Ultrasound-Assisted Synthesis of Piperidinyl-Quinoline Acylhydrazones as New Anti-Alzheimer’s Agents: Assessment of Cholinesterase Inhibitory Profile, Molecular Docking Analysis, and Drug-like Properties
Abstract
1. Introduction
2. Results and Discussion
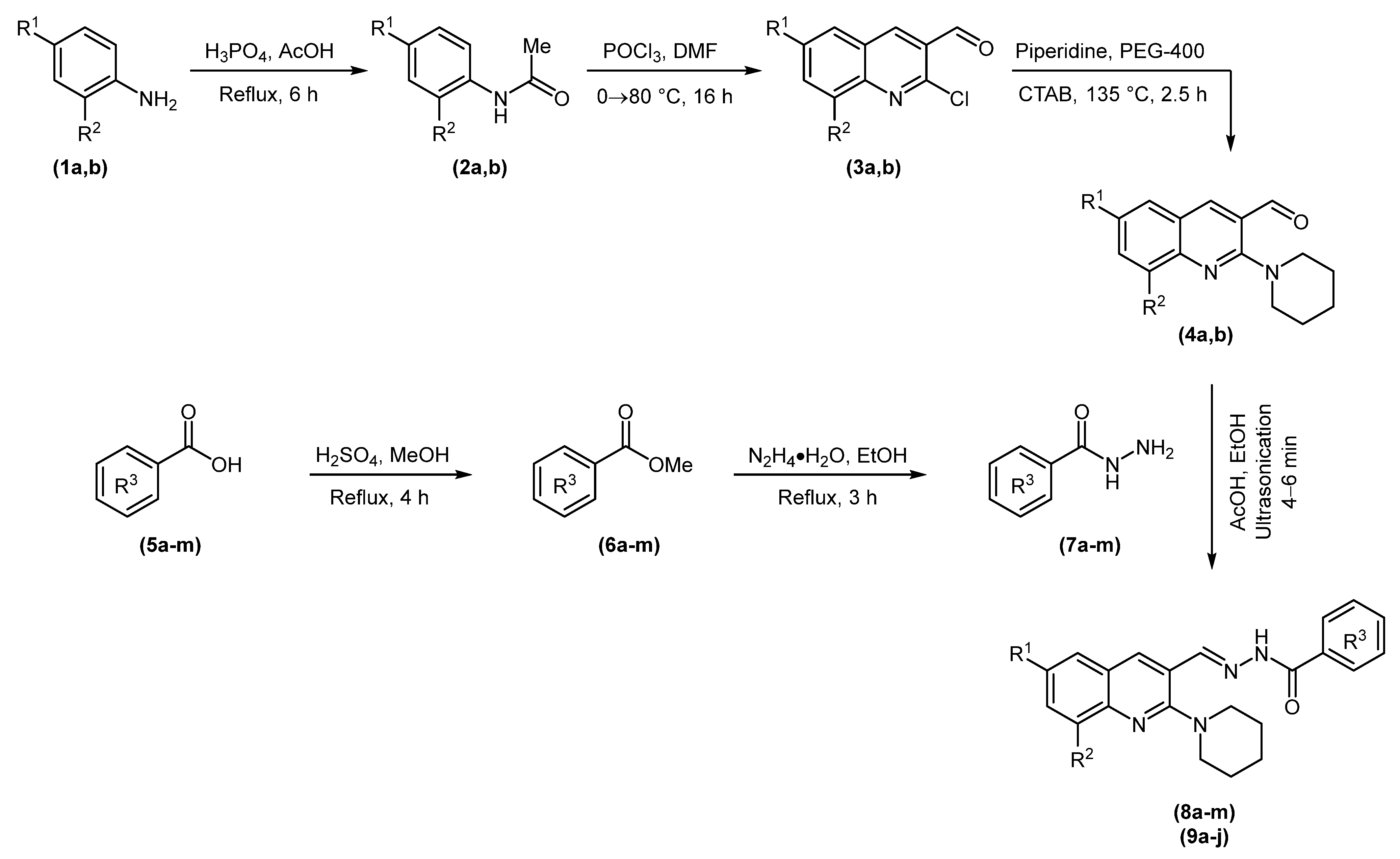
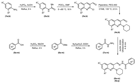
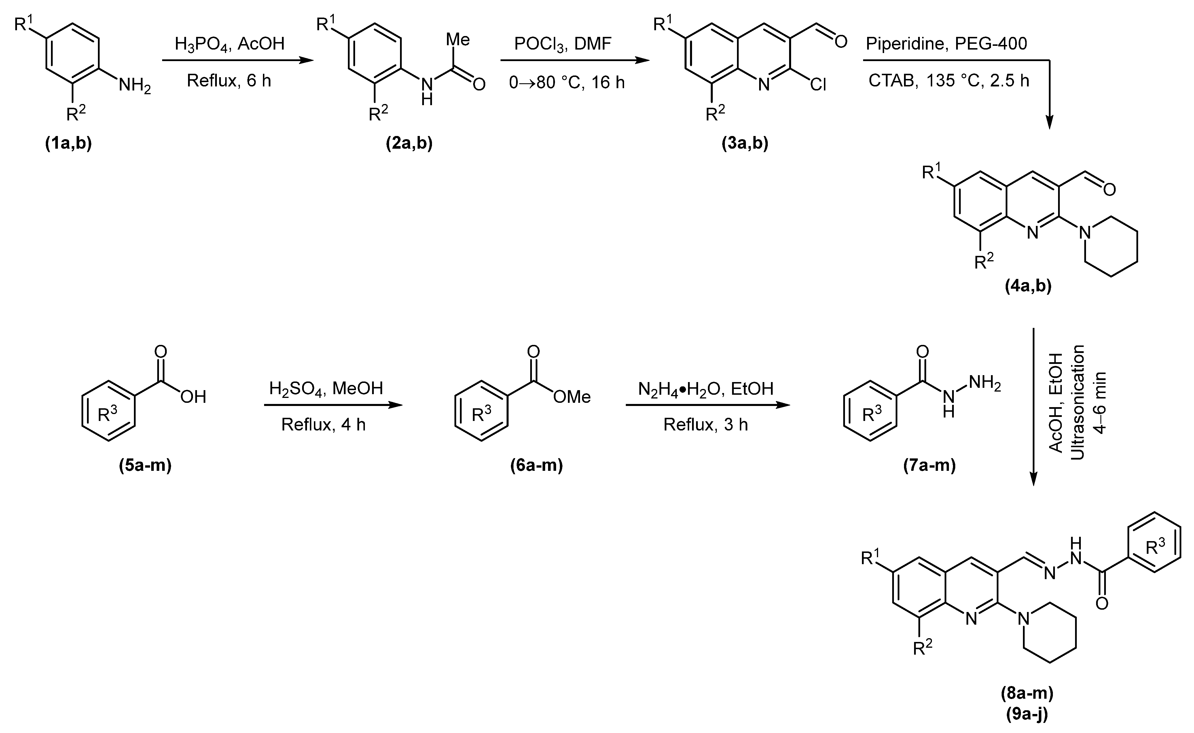
2.1. Synthetic Chemistry
2.2. In Vitro Cholinesterase Inhibition and Structure–Activity Relationship Analyses
2.3. Molecular Docking Studies
2.4. SeeSAR Visual Drug Design
2.5. Molecular Dynamics Simulation
2.6. Physicochemical Properties
2.7. Anticancer Activity
3. Materials and Methods
3.1. General
3.2. General Procedure for the Synthesis of N′-((methyl-2-(piperidin-1-yl)quinolin-3-yl)methylene)benzohydrazides (8a-m and 9a-j)
3.2.1. Method A: Conventional Approach
3.2.2. Method B: Ultrasonic-Assisted Approach
3.3. In Vitro Cholinesterase Inhibition Assays
3.4. Molecular Docking Protocols
3.4.1. Structure Selection and Preparation
3.4.2. Compounds Preparation
3.4.3. Molecular Docking Studies
3.4.4. Molecular Dynamics Simulation
4. Conclusions
Supplementary Materials
Author Contributions
Funding
Institutional Review Board Statement
Informed Consent Statement
Data Availability Statement
Acknowledgments
Conflicts of Interest
Sample Availability
References
- Goedert, M.; Spillantini, M.G. A century of Alzheimer’s disease. Science 2006, 314, 777–781. Available online: https://www.science.org/doi/abs/10.1126/science.1132814 (accessed on 15 October 2022). [CrossRef]
- Bolognesi, M.L.; Cavalli, A.; Valgimigli, L.; Bartolini, M.; Rosini, M.; Andrisano, V.; Recanatini, M.; Melchiorre, C. Multi-target-directed drug design strategy: From a dual binding site acetylcholinesterase inhibitor to a trifunctional compound against Alzheimer’s disease. J. Med. Chem. 2007, 50, 6446–6449. Available online: https://pubs.acs.org/doi/abs/10.1021/jm701225u (accessed on 15 October 2022). [CrossRef] [PubMed]
- Alzheimer’s Disease International. Available online: https://www.alzint.org/about/dementia-facts-figures/dementia-statistics (accessed on 4 December 2022).
