schottky plot [31]. However, the main assumption made in the derivation of the Mott–Schottky equation, such as a perfectly planar semiconductor surface or a homogeneous distribution of electronic defects, is not fulfilled in the case of lamellar g-C3N4. Alternatively, the value of Efb may be determined from the onset potential of photocurrent by analysis of the voltammograms in the dark and under illumination [32,33], and this method gave very reliable results for Fe2O3 [33] and BiVO4 [30].
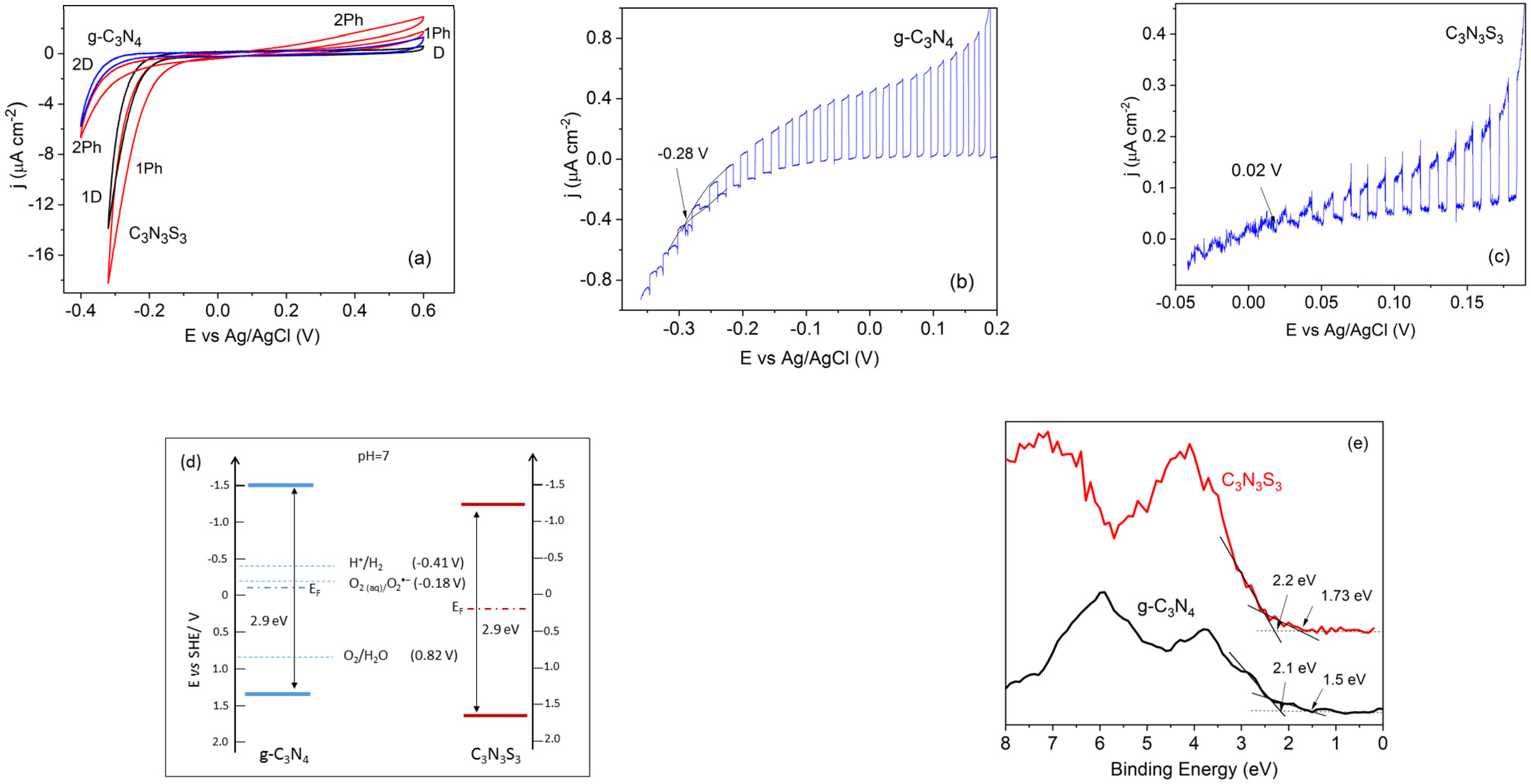
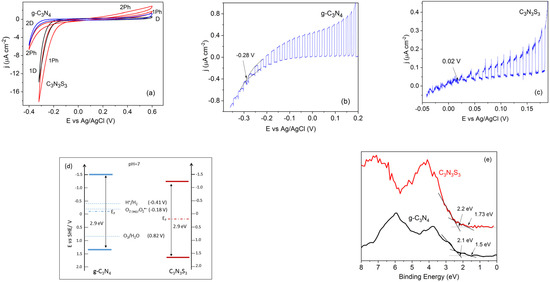
The cyclic voltammograms of FTO/g-C3N4 and FTO/C3N3S3 electrodes obtained in the solution of 0.1 M Na2SO4, presented in Figure 5a, indicate that both polymers exhibit an ambipolar behavior, i.e., as a p-type semiconductor with negative photocurrents under cathodic bias, and n-type with positive photocurrents in the range of anodic potentials. This type of behavior is typical for organic semiconductors, as well as two-dimensional layered materials, such as metal dichalcogenides [34]. It has also been reported for g-C3N4 as amphoteric behavior [35,36]. As visible in Figure 5a, the anodic photocurrent densities for both polymers studied were markedly lower than the reduction photocurrents. This may be explained by considering the electrode–solution interface reactions. In the range of positive potentials, the photogenerated holes may be involved in water oxidation. However, this reaction is rather complex because it requires the transfer of four electrons to oxidize two H2O molecules with the removal of four protons to form the O=O bond [37]. In contrast, the cathodic current for both polymers was high, also without illumination, since the electrons delivered to the electrode/solution interface may reduce the oxygen dissolved in the solution. This reaction will be discussed in more detail in Section 2.3. Therefore, in order to determine the photocurrent onset potential the voltammetric measurements were performed in deaerated solutions (to minimize the dark current). The potential of the electrodes was scanned from 0.2 V vs Ag/AgCl towards the negative values, at a low scan rate of 1 mV s−1 to diminish the capacitance current. The light was chopped at the frequency of about 0.15 Hz.
Figure 5.
Cyclic voltammograms for C3N3S3 (lines 1) and g-C3N4 (lines 2) in the dark (D) and under illumination (Ph) in the solution of 0.1 M Na2SO4 (a); linear sweep voltammograms (LSVs) for g-C3N4 (b) and C3N3S3 (c) at the sweep rate of 1 mV s−1 under chopped illumination in a deaerated solution of 0.1 M Na2SO4; the band energy diagrams of g-C3N4 and C3N3S3 constructed on the base of electrochemical data with the redox potentials of the solution species at pH 7 (d), and VB XP spectra of C3N3S3 and g-C3N4 (e).
