The Role of the Anion in Imidazolium-Based Ionic Liquids for Fuel and Terpenes Processing
Abstract
1. Introduction
2. Results
2.1. Activity Coefficients at Infinite Dilution
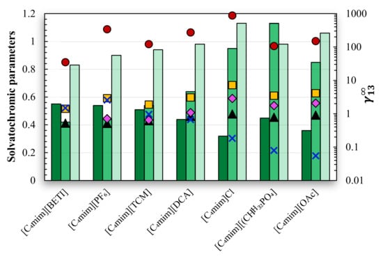
2.2. Influence of the Anion Polarity
2.3. Gas–Liquid Partition Coefficients
2.4. Infinite Dilution Thermodynamic Functions
2.5. Separation Factors
2.5.1. Terpenes Fractionation
2.5.2. Fuel Processing
3. Materials and Methods
4. Conclusions
Supplementary Materials
Author Contributions
Funding
Institutional Review Board Statement
Informed Consent Statement
Data Availability Statement
Conflicts of Interest
References
- Anastas, P.T.; Zimmerman, J.B. Design through the 12 Principles of Green Engineering. IEEE Eng. Manag. Rev. 2007, 35, 95–101. [Google Scholar] [CrossRef]
- Poole, C.F. Chromatographic and Spectroscopic Methods for the Determination of Solvent Properties of Room Temperature Ionic Liquids. J. Chromatogr. A 2004, 1037, 49–82. [Google Scholar] [CrossRef]
- Tzschucke, C.C.; Markert, C.; Bannwarth, W.; Roller, S.; Hebel, A.; Haag, R. Modern Separation Techniques for the Efficient Workup in Organic Synthesis. Angew. Chemie Int. Ed. 2002, 41, 3964–4000. [Google Scholar] [CrossRef]
- Wasserscheid, P.; Keim, W. Ionic Liquids: New “Solution” for Transition Metal Catalysis. Angew. Chem. Int. Ed 2000, 39, 3772–3789. [Google Scholar] [CrossRef]
- Ventura, S.P.M.; Gonçalves, A.M.M.; Sintra, T.; Pereira, J.L.; Gonçalves, F.; Coutinho, J.A.P. Designing Ionic Liquids: The Chemical Structure Role in the Toxicity. Ecotoxicology 2013, 22, 1–12. [Google Scholar] [CrossRef]
- Zhao, D.; Liao, Y.; Zhang, Z.D. Toxicity of Ionic Liquids. Clean Soil Air Water 2007, 35, 42–48. [Google Scholar] [CrossRef]
- Sheldon, R.A. Biocatalysis and Biomass Conversion in Alternative Reaction Media. Chem. A Eur. J. 2016, 22, 12984–12999. [Google Scholar] [CrossRef]
- Mikkola, J.P.T.; Virtanen, P.P.; Kordás, K.; Karhu, H.; Salmi, T.O. SILCA—Supported Ionic Liquid Catalysts for Fine Chemicals. Appl. Catal. A Gen. 2007, 328, 68–76. [Google Scholar] [CrossRef]
- Liu, J.F.; Jiang, G.B.; Jönsson, J.Å. Application of Ionic Liquids in Analytical Chemistry. TrAC Trends Anal. Chem. 2005, 24, 20–27. [Google Scholar] [CrossRef]
- Berthod, A.; Ruiz-Ángel, M.J.; Carda-Broch, S. Ionic Liquids in Separation Techniques. J. Chromatogr. A 2008, 1184, 6–18. [Google Scholar] [CrossRef] [PubMed]
- Vilas-Boas, S.M.; Teixeira, G.; Rosini, S.; Martins, M.A.R.; Gaschi, P.S.; Coutinho, J.A.P.; Ferreira, O.; Pinho, S.P. Ionic Liquids as Entrainers for Terpenes Fractionation and Other Relevant Separation Problems. J. Mol. Liq. 2021, 323, 114647. [Google Scholar] [CrossRef]
- Vilas-Boas, S.M.; Martins, M.A.R.; Tentor, F.R.; Teixeira, G.; Sgorlon, J.G.; Coutinho, J.A.P.; Ferreira, O.; Pinho, S.P. Imidazolium Chloride Ionic Liquid Mixtures as Separating Agents: Fuel Processing and Azeotrope Breaking. Energy Fuels 2022, 36, 8552–8561. [Google Scholar] [CrossRef] [PubMed]
- Anderson, J.L.; Ding, R.; Ellern, A.; Armstrong, D.W. Structure and Properties of High Stability Geminal Dicationic Ionic Liquids. J. Am. Chem. Soc. 2005, 127, 593–604. [Google Scholar] [CrossRef] [PubMed]