- Viegas, C., Jr.; Bolzani, V.D.S.; Barreiro, E.J.; Manssour Fraga, C.A. New anti-Alzheimer drugs from biodiversity: The role of the natural acetylcholinesterase inhibitors. Mini Rev. Med. Chem. 2005, 5, 915–926. [Google Scholar] [CrossRef] [PubMed]
- Chen, Y.; Liu, Z.L.; Fu, T.M.; Li, W.; Xu, X.L.; Sun, H.P. Discovery of new acetylcholinesterase inhibitors with small core structures through shape-based virtual screening. Bioorg. Med. Chem. Lett. 2015, 25, 3442–3446. [Google Scholar] [CrossRef] [PubMed]
- Perry, E.; Blessed, G.; Tomlinson, B.; Perry, R.; Crow, T.; Cross, A.; Dockray, G.; Dimaline, R.; Arregui, A. Neurochemical activities in human temporal lobe related to aging and Alzheimer-type changes. Neurobiol. Aging 1981, 2, 251–256. [Google Scholar] [CrossRef]
- Anand, P.; Singh, B. A review on cholinesterase inhibitors for Alzheimer’s disease. Arch. Pharm. Res. 2013, 36, 375–399. [Google Scholar] [CrossRef]
- Feng, B.; Li, X.; Xia, J.; Wu, S. Discovery of novel isoflavone derivatives as AChE/BuChE dual-targeted inhibitors: Synthesis, biological evaluation and molecular modelling. J. Enzyme Inhib. Med. Chem. 2017, 32, 968–977. [Google Scholar] [CrossRef]
- Brus, B.; Kosak, U.; Turk, S.; Pislar, A.; Coquelle, N.; Kos, J.; Stojan, J.; Colletier, J.P.; Gobec, S. Discovery, biological evaluation, and crystal structure of a novel nanomolar selective butyrylcholinesterase inhibitor. J. Med. Chem. 2014, 57, 8167–8179. [Google Scholar] [CrossRef]
- Cheung, J.; Rudolph, M.J.; Burshteyn, F.; Cassidy, M.S.; Gary, E.N.; Love, J.; Franklin, M.C.; Height, J.J. Structures of human acetylcholinesterase in complex with pharmacologically important ligands. J. Med. Chem. 2012, 55, 10282–10286. [Google Scholar] [CrossRef]
- Rees, T.; Hammond, P.I.; Soreq, H.; Younkin, S.; Brimijoin, S. Acetylcholinesterase promotes beta-amyloid plaques in cerebral cortex. Neurobiol. Aging 2003, 24, 777–787. [Google Scholar] [CrossRef]
- Bartolini, M.; Bertucci, C.; Cavrini, V.; Andrisano, V. β-Amyloid aggregation induced by human acetylcholinesterase: Inhibition studies. Biochem. Pharmacol. 2003, 65, 407–416. [Google Scholar] [CrossRef] [PubMed]
- Greig, N.H.; Utsuki, T.; Yu, Q.S.; Zhu, X.; Holloway, H.W.; Perry, T.; Lee, B.; Ingram, D.K.; Lahiri, D.K. A new therapeutic target in Alzheimer’s disease treatment: Attention to butyrylcholinesterase. Curr. Med. Res. Opin. 2001, 17, 159–165. [Google Scholar] [CrossRef]
- Mesulam, M.M.; Guillozet, A.; Shaw, P.; Levey, A.; Duysen, E.G.; Lockridge, O. Acetylcholinesterase knockouts establish central cholinergic pathways and can use butyrylcholinesterase to hydrolyze acetylcholine. Neuroscience 2002, 110, 627–639. [Google Scholar] [CrossRef] [PubMed]
- Claassen, J.A.; Jansen, R.W. Cholinergically Mediated Augmentation of Cerebral Perfusion in Alzheimer’s Disease and Related Cognitive Disorders: The Cholinergic-Vascular Hypothesis. J. Gerontol. A Biol. Sci. Med. Sci. 2006, 61, 267–271. [Google Scholar] [CrossRef] [PubMed]
- Coulthard, E.; Singh-Curry, V.; Husain, M. Treatment of attention deficits in neurological disorders. Curr. Opin. Neurol. 2006, 19, 613–618. [Google Scholar] [CrossRef]
- Klafki, H.-W.; Staufenbiel, M.; Kornhuber, J.; Wiltfang, J. Therapeutic approaches to Alzheimer’s disease. Brain 2006, 129, 2840–2855. [Google Scholar] [CrossRef] [PubMed]
- Villarroya, M.; García, A.G.; Marco-Contelles, J.; López, M.G. An update on the pharmacology of galantamine. Exp. Opin. Investig. Drugs 2007, 16, 1987–1998. [Google Scholar] [CrossRef] [PubMed]
