Dietary Supplementation with Eugenol Nanoemulsion Alleviates the Negative Effects of Experimental Coccidiosis on Broiler Chicken’s Health and Growth Performance
Abstract
1. Introduction
2. Results
2.1. CEO Chemical Constituents
2.2. Particle Size, Polydispersity INDEX, and Zeta Potential
2.3. Coccidian Oocyst Counting
2.4. Zootechnical Records
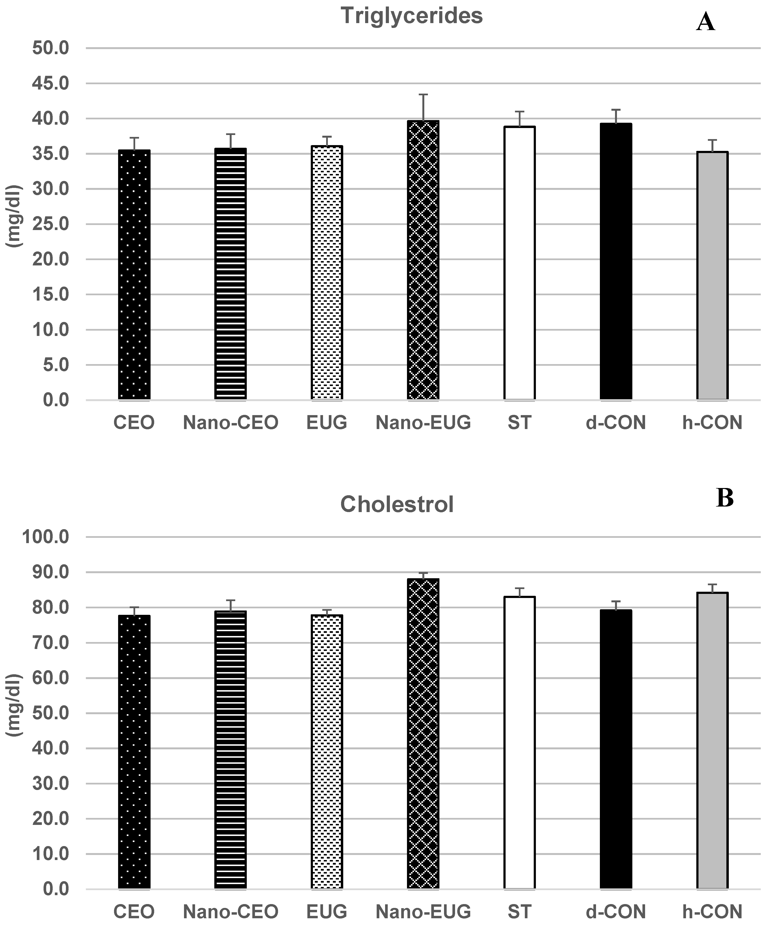
2.5. Serum Biochemistry
3. Discussion
4. Materials and Methods
4.1. Phytochemicals
4.2. Nanoemulsion Development and Characterization
4.3. Animals and Study Design
4.4. Oocyst Counting: Sample Collection and Analysis
4.5. Zootechnical Records
4.6. Serum Biochemical Parameters: Sample Collection and Analysis
4.7. Statistical Analysis
5. Conclusions
Supplementary Materials
Author Contributions
Funding
Institutional Review Board Statement
Informed Consent Statement
Data Availability Statement
Conflicts of Interest
Sample Availability
References
- Soutter, F.; Werling, D.; Tomley, F.M.; Blake, D.P. Poultry coccidiosis: Design and interpretation of vaccine studies. Front. Vet. Sci. 2020, 7, 101. [Google Scholar] [CrossRef] [PubMed]
- Blake, D.P.; Knox, J.; Dehaeck, B.; Huntington, B.; Rathinam, T.; Ravipati, V.; Ayoade, S.; Gilbert, W.; Adebambo, A.O.; Jatau, I.D. Re-calculating the cost of coccidiosis in chickens. Vet. Res. 2020, 51, 115. [Google Scholar] [CrossRef] [PubMed]
- Fatoba, A.J.; Adeleke, M.A. Transgenic Eimeria parasite: A potential control strategy for chicken coccidiosis. Acta Trop. 2020, 205, 105417. [Google Scholar] [CrossRef] [PubMed]
- Kadykalo, S.; Roberts, T.; Thompson, M.; Wilson, J.; Lang, M.; Espeisse, O. The value of anticoccidials for sustainable global poultry production. Int. J. Antimicrob. Agents 2018, 51, 304–310. [Google Scholar] [CrossRef]
- Roila, R.; Branciari, R.; Pecorelli, I.; Cristofani, E.; Carloni, C.; Ranucci, D.; Fioroni, L. Occurrence and residue concentration of coccidiostats in feed and food of animal origin; human exposure assessment. Foods 2019, 8, 477. [Google Scholar] [CrossRef]
- Abdelli, N.; Solà-Oriol, D.; Pérez, J.F. Phytogenic feed additives in poultry: Achievements, prospective and challenges. Animals 2021, 11, 3471. [Google Scholar] [CrossRef]
- Moraes, P.O.; Cardinal, K.M.; Gouvêa, F.L.; Schroeder, B.; Ceron, M.S.; Lunedo, R.; Frazzon, A.P.G.; Frazzon, J.; Ribeiro, A.M.L. Comparison between a commercial blend of functional oils and monensin on the performance and microbiota of coccidiosis-challenged broilers. Poult. Sci. 2019, 98, 5456–5464. [Google Scholar] [CrossRef]
- Hussein, S.M.; M’Sadeq, S.A.; Beski, S.S.M.; Mahmood, A.L.; Frankel, T.L. Different combinations of peppermint, chamomile and a yeast prebiotic have different impacts on production and severity of intestinal and bursal abnormalities of broilers challenged with coccidiosis. Ital. J. Anim. Sci. 2021, 20, 1924–1934. [Google Scholar] [CrossRef]
