Naphthenic Acids Removal from Model Transformer Oil by Diethylamine Modified Resins
Abstract
1. Introduction
2. Results and Discussion
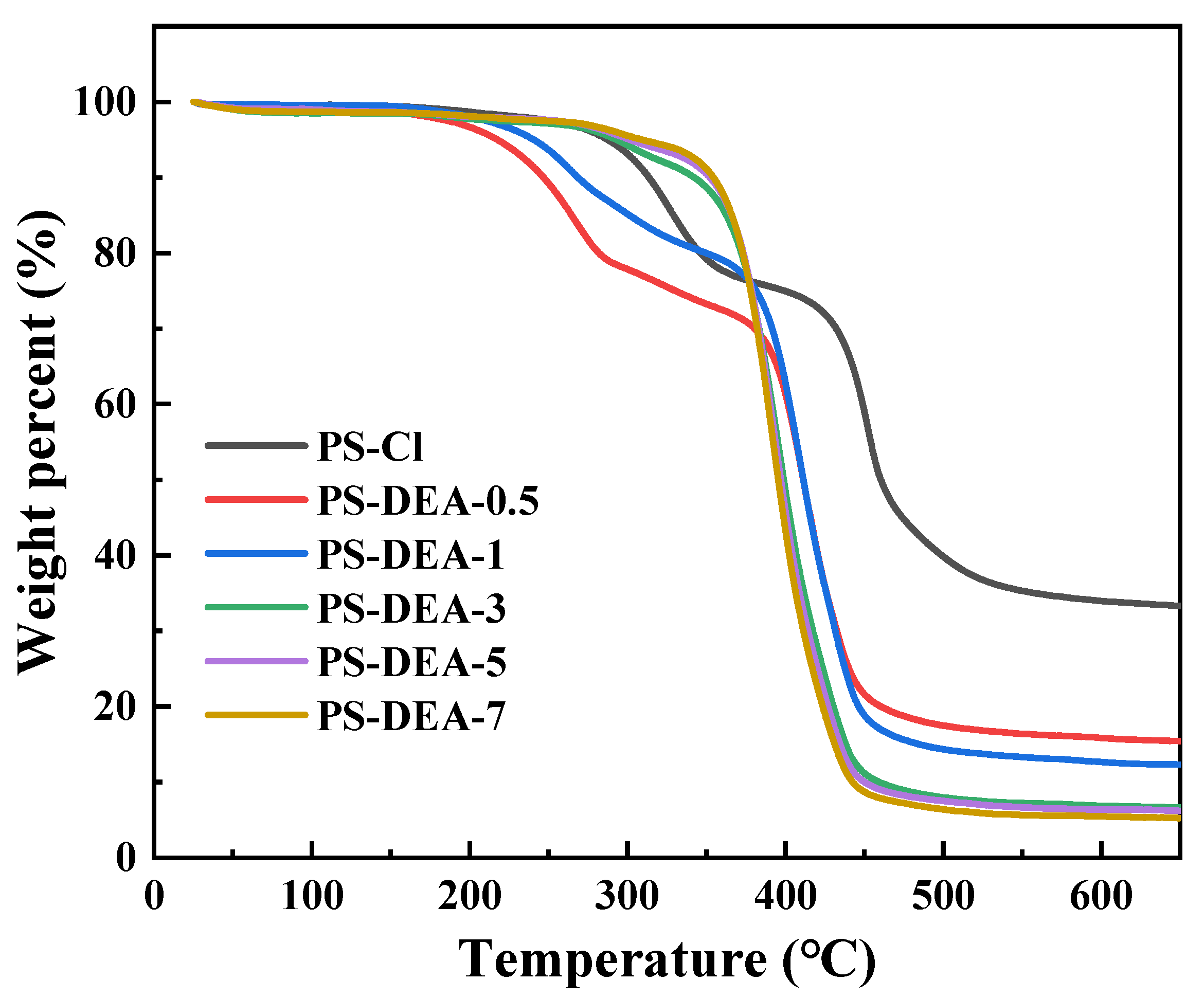
2.1. Characterization
2.2. Adsorption Experiments
2.2.1. Adsorption Capacity
2.2.2. Adsorption Isotherms and Thermodynamics
2.2.3. Adsorption Kinetics
2.2.4. Dynamic Adsorption
3. Experimental Methods
3.1. Materials and Reagents
3.2. Synthesis of Adsorbent
3.3. Preparation of Simulated Oil
3.4. Characterization
3.5. Adsorption Experiments
3.5.1. Adsorption Capacity
3.5.2. Adsorption Kinetics
3.5.3. Adsorption Isotherms and Thermodynamics
3.5.4. Dynamic Adsorption
4. Conclusions
Author Contributions
Funding
Institutional Review Board Statement
Informed Consent Statement
Data Availability Statement
Conflicts of Interest
References
- Safiddine, L.; Hadj−Ziane Zafour, A.; Fofana, I.; Skender, A.; Guerbas, F.; Boucherit, A. Transformer oil reclamation by combining several strategies enhanced by the use of four adsorbents. IET Gener. Transm. Distrib. 2017, 11, 2912–2920. [Google Scholar] [CrossRef]
- Abdi, S.; Boubakeur, A.; Haddad, A.; Harid, N. Influence of artificial thermal aging on transformer oil properties. Electr. Power Compon. Syst. 2011, 39, 1701–1711. [Google Scholar] [CrossRef]
- Bayrak, Y. Application of Langmuir isotherm to saturated fatty acid adsorption. Microporous Mesoporous Mater. 2006, 87, 203–206. [Google Scholar] [CrossRef]
- Silva, J.P.; Costa, A.L.H.; Chiaro, S.S.X.; Delgado, B.E.P.C.; de Figueiredo, M.A.G.; Senna, L.F. Carboxylic acid removal from model petroleum fractions by a commercial clay adsorbent. Fuel Process. Technol. 2013, 112, 57–63. [Google Scholar] [CrossRef]
- Vaz, B.G.; Abdelnur, P.V.; Rocha, W.F.C.; Gomes, A.O.; Pereira, R.C.L. Predictive Petroleomics: Measurement of the total acid number by electrospray fourier transform mass spectrometry and chemometric analysis. Sustain. Energy Fuels 2013, 27, 1873–1880. [Google Scholar] [CrossRef]
- Qian, Y.−H.; Su, W.; Huang, Y.−B.; Zhong, Z.−s. Influence of hydrogenated transformer oil on construction materials inside transformer. IEEE Trans. Electr. Insul. 2015, 22, 1588–1593. [Google Scholar] [CrossRef]
- Moghaddam, J.; Sarrafmamoory, R.; Abdollahy, M.; Yamini, Y. Purification of zinc ammoniacal leaching solution by cementation: Determination of optimum process conditions with experimental design by Taguchi’s method. Sep. Purif. Technol. 2006, 51, 157–164. [Google Scholar] [CrossRef]
- Jafari, A.J.; Hassanpour, M. Analysis and comparison of used lubricants, regenerative technologies in the world. Resour Conserv Recycl 2015, 103, 179–191. [Google Scholar] [CrossRef]
- Taiwo, E.A.; Bello, T. Hydro−distillation of spent lubricating oil and characterization of the product. Petrol Sci. Technol. 2019, 38, 345–353. [Google Scholar] [CrossRef]