- Hogan, D.B.; Patterson, C. Progress in clinical neurosciences: Treatment of Alzheimer’s disease and other dementias-review and comparison of the cholinesterase inhibitors. Canad. J. Neurol. Sci. 2002, 29, 306–314. [Google Scholar] [CrossRef]
- Geldmacher, D.S. Long-term cholinesterase inhibitor therapy for Alzheimer’s disease: Practical considerations for the primary care physician. Prim. Care Compan. J. Clin. Psychiatry 2003, 5, 251. [Google Scholar] [CrossRef]
- Selkoe, D.J.; Schenk, D. Alzheimer’s disease: Molecular understanding predicts amyloid-based therapeutics. Ann. Rev. Pharm. Toxicol. 2003, 43, 545–584. [Google Scholar] [CrossRef]
- Aguglia, E.; Onor, M.; Saina, M.; Maso, E. An open-label, comparative study of rivastigmine, donepezil and galantamine in a real-world setting. Curr. Med. Res. Opin. 2004, 20, 1747–1752. [Google Scholar] [CrossRef] [PubMed]
- Onor, M.L.; Trevisiol, M.; Aguglia, E. Rivastigmine in the treatment of Alzheimer’s disease: An update. Clin. Interv. Aging 2007, 2, 17. [Google Scholar] [CrossRef] [PubMed]
- Behl, T.; Kaur, I.; Sehgal, A.; Singh, S.; Sharma, N.; Makeen, H.A.; Albratty, M.; Alhazmi, H.A.; Felemban, S.G.; Alsubayiel, A.M.; et al. “Aducanumab” making a comeback in Alzheimer’s disease: An old wine in a new bottle. Biomed. Pharmacother. 2022, 148, 112746. [Google Scholar] [CrossRef]
- Munir, R.; Javid, N.; Zia-ur-Rehman, M.; Zaheer, M.; Huma, R.; Roohi, A.; Athar, M.M. Synthesis of novel N-acylhydrazones and their CN/NN bond conformational characterization by NMR spectroscopy. Molecules 2021, 26, 4908. [Google Scholar] [CrossRef]
- de Freitas Silva, M.; Tardelli Lima, E.; Pruccoli, L.; Castro, N.G.; Guimarães, M.J.R.; da Silva, F.M.R.; Viegas, C. Design, Synthesis and Biological Evaluation of Novel Triazole N-acylhydrazone Hybrids for Alzheimer’s Disease. Molecules 2020, 25, 3165. [Google Scholar] [CrossRef] [PubMed]
- Rodrigues, A.P.C.; Costa, L.M.; Santos, B.L.; Maia, R.C.; Miranda, A.L.; Barreiro, E.J.; Fraga, C.A. Novel furfurylidene N-acylhydrazones derived from natural safrole: Discovery of LASSBio-1215, a new potent antiplatelet prototype. J. Enzyme Inhib. Med. Chem. 2012, 27, 101–109. [Google Scholar] [CrossRef] [PubMed]
- Zhang, D.; Ma, Y.; Liu, Y.; Liu, Z.P. Synthesis of sulfonylhydrazone- and acylhydrazone-Substituted 8-ethoxy-3-nitro-2H-chromenes as potent antiproliferative and apoptosis inducing agents. Arch. Pharm. 2014, 347, 576–588. [Google Scholar] [CrossRef]
- Carvalho, S.A.; Feitosa, L.O.; Soares, M.; Costa, T.E.; Henriques, M.G.; Salomão, K.; de Castro, S.L.; Kaiser, M.; Brun, R.; Wardell, J.L.; et al. Design and synthesis of new (E)-cinnamic N-acylhydrazones as potent antitrypanosomal agents. Eur. J. Med. Chem. 2012, 54, 512–521. [Google Scholar] [CrossRef]
- He, J.B.; Feng, L.L.; Li, J.; Tao, R.J.; Ren, Y.L.; Wan, J.; He, H.W. Design, synthesis and molecular modeling of novel N-acylhydrazone derivatives as pyruvate dehydrogenase complex E1 inhibitors. Bioorg. Med. Chem. 2014, 22, 89–94. [Google Scholar] [CrossRef]
- Hernández, P.; Cabrera, M.; Lavaggi, M.L.; Celano, L.; Tiscornia, I.; da Costa, T.R.; Thomson, L.; Bollati-Fogolín, M.; Miranda, A.L.P.; Lima, L.M.; et al. Discovery of new orally effective analgesic and anti-inflammatory hybrid furoxanyl N-acylhydrazone derivatives. Bioorg. Med. Chem. 2012, 20, 2158–2171. [Google Scholar] [CrossRef]