- Oelschlager, M.; Rasheed, M.; Smith, B.; Rincker, M.; Dilger, R. Effects of Yucca schidigera-derived saponin supplementation during a mixed Eimeria challenge in broilers. Poult. Sci. 2019, 98, 3212–3222. [Google Scholar] [CrossRef]
- Rajput, N.; Muhammad, N.; Yan, R.; Zhong, X.; Wang, T. Effect of dietary supplementation of curcumin on growth performance, intestinal morphology and nutrients utilization of broiler chicks. J. Poult. Sci. 2013, 50, 44–52. [Google Scholar] [CrossRef]
- Langerudi, M.T.; Youssefi, M.R.; Tabari, M.A. Ameliorative effect of Psidium guajava essential oil supplemented feed on chicken experimental coccidiosis. Trop. Anim. Health Prod. 2022, 54, 120. [Google Scholar] [CrossRef] [PubMed]
- Mandey, J.S. Clove (Syzygium aromaticum) in poultry feed. In Clove (Syzygium Aromaticum); Elsevier: Amsterdam, The Netherlands, 2022; pp. 235–255. [Google Scholar]
- Ayodele, A.; Tayo, G.; Olumide, M.; Ajayi, O.; Ayo-Bello, T.; Oyewunmi, O. Growth performance of ISA Brown pullet chicks fed diets containing single and combined levels of Turmeric (Curcuma longa) and Clove (Syzygium aromaticum). Niger. J. Anim. Sci. 2021, 23, 193–198. [Google Scholar]
- Petrovic, V.; Marcincak, S.; Popelka, P.; Simkova, J.; Martonova, M.; Buleca, J.; Marcincakova, D.; Tuckova, M.; Molnar, L.; Kovac, G. The effect of supplementation of clove and agrimony or clove and lemon balm on growth performance, antioxidant status and selected indices of lipid profile of broiler chickens. J. Anim. Physiol. Anim. Nutr. 2012, 96, 970–977. [Google Scholar] [CrossRef] [PubMed]
- Tarhan, İ. A robust method for simultaneous quantification of eugenol, eugenyl acetate, and β-caryophyllene in clove essential oil by vibrational spectroscopy. Phytochemistry 2021, 191, 112928. [Google Scholar] [CrossRef] [PubMed]
- Mohammadi, F. Effect of different levels of clove (Syzygium aromaticum L.) essential oil on growth performance and oxidative/nitrosative stress biomarkers in broilers under heat stress. Trop. Anim. Health Prod. 2021, 53, 84. [Google Scholar] [CrossRef] [PubMed]
- Zhao, X.; Zheng, S.; Wei, S.; Tian, Q.; Tao, Y.; Bo, R.; Liu, M.; Li, J. The protective effect and potential mechanisms of eugenol against Salmonella in vivo and in vitro. Poult. Sci. 2022, 101, 101801. [Google Scholar] [CrossRef]
- Ibrahim, D.; Eldemery, F.; Metwally, A.S.; Abd-Allah, E.M.; Mohamed, D.T.; Ismail, T.A.; Hamed, T.A.; Al Sadik, G.M.; Neamat-Allah, A.N.; Abd El-Hamid, M.I. Dietary eugenol nanoemulsion potentiated performance of broiler chickens: Orchestration of digestive enzymes, intestinal barrier functions and cytokines related gene expression with a consequence of attenuating the severity of E. coli O78 infection. Front. Vet. Sci. 2022, 9, 847580. [Google Scholar] [CrossRef]