- Marciniak, A. Influence of Cation and Anion Structure of the Ionic Liquid on Extraction Processes Based on Activity Coefficients at Infinite Dilution. A Review. Fluid Phase Equilib. 2010, 294, 213–233. [Google Scholar] [CrossRef]
- Ventura, S.P.M.; E Silva, F.A.; Quental, M.V.; Mondal, D.; Freire, M.G.; Coutinho, J.A.P. Ionic-Liquid-Mediated Extraction and Separation Processes for Bioactive Compounds: Past, Present, and Future Trends. Chem. Rev. 2017, 117, 6984–7052. [Google Scholar] [CrossRef]
- Martins, M.A.R.; Coutinho, J.A.P.; Pinho, S.P.; Domańska, U. Measurements of Activity Coefficients at Infinite Dilution of Organic Solutes and Water on Polar Imidazolium-Based Ionic Liquids. J. Chem. Thermodyn. 2015, 91, 194–203. [Google Scholar] [CrossRef]
- Domańska, U.; Wlazło, M.; Karpińska, M. Activity Coefficients at Infinite Dilution of Organic Solvents and Water in 1-Butyl-3-Methylimidazolium Dicyanamide. A Literature Review of Hexane/Hex-1-Ene Separation. Fluid Phase Equilib. 2016, 417, 50–61. [Google Scholar] [CrossRef]
- Francisco, M.; Arce, A.; Soto, A. Ionic Liquids on Desulfurization of Fuel Oils. Fluid Phase Equilib. 2010, 294, 39–48. [Google Scholar] [CrossRef]
- Domańska, U.; Wlazło, M.; Karpińska, M. [DCA]-Based Ionic Liquids for the Extraction of Sulfur and Nitrogen Compounds from Fuels: Activity Coefficients at Infinite Dilution. Fluid Phase Equilib. 2020, 507, 112424. [Google Scholar] [CrossRef]
- Kêdra-Królik, K.; Fabrice, M.; Jaubert, J.N. Extraction of Thiophene or Pyridine from N-Heptane Using Ionic Liquids. Gasoline and Diesel Desulfurization. Ind. Eng. Chem. Res. 2011, 50, 2296–2306. [Google Scholar] [CrossRef]
- Domańska, U.; Marciniak, A. Activity Coefficients at Infinite Dilution Measurements for Organic Solutes and Water in the Ionic Liquid 1-Butyl-3-Methylimidazolium Trifluoromethanesulfonate. J. Phys. Chem. B 2008, 112, 11100–11105. [Google Scholar] [CrossRef] [PubMed]
- Meindersma, G.W.; Hansmeier, A.R.; De Haan, A.B. Ionic Liquids for Aromatics Extraction. Present Status and Future Outlook. Ind. Eng. Chem. Res. 2010, 49, 7530–7540. [Google Scholar] [CrossRef]
- Meindersma, G.W.; Podt, A.; Klaren, M.B.; de Haan, A.B. Separation of Aromatic and Aliphatic Hydrocarbons with Ionic Liquids. Chem. Eng. Commun. 2006, 193, 1384–1396. [Google Scholar] [CrossRef]
- Wytze Meindersma, G.; Podt, A.; de Haan, A.B. Selection of Ionic Liquids for the Extraction of Aromatic Hydrocarbons from Aromatic/Aliphatic Mixtures. Fuel Process. Technol. 2005, 87, 59–70. [Google Scholar] [CrossRef]
- Martins, M.A.R.; Domańska, U.; Schröder, B.; Coutinho, J.A.P.; Pinho, S.P. Selection of Ionic Liquids to Be Used as Separation Agents for Terpenes and Terpenoids. ACS Sustain. Chem. Eng. 2016, 4, 548–556. [Google Scholar] [CrossRef]
- Babich, I.V.; Moulijn, J.A. Science and Technology of Novel Processes for Deep Desulfurization of Oil Refinery Streams: A Review. Fuel 2003, 82, 607–631. [Google Scholar] [CrossRef]
- Domańska, U.; Królikowski, M. Determination of Activity Coefficients at Infinite Dilution of 35 Solutes in the Ionic Liquid, 1-Butyl-3-Methylimidazolium Tosylate, Using Gas-Liquid Chromatography. J. Chem. Eng. Data 2010, 55, 4817–4822. [Google Scholar] [CrossRef]
