Computational Design, Synthesis, and Biophysical Evaluation of β-Amido Boronic Acids as SARS-CoV-2 Mpro Inhibitors
Abstract
1. Introduction
2. Results and Discussion
2.1. Computational Design of New β-Amino Boronic Acids
2.2. Chemistry
2.3. Biophysical Assays by Microscale Thermophoresis (MST)
2.4. Inhibition of MproCoV-2: Reversible or Irreversible
2.5. In Vitro Enzymatic Activity against Recombinant SARS-CoV-2 Proteases
3. Experimental Section
3.1. Simulating System Setup and MD Simulations
3.2. Chemistry, General Information
3.3. General Procedure (A) for the Synthesis of β-Amido Boronic Esters 2
3.3.1. (R)-N1-(2-(Cyclohexylamino)-2-oxoethyl)-N1-(1-phenyl-2-(4,4,5,5-tetramethyl-1,3,2-dioxaborolan-2-yl)ethyl)succinamide (2a)
3.3.2. (R)-N1-(2-(Tert-butylamino)-2-oxoethyl)-N1-(1-phenyl-2-(4,4,5,5-tetramethyl-1,3,2-dioxaborolan-2-yl)ethyl)succinamide (2b)
3.3.3. (R)-N1-(2-(Benzylamino)-2-oxoethyl)-N1-(1-phenyl-2-(4,4,5,5-tetramethyl-1,3,2-dioxaborolan-2-yl)ethyl)succinamide (2c)
3.3.4. (R)-N-(2-(Cyclohexylamino)-2-oxoethyl)-N-(1-phenyl-2-(4,4,5,5-tetramethyl-1,3,2-dioxaborolan-2-yl)ethyl)benzamide (2d)
3.3.5. (R)-N1-(2-(Benzylamino)-2-oxoethyl)-N1-(1-phenyl-2-(4,4,5,5-tetramethyl-1,3,2-dioxaborolan-2-yl)ethyl)glutaramide (2ea)
3.3.6. (R)-N1-(2-(Tert-butylamino)-2-oxoethyl)-N1-(1-phenyl-2-(4,4,5,5-tetramethyl-1,3,2-dioxaborolan-2-yl)ethyl)glutaramide (2f)
3.3.7. (R)-N1-(2-(Cyclohexylamino)-2-oxoethyl)-N1-(1-phenyl-2-(4,4,5,5-tetramethyl-1,3,2-dioxaborolan-2-yl)ethyl)glutaramide (2g)
3.3.8. Tert-Butyl ((S)-1-((2-(Benzylamino)-2-oxoethyl)((R)-1-phenyl-2-(4,4,5,5-tetramethyl-1,3,2-dioxaborolan-2-yl)ethyl)amino)-3-(4-hydroxyphenyl)-1-oxopropan-2-yl)carbamate (2h)
3.3.9. (S)-N1-(2-(Benzylamino)-2-oxoethyl)-N1-(1-phenyl-2-(4,4,5,5-tetramethyl-1,3,2-dioxaborolan-2-yl)ethyl)glutaramide (2eb)
3.4. General Procedure (B) for the Synthesis of β-Amido Boronic Acids 3
3.4.1. (R)-(2-(4-Amino-N-(2-(cyclohexylamino)-2-oxoethyl)-4-oxobutanamido)-2-phenylethyl)boronic Acid (3a)
3.4.2. (R)-(2-(4-Amino-N-(2-(tert-butylamino)-2-oxoethyl)-4-oxobutanamido)-2-phenylethyl)boronic Acid (3b)
3.4.3. (R)-(2-(4-Amino-N-(2-(benzylamino)-2-oxoethyl)-4-oxobutanamido)-2-phenylethyl)boronic Acid (3c)
3.4.4. (R)-(2-(N-(2-(Cyclohexylamino)-2-oxoethyl)benzamido)-2-phenylethyl)boronic Acid (3d)
3.4.5. (R)-(2-(5-Amino-N-(2-(benzylamino)-2-oxoethyl)-5-oxopentanamido)-2-phenylethyl)boronic Acid (3ea)
3.4.6. (R)-(2-(5-Amino-N-(2-(tert-butylamino)-2-oxoethyl)-5-oxopentanamido)-2-phenylethyl)boronic Acid (3f)