As visible in Figure 5b,c, the photocurrents reached the dark currents at the potentials −0.28 V vs. Ag/AgCl (i.e., −0.07 V vs. SHE) for g-C3N4 and 0.02 V vs. Ag/AgCl (i.e., 0.23 V vs. SHE) for C3N3S3. The photocurrent onset potentials were assumed as the Fermi levels (EF) of these two materials [35]. Taking into account that the Fermi level of the ambipolar semiconductor is located approximately at the middle of the forbidden band [38] and that the optical band gap of the g-C3N4 and C3N3S3 determined from the UV-Vis spectra is about 2.9 eV, the estimated values of EVB are of about 1.38 V vs. NHE for g-C3N4 and 1.68 V vs. NHE for C3N3S3, while the ECB is of about −1.52 V vs. NHE for g-C3N4 and −1.22 V vs. NHE for C3N3S3, as presented in the band diagram in Figure 5d.
The valence band positions for both polymers were also determined from VB XP spectra presented in Figure 5e. The main absorption onsets are located at 2.1 eV for g-C3N4 and 2.2 eV for C3N3S3; these values are higher than those obtained from electrochemical experiments. It is worth noting that both XPS spectra also have characteristic tails that cross the energy axes at lower binding energies (at 1.5 eV for g-C3N4 and 1.73 eV for C3N3S3). Similar features have often been observed in XPS spectra of g-C3N4, but in general, they were ignored. However, Kang et al. ascribed this tail to the absence of long-range atomic order in the polymer matrix, which results in the dangling bonds, and they determined the valence band position of g-C3N4 from the tail end [39]. Thus, it is difficult to decide which approach is more appropriate. It should also be taken into account that the state of the semiconductor surface in the electrolyte solution is different than that in a vacuum due to the adsorption of the species at the polymer/solution interface [40]. However, irrespective of the method of determination, the ECB of both polymers is located above the redox potential of H+/H2, while the EVB is below the oxidation potential of H2O to O2, which means that g-C3N4 and C3S3N3 are good candidates for photocatalytic hydrogen and oxygen evolution. The photocatalytic ability of g-C3N4 in the reaction of water splitting to produce H2 has been reported for the first time by Wang et al. [8], but there are several drawbacks, such as limited visible light harvesting efficiency and the fast recombination rate of the photogenerated electron-hole pairs, limiting the hydrogen evolution efficiency on the pristine polymer [41]. A similar problem has been reported for applying g-C3N4 alone in the photocatalytic degradation of dye pollutants. Therefore, g-C3N4 is usually combined with other semiconductors, such as TiO2, ZnO, WO3, Bi2WO6, and MoS2, to reduce the charge recombination (see [2,41,42] and references therein). According to the literature, the g-C3N4-based heterostructures may also be used for the pyrocatalytic decomposition of dyes [43].