- Zhai, X.; Huang, Q.; Jiang, N.; Wu, D.; Zhou, H.; Gong, P. Discovery of hybrid dual N-acylhydrazone and diaryl urea derivatives as potent antitumor agents: Design, synthesis and cytotoxicity evaluation. Molecules 2013, 18, 2904–2923. [Google Scholar] [CrossRef] [PubMed]
- Leal, C.M.; Pereira, S.L.; Kümmerle, A.E.; Leal, D.M.; Tesch, R.; de Sant’Anna, C.M.; Fraga, C.A.M.; Barreiro, E.J.; Sudo, R.T.; Zapata-Sudo, G. Antihypertensive profile of 2-thienyl-3, 4-methylenedioxybenzoylhydrazone is mediated by activation of the A2A adenosine receptor. Eur. J. Med. Chem. 2012, 55, 49–57. [Google Scholar] [CrossRef] [PubMed]
- Aziz, H.; Mahmood, A.; Zaib, S.; Saeed, A.; El-Seedi, H.R.; Pelletier, J.; Sévigny, J.; Iqbal, J. Synthesis, characterization, alkaline phosphatase inhibition assay and molecular modeling studies of 1-benzylidene-2-(4-tert-butylthiazol-2-yl) hydrazines. J. Biomol. Struct. Dyn. 2021, 39, 6140–6153. [Google Scholar] [CrossRef] [PubMed]
- Kaur, R.; Kumar, K. Synthetic and medicinal perspective of quinolines as antiviral agents. Eur. J. Med. Chem. 2021, 215, 113220. [Google Scholar] [CrossRef]
- Khan, I.; Shah, S.J.A.; Ejaz, S.A.; Ibrar, A.; Hameed, S.; Lecka, J.; Mill’an, J.L.; Sévigny, J.; Iqbal, J. Investigation of quinoline-4-carboxylic acid as a highly potent scaffold for the development of alkaline phosphatase inhibitors: Synthesis, SAR analysis and molecular modelling studies. RSC Adv. 2015, 5, 64404–64413. [Google Scholar] [CrossRef]
- Fiorito, J.; Saeed, F.; Zhang, H.; Staniszewski, A.; Feng, Y.; Francis, Y.I.; Rao, S.; Thakkar, D.M.; Deng, S.X.; Landry, D.W.; et al. Synthesis of quinoline derivatives: Discovery of a potent and selective phosphodiesterase 5 inhibitor for the treatment of Alzheimer’s disease. Eur. J. Med. Chem. 2013, 60, 285–294. [Google Scholar] [CrossRef]
- Goel, P.; Alam, O.; Naim, M.J.; Nawaz, F.; Iqbal, M.; Alam, M.I. Recent advancement of piperidine moiety in treatment of cancer-A review. Eur. J. Med. Chem. 2018, 157, 480–502. [Google Scholar] [CrossRef] [PubMed]
- Lv, K.; Tao, Z.; Liu, Q.; Yang, L.; Wang, B.; Wu, S.; Wang, A.; Huang, M.; Liu, M.; Lu, Y. Design, synthesis and antitubercular evaluation of benzothiazinones containing a piperidine moiety. Eur. J. Med. Chem. 2018, 151, 1–8. [Google Scholar] [CrossRef]
- Zhu, M.; Zhou, H.; Ma, L.; Dong, B.; Zhou, J.; Zhang, G.; Wang, M.; Wang, J.; Cen, S.; Wang, Y. Design and evaluation of novel piperidine HIV-1 protease inhibitors with potency against DRV-resistant variants. Eur. J. Med. Chem. 2021, 220, 113450. [Google Scholar] [CrossRef]
- Zaib, S.; Munir, R.; Younas, M.T.; Kausar, N.; Ibrar, A.; Aqsa, S.; Shahid, N.; Asif, T.T.; Alsaab, H.O.; Khan, I. Hybrid Quinoline-Thiosemicarbazone Therapeutics as a New Treatment Opportunity for Alzheimer’s Disease-Synthesis, In Vitro Cholinesterase Inhibitory Potential and Computational Modeling Analysis. Molecules 2021, 26, 6573. [Google Scholar] [CrossRef] [PubMed]
- Alia, M.Y.; Zaib, S.; Jannat, S.; Khan, I. Discovery of potent and selective dual cholinesterases and β-secretase inhibitors in pomegranate as a treatment for Alzheimer’s disease. Bioorg. Chem. 2022, 129, 106137. [Google Scholar] [CrossRef]
- Munir, R.; Zia-ur-Rehman, M.; Murtaza, S.; Zaib, S.; Javid, N.; Awan, S.J.; Iftikhar, K.; Athar, M.M.; Khan, I. Microwave-Assisted Synthesis of (Piperidin-1-yl)quinolin-3-yl)methylene)hydrazinecarbothioamides as Potent Inhibitors of Cholinesterases: A Biochemical and In Silico Approach. Molecules 2021, 26, 656. [Google Scholar] [CrossRef] [PubMed]