3.4.7. (R)-(2-(5-Amino-N-(2-(cyclohexylamino)-2-oxoethyl)-5-oxopentanamido)-2-phenylethyl)boronic acid (3g)
3.4.8. (S)-1-((2-(Benzylamino)-2-oxoethyl)((R)-2-borono-1-phenylethyl)amino)-3-(4-hydroxyphenyl)-1-oxopropan-2-aminium Chloride (3h)
3.4.9. (S)-(2-(5-Amino-N-(2-(benzylamino)-2-oxoethyl)-5-oxopentanamido)-2-phenylethyl)boronic Acid (3eb)
3.5. MST Experiments
3.6. MST Experiments to Ascertain the Reversible or Irreversible Inhibition of Mpro
3.7. LC-MS/MS Experiment to Verify the Ligand Binding of Mpro
3.8. Enzymatic Assays
4. Conclusions
Supplementary Materials
Author Contributions
Funding
Institutional Review Board Statement
Informed Consent Statement
Data Availability Statement
Acknowledgments
Conflicts of Interest
Abbreviations
References
- Citarella, A.; Scala, A.; Piperno, A.; Micale, N. SARS-CoV-2 Mpro: A Potential Target for Peptidomimetics and Small-Molecule Inhibitors. Biomolecules 2021, 11, 607. [Google Scholar] [CrossRef] [PubMed]
- Jin, Z.; Du, X.; Xu, Y.; Deng, Y.; Liu, M.; Zhao, Y.; Zhang, B.; Li, X.; Zhang, L.; Peng, C.; et al. Structure of Mpro from SARS-CoV-2 and discovery of its inhibitors. Nature 2020, 582, 289–293. [Google Scholar] [CrossRef] [PubMed]
- Amin, S.A.; Banerjee, S.; Ghosh, K.; Gayen, S.; Jha, T. Protease targeted COVID-19 drug discovery and its challenges: Insight into viral main protease (Mpro) and papain-like protease (PLpro) inhibitors. Bioorg. Med. Chem. 2021, 29, 115860. [Google Scholar] [CrossRef]
- Song, S.; Gao, P.; Sun, L.; Kang, D.; Kongsted, J.; Poongavanam, V.; Zhan, P.; Liu, X. Recent developments in the medicinal chemistry of single boron atom-containing compounds. Acta Pharm. Sin. B 2021, 11, 3035–3059. [Google Scholar] [CrossRef] [PubMed]
- Elmaaty, A.A.; Eldehna, W.M.; Khattab, M.; Kutkat, O.; Alnajjar, R.; El-Taweel, A.N.; Al-Rashood, S.T.; Abourehab, M.A.S.; Binjubair, F.A.; Saleh, M.A.; et al. Anticoagulants as Potential SARS-CoV-2 Mpro Inhibitors for COVID-19 Patients: In Vitro, Molecular Docking, Molecular Dynamics, DFT, and SAR Studies. Int. J. Mol. Sci. 2022, 23, 12235. [Google Scholar] [CrossRef]
- Elagawany, M.; Elmaaty, A.A.; Mostafa, A.; Abo Shama, N.M.; Santali, E.Y.; Elgendy, B.; Al-Karmalawy, A.A. Ligand-based design, synthesis, computational insights, and in vitro studies of novel N-(5-Nitrothiazol-2-yl)-carboxamido derivatives as potent inhibitors of SARS-CoV-2 main protease. J. Enz. Inhib. Med. Chem. 2022, 37, 2112–2132. [Google Scholar] [CrossRef]