- Mutelet, F.; Butet, V.; Jaubert, J.-N. Application of Inverse Gas Chromatography and Regular Solution Theory for Characterization of Ionic Liquids. Ind. Eng. Chem. Res. 2005, 44, 4120–4127. [Google Scholar] [CrossRef]
- Mutelet, F.; Jaubert, J.N. Measurement of Activity Coefficients at Infinite Dilution in 1-Hexadecyl-3-Methylimidazolium Tetrafluoroborate Ionic Liquid. J. Chem. Thermodyn. 2007, 39, 1144–1150. [Google Scholar] [CrossRef]
- Nkosi, N.; Tumba, K.; Ramsuroop, S. Measurements of Activity Coefficient at Infinite Dilution for Organic Solutes in Tetramethylammonium Chloride + Ethylene Glycol Deep Eutectic Solvent Using Gas-Liquid Chromatography. Fluid Phase Equilib. 2018, 462, 31–37. [Google Scholar] [CrossRef]
- Verevkin, S.P.; Sazonova, A.Y.; Frolkova, A.K.; Zaitsau, D.H.; Prikhodko, I.V.; Held, C. Separation Performance of BioRenewable Deep Eutectic Solvents. Ind. Eng. Chem. Res. 2015, 54, 3498–3504. [Google Scholar] [CrossRef]
- Ben Salha, G.; Herrera Díaz, R.; Labidi, J.; Abderrabba, M. Deterpenation of Origanum Majorana L. Essential Oil by Reduced Pressure Steam Distillation. Ind. Crop. Prod. 2017, 109, 116–122. [Google Scholar] [CrossRef]
- Ozturk, B. Green Processes for Deterpenation of Essential Oils and Extraction of Bioactive Compounds from Orange Peel Waste; The University of Manchester: Manchester, UK, 2019. [Google Scholar]
- Ganem, F.; Mattedi, S.; Rodríguez, O.; Rodil, E.; Soto, A. Deterpenation of Citrus Essential Oil with 1-Ethyl-3-Methylimidazolium Acetate: A Comparison of Unit Operations. Sep. Purif. Technol. 2020, 250, 117208. [Google Scholar] [CrossRef]
- Martins, M.A.R.; Vilas-Boas, S.M.; Cordova, I.W.; Carvalho, P.J.; Domańska, U.; Ferreira, O.; Coutinho, J.A.P.; Pinho, S.P. Infinite Dilution Activity Coefficients in the Smectic and Isotropic Phases of Tetrafluoroborate-Based Ionic Liquids. J. Chem. Eng. Data 2021, 66, 2587–2596. [Google Scholar] [CrossRef]
- Dobryakov, Y.G.; Tuma, D.; Maurer, G. Activity Coefficients at Infinite Dilution of Alkanols in the Ionic Liquids 1-Butyl-3-Methylimidazolium Hexafluorophosphate, 1-Butyl-3-Methylimidazolium Methyl Sulfate, and 1-Hexyl-3-Methylimidazolium Bis(Trifluoromethylsulfonyl) Amide Using the Dilutor T. J. Chem. Eng. Data 2008, 53, 2154–2162. [Google Scholar] [CrossRef]
- Zhu, J.; Yu, Y.; Chen, J.; Fei, W. Measurement of Activity Coefficients at Infinite Dilution for Hydrocarbons in Imidazolium-Based Ionic Liquids and QSPR Model. Front. Chem. Eng. China 2007, 1, 190–194. [Google Scholar] [CrossRef]
- Jessop, P.G.; Jessop, D.A.; Fu, D.; Phan, L. Solvatochromic Parameters for Solvents of Interest in Green Chemistry. Green Chem. 2012, 14, 1245–1259. [Google Scholar] [CrossRef]
- Kamlet, M.J.; Abboud, J.L.M.; Abraham, M.H.; Taft, R.W. Linear Solvation Energy Relationships. 23. A Comprehensive Collection of the Solvatochromic Parameters, Pi.*, Alpha, and Beta, and Some Methods for Simplifying the Generalized Solvatochromic Equation. J. Org. Chem. 1983, 48, 2877–2887. [Google Scholar] [CrossRef]
- Marcus, Y. The Properties of Organic Liquids That Are Relevant to Their Use as Solvating Solvents. Chem. Soc. Rev. 1993, 22, 409–416. [Google Scholar] [CrossRef]
- Moïse, J.-C.; Mutelet, F.; Jaubert, J.-N.; Grubbs, L.M.; Acree, W.E.; Baker, G.A. Activity Coefficients at Infinite Dilution of Organic Compounds in Four New Imidazolium-Based Ionic Liquids. J. Chem. Eng. Data 2011, 56, 3106–3114. [Google Scholar] [CrossRef]