- Agostini, P.; Sola-Oriol, D.; Nofrarías, M.; Barroeta, A.; Gasa, J.; Manzanilla, E. Role of in-feed clove supplementation on growth performance, intestinal microbiology, and morphology in broiler chicken. Livest. Sci. 2012, 147, 113–118. [Google Scholar] [CrossRef]
- FEEDAP; Rychen, G.; Aquilina, G.; Azimonti, G.; Bampidis, V.; Bastos, M.D.L.; Bories, G.; Chesson, A.; Cocconcelli, P.S.; Flachowsky, G.; et al. Efficacy of Liderfeed®(eugenol) for chickens for fattening. EFSA J. 2017, 15, e04931. [Google Scholar]
- de Oliveira, G.R.; de Andrade, C.; Sotomaior, C.S.; Costa, L.B. Advances in nanotechnology and the benefits of using cellulose nanofibers in animal nutrition. Vet. World 2021, 14, 2843. [Google Scholar] [CrossRef]
- Hill, E.K.; Li, J. Current and future prospects for nanotechnology in animal production. J. Anim. Sci. Biotechnol. 2017, 8, 1–13. [Google Scholar] [CrossRef] [PubMed]
- Abd El-Ghany, W. Nanotechnology and its considerations in poultry field: An overview. J. Hell. Vet. Med. Soc. 2019, 70, 1611–1616. [Google Scholar] [CrossRef]
- Pineda, L.; Chwalibog, A.; Sawosz, E.; Lauridsen, C.; Engberg, R.; Elnif, J.; Hotowy, A.; Sawosz, F.; Gao, Y.; Ali, A. Effect of silver nanoparticles on growth performance, metabolism and microbial profile of broiler chickens. Arch. Anim. Nutr. 2012, 66, 416–429. [Google Scholar] [CrossRef] [PubMed]
- Sahoo, A.; Swain, R.; Mishra, S.K. Effect of inorganic, organic and nano zinc supplemented diets on bioavailability and immunity status of broilers. Int. J. Adv. Res 2014, 2, 828–837. [Google Scholar]
- Scott, A.; Vadalasetty, K.; Sawosz, E.; Łukasiewicz, M.; Vadalasetty, R.; Jaworski, S.; Chwalibog, A. Effect of copper nanoparticles and copper sulphate on metabolic rate and development of broiler embryos. Anim. Feed Sci. Technol. 2016, 220, 151–158. [Google Scholar] [CrossRef]
- Nouri, A. Chitosan nano-encapsulation improves the effects of mint, thyme, and cinnamon essential oils in broiler chickens. Br. Poult. Sci. 2019, 60, 530–538. [Google Scholar] [CrossRef]
- Tabari, M.A.; Ghazvinian, K.; Irani, M.; Molaei, R. Effects of dietary supplementation of nettle root extract and pumpkin seed oil on production traits and intestinal microflora in broiler chickens. Bulg. J. Vet. Med. 2016, 19, 108–116. [Google Scholar] [CrossRef]
- Haug, A.; Williams, R.; Larsen, S. Counting coccidial oocysts in chicken faeces: A comparative study of a standard McMaster technique and a new rapid method. Vet. Parasitol. 2006, 136, 233–242. [Google Scholar] [CrossRef]
- Iraee, H.A.; Iraee, M.A.; Youssefi, M.R.; Tabari, M.A. Growth performance parameters in chicken experimental coccidiosis treated with Diclazuril and Clopidol: The need for assessing new anticoccidial resources. Iran. J. Vet. Med. 2015, 9, 189–194. [Google Scholar]