- Khan, I.; Bakht, S.M.; Ibrar, A.; Abbas, S.; Hameed, S.; White, J.M.; Rana, U.A.; Zaib, S.; Shahid, M.; Iqbal, J. Exploration of a library of triazolothiadiazole and triazolothiadiazine compounds as a highly potent and selective family of cholinesterase and monoamine oxidase inhibitors: Design, synthesis, X-ray diffraction analysis and molecular docking studies. RSC Adv. 2015, 5, 21249–21267. [Google Scholar] [CrossRef]
- Meth-Cohn, O.; Narine, B.; Tarnowski, B. A versatile new synthesis of quinolines and related fused pyridines, Part 5. The synthesis of 2-chloroquinoline-3-carbaldehydes. J. Chem. Soc. Perkin Trans. 1981, 1, 1520–1530. [Google Scholar] [CrossRef]
- Reilly, M.K.; King, R.P.; Wagner, A.J.; King, S.M. Microwave-assisted esterification: A discovery-based microscale laboratory experiment. J. Chem. Educ. 2014, 91, 1706–1709. [Google Scholar] [CrossRef]
- Joshi, S.D.; Vagdevi, H.M.; Vaidya, V.P.; Gadaginamath, G.S. Synthesis of new 4-pyrrol-1-yl benzoic acid hydrazide analogs and some derived oxadiazole, triazole and pyrrole ring systems: A novel class of potential antibacterial and antitubercular agents. Eur. J. Med. Chem. 2008, 43, 1989–1996. [Google Scholar] [CrossRef]
- Ellman, G.L.; Courtney, K.; Andres, V.; Featherstone, R.M. A new and rapid colorimetric determination of acetylcholinesterase activity. Biochem. Pharmacol. 1961, 7, 88–95. [Google Scholar] [CrossRef]
- Mumtaz, A.; Shoaib, M.; Zaib, S.; Shah, M.S.; Bhatti, H.A.; Saeed, A.; Hussain, I.; Iqbal, J. Synthesis, molecular modelling and biological evaluation of tetrasubstituted thiazoles towards cholinesterase enzymes and cytotoxicity studies. Bioorg. Chem. 2018, 78, 141–148. [Google Scholar] [CrossRef]
- Nachon, F.; Carletti, E.; Ronco, C.; Trovaslet, M.; Nicolet, Y.; Jean, L.; Renard, P.Y. Crystal structures of human cholinesterases in complex with huprine W and tacrine: Elements of specificity for anti-Alzheimer’s drugs targeting acetyl- and butyrylcholinesterase. Biochem. J. 2013, 453, 393–399. [Google Scholar] [CrossRef]
- Schneider, N.; Lange, G.; Hindle, S.; Klein, R.; Rarey, M. A consistent description of HYdrogen bond and DEhydration energies in protein–ligand complexes: Methods behind the HYDE scoring function. J. Comput. Aided Mol. Des. 2013, 27, 15–29. [Google Scholar] [CrossRef]
- Reulecke, I.; Lange, G.; Albrecht, J.; Klein, R.; Rarey, M. Towards an integrated description of hydrogen bonding and dehydration: Decreasing false positives in virtual screening with the HYDE scoring function. ChemMedChem 2008, 3, 885–897. [Google Scholar] [CrossRef] [PubMed]
- Daina, A.; Michielin, O.; Zoete, V. SwissADME: A free web tool to evaluate pharmacokinetics, drug-likeness and medicinal chemistry friendliness of small molecules. Sci. Rep. 2017, 7, 42717. [Google Scholar] [CrossRef] [PubMed]
- Daina, A.; Michielin, O.; Zoete, V. iLOGP: A simple, robust, and efficient description of n-octanol/water partition coefficient fordrug design using the GB/SA approach. J. Chem. Inf. Model. 2014, 54, 3284–3301. [Google Scholar] [CrossRef] [PubMed]
- Daina, A.; Zoete, V. A BOILED-Egg to predict gastrointestinal absorption and brain penetration of small molecules. ChemMedChem 2016, 11, 1117–1121. [Google Scholar] [CrossRef] [PubMed]
- RCSB Protein Data Bank. Available online: http://www.rcsb.org (accessed on 20 October 2022).