- Hendges, L.T.; Costa, T.C.; Temochko, B.; Gómez González, S.Y.; Mazur, L.P.; Marinho, B.A.; da Silva, A.; Weschenfelder, S.E.; de Souza, A.A.U.; de Souza, S.M.A.G.U. Adsorption and desorption of water−soluble naphthenic acid in simulated offshore oilfield produced water. Process Saf. Environ. Prot. 2021, 145, 262–272. [Google Scholar] [CrossRef]
- Niasar, H.S.; Li, H.; Kasanneni, T.V.R.; Ray, M.B.; Xu, C. Surface amination of activated carbon and petroleum coke for the removal of naphthenic acids and treatment of oil sands process−affected water (OSPW). Chem. Eng. J. 2016, 293, 189–199. [Google Scholar] [CrossRef]
- Simonsen, G.; Strand, M.; Norrman, J.; Øye, G. Amino−functionalized iron oxide nanoparticles designed for adsorption of naphthenic acids. Colloids Surf. A Physicochem. Eng. Asp. 2019, 568, 147–156. [Google Scholar] [CrossRef]
- Wu, C.; De Visscher, A.; Gates, I.D. On naphthenic acids removal from crude oil and oil sands process−affected water. Fuel 2019, 253, 1229–1246. [Google Scholar] [CrossRef]
- Barros, E.V.; Filgueiras, P.R.; Lacerda, V.; Rodgers, R.P.; Romão, W. Characterization of naphthenic acids in crude oil samples—A literature review. Fuel 2022, 319, 123775. [Google Scholar] [CrossRef]
- Gaikar, V.G.; Maiti, D. Adsorptive recovery of naphthenic acids using ion−exchange resins. React Funct. Polym. 1996, 31, 155–164. [Google Scholar] [CrossRef]
- Zhou, F.; Man, R.; Huang, J. Hyper−cross−linked polymers functionalized with primary amine and its efficient adsorption of salicylic acid from aqueous solution. J. Chem. Thermodyn. 2019, 131, 387–392. [Google Scholar] [CrossRef]
- Niasar, H.S.; Li, H.; Das, S.; Kasanneni, T.V.R.; Ray, M.B.; Xu, C.C. Preparation of activated petroleum coke for removal of naphthenic acids model compounds: Box−Behnken design optimization of KOH activation process. J. Environ. Manag. 2018, 211, 63–72. [Google Scholar] [CrossRef]
- Xiang, Y.; Liu, Y.; Li, M.; Bai, W.; Liu, G.; Xu, L. The recovery of Au(III) by hydrogel−like beads. Hydrometallurgy 2023, 215, 105964. [Google Scholar] [CrossRef]
- Kim, J.; Oh, S.; Kwak, S.−Y. Magnetically separable magnetite–lithium manganese oxide nanocomposites as reusable lithium adsorbents in aqueous lithium resources. Chem. Eng. J. 2015, 281, 541–548. [Google Scholar] [CrossRef]
- Xiong, C.; Zheng, Y.; Feng, Y.; Yao, C.; Ma, C.; Zheng, X.; Jiang, J. Preparation of a novel chloromethylated polystyrene−2−amino−1,3,4−thiadiazole chelating resin and its adsorption properties and mechanism for separation and recovery of Pt(IV) from aqueous solutions. J. Mater. Chem. A 2014, 2, 5379–5386. [Google Scholar] [CrossRef]
- Ramsdale−Capper, R.; Foreman, J.P. Internal antiplasticisation in highly crosslinked amine cured multifunctional epoxy resins. Polymer 2018, 146, 321–330. [Google Scholar] [CrossRef]