- Lukoshko, E.; Mutelet, F.; Domanska, U. Experimental and Theoretically Study of Interaction between Organic Compounds and Tricyanomethanide Based Ionic Liquids. J. Chem. Thermodyn. 2015, 85, 49–56. [Google Scholar] [CrossRef]
- Ab Rani, M.A.; Brant, A.; Crowhurst, L.; Dolan, A.; Lui, M.; Hassan, N.H.J.; Hallett, P.; Hunt, P.A.; Niedermeyer, H.; Perez-Arlandis, J.M.; et al. Understanding the Polarity of Ionic Liquids. Phys. Chem. Chem. Phys. 2011, 13, 16831–16840. [Google Scholar] [CrossRef] [PubMed]
- Spange, S.; Lungwitz, R.; Schade, A. Correlation of Molecular Structure and Polarity of Ionic Liquids. J. Mol. Liq. 2014, 192, 137–143. [Google Scholar] [CrossRef]
- Anderson, J.L.; Ding, J.; Welton, T.; Armstrong, D.W. Characterizing Ionic Liquids on the Basis of Multiple Solvation Interactions. J. Am. Chem. Soc. 2002, 124, 14247–14254. [Google Scholar] [CrossRef]
- Crowhurst, L.; Mawdsley, P.R.; Perez-Arlandis, J.M.; Salter, P.A.; Welton, T. Solvent-Solute Interactions in Ionic Liquids. Phys. Chem. Chem. Phys. 2003, 5, 2790–2794. [Google Scholar] [CrossRef]
- Vilas Boas, S.M.; Zambom, A.; Martins, M.A.R.; Coutinho, J.A.P.; Ferreira, O.; Pinho, S.P. Evaluation of Ionic Liquids for the Sustainable Fractionation of Essential Oils. Ind. Eng. Chem. Res. 2022. submitted. [Google Scholar]
- Martins, M.A.R. Studies for the Development of New Separation Processes with Terpenes and Their Environmental Distribution. Ph.D. Thesis, University of Aveiro, Aveiro, Portugal, 2017. [Google Scholar]
- Caputi, L.; Aprea, E. Use of Terpenoids as Natural Flavouring Compounds in Food Industry. Recent Pat. Food Nutr. Agric. 2011, 3, 9–16. [Google Scholar] [CrossRef]
- Zwenger, S.; Basu, C. Plant Terpenoids: Applications and Future Potentials. Biotechnol. Mol. Biol. Rev. 2008, 3, 1–7. [Google Scholar] [CrossRef]
- Khayyat, S.A.; Roselin, L.S. Recent Progress in Photochemical Reaction on Main Components of Some Essential Oils. J. Saudi Chem. Soc. 2018, 22, 855–875. [Google Scholar] [CrossRef]
- Lago, S.; Rodríguez, H.; Soto, A.; Arce, A. Deterpenation of Citrus Essential Oil by Liquid−Liquid Extraction with 1-Alkyl-3-Methylimidazolium Bis(Trifluoromethylsulfonyl)Amide Ionic Liquids. J. Chem. Eng. Data 2011, 56, 1273–1281. [Google Scholar] [CrossRef]
- Nabiha, B.; Kachouri, F.; Herve, C. Chemical Composition of Bergamot (Citrus Bergamia Risso) Essential Oil Obtained by Hydrodistillation. J. Chem. Chem. Eng. 2010, 4, 60–62. [Google Scholar]
- Arce, A.; Earle, M.J.; Rodríguez, H.; Seddon, K.R. Separation of Benzene and Hexane by Solvent Extraction with 1-Alkyl-3-Methylimidazolium Bis{(Trifluoromethyl)Sulfonyl}amide Ionic Liquids: Effect of the Alkyl-Substituent Length. J. Phys. Chem. B 2007, 111, 4732–4736. [Google Scholar] [CrossRef] [PubMed]
- Somoza, A.; Arce, A.; Soto, A. Oil Recovery Tests with Ionic Liquids: A Review and Evaluation of 1-Decyl-3-Methylimidazolium Triflate. Pet. Sci. 2022, 19, 1877–1887. [Google Scholar] [CrossRef]
- Chizzola, R. Composition of the Essential Oil of Wild Grown Caraway in Meadows of the Vienna Region (Austria). Nat. Prod. Commun. 2014, 9, 581–582. [Google Scholar] [CrossRef]