- Abo Elmaaty, A.; Hamed, M.I.A.; Ismail, M.I.; Elkaeed, E.B.; Abulkhair, H.S.; Khattab, M.; Al-Karmalawy, A.A. Computational Insights on the Potential of Some NSAIDs for Treating COVID-19: Priority Set and Lead Optimization. Molecules 2021, 26, 3772. [Google Scholar] [CrossRef]
- Ataseven, H.; Sayin, K.; Tüzün, B.; Gedikli, M.A. Could boron compounds be effective against SARS-CoV-2? Bratisl. Med. J. 2021, 122, 753–758. [Google Scholar] [CrossRef]
- Bacha, U.; Barrila, J.; Velazquez-Campoy, A.; Leavitt, S.A.; Freire, E. Identification of Novel Inhibitors of the SARS Coronavirus Main Protease 3CLpro. Biochemistry 2004, 43, 4906–4912. [Google Scholar] [CrossRef]
- Plescia, J.; Moitessier, N. Design and discovery of boronic acid drugs. Eur. J. Med. Chem. 2020, 195, 112270. [Google Scholar] [CrossRef]
- Sgrignani, J.; Novati, B.; Colombo, G.; Grazioso, G. Covalent docking of selected boron-based serine beta-lactamase inhibitors. J. Comput.-Aided Mol. Des. 2015, 29, 441–450. [Google Scholar] [CrossRef]
- Malouff, T.D.; Seneviratne, D.S.; Ebner, D.K.; Stross, W.C.; Waddle, M.R.; Trifiletti, D.M.; Krishnan, S. Boron Neutron Capture Therapy: A Review of Clinical Applications. Front. Oncol. 2021, 11, 601820. [Google Scholar] [CrossRef]
- Anand, K.; Ziebuhr, J.; Wadhwani, P.; Mesters, J.R.; Hilgenfeld, R. Coronavirus Main Proteinase (3CLpro) Structure: Basis for Design of Anti-SARS Drugs. Science 2003, 300, 1763–1767. [Google Scholar] [CrossRef]
- Dampalla, C.S.; Kim, Y.; Bickmeier, N.; Rathnayake, A.D.; Nguyen, H.N.; Zheng, J.; Kashipathy, M.M.; Baird, M.A.; Battaile, K.P.; Lovell, S.; et al. Structure-Guided Design of Conformationally Constrained Cyclohexane Inhibitors of Severe Acute Respiratory Syndrome Coronavirus-2 3CL Protease. J. Med. Chem. 2021, 64, 10047–10058. [Google Scholar] [CrossRef]
- Miller, B.R., 3rd; McGee, T.D., Jr.; Swails, J.M.; Homeyer, N.; Gohlke, H.; Roitberg, A.E. MMPBSA.py: An Efficient Program for End-State Free Energy Calculations. J. Chem. Theory Comput. 2012, 8, 3314–3321. [Google Scholar] [CrossRef] [PubMed]
- Hou, T.; Wang, J.; Li, Y.; Wang, W. Assessing the Performance of the MM/PBSA and MM/GBSA Methods. 1. The Accuracy of Binding Free Energy Calculations Based on Molecular Dynamics Simulations. J. Chem. Inf. Mod. 2011, 51, 69–82. [Google Scholar] [CrossRef]