- Ye, F.; Yang, R.; Hua, X.; Zhao, G. Adsorption characteristics of rebaudioside A and stevioside on cross−linked poly(styrene−co−divinylbenzene) macroporous resins functionalized with chloromethyl, amino and phenylboronic acid groups. Food Chem. 2014, 159, 38–46. [Google Scholar] [CrossRef] [PubMed]
- Wang, X.; Deng, R.; Jin, X.; Huang, J. Gallic acid modified hyper−cross−linked resin and its adsorption equilibria and kinetics toward salicylic acid from aqueous solution. Chem. Eng. J. 2012, 191, 195–201. [Google Scholar] [CrossRef]
- Liu, Y.; Di, D.; Bai, Q.; Li, J.; Chen, Z.; Lou, S.; Ye, H. Preparative separation and purification of rebaudioside a from steviol glycosides using mixed−mode macroporous adsorption resins. J. Agric. Educ. Ext. 2011, 59, 9629–9636. [Google Scholar] [CrossRef] [PubMed]
- Kuang, W.; Li, H.; Huang, J.; Liu, Y.−N. Tunable porosity and polarity of the polar hyper−cross−linked resins and the enhanced adsorption toward phenol. Ind. Eng. Chem. Res. 2016, 55, 12213–12221. [Google Scholar] [CrossRef]
- Huang, J.; Deng, R.; Huang, K. Equilibria and kinetics of phenol adsorption on a toluene−modified hyper−cross−linked poly(styrene−co−divinylbenzene) resin. Chem. Eng. J. 2011, 171, 951–957. [Google Scholar] [CrossRef]
- Zhang, Y.; Chen, Y.; Wang, C.; Wei, Y. Immobilization of 5−aminopyridine−2−tetrazole on cross−linked polystyrene for the preparation of a new adsorbent to remove heavy metal ions from aqueous solution. J. Hazard. Mater. 2014, 276, 129–137. [Google Scholar] [CrossRef]
- Zhuo, W.; Xu, H.; Huang, R.; Zhou, J.; Tong, Z.; Xie, H.; Zhang, X. A chelating polymer resin: Synthesis, characterization, adsorption and desorption performance for removal of Hg(II) from aqueous solution. J. Iran. Chem. Soc. 2017, 14, 2557–2566. [Google Scholar] [CrossRef]
- Wang, H.; Wang, Y.; Sun, X.; Hu, H.; Peng, Q. Two functional post−cross−linked polystyrene resins: Effect of structure on the enhanced removal of benzene sulfonic acid. Colloids Surf. A Physicochem. Eng. Asp. 2020, 588, 124398. [Google Scholar] [CrossRef]
- Wei, M.; Yu, Q.; Mu, T.; Hou, L.; Zuo, Z.; Peng, J. Preparation and characterization of waste ion−exchange resin−based activated carbon for CO2 capture. Adsorption 2016, 22, 385–396. [Google Scholar] [CrossRef]
- Ling, C.; Li, X.; Zhang, Z.; Liu, F.; Deng, Y.; Zhang, X.; Li, A.; He, L.; Xing, B. High Adsorption of sulfamethoxazole by an amine−modified polystyrene−divinylbenzene resin and its mechanistic insight. Crit Rev. Environ. Sci. Technol. 2016, 50, 10015–10023. [Google Scholar] [CrossRef]
- Jayalath, S.; Larsen, S.C.; Grassian, V.H. Surface adsorption of nordic aquatic fulvic acid on amine−functionalized and non−functionalized mesoporous silica nanoparticles. Environ. Sci. Nano 2018, 5, 2162–2171. [Google Scholar] [CrossRef]