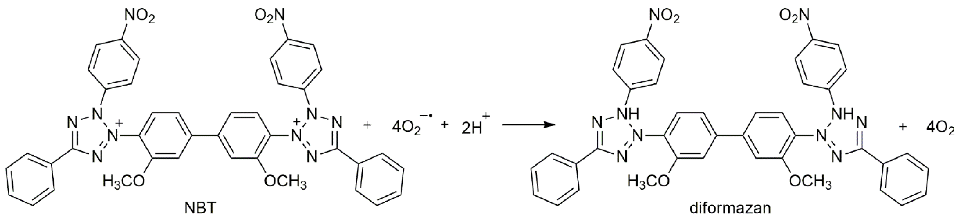
The electrons excited to the conduction band may also be involved in the reduction of oxygen to superoxide anion radical since the redox potential O2/O2−• (−0.18 V vs. SHE) [44] is located much below the conduction band edges of both polymers (as presented in the band diagram in Figure 5d). The generation of superoxide radicals under the illumination of the g-C3N4 and C3S3N3 deposited on FTO has been monitored by the changes in the UV-Vis absorption spectra (Figure 6) that occurred due to the reaction of O2−• with NBT (as described in Section 3.7). It was found that the rate of transformation of NBT into diformazan was the same for both polymers (inset in Figure 6), which suggests the same ability of both materials in photocatalytic generation of superoxide anion radicals.
Figure 6.
Evolution of UV-Vis spectra of NBT solution under irradiation with a diode 365 nm in the presence of FTO/g-C3N4 and the change of relative absorbance (A/Ao) in the peak at 260 nm in a function of time under illumination in the presence of g-C3N4 and C3N3S3 (inset).
2.3. Electrochemical Oxygen Reduction and Hydrogen Evolution at the g-C3N4 and C3N3S3-Modified Electrodes
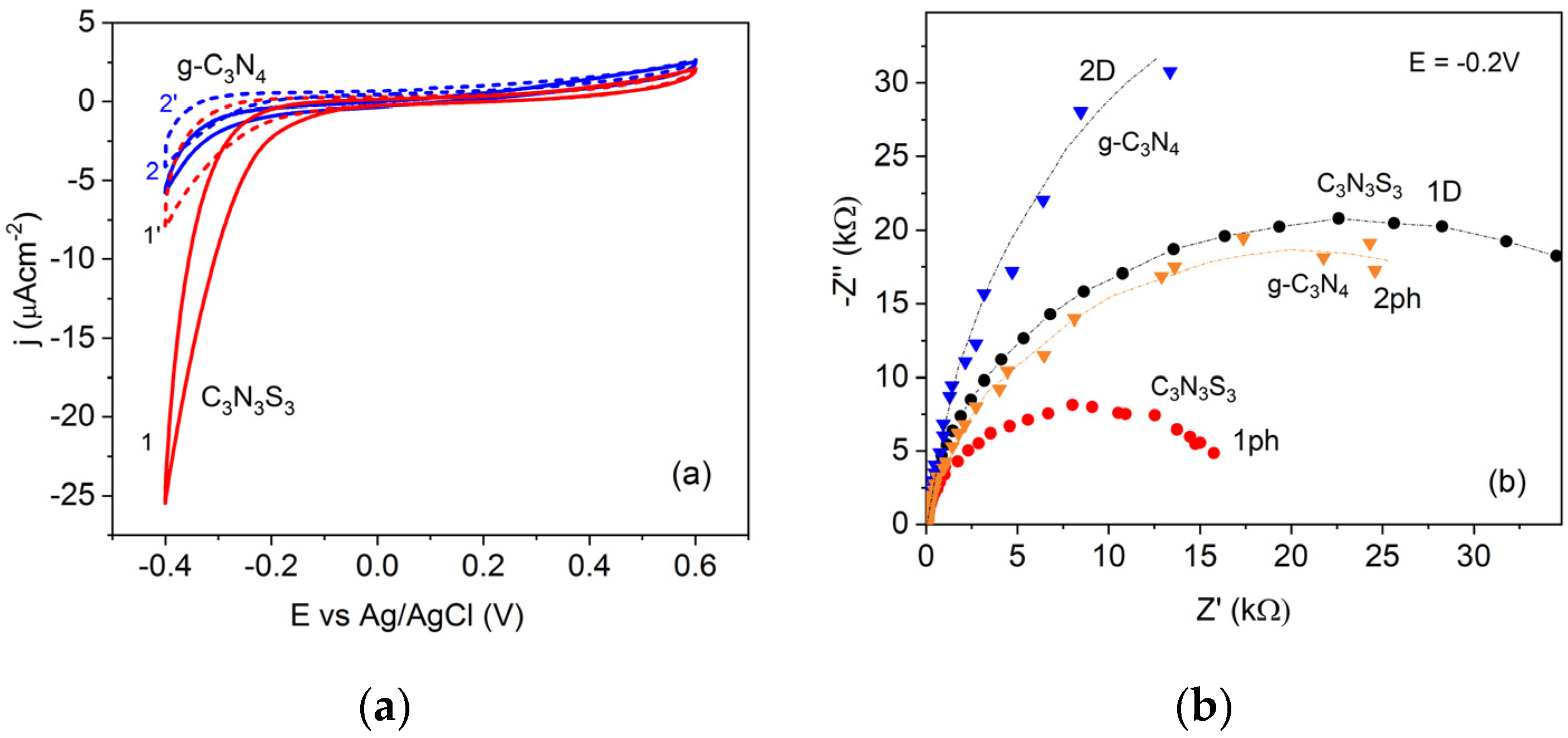
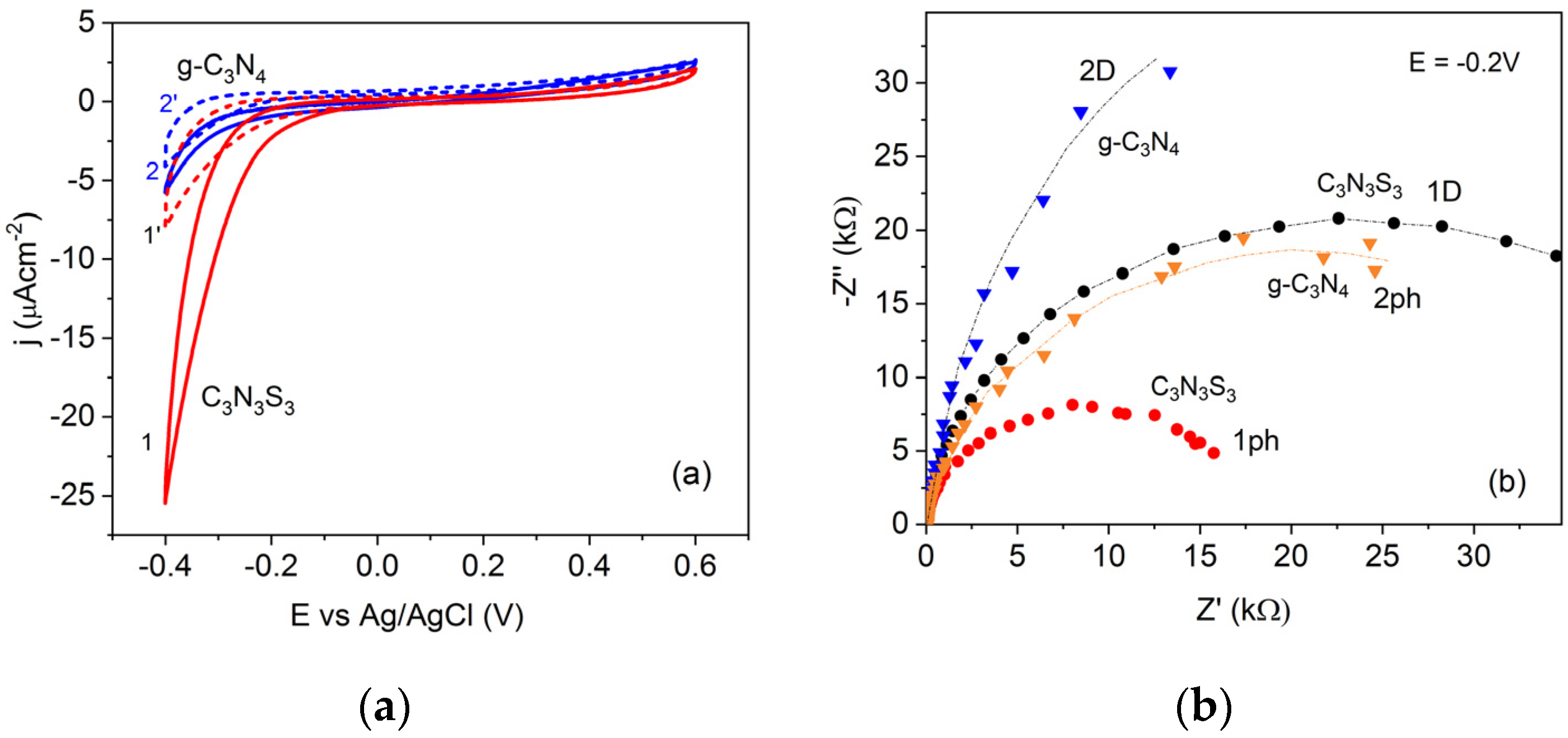
In order to confirm that the cathodic currents recorded in the negative potential range on FTO modified with g-C3N4 and C3N3S3 (presented in Figure 5a) result from oxygen reduction reaction (ORR), the comparative experiments were performed in the presence of oxygen and in a deaerated solution of 0.1 M Na2SO4. As visible in Figure 7a, deaeration of the solution led to a significant decrease of the cathodic currents for both polymers (dashed lines), confirming that the oxygen reduction is the main electrode reaction at the semiconductor/solution interface in the potential range from 0 V to −0.4 V vs. Ag/AgCl. It is also worth noting that the process starts at a less negative potential at the C3N3S3 (in the dark and under illumination) than at g-C3N4 (Figure 5a).
Figure 7.
Cyclic voltammograms of C3N3S3 (lines 1) and g-C3N4 (lines 2) in the solution of 0.1 M Na2SO4 in the dark, in the presence of oxygen (lines 1,2) and after deaeration (lines 1′ and 2′) (a), and EIS curves in the dark (D) and under illumination (ph) recorded at a constant potential of −0.2 V vs. Ag/AgCl in the frequency range 105–0.1 Hz (b).