- Zhang, Y.; Zuo, R.; Song, X.; Gong, J.; Wang, J.; Lin, M.; Yang, F.; Cheng, X.; Gao, X.; Peng, L. Optimization of maduramicin ammonium-loaded nanostructured lipid carriers using box–behnken design for enhanced anticoccidial effect against Eimeria tenella in broiler chickens. Pharmaceutics 2022, 14, 1330. [Google Scholar] [CrossRef]
- Baron, L.F.; da Fonseca, F.N.; Maciag, S.S.; Bellaver, F.A.V.; Ibeli, A.M.G.; Mores, M.A.Z.; de Almeida, G.F.; Guterres, S.S.; Bastos, A.P.A.; Paese, K. Toltrazuril-Loaded Polymeric Nanocapsules as a Promising Approach for the Preventive Control of Coccidiosis in Poultry. Pharmaceutics 2022, 14, 392. [Google Scholar] [CrossRef] [PubMed]
- Mohsin, M.; Abbas, R.Z.; Yin, G.; Sindhu, Z.-U.-D.; Abbas, A.; Huang, Z.; Aleem, M.T.; Saeed, Z.; Afzal, M.Z.; Ejaz, A. Probiotics as therapeutic, antioxidant and immunomodulatory agents against poultry coccidiosis. World’s Poult. Sci. J. 2021, 77, 331–345. [Google Scholar] [CrossRef]
- Murugesan, G.R.; Syed, B.; Haldar, S.; Pender, C. Phytogenic feed additives as an alternative to antibiotic growth promoters in broiler chickens. Front. Vet. Sci. 2015, 2, 21. [Google Scholar]
- Ali, M.; Chand, N.; Khan, R.U.; Naz, S.; Gul, S. Anticoccidial effect of garlic (Allium sativum) and ginger (Zingiber officinale) against experimentally induced coccidiosis in broiler chickens. J. Appl. Anim. Res. 2019, 47, 79–84. [Google Scholar] [CrossRef]
- Galli, G.M.; Petrolli, T.G.; Aniecevski, E.; Santo, A.D.; Leite, F.; Griss, L.G.; Dazuk, V.; Boiago, M.M.; Dos Santos, H.V.; Simões, C.A. Phytogenic blend protective effects against microbes but affects health and production in broilers. Microb. Pathog. 2021, 152, 104590. [Google Scholar] [CrossRef] [PubMed]
- Applegate, T.; Klose, V.; Steiner, T.; Ganner, A.; Schatzmayr, G. Probiotics and phytogenics for poultry: Myth or reality? J. Appl. Poult. Res. 2010, 19, 194–210. [Google Scholar] [CrossRef]
- Barboza, J.N.; da Silva Maia Bezerra Filho, C.; Silva, R.O.; Medeiros, J.V.R.; de Sousa, D.P. An overview on the anti-inflammatory potential and antioxidant profile of eugenol. Oxidative Med. Cell. Longev. 2018, 2018, 3957262. [Google Scholar] [CrossRef]
- Hadidi, M.; Pouramin, S.; Adinepour, F.; Haghani, S.; Jafari, S.M. Chitosan nanoparticles loaded with clove essential oil: Characterization, antioxidant and antibacterial activities. Carbohydr. Polym. 2020, 236, 116075. [Google Scholar] [CrossRef]
- Mahdi, A.A.; Al-Maqtari, Q.A.; Mohammed, J.K.; Al-Ansi, W.; Cui, H.; Lin, L. Enhancement of antioxidant activity, antifungal activity, and oxidation stability of Citrus reticulata essential oil nanocapsules by clove and cinnamon essential oils. Food Biosci. 2021, 43, 101226. [Google Scholar] [CrossRef]
- Jahangir, M.A.; Taleuzzaman, M.; Beg, S.; Verma, S.; Gilani, S.J.; Alam, P. A review of eugenol-based nanomedicine: Recent advancements. Curr. Bioact. Compd. 2021, 17, 214–219. [Google Scholar] [CrossRef]