- Labute, P. Protonate 3D, Chemical Computing Group. 2007. Available online: http://www.chemcomp.com/journal/proton.htm (accessed on 20 October 2022).
- Chemical Computing Group’s Molecular Operating Environment (MOE). MOE 2019. Available online: http://www.chemcomp.com/MOEMolecular_Operating_Environment.htm (accessed on 20 October 2022).
- LeadIT, version 2.3.2; BioSolveIT GmbH: Sankt Augustin, Germany, 2017. Available online: www.biosolveit.de/LeadIT (accessed on 2 February 2023).
- BIOVIA. Discovery Studio Client v19.1.0.18287. In Accelrys Discovery Studio; Accelrys Software Inc.: San Diego, CA, USA, 2019. [Google Scholar]
- López-Blanco, J.R.; Aliaga, J.I.; Quintana-Ortí, E.S.; Chacón, P. iMODS: Internal coordinates normal mode analysis server. Nucleic Acids Res. 2014, 42, 271–276. [Google Scholar] [CrossRef]
- Shah, H.S.; Nasrullah, U.; Zaib, S.; Usman, F.; Khan, A.; Gohar, U.F.; Uddin, J.; Khan, I.; Al-Harrasi, A. Preparation, characterization, and pharmacological investigation of withaferin-A loaded nanosponges for cancer therapy; in vitro, in vivo and molecular docking studies. Molecules 2021, 26, 6990. [Google Scholar] [CrossRef]


















| Compound | Substituent | Yield (%) | |||
|---|---|---|---|---|---|
| R1 | R2 | R3 | Conventional Approach | Ultrasonic-Assisted Approach | |
| 8a | Me | H | H | 78 | 86 | 
| 8b | Me | H | 3-NO2 | 75 | 82 | 
| 8c | Me | H | 4-NO2 | 71 | 80 | 
| 8d | Me | H | 2-NH2 | 93 | 97 | 
| 8e | Me | H | 4-NH2 | 87 | 94 | 
| 8f | Me | H | 2-Cl | 74 | 83 | 
| 8g | Me | H | 3-Cl | 70 | 81 | 
| 8h | Me | H | 4-Cl | 79 | 87 | 
| 8i | Me | H | 2,4-Cl2 | 72 | 81 | 
| 8j | Me | H | 2-OMe | 84 | 91 | 
| 8k | Me | H | 3-OMe | 65 | 84 | 
| 8l | Me | H | 4-OMe | 94 | 98 | 
| 8m | Me | H | 2-OH | 77 | 85 | 
| 9a | H | Me | H | 77 | 85 | 
| 9b | H | Me | 3-NO2 | 71 | 80 | 
| 9c | H | Me | 4-NO2 | 70 | 81 | 
| 9d | H | Me | 2-Cl | 73 | 82 | 
| 9e | H | Me | 3-Cl | 75 | 83 | 
| 9f | H | Me | 4-Cl | 80 | 89 | 
| 9g | H | Me | 2,4-Cl2 | 75 | 87 | 
| 9h | H | Me | 2-OMe | 85 | 93 | 
| 9i | H | Me | 3-OMe | 71 | 83 | 
| 9j | H | Me | 4-OMe | 91 | 95 | 
|  | |||
|---|---|---|---|
| Compound | Substituent (R3) | Acetylcholinesterase (AChE) Inhibition | Butyrylcholinesterase (BuChE) Inhibition | 
| IC50 ± SEM (μM)/%Inhibition | |||
| 8a | H | 6.1 ± 0.31 | 4.64 ± 0.43 | 
| 8b | 3-NO2 | 6.3 ± 0.23 | 4.71 ± 0.45 | 
| 8c | 4-NO2 | 5.3 ± 0.51 | 1.74 ± 0.03 | 
| 8d | 2-NH2 | 35 | 21 | 
| 8e | 4-NH2 | 61.3 ± 0.71 | 23 | 
| 8f | 2-Cl | 40 | 15 | 
| 8g | 3-Cl | 32 | 1.31 ± 0.05 | 
| 8h | 4-Cl | 44 | 34 | 
| 8i | 2,4-Cl2 | 41 | 39 | 
| 8j | 2-OMe | 43 | 30 | 
| 8k | 3-OMe | 42 | 28 | 
| 8l | 4-OMe | 37 | 15 | 
| 8m | 2-OH | 31 | 13 | 
| Neostigmine | — | 16.3 ± 1.12 | — | 
| Donepezil | — | — | 7.23 ± 0.12 | 
|  | |||
|---|---|---|---|