- Lammi, C.; Sgrignani, J.; Arnoldi, A.; Lesma, G.; Spatti, C.; Silvani, A.; Grazioso, G. Computationally Driven Structure Optimization, Synthesis, and Biological Evaluation of Imidazole-Based Proprotein Convertase Subtilisin/Kexin 9 (PCSK9) Inhibitors. J. Med. Chem. 2019, 62, 6163–6174. [Google Scholar] [CrossRef] [PubMed]
- Manenti, M.; Gusmini, S.; Lo Presti, L.; Silvani, A. Exploiting Enantiopure β-Amino Boronic Acids in Isocyanide-Based Multicomponent Reactions. Eur. J. Org. Chem. 2022, 2022, e202200435. [Google Scholar] [CrossRef]
- Manenti, M.; Gusmini, S.; Lo Presti, L.; Molteni, G.; Silvani, A. Enantiopure β-isocyano-boronic esters: Synthesis and exploitation in isocyanide-based multicomponent reactions. Mol. Div. 2022, 1–8. [Google Scholar] [CrossRef] [PubMed]
- Laursen, J.S.; Engel-Andreasen, J.; Fristrup, P.; Harris, P.; Olsen, C.A. Cis–Trans Amide Bond Rotamers in β-Peptoids and Peptoids: Evaluation of Stereoelectronic Effects in Backbone and Side Chains. J. Am. Chem. Soc. 2013, 135, 2835–2844. [Google Scholar] [CrossRef] [PubMed]
- Yuji, T.; Hiroki, U.; Youji, S.; Toshihiro, S. Formation of Boroxine: Its Stability and Thermodynamic Parameters in Solution. Heterocycles 2002, 57, 787–790. [Google Scholar] [CrossRef]
- Rainard, J.M.; Pandarakalam, G.C.; McElroy, S.P. Using Microscale Thermophoresis to Characterize Hits from High-Throughput Screening: A European Lead Factory Perspective. SLAS Discov. 2018, 23, 225–241. [Google Scholar] [CrossRef] [PubMed]
- Jerabek-Willemsen, M.; Wienken, C.J.; Braun, D.; Baaske, P.; Duhr, S. Molecular Interaction Studies Using Microscale Thermophoresis. Assay Drug Dev. Technol. 2011, 9, 342–353. [Google Scholar] [CrossRef]
- Jerabek-Willemsen, M.; André, T.; Wanner, R.; Roth, H.M.; Duhr, S.; Baaske, P.; Breitsprecher, D. MicroScale Thermophoresis: Interaction analysis and beyond. J. Mol. Struct. 2014, 1077, 101–113. [Google Scholar] [CrossRef]
- Fassi, E.M.A.; Sgrignani, J.; D’Agostino, G.; Cecchinato, V.; Garofalo, M.; Grazioso, G.; Uguccioni, M.; Cavalli, A. Oxidation State Dependent Conformational Changes of HMGB1 Regulate the Formation of the CXCL12/HMGB1 Heterocomplex. Comput. Struct. Biotechnol. J. 2019, 17, 886–894. [Google Scholar] [CrossRef]
- Shen, Z.; Ratia, K.; Cooper, L.; Kong, D.; Lee, H.; Kwon, Y.; Li, Y.; Alqarni, S.; Huang, F.; Dubrovskyi, O.; et al. Design of SARS-CoV-2 PLpro Inhibitors for COVID-19 Antiviral Therapy Leveraging Binding Cooperativity. J. Med. Chem. 2022, 65, 2940–2955. [Google Scholar] [CrossRef] [PubMed]