- Wang, M.; Suo, X.; Gu, J.; Zhang, W.; Fang, Q.; Wang, X. Influence of grape seed proanthocyanidin extract in broiler chickens: Effect on chicken coccidiosis and antioxidant status. Poult. Sci. 2008, 87, 2273–2280. [Google Scholar] [CrossRef] [PubMed]
- Surai, P.F.; Kochish, I.I.; Fisinin, V.I.; Kidd, M.T. Antioxidant defence systems and oxidative stress in poultry biology: An update. Antioxidants 2019, 8, 235. [Google Scholar] [CrossRef] [PubMed]
- Shahavi, M.H.; Hosseini, M.; Jahanshahi, M.; Meyer, R.L.; Darzi, G.N. Clove oil nanoemulsion as an effective antibacterial agent: Taguchi optimization method. Desalination Water Treat. 2016, 57, 18379–18390. [Google Scholar] [CrossRef]
- Conway, D.P.; McKenzie, M.E. Poultry Coccidiosis: Diagnostic and Testing Procedures; John Wiley & Sons: Hoboken, NJ, USA, 2007. [Google Scholar]
- Gürbüz, M.; Korkmaz, B.İ.O.J.F.C. The anti-campylobacter actıvıty of eugenol and ıts potentıal for poultry meat safety: A revıew. Food Chem. 2022, 394, 133519. [Google Scholar] [CrossRef]







| Treatments | Time Period Pre-Challenge | Time Period Post-Challenge | ||||||
| D1–D7 | D8–D14 | D15–D21 | D22–D28 | D29–D35 | D36–D42 | |||
| Average Daily Weight Gain | CEO | 17.20 ± 0.32a | 29.66 ± 0.89 a | 42.56 ± 0.74 a | 67.79 ± 1.09 ab | 77.58 ± 0.84 ab | 95.90 ± 0.80 a | |
| Nano-CEO | 18.26 ± 0.21b | 32.70 ± 0.40 b | 48.86 ± 0.77 b | 68.06 ± 1.00 ab | 80.72 ± 0.89 b | 96.32 ± 0.82 a | ||
| EUG | 18.26 ± 0.32 ab | 29.18 ± 0.79 a | 47.02 ± 0.92b | 70.26 ± 0.91b | 81.16 ± 0.71 b | 97.28 ± 0.60 ab | ||
| Nano-EUG | 18.81 ± 0.22 ab | 33.56 ± 0.31 b | 54 ± 0.43 c | 74.39 ± 0.71 bc | 88.30 ± 0.68 c | 99.81 ± 0.69 b | ||
| ST | 19.02 ± 0.30 b | 32.30 ± 0.29 b | 52.89 ± 0.38 c | 73.28 ± 0.52 b | 85.91 ± 0.48 c | 100.08 ± 0.43 b | ||
| d-CON | 18.24 ± 0.25 ab | 32.90 ± 0.47 b | 47.97 ± 0.77 b | 65.68 ± 0.91 a | 76.37 ± 1.04 a | 92.90 ± 1.14 a | ||
| h-CON | 18.84 ± 0.26 b | 33.16 ± 0.39 b | 54.96 ± 0.36 c | 77.60 ± 0.80 c | 89.44 ± 0.76 c | 105.36 ± 0.64 c | ||
| Average Daily Feed Intake | CEO | 25.89 ± 0.49 a | 49.58 ± 0.44 a | 83.38 ± 0.74 a | 132.03 ± 1.08 a | 167.40 ± 1.38 ab | 215.97 ± 1.04 a | |
| Nano-CEO | 25.86 ± 0.36 a | 49.97 ± 0.42 a | 82.00 ± 0.96 ab | 127.42 ± 0.65 b | 163.88 ± 1.23 b | 213.13 ± 1.03 a | ||
| EUG | 25.46 ± 0.38 a | 49.72 ± 0.50 a | 81.44 ± 0.58 ab | 127.86 ± 0.79 b | 162.13 ± 1.19 b | 212.11 ± 0.74 a | ||
| Nano-EUG | 25.66 ± 0.24 a | 49.14 ± 0.57 a | 75.89 ± 0.55 d | 118.68 ± 0.60 cd | 156.08 ± 0.69 c | 206.67 ± 0.72 b | ||
| ST | 25.24 ± 0.31 a | 48.95 ± 0.43 a | 79.74 ± 0.75 bc | 121.22 ± 0.52 c | 157.71 ± 1.16 c | 207.59 ± 0.97 b | ||
| d-CON | 25.67 ± 0.23 a | 48.39 ± 0.57 a | 87.75 ± 0.93 e | 133.26 ± 1.4 a | 169.23 ± 1.51 a | 221.02 ± 1.18 c | ||
| h-CON | 25.97 ± 0.31 a | 49.45 ± 0.57 a | 77.18 ± 0.70 cd | 115.74 ± 1.15 d | 153.68 ± 0.98 c | 204.93 ± 0.86 b | ||
| Feed Conversion Ratio | CEO | 1.51 ± 0.03 a | 1.69 ± 0.06 a | 1.96 ± 0.03 a | 1.95 ± 0.03 a | 2.16 ± 0.02 a | 2.25 ± 0.02 a | |