This is also confirmed by the smaller arc radii in the EIS plots obtained for C3S3N3 than that for g-C3N4 both in the dark and under illumination at the potential −0.2 V vs. Ag/AgCl (Figure 7b). The exact mechanism of oxygen reduction in metals and non-metallic catalysts is still a matter of extensive studies and discussions in the literature [45]. In general, two alternative reaction pathways are considered: a direct four-electron O2 reduction or a “serial pathway” with two successive two-electron steps. In acidic solutions, the product of the direct reaction is water, while the two-electron process leads to the formation of H2O2, which may be further reduced to water in a two-electron reaction. In an alkaline solution, the O2 is reduced in a direct four-electron reaction to OH- anions, while in the serial pathway, O2 is reduced to peroxide ion , which may be followed by either further reduction to OH- or disproportionation to OH− and O2 [46,47]. It has also been postulated that the first step of O2 reduction on glassy carbon (GC) electrodes in neutral and mild alkaline (pH ≤ 10) solutions is the formation of superoxide anion radical (O2−•) [48,49].
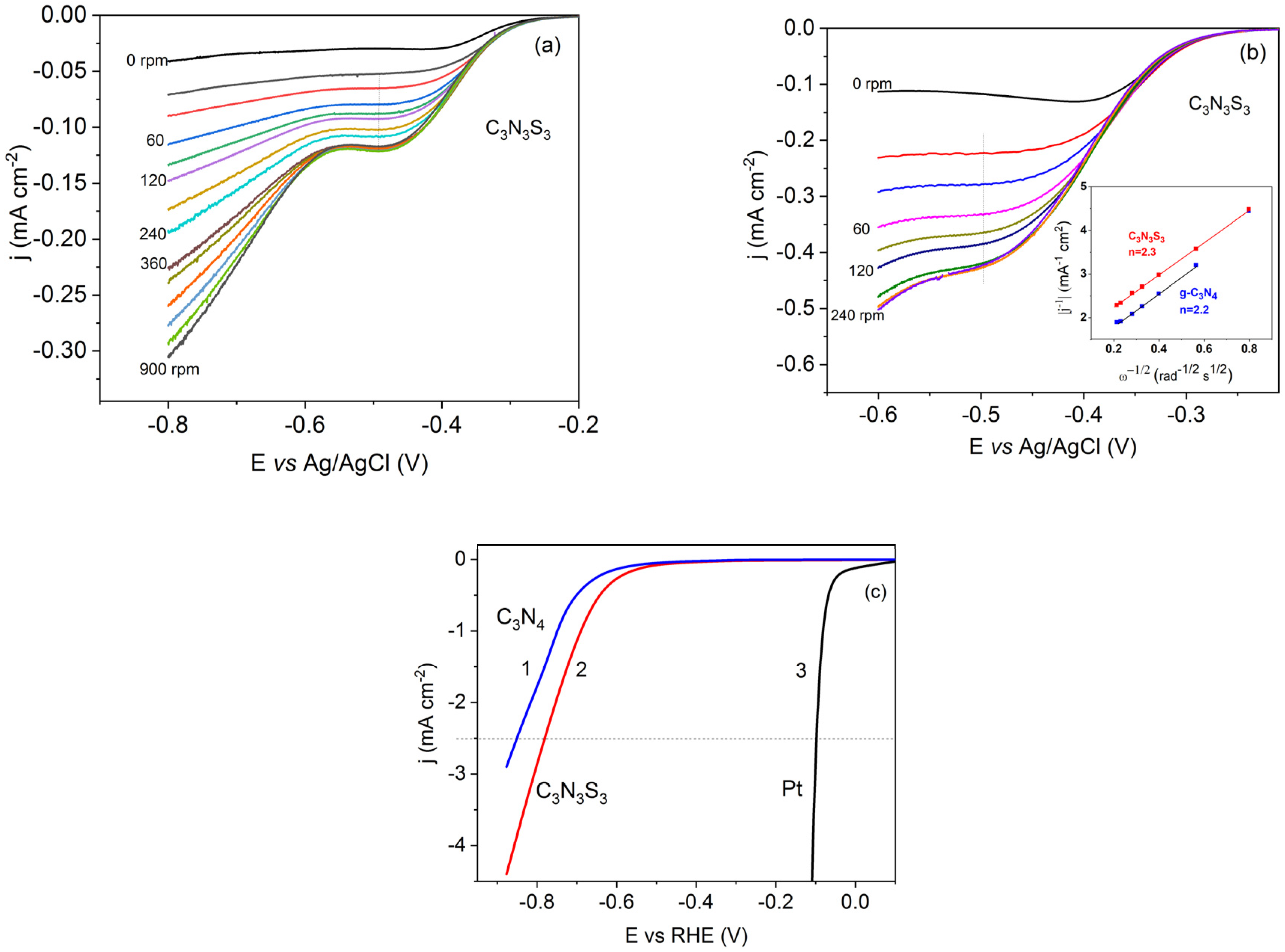
In order to determine the O2 reduction pathway at the g-C3N4 and C3N3S3 electrodes, linear sweep voltammetric (LSV) experiments using a rotating disc electrode (RDE) were performed. The polymers were deposited on the glassy carbon electrodes by drop cast and polarized in the potential range from 0.1 V to −0.6 V vs. Ag/AgCl at the scan rate of 2 mV s−1, and different rotation rates in the solution of 0.1 M Na2SO4. However, no limiting current was observed in the voltammograms recorded in this solution (Figure S4), and therefore, the investigations were carried out in 0.1 M NaOH. For both polymers, the shape of the voltammograms was similar, with a broad wave at about −0.5 V vs. Ag/AgCl, followed by the continuously increasing cathodic current at more positive potentials, as illustrated in Figure 8a. After O2 saturation of the solution by oxygen bubbling for 15 min, the limiting current density increased about 4 times (Figure 8b).
Figure 8.
LSVs obtained on GC/C3N3S3 RDE in 0.1 M NaOH at the sweep rate of 2 mVs−1 and different rotation rates (a), and in the same solution after saturation with O2 (b); inset: Levich–Koutecky plots obtained at C3N3S3 and g-C3N4-modified electrodes at the potential −0.5 V vs. Ag/AgCl, comparison of the voltammograms for FTO/g-C3N4 (line 1), FTO/C3N3S3 (line 2) and Pt (line 3) electrodes in 0.5 M H2SO4 at the scan rate 50 mV/s (c).
The number of electrons (n) involved in the oxygen reduction was determined from the slope of the Levich–Koutecky plot ( vs. ω−1/2), presented in the inset in Figure 8b, according to the relationship [50]:
where jk and jD are the current densities controlled by the reaction kinetics and diffusion process, respectively, F is the Faraday constant, c is a concentration of oxygen in water (1.26·10−6 mol cm−3 for O2-saturated solution), D is the oxygen diffusion coefficient ( cm2 s−1), and ν is a kinematic viscosity of the solution (0.01 cm2 s−1) (all data from [46]).
The obtained number of electrons, 2.2–2.3 per one O2 molecule, suggests the serial ORR pathway for both electrodes (modified with g-C3N4 and C3N3S3), with the formation of intermediate in the first two-electron step in the alkaline solution.