- Sun, Y.; Gu, Y.; Yang, J. Adsorption of N−heterocyclic compounds from aqueous solutions by sulfonic acid−functionalized hypercrosslinked resins in batch experiments. Chem. Eng. J. 2022, 428, 131163. [Google Scholar] [CrossRef]
- Wang, R.; Zou, H.; Zheng, R.; Feng, X.; Xu, J.; Shangguan, Y.; Luo, S.; Wei, W.; Yang, D.; Luo, W.; et al. Molecular Dynamics beyond the monolayer adsorption as derived from Langmuir curve fitting. Inorg. Chem. 2022, 61, 7804–7812. [Google Scholar] [CrossRef]
- Zheng, Y.; Xiong, C.; Yao, C.; Ye, F.; Jiang, J.; Zheng, X.; Zheng, Q. Adsorption performance and mechanism for removal of Cd(II) from aqueous solutions by D001 cation−exchange resin. Water Sci. Technol. 2014, 69, 833–839. [Google Scholar] [CrossRef]
- Luo, P.; Zhao, Y.; Zhang, B.; Liu, J.; Yang, Y.; Liu, J. Study on the adsorption of Neutral Red from aqueous solution onto halloysite nanotubes. Water Res. 2010, 44, 1489–1497. [Google Scholar] [CrossRef]
- Yuan, W.; Zhou, L.; Zhang, Z.; Ying, Y.; Fan, W.; Chai, K.; Zhao, Z.; Tan, Z.; Shen, F.; Ji, H. Synergistic dual−functionalities of starch−grafted−styrene hydrophilic porous resin for efficiently removing bisphenols from wastewater. Chem. Eng. J. 2022, 429, 132350. [Google Scholar] [CrossRef]
- Simonin, J.−P. On the comparison of pseudo−first order and pseudo−second order rate laws in the modeling of adsorption kinetics. Chem. Eng. J. 2016, 300, 254–263. [Google Scholar] [CrossRef]
- Chu, K.H. Fixed bed sorption: Setting the record straight on the Bohart−Adams and Thomas models. J. Hazard. Mater. 2010, 177, 1006–1012. [Google Scholar] [CrossRef]
- Li, M.; Tang, S.; Zhao, Z.; Meng, X.; Gao, F.; Jiang, S.; Chen, Y.; Feng, J.; Feng, C. A novel nanocomposite based silica gel/graphene oxide for the selective separation and recovery of palladium from a spent industrial catalyst. Chem. Eng. J. 2020, 386, 123947. [Google Scholar] [CrossRef]
- Ni, Y.Y.; Yang, J.H.; Sun, L.X.; Liu, Q.; Fei, Z.Y.; Chen, X.; Zhang, Z.X.; Tang, J.H.; Cui, M.F.; Qiao, X. La/LaF3 co−modified MIL−53(Cr) as an efficient adsorbent for the removal of tetracycline. J. Hazard. Mater. 2022, 426, 128112. [Google Scholar] [CrossRef] [PubMed]









| Samples | C (%) | N (%) | H (%) |
|---|---|---|---|
| PS−Cl | 54.46 | 0.06 | 6.43 |
| PS−DEA−0.5 | 63.64 | 3.16 | 7.89 |
| PS−DEA−1 | 72.99 | 4.51 | 8.50 |
| PS−DEA−3 | 81.42 | 5.59 | 9.15 |
| PS−DEA−5 | 82.37 | 5.96 | 9.51 |
| PS−DEA−7 | 82.45 | 6.04 | 9.40 |
| Samples | SBET (m2/g) | VP (cm3/g) |
|---|---|---|
| PS−Cl | 32 | 0.45 |
| PS−DEA−0.5 | 31 | 0.40 |
| PS−DEA−1 | 30 | 0.39 |
| PS−DEA−3 | 27 | 0.37 |
| PS−DEA−5 | 26 | 0.36 |
| PS−DEA−7 | 25 | 0.33 |
| Sample | Temperature (K) | Langmuir Model | Freundlich Model | ||||
|---|---|---|---|---|---|---|---|