- Wu, Z.; Tan, B.; Liu, Y.; Dunn, J.; Martorell Guerola, P.; Tortajada, M.; Cao, Z.; Ji, P. Chemical Composition and Antioxidant Properties of Essential Oils from Peppermint, Native Spearmint and Scotch Spearmint. Molecules 2019, 24, 2825. [Google Scholar] [CrossRef] [PubMed]
- Chauhan, R.S.; Kaul, M.K.; Shahi, A.K.; Kumar, A.; Ram, G.; Tawa, A. Chemical Composition of Essential Oils in Mentha Spicata L. Accession [IIIM(J)26] from North-West Himalayan Region, India. Ind. Crop. Prod. 2009, 29, 654–656. [Google Scholar] [CrossRef]
- Scherer, R.; Lemos, M.F.; Lemos, M.F.; Martinelli, G.C.; Martins, J.D.L.; da Silva, A.G. Antioxidant and Antibacterial Activities and Composition of Brazilian Spearmint (Mentha Spicata L.). Ind. Crop. Prod. 2013, 50, 408–413. [Google Scholar] [CrossRef]
- Gajić, I.; Stanojević, L.; Dinić, A.; Stanojević, J.; Nikolić, L.; Nikolić, V.; Savić, V. The Chemical Composition of the Essential Oil and Volatile Compounds from Caraway Fruit (Carum Carvi L.) Extracted by Headspace-Solid Phase Microextraction and the Antioxidant Activity. Adv. Technol. 2020, 9, 37–43. [Google Scholar] [CrossRef]
- Sedláková, J.; Kocourková, B.; Lojková, L.; Kubáň, V. The Essential Oil Content in Caraway Species (Carum Carvi L.). Hortic. Sci. 2018, 30, 73–79. [Google Scholar] [CrossRef]
- Napoli, E.M.; Curcuruto, G.; Ruberto, G. Screening the Essential Oil Composition of Wild Sicilian Oregano. Biochem. Syst. Ecol. 2009, 37, 484–493. [Google Scholar] [CrossRef]
- Milos, M.; Radonic, A.; Bezic, N.; Dunkic, V. Localities and Seasonal Variations in the Chemical Composition of Essential Oils of Satureja Montana L. and S. Cuneifolia Ten. Flavour Fragr. J. 2001, 16, 157–160. [Google Scholar] [CrossRef]
- Azizi, A.; Yan, F.; Honermeier, B. Herbage Yield, Essential Oil Content and Composition of Three Oregano (Origanum Vulgare L.) Populations as Affected by Soil Moisture Regimes and Nitrogen Supply. Ind. Crop. Prod. 2009, 29, 554–561. [Google Scholar] [CrossRef]
- Yanishlieva, N.V.; Marinova, E.M.; Gordon, M.H.; Raneva, V.G. Antioxidant Activity and Mechanism of Action of Thymol and Carvacrol in Two Lipid Systems. Food Chem. 1999, 64, 59–66. [Google Scholar] [CrossRef]
- Kordali, S.; Cakir, A.; Ozer, H.; Cakmakci, R.; Kesdek, M.; Mete, E. Antifungal, Phytotoxic and Insecticidal Properties of Essential Oil Isolated from Turkish Origanum Acutidens and Its Three Components, Carvacrol, Thymol and p-Cymene. Bioresour. Technol. 2008, 99, 8788–8795. [Google Scholar] [CrossRef] [PubMed]
- Claudio, A.F.M.; Swift, L.; Hallett, J.P.; Welton, T.; Coutinho, J.A.P.; Freire, M.G. Extended Scale for the Hydrogen-Bond Basicity of Ionic Liquids. Phys. Chem. Chem. Phys. 2014, 16, 6593–6601. [Google Scholar] [CrossRef]
- Malolan, R.; Gopinath, K.P.; Vo, D.V.N.; Jayaraman, R.S.; Adithya, S.; Ajay, P.S.; Arun, J. Green Ionic Liquids and Deep Eutectic Solvents for Desulphurization, Denitrification, Biomass, Biodiesel, Bioethanol and Hydrogen Fuels: A Review. Environ. Chem. Lett. 2021, 19, 1001–1023. [Google Scholar] [CrossRef]
- Bae, J.; Lee, S.; Kim, S.; Oh, J.; Choi, S.; Bae, M.; Kang, I.; Katikaneni, S.P. Liquid Fuel Processing for Hydrogen Production: A Review. Int. J. Hydrog. Energy 2016, 41, 19990–20022. [Google Scholar] [CrossRef]