Both polymers deposited on the FTO were also used in the preliminary studies of the electrochemical hydrogen evolution in the solution of 0.5 M H2SO4, deaerated before experiments to avoid the cathodic wave corresponding to the oxygen reduction. As visible in Figure 8c, the hydrogen evolution on g-C3N4 and C3N3S3 occurs at a much higher overpotential than that at the Pt electrode. On the other hand, the process at C3N3S3 starts a little earlier than at the g-C3N4 electrode. This may be ascribed to the presence of unsaturated dangling sulfur atoms, which act as the active sites for binding the H+ ions. However, since the overpotential of hydrogen evolution at C3N3S3 is large, further modifications, for example, by incorporation of the transition metal ions into the polymer matrix or/and combination with other semiconductors, such as MoS2, are needed to improve the catalytic activity of C3N3S3 or C3N3S3-based hybrid system. Thus, the procedures of hybridization of the polymeric and inorganic semiconductor and immobilization of the hybrid system on the surface of FTO to obtain a stable photocatalyst should be developed.
3. Materials and Methods
3.1. Chemicals
All reagents were of analytical grade and used without further purification. Trithiocyanuric acid (C3N3S3H3), Nitro Blue Tetrazolium chloride (NBT), and dimethyl sulfoxide (DMSO) were purchased from Sigma-Aldrich (Darmstadt, Germany). Sodium hydroxide (NaOH, 99.8%), Na2SO4, H2SO4, KI, I2, urea, and absolute ethanol were purchased from POCh S.A (Gliwice, Poland). The aqueous solutions were prepared using deionized water (DI, 18.2 MΩ cm) (Rephile, Shanghai, China). A conducting FTO (F-doped tin oxide) glass of a resistance 20 Ω square−1 was obtained from Dyenamo AB (Stockholm, Sweden).
3.2. Chemical Synthesis of C3N3S3
Chemical synthesis of C3N3S3 was carried out according to the procedure described in the literature [16]. Namely, 0.3 g of C3N3S3H3 (1.7 mmol) was dissolved in the solution of 0.6 mol/L NaOH under constant stirring for 24 h at room temperature. Then, the temperature of the monomer solution was diminished to 0 °C, and 10 mL of the saturated solution of KI containing 0.65 g (2.56 mmol) of I2 was added to maintain the C3N3S3H3:I2 (oxidant) ratio equal to 1:1.5. Then, the temperature gradually increased to the RT, and the reaction mixture was stirred for 24 h. The obtained yellowish precipitate was washed with deionized water and ethanol. The obtained product was dried at RT and stored in a desiccator. Before application, 6 mg of C3N3S3 was added to 5 mL of DMSO and sonicated for 12 h. The obtained yellowish suspension was stored at the temperature 8 °C. DMSO was chosen as the solvent because of the long-term stability of the prepared suspension.
3.3. Chemical Synthesis of g-C3N4
The urea, used as a precursor of g-C3N4, was ground in the mortar and placed in a ceramic vessel covered with a lid. The powder was heated in the muffle furnace to a temperature of 500 °C with a ramp rate of 13 °C/min and kept for 1 h. Next, an excess of unreacted urea was washed out with distilled water. Then, 60 mg of obtained pale-yellow g-C3N4 (60 mg) was suspended in DMSO (50 mL) and sonicated for 10 h in an ultrasonic bath (150 W). The suspension was centrifuged for 10 min at 3000 rpm to remove the non-exfoliated polymer. The obtained white suspension of exfoliated g-C3N4 in DMSO was stored at the temperature of 8 °C.
3.4. Preparation of the Polymer-Modified Electrodes for Electrochemical Measurements
The FTO plates (of the size 2.5 × 1 cm) used as the substrates were washed with acetone by sonication for 15 min. Next, each plate was immersed in the solution of 3M NaOH for 30 s, rinsed with DI water, then immersed for 15 s in the solution of concentrated H2SO4, and again dipped in DI water. Finally, the FTO plates were dried and used for the deposition of the polymeric semiconductors.
The polymers’ suspensions (600 μL in three portions, 200 μL each) were applied on the FTO substrates by drop casting. After each application, the samples were dried in air. The surface area of FTO covered with the polymers was about 1.5 cm2.
A similar procedure was used to modify the glassy carbon (GC) disc electrode with the polymers. The electrode of a surface area of 0.07 cm2 was polished by alumina slurry on the felt polishing pad, and then the polymer suspension was applied in three portions of 3 μL each. Roughly, the amount of the polymers applied on GC was about 150 μg cm−2.
3.5. Characterization Methods
The details on the X-ray diffraction and UV-Vis measurements are provided in our recent paper [30] and the Supplementary Materials.
The FTIR spectra were recorded using a Nicolet iS 50 FTIR spectrometer (Thermo Fisher Scientific, Waltham, MA, USA) in the reflection mode in the wavenumber range 4000–350 cm−1.
The chemical composition and chemical state of the prepared samples were characterized by X-ray photoelectron spectroscopy (XPS). The details on the equipment and data treatment are presented in ref. [51] and in the Supplementary Materials. The measured binding energies for individual elements were corrected in relation to the C1s carbon peak at 284.8 eV.
The binding energy for the valence band (VB) XP spectrum was calibrated using Au of the work function 4.5 eV. This value, typical for a thin polycrystalline gold film [52], practically meets the absolute potential of a standard hydrogen electrode (0 V vs. SHE, i.e., −4.44 ± 0.02 eV vs. vacuum [53]). Therefore, the VB maximum vs. SHE was determined by a linear extrapolation of low binding energy valence band emission edge [54].
3.6. Electrochemical Measurements
All electrochemical measurements were performed in a standard three-electrode cell with FTO/g-C3N4 or FTO/C3N3S3 working electrode, Ag/AgCl (3 M KCl) reference electrode, and Pt plate counter electrode (see details in the Supplementary Materials). The measured potentials were recalculated to the SHE scale using the equation:
The EIS measurements were done at the ac voltage of the amplitude of 10 mV, in the frequency range 105–0.1 Hz. In the photoelectrochemical measurements, the working electrode was illuminated with a diode of the wavelength 365 nm.
3.7. Detection of Superoxide Radicals O2•−
The samples of FTO/g-C3N4 or FTO/C3N3S3 immersed in an aqueous solution of Nitro Blue Tetrazolium chloride (NBT) of concentration 8·10−3 g L−1 was illuminated with a diode (365 nm), under constant stirring. The light intensity in the place of the photocatalyst was 100 mW cm−2. The electrons photogenerated in the semiconductor reduce oxygen to superoxide radical (O2•−), which is then involved in the reduction of NBT to diformazan, according to Scheme 1 [55]. In effect, the intensity of the main absorption peak of NBT in the UV-Vis spectrum, observed at the wavelength of 260 nm, decreases.
Scheme 1.
The reaction of Nitro Blue Tetrazolium chloride (NBT) with superoxide radicals [55].