| qm (mg/g) | (L/mg) | R2 | n | ((mg/g)·(L/mg)1/n) | R2 | ||
| PS−DEA−5 | 308 | 150.9 | 0.42 × 10−2 | 0.994 | 0.40 | 6.51 | 0.979 |
| 318 | 179.4 | 0.47 × 10−2 | 0.996 | 0.44 | 8.25 | 0.976 | |
| 328 | 207.2 | 0.56 × 10−2 | 0.995 | 0.44 | 12.23 | 0.979 | |
| NAs | Temperature(K) | ΔG (kJ/mol) | ΔH (kJ/mol) | ΔS (J/(K·mol)) |
| CPCA | 308 | −14.80 | 22.80 | 122.10 |
| 318 | −16.02 | |||
| 328 | −17.24 |
| Samples | Pseudo−First−Order Model | Pseudo−Second−Order Model | ||||
|---|---|---|---|---|---|---|
(mg/g) | K1 (1/min) | R2 | (mg/g) | K2 (g/(mg·min)) | R2 | |
| PS−Cl | 18.9 | 0.017 | 0.997 | 22.8 | 2.09 × 10−4 | 0.986 |
| PS−DEA−0.5 | 60.3 | 0.027 | 0.990 | 68.8 | 3.83 × 10−4 | 0.993 |
| PS−DEA−1 | 72.6 | 0.029 | 0.980 | 82.2 | 4.37 × 10−4 | 0.994 |
| PS−DEA−3 | 92.6 | 0.033 | 0.978 | 103.6 | 4.46 × 10−4 | 0.996 |
| PS−DEA−5 | 110.0 | 0.040 | 0.981 | 122.2 | 4.89 × 10−4 | 0.998 |
| PS−DEA−7 | 104.3 | 0.033 | 0.976 | 116.7 | 4.50 × 10−4 | 0.997 |
| C0 (mg/L) | Q (mL/min) | Thomas Model Parameters | |||
|---|---|---|---|---|---|
| KTh (L/(h·mg)) | qbed,Th (mg/g) | M (g) | R2 | ||
| 274 | 1.0 | 0.00325 | 187.5 | 1.0 | 0.995 |
Disclaimer/Publisher’s Note: The statements, opinions and data contained in all publications are solely those of the individual author(s) and contributor(s) and not of MDPI and/or the editor(s). MDPI and/or the editor(s) disclaim responsibility for any injury to people or property resulting from any ideas, methods, instructions or products referred to in the content. |
© 2023 by the authors. Licensee MDPI, Basel, Switzerland. This article is an open access article distributed under the terms and conditions of the Creative Commons Attribution (CC BY) license (https://creativecommons.org/licenses/by/4.0/).
Share and Cite
Wang, Y.; Dou, P.; You, X.; Liu, Q.; Fei, Z.; Chen, X.; Zhang, Z.; Tang, J.; Cui, M.; Qiao, X. Naphthenic Acids Removal from Model Transformer Oil by Diethylamine Modified Resins. Molecules 2023, 28, 2444. https://doi.org/10.3390/molecules28062444
Wang Y, Dou P, You X, Liu Q, Fei Z, Chen X, Zhang Z, Tang J, Cui M, Qiao X. Naphthenic Acids Removal from Model Transformer Oil by Diethylamine Modified Resins. Molecules. 2023; 28(6):2444. https://doi.org/10.3390/molecules28062444
Chicago/Turabian StyleWang, Yan, Peng Dou, Xiaofeng You, Qing Liu, Zhaoyang Fei, Xian Chen, Zhuxiu Zhang, Jihai Tang, Mifen Cui, and Xu Qiao. 2023. "Naphthenic Acids Removal from Model Transformer Oil by Diethylamine Modified Resins" Molecules 28, no. 6: 2444. https://doi.org/10.3390/molecules28062444
APA StyleWang, Y., Dou, P., You, X., Liu, Q., Fei, Z., Chen, X., Zhang, Z., Tang, J., Cui, M., & Qiao, X. (2023). Naphthenic Acids Removal from Model Transformer Oil by Diethylamine Modified Resins. Molecules, 28(6), 2444. https://doi.org/10.3390/molecules28062444