| Compound | Substituent (R3) | Acetylcholinesterase (AChE) Inhibition | Butyrylcholinesterase (BuChE) Inhibition | 
| IC50 ± SEM (μM)/%Inhibition | |||
| 9a | H | 41 | 32 | 
| 9b | 3-NO2 | 35 | 27 | 
| 9c | 4-NO2 | 32 | 32 | 
| 9d | 2-Cl | 36 | 38 | 
| 9e | 3-Cl | 35 | 40 | 
| 9f | 4-Cl | 33 | 36 | 
| 9g | 2,4-Cl2 | 27 | 32 | 
| 9h | 2-OMe | 16.4 ± 0.09 | 33 | 
| 9i | 3-OMe | 9.6 ± 0.02 | 27 | 
| 9j | 4-OMe | 14.06 ± 0.06 | 38 | 
| Neostigmine | — | 16.3 ± 1.12 | — | 
| Donepezil | — | — | 7.23 ± 0.12 | 
| Disclaimer/Publisher’s Note: The statements, opinions and data contained in all publications are solely those of the individual author(s) and contributor(s) and not of MDPI and/or the editor(s). MDPI and/or the editor(s) disclaim responsibility for any injury to people or property resulting from any ideas, methods, instructions or products referred to in the content. | 
© 2023 by the authors. Licensee MDPI, Basel, Switzerland. This article is an open access article distributed under the terms and conditions of the Creative Commons Attribution (CC BY) license (https://creativecommons.org/licenses/by/4.0/).
Share and Cite
Munir, R.; Zaib, S.; Zia-ur-Rehman, M.; Hussain, N.; Chaudhry, F.; Younas, M.T.; Zahra, F.T.; Tajammul, Z.; Javid, N.; Dera, A.A.; et al. Ultrasound-Assisted Synthesis of Piperidinyl-Quinoline Acylhydrazones as New Anti-Alzheimer’s Agents: Assessment of Cholinesterase Inhibitory Profile, Molecular Docking Analysis, and Drug-like Properties. Molecules 2023, 28, 2131. https://doi.org/10.3390/molecules28052131
Munir R, Zaib S, Zia-ur-Rehman M, Hussain N, Chaudhry F, Younas MT, Zahra FT, Tajammul Z, Javid N, Dera AA, et al. Ultrasound-Assisted Synthesis of Piperidinyl-Quinoline Acylhydrazones as New Anti-Alzheimer’s Agents: Assessment of Cholinesterase Inhibitory Profile, Molecular Docking Analysis, and Drug-like Properties. Molecules. 2023; 28(5):2131. https://doi.org/10.3390/molecules28052131
Chicago/Turabian StyleMunir, Rubina, Sumera Zaib, Muhammad Zia-ur-Rehman, Nadia Hussain, Faryal Chaudhry, Muhammad Tayyab Younas, Fatima Tuz Zahra, Zainab Tajammul, Noman Javid, Ayed A. Dera, and et al. 2023. "Ultrasound-Assisted Synthesis of Piperidinyl-Quinoline Acylhydrazones as New Anti-Alzheimer’s Agents: Assessment of Cholinesterase Inhibitory Profile, Molecular Docking Analysis, and Drug-like Properties" Molecules 28, no. 5: 2131. https://doi.org/10.3390/molecules28052131
APA StyleMunir, R., Zaib, S., Zia-ur-Rehman, M., Hussain, N., Chaudhry, F., Younas, M. T., Zahra, F. T., Tajammul, Z., Javid, N., Dera, A. A., Ogaly, H. A., & Khan, I. (2023). Ultrasound-Assisted Synthesis of Piperidinyl-Quinoline Acylhydrazones as New Anti-Alzheimer’s Agents: Assessment of Cholinesterase Inhibitory Profile, Molecular Docking Analysis, and Drug-like Properties. Molecules, 28(5), 2131. https://doi.org/10.3390/molecules28052131
 
        


 
       