The reaction rates at different semiconductors were compared by plotting the changes of relative absorbance (A/Ao) at 260 nm as a function of time, where Ao is the initial absorbance of the NBT solution.
4. Conclusions
In this work, we have shown that C3N3S3, chemically synthesized from trithiocyanuric acid, reveals very similar electrochemical properties to g-C3N4. Both polymers exhibit ambipolar behavior, with the Fermi level located in the middle of the band gap. Although the bottom edge of the conduction band in C3N3S3 is located a little below the CB of g-C3N4, the formation rate of superoxide anion radicals by the photogenerated electrons is the same in both polymers. Both polymers are good electrocatalysts in oxygen reduction, and the reaction starts at lower negative potentials at FTO/C3N3S3 than that at the FTO/g-C3N4 electrode. The experiments performed using RDE in the solution of 0.1 M NaOH have shown that oxygen reduction occurs via the serial pathway with two successive two-electron steps. The presence of sulfur in the structure of C3N3S3 is probably responsible for the lowering of hydrogen evolution overpotential at this polymer with respect to that at the g-C3N4-modified FTO electrode due to the presence of additional active sites for binding the H+ ions. However, further improvement of C3N3S3 for practical application in HER is necessary.
Supplementary Materials
The following supporting information can be downloaded at: https://www.mdpi.com/article/10.3390/molecules28062469/s1, Figure S1: Survey spectra of C3N3S3 and g-C3N4; Figure S2: HR-XPS of I 3d and O 1s of C3N3S3; Figure S3: Elemental maps of C3N3S3; Figure S4: LSVs on RDE (C3N3S3) for oxygen reduction; Table S1: XPS data for g-C3N4; Table S2: XPS data for C3N3S3.
Author Contributions
E.W.: investigation, methodology, visualization, validation; M.P.: XPS investigation and analysis; T.Ł.: synthesis; M.S.: conceptualization, methodology, writing—original draft, supervision. All authors have read and agreed to the published version of the manuscript.
Funding
This research was funded by the National Science Centre of Poland under grant 2019/33/B/ST5/01720.
Institutional Review Board Statement
Not applicable.
Informed Consent Statement
Not applicable.
Data Availability Statement
Data available on request due to privacy restrictions.
Acknowledgments
The authors thank Kamil Sobczak from the Biological and Chemical Research Center, University of Warsaw, for TEM imaging and EDS analysis of the samples.
Conflicts of Interest
The authors declare no conflict of interest.
Sample Availability
Samples of the compounds are available from the authors.
References
- Liao, G.; Gong, Y.; Zhang, L.; Gao, H.; Yang, G.J.; Fang, B. Semiconductor Polymeric Graphitic Carbon Nitride Photocatalysts: The “Holy Grail” for the Photocatalytic Hydrogen Evolution Reaction under Visible Light. Energy Environ. Sci. 2019, 12, 2080–2147. [Google Scholar] [CrossRef]
- Mamba, G.; Mishra, A.K. Graphitic Carbon Nitride (g-C3N4) Nanocomposites: A New and Exciting Generation of Visible Light Driven Photocatalysts for Environmental Pollution Remediation. Appl. Catal. B Environ. 2016, 198, 347–377. [Google Scholar] [CrossRef]
- Safaei, J.; Mohamed, N.A.; Mohamad Noh, M.F.; Soh, M.F.; Ludin, N.A.; Ibrahim, M.A.; Roslam Wan Isahak, W.N.; Mat Teridi, M.A. Graphitic Carbon Nitride (g-C3N4) Electrodes for Energy Conversion and Storage: A Review on Photoelectrochemical Water Splitting, Solar Cells and Supercapacitors. J. Mater. Chem. A 2018, 6, 22346–22380. [Google Scholar] [CrossRef]
- Cao, S.; Low, J.; Yu, J.; Jaroniec, M. Polymeric Photocatalysts Based on Graphitic Carbon Nitride. Adv. Mater. 2015, 27, 2150–2176. [Google Scholar] [CrossRef] [PubMed]
- Zhang, J.; Chen, X.; Takanabe, K.; Maeda, K.; Domen, K.; Epping, J.D.; Fu, X.; Antonieta, M.; Wang, X. Synthesis of a Carbon Nitride Structure for Visible-Light Catalysis by Copolymerization. Angew. Chem. Int. Ed. 2010, 49, 441–444. [Google Scholar] [CrossRef]
- Han, Q.; Wang, B.; Gao, J.; Cheng, Z.; Zhao, Y.; Zhang, Z.; Qu, L. Atomically Thin Mesoporous Nanomesh of Graphitic C3N4 for High-Efficiency Photocatalytic Hydrogen Evolution. ACS Nano 2016, 10, 2745–2751. [Google Scholar] [CrossRef]
- Xu, J.; Zhang, L.; Shi, R.; Zhu, Y. Chemical Exfoliation of Graphitic Carbon Nitride for Efficient Heterogeneous Photocatalysis. J. Mater. Chem. A 2013, 1, 14766–14772. [Google Scholar] [CrossRef]
- Wang, X.; Maeda, K.; Thomas, A.; Takanabe, K.; Xin, G.; Carlsson, J.M.; Domen, K.; Antonietti, M. A Metal-Free Polymeric Photocatalyst for Hydrogen Production from Water under Visible Light. Nat. Mater. 2009, 8, 76–80. [Google Scholar] [CrossRef]
- Wang, K.; Li, Q.; Liu, B.; Cheng, B.; Ho, W.; Yu, J. Sulfur-Doped g-C3N4 with Enhanced Photocatalytic CO2-Reduction Performance. Appl. Catal. B Environ. 2015, 176–177, 44–52. [Google Scholar] [CrossRef]
- Wang, J.; Wang, G.; Cheng, B.; Yu, J.; Fan, J. Sulfur-Doped g-C3N4/TiO2 S-Scheme Heterojunction Photocatalyst for Congo Red Photodegradation. Chin. J. Catal. 2020, 42, 56–68. [Google Scholar] [CrossRef]
- Ko, D.; Lee, J.S.; Patel, H.A.; Jakobsen, M.H.; Hwang, Y.; Yavuz, C.T.; Hansen, H.C.B.; Andersen, H.R. Selective Removal of Heavy Metal Ions by Disulfide Linked Polymer Networks. J. Hazard. Mater. 2017, 332, 140–148. [Google Scholar] [CrossRef]