- Friesner, R.A.; Murphy, R.B.; Repasky, M.P.; Frye, L.L.; Greenwood, J.R.; Halgren, T.A.; Sanschagrin, P.C.; Mainz, D.T. Extra precision glide: Docking and scoring incorporating a model of hydrophobic enclosure for protein-ligand complexes. J. Med. Chem. 2006, 49, 6177–6196. [Google Scholar] [CrossRef]
- Park, J.; Lee, Y.; Kim, J.; Cho, S.H. Copper-Catalyzed Diastereoselective Addition of Diborylmethane to N-tert-Butanesulfinyl Aldimines: Synthesis of β-Aminoboronates. Org. Lett. 2016, 18, 1210–1213. [Google Scholar] [CrossRef]
- Lawrence, K.; Flower, S.E.; Kociok-Kohn, G.; Frost, C.G.; James, T.D. A simple and effective colorimetric technique for the detection of boronic acids and their derivatives. Anal. Methods 2012, 4, 2215–2217. [Google Scholar] [CrossRef]
- Hinkes, S.P.A.; Klein, C.D.P. Virtues of Volatility: A Facile Transesterification Approach to Boronic Acids. Org. Lett. 2019, 21, 3048–3052. [Google Scholar] [CrossRef]
- Citarella, A.; Moi, D.; Pedrini, M.; Pérez-Peña, H.; Pieraccini, S.; Stagno, C.; Micale, N.; Schirmeister, T.; Sibille, G.; Gribaudo, G.; et al. Discovery of a Novel Trifluoromethyl Diazirine Inhibitor of SARS-CoV-2 Mpro. Molecules 2023, 28, 514. [Google Scholar] [CrossRef] [PubMed]
- Amendola, G.; Ettari, R.; Previti, S.; Di Chio, C.; Messere, A.; Di Maro, S.; Hammerschmidt, S.J.; Zimmer, C.; Zimmermann, R.A.; Schirmeister, T.; et al. Lead Discovery of SARS-CoV-2 Main Protease Inhibitors through Covalent Docking-Based Virtual Screening. J. Chem. Inf. Mod. 2021, 61, 2062–2073. [Google Scholar] [CrossRef] [PubMed]
- Previti, S.; Ettari, R.; Calcaterra, E.; Di Maro, S.; Hammerschmidt, S.J.; Müller, C.; Ziebuhr, J.; Schirmeister, T.; Cosconati, S.; Zappalà, M. Structure-based lead optimization of peptide-based vinyl methyl ketones as SARS-CoV-2 main protease inhibitors. Eur. J. Med. Chem. 2023, 247, 115021. [Google Scholar] [CrossRef] [PubMed]





![]() | |||
|---|---|---|---|
| Compound | R1 | R2 | ΔG* (Kcal/mol) |
| 3a | 2-aminocarbonyl-ethyl | -Cy | −64.9 ± 6.2 |
| 3b | 2-aminocarbonylethyl | -tBu | −42.7 ± 5.7 |
| 3c | 2-aminocarbonylethyl | -Bn | −70.5 ± 6.4 |
| 3d | phenyl | -Cy | −48.8 ± 8.0 |
| 3ea | 3-aminocarbonylpropyl | -Bn | −68.1 ± 7.4 |
| 3eb | 3-aminocarbonylpropyl | -Bn | −56.5 ± 8.1 |
| 3f | 3-aminocarbonylpropyl | -tBu | −66.0 ± 4.3 |
| 3g | 3-aminocarbonylpropyl | -Cy | −69.5 ± 7.7 |
| 3h | 4-[(2S)-2-aminopropyl]phenol | -Bn | −58.4 ± 5.0 |
| Compound | Ligand Concentration Displaying: | |
|---|---|---|
| Binding | No Binding | |