- Addouni, M.; Benyounes, H.; Jin, S.; Haddou, B.; Shen, W. Extraction Process Design for the Separation of Aromatic and Aliphatic Hydrocarbons Using Organic Solvent, Ionic Liquid or Their Mixture: A Comparative Study. Braz. J. Chem. Eng. 2020, 37, 307–322. [Google Scholar] [CrossRef]
- Zhang, J.; Huang, C.; Chen, B.; Ren, P.; Lei, Z. Extraction of Aromatic Hydrocarbons from Aromatic/Aliphatic Mixtures Using Chloroaluminate Room-Temperature Ionic Liquids as Extractants. Energy Fuels 2007, 21, 1724–1730. [Google Scholar] [CrossRef]
- Domańska, U.; Królikowska, M. Measurements of Activity Coefficients at Infinite Dilution in Solvent Mixtures with Thiocyanate-Based Ionic Liquids Using GLC Technique. J. Phys. Chem. B 2010, 114, 8460–8466. [Google Scholar] [CrossRef]
- Ge, M.L.; Song, X.J.; Li, G.M.; Li, Y.H.; Liu, F.Z.; Ma, H.L. Activity Coefficients at Infinite Dilution of Alkanes, Alkenes, and Alkyl Benzenes in 1-Butyl-3-Methylimidazolium Dibutylphosphate Using Gas-Liquid Chromatography. J. Chem. Eng. Data 2012, 57, 2109–2113. [Google Scholar] [CrossRef]
- Turaga, U.T.; Ma, X.; Song, C. Influence of Nitrogen Compounds on Deep Hydrodesulfurization of 4,6-Dimethyldibenzothiophene over Al2O3- and MCM-41-Supported Co-Mo Sulfide Catalysts. Catal. Today 2003, 86, 265–275. [Google Scholar] [CrossRef]
- Abro, R.; Abdeltawab, A.A.; Al-Deyab, S.S.; Yu, G.; Qazi, A.B.; Gao, S.; Chen, X. A Review of Extractive Desulfurization of Fuel Oils Using Ionic Liquids. RSC Adv. 2014, 4, 35302–35317. [Google Scholar] [CrossRef]





Disclaimer/Publisher’s Note: The statements, opinions and data contained in all publications are solely those of the individual author(s) and contributor(s) and not of MDPI and/or the editor(s). MDPI and/or the editor(s) disclaim responsibility for any injury to people or property resulting from any ideas, methods, instructions or products referred to in the content. |
© 2023 by the authors. Licensee MDPI, Basel, Switzerland. This article is an open access article distributed under the terms and conditions of the Creative Commons Attribution (CC BY) license (https://creativecommons.org/licenses/by/4.0/).
Share and Cite
Zambom, A.; Vilas-Boas, S.M.; Silva, L.P.; Martins, M.A.R.; Ferreira, O.; Pinho, S.P. The Role of the Anion in Imidazolium-Based Ionic Liquids for Fuel and Terpenes Processing. Molecules 2023, 28, 2456. https://doi.org/10.3390/molecules28062456
Zambom A, Vilas-Boas SM, Silva LP, Martins MAR, Ferreira O, Pinho SP. The Role of the Anion in Imidazolium-Based Ionic Liquids for Fuel and Terpenes Processing. Molecules. 2023; 28(6):2456. https://doi.org/10.3390/molecules28062456
Chicago/Turabian StyleZambom, Aline, Sérgio M. Vilas-Boas, Liliana P. Silva, Mónia A. R. Martins, Olga Ferreira, and Simão P. Pinho. 2023. "The Role of the Anion in Imidazolium-Based Ionic Liquids for Fuel and Terpenes Processing" Molecules 28, no. 6: 2456. https://doi.org/10.3390/molecules28062456
APA StyleZambom, A., Vilas-Boas, S. M., Silva, L. P., Martins, M. A. R., Ferreira, O., & Pinho, S. P. (2023). The Role of the Anion in Imidazolium-Based Ionic Liquids for Fuel and Terpenes Processing. Molecules, 28(6), 2456. https://doi.org/10.3390/molecules28062456