- Socrates, G. Infrared and Raman Characteristic Group Frequencies; Wiley: Hoboken, NJ, USA, 2001. [Google Scholar]
- Yin, J.; Xu, H. Degradation of Organic Dyes over Polymeric Photocatalyst C3N3S3. In 2014 International Conference on Mechatronics, Electronic, Industrial and Control Engineering (MEIC-14); Atlantis Press: Paris, France, 2014; pp. 349–352. [Google Scholar] [CrossRef]
- Drożdżewski, P.; Malik, M.; Kopel, P.; Bieńko, D.C. Normal Vibrations and Vibrational Spectra of Trithiocyanuric Acid in Its Natural, Deuterated, Anionic and Metal Coordinated Forms. Polyhedron 2022, 220, 115819. [Google Scholar] [CrossRef]
- Xu, J.; Luo, L.; Xiao, G.; Zhang, Z.; Lin, H.; Wang, X.; Long, J. Layered C3N3S3 Polymer/Graphene Hybrids as Metal-Free Catalysts for Selective Photocatalytic Oxidation of Benzylic Alcohols under Visible Light. ACS Catal. 2014, 4, 3302–3306. [Google Scholar] [CrossRef]
- Zhang, Z.; Long, J.; Yang, L.; Chen, W.; Dai, W.; Fu, X.; Wang, X. Organic Semiconductor for Artificial Photosynthesis: Water Splitting into Hydrogen by a Bioinspired C3N3S3 Polymer under Visible Light Irradiation. Chem. Sci. 2011, 2, 1826–1830. [Google Scholar] [CrossRef]
- Li, X.; Hartley, G.; Ward, A.J.; Young, P.A.; Masters, A.F.; Maschmeyer, T. Hydrogenated Defects in Graphitic Carbon Nitride Nanosheets for Improved Photocatalytic Hydrogen Evolution. J. Phys. Chem. C 2015, 119, 14938–14946. [Google Scholar] [CrossRef]
- Hong, Z.; Shen, B.; Chen, Y.; Lin, B.; Gao, B. Enhancement of Photocatalytic H2 Evolution over Nitrogen-Deficient Graphitic Carbon Nitride. J. Mater. Chem. A 2013, 1, 11754. [Google Scholar] [CrossRef]
- Zhang, J.R.; Ma, Y.; Wang, S.Y.; Ding, J.; Gao, B.; Kan, E.; Hua, W. Accurate K-Edge X-Ray Photoelectron and Absorption Spectra of g-C3N4 Nanosheets by First-Principles Simulations and Reinterpretations. Phys. Chem. Chem. Phys. 2019, 21, 22819–22830. [Google Scholar] [CrossRef]
- Ge, L. Synthesis and Photocatalytic Performance of Novel Metal-Free g-C 3N4 Photocatalysts. Mater. Lett. 2011, 65, 2652–2654. [Google Scholar] [CrossRef]
- Zhang, J.; Sun, J.; Maeda, K.; Domen, K.; Liu, P.; Antonietti, M.; Fu, X.; Wang, X. Sulfur-Mediated Synthesis of Carbon Nitride: Band-Gap Engineering and Improved Functions for Photocatalysis. Energy Environ. Sci. 2011, 4, 675–678. [Google Scholar] [CrossRef]
- Viezbicke, B.D.; Patel, S.; Davis, B.E.; Birnie, D.P. Evaluation of the Tauc Method for Optical Absorption Edge Determination: ZnO Thin Films as a Model System. Phys. Status Solidi Basic Res. 2015, 252, 1700–1710. [Google Scholar] [CrossRef]
- Wang, Y.; Di, Y.; Antonietti, M.; Li, H.; Chen, X.; Wang, X. Excellent Visible-Light Photocatalysis of Fluorinated Polymeric Carbon Nitride Solids. Chem. Mater. 2010, 22, 5119–5121. [Google Scholar] [CrossRef]
- Zheng, Y.; Zhang, Z.; Li, C. A Comparison of Graphitic Carbon Nitrides Synthesized from Different Precursors through Pyrolysis. J. Photochem. Photobiol. A Chem. 2017, 332, 32–44. [Google Scholar] [CrossRef]
- Liu, G.; Wang, T.; Zhang, H.; Meng, X.; Hao, D.; Chang, K.; Li, P.; Kako, T.; Ye, J. Nature-Inspired Environmental “Phosphorylation” Boosts Photocatalytic H 2 Production over Carbon Nitride Nanosheets under Visible-Light Irradiation. Angew. Chem. 2015, 127, 13765–13769. [Google Scholar] [CrossRef]
- Martin, D.J.; Qiu, K.; Shevlin, S.A.; Handoko, A.D.; Chen, X.; Guo, Z.; Tang, J. Highly Efficient Photocatalytic H2 Evolution from Water Using Visible Light and Structure-Controlled Graphitic Carbon Nitride. Angew. Chem. Int. Ed. 2014, 53, 9240–9245. [Google Scholar] [CrossRef]
- Tyborski, T.; Merschjann, C.; Orthmann, S.; Yang, F.; Lux-Steiner, M.C.; Schedel-Niedrig, T. Tunable Optical Transition in Polymeric Carbon Nitrides Synthesized via Bulk Thermal Condensation. J. Phys. Condens. Matter 2012, 24, 162201. [Google Scholar] [CrossRef]
- Butler, M.A.; Ginley, D.S. Prediction of Flatband Potentials at Semiconductor-Electrolyte Interfaces from Atomic Electronegativities. J. Electrochem. Soc. 1978, 125, 228–232. [Google Scholar] [CrossRef]
- Praus, P. On Electronegativity of Graphitic Carbon Nitride. Carbon 2021, 172, 729–732. [Google Scholar] [CrossRef]
- Łęcki, T.; Hamad, H.; Zarębska, K.; Wierzyńska, E.; Skompska, M. Mechanistic Insight into Photochemical and Photoelectrochemical Degradation of Organic Pollutants with the Use of BiVO4 and BiVO4/Co-Pi. Electrochim. Acta 2022, 434, 141292. [Google Scholar] [CrossRef]
- Cardon, F.; Gomes, W.P. On the Determination of the Flat-Band Potential of a Semiconductor in Contact with a Metal or an Electrolyte from the Mott-Schottky Plot. J. Phys. D Appl. Phys. 1978, 11, L63. [Google Scholar] [CrossRef]
- Beranek, R. (Photo)Electrochemical Methods for the Determination of the Band Edge Positions of TiO2-Based Nanomaterials. Adv. Phys. Chem. 2011, 2011, 80–83. [Google Scholar] [CrossRef]
- Hankin, A.; Bedoya-Lora, F.E.; Alexander, J.C.; Regoutz, A.; Kelsall, G.H. Flat Band Potential Determination: Avoiding the Pitfalls. J. Mater. Chem. A 2019, 7, 26162–26176. [Google Scholar] [CrossRef]
- Ren, Y.; Yang, X.; Zhou, L.; Mao, J.Y.; Han, S.T.; Zhou, Y. Recent Advances in Ambipolar Transistors for Functional Applications. Adv. Funct. Mater. 2019, 29, 1902105. [Google Scholar] [CrossRef]