| 3a | 500 nM | 250 nM |
| 3b | 5 µM | 1 µM |
| 3c | 4 µM | 1 µM |
| 3d | 20 µM | 5 µM |
| 3ea | 500 nM | 250 nM |
| 3eb | 3.1 µM | 1.2 µM |
| 3f | 1 µM | 500 nM |
| 3g | 5 µM | 1 µM |
| 3h | 100 µM | 20 µM |
| 3d-pin | / | 100 µM |
| 3f-pin | 20 µM | 4 µM |
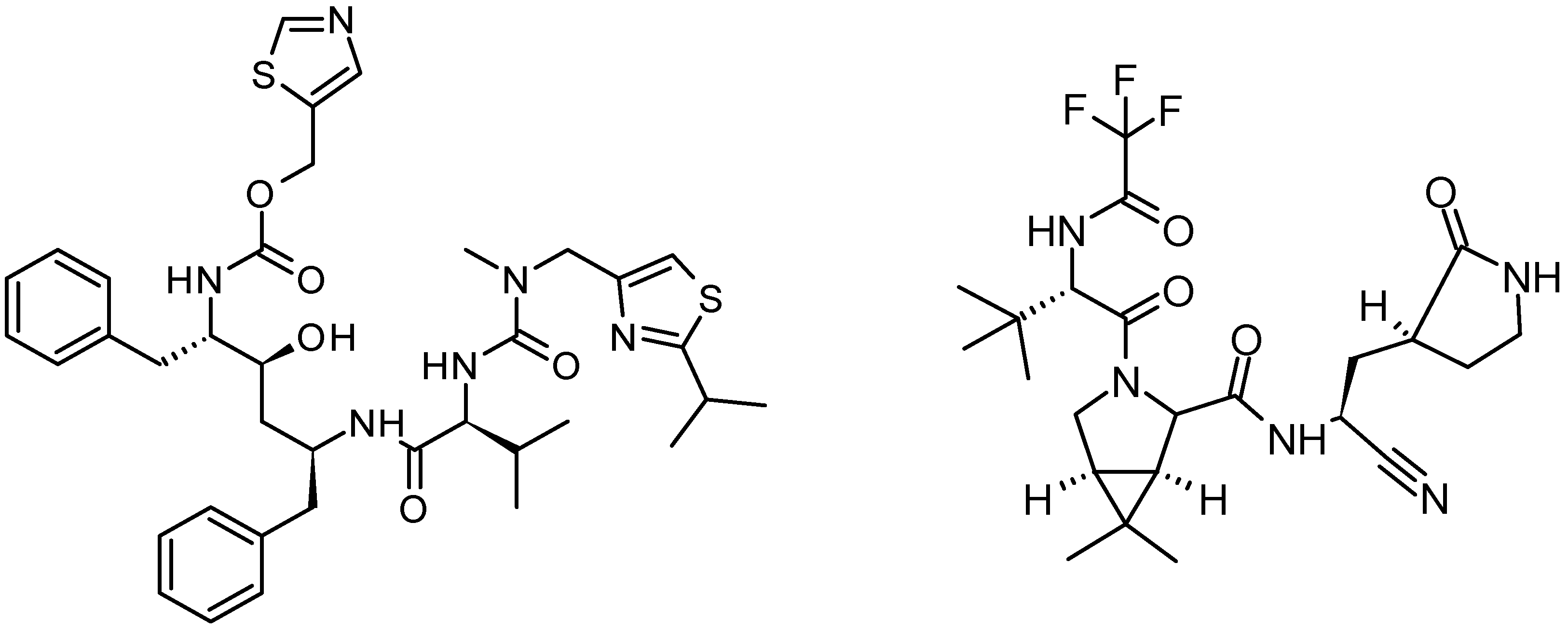
| Compound | Structure | SARS-CoV-2 Mpro | SARS-CoV-2 PLpro |
|---|---|---|---|
| 3a | ![]() | 23.39% | n.i. |
| 3ea | ![]() | 23.70% | n.i. |
| Nirmaltrevir | ![]() | 0.003 ± 0.0004 μM a | - |
Disclaimer/Publisher’s Note: The statements, opinions and data contained in all publications are solely those of the individual author(s) and contributor(s) and not of MDPI and/or the editor(s). MDPI and/or the editor(s) disclaim responsibility for any injury to people or property resulting from any ideas, methods, instructions or products referred to in the content. |
© 2023 by the authors. Licensee MDPI, Basel, Switzerland. This article is an open access article distributed under the terms and conditions of the Creative Commons Attribution (CC BY) license (https://creativecommons.org/licenses/by/4.0/).
Share and Cite
Fassi, E.M.A.; Manenti, M.; Citarella, A.; Dei Cas, M.; Casati, S.; Micale, N.; Schirmeister, T.; Roda, G.; Silvani, A.; Grazioso, G. Computational Design, Synthesis, and Biophysical Evaluation of β-Amido Boronic Acids as SARS-CoV-2 Mpro Inhibitors. Molecules 2023, 28, 2356. https://doi.org/10.3390/molecules28052356
Fassi EMA, Manenti M, Citarella A, Dei Cas M, Casati S, Micale N, Schirmeister T, Roda G, Silvani A, Grazioso G. Computational Design, Synthesis, and Biophysical Evaluation of β-Amido Boronic Acids as SARS-CoV-2 Mpro Inhibitors. Molecules. 2023; 28(5):2356. https://doi.org/10.3390/molecules28052356
Chicago/Turabian StyleFassi, Enrico M. A., Marco Manenti, Andrea Citarella, Michele Dei Cas, Sara Casati, Nicola Micale, Tanja Schirmeister, Gabriella Roda, Alessandra Silvani, and Giovanni Grazioso. 2023. "Computational Design, Synthesis, and Biophysical Evaluation of β-Amido Boronic Acids as SARS-CoV-2 Mpro Inhibitors" Molecules 28, no. 5: 2356. https://doi.org/10.3390/molecules28052356
APA StyleFassi, E. M. A., Manenti, M., Citarella, A., Dei Cas, M., Casati, S., Micale, N., Schirmeister, T., Roda, G., Silvani, A., & Grazioso, G. (2023). Computational Design, Synthesis, and Biophysical Evaluation of β-Amido Boronic Acids as SARS-CoV-2 Mpro Inhibitors. Molecules, 28(5), 2356. https://doi.org/10.3390/molecules28052356