| Nano-CEO | 1.41 ± 0.02 ab | 1.53 ± 0.02 b | 1.68 ± 0.02 b | 1.87 ± 0.02 ab | 2.03 ± 0.02 bc | 2.21 ± 0.01 a | ||
| EUG | 1.40 ± 0.03 ab | 1.72 ± 0.05 a | 1.74 ± 0.03 cb | 1.82 ± 0.03 b | 1.99 ± 0.02 c | 2.18 ± 0.01 a | ||
| Nano-EUG | 1.36 ± 0.02 b | 1.46 ± 0.02 cb | 1.40 ± 0.01 d | 1.59 ± 0.01 cd | 1.76 ± 0.01 de | 2.07 ± 0.01 b | ||
| ST | 1.33 ± 0.02 b | 1.51 ± 0.01 b | 1.50 ± 0.02 d | 1.65 ± 0.01 c | 1.83 ± 0.01 e | 2.07 ± 0.01 b | ||
| d-CON | 1.40 ± 0.01 a | 1.47 ± 0.02 cb | 1.83 ± 0.04 c | 2.03 ± 0.03 a | 2.22 ± 0.03 ab | 2.38 ± 0.03 c | ||
| h-CON | 1.38 ± 0.02 b | 1.49 ± 0.02 cb | 1.40 ± 0.01 d | 1.49 ± 0.01 d | 1.72 ± 0.01 d | 1.94 ± 0.01 d | ||
Disclaimer/Publisher’s Note: The statements, opinions and data contained in all publications are solely those of the individual author(s) and contributor(s) and not of MDPI and/or the editor(s). MDPI and/or the editor(s) disclaim responsibility for any injury to people or property resulting from any ideas, methods, instructions or products referred to in the content. |
© 2023 by the authors. Licensee MDPI, Basel, Switzerland. This article is an open access article distributed under the terms and conditions of the Creative Commons Attribution (CC BY) license (https://creativecommons.org/licenses/by/4.0/).
Share and Cite
Youssefi, M.R.; Alipour, R.; Fakouri, Z.; Shahavi, M.H.; Nasrabadi, N.T.; Tabari, M.A.; Crescenzo, G.; Zizzadoro, C.; Centoducati, G. Dietary Supplementation with Eugenol Nanoemulsion Alleviates the Negative Effects of Experimental Coccidiosis on Broiler Chicken’s Health and Growth Performance. Molecules 2023, 28, 2200. https://doi.org/10.3390/molecules28052200
Youssefi MR, Alipour R, Fakouri Z, Shahavi MH, Nasrabadi NT, Tabari MA, Crescenzo G, Zizzadoro C, Centoducati G. Dietary Supplementation with Eugenol Nanoemulsion Alleviates the Negative Effects of Experimental Coccidiosis on Broiler Chicken’s Health and Growth Performance. Molecules. 2023; 28(5):2200. https://doi.org/10.3390/molecules28052200
Chicago/Turabian StyleYoussefi, Mohammad Reza, Rahmatollah Alipour, Zahra Fakouri, Mohammad Hassan Shahavi, Nadia Taiefi Nasrabadi, Mohaddeseh Abouhosseini Tabari, Giuseppe Crescenzo, Claudia Zizzadoro, and Gerardo Centoducati. 2023. "Dietary Supplementation with Eugenol Nanoemulsion Alleviates the Negative Effects of Experimental Coccidiosis on Broiler Chicken’s Health and Growth Performance" Molecules 28, no. 5: 2200. https://doi.org/10.3390/molecules28052200
APA StyleYoussefi, M. R., Alipour, R., Fakouri, Z., Shahavi, M. H., Nasrabadi, N. T., Tabari, M. A., Crescenzo, G., Zizzadoro, C., & Centoducati, G. (2023). Dietary Supplementation with Eugenol Nanoemulsion Alleviates the Negative Effects of Experimental Coccidiosis on Broiler Chicken’s Health and Growth Performance. Molecules, 28(5), 2200. https://doi.org/10.3390/molecules28052200