- Jing, J.; Chen, Z.; Feng, C. Dramatically Enhanced Photoelectrochemical Properties and Transformed p/n Type of g-C3N4 Caused by K and I Co-Doping. Electrochim. Acta 2019, 297, 488–496. [Google Scholar] [CrossRef]
- Jing, J.; Chen, Z.; Feng, C.; Sun, M.; Hou, J. Transforming G-C3N4 from Amphoteric to n-Type Semiconductor: The Important Role of p/n Type on Photoelectrochemical Cathodic Protection. J. Alloys Compd. 2021, 851, 156820. [Google Scholar] [CrossRef]
- Kanan, M.W.; Nocera, D.G. In Situ Formation of an Oxygen-Evolving Catalyst in Neutral Water Containing Phosphate and Co2+. Science 2008, 321, 1072–1075. [Google Scholar] [CrossRef]
- Zhang, Y.; Antonietti, M. Photocurrent Generation by Polymeric Carbon Nitride Solids: An Initial Step towards a Novel Photovoltaic System. Chem.—Asian J. 2010, 5, 1307–1311. [Google Scholar] [CrossRef]
- Kang, Y.; Yang, Y.; Yin, L.C.; Kang, X.; Liu, G.; Cheng, H.M. An Amorphous Carbon Nitride Photocatalyst with Greatly Extended Visible-Light-Responsive Range for Photocatalytic Hydrogen Generation. Adv. Mater. 2015, 27, 4572–4577. [Google Scholar] [CrossRef] [PubMed]
- Chun, W.J.; Ishikawa, A.; Fujisawa, H.; Takata, T.; Kondo, J.N.; Hara, M.; Kawai, M.; Matsumoto, Y.; Domen, K. Conduction and Valence Band Positions of Ta2O5, TaOn, and Ta3N5 by UPS and Electrochemical Methods. J. Phys. Chem. B 2003, 107, 1798–1803. [Google Scholar] [CrossRef]
- Ismael, M. A Review on Graphitic Carbon Nitride (g-C3N4) Based Nanocomposites: Synthesis, Categories, and Their Application in Photocatalysis. J. Alloys Compd. 2020, 846, 156446. [Google Scholar] [CrossRef]
- Sudhaik, A.; Raizada, P.; Shandilya, P.; Jeong, D.Y.; Lim, J.H.; Singh, P. Review on Fabrication of Graphitic Carbon Nitride Based Efficient Nanocomposites for Photodegradation of Aqueous Phase Organic Pollutants. J. Ind. Eng. Chem. 2018, 67, 28–51. [Google Scholar] [CrossRef]
- Chen, M.; Jia, Y.; Li, H.; Wu, Z.; Huang, T.; Zhang, H. Enhanced Pyrocatalysis of the Pyroelectric BiFeO3/g-C3N4 Heterostructure for Dye Decomposition Driven by Cold-Hot Temperature Alternation. J. Adv. Ceram. 2021, 10, 338–346. [Google Scholar] [CrossRef]
- Armstrong, D.A.; Huie, R.E.; Koppenol, W.H.; Lymar, S.V.; Merenyi, G.; Neta, P.; Ruscic, B.; Stanbury, D.M.; Steenken, S.; Wardman, P. Standard Electrode Potentials Involving Radicals in Aqueous Solution: Inorganic Radicals (IUPAC Technical Report). Pure Appl. Chem. 2015, 87, 1139–1150. [Google Scholar] [CrossRef]
- Song, C.; Zhang, J. Electrocatalytic Oxygen Reduction Reaction. In PEM Fuel Cell Electrocatalysts and Catalyst Layers: Fundamentals and Applications; Springer: London, UK, 2008; pp. 89–134. [Google Scholar] [CrossRef]
- Blizanac, B.B.; Ross, P.N.; Markovic, N.M. Oxygen Electroreduction on Ag(1 1 1): The PH Effect. Electrochim. Acta 2007, 52, 2264–2271. [Google Scholar] [CrossRef]
- Ge, X.; Sumboja, A.; Wuu, D.; An, T.; Li, B.; Goh, F.W.T.; Hor, T.S.A.; Zong, Y.; Liu, Z. Oxygen Reduction in Alkaline Media: From Mechanisms to Recent Advances of Catalysts. ACS Catal. 2015, 5, 4643–4667. [Google Scholar] [CrossRef]
- Yang, H.-H.; McCreery, R.L. Elucidation of the Mechanism of Dioxygen Reduction on Metal-Free Carbon Electrodes. J. Electrochem. Soc. 2000, 147, 3420. [Google Scholar] [CrossRef]
- Feng, Z.; Georgescu, N.S.; Scherson, D.A. Rotating Ring-Disk Electrode Method for the Detection of Solution Phase Superoxide as a Reaction Intermediate of Oxygen Reduction in Neutral Aqueous Solutions. Anal. Chem. 2016, 88, 1088–1091. [Google Scholar] [CrossRef] [PubMed]
- Bard, A.J.; Faulkner, J.R. Electrochemical Methods: Fundamental and Applications, 2nd ed.; Wiley: New York, NY, USA, 2001. [Google Scholar]
- Pisarek, M.; Krawczyk, M.; Kosiński, A.; Hołdyński, M.; Andrzejczuk, M.; Krajczewski, J.; Bieńkowski, K.; Solarska, R.; Gurgul, M.; Zaraska, L.; et al. Materials Characterization of TiO2nanotubes Decorated by Au Nanoparticles for Photoelectrochemical Applications. RSC Adv. 2021, 11, 38727–38738. [Google Scholar] [CrossRef]
- Kahn, A. Fermi Level, Work Function and Vacuum Level. Mater. Horiz. 2016, 3, 7–10. [Google Scholar] [CrossRef]
- Trasatti, S. The Absolute Electrode Potential: An Explanatory Note (Recommendations 1986). Pure Appl. Chem. 1986, 58, 955–966. [Google Scholar] [CrossRef]
- Kashiwaya, S.; Morasch, J.; Streibel, V.; Toupance, T.; Jaegermann, W.; Klein, A. The Work Function of TiO2. Surfaces 2018, 1, 73–89. [Google Scholar] [CrossRef]
- Goto, H.; Hanada, Y.; Ohno, T.; Matsumura, M. Quantitative Analysis of Superoxide Ion and Hydrogen Peroxide Produced from Molecular Oxygen on Photoirradiated TiO2 Particles. J. Catal. 2004, 225, 223–229. [Google Scholar] [CrossRef]
Disclaimer/Publisher’s Note: The statements, opinions and data contained in all publications are solely those of the individual author(s) and contributor(s) and not of MDPI and/or the editor(s). MDPI and/or the editor(s) disclaim responsibility for any injury to people or property resulting from any ideas, methods, instructions or products referred to in the content. |
© 2023 by the authors. Licensee MDPI, Basel, Switzerland. This article is an open access article distributed under the terms and conditions of the Creative Commons Attribution (CC BY) license (https://creativecommons.org/licenses/by/4.0/).









